Проект берегового нижнего склада с годовым грузооборотом 160 тыс. м3
СОДЕРЖАНИЕ
Введение
1.
Обоснование структурной схемы нижнего склада, расчёт объёма работ, выхода
готовой продукции и отходов
1.1 Расчёт
состава технологических операций и структурной схемы нижнего склада
1.2 Расчёт
объёма работ выхода готовой продукции, полуфабрикатов и отходов
.2.1 Участок
первичной обработки
.
Проектирование поточной линии для первичной обработки древесины
.1
Обоснование типа и состава технологического оборудования, машин и механизмов
.2 Расчёт
сменной производительности и потребного количества оборудования и машин
.
Проектирование генерального плана нижнего склада
.1
Проектирование транспортно-переместительных и вспомогательных работ
.1.1
Обоснование состава работ и выбор типа применяемых машин
.1.2 Расчет
запасов лесоматериалов, выбор типа штабелей и расчет площади
.2
Обоснование типа оборудования, машин и механизмов
.3 Расчёт
сменной производительности и потребного количества оборудования и машин
.4 Расчет
потребного количества рабочих на транспортно-переместительные и вспомогательные
операции
.5
Мероприятия по охране труда, окружающей среде и противопожарной безопасности
Расчёт
годовой потребности быстроизнашиваемых материалов, инструментов, ГСМ и
электроэнергии
. Основные
технико-экономические показатели
Заключение
Список
используемой литературы
ВВЕДЕНИЕ
Лесозаготовительное производство испытывает всё большее воздействие
смежных отраслей промышленности, транспорта и сельского хозяйства.
Лесозаготовительный процесс должен быть построен на принципах
рационального использования и безотходной технологии. Это оказывает влияние на
производственный процесс нижних складов.
Несмотря на внедрение новой техники, производительность труда на нижних
складах растёт медленно. Главной чертой лесных складов является сложная
разветвлённая структура производства. Это не только складские операции -
разгрузка, штабелёвка, погрузка, но и технологические-производство круглых и
колотых лесоматериалов, технологической и топливной щепы, пиломатериалов,
предметов народного потребления, причём трудоёмкость технологических операций
превышает трудоёмкость складских операций.
Эффективность производства зависит не только от техники, но и от
технологии и организации работ. Часто техника на лесных складах загружена по
времени смены менее чем на 60%. Основная доля простоя приходится на
технологические и организационные причины: отсутствие сырья, переполнение
накопителей, простои смежных машин и т.д.
Неправильно построенный процесс, недостаточно обоснованные способы
компоновки и размещения оборудования и цехов приводят к ряду отрицательных
последствий (низкая производительность труда, снижение качества лесопродукции,
простои техники и т.д.), что ведёт к увеличению себестоимости лесопродукции.
Снижение себестоимости лесопродукции, повышение её качества и
производительности труда позволят снизить производственные затраты, повысить
производительность труда и уровень механизации, облегчить подбор и подготовку
кадров и обеспечить необходимые условия для создания безотходной технологии.
Объём производства и состав работ, выполненных предприятием, зависят от
типа предприятия, назначения, способа доставки и отправки леса и ряда других
факторов.
ЗАДАНИЕ НА ПРОЕКТИРОВАНИЕ
1.Тип нижнего склада - береговой
2.Тип лесовозной дороги - УЖД
3.Рейсовая нагрузка на автопоезд, м3 - 30
4.Вид сырья, поступающего на нижний склад - хл
5.Породный состав сырья или сортиментов - 3Л3П3Е1Б
6.Средний объём хлыста, м3 - 0,63
7.Средняя длина хлыста, м - 24
8.Годовой грузооборот склада по прибытию, тыс.м3 - 160
9.Выход сортиментов при раскряжёвке, %:
- пиловочник, 5…6,5м - 25
шпальный кряж, 5,5м - 15
строительные брёвна, 4,5…5,5м - 10
- балансы, 5…6м - 10
рудстойка, 4…6,5м - 15
- лиственные деловые кряжи (фанерные, лыжные,
спичечные), 3,5…5,0м 5
низкокачественные сортименты, перерабатываемые на месте, всего, в том
числе: - 20
-на колотые балансы
на тарные пиломаматериалы
на тех. щепу
на колотые дрова
10.Тип цеха, разрабатываемого в проекте - лесопильно-тарный
. Готовая продукция, оставляемая на собственные нужды, тыс.м3
- пиломатериалы - -
- строительные брёвна - 0,9
. Режим работы нижнего склада:
- число рабочих дней в году, всего в том числе: - 285
- в межнавигационный период - 175
- число дней на отгрузке готовой продукции - 110
- число смен работы в сутки - 2
число подач вагонов в сутки и на отгрузку- -
. Объем сплавного пучка, м3 8
14. Электроснабжение - централизованное
. Установленная мощность прочих потребителей электро-энергии (РММ,
гаражи, посёлок и др.) (силовая, кВт/осветительная, кВт):
- в первую смену - 60/5
- во вторую смену - 55/45
- в третью смену - 0/5
16. Режим вывозки - 200
склад древесина
поточный обработка
1. ОБОСНОВАНИЕ СТРУКТУРНОЙ СХЕМЫ НИЖНЕГО СКЛАДА, РАСЧЁТ ВЫХОДА ГОТОВОЙ
ПРОДУКЦИИ И ОТХОДОВ
1.1. Обоснование структурной схемы технологического процесса
В соответствии с заданием на проектирование, вывозка древесины из
лесосеки осуществляется хлыстами на железнодорожном транспорте по узкоколейной
железной дороге примыкающей к береговому нижнему складу.
Основная часть, выпиливаемых сортиментов, занимает пиловочник - 40 т.м3.
Остальные:
шпальный кряж 24т.м3
- брёвна строительные 16т.м3
балансы 16т.м3
- рудстойка 24т.м3
лиственные деловые кряжи 8т.м3
низкокачественные сортименты 32т.м3
В межнавигационный период (осень, зима) лесоматериалы, отгружаемые в
круглом виде сплачивают в пучки и укладывают их в штабеля вдоль пирсовой
стенки, так как объём сплавного пучка 8 м3.
Затем в дальнейшую переработку поступает пиловочник в лесопильно-тарный
цех, где сортименты распускаются на пиломатериалы и далее по производству
деловой горбыль является сырьем для тарной дощечки.
Так как по заданию заложен принцип без отходного производства то дровяной
горбыль, срезки торцов и кусковые отходы отправляются в рубительную машину для
последующего измельчения и получения технологической щепы.
Низкокачественные сортименты также поступают в дальнейшую переработку, в
цех переработки низкокачественной древесины, для переработки на технологическую
щепу и древесную стружку. При производстве щепы выходом готовой продукции
является: щепа для энергохимии, которая также отгружается потребителю, а
топливная щепа остаётся на собственные нужды.
Также на собственные нужды остаётся часть строительных брёвен (0,9 т. м3).
Лесоматериалы от перерабатывающих цехов складируют в штабеля или крытые
помещения на складе готовой продукции с последующей отгрузкой их в
навигационный период.
С учётом изложенного структурная схема технологического процесса имеет
вид представленный на рис. 1.1.
Рис. 1.1.-Структурная схема технологического процесса берегового нижнего
склада
1.2 Расчёт объёма работ, выхода готовой продукции, полуфабрикатов и
отходов
Исходя из принятого для проектирования грузооборота берегового нижнего
склада, процентного выхода отдельных сортиментов, вида производимой на складе
первичной обработки и переработки лесоматериалов, а также режима работы склада
определяют объёмы работ и выхода готовой продукции по отдельным участкам и
цехам переработки.
На береговом нижнем складе поступление деревьев круглогодовое, а отгрузка
сезонная, поэтому режим работы берегового нижнего склада в определённые времена
года различен.
В межнавигационный период лесоматериалы отгружаемые с берегового нижнего
склада в неразделанном виде (строительные брёвна, шпальный кряж, пиловочник,
балансовое долготьё) сплачиваются в пучки подаваемые на плотбище или
укладываются в штабеля вдоль пирсовой стенки.
Лесоматериалы от перерабатывающих цехов укладываются на складе готовой
продукции.
В период навигации лесоматериалы, полученные при раскряжевке хлыстов и
подлежащие отгрузке в неразделанном виде, обвязываются в пучки и сразу
сбрасываются на воду. В этот же период сбрасываются на воду круглые
лесоматериалы заготовленные ранее.
Также в период навигации отгружается на суда или баржи вся готовая
продукция после перерабатывающих цехов полученная в течение всего года.
При проектировании принят следующий режим работы берегового нижнего
склада:
·
число рабочих
дней в году- 285дней;
·
число смен работы
в сутки- 2смены;
·
годовой
грузооборот- 160тыс. м3;
·
навигационный
период- 110дней.
По исходным данным рассчитываем объём работ по участку первичной
обработки, цехам переработки, участку штабелёвки и отгрузки готовой продукции.
Результаты расчётов сводим в таблицу 1.1.
1.2.1 Участок первичной обработки
А). Разгрузка лесовозного транспорта
Qг=160тыс.м3.
Б). Раскряжёвка хлыстов 100% от Qг =160т.м3;.
В). Сортировка 100% от Qрас
·
пиловочник 25% от
Qрас;
·
строительные
брёвна 10% от Qрас;
·
шпальный кряж 15% от Qрас;
·
рудничная стойка 15% от Qрас;
·
лиственные деловые
кряжи 5% от Qрас;
·
низкокачественные
сортименты, перерабатываемые на месте 20% от Qрас.
Г) Штабелёвка готовой продукции 160т.м3
Д) Погрузка готовой продукции
Суточный объём работ:
Qсут= Qг/Tг (1.1)
где Тг- количество дней работы в году (Тг=285 дней)
Qсут=160/285=0,561т.м3
Сменный объём работ:
Qсм= Qсут/Ксм (1.2)
где Ксм- количество смен в сутки (Ксм=2)
Qсм=0,561/2=0,280 т.м3
Выход готовой продукции:
-пиловочник 40т.м3
-строительные бревна 16т.м3
-шпальный кряж 24т.м3
-балансы 16т.м3
-руд.стойка 24т. м3
-лиственные деловые кряжи 8т.м3
-низкокачественные сортименты 32т. м3
Итого: 160т.м3
1.2.2 Цех лесопиления
Объём лесопиления или переработки кряжей по сырью 40т.м3.
Выход готовой продукции:
·
пиломатериалы
23,6т.м3
·
деловой горбыль
1,6т.м3;
·
дровяной горбыль
и рейки 6,4т.м3;
·
срезки торцов
0,8т.м3;
·
опилки 5,2т.м3;
·
усушка и распыл
2,4т.м3
итог: 40т.м3
- сверх балансовые отходы: кора 3,2т.м3;
Суточный объем лесопиления по сырью:
Qсут= Qг.л./Tг
(1.3)
Qсут= 40/285=0,140т.м3
Сменный объём лесопиления по сырью:
Qсм= Qсут.л./Ксм (1.4)
Qсм= 0,140/2=0,07т.м3
.2.3 Производство тарной дощечки из делового горбыля
Объём переработки делового горбыля 1,6т.м3.
Выход готовой продукции:
тарная дощечка 0,656т.м3
-кусковые отходы 0,56т.м3
отходы: опилки 0,304т.м3
Итого: 1,6т.м3
-сверх балансовые расходы: кора 0,128т.м3
Суточный объём таропиления по сырью:
Qсут= Qг.т./Tг
(1.3)
Qсут= 1,6/285=0,005т.м3
Сменный объём таропиления по сырью:
Qсм= Qсут.т/Ксм (1.4)
Qсм= 0,005/2=0,025т.м3
.2.4 Переработка низкокачественной древесины
а) Годовой объём переработки низкокачественной древесины 32т.м3
Поперечная распиловка и частичный раскол:
чураки (99%) 31,68т.м3
опилки (1%) 0,32т.м3
Итого: 32т.м3
б) Выход продукции:
древесная стружка (70% от 31,68) 22,17т.м3
- кусковые отходы (25% от 31,68) 7,92т.м3
- мусор (5% от 31,68) 1,58т.м3
кора (8*% от 31,68) 2,53т.м3
технологическая щепа для энергохимии (90% от 7,92) 7,12т.м3
- топливная щепа (8% от 7,92) 0,63т.м3
- мусор (2% от 7,92) 0,15т.м3
кора (6*% от 7,92) 0,47т.м3
.2.5 Производство технологической щепы
Из отходов от лесопиления и таропиления (дровяной горбыль и рейки, срезки
торцов, кусковые отходы):
Объём кусковых отходов 7,76т.м3
Выход готовой продукции:
технологическая щепа 6,67т.м3
топливная щепа 1,08т.м3
Итого: 7,76т.м3
сверх балансовые отходы: кора 3,32т.м3
Таблица 1.2 - Суточный и сменный объем работ на нижнем складе
|
Наименование операций
|
Число рабочих дней в году
|
Объём работ
|
Число смен работы в сутки,
см
|
Сменный объём работ, м3
|
|
|
В году, тыс. м3
|
В сутки, м3
|
|
|
|
1
|
2
|
3
|
4
|
5
|
6
|
|
А. Участок первичной
обработки
|
|
1.Выгрузка и штабелевка
хлыстов в запас
|
285
|
240
|
842
|
2
|
421
|
|
2.Раскряжевка
|
285
|
160
|
561
|
2
|
280,5
|
|
3.Сортировка -пиловочник
-строительные бревна -шпальный кряж -балансы -рудстойка -лиственные деловые
кряжи -низкокачествен. Кряжи
|
285
|
160
|
561
|
2
|
280,5
|
|
285
|
40
|
140
|
2
|
70
|
|
285
|
16
|
56
|
2
|
28
|
|
285
|
24
|
84
|
2
|
42
|
|
285
|
16
|
56
|
2
|
28
|
|
285
|
24
|
84
|
2
|
42
|
|
285
|
8
|
28
|
2
|
14
|
|
285
|
32
|
112
|
2
|
56
|
|
4. Формирование пучков и
укладка на берегу сортиментов
|
285
|
87,1
|
305
|
2
|
152,5
|
|
5.Штабелёвка в
межнавигационный период на берегу: - пиломатериалы - тарная дощечка - тех.
щепа - древ. стружка
|
285
|
14,49
|
50
|
2
|
25
|
|
285
|
0,40
|
1,4
|
2
|
0,7
|
|
285
|
8,46
|
29,6
|
2
|
14,8
|
|
285
|
13,6
|
47,7
|
2
|
23,8
|
|
Б.Транспортно-переместительные
работы
|
|
6.Сплотка, транспортировка
и сброска в воду в навигац. период
|
110
|
24,2
|
220
|
2
|
110
|
|
7.Транспортировка
пиломатериалов и тарной дощечки к фронту отгрузки
|
285
|
24,2
|
85,1
|
2
|
42,5
|
|
8.Транспортировка тех.щепы
и древ. стружки
|
285
|
35,9
|
125,9
|
2
|
62,9
|
2. ПРОЕКТИРОВАНИЕ ПОТОЧНОЙ ЛИНИИ ДЛЯ ПЕРВИЧНОЙ ОБРАБОТКИ ДРЕВЕСИНЫ
2.1 Обоснование типов оборудования машин и механизмов
Для обоснования наиболее эффективной технологии нижнего склада,
проектирование состава оборудования осуществляется в 2-ух вариантах.
Исходными данными для обоснования состава, типа оборудования и машин для
участка первичной обработки приняты:
Тип нижнего склада - береговой;
Грузооборот-160 т.м3.;
Вид сырья - хлысты;
Рейсовая нагрузка-30 м3;
Таксационный состав-3Л3П3Е1Б;
Средний объём хлыста-0,63 м3;
Система машин по 1 варианту:
Разгрузка - козловой кран ЛТ-62 оснащенный стропным комплектом;
Раскряжёвка - ЛО-68;
Сортировка - транспортёр ЛТ-86А;
Штабелевка, обвязка пучков и отгрузка готовой продукции - КБ-572
оснащенный грейферным захватом ВМГ-10.
Система машин по 2 варианту:
1 Консольно-козловой кран ККЛ-32 со стропным комплектом;
2 Раскряжёвка - ЛО-68;
Сортировка - транспортер Б-22У-1А+исполнитель - штабелёвщик;
Штабелевка, обвязка пучков и отгрузка готовой продукции - КБ-572
оснащенный грейферным захватом ВМГ-10.
Разгрузка лесовозного транспорта
По первому варианту на разгрузке лесовозного транспорта принят козловой
кран ЛТ-62, так как его грузоподъёмность соответствует объёму пачек хлыстов,
вывозимых лесовозным транспортом, а также его длина пролёта позволяет
разместить поперечно две раскряжёвочные установки ЛО-68.
Техническая характеристика крана ЛТ-62:
-Грузоподъёмность, т.32
Максимальная высота подъёма груза, м.11,8
-Скорость, м./мин:
-подъёма груза 13,4
1,0
передвижения тележки32,6
плавной посадки груза12,0
передвижения перегрузчика51,0
-Установленная мощность, кВт не более12,9
Режим работы, ПВ, %средний (25)
Тяговое усилие грузовой лебёдки, кН45
Управление перегрузчиком, контроль из кабины
Длина пролёта, м.40
Конструктивная масса с пролётом, т.95,6
Во втором варианте на разгрузке лесовозного транспорта был принят
консольно-козловой кран ККЛ-32. Этот кран позволяет разгрузить лесовоз за один
приём, что сокращает время разгрузки и подачи хлыстов на приёмный стол.
Техническая характеристика консольно-козлового крана ККЛ-32:
-Грузоподъёмность, т.32
Максимальная высота подъёма груза, м.14
-Скорость, м./мин:
-подъёма груза 13,2
передвижения тележки60,0
передвижения крана60,0
-Вылет консолей 12,5
Тяговое усилие грузовой лебёдки, кН45
Управление погрузкой, контроль из кабины
Длина пролёта, м.32
Конструктивная масса с пролётом, т.125,5
На раскряжёвки хлыстов в обоих вариантах принимаем ЛО-68 - установку с
пильным блоком, предназначенную для предприятий, в которых преобладают хвойные
насаждения
Техническая характеристика ЛО-68
-Наибольшая высота пропила, см110
Размеры сортимента, м 1; 1,6; 2,0; 2,4; 2,5; 3; 3,2; 3,8; 4; 4,5; 5; 5,5;
6; 7,2; 8.
Рабочий вылет стрелы, м, не более 5
Скорость резания, м/с 72
Скорость надвигания хлыстов, м/с 0,96
Количество операторов 2
Габаритные размеры, м 62
9
7,5
Масса конструктивная, кг 29000
Производительность (при Vхл=0,45м3), м3/ч
30
Сортировка сортиментов
В первом варианте для сортировки сортиментов по размерам и качеству
принимаем автоматизированный транспортёр ЛТ-86, который оснащён гравитационными
сбрасывателями и системой автоматического управления, которые позволяют
сократить рабочий труд.
Техническая характеристика транспортёра ЛТ-86А:
Диаметр перемещаемых круглых лесоматериалов, см
-Max 110;
Min 8;
Длина перемещаемых круглых лесоматериалов, м 1,6-6,5;
Расстояние между торцами брёвен, мне менее 0,19;
Тяговый орган Р2-80-290;
Расстояние между траверсами, м 0,8;
Скорость движения тягового органа, м/с 0,8;
Мощность, кВт 37;
Расчетная длина, м 130;
Масса, т16;
-Расчётная производительность при среднем объёме 0,17м3
и при средней длине бревна 4м, м3/час не менее 55.
Во втором варианте принимаем на сортировке транспортёр Б-22У-1А, который
значительно дешевле, чем в предыдущем варианте, но уже увеличивается ручной
труд на скатке.
Техническая характеристика транспортёра Б-22У-1А (1 исполн.)
-Длина транспортируемых брёвен, м 1,6-11
-Максимальный диаметр транспортируемых
брёвен в комле, см 110
-Шаг траверс, м не более 1,63
Тяговое усилие привода транспортёра, кН не менее 24
Скорость перемещения цепи, м/с 0,6
Управление дистанционное
Мощность установленного двигателя, кВт 18,5
Длина лесотранспортёра, м 120
Конструктивная масса, кг не более 4300
-Эксплуатационная производительность (при среднем
объёме бревна 0,093 м3 и средней длине 4м), м3/ч не
менее 35,4
Штабелевка и отгрузка сортиментов - КБ-572 оснащенный грейферным захватом
ВМГ-10.
Техническая характеристика КБ-572:
Вылет крюка, м
-max 30
min 4,0
-Наибольшая высота подъема крюка, м 13,5
Грузоподъёмность, т 10
Глубина опускания крюка, м 10
Скорость, м/с
-подъема груза 0,33
передвижения тележки 0,41
передвижения крана0,5
-Мощность электродвигателей, кВт
-подъема груза30
передвижения тележки1*3,5
передвижения крана 4*3,5
общая установленная мощность66,3
-Ширина колеи подкранового пути, м 6
Масса, т 53
Тип грейфера, ВМГ-10
Техническая характеристика грейфера ВМГ-10:
-Грузоподъёмность, кН 100
Площадь зева, м2 2,0
Объём захватываемой пачки, м3 4-5,5
Время полного смыкания челюстей, сек.40
Частота вращения грейфера, об./мин 0,6
Мощность электродвигателей, кВт 18,5
- Вмыкания челюстей 7
Вибратора 1,8
-Конструктивная масса, кг 2000
2.2 Расчет сменной производительности и потребного количества машин и
оборудования
Расчёт сменной производительности и
потребного количества механизмов на разгрузке:
По первому варианту кран ЛТ-62.
Сменная производительность крана ЛТ-62:
, (2.1)
где Т-продолжительность смены, 28800 сек;
tпз- подготовительно-заключительное
время, 2400 сек;
-коэф. использования рабочего времени смены, 0,8…0,85;
-коэф. учитывающий затраты времени на разворот пачки,
0,9…0,95;
-объём разгружаемой пачки;
tц- продолжительность разгрузки одной
пачки.
Объём разгружаемой пачки определяется по формуле:
, (2.2)
где Pгр- грузоподъёмность крана, 320000Н;
φ2 - коэф. использования
грузоподъёмности крана, 0,75…0,8;
- средневзвешенная плотность древесины пачки, Н/м3;
кгр - к-т, учитывающий массу грузозахватного устройства.
Принимается равным нулю для стропного комплекта.
Средневзвешенная плотность древесины пачки определяется по формуле:
, (2.3)
где ni-доля i-ой породы ;
-плотность i-ой
породы,
γл =9430 Н/м3, γп =8150 Н/м3,
γе =7750 Н/м3, γб =9430 Н/м3.
γср=
(3*9430+3*8150+3*7750+1*9430)/10=8542 Н/м3.
Qп=32*0,8/0,8542=30м3.
Для того, чтобы проверить сможет ли кран обеспечить разгрузку в один
приём, нужно провести проверку. Рейсовая нагрузка на лесовозный автомобиль (Qрейс) должна быть меньше, чем расчётный
объём пачки для крана (Qп):
(30=30)м3.
Продолжительность разгрузки одной пачки:
, (2.4)
где t1-время на захват или зацепку пачки, сек;
t2-время на укладку пачки в штабель или
на эстакаду, сек;
tр.х.- время рабочего хода крана, сек;
tх.х.- время холостого хода крана.
t1+t2=200 сек., при работе крана со стропным комплектом.
, (2.5)
где Hп, Lт.к., Lкр, Hо- соответственно высота подъема
груза, расстояние перемещения грузовой тележки и крана, высота опускания груза;
Vп, Vт.к., Vкр, Vо- соответственно скорости: подъема груза, перемещения
грузовой тележки крана, передвижения крана, скорость опускания (по технической
характеристики).
Vп=13,4м/мин=0,22м/сек; Vкр=51м/мин=0,85м/сек;
Vо=12м/мин=0,20м/сек:Vт.к.=32,6м/мин=0,54м/сек.
Высота подъёма груза:
Hп= Hmax-Hл/в (2.6)
где Hmax - максимальный подъём груза по ТХ, Нmax=11,8 м;
Нл/в- высота от земли до площадки лесовоза, Нл/в=1,5
м.
Нп=11,8-1,5=10,3 м.
Высота опускания пачки:
в штабель или на приёмный стол:
Но=Нmax-Нэ, (2.7)
где Нэ- высота эстакады, Нэ=4,3м.
Но=11,8-4,3=7,5м.
При укладки пачки в штабель:
Но=Нmax-0,5Ншт, (2.8)
где Ншт -высота штабеля, по ТХ высота штабеля может составлять
8м.
Но=11,8-0,5
8=7,8м
Принимая во внимание, что кран на штабелёвке занят на 70%, следовательно
на подачу 30%. Отсюда получаем выражение:
Но=0,7
7,8+0,3
7,5=7,71м.
Расстояние перемещение крана принимаем Lк = 50м.
Расстояние перемещения грузовой тележки:
Lт.к=Lкр/2, (2.9)
где Lкр- пролёт крана, Lкр=40м.
Lт.к=40/2=20м
tрх+tхх=
362сек.
tц = 200+362 = 562сек.
Потребное
количество кранов на разгрузке лесовозного транспорта:
, (2.10)
где Qсм- сменный объём на выгрузке, Qсм=421м3;
С - коэф. увеличения объёма работ крана за счёт штабелёвки в резервный
запас, С=1,3…1,5
nкр=(421/1197,8)*1,5=0,527шт
Принимаем на разгрузке лесовозного транспорта 1 кран.
Во втором варианте на разгрузке лесовозного транспорта был принят
консольно-козловой кран ККЛ-32, со стропкомплектом.
, (2.11)
Сменная производительность ККЛ-32.
где Т, tпз,
,
-то же, что и в формуле 2.1
Объём разгружаемой пачки определяется по формуле 2.1, где
,
- то же, что и в формуле 2.2, а
коэффициент учитывающий массу грузозахватного механизма принимаем Kгр=1, так как грузозахватное устройство
отсутствует. Грузоподъёмность крана принимаем по ТХ, Pкр=320000Н:
м3
Для
того, чтобы проверить сможет ли кран обеспечить разгрузку в один приём, нужно
провести проверку. Рейсовая нагрузка на лесовозный автомобиль (Qрейс) должна быть меньше, чем расчётный объём пачки для крана
(Qп):
(30=30)м3. Так как условие выполняется, разгрузка крана будет
осуществляться в один прием.
Продолжительность
разгрузки одной пачки:
, (2.12)
где t1-время на захват или зацепку пачки, сек;
t2-время на укладку пачки в штабель или
на эстакаду, сек;
tр.х.-время рабочего хода крана, сек;
tх.х.-время холостого хода крана.
t1+t2=200 сек , при работе со стропным комплектом.
, (2.13)
где Hп, Lт.к., Lкр, Hо - высота подъема груза, расстояние
перемещения грузовой тележки и крана, высота опускания груза;
Vп, Vт.к., Vкр, Vо- соответственно скорости: подъема груза, перемещения
грузовой тележки крана, передвижения крана, скорость опускания (по технической
характеристики).
Vп=13,2м/мин=0,22м/сек; Vкр=60м/мин=1,0м/сек; Vо=13,2м/мин=0,22м/сек:Vт.к.=60м/мин=1,0м/сек.
Высота подъёма груза:
Hп=Hmax*0,6
где Hmax-максимальный подъём груза по ТХ, Нmax=14 м;
Нп=14*0,6=8,4 м.
Расстоянием перемещения крана пренебрегаем, так как лесовозная дорога
тянется вдоль рельсового пути.
Высота опускания пачки на приёмный стол:
Но=Нmax- Нэ,
(2.14)
где Нэ - высота эстакады, Нэ=4,3м.
Но=14-4,3=9,7м.
При укладки пачки в штабель:
Но=Нmax-0,5Ншт, (2.15)
где Ншт-высота штабеля, по ТХ высота штабеля может составлять
8м.
Но=14-0,5
8=10м
Принимая во внимание, что кран на штабелёвке занят на 70%, следовательно
на подачу 30%. Отсюда получаем выражение:
Но=0,7
10+0,3
9,7=9,91м.
Расстояние перемещения крана Lк = 50м.
Расстояние перемещения грузовой тележки:
Lт.к=Lкр/2, (2.16)
где Lкр- пролёт крана, Lкр=32м.
Lт.к=32/2=16м
сек
сек
м3/смену.
Потребное
количество кранов на разгрузке лесовозного транспорта:
, (2.17)
где Qсм-сменный объём на разгрузке, Qсм=421м3;
С-коэф. увеличения объёма работ крана за счёт штабелевки в резервный
запас, С=1,3…1,5.
шт.
Принимаем
на разгрузке лесовозного транспорта 1 кран.
Расчёт сменной производительности
раскряжёвки:
В обоих вариантах раскряжёвку осуществляет установка с продольным
перемещением ЛО-68:
Сменная производительность ЛО-68:
(2.18)
где Т, tпз,
-то же, формула 2.1;
Qхл - средний объём хлыста, по заданию Qхл=0,63м3;
tц- продолжительность цикла раскряжёвки
одного хлыста,
(2.19)
где
tзаг -
время на загрузку хлыста с разгрузочной эстакады на подающий транспортёр, 4сек.
tпрод- время на продольное перемещение хлыста подающим
транспортёром, с
tприж- время на прижатие и центрирование хлыста,
несовпадающее с пилением, с
tпил - время, затрачиваемое на один пропил, с
tсб - время на сбрасывание сортимента с приёмного
механизма, с
tдоп - дополнительное время на реакцию оператора
сбрасывание систем управления, с
nс- среднее число пропилов, приходящееся на один хлыст,
4 (при Vср=0,63м3)
Время
на продольное перемещение tпрод , с
определяем
по формуле:
tпрод=
; (2.20)
где
Lхл -
средняя длина хлыста, м
lр- средняя величина разрывов между хлыстами на подающем
механизме, м
Vn-скорость продольной подачи, м/с
Принимаю:
Lхл =24м,lp =2,5м,Vn=0.96м/с
Подставляем
эти значения в формулу (2.18)получим:
tпрод=
с
Время,
затрачиваемое на один пропил, tпил ,с
определим по формуле:
tпил=
; (2.21)
где Н - ход пилы, м
Vn- скорость надвигания пилы до момента соприкосновения с хлыстом, м/с
Vх- скорость возврата пилы в исходное
положение, м/с
F-
производительность чистого пиления, м2/с
Принимаю: Н=1,09м;dср=0,89м;а=0,2м;Vn=0,7м/с;Vх=1,7м/с;F=0,05м2/с
-для дисковых пил. подставляем эти значения в формулу (2.19), получим:
tпил=
с
Для
формулы (2.19) принимаю: tзаг=4с;tпрод=22,3с;tприж=0с; tпил=13,3с;tсб=1,5с; tдоп=1,5с;nс=4.
Подставляем эти значения в формулу (2.19), получим:
tц =4+22.3+(0+13,3+1,5+1,5)*4=91,5с
Для
формулы (2.18) принимаю: Т=28800с;tпз=2400с;φ1=0,85;Qхл=0,63м3;
tц=91,5. Подставив эти значения в формулу (2.18),
получаю:
м3
Расчёт потребного количества раскряжёвочных установок определяю по
формуле:
nсут=
, (2.22)
где Qг- годовой грузооборот нижнего склада, м3
Ар - число рабочих дней в году, дн.
ксм - число смен работы в сутки, см
Псм - сменная производительность установки, м3
Принимаю Qг=160000м3;Ар=285дн.;ксм=2;Псм=154,5м3.
Подставим эти значения в формулу (2.22), получим:
nсут=
шт.
Принимаю
две установки.
На сортировке лесоматериалов принят:
В первом варианте сортировка производится лесотранспортёром ЛТ-86А.
Сменная производительность сортировочного транспортёра ЛТ-86А:
, (2.23)
где Т, tпз,
,-то же, формула ;
-коэф. заполнения упоров в транспортёре надвигания
сортиментов,
=0,8;
lср- средневзвешенная длина сортимента, lср=5,1м;
Qср- средневзвешенный объем сортимента, Qср=0,14м3;
Vтр- скорость цепи транспортёра, по ТХ Vтр=0,8м/с.
где
Qсм=280м3;
nтр=(280/398)*1=0,70шт.
Принимаем
1 транспортёр.
Во
втором варианте на сортировке применяется транспортёр Б-22У-1А.
Сменная
производительность Б-22У-1А,
где
Т, tпз,
,
,lср,Qср- известны
Vтр- скорость цепи транспортёра, по ТХ Vтр=0,6м/с.
где
Qсм=280м3;
nкр=(280/299,04)*1=0,93шт.
Принимаем
1 транспортёр.
При
использовании транспортёра Б-22У-1А, из-за отсутствия сбрасывателей, необходимо
использовать ручной труд на накатке и скатки сортиментов.
При
среднем объёме сортимента Qср=0,14м3,
норма выработки составляет:
Нвыр=93м3/чел
см на накатке;
Нвыр=56м3/чел
см на скатке.
Количество
человек на накатке:
n=
280/93=3,01чел
Принимаем
3 человека.
Количество
человек на скатке:
n= 280/56=5чел
Принимаем
5 человек.
В
обоих вариантах, при погрузке готовой продукции в баржи, применяется кран
КБ-572.
Сменная
производительность крана КБ-572:
(2.24)
Где Т - продолжительность смены, 28800 сек;
tпз
-
подготовительно-заключительное время, 2100 сек;
- коэф. использования рабочего времени смены,
0,8…0,85;
- коэф. учитывающий затраты времени на разворот пачки,
0,75;
-
объём разгружаемой пачки;
tц
-
продолжительность разгрузки одной пачки.
Объём разгружаемой пачки определяется по формуле:
(2.25)
гдеPкр - грузоподъёмность крана, 10т;
φ2 - коэф. использования грузоподъёмности крана,
0,75…0,80;
Kгр - коэф. учитывающий массу
грузозахватного механизма, 0,2…0,25;
γср - средневзвешенная плотность
древесины пачки, Н/м3 ,8542Н/м3
м3.
, (2.26)
Где t1-время на захват или зацепку пачки, сек;
t2-время на укладку пачки на баржу,
сек;
tр.х. - время рабочего хода крана, сек;
tх.х .- время холостого хода
крана.
t1+t2=100сек , при грейферном захвате.
, (2.27)
где Hп, Lт.к., Lкр, Hо- высота подъема груза, расстояние
перемещения грузовой тележки и крана, высота опускания груза;
Vп, Vт.к., Vкр, Vо- соответственно скорости: подъема груза, перемещения
грузовой тележки крана, передвижения крана, скорость опускания (по технической
характеристики).
Vп=0,33м/сек; Vо=0,33м/сек; Vк=0,5м/сек; Vк.к. =0,41
Принимаем Vп=0,33м/сек; Vт.к.=0,41м/сек; Vо=0,33м/сек;НП=6,7м;
Lк=10м; Но=6,7м; Lк.к. = 35/2 = 17,5м
сек.
сек.
м3/смену.
Потребное количество кранов рассчитывают по комплексной
производительности Пксм, определяемой по формуле:
(2.28)
Таблица 2.2. Расчёт потребного количества рабочих на участке первичной
обработки
|
Виды работ
|
Наименование или марка
оборудования
|
Сменный объем работ, м3
|
Сменное задание, м3
|
Кол-во работающего
оборудования
|
Численность обслуживающих
рабочих
|
Потребное число рабочих
|
|
|
|
|
|
|
В смену
|
В сутки
|
|
1
|
2
|
3
|
4
|
5
|
6
|
7
|
8
|
|
1 вариант
|
|
1 Разгрузка хлыстов
|
ЛТ-62
|
421
|
1197,8
|
1
|
1
|
1
|
2
|
|
2 Раскряжёвка хлыстов
|
ЛО-68
|
280
|
154,5
|
2
|
2
|
2
|
4
|
|
3 Сортировка сортиментов
|
ЛТ-86А
|
280
|
398,7
|
1
|
1
|
1
|
2
|
|
4 Штабелевка и погрузка
|
КБ-572
|
216,8
|
281,4
|
1
|
4
|
4
|
8
|
|
Итого на основных работах
|
|
|
|
5
|
8
|
16
|
|
2 вариант
|
|
1 Разгрузка хлыстов
|
ККЛ-32
|
421
|
1351,2
|
1
|
1
|
1
|
2
|
|
2 Раскряжёвка хлыстов
|
ЛО-68
|
280
|
154,5
|
2
|
2
|
2
|
4
|
|
4 Сортировка сортиментов
|
Б-22У-1А
|
280
|
299,04
|
1
|
1
|
1
|
2
|
|
5 Штабелевка и погрузка
|
КБ-572
|
216,8
|
281,4
|
1
|
4
|
4
|
8
|
|
Итого на основных работах
|
|
|
|
5
|
8
|
8
|
16
|
|
|
|
|
|
|
|
|
|
3. ПРОЕКТИРОВАНИЕ ГЕНЕРАЛЬНОГО ПЛАНА НИЖНЕГО СКЛАДА
.1 Проектирование транспортно-переместительных и вспомогательных работ
.1.1 Обоснование состава работ и выбор типа
применяемых машин
К транспортно-переместительным работам
относят те виды технологических операций, связанных с транспортировкой и
погрузкой лесоматериалов, которые не вошли в состав основных работ. К таким
видам работ можно отнести, например: транспортировку, штабелевку и погрузку
пиломатериалов, шпалы, шпальной вырезки, тарной дощечки, колотых балансов,
технологической щепы и дров. Кроме этого к этому виду операций относится
транспортировка к цехам переработки полуфабрикатов, если отсутствует
прямоточная подача сырья в цех транспортерами; транспортировка к местам
утилизации кусковых отходов и дров.
Перечень транспортно-переместительных
операций зависит от типа и особенностей принятой технологии и обосновывается
студентом самостоятельно.
.1.2 Расчет запасов лесоматериалов, выбор
типа штабелей и расчет площади склада
Хлысты обычно укладываются в резервные
штабеля в зоне действия разгрузочных механизмов, раскряжевочными установками.
Они компенсируют случайную неравномерность работы лесовозного транспорта,
раскряжевочных установок.
При длительных перерывах в работе
лесовозного транспорта (период весенней и осенней распутицы) создают сезонный
запас хлыстов, который часто укладывают в отдельные штабеля на промежуточных
складах, расположенных в стороне от основных потоков, и обслуживают
специальными штабелевочными механизмами.
Лесоматериалы, подлежащие первичной
переработке на нижнем складе, хранятся в некотором количестве как полуфабрикаты
перед соответствующими цехами, а также в виде готовой продукции у фронта
отгрузки.
Запас полуфабрикатов перед
перерабатывающими цехами необходим вследствие того, что отдельные сортименты
получают на складе в течение смены неравномерно. Особенно необходим этот запас
в тех случаях, когда число смен работы в сутки лесотранспортера, подающего
полуфабрикаты к цехам, отличается от сменности работы цеха.
Запас готовой продукции у фронта отгрузки
необходим для компенсации неравномерной подачи порожняка под погрузку, а также
для сушки некоторых сортиментов.
Площадь, необходимая для размещения штабелей
лесоматериалов, зависит: от объема укладываемых на складе лесоматериалов, от
размеров штабелей, от коэффициента полнодревесности штабелей, от величины
разрывов между штабелями и группами штабелей.
Таблица 3.1- Объём и площадь штабелей лесоматериалов на нижнем складе
|
Наименование лесоматериалов
|
Место укладки
|
Объём поступления,
переработки или отгрузки в сутки, м3
|
Регламентируемый запас на
складе в сутках
|
Запас на складе по объёму,
м3
|
Размеры штабеля, м
|
Объём штабеля, скл. м3
|
Тип штабеля
|
Коэффициент
полнодревесности
|
Объём штабеля, пл. м3
|
Потребное количество
штабелей, шт
|
Площадь занимаемая одним
штабелем, м2
|
Площадь занимаемая всеми
штабелями, м2
|
|
|
|
|
|
|
Длина
|
Ширина
|
Высота
|
|
|
|
|
|
|
|
|
|
1
|
2
|
3
|
4
|
5
|
6
|
7
|
8
|
9
|
10
|
11
|
12
|
13
|
14
|
15
|
|
|
Хлысты (сезонный запас)
|
Нижний склад
|
561
|
10
|
5610
|
35
|
20
|
6,0
|
4200
|
Плотный
|
0,65
|
2730
|
2
|
700
|
1400
|
|
|
Хлысты (резерв. запас)
|
Нижний склад
|
561
|
3
|
1683
|
35
|
20
|
6,0
|
4200
|
Плотный
|
0,65
|
2730
|
1
|
700
|
700
|
|
|
Рез.зап.пиловочн.
|
У цеха
|
140
|
4
|
560
|
15
|
5
|
7,5
|
562
|
Плотный
|
0,65
|
365
|
2
|
75
|
150
|
|
|
Шпальный кр.
|
На берег
|
84,2
|
175
|
14735
|
25
|
12
|
7,5
|
2250
|
Плотный
|
0,68
|
1530
|
10
|
300
|
3000
|
|
|
Строит. бревна
|
На берег
|
56,1
|
175
|
9817
|
60
|
12
|
7,5
|
5400
|
Плотный
|
0,65
|
3510
|
3
|
720
|
2160
|
|
|
Листв.дел.кря
|
На берег
|
28
|
175
|
4900
|
25
|
8
|
5
|
1000
|
Плотный
|
0,68
|
680
|
7
|
200
|
1400
|
|
|
Рудстойка
|
На берег
|
84,2
|
175
|
14735
|
50
|
12
|
7,5
|
4500
|
Плотный
|
0,68
|
3060
|
5
|
600
|
3000
|
|
Балансы
|
На берегу
|
56,1
|
175
|
9817
|
25
|
12
|
7,5
|
2250
|
Плотный
|
0,65
|
1462
|
7
|
300
|
2100
|
|
Низкокач.
|
Ниж.скл
|
112
|
2
|
224
|
10
|
4,5
|
4,0
|
180
|
складочн
|
0,65
|
117
|
2
|
45
|
90
|
|
пиломатериалы
|
Ниж.скл
|
82,8
|
175
|
14490
|
21
|
21
|
10
|
4410
|
складочн
|
0,8
|
3528
|
4
|
441
|
1764
|
|
Тарная дощечка
|
Ниж. скл
|
2,3
|
175
|
402
|
10
|
10
|
4
|
400
|
складочн
|
0,8
|
320
|
1
|
100
|
100
|
|
Тех щепа
|
Ниж.скл
|
47,4
|
175
|
8295
|
50
|
50
|
9
|
22500
|
Куча
|
0,35
|
7875
|
1
|
2500
|
2500
|
|
Итого:
|
|
|
|
|
|
|
|
|
|
|
|
|
|
18364
|
|
|
|
|
|
|
|
|
|
|
|
|
|
|
|
|
|
|
|
|
|
|
|
|
|
|
3.2 Обоснование типа оборудования, машин и
механизмов
Объём готовой продукции, отгружаемой потребителям в смену:
в круглом виде - 152,5 м3;
лесопиление- 64,3 м3;
пиломатериалы - 25 м3;
тарная дощечка -0,7 м3;
технологическая щепа - 14,8м3;
древесная стружка - 23,8м
-количество дней работы в году - 285;
количество смен в сутки - 2;
Для обеспечения более эффективной работы принимаем следующие механизмы:
по 1 варианту
разгрузка лесовозного транспорта (ужд) ЛТ-62 со стропкомплектом
подача сортиментов на линию производства древесной стружки, КБ-572;
подача сортиментов в цех производства технологической щепы, КБ-572;
складирование и отгрузка пиломатериалов, КБ-572;
транспортировка и отгрузка тарной дощечки, ЭП-103К;
транспортировка и погрузка технологической щепы, ПНТУ-2М;
погрузка кусковых отходов, ЛВ-175;
транспортировка кусковых отходов и топливной щепы принимаем
автосамосвал ЗИЛ-ММЗ-555.
по 2 варианту
разгрузка лесовозного транспорта (ужд) ККЛ 32, со стропкомплектом
транспортировка и отгрузка тарной дощечки, ЭП-103К;
складирование и отгрузка пиломатериалов - КБ-572;
складирование древесной стружки, ЭП-103К.;
транспортировка технологической щепы, ПНТУ-2М;
погрузка кусковых отходов, ЛВ-175;
транспортировка кусковых отходов и топливной щепы принимаем
автосамосвал ЗИЛ-ММЗ-555.
Штабелевка, подача хлыстов на
раскряжевочную линию
по 1 варианту
Расчет производительности ЛТ-62: см. формулу 2.1
по 2 варианту
Расчет сменной производительности ККЛ-32: см. формулу 2.11
Транспортировка, штабелевка и
отгрузка тарной дощечки, в обоих вариантах, производит погрузчик
аккумуляторного типа ЭП-103К
по 1 варианту и 2 варианту
Техническая характеристика ЭП-103К:
Грузоподъемность, т10
Тип рабочего органа - Захват вилочного типа
Максимальная высота подъема груза, м 4,5
Скорость подъема груза, м/с 0,116
Скорость передвижения с грузом, км/ч 3,5 - 5,0
Масса погрузчика, кг 13500
Вывозку отходов производит автосамосвал ЗИЛ-ММЗ-555.
по 1 варианту и 2 варианту
Техническая характеристика автосамосвал ЗИЛ-ММЗ-555.
Грузоподъемность, кг5250
Скорость, к/ч80
Колесная формула,4*2
Дорожный просвет, м0,27
Вместимость кузова, м35
Погрузочная высота по бортам, м2,035
Транспортировка и погрузка технологической щепы, ПНТУ-2М;
по 1 варианту и 2 варианту
Техническая характеристика установки
ПНТУ-2М
Воздуходувная машина:
вентилятор марки………………………………………ВВД-9
мощность электродвигателя, кВт…………………….22
число оборотов, мин1………………………………….1650
Питатель:
Тип шлюзовой
мощность привода, кВт ………………………….........4
число оборотов, мин""1
………………………………30
Трубопровод:
условный проход, мм………………………………...250
максимальная длина участка, м………………………75
число колен, шт…………………………………….…..3
Установленная мощность, кВт ……………………….27,6
Масса, кг, не более …………………………………5900
Производительность, м3/ч ……………………………….7
При штабелевке, формировании пучков, подача
сортиментов на линию древесной стружки и тех. щепы применяем кран КБ-572
расчет сменной производительности см. формулу 2.24
Погрузку кусковых отходов производит ЛВ-175
Техническая характеристика ЛВ-175
Вместимость скипа, м3 - 10
Скорость подъема, м/с 0,1-0,2
Габаритные размеры, м - 8,81*2,75*5,16
Производительность при двух циклах
загрузка-разгрузка скипа, м3/ч - 10
Мощность электродвигателей, кВт - 7,5
Конструктивная масса, кг - 3600
3.3 Расчет сменной производительности и потребного количества машин и
оборудования
Расчет производительности ЛТ-62: см. формулу 2.1
Расчет сменной производительности ККЛ-32: см. формулу 2.11
По 1 варианту и 2 варианту для транспортировки и штабелёвки древесной
стружки применяется малогабаритный погрузчик аккумуляторного типа ЭП-103К.
, (3.1)
Где Тсм - продолжительность рабочей смены, с;

-
коэффициент использования рабочего времени смены (0,80…0,85);

-
коэффициент, учитывающий регламентированные простои (0,75…0,80);
Qп - средний объем пачки, м3(5…6м3);
Тц - продолжительность штабелевки или погрузки одной пачки, с.
Продолжительность штабелевки рассчитывается по формуле:
Тц=120+((2*600)/1,4)=977,1с
Псм=(28800*0,8*0,8*5)/977,1=94,3м3
Определяем потребное количество механизмов;
Где
- сменный объем работ, м3;
м3
- сменная производительность автопогрузчика
м3
Принимаем один погрузчик ЭП-103К.
Для транспортировки и штабелевки тарной дощечки принимаем погрузчик
ЭП-103К
По 1 варианту и 2 варианту для транспортировки и штабелевки тарной
дочечки применяется малогабаритный погрузчик аккумуляторного типа ЭП-103К.
, м3
Где
Т,
- ранее известные величины;
- объем
пачки, м3;
=5м3.
Определяем
потребное количество механизмов:
где
- сменный объем работ, м3;
м3
- сменная производительность автопогрузчика
м3
Принимаем на транспортировке и складировании тарной дощечки и на
транспортировке и штабелевке древесной стружки, один погрузчик ЭП-103К.
Расчет сменной производительности
ПНТУ-2М
По 1 и 2 варианту для транспортировки щепы применяется ПНТУ-2М.
, м3 (3.3)
где
- часовая производительность по ТХ, м3/ч;
=7м3/ч;
-
продолжительность смены в часах;
=8ч.
м3/ч.
Рассчитываем сменный объем работ;
м3
Определяем потребное количество механизмов;
- сменная производительность автопогрузчика
м3
Принимаем один пневмотранспортер ПНТУ-2М.
Расчет сменной производительности
ЛВ-175
По 1 варианту и 2 варианту для транспортировки кусковых отходов
применяется ЛВ-175.
, м3
где
- часовая производительность по ТХ, м3/ч;
=10м3/ч;
-
продолжительность смены в часах;
=8ч.
м3/ч.
Рассчитываем сменный объем работ;
м3
Определяем потребное количество механизмов;
- сменная производительность погрузчика
м3
Принимаем
один скиповый погрузчик ЛВ-175
Сменная производительность самосвала ЗИЛ- (ММЗ-555К) рассчитывается по
формуле:
Псм=
, (3.4)
гдеq -
грузоподъемность, т (5,2);
k - коэффициент
использования оборудования (0,85);
t - среднее
время простоя под загрузкой, разгрузкой, ч (0,32);
v - средняя
скорость км/ч (40).
Псм=8,2*5,2*0,85/(2*40/(40+0,32))=74,5м3
Потребное количество самосвалов рассчитывается по формуле:
n=3,9*1,3/74,5≈1
шт
Принимаю
один самосвал ЗИЛ-130.
Для транспортировки кусковых отходов и топливной щепы принимаем один
самосвал ЗИЛ- (ММЗ-555К).
3.4 Расчет потребного количества рабочих
на транспортно-переместителъные и вспомогательные операции
Расчет потребного количества рабочих на
транспортно-переместительные операции ведется по каждой операции отдельно с
учетом производительности машин и норм выработки на ручные работы.
К вспомогательным работам на нижнем складе
относят: техническое обслуживание и текущий ремонт машин, оборудования и
механизмов, маркировку и учет поступающего сырья, полуфабрикатов и готовой
продукции; содержание территории нижнего склада; пилоточно-пилоправные работы;
обработку химическими препаратами круглых лесоматериалов; приемка и подготовка
стропных комплектов.
Таблица 3.1- Сводная таблица потребного количества рабочих на основных и
вспомогательных работах на н.с.
|
Виды работ
|
Суточный объём работ, м3
|
Число смен работы в сутки
|
Сменный объём работ, м3
|
Механизированные работы
|
Ручные работы
|
Всего рабочих
|
|
|
|
|
Наименование механизмов
|
Количество рабочих
обслуживающих механизм
|
Псм или Нвыр,
м3
|
Количество работающих
механизмов
|
Потребное число работающих
|
Выработка, на чел. в см.
|
Потребное число рабочих
|
|
|
|
|
|
|
|
|
|
в сут
|
в см
|
|
в сут
|
в см
|
|
|
1
|
2
|
3
|
4
|
5
|
6
|
7
|
8
|
9
|
10
|
11
|
12
|
13
|
14
|
|
I.Участок первичной обработки (вариант 1)
|
|
1 Разгрузка лесовозного
транспорта
|
842
|
2
|
421
|
ЛТ-62
|
1
|
1197,8
|
1
|
2
|
1
|
|
6
|
3
|
6
|
|
3)Сортировка транспорт.
|
561
|
2
|
280,5
|
ЛТ-86
|
1
|
398,7
|
1
|
2
|
1
|
|
|
|
2
|
|
II. Транспортно переместительные работы
|
|
1)Штабелевка и отгрузка ГП.
|
177,5
|
2
|
88,7
|
КБ-572
|
1
|
281,4
|
1
|
2
|
1
|
|
6
|
3
|
6
|
|
2)Транспорт. тарн. дощечки
и древ. стружки
|
80
|
2
|
40
|
ЭП-103К
|
1
|
94,3
|
1
|
2
|
1
|
|
|
|
2
|
|
3)Транспорт.тех. щепы
|
48,3
|
2
|
24,1
|
ПНТУ-2М
|
1
|
56
|
1
|
2
|
1
|
|
|
|
2
|
|
5)Транспор. куск. отходов
|
15,7
|
2
|
7,8
|
ЛВ-175 +ЗИЛ
|
1
|
154,5
|
1
|
2
|
1
|
|
|
|
2
|
|
Формирование пучков
|
152,5
|
2
|
76,2
|
КБ-572
|
1
|
281,4
|
1
|
2
|
1
|
|
|
|
2
|
|
Итого на основных работах
|
|
|
|
|
|
|
14
|
7
|
|
|
|
22
|
3.5 Мероприятия по охране труда, окружающей среды и противопожарной
безопасности
Провести инструктаж с рабочими нижнего склада о внутреннем распорядке
предприятия, о мерах противодействию пожаров и способов их ликвидации, выделить
специальные места для курения. Предоставить экипировку, в соответствии с
правилами техники безопасности и охране труда на нижнем складе.
4. РАСЧЕТ ГОДОВОЙ ПОТРЕБНОСТИ БЫСТРОИЗНАШИВАЮЩИХСЯ
МАТЕРИАЛОВ, ИНСТРУМЕНТОВ, ГСМ И ЭЛЕКТРОЭНЕРГИИ
По первому варианту
Таблица 4.1 - Годовой расход быстро изнашиваемого оборудования,
инструментов и материалов на нижнем складе
|
Виды работ
|
Годовой объём произ-ва,
тыс. м3
|
Наименование материалов и
инструментов
|
Единица измерения
|
Норма на 1000 м3
|
Годовой расход материалов
|
|
1
|
2
|
3
|
4
|
5
|
6
|
|
1) Разгрузка хлыстов краном
ЛТ-62 со стропным комплектом
|
160
|
- канат грузовой (21,5мм)
|
м
|
12,0
|
1920
|
|
|
-стропы (25,5мм)
|
м
|
8,2
|
1312
|
|
2) Раскряжёвка хлыстов,
установка ЛО-68
|
160
|
- пилы дисковые 1500мм
|
м
|
0,4
|
64
|
|
|
- круги абразивные
|
м
|
1,0
|
160
|
|
|
- оселки, бруски
|
м
|
0,12
|
19,2
|
|
3) Сортировка сортиментов,
транспортёр ЛТ-86А
|
160
|
- цепь тяговая разборная 2Р
-80-290
|
м
|
0,2
|
32
|
|
4) Штабелёвка и погрузка
краном КБ-572 с грейфером ВМГ-10
|
160
|
- канат грузовой (24,0мм)
|
м
|
2,91
|
465,6
|
|
|
- канат для грейфера
(12,0мм)
|
м
|
1,38
|
220,8
|
|
|
- гидроцилиндры поворота
грейфера
|
шт.
|
|
2
|
По второму варианту
Таблица 4.1 - Годовой расход быстро изнашиваемого оборудования,
инструментов и материалов на нижнем складе
|
Виды работ
|
Годовой объём произ-ва,
тыс. м3
|
Наименование материалов и
инструментов
|
Единица измерения
|
Норма на 1000 м3
|
Годовой расход материалов
|
|
1
|
2
|
3
|
4
|
5
|
6
|
|
1) Разгрузка хлыстов краном
ККЛ-32 со стропным комплектом
|
160
|
-канат грузовой(22,5мм)
|
м
|
6,6
|
1056
|
|
|
-стропы (25,5мм)
|
м
|
5,4
|
864
|
|
2) Раскряжёвка хлыстов,
установка ЛО-68
|
160
|
- пилы дисковые 1500мм
|
м
|
0,4
|
64
|
|
|
- круги абразивные
|
м
|
1,0
|
160
|
|
|
- оселки, бруски
|
м
|
0,12
|
19,2
|
|
3) Сортировка сортиментов, транспортёр
Б -22У-1М
|
160
|
- цепь тяговая разборная 2Р
-80-290
|
м
|
0,2
|
32
|
|
4) Штабелёвка и погрузка
краном КБ-572 с грейфером ВМГ-10
|
160
|
- канат грузовой (24,0)
|
м
|
2,91
|
465,6
|
|
|
- канат для грейфера (12,0)
|
м
|
1,38
|
220,8
|
|
|
- гидроцилиндры поворота
грейфера
|
шт.
|
|
2
|
Годовой расход горюче-смазочных материалов и рабочих жидкостей на нижнем
складе заносят в таблицу 4.2.
В графы 1 и 2 заносят названия механизмов, применяемых на нижнем складе и
их количество (из таблицы 2.1 и 3.1)
Таблица 4.2 - Расчет годового расхода горюче-смазочных материалов и
рабочих жидкостей.
|
Механизмы
|
Кол-во механизмов
|
Число смен работы в год 1
механизма
|
Число машино-смен в год
|
расход горюче-смазочных
материалов
|
|
|
|
|
На машино-смену, кг
|
На год, т
|
|
|
|
|
Дизельное топливо
|
бензин
|
Дизельное масло
|
Автотракторное масло
|
Трансмиссионное масло
|
Консистентная смазка
|
Рабочая жидкость
|
Дизельное топливо
|
бензин
|
Дизельное масло
|
Автотракторное масло
|
Трансмиссионное масло
|
Консистентная смазка
|
Рабочая жидкость
|
|
Вариант 1
|
|
ЛТ-62 + строп.комплект
|
1
|
570
|
570
|
-
|
-
|
-
|
-
|
3,2
|
2
|
-
|
-
|
-
|
-
|
-
|
1824
|
1140
|
|
ЛТ-79
|
1
|
570
|
570
|
-
|
-
|
-
|
-
|
0,2
|
1,1
|
-
|
-
|
-
|
-
|
-
|
114
|
627
|
-
|
|
ЛО-68
|
2
|
570
|
1140
|
-
|
-
|
-
|
-
|
0,2
|
0,15
|
0,2
|
-
|
-
|
-
|
-
|
228
|
171
|
228
|
|
ЛТ-86 А
|
1
|
570
|
570
|
-
|
-
|
-
|
-
|
0,2
|
0,1
|
-
|
-
|
-
|
-
|
-
|
114
|
57
|
-
|
|
КБ-572
|
1
|
570
|
570
|
-
|
-
|
-
|
-
|
0,4
|
0,25
|
-
|
-
|
-
|
-
|
-
|
228
|
142,5
|
-
|
|
ЭП-103К
|
1
|
570
|
570
|
-
|
-
|
-
|
-
|
0,04
|
0,06
|
0,2
|
-
|
-
|
-
|
-
|
22,8
|
34,2
|
114
|
|
ПНТУ-2М
|
1
|
570
|
570
|
-
|
-
|
-
|
-
|
0,10
|
0,05
|
-
|
|
|
|
|
57
|
28,5
|
-
|
|
ЛВ-175
|
1
|
570
|
570
|
-
|
-
|
-
|
-
|
0,24
|
0,4
|
-
|
-
|
-
|
-
|
-
|
136,8
|
228
|
-
|
|
ЗИЛ-130
|
1
|
570
|
570
|
400
|
-
|
5
|
5
|
3,4
|
2,9
|
1,8
|
228000
|
-
|
2850
|
2850
|
1938
|
1653
|
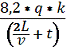
1026
|
|
Итого:
|
|
|
|
400
|
|
5
|
5
|
7,98
|
9,01
|
2,2
|
228000
|
|
2850
|
2850
|
4662,6
|
4081,2
|
1368
|
|
Вариант 2
|
|
ККЛ-32
|
1
|
570
|
570
|
-
|
-
|
-
|
-
|
3,2
|
2
|
-
|
-
|
-
|
-
|
-
|
1824
|
1140
|
-
|
|
ЛТ-79
|
2
|
570
|
1140
|
-
|
-
|
-
|
-
|
0,2
|
1,1
|
-
|
-
|
-
|
-
|
-
|
228
|
1254
|
-
|
|
ЛО-68
|
2
|
570
|
1140
|
-
|
-
|
-
|
-
|
0,2
|
0,15
|
0,2
|
-
|
-
|
-
|
-
|
228
|
171
|
228
|
|
Б-22У-1А
|
1
|
570
|
570
|
-
|
-
|
-
|
-
|
0,2
|
0,1
|
-
|
-
|
-
|
-
|
-
|
114
|
57
|
-
|
|
КБ-572
|
1
|
570
|
570
|
-
|
-
|
-
|
-
|
0,4
|
0,25
|
-
|
-
|
-
|
-
|
-
|
228
|
142,5
|
-
|
|
ЭП-103К
|
1
|
570
|
570
|
-
|
-
|
-
|
-
|
0,04
|
0,06
|
0,2
|
-
|
-
|
-
|
-
|
22,8
|
34,2
|
114
|
|
ПНТУ-2М
|
1
|
570
|
570
|
-
|
-
|
-
|
-
|
0,10
|
0,05
|
-
|
|
|
|
|
57
|
28,5
|
-
|
|
ЛВ-175
|
1
|
570
|
570
|
-
|
-
|
-
|
-
|
0,24
|
0,4
|
-
|
-
|
-
|
-
|
-
|
136,8
|
228
|
-
|
|
ЗИЛ-130
|
1
|
570
|
570
|
400
|
-
|
5
|
5
|
3,4
|
2,9
|
1,8
|
228000
|
-
|
2850
|
2850
|
1938
|
1653
|
1026
|
|
Итого:
|
|
|
|
400
|
-
|
5
|
5
|
7,98
|
7,01
|
2,2
|
228000
|
-
|
2850
|
2850
|
4776,6
|
4708,2
|
1368
|
|
|
|
|
|
|
|
|
|
|
|
|
|
|
|
|
|
|
|
|
По первому варианту
Таблица 4.3 - Расчёт годового количества электроэнергии
|
Потребители
|
Номинальная мощность одного
потребителя, кВт
|
Количество потребителей
|
Общая номинальная мощность,
кВт
|
Коэффициент использования
|
Активная нагрузка, кВт
|
Реактивная нагрузка, кВт
|
|
|
|
|
|
|
В 1 смену
|
Во 2 смену
|
В 3 смену
|
|
В 1 смену
|
Во 2 смену
|
В 3 смену
|
|
1
|
2
|
3
|
4
|
5
|
6
|
7
|
8
|
10
|
11
|
12
|
|
Силовая нагрузка
|
|
1 Кран ЛТ-62
|
64,5
|
1
|
64,5
|
0,3
|
19,35
|
19,35
|
|
0,8
|
15,48
|
15,48
|
|
|
2 Лесотранспортёр ЛТ-86
|
37
|
1
|
37
|
0,5
|
18,5
|
18,5
|
|
-
|
18,5
|
18,5
|
|
|
3. Питатель ЛТ-79
|
11
|
1
|
11
|
0,4
|
4,4
|
4,4
|
|
0,8
|
3,52
|
3,52
|
|
|
4 Кран КБ-572
|
66,3
|
1
|
66,3
|
0,25
|
16,57
|
16,57
|
|
0,8
|
13,26
|
13,26
|
|
|
5 ЛО - 68
|
120
|
2
|
240
|
0,5
|
120
|
120
|
|
0,8
|
96
|
96
|
|
|
6 Установка ПНТУ-2М
|
27,6
|
1
|
27,6
|
0,4
|
11,04
|
11,04
|
|
0,8
|
8,83
|
8,83
|
|
|
7 Погрузчик ЛВ-175
|
7,5
|
1
|
7,5
|
0,4
|
3
|
3
|
|
0,8
|
2,4
|
2,4
|
|
|
8 Прочие потребители
|
|
|
|
1
|
60
|
55
|
0
|
0,8
|
48
|
44
|
0
|
|
Итого:
|
-
|
-
|
453,9
|
-
|
252,8
|
247,8
|
0
|
-
|
205,9
|
201,9
|
0
|
|
Осветительная нагрузка
|
|
1 Прочие потребители
|
-
|
-
|
|
1,0
|
5
|
45
|
5
|
-
|
-
|
-
|
-
|
|
2 Установка ЛО-68
|
-
|
-
|
1,5
|
1,0
|
-
|
1,5
|
|
-
|
-
|
-
|
-
|
|
3 Участки штабелёвки и
погрузки
|
-
|
-
|
1,0
|
1,0
|
-
|
1,0
|
|
-
|
-
|
-
|
-
|
|
4 Транспортёр Б-22У-1М
|
-
|
-
|
2,0
|
1,0
|
-
|
2,0
|
|
-
|
-
|
-
|
-
|
|
5 Дороги, проезды
|
-
|
-
|
1,17
|
1,0
|
-
|
1,17
|
|
-
|
-
|
-
|
-
|
|
6 Цех
|
-
|
-
|
10
|
1,0
|
-
|
10
|
|
-
|
-
|
-
|
-
|
|
Итого:
|
-
|
-
|
15,67
|
-
|
5
|
60,67
|
5
|
-
|
-
|
-
|
-
|
|
|
|
|
|
|
|
|
|
|
|
|
|
|
|
|
|
По второму варианту
Таблица 4.4 - Расчёт потребного количества электроэнергии
|
Потребители
|
Номинальная мощность одного
потребителя, кВт
|
Количество потребителей
|
Общая номинальная мощность,
кВт
|
Коэффициент использования
|
Активная нагрузка, кВт
|
Реактивная нагрузка, кВт
|
|
|
|
|
|
|
|
В 1 смену
|
Во 2 смену
|
В 3 смену
|
|
В 1 смену
|
Во 2 смену
|
В 3 смену
|
|
1
|
2
|
3
|
4
|
5
|
6
|
7
|
8
|
9
|
10
|
11
|
12
|
|
Силовая нагрузка
|
|
1 Разобщитель ЛТ- 80
|
8,5
|
1
|
8,5
|
0,4
|
3,4
|
3,4
|
|
0,8
|
2,72
|
2,72
|
|
|
2 Лесотранспортёр Б-22У-1М
|
18,5
|
1
|
18,5
|
0,6
|
11,1
|
11,1
|
|
0,8
|
8,88
|
8,88
|
|
|
3. Питатель ЛТ-79
|
11
|
1
|
11
|
0,4
|
4,4
|
4,4
|
|
0,8
|
3,52
|
3,52
|
|
|
4 Кран КБ-572
|
66,3
|
1
|
66,3
|
0,3
|
19,89
|
19,89
|
|
0,8
|
15,91
|
15,91
|
|
|
5 Установка ПНТУ-2М
|
27,6
|
1
|
27,6
|
0,4
|
11,04
|
11,04
|
|
0,8
|
8,83
|
8,83
|
|
|
6 Погрузчик ЛВ-175
|
7,5
|
1
|
7,5
|
0,4
|
3
|
3
|
|
0,8
|
2,4
|
2,4
|
|
|
7ККЛ-32
|
186
|
1
|
186
|
0,3
|
55,8
|
55,8
|
|
0,8
|
44,64
|
44,64
|
|
|
8ЛО-68
|
120
|
2
|
240
|
0,5
|
120
|
120
|
|
0,8
|
96
|
96
|
|
|
9Прочие потребители
|
|
|
|
1
|
60
|
55
|
0
|
0,8
|
48
|
44
|
0
|
|
итого
|
|
|
565,4
|
|
288,63
|
283,63
|
0
|
-
|
230,9
|
226,9
|
0
|
|
Осветительная нагрузка
|
|
1 Прочие потребители
|
-
|
-
|
|
1,0
|
5
|
45
|
5
|
-
|
-
|
-
|
-
|
|
|
2 Участки штабелёвки и
погрузки
|
-
|
-
|
1,36
|
1,0
|
-
|
1,36
|
|
-
|
-
|
-
|
-
|
|
|
3 Транспортёр ЛТ-86
|
-
|
-
|
1,8
|
1,0
|
-
|
1,8
|
|
-
|
-
|
-
|
-
|
|
|
4 ЛО-68
|
-
|
-
|
1,5
|
1,0
|
-
|
1,5
|
|
-
|
-
|
-
|
-
|
|
|
5 Дороги, проезды
|
-
|
-
|
1,2
|
1,0
|
1,2
|
|
-
|
-
|
-
|
-
|
|
|
6 Цех
|
-
|
-
|
10
|
1,0
|
-
|
10
|
|
-
|
-
|
-
|
-
|
|
|
Итого:
|
-
|
-
|
14,86
|
-
|
5
|
59,86
|
5
|
-
|
-
|
-
|
-
|
|
|
|
|
|
|
|
|
|
|
|
|
|
|
|
|
|
|
|
|
|
|
|
|
|
|
|
|
|
|
|
|
|
|
|
|
|
|
|
|
|
Находим полную нагрузку на каждую смену по формуле (на основании таблицы
4.3 и 4.4):
, (4.1)
где∑Ррс - суммарная активная нагрузка от силовых
потребителей, кВт;
∑Рро - суммарная
активная нагрузка от осветительных потребителей,кВт;
∑Qрс - суммарная реактивная мощность
силовых потребителей, кВт;
∑Qк - суммарная мощность силовых средств компенсации
реактивной мощности, кВт.
По первому варианту
смена:
∑QК=205,9-0,33*(252,8+5)=120,8;
ST=√(252,8+5)2+(205,9-120,8)2=271,48
смена:
∑QК=201,9-0,33*(247,8+60,67)=100,2;
ST=√(247,8+60,67)2+(201,9-100,2)2=324,8
смена:
∑QК=0-0,33*(5)=-1,65;
ST=
По максимальному числу принимаем подстанцию
По второму варианту
смена:
∑QК=230,9-0,33*(288,63+5)=134,1;
ST=√(288,63+5)2+(230,9-134,1)2=309,17
смена:
∑QК=226,9-0,33*(283,63+59,86)=113,6;
ST=√(283,63+59,86)2+(226,9-113,6)2=361,6
смена:
∑QК=0-0,33*(5)=-1,65;
ST=
Принимаем
для обоих вариантов трансформатор ТМ-400
5. ОСНОВНЫЕ ТЕХНИКО-ЭКОНОМИЧЕСКИЕ ПОКАЗАТЕЛИ
Основными технико-экономическими показателями нижнего склада являются:
годовой объём производства, численность рабочих, комплексная выработка на
одного списочного рабочего, мощность потребителей электроэнергии. Результаты
расчётов сводим в таблицу 5.1.
По первому варианту
Таблица 5.1 - Основные технико-экономические показатели по нижнему
складу.
|
Основные
технико-экономические показатели
|
Количество
|
|
1 Годовой объём
производства, тыс. м3
|
160
|
|
2 Выход готовой продукции,
тыс.м3 в том числе: - шпальный кряж - брёвна строительные -
балансы - рудстойка - лиственные дел. кряжи - пиломатериалы - тарная дощечка
- тех. щепа - древесная стружка
|
24 16 16 24 8 23,6 0,656
13,79 22,17
|
|
2 Численность работающих на
нижнем складе всего, чел. в том числе: - на основных работах; - на
подсобно-вспомогательных работах
|
22 11
|
|
3 Комплексная выработка на
одного рабочего в смену: - на основных работах; - с учётом вспомогательных
работ Комплексная выработка на одного рабочего в год: - на основных работах;
- с учётом вспомогательных работ
|
|
|
4 Выработка на одного
рабочего в год, м3
|
2464,1
|
|
5 Мощность потребителей
электроэнергии, кВт всего на 1 м3 годового грузооборота
|
87694.5 0.54
|
По второму варианту
Таблица 5.2 - Основные технико-экономические показатели по нижнему
складу.
|
Основные
технико-экономические показатели
|
Количество
|
|
1 Годовой объём
производства, тыс. м3
|
160
|
|
2 Выход готовой продукции,
тыс.м3 в том числе: - шпальный кряж - брёвна строительные -
балансы - рудстойка - лиственные дел. кряжи - пиломатериалы - тарная дощечка
- тех. щепа - древесная стружка
|
24 16 16 24 8 23,6 0,656
13,79 22,17
|
|
2 Численность работающих на
нижнем складе всего, чел. в том числе: - на основных работах; - на
подсобно-вспомогательных работах
|
28 11
|
|
3 Комплексная выработка на
одного рабочего в смену: - на основных работах; - с учётом вспомогательных
работ Комплексная выработка на одного рабочего в год: - на основных работах;
- с учётом вспомогательных работ
|
|
|
4 Выработка на одного
рабочего в год, м3
|
2517,8
|
|
5 Мощность потребителей
электроэнергии, кВт - всего - на 1 м3 годового грузооборота
|
97125 0,54
|
|
|
|
ЗАКЛЮЧЕНИЕ
Расчет курсовой работы производился в два варианта, с различным составом
оборудования.
I
вариант базируется на комплекте современного оборудования системы машин 1 НС в
составе:
На разгрузке - ЛТ-62;
На сортировке - ЛТ-86;
На раскряжёвке - ЛО - 68
На штабелевка - КБ-572
II
вариант базируется на комплекте современного оборудования системы машин 1 НС в
составе:
На разгрузке - ККЛ-32;
На сортировке - Б-22У-1М;
На раскряжёвке - ЛО-68
На штабелевка - КБ-572
СПИСОК ИСПОЛЬЗОВАННОЙ ЛИТЕРАТУРЫ
1 Загоскин В.А., Гришин К.М. Технология и оборудование
лесопромышленных производств. Часть 2. Лесные склады: Уч. пособие по выполнению
расчетно-графических работ, курсового и дипломного проектирования студентами
специальности 260100 всех форм обучения. - Красноярск: СибГТУ, 2003.-.112 с.
2 Загоскин
В.А., Рудковский Ю.Н., Миронов Г.С., Саух Ю.В. Технология и оборудование лесных
складов: Приложения к методическим указаниям к выполнению курсового проекта для
студентов специальности 26.01 всех форм обучения. - Красноярск: СТИ, 1988 - 60
с.
Загоскин В.А.
Технология и оборудование лесоперерабатывающих производств: Учебное пособие по
курсовому и дипломному проектированию для студентов специальностей 26.01,
26.04, 17.04 всех форм обучения. - Красноярск: СТИ, 1994 - 96 с.
Миронов Е.И.,
Рохленко Д.Б., Беловзоров Л.Н. и др. Машины и оборудование лесозаготовок.
Справочник - М.: Лесная промышленность, 1985 - 320 с.
5 Стандарт
предприятия: Требования к оформлению текстовых документов. -Взамен СТП
СТИ-17-98; Введ. с 11.03.01.-Красноярск :СибГТУ
Ласточкин
П.В. Погрузочно-разгрузочные работы на лесных складах (краны): Лабораторный
практикум. Л.: ЛТА, 1987. 56 с.
Ласточкин
П.В., Лонн К.А., Тихонов И.И. Сортировочные установки для круглых
лесоматериалов: Лабораторный практикум. Л., 1988. 40 с. Представлено кафедрой
механизации лесоразработок.