Расчет состава шлакобетона для производства крупных блоков
ВВЕДЕНИЕ
Из шлакобетона возводят монолитные и блочные наружные и внутренние стены.
Шлакобетон является дешевым и хорошим конструкционным материалом для
строительства малоэтажных зданий. Вяжущим для шлакобетона могут служить цемент,
известь, гипс, глина и др.
В качестве заполнителей при изготовлении легких бетонов используют шлак,
керамзит, кирпичный бой, опилки камыш и другие местные материалы. Наиболее
распространен шлакобетон на основе топливного или металлургического шлака. Для
увеличения прочности в него добавляют 10-20% песка (от объема шлака).
Шлаки должны быть чистыми и не содержать посторонних примесей: земли,
глины, золы, несгоревшего угля и мусора. Чтобы уменьшить содержание
необожженных глиняных частиц и вредных солей, свежий шлак выдерживают в течение
года в отвалах на открытом воздухе, обеспечивая при его складировании свободный
отвод дождевых и паводковых вод.
Серьезные исследования по применению легких бетонов в нашей стране
начались в 20-х годах прошлого ХХ столетия. Первоначально работы велись в
Закавказье, где в изобилии встречаются легкие пористые горные породы (пемза,
вулканический туф, шлаки и др.). Основное назначение такого бетона -
строительство стен с повышенными теплозащитными свойствами. У истоков этих
работ стояли инженеры Р.М. Михайлов и Н.А. Попов. Экспериментальное
строительство в Баку, Махачкале, Ереване показало перспективность легких
бетонов для кладки стен жилых и общественных зданий.
Следующим этапом развития технологии легких бетонов стал поиск и
разработка технологии получения искусственных пористых заполнителей, так как
месторождения природных пористых заполнителей встречаются довольно редко.
Основные исследовательские работы по легким бетонам проводились в Москве в
ЦНИИПС под руководством профессора Н.А. Попова. В 30-е годы в основном и была
создана теория легких бетонов.
Реальными видами легких пористых исполнителей в ту пору стали отходы
энергетики (топливные шлаки). Топливные шлаки и шлакобетон на их основе
пользовались большой популярностью как в 30-е, так и в послевоенные годы.
Топливный шлак - ноздреватые куски спекшихся минеральных примесей, находившихся
в каменном угле, и некоторого количества несгоревшего топлива. Самыми
распространенными изделиями из шлакобетона были шлакоблоки. Шлак в них
использовался в роли универсального (мелкого и крупного) заполнителя. Из
шлакоблоков возводились 2-3 этажные дома, некоторые из которых служат и в наши
дни.
1. НОМЕНКЛАТУРА ПРОДУКЦИИ И ИСХОДНЫЕ ДАННЫЕ ДЛЯ ПРОЕКТИРОВАНИЯ
.1
НОМЕНКЛАТУРА ПРОДУКЦИИ
Шлакобетон (бетон на золошлаковых смесях тепловых электростанций - ТЭС
или на топливном шлаке, гранулированном доменном или электротермофосфорном
шлаке).[1]
Рисунок 1- Эскиз крупного блока.
Координационные размеры блоков из шлакобетона в соответствии с ГОСТ
19010-82 «Блоки стеновые бетонные» приведены в таблице 1.
Таблица 1 - Координационные размеры блоков
|
Тип блока по виду стены
|
Тип блока по назначению в
стене
|
Координационные размеры, мм
|
|
|
Длина, L
|
Высота, H
|
Толщина, B
|
|
Наружный
|
Простеночный
|
400, 600, 900, 1000, 1200,
1300, 1500, 1800, 2100
|
300, 1000, 1600, 2200,
2500, 2700
|
200-600
|
|
Подоконный
|
900, 1200, 1500, 1800, 2100
|
600, 800, 900, 1500
|
200-600
|
|
Перемычечный
|
2100, 2400, 2700, 3000,
3300
|
600, 800
|
200-600
|
|
Внутренний
|
Простеночный
|
400, 600-2700
|
300-600
|
160, 200, 250, 300
|
|
Перемычечный
|
900-3300
|
300-600
|
160, 200, 250, 300
|
.2 ИСХОДНЫЕ
ДАННЫЕ ДЛЯ ПРОЕКТИРОВАНИЯ
Для формования стеновых камней из легкобетонных смесей служат
автоматизированные станки, в которых предусмотрено применение комбинированных
способов уплотнения: вибротрамбование или вибропрессование.
Легкобетонные камни формуют на высокопроизводительных станках-автоматах
СМТ-083.
В комплекте со станком выпускают металлические поддоны и стенные обкладки
для внутренних стенок форм. На станке можно формовать блоки из бетонной смеси с
различными пористыми заполнителями: аглопоритом, керамзитом, шлаковой пемзой,
гранулированным шлаком и отходами от дробления известняка.
Бетонная смесь питателем подается из бункера станка в форму, размеры
которой рассчитаны на одновременное изготовление четырех блоков. После
заполнения формы питатель возвращается в исходное положение. Уплотнение в форме
происходит при одновременном воздействии вибрации и пригруза. По окончании
уплотнения пригрузочное устройство остается с пуансонами на месте, а форма
поднимается. Затем автоматически поднимаются пригрузочное устройство и
механизм, подающий свободные поддоны. Этот же механизм перемещает поддоны с
изделиями на пост съема или на приемную каретку подавателя автоматической
линии.
Тепловая обработка блоков ведется в пропарочных камерах или в автоклавах.
Транспортируют блоки на этажерках, которые перемещаются электро- или
автопогрузчиками.
Таблица 2 - Технологические характеристики бетона
|
Назначение бетона
|
Марка бетона
|
Класс бетона по прочности
на сжатие
|
Средняя прочность бетона
для данного класса, кгс/см2
|
Рекомендуемые марки цемента
|
|
По средней плотности
|
По морозостойкости
|
|
|
|
|
Конструкционно-теплоизоляционные
|
D1000 D1100 D1200 D1300
D1600
|
F25-F100
F25-F100 F35-F100 F35-F100 F75; F100
|
В2,5 В3,5 В5 В7,5 В10
|
32,74 45,84 65,48 98,23
130,97
|
400
|
|
Конструкционные
|
D1500 D1700 D1700 D1900
D1900
|
F100-F300
F150-F500 F150-F500 F200-F500 F200-F500
|
В12,5 В15 В20 В25 В30
|
163,71 196,45 261,94 327,42
392,90
|
500
|
В курсовой работе рассчитывается состав бетона В5 с подвижностью бетонной
смеси 1-4 см (П1). Марка бетона: по прочности на сжатие М75, по средней
плотности D1200,по морозостойкости F100.
Среднюю прочность бетона Rср каждого класса определяют при нормативном
коэффициенте вариации, равном V = 13,5% для конструкционно-теплоизоляционного и
конструкционного бетонов и V = 16%. [1]
Поданная к месту укладки бетонная смесь должна иметь:
· требуемуюудобоукладываемость с отклонениями подвижности не
более 30% и жесткости не более 20%;
· среднюю плотность в уплотненном состоянии, не превышающую
требуемой более, чем на 5% (для легких бетонов) ;
· температуру в пределах 5-30°С, если принятой технологией не
предусмотрена более высокая температура смесей
· требуемый объем вовлеченного воздуха с отклонениями не более
±10% от заданного (для смесей с воздухововлекающими добавками).[4]
2. ВЫБОР И
ОБОСНОВАНИЕ СЫРЬЕВЫХ МАТЕРИАЛОВ
Рациональный выбор исходных материалов является важным фактором
обеспечения требуемых технических, технологических и экономических
характеристик бетона.
Для расчета состава шлакобетона выбраны следующие характеристики
материалов:
. Цемент: ПЦ М400 Д20, ρи=2950 кг/м3.Цемент отличается
повышенной прочностью на изгиб, высокой деформативной способностью, плотностью
и морозостойкостью, малой усадкой, большой прочностью на удар, малой
истираемостью.
Нормальная густота цементного теста - консистенция раствора вяжущего, при
которой получается тесто заданной подвижности. НГЦТ - 26, 05 %, расплыв конуса
110 мм, активность при пропаривании 28 МПа, прочность на сжатие в возрасте 28
суток 46 МПа, прочность при изгибе в возрасте 28 суток 5,5 МПа.
Таблица 2 - Химический состав цемента
|
Al2O3
|
Fe2O3
|
CaO
|
MgO
|
SO3
|
щелочи в пересчете на Na2O
|
|
%
|
5,25 - 6,03
|
3,9 - 4,5
|
60,5 - 63,23
|
1,6 - 2,6
|
1,4 - 2,2
|
0,2 - 0,3
|
Таблица 3- Минералогический состав клинкера
|
C3S
|
C2S
|
C3A
|
C4AF
|
|
%
|
62,3
|
13,6
|
7,3
|
10,0
|
2. Заполнители: золошлаковые смеси, образующиеся на тепловых
электростанциях при совместном гидроудалении золы и шлака в процессе сжигания
углей в пылевидном состоянии и применяемые в качестве компонента для
изготовления строительных растворов, а также тяжелых, легких и ячеистых бетонов
для сборных и монолитных бетонных и железобетонных конструкций и изделий.
Золошлаковые смеси состоят из зольной составляющей (частицы золы и шлака
размером менее 0,315 мм) и шлаковой, включающей:
шлаковый песок - зерна размером от 0,315 до 5 (3) мм;
шлаковый щебень - зерна размером свыше 5 (3) мм.
Таблица4 - Типы золошлаковых смесей
|
Наименование показателя
|
Значение показателя для
различных типов смесей
|
|
крупнозернистая
|
среднезернистая
|
мелкозернистая
|
|
Максимальный размер зерен
шлака шлаковой составляющей мм, не более
|
40
|
20
|
5
|
|
Содержание шлаковой
составляющей, % по массе
|
50-90
|
10-50
|
0-10
|
|
Содержание шлакового щебня
в шлаковой составляющей, % по массе
|
Более 20
|
Менее 20
|
-
|
Насыпная плотность золошлаковой смеси должна быть не более 1200 кг/м3.
Содержание оксида кальция СаО в зольной составляющей золошлаковой смеси и
в мелкозернистой смеси должно быть не более 10% по массе.
Содержание оксида магния MgO в зольной составляющей золошлаковой смеси и
в мелкозернистой смеси должно быть не более 5% по массе.
Содержание сернистых и сернокислых соединений в пересчете на SO3 в
зольной и шлаковой составляющих золошлаковой смеси должно быть не более 3% по
массе, в том числе сульфидной серы - не более 1 % по массе;
Содержание щелочных оксидов натрия и калия в пересчете на Na2O в зольной
составляющей золошлаковой смеси и в мелкозернистой смеси должно быть не более
3% по массе.
При приготовлении легких бетонов следует применять крупнозернистую смесь
с пористой шлаковой составляющей в качестве заполнителя при производстве
шлакобетонов, в том число и стеновых камней.[2]
. Добавки. В легких конструкционных бетонах можно применять
добавки, рекомендуемые для тяжелых бетонов. При изготовлении изделий из
конструкционно-теплоизоляционных легких бетонов классов В3,5 - В7,5 обязательно
применение воздухововлекающих добавок (MicroAir 114)с целью снижения на 50-150
кг/м3 средней плотности легкого бетона плотной структуры и на 5-19% его
теплопроводности за счет уменьшения содержания мелкого заполнителя; улучшения
удобоукладываемости, связности, однородности смеси при транспортировании и
формовании; уменьшения расхода пористых водопотребных песков или зол ТЭЦ со
снижением отпускной и эксплуатационной влажности бетона и повышением его
долговечности. Кроме этого, можно применять пластификаторы (Суперпластификатор
С-3 «FRAME C3»)для снижения на 10-20% водосодержания бетонной смеси и отпускной
влажности бетона; гидрофобизирующие добавки (Гидрофобизатор Мастерсил 303 B)для
уменьшения водопоглощения бетона в ограждающих конструкциях, эксплуатируемых в
агрессивных средах; ускорители твердения (Pozzolith 555)для обеспечения
требуемой распалубочной прочности при сокращенных режимах тепловой обработки.
Добавка MicroAir 114 - Воздухововлекающая добавка на основе синтетических
смол.
· В отличие от обычной воздухововлекающей смолы представляет
собой добавку в жидком виде, что исключает необходимость ее растворения перед
применением.
· Обеспечивается возможность точного дозирования.
· Образует мелкие воздушные поры.
· Хорошо действует при применении жесткой воды.
· Не содержит в своем составе хлоридов.
· Плотность (при 20°C) ρ = 1010 кг/см3
Суперпластификатор С-3 «FRAME C3»[7]
· повышает однородность бетонной смеси;
· повышает подвижность бетонной смеси с П1 до П5;
· повышение удобоукладываемости бетонных смесей без снижения
прочности и долговечностибетона;
· сокращение расхода цемента повышениеморозостойкости,
водонепроницаемости.
· Плотность ρ= 1160 кг/м3.
Гидрофобизатор Мастерсил 303 B силановый на водной основе для бетонных
поверхностей от воздействия погодных условий и хлоридов, однокомпонентный;
· наносится распылителем;
· улучшает эстетичность поверхности;
· обладает устойчивостью к кислотным осадкам и ультрафиолетовым
лучам;
· не влияет на паропроницаемость;
· легко применяется;
· экологически чистый.
· Плотность, ρ = 1010кг/м3.555Ускоритель схватывания
бетона.
Химическая добавка Pozzolith 555 представляет собой водный раствор
синтетических полимеров, который ускоряет схватывание и повышает раннюю
прочность бетона.Pozzolith 555 особенно эффективен при бетонировании в холодных
погодных условиях. Тесты показали, что бетон, изготовленный с использованием
Pozzolith 555, обладает практически одинаковым временем затвердевания с
бетоном, изготовленным с использованием 2% хлорида кальция.
· Значительно увеличивается скорость работ по бетонированию;
· Увеличивается оборачиваемость опалубочных форм;
· Обеспечиваются более быстрые сроки введения конструкций в
эксплуатацию;
· Не содержит в своем составе хлоридов, поэтому не вызывает
коррозию железной арматуры.
· Плотность (при 20°C) ρ = 1376 кг/м3.
3. РАСЧЕТ
СОСТАВА БЕТОНА
Расчет базового состава бетона
. Рассчитать состав В5 с подвижностью бетонной смеси 1-4 см (П1).
Марка бетона: по прочности на сжатие М75,
по средней плотности D1200,
по морозостойкости F100.
Цемент М400, ρ = 2950 кг/м3.
Характеристика заполнителя:золошлаковая смесь, Dнаиб = 40 мм, ρ = 1200 кг/м3.
Марка заполнителя 600, марка заполнителя по прочности П35.
.1 Цементно-водное отношение рассчитываем по формуле (1):
где V - коэффициент вариации (16%)
Rб - плотность бетона через 28 суток,
МПа
Назначаем ориентировочный расход цемента. Расход цемента составляет 230
кг/м3, средняя плотность бетона в сухом состоянии ρ
= 1000 кг/м3.
[8]
Назначаем ориентировочный расход воды в соответствии с заданным
показателем подвижности бетонной смеси. Расход воды принимаем 190 л/м3.
[9]
Рассчитываем ориентировочный расход заполнителей, исходя из заданной
средней насыпной плотности бетона в сухом состоянии, по формуле (3):
где З - суммарный расход песка и крупного заполнителя на 1м3бетона,
кг;
ρ0 - заданная плотность сухого бетона кг/м3;
,15Ц - масса цементного камня в бетоне с учетом химически связанной
гидратной воды, кг.

.
Проверка
правильности расчета состава бетона производят по формуле (4):
Расчет
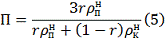
щебня и песка в составе золошлаковой смеси производится по формулам (5) и (6):
где
П - расход песка на 1 м3 бетона, кг;
ρнп ,ρнк - насыпная плотность соответственно песка и щебня,
кг/м3;
r - доля песка
по объему в смеси заполнителя, r = 0,4
4.
РАСЧЕТ СОСТАВА БЕТОНА С ДОБАВКАМИ
Расход
воды определяют по формуле (7):
Где
В1 - расход воды на 1 м3 бетонной смеси с добавкой, л;
к
- коэффициент эффективности введения добавки;
В
- расход воды на 1 м3 бетонной смеси без добавки.
Расход
цемента на 1 м3 бетонной смеси рассчитывают по формуле (8):
РАСЧЕТ
СОСТАВА БЕТОНА С ДОБАВКОЙ:
· MicroAir 114 (снижение водопотребности на 5%).
Расчет заполнителей производится по формуле (4):
· С-3 «FRAME C3» (снижение водопотребности на 10%).
· Мастерсил 303B (снижение водопотребности на 8%).
· Pozzolith 555 (снижение водопотребности на 3%).
бетонный смесь шлакобетон
Таблица 5- Расходы материалов на 1 м3 бетона
|
№ состава
|
Вид добавки
|
Кол-во добавки, % массы
цемента
|
Расход материалов на 1 м3
бетона
|
Добавка [4]
|
|
|
|
Ц
|
В
|
З
|
|
|
1
|
-
|
-
|
230
|
190
|
735,5
|
-
|
|
2
|
MicroAir 114
|
0,35
|
131,76
|
180,5
|
848,47
|
0,46
|
|
3
|
С-3 «FRAME C3»
|
0,6
|
127,83
|
171
|
856,44
|
0,76
|
|
4
|
Мастерсил 303B
|
0,3
|
127,6
|
174,8
|
853,25
|
0,38
|
|
5
|
Pozzolith 555
|
1,1
|
129,01
|
184,3
|
851,6
|
1,41
|
5. ТЕХНИКО-ЭКОНОМИЧЕСКАЯ ОЦЕНКА СОСТАВОВ БЕТОНА
Технико-экономическая оценка составов бетона производится по формулам (9)
и (10):
где Сб - изменяющаяся часть себестоимости 1 м3
бетона, руб/м3;
Сц, Сщ, Св, Сп и Сд
- стоимость единицы продукции соответственно цемента, песка, щебня, воды и
добавки, руб.;
Ц,П,Щ,В и Д - расходы цемента, песка, щебня, воды и добавки на 1 м3
бетона;
Суд - удельные затраты на создание линии по приготовлению
добавки, руб (принимается в размере одного процента от стоимости 1 м3
бетона).
где Эв - энергозатраты на 1 м3 бетона, кгуслов.
топл/м3;
Эщ, Эп,Эц, Эв - энергозатраты
на производство единицы продукции соответственно цемента, песка, щебня, воды,
кг услов.топл.
Результаты расчетов представлены в таблице 6 и 7.
Таблица6-Расчет изменяющейся части себестоимости 1 м3 бетонных смесей
различного состава и экономического эффекта от введения добавок
|
Материал
|
Стоимость единицы, руб
|
Смесь без добавки
|
Смесь с добавками
|
|
|
|
MicroAir 114
|
С-3 «FRAME C3»
|
Мастерсил 330В
|
Pozzolith 555
|
|
|
|
Снижение водопотребностина
|
|
|
|
5%
|
10%
|
8%
|
3%
|
|
|
расход
|
затраты
|
расход
|
затраты
|
расход
|
затраты
|
расход
|
затраты
|
расход
|
затраты
|
|
Цемент, т
|
3500
|
0,230
|
805
|
0,13176
|
461,16
|
0,12783
|
447,40
|
0,1276
|
446,6
|
0,12901
|
451,53
|
|
Золошлаковаясмесь, т
|
700
|
0,7355
|
514,85
|
0,84847
|
593,92
|
0,85644
|
599,51
|
0,85325
|
597,27
|
0,8516
|
596,12
|
|
Вода, м3
|
25
|
0,190
|
4,75
|
0,1805
|
4,51
|
0,171
|
4,27
|
0,1748
|
4,37
|
0,1843
|
4,61
|
|
ДобавкаMicroAir 114 , кг
|
0,85
|
-
|
-
|
0,46
|
0,391
|
-
|
-
|
-
|
-
|
-
|
-
|
|
Добавка С-3 «FRAME C3», кг
|
48
|
-
|
-
|
-
|
0,76
|
36,48
|
-
|
-
|
-
|
-
|
|
Добавка Мастерсил 303 B, кг
|
290,23
|
-
|
-
|
-
|
-
|
-
|
-
|
0,38
|
110,28
|
-
|
-
|
|
Добавка Pozzolith 555, кг
|
252
|
-
|
-
|
-
|
-
|
-
|
-
|
-
|
-
|
1,41
|
355,32
|
|
Уд.затраты на создание
линии по приготовлению добавки, руб.
|
-
|
-
|
-
|
-
|
10,59
|
-
|
10,87
|
-
|
11,58
|
-
|
14,07
|
|
Изменяющая часть
себестоимости смеси, руб/м3
|
-
|
-
|
1324,6
|
-
|
1070,57
|
-
|
1098,53
|
-
|
1170,1
|
-
|
1421,65
|
|
Экономический эффект,
руб/м3
|
-
|
-
|
-
|
-
|
254,03
|
-
|
226,07
|
-
|
154,5
|
-
|
-97,05
|
Таблица 7- Расчет энергозатрат на производство материалов для 1 м3
бетонных смесей различного состава
|
Материал
|
Энергозатраты на
произ-водство единицы материала, кг усл.топл
|
Смесь без добавки
|
Смесь с добавками
|
|
|
|
MicroAir 114
|
С-3 «FRAME C3»
|
Мастерсил 330В
|
Pozzolith 555
|
|
|
|
Снижение водопотребностина
|
|
|
|
5%
|
10%
|
8%
|
3%
|
|
|
расход
|
затраты
|
расход
|
затраты
|
расход
|
затраты
|
расход
|
затраты
|
расход
|
затраты
|
|
Цемент, т
|
260
|
0,230
|
59,8
|
0,13176
|
34,25
|
0,12783
|
33,23
|
0,1276
|
33,17
|
0,12901
|
33,54
|
|
Золошлаковая смесь, м3
|
43
|
0,7355
|
31,62
|
0,84847
|
36,48
|
0,85644
|
36,82
|
0,85325
|
36,68
|
0,8516
|
36,61
|
|
Вода, м3
|
9,6
|
0,190
|
1,824
|
0,1805
|
1,73
|
0,171
|
1,64
|
0,1748
|
1,67
|
0,1843
|
1,76
|
|
Итого энергозатрат на
материалы
|
|
-
|
93,24
|
-
|
72,46
|
-
|
71,69
|
-
|
71,52
|
-
|
71,91
|
ЗАКЛЮЧЕНИЕ
В результате сравнения рассчитанных составов бетона наиболее оптимальным
составом смеси по изменяющейся части себестоимости бетонных смесей и расходу условного
топлива на производство материалов на 1 м3 бетона выбран состав бетона с
добавкой MicroAir 114.
Технико-экономические расчеты проиллюстрированы на рисунке 2 и 3.
Экономический эффект составляет 254,03 руб/м3.
Рисунок 2 - Диаграмма изменяющейся части себестоимости смеси, руб/м3
Рисунок 3 - Диаграмма энергозатрат на материалы, кгусл топлива/м3
СПИСОК
ИСПОЛЬЗОВАННОЙ ЛИТЕРАТУРЫ
1. ГОСТ 25820-83 (с изм. 1989) Бетоны легкие. Технические
условия. -Введ. 1984-01-01.
М.: Изд-во стандартов, 1989. -15с.
. ГОСТ 24211-91 Щебень и песок из шлаков тепловых
электростанций для бетона. Технические условия. -Введ. 1987-01-01. -М.: Изд-во
стандартов, 1987. -4с.
3. ГОСТ 25820-83 (с изм. 1989) Бетоны легкие.
Технические условия. -Введ. 1984-01-01.
- М.: Изд-во стандартов, 1989. -15с.
. Пособие по применению химических добавок при
производстве сборных железобетонных конструкций и изделий (к СНиП
3.09.01-85)/НИИЖБ М.: Стройиздат, 1989. -39 с.
5. Оглоблина Е.А. Расчет состава бетона различных
видов. Методические указания к выполнению расчетно-графической работы по
дисциплине «Технология бетона, строительных изделий и конструкций».
Магнитогорск: МГТУ, 2002. - 30 с.
. ГОСТ 19010-82 Блоки стеновые бетонные и
железобетонные для зданий. Технические условия. - Введ. 1982-29-01. -М.: Изд-во
стандартов, 1982. - 8с.
. Добавка С-3 «FRAME C3»ТУ ВУ 190669631.663-2009.
. СНиП 5.01.23-83. Типовые нормы расхода цемента для
приготовления бетонов сборных и монолитных бетонных, железобетонных изделий и
конструкций / Госстрой СССР. - М.: Стройиздат, 1985.
. Рекомендации по подбору составов легких бетонов(к
ГОСТ 27006-86)/ГОССТРОЙ СССР. -М.: Стройиздат, 1990.