Изучение конформности поведения подростков с разным уровнем притязаний

  • Вид работы:
    Курсовая работа (т)
  • Предмет:
    Психология
  • Язык:
    Русский
    ,
    Формат файла:
    MS Word
    217,93 Кб
  • Опубликовано:
    2012-10-05
Вы можете узнать стоимость помощи в написании студенческой работы.
Помощь в написании работы, которую точно примут!

Изучение конформности поведения подростков с разным уровнем притязаний

ФЕДЕРАЛЬНОЕ ГОСУДАРСТВЕННОЕ АВТОНОМНОЕ ОБРАЗОВАТЕЛЬНОЕ УЧРЕЖДЕНИЕ ВЫСШЕГО ПРОФЕССИОНАЛЬНОГО ОБРАЗОВАНИЯ

БЕЛГОРОДСКИЙ ГОСУДАРСТВЕННЫЙ НАЦИОНАЛЬНЫЙ ИССЛЕДОВАТЕЛЬСКИЙ УНИВЕРСИТЕТ (НИУ «БелГУ»)

факультет психологии

Кафедра возрастной и социальной психологии





Курсовая работа

Изучение конформности поведения подростков с разным уровнем притязаний

 

студентки дневного отделения

курса группы 150901

Шевцовой Ирины Александровны

Научный руководитель:

ст. преп. Викторова Е.А.




БЕЛГОРОД 2011

Содержание

Введение

Глава 1. Теоретические основы исследования конформности подростков с разным уровнем притязаний

.1 Психологические особенности подросткового возраста

.2 Изучение феномена конформизма

.3 Особенности конформного поведения в подростковом возрасте

Глава 2. Эмпирическое исследование конформности подростков с разным уровнем притязаний

.1 Организация и методы исследования

.2 Описание результатов исследования

Заключение

Список использованной литературы

Приложения

Введение

Многие личные и социальные проблемы подростков, с которыми столкнулось общество в настоящее время, связанны с проявлением конформности в различных сферах жизни и деятельности лиц подросткового возраста.

Несмотря на актуальность, социально-психологического исследования конформности, последние годы в России характеризуются отсутствием работ по данной проблематике; зарубежные исследования феномена конформности проходят в рамках уже существующих теоретических подходов в направлении их детализации. На наш взгляд, сегодня назрела необходимость подойти к исследованию конформности под качественно другим, интегрирующим традиционные подходы углом зрения. Конформность является одним из необходимых аспектов социализации личности любого человека, а так как именно в подростковом возрасте происходит формирование и становление личности, то выявление причин возникновения конформного поведения у подростков помогут предотвратить неконструктивные модели поведения.

Существенный вклад в разработку теоретических и методологических вопросов психологии личности подростка был сделан: А.С. Арсеньевым, Л.С. Выготским, С.Л. Рубинштейном, И.С. Коном, А.Н. Леонтьевым, А.А. Леонтьевым, Д.Б. Элькониным, А.А. Бодалевым, Б.Г. Ананьевым, И.И. Мечниковым, Л.С. Сапожниковым, Д.И. Фельдштейном, 3. Фрейдом, Н.М. Шкуленда, К. Роджерсом и др.

Проблема конформного поведения подростков в настоящее время является объектом изучения различных отраслей психологии: А.И. Липкина, Л.И. Мнацаканян, B.C. Мухина, А.А. Хвостов.

Главными причинами проявления конформности у лиц подросткового возраста является низкий уровень самооценки и уверенности в себе. Изучение А.В. Мудрика влияния референтных групп на подростковое поведение показало, что подростки, обладающие разным уровнем конформности, в различной степени подвержены влиянию со стороны референтных групп, чем выше оказывался уровень конформности у подростка, тем большему влиянию со стороны группы он был подвержен. [27, с.176]

Цель исследования заключается в изучении конформности поведения подростков с разным уровнем притязаний.

Задачи исследования:

. Рассмотреть характер подросткового возраста;

. Раскрыть основные подходы и направления в изучении конформности в современной психологической науке;

. Изучить особенности конформности в подростковом возрасте;

. Провести эмпирическое исследование конформности подростков с разным уровнем притязаний.

Объект исследования - конформность поведения.

Предмет исследования - конформность поведения подростков с разным уровнем притязаний.

Гипотеза исследования - уровень конформности поведения в подростковом возрасте зависит от уровня притязания личности, а именно чем ниже уровень притязания, тем выше конформность поведения подростка.

Для решения поставленных нами задач были использованы следующие методы: анкетные опросы и тестирование.

Используемые методики: исследование межличностных отношений Т. Лири, самооценка уровня притязаний по методике Шварцландера.

Исследование проводилось на базе МОУ «Ракитянская СОШ №2» с участием 40 учащихся среднего и старшего подросткового возраста.

Глава 1. Теоретические основы исследования конформности подростков с разным уровнем притязаний

.1 Психологические особенности подросткового возраста

В академическом словаре русского языка разъясняется, что подросток - это мальчик или девочка в переходном от детства к юношеству возрасте, от 12 до 16 лет. [35, с.379]

Л.Е. Яичко различает младший подростковый возраст - 12-13 лет, средний- 14-15 лет и старший - 16-17 лет. [25, с.46]

Переход от детства к взрослости составляет основное содержание и специфическое отличие всех сторон развития и этот период физического, умственною, нравственного, социального. По всем направлениям происходит становление качественно новых образовании, появляются элементы взрослости в результате перестройки организма, самосознания, типа отношении со взрослыми, товарищами, способов социального взаимодействия с ними, интересов, познавательной и учебной деятельности, содержательной стороны морально-этических инстанции, опосредующих поведение, деятельность и отношения.

Петровский А.В подростковый период считает трудным и критическим. Такая оценка обусловлена, во-первых, происходящими в это время многочисленными качественными сдвигами, которые подчас носят характер коренной ломки прежних особенностей, интересов и отношений ребенка; это может происходить в сравнительно короткий срок, часто бывает неожиданным и сообщает процессу развития скачкообразный, бурный характер. Во-вторых, происходящие изменения нередко сопровождаются, с одной стороны, появлением у самого подростка значительных субъективных трудностей разного порядка, а с другой - трудностей в его воспитании: подросток не поддается воздействиям взрослых, у него появляются разные формы непослушания, сопротивления и протеста (упрямство, грубость, негативизм, строптивость, замкнутость, скрытность). [29, с.15]

Кардинальные изменения в структуре личности ребенка, вступающего в подростковый возраст, определяются качественным сдвигом в развитии самосознания, благодаря чему нарушается прежнее отношение между ребенком и средой. Центральным и специфическим новообразованием в личности подростка является возникновение у него чувства взрослости: действенная сторона этого представления проявляется в стремлении быть и считаться взрослым.

Чувство взрослости может возникать в результате осознания и оценки сдвигов в физическом развитии и половом созревании, которые очень ощутимы для подростка и делают его более взрослым объективно и в собственном представлении. Другие источники чувства взрослости - социальные. Чувство взрослости может рождаться в условиях, когда в отношениях со взрослыми подросток объективно не занимает положения ребенка, участвует в труде, имеет серьезные обязанности. Чувство взрослости формируется у подростка и тогда, когда к нему относятся как к равному товарищи, которых он считает намного старше себя.

Возникновение у подростка представления о себе как о человеке, уже перешагнувшем границы детства, определяет его переориентацию с одних норм я ценностей на другие - с детских на взрослые.

Претензии подростка на новые права прежде всего распространяются на всю сферу отношений со взрослыми. Подросток начинает сопротивляться требованиям, которые раньше охотно выполнял: он обижается и протестует, когда ограничивают его самостоятельность. У подростков появляется критическое отношение к прежним авторитетам, и первой «жертвой» становятся самые близкие люди - родители. Если малыши преклоняются перед родителями, считают их самыми сильными, красивыми, умными, то подросток начинает замечать, что родители не так уж хороши, чтобы восхищаться ими, и может удариться в другую крайность.

Существование различных направлений в развитии взрослости определяется различием в характере образцов, на которые подросток ориентируется в приобретении черт взрослости. Ориентация на определенные образцы во многом определяет содержание формирующихся жизненных ценностей, общее направление в формировании личности подростка.

Привлекательными для подростка могут стать внешние проявления взрослости. В этих проявлениях наиболее зримо выступают отличительные черты внешнего облика и манеры поведения взрослых и их преимущества по сравнению с детьми из-за обладания некоторыми привилегиями. Это - курение, игра в карты, употребление вина, специфический лексикон, взрослая мода в одежде, прическах, косметика, украшения, приемы кокетства, способы отдыха, развлечений, ухаживания и т. п. Приобретение подобных признаков мужской или женской взрослости для подростка - средство проявления, утверждения и демонстрации собственной взрослости.

Многие юноши и девушки в 15-16 лет по своему развитию соответствуют зрелому возрасту. Физическое возмужание подростка дает ему ощущение зрелости, но социальный статус ни в семье, ни в школе не меняется. И тогда начинается борьба за признание своих прав, самостоятельности. Подростки противоречивы. В семье они стремятся к своей независимости, праву поступать по-своему. А среди сверстников многие из них скорее конформисты, соглашатели. Они проявляют чрезмерную зависимость от норм, принятых в привлекательной для них группе ребят как в отношении стиля одежды, прически, так и в отношении увлечений, интересов, нравственных установок. [5, с.128]

Особенность самосознания и самооценки в отрочестве непосредственно отражается на поведении. При заниженной самооценке подросток недооценивает свои возможности, стремится к выполнению только самых простых задач, что мешает его развитию. При завышенной самооценке он переоценивает свои возможности, стремится выполнить то с чем не в состоянии справиться, что также негативно сказывается на развитии его личности.

Притязания на признание в отрочестве направлены на реализацию себя в сфере физического, умственного и личностного развития. В этом возрасте обострена потребность в признании «самости» (уникальности) при психологической зависимости от сверстников, поэтому эффективно подросток соединяет эгопозицию «Не путайте меня с другими» и конформную позицию «Мы - группа сверстников» - ведь общение со сверстниками выступает как потребность и значимая деятельность.

Притязание на признание у подростка распространяется на такие ориентации в мире, как приобретете эмоциональной независимости от родителей и других взрослых: развитие духовности и интеллектуального потенциала, столь необходимых для гражданской зрелости; выбор и подготовка к профессии; подготовка к браку и семейной жизни. [7, с.98]

Для подростков остро выступает феномен взаимодействия «Мы» и «Я». Отроческое «Мы» и отроческое «Я» нередко противоборствуют в рамках самосознания, что проявляется в мотивах, в отдельных поступках и нередко в общей линии поведения. «Мы» - это способность к идентификации с другими, это умение слиться со всеми в эмоциональных ситуациях и в ситуациях социального выбора: это умение отрефлексировать себя как часть единого, это способность обрести радость от пребывания в конкретной общности, «Я» - это способность к обособлению от других; это умение остаться наедине с собой, выйти из ситуации групповой соединенности; это умение отрефлексировать себя как уникальную, ни на кого не похожую личность; это способность обрести радость от пребывания в сообществе с самим собой. «Мы» и «Я» - социальное общее и социальное индивидуальное две ипостаси человеческой сущности, которые в развитой личности представлены достаточно полно и уникально. Отрок стремится познать и пережить обе ипостаси и обрести себя между этими двуедиными полюсами.

В отрочестве происходит чрезвычайное расширение социальных условий бытия подростка: он стремится пройти через все, чтобы затем обрести себя. Конечно, это опасное стремление для несформировавшейся личности и подросток может остаться в асоциальном пространстве, так и не поднявшись на высоты духовной жизни. [7, с.104]

.2 Изучение феномена конформизма

Конформность - «тенденция человека изменять свое поведение под влиянием других людей таким образом, чтобы оно соответствовало мнениям окружающих, стремление приспособить его к их требованиям». [3, с.363]

Конформность - подверженность групповому давлению и изменение своего поведения под влиянием других лиц, группы. Следует различать внушаемость и конформизм. Внушаемость - это непроизвольная податливость человека мнению группы (человек и сам не заметил, как изменились его взгляды, поведение, это происходит само собой, искренне). Конформизм - это сознательная уступчивость человека мнению большинства группы ради избегания конфликта с ней. [16, с.324]

Начало исследованиям конформности было положено в работах С.Аша, где конформность выступила, как тенденция индивида изменять свое мнение под давлением коллектива, принимать точку зрения, высказанную большинством. Эксперименты проводились в основном на диффузных группах, в которых испытуемые совместно решали простые, не имеющие существенного значения задачи.

С тех пор было проведено большое количество экспериментов, изучающих конформное поведение. В дальнейшем конформность была объявлена универсальной закономерностью поведения человека в различных ситуациях.

Конформность фиксируется там, где имеется конфликт между собственным мнением индивида и мнением группы, к которой он принадлежит, если преодоление этого конфликта осуществляется путем согласия с мнением группы. Различают внешнюю конформность, когда мнение группы принимается индивидом лишь внешне, а на деле он продолжает ему сопротивляться, и внутреннюю (иногда именно это и называется подлинным конформизмом), когда индивид действительно усваивает мнение большинства. Внутренняя конформность и есть результат преодоления конфликта с группой в ее пользу. [3, с.367]

Конформность играет определенную роль в принятии людьми социальных стереотипов одной группы по отношению к другой. Сформировавшись однажды, стереотип сохраняется преимущественно по инерции. Если он является социально приемлемым, многие люди пойдут по пути наименьшего сопротивления и будут сообразовывать свое поведение с этим стереотипом. Они будут относиться к другим группам в соответствии со стереотипом и действовать определенным образом в связи с потребностью нравиться и быть принятым в значимой для них группе.

В исследованиях конформности обнаружилась еще одна возможная позиция - негативизм, сопротивление индивида давлению группы, отрицание во что бы то ни стало всех стандартов группы. Однако негативизм это не подлинная независимость.

Напротив, можно сказать, что это специфический случай конформности: если индивид ставит своей целью любой ценой противостоять мнению группы, то он фактически вновь зависит от большинства, так как ему приходится активно продуцировать антигрупповое поведение, антигрупповую позицию или норму, т.е. быть привязанным к групповому мнению, но лишь с обратным знаком. В этих случаях в процессе такого сопротивления группе и вопреки ей возможно принятие индивидом социальных стереотипов, обратных мнению группы.

В определенном смысле подобную конформную реакцию на групповое давление демонстрирует достаточно большое число людей, находящихся на первой стадии вхождения в референтную группу - на стадии адаптации - и решающих личностно значимую задачу «быть и, главное, казаться таким, как все». Особенно отчетливо конформизм проявляется в условиях тоталитарного общественного устройства, когда личность боится противопоставлять себя господствующей элите и подчиненному ей большинству, опасаясь не просто психологического давления, а реальных репрессий и угроз своему физическому существованию. На личностном уровне конформизм чаще всего выражается в качестве такой личностной характеристики, которая в социальной психологии традиционно обозначается как конформность, то есть готовность индивида поддаться как реальному, так и лишь воспринимаемому как таковое давлению группы, если не стремлению, то, во всяком случае, предрасположенности изменить свои позицию и видение в связи с тем, что они не совпадают с мнением большинства. Понятно, что в одних случаях подобная «податливость» может быть связана с реальным пересмотром своих позиций, а в другом - лишь со стремлением хотя бы на внешнем, поведенческом уровне избежать чреватого негативными санкциями противопоставления себя конкретному сообществу, будь то малая или большая группа. [16, с.325]

Таким образом, традиционно принято говорить о внешней и внутренней конформности.

Классические эксперименты по схеме, предложенной и реализованной С. Ашем, будучи направлены на изучение, прежде всего, внешней конформности, показали, что на ее наличие или отсутствие, а также степень выраженности влияют индивидуально-психологические особенности индивида, его статус, роль, половозрастные характеристики и т. д., социально-психологическая специфика общности (в рамках классических экспериментов эта группа является подставной), значимость конкретной группы для испытуемого, чья склонность к конформным реакциям исследовалась, а также личностная значимость для него обсуждаемых и решаемых проблем и уровень компетентности как самого испытуемого, так и членов конкретного сообщества. Как правило, прямо противоположную конформной реакцию - реакция нонконформизма, или негативизма - считают реальной альтернативой проявлению конформизма. В то же время это далеко не так, так как нонконформная реакция, как и конформная отражает личностную уступку в условиях группового давления. Более того, поведенческий негативизм нередко связан с тем, что конкретная личность оказывается в столь же конкретной группе на индивидуализационной стадии вхождения, когда первостепенной личностной задачей выступает задача «быть и, главное, казаться не таким, как все». Реальной альтернативой и конформизма, и нонконформизма выступает социально-психологический феномен самоопределения личности в группе. Следует специально отметить, что и конформное, и нонконформное поведение, будучи достаточно часто встречающимся в группах низкого уровня социально-психологического развития, как правило, не свойственно членам высокоразвитых просоциальных сообществ. [12, с.235]

Таким образом, проблема конформизма является высокозначимой не только применительно к взаимоотношениям личности и относительно локальной группы (учебной, рабочей и т. д.), но и в гораздо более широком социальном контексте, и в том числе относительно проявления в определенном возрасте. Характеристику конформизма в подростковом возрасте мы проведем в следующем параграфе.

.3 Особенности конформного поведения в подростковом возрасте

Согласно эмпирическим данным, уровень конформности определяется комплексом причин: пол, возраст <#"579974.files/image001.gif">

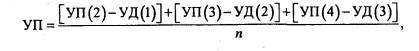
УП2, УП3 и УП4 - величины уровней притязаний в расстановке крестиков в квадраты каждой из 2-ой, 3-ей и 4-ой проб;

УД1 УД2, УД3 - величины уровня достижения в 1-ой, 2-ой и 3-ей пробах соответственно. [15, с.109]

Результаты и интерпретация данных по результатам диагностического исследования нами будут представлены в следующем параграфе.

2.2 Описание результатов исследования

При изучении типов отношения к окружающим при исследовании межличностных отношений были получены следующие результаты: 65% испытуемых присущ агрессивный тип отношения к окружающим. Такие люди отличаются стремлением к лидерству. Их характерные черты - властность, негативизм, упрямство, упорность, настойчивость и энергичность.

У 10% наблюдается такой тип межличностного отношения как «Подчинение». Данная выборка характеризуется такими чертами как покорность, склонность к самоунижению, слабовольность, склонность уступать всем и во всем, пассивность, стремление найти опору в ком-либо более сильном. Такие люди застенчивы, кротки, легко смущаются, склонны подчиняться более сильному без учета ситуации.

% испытуемым присущ тип отношений по фактору «Дружелюбие».

Такие люди дружелюбны и любезны со всеми, ориентированы на принятие и социальное одобрение, стремятся удовлетворить требования всех, "быть хорошим" для всех без учета ситуации, склонны к сотрудничеству, гибки и компромиссны при решении проблем и в конфликтных ситуациях, стремятся быть в согласии с мнением окружающих, сознательно конформны, следуют условностям, правилам и принципам "хорошего тона" в отношениях с людьми, стремятся помогать, чувствовать себя в центре внимания, заслужить признание и любовь, общительны, проявляют теплоту и дружелюбие в отношениях.

У 20% выявлен тип отношения к окружающим Доминирование. Данная выборка характеризуется такими чертами как властность, доминантность, энергичность, компетентность. Такие люди обычно имеют деспотический характер, это тип сильной личности, которая лидирует во всех видах групповой деятельности. Всех наставляет, поучает, во всем стремится полагаться на свое мнение, не умеет принимать советы других. Окружающие отмечают эту властность, но признают ее. (См. рис.1)

Таким образом, можно сделать вывод о том, что в подростковом возрасте доминирующим типом межличностного отношения является агрессивный тип.

 

Рис. 1. Типы отношения к окружающим по результатам исследования межличностных отношений, n=40

В случае независимых выборок для анализа разницы мы применяли формулу сравнения средних (см. Приложение 3).

Аналогичным образом были проведены расчеты достоверности отличий между юношами и девушками.

Сверившись с таблицей значений t, мы можем придти к следующим выводам: полученные нами значения tэмп, больше того, которое соответствует уровню достоверности 0,05; для h=20, следовательно, уровень вероятности для такого t будет ниже 0,05; таким образом разница между двумя выборками достоверна.

Из таблицы 3 видно, что во второй группе 85% (65% - группа 1) подростков показали положительное значение результата, полученного по фактору "доминирование", что свидетельствует о выраженном стремлении человека к лидерству в общении, к доминированию. И 15% (35% - группа 1) показали отрицательный результат по фактору «доминирование», что указывает на тенденцию к подчинению, отказу от ответственности и позиции лидерства.

По фактору «дружелюбие» у 75% (5%) отмечено проявление агрессивно-конкурентной позиции, препятствующей сотрудничеству и успешной совместной деятельности, и лишь у 25% (95%) данный показатель говорит о стремлении личности к установлению дружелюбных отношений и сотрудничеству с окружающими (см. Приложение 3).

Наглядное изображение сравнительных результатов по факторам Доминирование и Дружелюбие в группах представлены ниже (рис. 2, 3).

Рис. 2. Сравнительные результаты по фактору доминирование в группах

Рис. 3. Сравнительные результаты по фактору дружелюбие в группах

Итак, результаты показывают, что в группе подростков 13-14 лет высокая степень выраженности лидерства и агрессивно-конкурентной позиции.

Достоверность результатов исследования подтверждена расчетами по методу Стьюдента.

Общие результаты статистических данных представлены в таблицах (см. Приложение 3).

Сверившись с таблицей значений t, мы можем придти к следующим выводам: полученные нами значения tэмп, больше того, которое соответствует уровню достоверности 0,05; для h=20, следовательно, уровень вероятности для такого t будет ниже 0,05; таким образом разница между двумя выборками достоверна.

Для выявления особенностей взаимосвязи уровня притязаний и конформности было проведено экспериментально-психологическое исследование, включающее диагностику уровня притязаний личности. С целью выявления особенностей в уровне притязаний учащихся была использована методика «Моторная проба Шварцландера». Данное задание является экспресс-методикой для оценки уровня притязаний, которая позволяет получить соответствующую информацию в течение нескольких минут. Исследование позволяет выявить высоту и адекватность притязаний испытуемого.

Результаты эмпирического исследования уровня притязаний учащихся представлены в таблице 1.

Таблица 1

Показатели уровня притязаний у учащихся, n=14

Уровень притязаний

Высокий

Средний

Низкий

Кол-во чел

%

Кол-во чел

%

Кол-во чел

%

2

12

4

34

8

54


Результаты диагностики уровня притязаний показали, что лишь 12% (6 чел.) от общего количества испытуемых имеют высокий уровень притязаний. Данные учащиеся стремятся постоянно к улучшению своих достижений, к самосовершенствованию, к решению все более и более сложных задач, к достижению трудных целей.

% учащихся (17 чел) имеют умеренный уровень притязаний. Они стабильно и успешно решают круг задач средней сложности, не стремясь улучшить свои достижения и способности и перейти к более трудным целям.

Большинство учащихся в выборке (54%, 27 чел.) имеют низкий уровень притязаний. Эти ученики выбирают слишком легкие и простые цели, что может объясняться: а) заниженной самооценкой, неверием в свои силы, «комплексом неполноценности», либо б) «социальной хитростью», когда, наряду с высокой самооценкой и самоуважением, человек избегает социальной активности и трудных, ответственных дел и целей.

Результаты эмпирического исследования уровня притязаний учащихся наглядно отражены на рисунке 4.

Рис. 4. Показатели выраженности уровня притязаний у учащихся

Таким образом, по полученным результатам можно сделать вывод, что среди учащихся больше всего тех, кто ставит перед собой легкодостижимые задачи, а, следовательно, у них есть стремление к конформности.

Определим статистическую достоверность данного положения. Для этого мы используем метод линейной корреляции К. Пирсона (см. Приложение 3).

Достоверные прямые связи были выявлены между низким уровнем притязаний и показателем дружелюбие (р≤0,05), средним уровнем притязаний и показателем дружелюбие - это говорит о том, что учащимся с низким уровнем притязаний свойственны такие черты как: неуверенность в себе, тревожность, зависимость от других, от чужого мнения, боязливость, мягкость, доверчивость, беспомощность, склонность к восхищению окружающими, вежливость. Все эти черты характеризуют конформных личностей.

Не выявлено прямой достоверной связи между высоким уровнем притязаний и показателем дружелюбие (р≤0,05), что соответствует возрастной норме.

Исследование взаимосвязи уровня притязаний и конформности показало наличие прямой зависимости: чем выше уровень притязаний у учащихся, тем ниже степень конформности.

Таким образом, по результатам проведенного исследования мы можем сделать следующие выводы:

1.       Большинство учащихся имеют низкий уровень притязаний. Что говорит о значительном влиянии внешних обстоятельств при реализации стремлений, возможном дефиците социально значимого успеха, неуверенности в себе и боязни трудностей.

2.       У 15% учащихся высокие характеристики конформности. Данный уровень конформности может определяться высоким уровнем внушаемости, тревожности, низкой либо неустойчивой самооценкой, потребностью в одобрении своих слов и действий со стороны окружающих. Такие люди мягки, ожидают помощи и советов, доверчивы, склонны к восхищению окружающими. Они тревожатся по любому поводу, поэтому зависимы от других, от чужого мнения.

3.       Учащимся с низким уровнем притязаний свойственны характеристики конформной личности, при умеренном уровне притязаний также имеют место быть черты конформизма; учащимся с высоким уровнем притязаний не характерна выраженность черт конформной личности.

.        Существует взаимосвязь между уровнем притязаний и конформностью поведения учащихся, а именно чем ниже уровень притязаний, тем выше конформизм.

Заключение

Конформизмом является проявлением активности личности, которое отличается реализацией отчетливо приспособленческой реакции на групповое давление (точнее на давление большинства членов группы) с целью избежать негативных санкций - порицания или наказания за демонстрацию несогласия с общепринятым и общепровозглашенным мнением и желанием не выглядеть не таким, как все. [3, с.364]

Конформность - поведение, которое представляет собой следование нормам, установленным в группе или обществе; люди не всегда следуют социальным нормам только из-за того, что принимают ценности, лежащие в основе этих норм; некоторые следуют им из соображений целесообразности или из-за страха перед негативными санкциями.

Мы рассмотрели научные взгляды на проблему конформности, причины, влияющие на это явление, и виды проявления конформности. Проблема конформного поведения подростков в настоящее время является объектом изучения различных отраслей психологии.

Проведенное исследование позволило выяснить, что одной из причин проявления конформности у лиц подросткового возраста является низкий уровень самооценки и уверенности в себе. Изучение влияния референтных групп на подростковое поведение показало, что подростки, обладающие разным уровнем конформности, в различной степени подвержены влиянию со стороны референтных групп, чем выше оказывался уровень конформности у подростка, тем большему влиянию со стороны группы он был подвержен.

В исследовании принимали участие подростки в количестве 40 человек. Результаты эксперимента показали, что в группе подростков:

1.       Большинство учащихся имеют низкий уровень притязаний. Что говорит о значительном влиянии внешних обстоятельств при реализации стремлений, возможном дефиците социально значимого успеха, неуверенности в себе и боязни трудностей.

.        У 15% учащихся высокие характеристики конформности. Данный уровень конформности может определяться высоким уровнем внушаемости, тревожности, низкой либо неустойчивой самооценкой, потребностью в одобрении своих слов и действий со стороны окружающих.

.        Учащимся с низким уровнем притязаний свойственны характеристики конформной личности, при умеренном уровне притязаний также имеют место быть черты конформизма; учащимся с высоким уровнем притязаний не характерна выраженность черт конформной личности.

.        Существует взаимосвязь между уровнем притязаний и конформностью поведения учащихся: чем ниже уровень притязаний, тем выше конформизм.

Таким образом, гипотеза доказана, цели достигнуты, задачи решены.

Список использованной литературы

1.     Абдрахманова, В.Г. Зависимость самооценки от интерличного и интраличного сравнения детей. /В.Г. Абдрахманова//. Вопр. психологии. - 2005. - №2. - С. 138-142.

.       Алмазов, Б.Н. Психологическая средовая дезадаптация несовершеннолетних. / Б.Н. Алмазов. - Свердловск, 1998. -150 с.

3.       Андреева, Г.М. Социальная психология. У Г.М. Андреева. - М.: АспектПресс, 2002. - 363 с.

4.     Андрущенко, Т.Ю. Исследование самооценки младших школьников в учебной деятельности./ Т.Ю. Андрущенко // Вопр. психологии. -2000. - №4. - С. 90-99.

5.       Беличева, С.А. Сложный мир подростка. У С.А. Беличева. - Свердловск: Урал, кн. изд-во, 1984.-128с.

6.     Белобрыкина, О.А. Психологическая диагностика самооценки детей старшего дошкольного возраста: метод, пособие. / О.А. Белобрыкина. - Новосибирск: ГЦРО, 2000. -132 с.

7.       Божович, Л.И. Особенности самосознания у подростков. / Л.И. Божович //. Вопр. психологии. -1953. -№1. -С. 98-107.

.        Волков, Б.С. Психология подростка. / Б.С. Волков. - М.: Пед. о-во России, 2002. -160 с.

9.     Гинзбург, М.Р. Развитие самоопределения подростков. / М.Р. Гинзбург. - М., 1988. -18 с.

.       Дилова, М. Самооценка и компетентность личности. / М. Дилова //. Актуальные вопросы личности: сб. науч. тр. - М., 1997. - 242 с.

11.     Залуничева, Е.А. Соотношение самооценки и уровня притязаний и его влияние на личностные особенности. / Е.А. Залуничева. -М., 1995. -24 с.

.        Захаров, В.П. Социально - психологический тренинг. / В.П. Захаров, Н.Ю. Хрящева. - Л., 1999. - 235 с.

13.   Йолова, Х.Г. Соотношение самооценки и некоторых компонентов умственных способностей. /Х.Г. Йолова. -1999. -19 с.

14.     Карелин, А.А. Энциклопедия психологических тестов. Общение, лидерство, межличностные отношения. / А.А. Карелин. - М.: ACT, 1997. - 304 с.

.        Карелин, А.А. Психологические тесты. / А.А. Карелин. - М.: Гуманит. изд. центр Владос, 2000. - Т. 1. - 312 с., Т. 2. - 248 с.

.        Келли, Г. Две функции референтной группы. Тексты. / Г. Келли. - М.: Аспект-Пресс, 2004. - 324 с.

.        Ковалёв, А.Г. Психология личности. У А.Г. Ковалёв - 2-е изд., испр. и доп. - М.: Просвещение, 1995. -288 с.

.        Козлов, А.А. Молодой человек: становление образа жизни. / А.А. Козлов, А.В. Лисовский. -М.: Политиздат, 1996. -167 с.

19.   Кон, И.С. Психология ранней юности: кн. для учителя. / И.С. Кон. - М.: Просвещение, 1989.-255 с.

20.     Кон, И.С. Психология старшеклассника: пособие для учителей. / И.С. Кон. - М.: Просвещение, 1980. -191 с.

.        Либерман, Д. Дж. Самоучитель: как обрести уверенность в себе: пер. с англ. / Д. Дж. Либерман. - М.: ООО ACT, 2000. - 272 с.

.        Лидере, А.Г. Психологический тренинг с подростками: уч. пособие для учащихся ВУЗа. / АГ. Лидере. - М.: Изд - во «Академия» 2003 г. - 256 с.

.        Липкина, А.И. Критичность и самосознание в учебной деятельности. / А.И. Липкина, Л.А. Рыбак. - М., 1998. -142 с.

.        Липкина, А.И. Психология самооценки школьника / А.И. Липкина. - М., 2004. - 35 с.

.        Личко, А.Е. Подростковая психиатрия: руководство для врачей. / А.Е. Личко. -2-е изд., доп. и перераб. - Л.: Медицина. Ленингр. отд-ние, 1985. - 416 с.

26.   Мнацаканян, Л.И. Личность и оценочные способности старшеклассников. / Л.И. Мнацаканян. - М.: Просвещение, 1991. -191 с.

27.     Мудрик, А.В. О воспитании старшеклассников: книга для классных руководителей. / А.В. Мудрик. - 2-е изд., доп. и перераб. - М.: Просвещение, 1981. -176 с.

28.   Мухина, B.C. Возрастная психология. / B.C. Мухина, А.А. Хвостов. - М.: Изд. центр "Академия", 2001. - 624 с.

.       Петровский, А.В. Развитие личности и проблемы ведущей деятельности. / А.В. Петровский // Вопр. психология. - 1997. -№1. - С. 15-26.

30.     Психология подростка: хрестоматия. / Сост. Ю.И. Фролов. - М.: РПА -1997. -526 с.

31.   Рыбалко, Б.Ф. Возрастная и дифференциальная психология: уч. пособие. / Е.Ф. Рыбалко. -Л.: Изд-во Ленингр. ун-та, 1990. - 256 с.

.       Савонько, Е.И. Оценка и самооценка как мотивы поведения школьников раннего возраста. /Е.И. Савонько // Вопр. психологии. -1999. -№4. -С. 107-116.

33.     Сапожникова, Л.С. Самооценка и притязания подростка. / Л.С. Сапожникова //. Психологические особенности самопознания подростка. / Под ред. М.И. Боришевского. - Киев, 1990. -166 с.

.        Сафин, В.Ф. Динамика оценочных эталонов в подростковом и юношеском возрасте. / В.Ф. Сафин /У. Вопр. психологии. -2002. -№1. - С. 69-75.

35. Словарь русского языка: Под ред. А. П. Евгеньевой. - 2-е изд., испр. и доп. - М.: Русский язык, 1981-1984. - С.379

Приложение 1

конформный поведение подросток притязание

Методика диагностики межличностных отношений Лири

Ф.И.О._____________________________________

Возраст____________________________________

Класс______________________________________

Дата проведения_____________________________

Описание методики

Данная методика разработана Т.Лири (1954 г.) и предназначена для исследования представлений субъекта о себе и идеальном «Я», а также для изучения взаимоотношений в малых группах. С ее помощью выявляется преобладающий тип отношений к людям в самооценке и взаимооценке. При этом выделяется два фактора: «доминирование-подчинение» и «дружелюбие-агрессивность (враждебность)».

Именно эти факторы определяют общее впечатление о человеке в процессах межличностного восприятия.

В зависимости от соответствующих показателей выделяются ряд ориентаций - типов отношения к окружающим. Делаются выводы о выраженности типа, о степени адаптированности поведения - степени соответствия (несоответствия) между целями и достигаемыми в процессе деятельности результатами. Очень большая неадаптивность поведения (при представлении результатов выделяется красным цветом) может свидетельствовать о невротических отклонениях, дисгармониях в сфере принятия решений или являться результатом каких-либо экстремальных ситуаций.

Инструкция

«Вам будут представлены суждения, касающиеся характера человека, его взаимоотношений с окружающими людьми. Внимательно прочтите каждое суждение и оцените, соответствует ли оно Вашему представлению о себе.

Поставьте на бланке ответов знак « + « против номеров тех определений, которые соответствуют Вашему представлению о себе, и знак « - « против номеров тех утверждений, которые не соответствуют Вашему представлению о себе. Старайтесь быть искренним. Если нет полной уверенности, знак « + « не ставьте.

После оценивания своего реального «Я» вновь прочтите все суждения и отметьте те из них, которые соответствуют Вашему представлению о том, каким Вам, по Вашему мнению, следовало бы быть в идеале».

Обработка результатов

На первом этапе обработки данных производится подсчет баллов по каждой октанте с помощью ключа к опроснику.

Ключ

Авторитарный: 1 - 4, 33 - 36, 65 - 68, 97 - 100.

Эгоистичный: 5 - 8, 37 - 40, 69 - 72, 101 - 104.

Агрессивный: 9 - 12, 41 - 44, 73 - 76, 105 - 108.

Подозрительный: 13 - 16, 45 - 48, 77 - 80, 109 - 112.

Подчиняемый: 17 - 20, 49 - 52, 81 - 84, 113 - 116.

Зависимый: 21 - 24, 53 - 56, 85 - 88, 117 - 120.

Дружелюбный: 25 - 28, 57 - 60, 89 - 92, 121 - 124.

Альтруистический: 29 - 32, 61 - 64, 93 - 96, 125 - 128.

На втором этапе полученные баллы переносятся на диаграмму, при этом расстояние от центра круга соответствует числу баллов по данной октанте (минимальное значение - 0, максимальное - 16). Концы таких векторов соединяются и образуют профиль, отражающий представление о личности данного человека. Очерченное пространство заштриховывается. Для каждого представления строится отдельная диаграмма, на которой оно характеризуется по выраженности признаков каждой октанты.

Психограмма


На третьем этапе с помощью формул определяются показатели по двум основным параметрам «Доминирование» и «Дружелюбие»:

Доминирование = (I - V) + 0,7 х (VIII + II - IV - VI)

Дружелюбие = (VII - III) + 0,7 х (VIII - II - IV + VI)

Таким образом, система баллов по 16 межличностным переменным превращается в два цифровых индекса, которые характеризуют представление субъекта по обозначенным параметрам.

В результате проводится анализ личностного профиля - определяются типы отношения к окружающим.

Интерпретация результатов

Подсчет баллов ведется отдельно для каждой оцениваемой личности. Показателем нарушения отношений с определенным лицом является разница между представлениями человека о нем и желаемом его образе в качестве партнера по общению.

Максимальная оценка уровня - 16 баллов, но она разделена на четыре степени выраженности отношения:

0-4 балла - низкая:

адаптивное поведение

5-8 баллов - умеренная:


9-12 баллов - высокая:

экстремальное поведение

13-16 баллов - экстремальная:

до патологии поведение

Положительное значение результата, полученного по формуле «доминирование», свидетельствует о выраженном стремлении человека к лидерству в общении, к доминированию. Отрицательное значение указывает на тенденцию к подчинению, отказу от ответственности и позиции лидерства.

Положительный результат по формуле «дружелюбие» является показателем стремления личности к установлению дружелюбных отношений и сотрудничеству с окружающими. Отрицательный результат указывает на проявление агрессивно-конкурентной позиции, препятствующей сотрудничеству и успешной совместной деятельности. Количественные результаты являются показателями степени выраженности этих характеристик.

Наиболее заштрихованные на профиле октанты соответствуют преобладающему стилю межличностных отношений данного индивида. Характеристики, не выходящие за пределы 8 баллов, свойственны гармоничным личностям. Показатели, превышающие 8 баллов, свидетельствуют об акцентуации свойств, выявляемых данным октантом. Баллы, достигающие уровня 14-16, свидетельствуют о трудностях социальной адаптации. Низкие показатели по всем октантам (0-3 балла) могут быть результатом скрытности и неоткровенности испытуемого. Если в психограмме нет октантов, заштрихованных выше 4-х баллов, то данные сомнительны в плане их достоверности: ситуация диагностики не расположила к откровенности.

Первые четыре типа межличностных отношений (октанты 1-4) характеризуются тенденцией к лидерству и доминированию, независимостью мнения, готовностью отстаивать собственную точку зрения в конфликте. Другие четыре октанта (5-8) - отражают преобладание конформных установок, неуверенность в себе, податливость мнению окружающих, склонность к компромиссам.

В целом интерпретация данных должна ориентироваться на преобладание одних показателей над другими и в меньшей степени - на абсолютные величины. В норме обычно не наблюдаются значительные расхождения между «Я» актуальным и идеальным. Умеренное расхождение может рассматриваться как необходимое условие самосовершенствования.

Неудовлетворенность собой чаще наблюдается у лиц с заниженной самооценкой (5,6,7 октанты), а также у лиц, находящихся в ситуации затянувшегося конфликта (4 октант). Преобладание одновременно 1 и 5 октанта свойственно лицам с проблемой болезненного самолюбия, авторитарности, 4 и 8 - конфликт между стремлением к признанию группой и враждебностью, т.е. проблема подавленной враждебности, 3 и 7 -борьба мотивов самоутверждения и аффилиации, 2 и 6 - проблема независимости-подчиняемости, возникающая в сложной служебной или иной ситуации, вынуждающей повиноваться вопреки внутреннему протесту.

Личности, у которых обнаруживаются доминантные, агрессивные и независимые черты поведения, значительно реже проявляют недовольство своим характером и межличностными отношениями, однако и у них может выявляться тенденция к совершенствованию своего стиля межличностного взаимодействия с окружением. При этом возрастание показателей того или иного октанта определит направление, по которому самостоятельно движется личность в целях самосовершенствования, степень осознания имеющихся проблем, наличие внутриличностных ресурсов.

Типы межличностных отношений. Авторитарный

- 16 - диктаторский, властный, деспотический характер, тип сильной личности, которая лидирует во всех видах групповой деятельности. Всех наставляет, поучает, во всем стремится полагаться на свое мнение, не умеет принимать советы других. Окружающие отмечают эту властность, но признают ее.

- 12 - доминантный, энергичный, компетентный, авторитетный лидер, успешный в делах, любит давать советы, требует к себе уважения. 0-8 - уверенный в себе человек, но не обязательно лидер, упорный и настойчивый.. Эгоистичный

- 16 - стремится быть над всеми, но одновременно в стороне от всех, самовлюбленный, расчетливый, независимый, себялюбивый. Трудности перекладывает на окружающих, сам относится к ним несколько отчужденно, хвастливый, самодовольный, заносчивый.

- 12 - эгоистические черты, ориентация на себя, склонность к соперничеству.. Агрессивный

- 16 - жесткий и враждебный по отношению к окружающим, резкий, жесткий, агрессивность может доходить до асоциального поведения.

- 12 -требовательный, прямолинейный, откровенный, строгий и резкий в оценке других, непримиримый, склонный во всем обвинять окружающих, насмешливый, ироничный, раздражительный.

- 8 - упрямый, упорный, настойчивый и энергичный.. Подозрительный

- 16 - отчужденный по отношению к враждебному и злобному миру, подозрительный, обидчивый, склонный к сомнению во всем, злопамятный, постоянно на всех жалуется, всем недоволен (шизоидный тип характера).

- 12 - критичный, необщительный, испытывает трудности в интерперсональных контактах из-за неуверенности в себе, подозрительности и боязни плохого отношения, замкнутый, скептичный, разочарованный в людях, скрытный, свой негативизм проявляет в вербальной агрессии.

- 8 - критичный по отношению ко всем социальным явлениям и окружающим людям.. Подчиняемый

- 16 - покорный, склонный к самоунижению, слабовольный, склонный уступать всем и во всем, всегда ставит себя на последнее место и осуждает себя, приписывает себе вину, пассивный, стремится найти опору в ком-либо более сильном.

- 12 -застенчивый, кроткий, легко смущается, склонен подчиняться более сильному без учета ситуации.

- 8 - скромный, робкий, уступчивый, эмоционально сдержанный, способный подчиняться, не имеет собственного мнения, послушно и честно выполняет свои обязанности.. Зависимый

- 16 - резко неуверенный в себе, имеет навязчивые страхи, опасения, тревожится по любому поводу, поэтому зависим от других, от чужого мнения. 9-12 - послушный, боязливый, беспомощный, не умеет проявить сопротивление, искренне считает, что другие всегда правы.

- 8 - конформный, мягкий, ожидает помощи и советов, доверчивый, склонный к восхищению окружающими, вежливый.. Дружелюбный

- 16 - дружелюбный и любезный со всеми, ориентирован на принятие и социальное одобрение, стремится удовлетворить требования всех, «быть хорошим» для всех без учета ситуации, стремится к целям микрогрупп имеет развитые механизмы вытеснения и подавления, эмоционально лабильный (истероидный тип характера).

- 8 - склонный к сотрудничеству, кооперации, гибкий и компромиссный при решении проблем и в конфликтных ситуациях, стремится быть в согласии с мнением окружающих, сознательно конформный, следует условностям, правилам и принципам «хорошего тона» в отношениях с людьми, инициативный энтузиаст в достижении целей группы, стремится помогать, чувствовать себя в центре внимания, заслужить признание и любовь, общительный, проявляет теплоту и дружелюбие в отношениях.. Альтруистический

- 16 - гиперответственный, всегда приносит в жертву свои интересы, стремится помочь и сострадать всем, навязчивый в своей помощи и слишком активный по отношению к окружающим, принимает на себя ответственность за других (может быть только внешняя «маска», скрывающая личность противоположного типа).

- 8 - ответственный по отношению к людям, деликатный, мягкий, добрый, эмоциональное отношение к людям проявляет в сострадании, симпатии, заботе, ласке, умеет подбодрить и успокоить окружающих, бескорыстный и отзывчивый.

Первые четыре типа межличностных отношений -1, 2, 3 и 4 - характеризуются преобладанием неконформных тенденций и склонностью к дезъюктивным (конфликтным) проявлениям (3, 4), большей независимостью мнения, упорством в отстаивании собственной точки зрения, тенденцией к лидерству и доминированию (1, 2).

Другие четыре октанта - 5, 6, 7, 8 - представляют противоположную картину: преобладание конформных установок, конгруэнтность в контактах с окружающими (7, 8), неуверенность в себе, податливость мнению окружающих, склонность к компромиссам (5, 6)

Приложение 2

Самооценка уровня притязаний по методике Шварцландера

Ф.И.О._____________________________________

Возраст____________________________________

Класс______________________________________

Дата проведения_____________________________

Инструкция

. Подумайте, сколько «плюсиков» вы сможете нарисовать за 10 секунд, и это число предполагаемых «плюсиков» укажите в бланке; поставьте цифру рядом с УП (уровень притязаний). Затем по сигналу экспериментатора «Пуск» начинайте рисовать «плюсики» в каждом квадратике бланка, а по сигналу «Стоп» - прекратите рисовать. Подсчитайте число реально нарисованных вами «плюсиков» и укажите в бланке рядом с УД (уровень достижений).

. Учитывая ваш предыдущий опыт и диапазон ваших возможностей (можете ли вы больше, быстрее нарисовать «плюсики»), укажите в бланке ваш уровень притязаний и затем по сигналам экспериментатора «Пуск» и «Стоп» повторите опыт, подсчитайте и запишите в бланк ваш уровень достижений. Выполнить 4 серии опыта.

Обработка данных 1. Вычислите ваш уровень притязаний по формуле:


где УП (2) - уровень притязаний из бланка 2; УД (1) - уровень достижений из бланка 1 и т. д. в соответствии с указанными в скобках номерами бланков.

. Полученные значения уровня притязаний сравните с психодиагностической шкалой.

Уровень притязаний (УП) равен 5 и выше - нереалистично высокий;

УП = 3 -/- 4,99 - высокий; УП = 1 -/- 2,99 - умеренный; УП = -1,49 -/- 0,99 - низкий, УП = -1,50 и ниже - нереалистично низкий.

 

Регистрационный бланк

УП

х

х

х

УД

х

х

х


Приложение 3

 
Таблица 2
Статистическая обработка данных по результатам исследования межличностных отношений

Группа подростков 13-14 лет

Группа подростков 11-12 лет

Уровень агрессивности

Уровень агрессивности

испытуемые

уровень

d i

δ1

испытуемые

уровень

d i

δ2

1

45

6,05

1,387

1

44

12

2.752

2

51

12.05

2,764

2

36

4

0.917

3

21

-17.95

5,983

3

45

13

2.982

4

32

-6.95

2,316

4

36

4

0.917

5

35

-3.95

0,906

5

42

10

2.294

6

44

5.05

1,158

6

21

-11

2.523

7

45

6,05

1,387

7

32

0

0

38

-0,95

0,217

8

35

3

0.688

9

44

5.05

1,158

9

35

3

0.688

10

40

1.05

0,24

10

37

5

1.147

11

49

10.05

2,305

11

45

13

2.982

12

38

-0,95

0,217

12

38

6

1.376

13

44

5.05

1,158

13

40

8

1.835

14

30

-8.95

2,053

14

39

7

1.605

15

35

-3.95

0,906

15

46

28

6.423

16

37

-1.95

0,447

16

36

4

0.917

17

49

10.05

2,305

17

38

6

1.376

18

36

-2.95

0,676

18

30

-2

0.458

19

42

3.05

0,699

19

9

-23

5.276

20

24

-14.95

3,429

20

10

-22

5.047

М

38.95


1.58555


32.0


2.11015

=10,043; h=20; p<0,05 достоверно;

Таблица 3

Статистический анализ обработки результатов уровня агрессивности подростков

выборка

М ср.

δ1

t кр.

р

группа 1

38.95

1.58555

10.043

0.05

группа 2

32.00

2.11015




Таблица 4
Статистическая обработка результатов исследования межличностных отношений

Группа подростков 13-14 лет

Группа подростков 11-12 лет

Доминирование

Доминирование

испытуемые

уровень

δ1

испытуемые

уровень

δ2

1

15,7

1,638

1

5,9

1,085

2

13,9

1,225

2

4,7

0,809

3

6,8

0,403

3

0,7

0,107

4

12,7

0,949

4

0

0,268

5

14

1,248

5

8,1

1,589

6

-0,1

1, 986

6

0

0,268

7

0,9

1,757

7

-1,7

0,658

8

0

1,963

8

-1,7

0,658

9

-0,3

2,032

9

-15,4

3,801

10

12,7

1,098

10

-5,1

1,438

11

7,5

0,243

11

-3,4

1,048

12

10,9

0,536

12

5,4

0,970

13

9,9

0,307

13

13,5

2,828

14

11,5

0,776

14

8,6

1704

15

9,2

0,146

15

2,7

0,351

16

10,9

0,536

16

3,5

0,534

17

10,9

0,536

17

-5,1

1,438

18

13,3

1, 087

18

5,1

0,902

19

10,9

0,536

19

2,7

0,351

20

-0,1

1,986

20

-5,1

1,438

M ср

8,56

17,915

М

1,71

1724,5


Группа подростков 13-14 лет

Группа подростков 11-12 лет

Дружелюбие

Дружелюбие

испытуемые

уровень

δ1

испытуемые

уровень

δ2

1

-7,5

2,161

1

2,6

0,571

2

-13

3,422

2

1,7

0,777

3

-2,1

0,922

3

1,7

0,777

4

-0,17

0,479

4

11,1

1,516

5

-4

1,358

5

7,8

0,621

6

4,2

0,523

6

1,7

0,777

7

12,3

2,381

7

1,8

0,754

8

8,2

0,752

8

0,9

0,961

9

4,2

0,523

9

4,3

0,181

10

-5,7

1,755

10

10,8

1,144

11

-15,5

3, 996

11

9,4

0,991

12

-8,1

2,298

12

1,4

0,846

13

-5,7

1,748

13

-0,9

1,374

14

-0,9

14

0,7

1,007

15

-0,4

9,348

15

7,4

0,846

16

-0,9

0,646

16

7,8

0,621

17

-6,1

0,958

17

10,8

1,309

18

-1,5

0,096

18

2,6

0,571

19

-,3,7

1,289

19

7,4

0,846

20

4,2

0,523

20

10,8

1,309

M ср

-1,92

31,828

М

5,09

17,799


Таблица 5

Статистические различия по уровню доминантности в группах

выборка

М ср.

δ1

t кр.

р

группа 1

8,56

17,915

6,610

0.05

группа 2

1,17

1724,5




Таблица 6

Статистические различия по уровню дружелюбия в группах

выборка

М ср.

δ1

t кр.

р

группа 1

1,92

31,828

11,881

0.05

группа 2

5,09

17.799




Таблица 7

Корреляционные связи между уровнем притязаний и параметром межличностных отношений

Параметр межличностных отношений

Уровень притязаний


низкий

средний

высокий

Дружелюбие

0,298*

0,279*

0,121

*при р≤ 0,05 r кр =0,3

Похожие работы на - Изучение конформности поведения подростков с разным уровнем притязаний

 

Не нашли материал для своей работы?
Поможем написать уникальную работу
Без плагиата!
Без нейросетей!