Исследование потребителей безалкогольных напитков в РБ

  • Вид работы:
    Курсовая работа (т)
  • Предмет:
    Маркетинг
  • Язык:
    Русский
    ,
    Формат файла:
    MS Word
    294,8 Кб
  • Опубликовано:
    2012-11-21
Вы можете узнать стоимость помощи в написании студенческой работы.
Помощь в написании работы, которую точно примут!

Исследование потребителей безалкогольных напитков в РБ

Реферат

Курсовая работа: 32стр , 8 рис., приложение-3 табл., 10 источников.

Объект исследования - СООО «АкваТрайпл»

Предмет исследования - маркетинговая деятельность на предприятии, управление маркетингом.

Цель работы: изучить управление маркетингом, сущность маркетинговой деятельности, научиться анализировать полученные данные в результате исследований.

Методы исследования: деятельность предприятия, опрос потребителей, анкетирование, сегментация рынка.

Исследования и разработки: изучить управление маркетингом, используя теоретический материал и собственную полученную информацию, провести исследование потребителей безалкогольных напитков и дать рекомендации СООО «Акватрайпл» по усовершенствованию маркетинга на предприятии.

Автор работы подтверждает, что приведенный в ней расчетно-аналитический материал правильно и объективно (с указанной в тексте степенью достоверности) отражает состояние исследуемого процесса, а все заимствованные из литературных источников теоретические, методологические и методические положения и концепции сопровождаются ссылками.

Содержание

Введение

.   Суть и классификации экспертных методов

.1 Экспертные методы сбора маркетинговой информации

1.2     Основные групповые методы формирования экспертизы

.3       Порядок проведения экспертных опросов и содержание их отдельных этапов

2. Исследование рынка безалкогольных напитков

.1 Характеристика СООО «АкваТрайпл»

2.2     Управление маркетингом на СООО «АкваТрайпл»

.3       Исследование потребителей безалкогольных напитков

.4       Рекомендации по улучшению маркетинговой деятельности на предприятии

Заключение

Список литературы

Приложения

Введение

В сегодняшнем сложном мире все мы должны разбираться в маркетинге. Продавая машину, подыскивая работу, собирая средства на благотворительные нужды или пропагандируя идею, мы занимаемся маркетингом. Нам нужно знать, что представляет собой рынок, кто на нем действует, как он функционирует, каковы его запросы. Нам нужно разбираться в маркетинге и нашей роли потребителей, и в нашей роли граждан. Знание маркетинга позволяет нам вести себя более разумно в качестве потребителей, будь то покупка зубной пасты или нового автомобиля.

Если же речь идет о производственной деятельности то здесь маркетинг выступает системой организации всей деятельности фирмы по разработке, производству и сбыту товаров на основе комплексного изучения рынка и реальных запросов покупателей с целью получения высокой прибыли. Другими словами современная система маркетинга ставит производство товаров в зависимость от запросов потребителей. [5]

СООО «АкваТрайпл» компания, специализирующаяся на производстве и реализации безалкогольных напитков. Бренд компании достаточно известен на отечественном рынке, продукция компании отличается качеством и достойным оформлением произведенной продукции. Однако для дальнейшего роста компании и освоении новых долей рынка компании необходимо постоянно проводить ряд мероприятий по усовершенствованию маркетинга на предприятии.

В связи с этим, целью данной работы является исследования рынка безалкогольных напитков РБ и разработка рекомендаций по совершенствованию маркетинговой деятельности.

Исходя из цели, были поставлены следующие задачи:

-  дать характеристику СООО «АкваТрайпл» как хозяйствующего субъекта;

-       определить систему управления маркетингом на предприятии;

-       провести исследование потребителей безалкогольных напитков;

- проанализировать полученную информацию и дать рекомендацию СООО «АкваТрайпл»

1. Суть и классификации экспертных методов

.1 Экспертные методы сбора маркетинговой информации

Маркетинговые явления и процессы в большинстве своем невозможно однозначно описать и формализовано исследовать, поэтому при маркетинговом анализе и прогнозировании часто не обойтись без использования мнения экспертов.

Суть экспертного исследования состоит в подборе и формировании группы независимых достаточно компетентных в изучаемой проблеме специалистов, которые высказывают свое согласованное мнение, рассматриваемое как экспертная оценка. Методы экспертных оценок основаны на использовании знаний, опыта, интуиции специалистов-маркетологов и используются при изучении рыночной ситуации, в прогнозировании рыночных параметров и составлении сценариев развития рынка, принятии стратегических решений, в характеристике качества продукции, в оценках потенциала конкурентов и т.д.

Методы экспертизы могут быть классифицированы следующим образом:

·  индивидуальные методы экспертизы,

·        групповые методы экспертизы.

Экспертные методы, относящиеся к первой группе, предполагают индивидуальную работу исследователей с каждым из привлеченных экспертов. При этом может быть задействован и один эксперт, если его квалификации достаточно для снятия информационной неопределенности по проблеме, однако обычно привлекают несколько экспертов для повышения надежности экспертизы.

Индивидуальность заключается в том, что эксперты не собираются вместе, не знакомятся с оценками других экспертов, разных экспертов могут опрашивать относительно разных аспектов одной проблемы, также могут быть различны и процедуры опроса разных экспертов. Чаще всего при индивидуальном экспертном опросе используются следующие методы. Рассмотрим некоторые из них:

) Стандартизированный экспертный опрос. Для реализации опроса разрабатывается стандартизированная анкета с вопросами закрытого типа (с предложением вариантов ответа). Анкетирование может проводиться как при личной беседе интервьюера с экспертом, так и путем «самозаполнения». В этом случае присутствие интервьюера необязательно, анкета может быть отправлена по обычной или электронной почте, однако требуется заключение предварительной договоренности с экспертом об опросе. Метод предполагает высокую квалификацию специалистов-исследователей на этапе постановки задачи и планирования исследования, однако весьма прост в части организации и проведения опроса, а также в части обработки полученной информации.

Требования к анкетам (структура, формулировка вопросов и вариантов ответов) достаточно стандартны и аналогичны требованиям, предъявляемым к опросам неэкспертного уровня.

) Нестандартизированный экспертный опрос. Метод представляет собой личное интервью с экспертом по определенной проблеме.

Интервью может проводиться либо в форме неформальной беседы, для которой определяется только тема, а далее эксперт сам решает, как ее освещать (интервьюер при этом задает уточняющие или наводящие вопросы), либо в форме четко структурированного опросника с вопросами открытого типа.

Данный метод по сравнению с предыдущим более сложен как на этапе проведения опроса (требует высокой квалификации интервьюера), так и на этапе интерпретации полученной информации и требует высокой квалификации исследователя.

) Метод «индивидуального блокнота» представляет собой заочную работу эксперта без непосредственного общения с исследователями.

Эксперт получает блокнот, на первой странице которого описана проблема, и затем в течение оговоренного периода времени (определяемого сложностью проблемы и срочностью ее решения) заносит в этот блокнот все свои мысли, идеи, замечания, касающиеся поставленной задачи, после чего сдает блокнот исследователям. Существенную сложность представляет последующая обработка информации и ее интерпретация. Метод требует значительного вовлечения эксперта и, следовательно, предполагает высокий уровень оплаты его труда.

В отличие от индивидуальных групповые методы предполагают коллективную работу экспертов (очную или заочную), они требуют согласования мнений всех экспертов и разработку общего экспертного вывода на основе консенсуса. Групповые методы предпочтительнее с точки зрения повышения надежности экспертизы, однако они весьма сложны по подготовке и проведению. Требуются высококвалифицированные специалисты для разработки процедуры группового взаимодействия. Далеко не всегда удается собрать в одно время и в одном месте необходимое количество экспертов, отвечающих нужным требованиям.

Групповые методы формирования экспертизы в зависимости от характера и направленности обсуждения подразделяют на аналитические и креативные.

Аналитические методы нацелены преимущественно на исследование характеристик изучаемого объекта. Креативные имеют своей целью коллективную генерацию идей или выработку решения проблемы.

Соответствующим образом классифицируют и экспертные группы:

·  обсуждающие группы (основная цель работы аналитическая),

·        созидательные группы (основная цель креативная).

Вывод

Суть экспертного исследования состоит в подборе и формировании группы независимых достаточно компетентных в изучаемой проблеме специалистов, которые высказывают свое согласованное мнение, рассматриваемое как экспертная оценка. Методы экспертных оценок основаны на использовании знаний, опыта, интуиции специалистов-маркетологов и используются при изучении рыночной ситуации, в прогнозировании рыночных параметров и составлении сценариев развития рынка, принятии стратегических решений, в характеристике качества продукции, в оценках потенциала конкурентов.

1.2 Основные групповые методы формирования экспертизы

. Метод номинальных групп. Метод представляет собой переходную разновидность от индивидуального опроса к групповому. При реализации этого метода сначала производится индивидуальный опрос одних экспертов, а затем результаты данных интервью так же автономно и независимо друг от друга обсуждаются другими экспертами. Эксперты могут выразить согласие или несогласие с ранее прозвучавшими мнениями, необходимо, чтобы критика или выражение солидарности были четко аргументированы.

. Метод коллективной генерации идей (по американской терминологии, метод «мозговой атаки») направлен на получение большого количества идей, в том числе и от лиц, которые, обладая достаточно высокой степенью эрудиции, обычно воздерживаются от высказываний.

При проведении экспертного опроса с помощью метода коллективной генерации идей проблема должна быть сформулирована в основных терминах с выделением центрального вопроса. Кроме того, предусматриваются отсутствие любого вида критики, препятствующей формулировке идей, свободная интерпретация идей в рамках данного вопроса, стремление к получению максимального количества идей, учитывая принцип повышения вероятности полезных предложений с увеличением общего их количества и, наконец, поощрение различных комбинаций идей и путей их усовершенствования.

Процесс выдвижения идей протекает в определенном смысле лавинообразно: высказываемая одним из членов группы идея порождает творческую реакцию у других. Исследования эффективности метода коллективной генерации идей показали, что групповое мышление производит на 70% больше ценных новых идей, чем сумма индивидуальных мышлений. Наиболее продуктивными признаны группы в 10-15 человек, хотя имеются примеры использования и более многочисленных групп - до 200 человек.

Так как результаты этого метода представляют не совокупность несвязанных высказываний, а систему идей, ни одно предложение не персонифицируется. Результаты обсуждения считаются плодом коллективного труда всей группы. Это вполне закономерно. Ведь любая идея, высказанная в данный момент одним из участников опроса, могла уже ранее «мысленно принадлежать» его коллеге, ожидающему слова. Кроме того, конкретное предложение может быть прямо подсказано идеей, поданной кем-то несколькими минутами раньше. Принимая во внимание указанный аспект, на рассмотрение не рекомендуется выносить проблемы, затрагивающие чей-либо приоритет в рассматриваемой области.

С помощью метода коллективной генерации идей можно успешно решать многие задачи маркетинговых исследований, например:

определение возможных путей развития прогнозируемого процесса или объекта, один из которых оптимальный; при решении подобных задач данный метод применяется с целью определения полного набора возможных путей развития;

определение наиболее широкого круга применяемых методов, если решение проблемы требует параллельного или последовательного использования ряда разнообразных методов;

выявление круга факторов, которые необходимо принимать во внимание, определяя окончательный вариант решения задачи.

К числу важнейших недостатков метода коллективной генерации идей относятся значительный уровень информационного шума, создаваемого тривиальными идеями, спонтанный и стихийный характер генерации идей.

Принципы метода коллективной генерации идей явно просматриваются в «пятиминутках» и «оперативках».

. Критическая атака. Метод также представляет собой вариант метода мозгового штурма, его принципиальное отличие - в критической направленности обсуждения. Реализация метода включает несколько этапов. На первом этапе каждый участник экспертной группы предлагает свое решение поставленной задачи (свою интерпретацию при анализе ситуации) или свою версию развития событий (при прогнозе). Решение должно предлагаться с подробной аргументацией. Далее каждый эксперт должен ознакомиться с мнениями своих коллег и найти и аргументировать в предлагаемых решениях максимально возможное число слабостей. На следующем этапе эксперты собираются вместе и по очереди обсуждают все выдвинутые решения. Задача каждого автора - отстоять свою версию решения, задача оппонентов - «разнести ее в пух и прах». По итогам дискуссии эксперты выбирают то решение, которое вызвало меньше всего нареканий и было наиболее обоснованным.

. Экспертное фокусирование. Метод представляет собой одну из форм совместного очного обсуждения проблемы. Эксперты всесторонне рассматривают исследуемую ситуацию, «фокусируются» на ней. Основная цель - выявить структуру данной проблемы, определить по возможности все факторы, определяющие данную ситуацию, установить взаимосвязи между ними. Обсуждение носит более деловой характер, чем при классической версии мозгового штурма.

. Метод интеграции решений заключается в выработке совместного решения проблемы на основе выявления сильных сторон отдельных решений и их объединения. Метод реализуется в несколько этапов. На первом этапе экспертам предлагается задача, и они рассматривают и решают ее независимо друг от друга. Затем в заранее подготовленный формуляр эксперты заносят свои индивидуальные решения, т.е. трактовку анализируемой ситуации или прогноз развития событий. На следующем этапе эксперты совместно обсуждают задачу и все предложенные решения с целью выявить сильные стороны каждого отдельного решения, которые также фиксируются в формуляре. При представлении индивидуальных решений возможны вариации - либо каждое решение презентуется автором и подробно аргументируется, либо соблюдается анонимность решений, чтобы избежать давления авторитетов. После того как обсуждены все решения и определены сильные стороны каждого из них, вырабатывается синтезированное решение на основе комбинирования преимуществ отдельных решений.

. Деловая игра. Метод может быть реализован в разных формах. Наиболее распространенная форма - моделирование анализируемых процессов и/или будущего развития прогнозируемого явления в разных вариантах и рассмотрение полученных данных. Разработка процедуры проведения деловой игры - достаточно сложная задача, и ей должно быть уделено серьезное внимание. Должны быть четко определены и формально описаны следующие элементы игры: цели и задачи, роли участников, сюжет и регламент. Важным этапом любой деловой игры является рефлексия - разбор хода игры и подведение итогов. В данном случае рефлексия заключается не только в анализе самого игрового процесса, но и в анализе результатов моделирования исследуемого явления.

. Метод «суда». Метод представляет собой одну из разновидностей деловых игр. Обсуждение поставленной задачи реализуется в виде судебного процесса: моделируется «процесс над проблемой». Выбираются «адвокат», «прокурор», «суд», «присяжные» и др. участники «процесса». Каждый отстаивает свою точку зрения, касающуюся анализируемого или прогнозируемого явления, аргументируя свои высказывания. Окончательный вердикт об исследуемой проблеме определяется в два этапа: голосование «присяжных» и конкретизация решения «судьями».

. «Консилиум». Эксперты исследуют проблему подобно тому, как врачи обследуют пациента: определяются «симптомы» проявления проблемы, вскрываются причины возникновения проблемы, производится анализ, ставится «диагноз», и дается прогноз развития ситуации.

. «Коллективный блокнот» в основе своей аналогичен методу «индивидуального блокнота», однако в данном случае блокноты получают несколько экспертов, каждый из которых знает, что он является участником экспертной группы. Возможен вариант, когда в начале работы все эксперты собираются вместе и им рассказывают о сущности возникшей проблемы и формулируют задачу. Далее каждый эксперт работает со своим блокнотом в течение определенного времени (при этом также возможно, что разные эксперты сосредотачиваются на разных сторонах проблемы). Второй этап реализации экспертизы заключается в том, что блокноты собираются, информация систематизируется (исследовательской командой или руководителем экспертной группы) и далее в очном совместном обсуждении накопленного и систематизированного материала эксперты приходят к решению проблемы.[1]

. Метод Дельфи. Создатели этого метода назвали его «Дельфи» по имени древнегреческого города Дельфы, который заслужил свою известность оракулами, занимавшимися предсказанием будущего. Эти предсказания не были обычными для того времени пророчествами отдельных прорицателей. Это были предсказания, которые обнародовались лишь после тщательного обсуждения на совете дельфийских мудрецов и досконального ознакомления всех членов совета с обстоятельствами дела.

Первоначально рассматривалось применение метода «Дельфи» только для целей повышения качества прогнозирования. Первый эксперимент, выполненный в конце 40-х годов нашего века, относился к попытке определить лучший выигрыш на бегах по результатам ежедневных сообщений о заездах.

Метод «Дельфи» можно назвать «кибернетическим арбитражем» - кибернетическим потому, что процесс выработки суждений экспертами здесь управляется рабочей группой через обратную связь.

В методе «Дельфи» делается попытка усовершенствовать групповой подход к решению задачи разработки прогноза или оценки путем взаимной критики субъективных взглядов, высказываемых отдельными специалистами без непосредственных контактов между ними и при сохранении анонимности мнений или аргументации в защиту этих мнений.

В одном из вариантов этого метода прямое обсуждение заменяется обменом информацией и мнениями с помощью тщательно разработанных вопросников. К участникам обращаются с просьбой не только высказать свои мнения, но и привести их обоснование, а в каждом из последующих туров опроса им выдается новая и уточненная информация по высказанным мнениям, которая образуется в результате расчета совпадения точек по ранее выполненным этапам работы. Этот процесс продолжается до тех пор, пока продвижение в направлении повышения совпадения точек зрения не становится незначительным. После этого фиксируются расходящиеся точки зрения.

Для уяснения сущности метода «Дельфи» рассмотрим пример оценки стоимости какого-либо сложного проекта, при проведении которой могут существовать различные точки зрения и суждения. Будем решать эту задачу в следующей последовательности. Во-первых, попросим отдельно каждого эксперта дать свою оценку стоимости С, затем расположим ответы в порядке возрастания предлагаемых значений и определим квартили Q1, М и Qз таким образом, чтобы каждый из четырех интервалов, образованных этими тремя точками на линии значений С, содержал примерно одну четвертую часть оценок. Для 11 участников это будет выглядеть следующим образом:


Во-вторых, значения Q1 М и Q3 (мнение экспертной группы) сообщаем участникам опроса и в том случае, если первоначальная оценка выходит за междуквартальное значение (Q1 - Q3), просим пересмотреть ее, а также высказать свои соображения, почему ответ должен быть ниже (или выше) значений, определенных 75% участников первого тура.

В-третьих, передаем результаты второго тура (которые, как правило, имеют меньшее расхождение, чем в первом туре) в обобщенной форме всем участникам опроса, включая сюда новые квартили и медиану. Кроме того, фиксируются обоснования уменьшения или увеличения значений, предложенных участникам опроса во втором туре (конечно, при их обобщении и редактировании сохраняется анонимность авторов). После этого экспертов просят рассмотреть новые оценки и их обоснования, высказать свое сомнение об их весомости и пересмотреть свою предыдущую оценку. В том случае, если пересмотренные оценки выпадают из междуквартальных значений, то автора просят кратко изложить причины его несогласия с аргументами, которые привели бы его оценку ближе к значению медианы.

Наконец, в четвертом туре участникам опроса сообщают квартили третьего распределения ответов и контраргументы, высказанные в третьем туре, и просят еще раз пересмотреть оценки. Медиана, получаемая в результате четвертого тура, принимается в качестве значения групповой экспертной оценки. Зачастую требуемый уровень консенсуса экспертов достигается за два тура. Метод «Дельфи» успешно применяется в маркетинге, например, при решении таких задач, как экспертное определение сметной стоимости необычных проектов, выявление множества важнейших факторов, путей решения маркетинговых проблем (например, увеличение сбыта).[2]

Вывод. Для формирования экспертизы используются следующие методы:

.   Метод номинальных групп.

2.       Метод коллективной генерации идей направлен на получение большого количества идей, в том числе и от лиц, которые, обладая достаточно высокой степенью эрудиции.

.        Критическая атака.

.        .Экспертное фокусирование.

.        Метод комиссий также заключается в совместном обсуждении проблемы.

.        Метод интеграции решений заключается в выработке совместного решения проблемы на основе выявления сильных сторон отдельных решений и их объединения.

.        Деловая игра.

.        Метод «суда». Метод представляет собой одну из разновидностей деловых игр.

.        «Консилиум».

10. Метод «Коллективного блокнота».

11.     Метод «Дельфи».

1.3. Порядок проведения экспертных опросов и содержаниеих отдельных этапов

Можно выделить следующие основные этапы экспертных опросов:

1. Подбор экспертов и формирование экспертных групп.

. Формирование вопросов и составление анкет.

. Формирование правил определения суммарных оценок на основе оценок отдельных экспертов.

. Работа с экспертами.

5. Анализ и обработка экспертных оценок.

Кратко рассмотрим содержание отдельных этапов экспертных опросов.

.   Подбор экспертов и формирование экспертных групп

На первом этапе, исходя из целей экспертного опроса, решаются вопросы относительно структуры экспертной группы, количества экспертов и их индивидуальных качеств, иными словами, определяются направления (разработка нового продукта, ценообразование, сбыт и т.п.), по которым необходимо или желательно привлечь экспертов (устанавливается специализация экспертов). Далее по каждому направлению выделяются подгруппы экспертов, и устанавливается количество экспертов в каждой подгруппе, которое зависит от конкретной постановки задачи и должно обеспечивать необходимый охват и полноту аспектов по каждому конкретному вопросу. Затем определяются требования к квалификации экспертов, стажу их работы в данной области опроса и общему стажу.

Зачастую расчеты по формулам математической статистики дают слишком высокие значения численности экспертной группы (порой больше 100 экспертов), поэтому на практике можно рекомендовать использовать «прагматический» подход, который не является столь теоретически обоснованным, как первый подход, но зато легко реализуемым.

Оценки численности группы экспертов в этом случае можно произвести, руководствуясь следующими соображениями. Ясно, что численность группы не должна быть малой, так как в этом случае был бы потерян смысл формирования экспертных оценок, определяемых группой специалистов. Кроме того, на групповые экспертные оценки в значительной степени влияла бы оценка каждого эксперта. При увеличении группы экспертов хотя и устраняются эти недостатки, но зато появляется опасность возникновения новых. Так, при очень большом числе экспертов оценка каждого из них в отдельности почти не влияет на групповую оценку. Причем рост численности экспертной группы далеко не всегда приносит повышение достоверности оценок. Часто расширение группы экспертов возможно лишь за счет привлечения малоквалифицированных специалистов, что в свою очередь может привести лишь к уменьшению достоверности групповых оценок. Одновременно с ростом числа экспертов увеличиваются трудности, связанные с обработкой результатов опроса и координацией работы группы. Следовательно, существуют некоторые граничные оценки численности группы экспертов Nmin и Nmax, которые определяются следующим образом.

Нижняя оценка численности Nmin должна зависеть от числа оцениваемых событий. Данное предположение основано на существовани» правила, которое обычно соблюдается при работе ученых советов, комиссий специалистов и т.д., а именно - требований представительности группы, состоящей из N экспертов, для принятия решений по множеству m событий, которое можно представить как N ≥ m. Поэтому принимаем Nmin ≥ m.

Верхней границей численности экспертной группы является потенциально возможное число экспертов:


откуда действительное значение численности группы N находится в пределах


После того как найдена численность группы, определяется ее структура и состав, т.е. подбираются в группу эксперты требуемой специализации и квалификации. Для того чтобы экспертная группа могла всесторонне произвести оценку событий, число экспертов Nl каждого l-го направления желательно выбрать одинаковым:

;

где l=1,2,…,r- число направлений

Далее должно быть учтено одно ограничение, касающееся соответствия целей экспертов целям экспертного опроса, т.е. необходимо установить, имеется ли тенденция у отдельных экспертов необъективно оценивать рассматриваемые события. Для этого желательно выявить потенциальные возможные цели экспертов, противоречащие целям получения объективных результатов. Анализируя предшествующую деятельность экспертов, необходимо выяснить наличие причин, которые приводят к стремлению завышать или занижать оценки так, чтобы повлиять на групповые в желательном для себя либо для других лиц направлении.

На основе сформулированных выше условий последовательность формирования группы экспертов может быть следующей. Сначала определяется потенциально возможное число экспертов Nn, а также минимально допустимая численность группы Nmin. После этого среди потенциально возможных экспертов выделяют группу специалистов Nk (Nk ≤ Nn) требуемой квалификации для оцениваемого класса событий. Затем из Nk исключают тех экспертов, чьи потенциально возможные цели могут противоречить целям получения объективных результатов. Из оставшихся экспертов Nц (Nц ≤ Nk) формируют группу так, чтобы в ней обеспечивалось равночисленное представительство разных направлений. Для этого вначале определяют максимально возможное число представителей каждого направления.

.   Формирование вопросов и составление анкет

Правила опроса экспертов содержат ряд положений, обязательных к выполнению всеми. Эти правила должны обеспечивать соблюдение условий, благоприятствующих формированию экспертами объективного мнения. В число таких условий входит:

независимость формирования экспертами собственного мнения об оцениваемых событиях;

удобство работы с предполагаемыми анкетами (вопросы формулируются в общепринятых терминах и должны исключать всякую смысловую неоднозначность и др.

логическое соответствие вопросов структуре объекта опроса;

приемлемые затраты времени на ответы по вопросам анкеты, удобное время получения вопросов и выдачи ответов;

сохранение анонимности ответов для членов экспертной группы;

проведение коллективных обсуждений оцениваемых событий;

предоставление экспертам требуемой информации.

Для обеспечения выполнения этих условий должны быть разработаны правила проведения опроса и организации работы экспертной группы. Причем в них должна быть учтена специфика оцениваемых событий, а также особенности организаций, из которых приглашаются эксперты.

.   Формирование правил определения суммарных оценок на основе оценок отдельных экспертов

Если имеются оценки aij событий (факторов) Сi определенные каждым nj є N экспертом, то возникает вопрос о том, каким образом могут быть получены групповые оценки событий.

В общем случае групповая оценка ai каждого Сi события зависит от оценок экспертами этого события и степени компетентности hj, экспертов. Степень компетентности hj, эксперта учитывает его опыт и квалификацию и является основной характеристикой эксперта, которая используется при определении групповых оценок. Поэтому

= f(),

Где i=1,2,…,m;

J=1,2,…,p;

Следовательно, задание способа формирования групповых экспертных оценок состоит в определении этой функции. Причем необходимо, чтобы она была строго монотонно возрастающей по aij и hj).

В зависимости от специфики экспертного опроса, объекта исследования и используемой методики обработки экспертных данных оценки aij могут иметь различную шкалу измерения: от 0 до 1, от 0 до 10 и от 0 до 100. Принципиальной разницы в данных шкалах нет, выбор той или иной из них во многом определяется удобством получения и обработки оценок, а также вкусом исследователя, проводящего экспертный опрос.

Для того чтобы учитывать различие в компетентности экспертов, им могут быть приписаны различные «веса», которые учитываются при определении групповых оценок. Причем значения этих коэффициентов интерпретируются как вероятность задания экспертом достоверной оценки. Тогда 0 <hj ≤ 1. Значения весовых коэффициентов могут быть использованы при построении системы стимулирования работы группы экспертов. Например, дополнительная оплата за работу по оценке событий определится пропорционально весовому коэффициенту эксперта.

Существуют различные приемы оценки компетентности эксперта, выбор которых определяется как характером решаемой задачи, так и возможностями проведения конкретного экспертного опроса.

На наш взгляд, оценку следует строить на основе определенной шкалы, каждый балл которой определяется с помощью выбора соответствующих характеристик, оценивающих квалификацию эксперта. При этом должен быть учтен уровень квалификации эксперта в узкой области специализации, уровень теоретической подготовки, его практический опыт и широта кругозора. Перечисленные характеристики лучше всего оценивать по десятибалльной шкале, разработанной специально к конкретному экспертному опросу. Полученные характеристики следует свести в один показатель, характеризующий объективную оценку компетентности эксперта, - hj0.

- эксперт специализируется по данному вопросу, имеет по нему законченные теоретические или практические разработки (научные исследования, запущенные в производство технические разработки, данный вопрос непосредственно относится к области его узкой служебной деятельности);

- в практическом решении данного вопроса эксперт участвует, но этот вопрос не входит в сферу его узкой специализации;

- вопрос входит в сферу тесно связанного с его узкой специализацией направления (смежная прикладная дисциплина, смежная область практической деятельности);

- вопрос не входит в сферу тесно связанного с его узкой специализацией направления (например, знакомство с проблемой по литературным источникам, по работе на другом предприятии и т. П.).

В целом показатель «относительная самооценка эксперта» направлен на то, чтобы эксперт сам оценил уровень своей компетентности по заданному вопросу.

Для того чтобы шкала баллов не оказывала влияния на самооценку, в графе «относительная самооценка эксперта» можно привести перечень характеристик компетентности экспертов без проставления баллов. В этом случае эксперт должен подчеркнуть те характеристики, которые, по его мнению, определяют уровень личной компетентности. Баллы проставляются рабочей группой при анализе собранных анкет.

Произведение объективного и субъективного показателей, деленное на сто, будет характеризовать компетентность эксперта по данному вопросу, т.е.


Деление на 100 нужно для приведения диапазона изменения hj, к виду 0 <hj ≤ 1. Тогда показатель компетентности эксперта можно трактовать как вероятность задания им достоверной оценки.

При неоднократном повторении опроса одним и тем же коллективом экспертов (либо устойчивым большинством) по сходным вопросам можно и необходимо на каждом новом опросе воспользоваться уже накопленными результатами для уточнения характеристик компетентности экспертов.

Кроме того, компетентность экспертов может быть определена самими экспертами. Для этого каждый эксперт, входящий в группу, задает весовые коэффициенты всем остальным экспертам, кроме себя. Далее определяется среднеарифметическая оценка компетентности каждого эксперта.

Если экспертиза проводится неоднократно одной и той же группой (или устойчивым большинством) экспертов по сходным вопросам, следует при каждом новом опросе воспользоваться уже полученными результатами для уточнения характеристик компетентности экспертов.

Практика экспертных опросов показывает, что, хотя методы самооценки недостаточны для того, чтобы служить единственным критерием оценки компетентности экспертов, использование этих методов способствует более обоснованным выбору и оценке экспертов.

Таким образом, получены данные, подтверждающие связь между средней групповой самооценкой (частное от деления суммы индивидуальных на число экспертов в группе) и точностью экспертизы. На рис. 1.1 изображена кривая, показывающая зависимость между средней групповой самооценкой (у) и средней групповой ошибкой (х).

Между этими величинами существует обратная связь, заключающаяся в том, что средняя групповая ошибка монотонно убывает с возрастанием средней самооценки. Из этого вытекает следующий вывод:

В 2 С 3 А Y

Рис. 1.1 Влияние средней групповой самооценки на точность экспертизы

Пусть, например, группа кандидатов в эксперты со средней оценкой С разделена на две подгруппы, из которых подгруппа А имеет более высокую самооценку, чем группа в целом, а подгруппа В - более низкую. Тогда подгруппа А будет в среднем более точной, чем вся группа, а подгруппа В - менее точной.

С другой стороны, различные подходы к оценке компетентности экспертов можно рассмотреть и с иных позиций. Экспертные оценки носят субъективный характер, оценка компетентности экспертов - также. Возникает вопрос: повышает ли точность результатов экспертизы наложение субъективных оценок компетентности экспертов? Может быть, проще определять окончательные оценки без формализованного учета компетентности экспертов? Только при этом следует на этапе отбора экспертов уделить больше внимания неформальной оценке уровня их квалификации, а затем, при подведении результатов экспертизы, считать их всех равнокомпетентньми, и в качестве интегральной оценки рассматривать среднеарифметическое их отдельных оценок. Часто на практике поступают именно таким образом.

.   Работа с экспертами

В зависимости от характера исследуемого объекта, от степени его формализации и возможности привлечения необходимых экспертов порядок работы с ними может быть различным, но в основном он содержит следующие три этапа.

На первом этапе эксперты привлекаются в индивидуальном порядке с целью уточнить модель объекта, ее параметры и показатели, подлежащие экспертной оценке; уточнить формулировки вопросов и терминологию в анкетах; согласовать целесообразность представления таблиц экспертных оценок в той или иной форме; уточнить состав группы экспертов.

На втором этапе экспертам направляются анкеты с пояснительным письмом, в котором описывается цель работы, структура и порядок заполнения анкет с примерами.

Когда имеется возможность собрать экспертов вместе, особенно если удается их сгруппировать в соответствии с какими-либо признаками, существенно важными для данного опроса, например эксперты из одной организации, только сотрудники сбытовых служб, то цели и задачи анкетирования, а также все вопросы, связанные с анкетированием, могут быть доложены устно. Обязательное условие такой формы экспертного опроса - последующее самостоятельное заполнение анкет при соблюдении всех правил анкетирования.

Третий этап работы с экспертами осуществляется после получения результатов опроса и изучения исследуемого объекта другими методами в процессе обработки и анализа полученных результатов. На этом этапе от экспертов в форме консультаций обычно получают всю недостающую информацию, которая требуется для уточнения полученных данных и их окончательного анализа.

. Анализ и обработка экспертных оценок

При проведении анализа собранных экспертных данных в соответствии с целями исследования и принятыми моделями необходимо определить согласованность действий экспертов и достоверность экспертных оценок.

Пусть для каждого события CI на основании оценок aij, заданных группой из Р экспертов, образована матрица рангов важности - II αij II, где i=1, 2,…, m - число событий, j=1, 2,…, p - число экспертов. Матрица II αij II получается из матрицы II αij II путем определения, исходя из коэффициентов относительной важности событий αij, рангов важности этих событий, т.е. событиям присваиваются номера 1, 2, 3,…, m натурального ряда чисел.

Таким образом, при ранжировании события располагаются в порядке возрастания или убывания какого-либо признака X, количественно неизмеримого. Ранг ai указывает то место, которое занимает i-е событие среди других m событий, ранжированных в соответствии с признаком X.

Ранжирование применяется, когда события располагаются согласно неизмеримому и неподсчитываемому качеству (например, потребительские свойства товара, направления совершенствования товара и т. Д.) или рассматриваются только относительно взаимного расположения во времени или пространстве. Ранжирование может являться менее точным выражением упорядоченной связи событий относительно какого-либо измеримого или подсчитываемого качества как замена переменной порядковым номером в прикидочных расчетах в целях экономии времени и уменьшения трудоемкости вычислений.

При использовании рангов важности для сравнения результатов (событий) нельзя установить, насколько один результат лучше другого, можно только определить ряд предпочтения рассматриваемых результатов. Иными словами, числа, характеризующие порядковую меру предпочтительности результатов, при сравнении, предположим, событий А и Б нельзя делить или вычитать, пытаясь узнать, насколько первый результат лучше второго.

В табл. 1.1 приводится условный пример определения рангов важности событий исходя из их коэффициентов относительной важности. (Более важное событие имеет меньший ранг важности.)

Таблица 1.1

Определение рангов важности


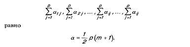
Среднее значение для суммарных рангов рассматриваемого ряда


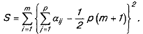
Суммарное квадратическое отклонение 5 суммарных событийот среднего значения а есть


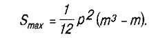
Величина S достигает максимального значения в случае, если все р экспертов дадут одинаковые оценки каждому Сi событию.

Тогда рассматриваемый ряд суммарных рангов будет иметь вид р, 2р,…, mр.

Вычтем из этого ряда среднее значение:

Сумма квадратов этого ряда равняется


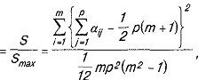
Очевидно, что в качестве меры согласованности экспертов можно принять отношение


называемое коэффициентом конкордации. Величина W изменяется в пределах от 0 до 1. При W = 0 согласованности совершенно нет, т.е. связь между оценками различных экспертов отсутствует. Наоборот, при W = 1 согласованность мнений экспертов полная.

В том случае, если последовательность кроме строгих неравенств имеет равенства, т.е. существует совпадение рангов, то формула для вычисления коэффициента конкордации имеет вид



Когда ранги повторяются, то для получения нормальнойранжировки, имеющей среднее значение ранга, равное

,

необходимо приписать событиям, имеющим одинаковые ранги, ранг, равный среднему значению мест, которые эти события поделили между собой.

Для крайних значений коэффициента конкордации могут быть высказаны следующие предположения. Если W = 0, то согласованности в оценках нет, поэтому для получения достоверных оценок следует уточнить исходные данные о событиях и (либо) изменить состав группы экспертов. При W = 1 далеко не всегда можно считать полученные оценки объективными, поскольку иногда оказывается, что все члены экспертной группы заранее сговорились, защищая свои общие интересы.

Необходимо, чтобы найденное значение W было больше заданного значения Wз (W > Wз). Можно принять Wз = 0,5, т.е. при W > 0.5 действия экспертов в большей степени согласованы, чем не согласованы. При W < 0,5 полученные оценки нельзя считать достоверными, и поэтому следует повторить опрос заново. Жесткость данного утверждения определяется важностью проводимого исследования и возможностью повторной экспертизы. Практика показывает, что очень часто этим требованием пренебрегают.

управление маркетинговый безалкогольный рынок

2. Исследование рынка безалкогольных напитков

.1 характеристика СООО «АкваТрайпл»

СООО «АкваТрайпл» уже 17 лет поставляет свою продукцию на рынок страны и за ее пределы. Основной сферой деятельности предприятия является производство питьевых и минеральных вод, безалкогольных газированных и сокосодержащих напитков.

Завод располагает современным технологическим оборудованием немецких фирм «Nagema», «Indag», австрийской фирмы «Kosme» и итальянских фирм «Bertoluzzi», “Sipa», “Sympak. Bottling&Canning».

Производственная мощность завода позволяет выпускать более 12 000 бутылок в час.

В настоящее время ассортимент продукции составляет более 50 наименований. Это газированные и негазированные напитки с использованием сахара и фруктозы, а также с содержанием сока, минеральная вода различной степени минерализации, питьевая газированная и негазированная вода (в том числе с содержанием йода, селена и фтора). Продукция выпускается в ПЭТ-бутылках емкостью 0,5, 0,75, 1,5 л, 1 л, л и 6 л, под торговыми марками «Трайпл». (Более подробный ассортимент указан в приложении 2.1 данные за 2010 г.)

Для производства безалкогольных напитков используется артезианская вода, добываемая из скважины глубиной 90 м, находящейся на территории предприятия. Вода проходит трехступенчатую фильтрацию, умягчение и ультрафиолетовую обработку. В качестве ароматизаторов и основ используется натуральное сырье немецкой фирмы «WILD», а также других ведущих европейских производителей.

Предприятие производит серию напитков «Родниковая вода» на основе фруктозы, которые являются уникальным продуктом, завоевавшим популярность на рынке Беларуси. Безалкогольные газированные напитки, производимые на основе фруктозы - это качественный, но в то же время доступный по цене продукт. Они могут быть рекомендованы для диетического и диабетического питания.

Минеральные воды добываются из собственной скважины глубиной 420 м и относятся к типу лечебно-столовых хлоридно-натриевых вод слабой минерализации. Минеральные воды производства «АкваТрайпл» способствуют очищению и защите организма, помогают поддерживать водный и минеральный баланс.

Питьевая негазированная вода «Кстати» по основному макро- и микроэлементарному составу соответствует воде высшей категории качества, обладает невысоким показателем жесткости. Питьевую воду «Кстати» производства «АкваТрайпл» можно употреблять детям с 3 лет жизни без кипячения.

В 2007 году «АкваТрайпл» выпустил новую серию продукции - холодный чай «Чайная прохлада». Это негазированные напитки с использованием натурального экстракта чая: черного, зеленого и каркадэ с разнообразными ароматами.

В 2009 году компания «АкваТрайпл» модернизировала серию сокосодержащих напитков. Теперь это напитки под торговой маркой «Соччи». В их состав входят натуральные соки груши, персика, грейпфрута и др.

«АкваТрайпл» - первое предприятие в отрасли производства безалкогольных напитков, внедрившее международную систему качества на основе принципов ХАССП, что подтверждено сертификатом соответствия, выданным в марте 2004 г.

В 2009 году продукция предприятия была сертифицирована системой менеджмента качества разработки и производства безалкогольных напитков, питьевых и минеральных вод на соответствие требованиям международному стандарту СТБ ИСО 9001-2001.

В октябре 2008 г. СООО «АкваТрайпл» был вручен сертификат на право маркировать свою продукцию знаком «Натуральный продукт». Этим знаком отмечается питьевая негазированная вода «Кстати».

В 2008 году на ХII международном профессиональном конкурсе пива, безалкогольных напитков и минеральных вод (г. Москва), продукция компании была отмечена тремя золотыми (питьевая негазированная вода «Кстати», «Родниковая вода» с ароматом персика, напиток негазированный сокосодержащий«Ананас-морковь») и одной серебряной медалями (питьевая газированная вода «Кстати» с йодом и селеном). Кроме того, «Родниковая вода на фруктозе» была удостоена также специальным дипломом «Лучший брэнд года 2008».

В 2009 году предприятие на 14-м международном профессиональном конкурсе пива, безалкогольных напитков, минеральных и питьевых вод (г. Москва) получило золотую медаль в номинации «Безалкогольные напитки» за сокосодержащий напиток «Соччи» - «Апельсин-манго». Кроме того, в этом конкурсе компания была награждена серебряной медалью за питьевую негазированную воду «Кстати» в номинации «Минеральные и питьевые воды».

Ассортимент выпускаемой продукции приведен в таблице 1 Приложения 1. Производственная мощность завода - 12000 бутылок в час. Линии укомплектованы современным оборудованием итальянских фирм «SIPA», «SBS BOTTING & CANNING S.p.a.» и австрийской фирмы «Kosme», что позволяет выпуск продукции в упаковке (ПЭТ) 0,33, 0,5 , 1, 1,5 и 6 литров. В настоящее время численность работающих - 191 человек.

Для приготовления напитков используется артезианская вода, которая проходит трехступенчатую систему очистки и бактерицидную обработку ультрафиолетом. Качество и безопасность напитков и минеральной воды торговой марки «Трайпл» подтверждены гигиеническим сертификатом Министерства здравоохранения РБ. Производство сертифицировано в Системе управления качеством на основе принципов ХАССП.

Для компании «АкваТрайпл» стратегически важно перераспределение долей - увеличение объемов продаж в регионах. В 2013 году компании следует уделять значительное внимание всей республике, а некоторым регионам особенно, в связи, с чем предполагается направить именно туда наибольшие маркетинговые усилия. Такими образом основной упор в следующем году предлагается сделать на области: Минск, Гомель, Витебск.

.2 Управление маркетингом на СООО «АкваТрайпл»

На предприятии существует достаточно большое количество подразделения, однако маркетинговые функции на предприятии выполняются специально созданным для этого отделом маркетинга и рекламы (структура отдела приведена на рисунке 2.1).

Начальник отдела маркетинга


Маркетолог 1-ой категории


Специалист по рекламе 1-ой категории


Заместитель начальника отдела маркетинга и рекламы

Рисунок 2.1. Структура отдела маркетинга

Отдел маркетинга и рекламы, является самостоятельным структурным подразделением СООО «АкваТрайпл» и создан с целью реализация маркетинговой и рекламной стратегии предприятия. Отдел осуществляет деловые контакты со структурными подразделениями СООО «АкваТрайпл», а также с другими организациями в пределах своей компетенции. Наиболее тесное взаимодействие отдела маркетинга проявляется с коммерческим отделом и отделом логистики, данное взаимодействие осуществляется под руководством зам. Директора по коммерческим вопросам. Отдел работает под непосредственным руководством директора СООО «АкваТрайпл», а также зам. Директора по коммерческим вопросам. Должностные инструкции работников Отдела разрабатываются начальником Отдела и утверждаются директором СООО «АкваТрайпл».

Основными задачами отдела являются:

·  Определение нужд и потребностей целевых рынков и воздействие на потребителей более эффективными способами, чем у конкурентов для получения максимальной прибыли предприятия.

·        Организация, руководство, координация, контроль деятельности в сфере маркетинга и рекламы.

Основные функции отдела:

·  полный цикл маркетинговых исследований, как собственными силами, так и с помощью иных организаций (аутсортинг);

·        исследования: конкурентной среды, поведения потребителей, их приоритетов и ценностей с целью подготовки рекламной кампании предприятия, а также эффективности рекламных кампаний;

·        разработка стратегии, направленной на создание положительного имиджа СООО «АкваТрайпл» как внутреннего, так и внешнего;

·        мониторинг деятельности конкурентов и их имиджа, который формируется на рынке безалкогольных напитков и минеральных вод.

Проанализировав структуру отдела маркетинга и рекламы можно сделать вывод, что на СООО «АкваТрайпл» создана эффективная схема работы отдела маркетинга и рекламы, позволяющая принимать различные решения на достаточно быстром и обоснованном уровне. Результатом эффективной организации работы уже послужили:

·  построение бренда предприятия,

·        создание корпоративного сайта предприятия,

·        разработка единого стиля и стандартов предприятия,

·        определение миссии и основных принципов компании,

·        дизайнерские разработки,

·        сувенирная и представительская продукция компании,

·        PR -мероприятия.

2.3 Исследование потребителей безалкогольных напитков

Электронный опрос

В ноябре 2012 года, мной было проведено исследование, целью которого было - выявить основные мотивы потребительского поведения при выборе безалкогольных напитков.

Опрос проводился методом электронного опроса. Респондентам было предложено заполнить анкету, состоящую из структурированных вопросов (в «приложении 2» представлены готовые анкеты в качестве примера).

В процессе исследования было изучено мнение потребителей в возрасте от 15 до 50 лет в г. Минске. Объем выборки - 35 респондентов (40% - мужчины, 60% - женщины). Ниже представлена диаграмма процентного (рис 2.2) и числового (рис 2.3) соотношения по половому признаку.

Рис 2.2 Диаграмма числового соотношения по половому признаку

Рис 2.3 Диаграмма процентного соотношения по половому признаку

Исходя из полученных данных, можно сказать, что в среднем основными потребителями безалкогольных напитков являются женщины в возрасте от 15 до 25 лет, а мужчины от 15 до 30. Ниже представлены диаграммы, на которых показано возрастное соотношение респондентов в среднем по всему количеству опрошенных (Рис 2.4)

Рис 2.4 Соотношение респондентов по возрастному признаку

Следует выделить, что средний доход на одного члена семьи потребителей безалкогольных напитков составляет от 1млн. руб до 1,5 млн. руб. (в среднем).

Рис 2.5 Доход респондентов

Частота покупок безалкогольных напитков представлена на рис 2.6. Где мы видим, что 43% опрошенных приобретают напитки раз в неделю.

Рис 2.6 Диаграмма частота покупок газированных напитков

Так же респондентом было предложено выбрать, напитки с какими вкусами им нравится больше. По результатам анализа данного вопроса, было выяснено, что наиболее востребованным вкусом среди потребителей является фруктовый вкус (51%), а так же были высказаны личные мнения и предпочтения (26%), среди которых 20% были любители «Колы» и 6% отдают своё предпочтение вкусу «Тархун». Среди вариантов ответов был предложен напиток со вкусом мяты, который не был выбран не одним респондентом. На рис 2.7 изображена диаграмма, в которой представлен результат анализа по вкусовому критерию.

Рис 2.7 Диаграмма предпочтений респондентов

Главным критерием при выборе напитка среди респондентов оказался «вкус» ему присудили 1-ый ранг 20 опрошенных, второе место было отдано критерию «цена»- ему присудили его 8 респондентов. Для других респондентов главными критериями оказались «цвет напитка» и «известность марки». По результатам анализа критерии «этикетка» и «упаковка» не являются важными для опрошенных потребителей.

По мнению потребителей наиболее удобной упаковкой для напитка является пластиковая бутылка, за её проголосовали 30 респондентов (86%).

Был учтён ещё один немало важный факт, влияние рекламы на мнение потребителя. Как выяснилось, на 57% опрошенных реклама не оказывает влияние, но 11 респондентов (31%), дали утвердительный ответ. Факт в том, что среди тех, кто дал положительный ответ на данный вопрос 10 женщин, а среди тех, кто дал положительный ответ (20 человек) 17 мужчин. Следовательно, можно сделать вывод, что женщины наиболее подвергаются рекламному воздействию.

Метод парного сравнения

Для исследования потребителей был использован метод парного сравнения, в котором респондентам было предложено сравнить цены и качество таких производителей, как АкваТрайпл, Дарида ,Фрост, Фростик

человек в возрасте от 18 до 20 лет заполнили таблицы (пример таблицы представлен в Приложении табл.2) в которых нужно было парно сравнить производителей и после обработки полученных данных были получены результаты и внесены в сводную таблицу (Приложение табл.3).

По результатам анализа первое место получил «Фрост». Второе место получили напитки производителя «Дарида». И третье место получил «АкваТрайпл».

Вывод

По результатам проведённых исследований можно сделать следующие выводы. Основными потребителями безалкогольных напитков являются лица в возрасте от 17 до 30 лет. Главным критерием при покупке является вкус, так же немало важна цена, наименьшее число потребителей совершают покупки под воздействием рекламы. Среди меньшей доли потребителей в возрасте от 30 до 50 лет главным является отсутствие красителей и сахара.

Среди производителей молодое поколение отдает предпочтение таким как: Фрост, Дарида и АкваТрайпл.

2.4 Рекомендации по улучшению маркетинговой деятельности на предприятии

В рамках сильной конкуренции АкваТрайпл ни чем не уступает по ассортименту и рекламной политике другим предприятиям. Но следует уделить особое внимание, на улучшение рекламы, так как при появлении новой ассортиментной линии товара, реклама отсутствует. Так же необходимо использовать рекламу, направленную на потребителей в возрасте от 17 до 30, так как они являются основными потребителями безалкогольных напитков. Требуется проводить по чаще маркетинговые исследования, с целью узнать вкусы и желания потребителя. Так как на многие вкусы предлагаемые потребителям отсутствует спрос (например, напитки со вкусом мяты, по результатам опроса за этот вкус не было отдано не одного голоса), то следует пересмотреть ассортиментные группы.

Главным отличительным преимуществом от других производителей, является производство напитков на основе родниковой воды, этому следует уделять больше внимания, так как с помощью усовершенствования данных вкусов, сегмент будет гораздо шире.

Заключение

Маркетинг - одна из основополагающих дисциплин для профессиональных деятелей рынка, таких, как розничные торговцы, работники рекламы, исследователи маркетинга, заведующих производством новых и марочных товаров и т.п. Им необходимо знать, как описать рынок и разбить его на сегменты; как оценить нужды, запросы и предпочтения потребителей в рамках целевого рынка; как сконструировать и испытать товар с нужными для этого рынка потребительскими свойствами; как посредством цены донести до потребителя идею ценности товара; как выбрать умелых посредников, чтобы товар оказался широкодоступным, хорошо представленным; как рекламировать и продавать товар, чтобы потребители знали его и хотели приобрести.

Проведенное в данной работе исследование позволило ознакомиться с маркетинговой деятельностью предприятия СООО «АкваТрайпл», дать рекомендации по улучшению, а также сделать следующие выводы:

. Основная сфера деятельности компании - производство безалкогольных газированных и негазированных напитков, минеральных и питьевых вод. Основной рынок сбыта: Республика Беларусь и г. Минск;

. Компания проводит маркетинговые исследования с целью корректировки существующей линейки продуктов и созданию новых ассортиментных групп;

Таким образом, СООО «АкваТрайпл» можно охарактеризовать как предприятия с развитой системой управления производства, сбыта продукции. На предприятии реализуется товарная и маркетинговая политика.

Список литературы

1. Дурович А.П. практика маркетинговых исследований книга 1,(гл.№5)

2.       Голубков Е.П. Маркетинговые исследования: теория, методология и практика. Издательство «Финпресс» Москва 1998 (Гл. №5)

.        Н.А. Нагапетьян. Маркетинг в отраслях и сферах деятельности: Учеб. Пособие - М.: Вузовский, учебник, 2007. - 272 с.

.        И.Л. Акулич. Маркетинг: учебник - 6-е изд., испр. - Минск: Выш. Шк., 2009.- 511 с.

.        Практическое руководство 3 издание Нэреш К. Малхотра, Технологический институт штата Джорджия, Москва-2002

6.       <#"579557.files/image024.gif">

R

АкваТрайпл

2

4

2

6

6

2

0

6

2

4

34

3

Фрост

4

6

6

4

4

2

4

4

4

4

42

1

Дарида

6

2

4

2

2

4

6

2

6

4

38

2

Фиеста

0

0

0

0

0

4

2

0

0

0

6

4

12

12

12

12

12

12

12

12

12

120

Похожие работы на - Исследование потребителей безалкогольных напитков в РБ

 

Не нашли материал для своей работы?
Поможем написать уникальную работу
Без плагиата!
Без нейросетей!