Экономическая теория

  • Вид работы:
    Контрольная работа
  • Предмет:
    Эктеория
  • Язык:
    Русский
    ,
    Формат файла:
    MS Word
    82,48 Кб
  • Опубликовано:
    2012-08-23
Вы можете узнать стоимость помощи в написании студенческой работы.
Помощь в написании работы, которую точно примут!

Экономическая теория

1. Имеются следующие данные по экономике США за 1929 год (в млрд долл.)

Трансфертные платежи -11

Валовые внутренние инвестиции -22

Косвенные налоги на бизнес -13

Личные подоходные налоги-15

Чистый экспорт-13

Нераспределенная прибыль корпораций-6

Амортизация -8

Личные потребительские расходы -72

Налоги на прибыль корпораций -2

Взносы на социальное страхование        -1

Государственные закупки товаров и услуг-7

а)       Рассчитайте показатели ВВП и личного располагаемого дохода.

б)      Какова величина частных сбережений? в) На какую величину вырос запас капитала в экономике?

(Задача решается в соответствии со старой трактовкой СНС и при условии, что ВВП=ВНП.)

Решение:

а) ВВП=ВНП = Потребительские расходы + Валовые инвестиции + Государственные закупки (расходы) + Чистый экспорт.

ВВП = 72+22+7+13=114.

Личный располагаемый доход = ВВП - Нераспределенная прибыль корпораций - Налог на прибыль корпораций - Взносы на соцстрахование - Амортизация - Косвенный налог на бизнес + Трансфертные платежи - Личные подоходные налоги = 114-6-2-1-8-13+11-15 = 80.

б) Величина частных сбережений = Личный располагаемый доход -Личные потребительские расходы = 80-72 = 8.

в) Рост капитала = Валовые внутренние инвестиции-Амортизация =

-8 = 14.

2. Экономика описана следующими показателями

· потребительские расходы (С)=2500;

· инвестиции (I)=700;

· государственные расходы (G)=500;

· государственные трансферты (TR)= 200;

· выплаты процентов по государственному долгу (N)=300;

· налоги (Т)=700.

Предполагается, что ВВП = ВНД. 

Рассчитайте:

а) частные сбережения;

б) государственные сбережения;

в) стоимость государственных облигаций и дополнительного количества денег, выпущенных для покрытия дефицита госбюджета, если известно, что дефицит на 80% финансируется выпуском облигаций.

Решение:

а) Частные сбережения рассчитываются по формуле:

р = (У+TR+N)-G-C;

Облигации - ( Ј част. долга),- выплаты по государственному долгу,

У = С+I+G = 2500+900+600=4000;р = (4000+200+300) - 500 - 2500 = 1800;

б) Государственные сбережения находятся по формуле:

= (T-TR-N)-G;= (700 - 200 - 300) - 500 = -300, бюджетный дефицит.

в) Стоимость гос.облигаций = N х % ставку =

х 80% = 240,

Дополнительное количество денег выпущенных для покрытия госбюджета = 300-240 = 60.

3. Экономика описана следующими данными

Y=C + I;С= F(Y);

Определите равновесный уровень дохода, равновесный уровень сбережений и потребления.

Если уровень выпуска будет равен 800, то каков будет незапланированный прирост запасов продукции?

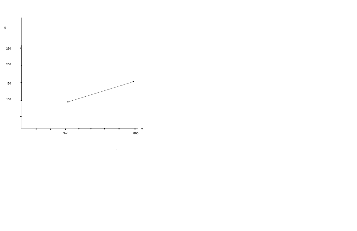
Если автономные инвестиции возрастут до 100, то, как изменится равновесный выпуск? Каково значение мультипликатора автономных расходов? Покажите изменение уровня равновесия графически.

Решение:

В соответствии с нашим вариантом 11

Y = 90+0,7Y +150,

Если известно, что экономика описана следующими данными, то необходимо в первую очередь выяснить значения этой экономической функции:- уровень дохода; С - потребление; I - инвестиции;

С = С + МРС • Y - формула выражающая потребление,

где С - некая постоянная, зависящая от других факторов, кроме дохода (процентная ставка, инфляционные ожидания и т.п.) в нашем случае = 90;

МРС - предельная склонность к потреблению, величина предельной склонности к потреблению (МРС) находится в пределах от 0 до 1, т.е.

< МРС < 1,

в нашей задаче МРС = 0,7:

МРS - предельная склонность к сбережению, понимают ту часть дополнительного дохода, который идет на сбережения (инвестиции) содержащуюся в каждой дополнительно заработанной денежной единице, МРС + МРS = 1.

Таким образом, при известной одной части равенства можно определить и другую путем вычитания известной части из единицы:

МРS = 1 - МРС,

в данном случае:

МРS = 1 - 0,7 = 0,3.

Итак, основным фактором, определяющим величину потребления и сбережений (инвестиций), является уровень дохода, но так как величина потребления и сбережения нам известны, то находим уровень дохода:

Y = 90 + I / MPS;= 90 + 150 / 0,3 = 800.

Определяем, чему будет равен равновесный уровень сбережений и потреблений по описанным экономическим данным:

= 90 + 0,7 Y + 150;= 90 + 0,7 • 800 + 150 = 800.

В нашем случае автономные инвестиции при значении 100 не увеличатся, а уменьшаются т.к. у нас изначально даны инвестиции 150, таким образом:

= 90 + 0,7 Y + 100;= 90 + 0,7 • 800 + 100 = 750,

снижаются на 50.

доход сбережение расход облигация

С = 0,6 Y.

Общее увеличение дохода составит:

+ 60 + 36 + 21,6 +...= 100 (1 + 0,6 + 0,62 + 0,63 + ...) = 100(1/(1-0,6))= 100/0,4 = 250

Если общее увеличение дохода составит 250, а автономные инвестиции уменьшаются на 50, то мультипликатор инвестиций равен:

/ -50 = -5.


4. Экономика описана следующими данными

Y=C + I + G + NE; C = 320 +0,2Y; I = 100+0,2Y; NE = 150-0,04Y; G = 300.

Рассчитайте равновесный уровень дохода, величину мультипликатора автономных расходов.

Решение:

Y = 320+0,2Y+100+0,2Y+300+150-0,04Y;

Y=870+0,36Y;

Y-0,36Y = 870;

,64Y = 870; Y = 1360.

Равновесный уровень дохода = 1360. Для расчёта величины мультипликатора автономных расходов необходимо найти суммарные автономные расходы. Суммарные автономные расходы = автономное потребление (320) + автономные инвестиции (100) + госрасходы (300) + автономный чистый экспорт (150) = 870. Мультипликатор автономных расходов = 1360/870 = 1,5. 5. Если реальный ВВП увеличится в 1,5 раза, а денежная масса возрастет на 20 %, то как изменится уровень цен при стабильной скорости обращения денег?

Решение:

М/Р = Y/V,

(1+ΔM%)/(1+ΔP%)=(1+ΔY%)/(1+ΔV%),

подставим наши значения в формулу, рассчитав сразу 20% рост массы = 1,2: 1.2/(1+ΔP%)=1.5/1

(1+ΔP%)=1.2/1.5=0.8

ΔP%=0.8-1= -0.2 = -20%.

Уровень цен снизится на 20%.

6. Спрос на деньги задан следующим уравнением


где R - ставка процента;- реальный ВВП.

Если реальный объем выпуска увеличится на 600 000, то как изменится кривая спроса на деньги?

=0,85Y-8R

Если реальный объем выпуска увеличится на 600 000, то как изменится кривая спроса на деньги?

Решение:

Кривая спроса суммарно для всех потребителей является результирующей кривых спроса для каждого потребителя в отдельности, в нашем случае кривая спроса имеет следующий вид:


то есть кривая спроса на деньги не изменится, будет движение по кривой спроса на деньги.

7. Центральный Банк покупает государственные облигации у коммерческих банков на сумму 200 млн.руб

Как может измениться предложение денег, если коммерческие банки полностью используют свои кредитные возможности, при условии, что норма резервирования депозитов составляет 10%?

Решение:

От продажи ценных бумаг коммерческие банки получили на свои счета 200 млн. руб. В связи с тем, что эти средства являются собственностью коммерческих банков, последние из этой суммы не осуществляют отчисления в Центробанк в качестве обязательных банковских резервов. Коммерческие банки пускают эти 200 млн. ден. ед. в оборот (Д), в результате чего происходит увеличение предложения банковских денег на величину денежного мультипликатора (МД), который, как известно, является обратной величиной от нормы обязательных банковских резервов (RБ).

В нашей задаче: Rб=10% или 1/10, следовательно,

Мд=1/Rб=1/(1/10)=10.

Поэтому банковская система предложит денежную массу (Мд) в количестве:

Мд=МдЧД, или Мд=10Ч200=2000 млн. руб. = 2 млрд.руб.

ЦБ покупая облигации увеличивает предложение денег, т.е. проводит политику дешевых денег.

8. Численность населения составляет 150 млн. чел.

млн. чел. -дети до 16 лет, а также люди, находящиеся в длительной изоляции (в психиатрических больницах, в исправительных учреждениях и т.д.); 20 млн. чел. выбыли из состава рабочей силы; 4 млн. чел. - безработные; 1 млн. чел. - работники, занятые неполный рабочий день и ищущие работу.

Используя эти статистические данные, рассчитайте величину рабочей силы и уровень безработицы.

Решение:

Величина рабочей информации, находится по следующей формуле:

Рабочая сила = Экономически активное население = Занятые +Безработные.

К занятым относятся лица обоего пола в возрасте от 16 лет и старше, а также лица младших возрастов, которые в рассматриваемый период:

выполняли работу по найму за вознаграждение, деньги или с ними расплачивались в натуральной форме, а также иную работу, приносящую доход, самостоятельно или с компаньонами, как с привлечением, так и без привлечения наемных работников независимо от сроков получения непосредственной оплаты или дохода за свою деятельность;

временно отсутствовали на работе по причине: болезни или травмы; выходных дней; ежегодного отпуска; различного рода отпусков как с сохранением содержания, так и без сохранения содержания, отгулов; отпуска по инициативе администрации; забастовки и других причин;

выполняли работу без оплаты на семейном предприятии.

К безработным относятся лица от 16 лет и старше, которые в течении рассматриваемого периода:

не имели работы (либо занятия, приносящего доход);

искали работу;

готовы были приступить к работе

Рабочая сила = 100 + 4 +1 = 105 млн. чел.

Уровень безработицы = Число безработных / Величина рабочей силы х 100%.

Уровень безработицы = 4 / 105 Х 100% = 3,8%.

9. Правительство страны принимает решение о введении тарифа на импорт сахара в размере 0,02 $ за 1 кг сахара

Мировая цена на сахар равна 0,1 $ за 1 кг. Объем внутреннего производства сахара при свободной торговле составляет 6 млрд. кг в год, а при наличии тарифа на импорт - 10 млрд. кг в год. Объем внутреннего потребления сахара при свободной торговле составляет 22 млрд. кг в год, а при тарифе на импорт - 18 млрд. кг в год. Объем импорта сахара в данную страну при свободной торговле составляет 16 млрд. кг в год, а при наличии тарифа на импорт -10 млрд. кг в год.

Каковы потери потребителей данной страны от введения тарифа на импорт сахара? Каков выигрыш отечественных производителей от этой меры? Каково увеличение доходов государственного бюджета от введения тарифа на импорт сахара? Чему равны чистые потери национального благосостояния страны от ограничения импорта?

Решение:

Для решения задачи введем сначала обозначения: Out1=6 млрд. кг в год - объем производства при свободной торговле (отсутствуют ввозные пошлины на импортируемый сахар) Out2=10 млрд. кг в год - объем производства при таможенном сборе (протекционизм) Cоnsоm = out + imp - exp (внутреннее потребление сахара) Cоnsоm1=22 млрд. кг в год, Cоnsоm1=18 млрд. кг в год (импорт сахара) Imp1=16 млрд. кг в год, Imp2=10 млрд. кг в год Cоnsоm1=out1+imp1-exp1=6+16=22, т.е. страна ничего не отправляет на экспорт (импорт- единственный вариант обеспечить внутренний рынок) Cоnsоm2=out2+imp2-exp2=10+10-exp2=18, следовательно exp2=2 млрд кг. (присутствует политика стимулирования вывоза продукции из страны) Потери потребителей, составили 4 млрд. кг. сахара (точнее внутреннее потребление сократилось на 4 млрд. кг. сахара., из которых 2 млрд. кг. сахара приходится на экспорт). Этот вариант внешнеторговой политики можно рассматривать как вариант формирования необходимых ресурсов у предприятий отрасли для обновления своих основных производственных фондов/технологий производства для удешевления его себестоимости. Выигрыш производителей от этой меры связан с ростом объемов его производства с 6 до 10 млрд. кг. сахара, т.е. на 4 млрд. кг. сахара (Out2-Out1), 50% из которых направляются на экспорт (2 млрд. кг.). Фактически в стоимостном эквиваленте выигрыш равен P1*2+P2*2 (P1-внутренняя цена на сахар, P2-цена на мировом рынке=0,1 $ за кг) или Дополнительный Доход производителей = P1*2+P2*2= P1*2+0,1*2= P1*2+(0,2 млрд. $) Объем сбора таможенных пошлин в бюджет=Imp2*Taxe2 (Taxe2 - налог на ввозимый сахар) Taxe2=0,02 $ за 1 кг сахара Объем сбора таможенных пошлин в бюджет=10*0,02=0,2 млрд.$ Таким образом, доп. поступления в бюджет от введения импортных пошлин составили 0,2 млрд.$ чистое увеличение доходов. Чистые потери национального благосостояния страны от ограничения импорта определяется как разница в объеме внутреннего потребления после введения импортных пошли и до этого, т.е. Cоnsоm2-Cоnsоm1 = -4 млрд кг Таким образом., потери национального благосостояния составили 4 млрд кг

10. Естественный уровень безработицы в текущем году составляет 2%, а фактический - 8%

Определите величину относительного отставания фактического ВВП от потенциального при условии, что коэффициент чувствительности ВВП к динамике циклической безработицы равен 1.

Если фактический объем выпуска в том же году составил 600 млрд. долл., то каковы потери ВВП, вызванные циклической безработицей?

Решение:

Подставим данные в формулу:

ΔY=-8%-2% = -6% = (Y-600)/Y = -0.06

.94Y=600;

Решим уравнение:

=600/0.94 = 638.3

ΔY≈600-638.3 = -38.3 млрд.долларов.

Потери ВВП составят 38.3 млрд.долларов.


Не нашли материал для своей работы?
Поможем написать уникальную работу
Без плагиата!
Без нейросетей!