Организация поточной линии в механообрабатывающем цехе

  • Вид работы:
    Курсовая работа (т)
  • Предмет:
    Другое
  • Язык:
    Русский
    ,
    Формат файла:
    MS Word
    423,37 Кб
  • Опубликовано:
    2012-10-02
Вы можете узнать стоимость помощи в написании студенческой работы.
Помощь в написании работы, которую точно примут!

Организация поточной линии в механообрабатывающем цехе

Содержание

Введение

. Расчёт параметров поточной линии

.1 Расчёт такта поточной линии

.2 Расчёт количества рабочих мест

. Выбор движения предметов труда относительно операций технологического процесса и определение длительности производственного цикла

. Расчёт численности работающих на участке

. Организация технического контроля на участке

. Расчёт площади участка

. Построение сетевой модели организации участка

Заключение

Список использованных источников

Приложения

Введение

Машиностроительное предприятие представляет собой весьма сложную организацию, структура и деятельность которой находятся в непосредственной зависимости от сложности конструкции и разнообразия выпускаемой продукции, характера технологического процесса ее изготовления и объема производства.

При проектировании какого-либо участка предприятия одновременно разрабатывают и решают экономические, технические и организационные задачи, тесно связанные между собой: каждое техническое решение должно быть экономически обосновано и осуществлено при определенной организационной форме. Для того чтобы приступить к проектированию участка промышленного предприятия, надо иметь окончательно разработанное задание, на основе которого производятся расчеты и решения всего комплекса вопросов, входящих в состав проекта.

Первичным и основным звеном поточного производства является поточная линия, то есть группа рабочих мест, на которой производственный процесс обработки или сборки изделий одного или нескольких наименований осуществляется в соответствии с указанными выше признаками поточного производства. Поточные линии представляют собой наиболее совершенный вид предметно-замкнутых участков.

По номенклатуре одновременно изготовляемых объектов поточной линии подразделяются на: однопредметные и многопредметные. По степени непрерывности движения поточные линии делятся на: непрерывные и прерывные. Также поточные линии бывают: с принудительным, полусвободным и свободным движениями, с ручной передачей изделий труда и стационарные, на которых изделия неподвижны.

Поточное производство улучшает все показатели работы, позволяет полнее реализовать пропорциональность, ритмичность и непрерывность. Благодаря узкой специализации появляются возможности для более полного использования высокопроизводительного механизированного и автоматизированного оборудования (автоматы и полуавтоматы), сокращаются или полностью исключаются простои оборудования, уменьшается доля вспомогательных операций, растет производительность труда. Пропорциональность и непрерывность способствуют снижению производственных запасов сырья и материалов, сокращению длительности производственного цикла, что обеспечивает снижение себестоимости продукции, рост рентабельности, ускорение оборачиваемости оборотных средств и улучшает финансового состояние предприятий. В зависимости от организационно-технических особенностей производства используются различные поточные линии. В условиях научно-технической революции поточное производство постоянно расширяется. Его дальнейшее развитие - важнейшее направление повышения эффективности производства.

Целью данного курсового проекта является организация поточной линии в механообрабатывающем цехе.

1. Расчёт параметров поточной линии

.1 Расчёт такта поточной линии

Расчёт такта поточной линии производится по формуле:


где Fсм.- продолжительность смены, мин.; Nв. - программа выпуска, шт.; f - число рабочих смен в сутки; α - поправка на технологические потери (планируемый брак), %.


.2 Расчёт количества рабочих мест

Расчёт количества рабочих мест определяется из выражения:


где Ср.i.- расчётное количество рабочих мест на i-ой операции;

ti.- продолжительность выполнения i-ой операции, мин.;

kвн.- коэффициент выполнения норм (Квн. = 1,05 … 1,1).

После расчёта Ср.i определяют принятое число рабочих мест (Спр.i), которое получается округлением значения Ср.i до ближайшего целого.

Коэффициент загрузки рабочих мест определяется по формуле:


Полное использование фонда рабочего времени достигается внедрением многостаночного обслуживания и совмещения нескольких операций. При этих условиях необходимо разработать оптимальный режим обслуживания, определяющий периоды и время переходов рабочих, обслуживающих несколько станков на протяжении смены. При закреплении за рабочим нескольких обслуживаемых станков m должно соблюдаться условие . Результаты вышепроведенных расчетов сводятся в таблицу 1, на основании которых определяется количество рабочих и порядок совмещения ими операций.

Таблица 1.1 - Загрузка рабочих мест линии.

№ опер

ti

Cp.i.

Cпp.i.

kзн.i.

Число рабочих

Порядок совмещения операций

1

4,4

0,98

1

0,98

1

1-й рабочий

2

3,8

0,84

1

0,84

1

2-й рабочий

3

4,6

1,02

1

1,02

1

3-й рабочий

4

2,9

0,64

1

0,64

4-й рабочий

5

4,1

0,91

1

0,91

1

5-й рабочий

6

3,3

0,73

1

0,73

1

6-й рабочий

7

2,4

0,53

1

0,53

1

7-й рабочий

8

2,2

0,49

1

0,49

1

8-й рабочий

9

5,1

1,13

2

0,57

0,90 2 0,23

9-й, 10-й рабочие

10

2,4

0,53

1

0,53

-

7-й рабочий

11

3,3

0,73

1

0,73

1

11-й рабочий

12

5,4

1,20

2

0,60

1,00 1 0,20

11-й, 12-й рабочие

13

1,5

0,33

1

0,33

-

4-й рабочий

14

2,4

0,53

1

0,53

1

15

2,9

0,64

1

0,64

1

14-й рабочий

16

3,2

0,71

1

0,71

-

10-й рабочий

17

5,1

1,13

2

0,57

1,07 1 0,06

13-й, 15-й рабочий

18

5,3

1,18

2

0,59

1,00 1 0,18

2-й, 16-й рабочие

19

2,3

0,51

1

0,51

1

17-й рабочий

20

1,8

0,40

1

0,40

-

17-й рабочий

21

1,9

0,42

1

0,42

-

14-й рабочий

22

1,3

0,29

1

0,29

-

6-й рабочий

23

2,5

0,55

1

0,55

-

8-й рабочий

24

6,2

1,37

2

0,69

1,00 1 0,37

13-й, 18-й рабочие


Рисунок 1.1 - График-регламент работы оборудования.

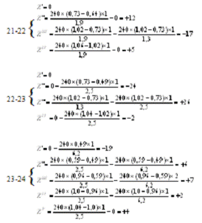
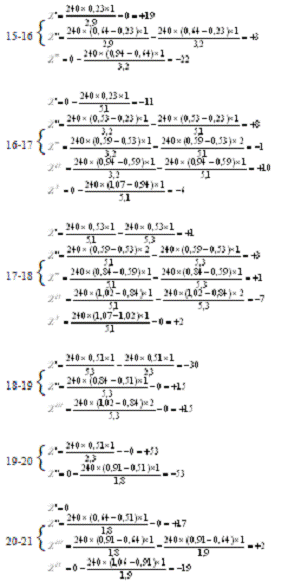
Расчёт заделов прерывно-поточной линии производится с помощью нижеуказанных действий.

Для поддержания ритмичной работы линии между операциями, имеющими различную производительность, создаются межоперационные оборотные заделы, величина которых определяется по формуле:


где Tп - период времени, в течение которого смежные операции находятся в неизменных условиях по производительности;

Сi , Ci+1 - число единиц оборудования, работающих на смежных операциях в течении периода Tп .


На основе расчётных данных строим график межоперационных оборотных заделов. (рис.1.2)


Рисунок 1.2- График формирования межоперационных оборотных заделов

2. Выбор движения предметов труда относительно операций технологического процесса и определение длительности производственного цикла

Существуют следующие виды движения предметов труда:

         последовательный вид движения;

-        последовательно-параллельный

         параллельный вид движения.

þ  Последовательный вид движения, когда каждая последующая операция начинается только после окончания обработки всей партии деталей на предыдущей операции.

Структура такого цикла представляет собой последовательность неперекрывающихся во времени операционных циклов обработки партии изделий на каждой операции (рисунок 5).

поточный механообрабатывающий цех технологический

Длительность производственного цикла определяется:

,

где tш.к. i − норма времени на обработку одной деталей на i-ой операции, мин;− число деталей в партии, шт.;

m - число операций в технологическом процессе.

Тц.посл.=232*(4,4+3,8+4,6+2,9+4,1+3,3+2,4+2,2+5,1+2,4+3,3+5,4+1,5+2,4+2,9+3,2+5,1+5,3+2,3+1,8+1,9+1,3+2,5+6,2)= 18629,6мин.

Тц.посл=5*80,3= 401,5мин.

þ  Параллельный вид движения предметов труда при котором каждая деталь передаётся на последующую операцию немедленно после окончания обработки на предшествующей операции (рисунок 6). При таком виде движения отсутствует межоперационное пролёживание предметов труда, все операции выполняются параллельно и продолжительность цикла равна.

,

где t max - длительность самой трудоёмкой операции.

Рисунок 2.2 − Параллельный вид движения.

Тц. пар.= 80,3 + (232-1)×6,2= 1512,5 мин.

Тц. пар = 80,3 + (5-1)×6,2 = 105,1 мин.

þ  Последовательно-параллельный вид движения − когда выполнение последующей операции начинается до окончания обработки всей партии на предыдущей, что сокращает время пролёживания деталей между операциями и обеспечивает непрерывную загрузку рабочих мест.

Рисунок 2.3 − Последовательно-параллельный вид движения.

Из рисунка 2.3 видно, что в структуре этого цикла существует два различных варианта сочетания операционных циклов на смежных операциях:

при длительности операционного цикла предшествующей операции меньше, чем последующая (t1<t2) (рисунок 2.4).

Время перекрытия, т.е. параллельного выполнения этих двух операционных циклов, равно:

t = (n-1) min{t1,t2}

Рисунок 2.4 − Совмещение операций при ti < tj.

при длительности операционного цикла предшествующей операции больше, чем последующей, т.е. ( t2 > t3 ) (рисунок 2.5).

Время перекрытия этих двух операций равно:

t = (n-1) min{t2,t3}

Рисунок 2.5 − Совмещение операций при ti > tj

В случае (рисунок 2.4) деталь необходимо передавать немедленно по окончании предыдущей операции на следующую.

В случае (рисунок 2.5) отсутствие простоев на последующей операции может быть обеспечено только после нахождения перед ней запаса деталей, позволяющего эту операцию вести непрерывно.

Окончательно, выражение для определения продолжительности производственного цикла будет равно:

.

Этот вывод справедлив для поштучной передачи предметов труда с операции на операцию, что может быть лишь при небольших партиях запуска.

При больших партиях передача предметов труда осуществляется не поштучно, а частями (передаточными партиями р), на которые дробится обрабатываемая партия. С учётом этого

.

Тц.пп.=18629,6-(232-1)×(3,8+3,8+2,9+2,9+3,3+2,4+2,2+2,2+2,4+2,4+3,3+1,5+1,5+2,4+

+2,9+3,2+5,1+2,3+1,8+1,8+1,3+1,3+2,5)=4954,4 мин.

Тц.пп = 401,5 - (5-1)×59,2=164,7 мин.

Достоинства и недостатки видов движения предметов труда

Преимущества

Недостатки

последовательный вид движения

простота его организации в отношении планирования движения предметов труда и загрузки рабочих мест.

большая длительность производственного цикла.

последовательно − параллельный вид движения

длительность производственного цикла короче, чем при последовательном виде движения.

сложность предварительных расчётов, а также оперативного планирования и регулирования производства.

минимальная длительность цикла

ввв неизбежных простоях оборудования при несинхронизированном процессе.


3. Расчёт численности работающих на участке

.1 Расчёт количества основных производственных рабочих

Расчёт количества основных производственных рабочих производится по формуле:

Сосн. = Спр.×(1+ D)× f × Kоб.;

где Сосн.- число основных производственных рабочих;

D - коэффициент, учитывающий невыход на работу (D≈0,1);

f - количество рабочих смен (сменность работы);

Kоб - коэффициент обслуживания рабочих мест (Kоб=1).

Сосн.=18×(1+0,1)×2×1=40 чел.

3.2 Расчёт численности вспомогательных рабочих

Подобный расчёт вспомогательных рабочих обычно не производят, а принимают его в процентном отношении к количеству производственных рабочих на основании практических данных.

В серийном производстве сборочных цехов - это 20…25%, а в массовом - 15…20%.

Свсп. = Сосн.. × 20%

Свсп. = 40 × 20% =8 чел.

Инженерно-технический и счётно-конторский персонал составляет 12-15% от общего количества рабочих (причем инженерно-технический персонал составляет 8-10% от общего числа рабочих, а остальное количество - счётно-конторский персонал).

ИТП = (40+8)×12% =6 чел.

СКП = (40+8)×8% =4 чел.

Младший обслуживающий персонал (уборщики помещений, курьеры, телефонисты и т. п.) - составляет 1-3% от общего числа работающих.

МОП =(40+8+6+4)×3% =2 чел.

Общая численность работающих на участке определяется по формуле:

Суч.= Сосн.+ Свсп.итрмоп.;

Суч.= 40+8+10+2=60 чел.

На основании расчётов составляется штатное расписание участка (табл.3.1)

Таблица 3.1 Штатное расписание участка.

№ п.п.

Занимаемая должность

Разряд

Количество




I смена

II смена

1

Основной рабочий

6

4(+1)

2(+1)

2

Основной рабочий

5

8(+1)

6(+1)

3

Основной рабочий

4

6

4

4

Основной рабочий

3

4

2

5

Вспомогательный рабочий


4

4

6

ИТР


10

-

7

МОП


2

-

ИТОГО:


38(+2)

18(+2)

Итого работающих на участке:


60


4. Организация технического контроля на участке

Технический контроль - проверка соответствия продукции или процесса установленным требованиям. Технический контроль осуществляется с помощью контрольных операций, которые представляют собой процесс сопоставления информации о фактическом состоянии характеристик контролируемого объекта с заданными показателями.

Основные функции технического контроля:

                                                                                                                             контроль за качеством и комплектностью выпускаемых изделий;

-        учёт и анализ возвратов продукции, дефектов, браков;

         предупреждения браков и дефектов.

С учётом выше указанного можно сформулировать главную задачу технического контроля - предотвращение выпуска продукции, которая не соответствует требованиям стандарта, эталонам, технической документации.

Признаки классификации контроля

Виды технического контроля

Местонахождение

Стационарный Подвижной (летучий)

Количественный охват объектов

Сплошной Выборочный

Назначение

Предупредительный Последующий

Методы

Внешний Испытание Размерный Лабораторный

Моменты выполнения

Предварительный Межоперационный Межцеховой Окончательный

Охват операций контролем

Пооперационный Групповой


Стационарный контроль производится на постоянных рабочих местах, к которым доставляются объекты контроля: отдельные детали, готовые изделия. Контроль применяется на сортировке (разбраковке), браковке в цехе, на складе; сортировке изделий на выпускных участках.

Подвижной (летучий) контроль производится на рабочем месте работника. Применяется при проверке технологических режимов настройке технологического оборудования.

Сплошной контроль применяется при проверке всех изделий в данной партии при выпуске готовой продукции, на ответственных операциях технологического процесса.

Выборочный контроль охватывает часть партий, применяется для контроля выполнения операций сортировщицами, при проверке соблюдения технологических режимов оборудования.

Предупредительный контроль применяется для проверки технологического оборудования и при сдаче его после ремонта.

Последующий контроль применяется для выявления в партиях отдельных деталей или готовых изделий бракованных изделий.

Внешний контроль применяется при определении качества изделий по внешним признакам посредством осмотра.

Размерный (геометрический) контроль применяется при определении размера вы пускаемого изделия, установленных пропорций отдельных участков.

Лабораторный (инструментальный) контроль применяется для проверки показателей качества продукции.

Испытание как метод контроля применяется для проверки качества красителей, сырья.

Предварительный контроль применяется перед запуском в производство больших партий нового сырья, при проверке новой технологии, оборудования и т.д.

Окончательный, выпускной контроль применяется при проверке готовой продукции.

Пооперационный контроль производится после каждой операции для обеспечения точности обработки деталей.

Групповой контроль производится после выполнения группы операций с целью определения виновника брака по каждой операции.

Все виды технического контроля могут применяться в различном сочетании и взаимосвязи, поэтому в производстве выделяют три вида контроля:

. Входной.

. Технологический (операционный).

З. Приемочный.

Входной контроль применяется для сырья и материалов. При этом определяют физико-механические свойства, дефектность и пороки.

Технологический контроль осуществляется на базе встроенных в оборудование средств контроля параметров процесса вязания.

Приемочный контроль применяется для готовой продукции в соответствии с требованиями ГОСТов, ОСТов, ТУ (отдельно для полотен и изделий).

Наиболее эффективны автоматические станочные контрольные устройства, которые измеряют детали в процессе обработки и на станках. Это повышает производительность станков, так как исключается необходимость остановки их для промера деталей.

Целесообразно устройство контрольных пунктов между станками; при наличии их устраняется необходимость транспортировки деталей в контрольное отделение, в конце линии станков.

Особенно необходимо такое устройство контрольных пунктов при массовом и серийном производстве, когда станки расставлены в порядке технологических операций и работа идёт по поточному принципу.

Общие принципы рациональной организации технического контроля сводятся к следующим:

а) технический контроль должен охватывать все элементы и стадии производственного процесса;

б) техника, методы и организационные формы контроля должны полностью соответствовать особенностям техники, технологии и организации производства;

в) эффективность рациональной организации технического контроля в целом и отдельных ее элементов должна быть обоснована надлежащими экономическими расчетами;

г) система контроля должна обеспечивать четкое и обоснованное распределение обязанностей и ответственности между отдельными исполнителями и различными подразделениями предприятия;

д) система контроля должна использовать эффективные методы статистического контроля мотивации.

5. Расчёт площади участка

Расчёт площади участка ведется в следующем порядке:

Определяется площадь, занятая оборудованием.

Площадь, занятая оборудованием определяется по формуле:


где Si - площадь, занимаемая i-м оборудованием;

n - число единиц оборудования на участке.

пр.=6,4 ×29 = 185,6 м2

Определяется вспомогательная площадь:

всп.= 0,5× Суч. см.

где Суч. см - численность работников участка в наибольшую смену;

,5 м2 - вспомогательная площадь на одного работающего.

всп.= 0,5× 40 =20 м2

Определяется площадь проходов:

прох.=(0,4 … 0,5)×( Sпр+ Sвсп)

Sпрох = 0,5×(185,6+20)=102,8 м2

Площадь участка определяется по формуле:

Sуч. = Sпр+ Sвсп.+ Sпрох ,

где Sуч - площадь участка, м2;

уч. =185,6+20+102,8=308,4 м2

Площадь по планировке должна отличаться от площади полученной ориентированным расчётом не более, чем на 20%.

6. Построение сетевой модели организации участка

Необходимо построить сетевой график, зная, что весь комплекс работы по организации участка складывается из следующих моментов:

. Корректировка и усовершенствование технологического процесса для поточной линии сборки

. Расчеты параметров поточной линии

. Проектирование специальной оснастки

. Изготовление специальной оснастки

. Установка специальной оснастки

. Проектирование нестандартного оборудования

1.  Получение нормального инструмента

2.  Изготовление нестандартного оборудования

3.       Установка нестандартного оборудования

4.  Получение и монтаж стандартного оборудования

5.       Выполнение планировки участка

.        Проектирование нестандартной аппаратуры (стендов, приборов)

.        Изготовление нестандартной аппаратуры (стендов, приборов)

.        Установка нестандартной аппаратуры (стендов, приборов)

.        Получение и установка стандартных приборов

.        Ремонт и реконструкция помещения

.        Подбор и обучение кадров

.        Укомплектование запаса на складе групп комплектов

.        Опробование участка и устранение всех неполадок.

Заключение

В данной курсовой работе были рассчитаны параметры поточной линии в механообрабатывающем цехе. В данной курсовой работе были рассчитаны параметры поточной линии. Это:

v   такт поточной линии, значение которого численно равно 4,1 мин/шт., так как данное значение превышает 1 мин., то в течение смены рекомендуется делать два перерыва по 10 мин.;

v  количество рабочих мест, которое делится на расчетное и принятое;

v  коэффициент загрузки рабочих мест, значение, которого колеблется от 0,90 до 1,07 и коэффициент загрузки недогруженных станков, расчёт которого используется для совмещения профессий, с целью обеспечения полной занятости рабочих;

v  заделы прерывно-поточной линии, необходимые для поддержания ритмичной работы линии между операциями, имеющими различную производительность.

Также было произведено построение графика-регламента оборудования линии и обслуживания его рабочими, который показывает, что на протяжении смены будет два периода комплектования задела, каждый продолжительностью 240 мин. или 0,5 смены.

Были изучены виды движения предметов труда и рассчитана длительность производственного цикла. В результате чего можно сделать вывод о том, что для нашей поточной линии целесообразно использовать последовательно-параллельный вид движения с учётом совмещения операций и формирования заделов. Кроме того, был выполнен расчёт численности работников и составлено штатное расписание участка, рассчитаны производственные площади участка. Исходя, из этих расчётов был сделан вывод о том, что в данном цехе преобладают основные рабочие 5-ого и 4-ого разряда, как в первой, так и во второй смене. В соответствии со штатным расписанием общее количество работающих на участке составляет 60 человек. Что касается площади участка, то как и полагается в цехе большую часть площади занимает оборудование 185,6 м2 от общей площади участка, равной 308,4 м2.

Также была описана организация технического контроля на участке, который играет немаловажную роль на участке, в цехе и в целом на предприятии. Технический контроль и испытания позволяют не только установить, соответствует ли продукция предъявляемым к ней требованиям, но дают информацию для управления качеством продукции.

Также была построена сетевая модель организации участка.

Список использованных источников

1.    Климов А.Н., Оленев И.Д., Соколицын С.А. Организация и планирование производства на машиностроительном заводе.- Л.: Машиностроение, 1979. -463с.

2.       Егоров М.Е. Основы проектирования машиностроительных заводов. -М.: Высшая школа, 1969.-480 с.

.        Проектирование машиностроительных заводов. Справочник в 6-ти томах. Под общей ред. Е.С.Япольского.- М.: Машиностроение, 1975

.        Организация, планирование приборостроительного производства и управление предпримятием. : Учебник для вузов/ Под ред.В.А. Петрова - Л.: Машиностроение, 1987. - 424с.

Приложения

Рисунок 6.1 - Сетевая модель организации участка

Похожие работы на - Организация поточной линии в механообрабатывающем цехе

 

Не нашли материал для своей работы?
Поможем написать уникальную работу
Без плагиата!
Без нейросетей!