Производство бетонной смеси в бетоносмесителе СБ-93
Производство
бетонной смеси в бетоносмесителе СБ-93
Введение
Для приготовления строительных растворов
применяется передвижной и стационарный бетоносмеситель СБ. Перемешиванием
называют процесс механического перемещения частиц одних компонентов по
отношению к частицам других веществ, осуществляемый с целью получения масс,
однородных по минералогическому, зерновому составу и влажности, а также для
поддержания достигнутой однородности. Однородность исходных многокомпонентных
масс способствует быстрому течению химических реакций, повышению качества
изделий благодаря более плотной укладке частиц и т. п. Для получения бетонов и
растворов, обладающих заданными свойствами, необходимо не только правильно
подобрать материалы и точно их дозировать, но и тщательно перемешать, чтобы
частицы вяжущего вещества (цемента, извести, гипса) были равномерно увлажнены и
обволакивали частицы заполнителя (песка, щебня, гравия), а мелкие частицы
заполняли промежутки между крупными и обеспечивали наибольшую плотность массы.
Перемешивание производят специальными машинами и установками, от эффективной
работы которых во многом зависит качество готовых изделий.
Теоретические ведомости
бетоносмеситель бетонная смесь
Бетоносмеситель СБ-93 периодического действия с
принудительным перемешиванием материала состоит из корпуса-чаши, ротора с
лопастями, привода, крышки с загрузочными отверстиями и разгрузочного
устройства. Корпус-чаша представляет собой кольцевой желоб, днище которого и
внутренний цилиндр опираются на раму, а наружный цилиндр швеллерным фланцем
соединен с крышкой. Для большей жесткости она выполнена конусной, а по контуру,
так же как и корпус, имеет швеллерное кольцо. В ней сделаны люки для загрузки
заполнителей через патрубок, подачи воды к перфорированным трубопроводам,
цемента - через патрубок и для подключения аспирационных устройств через
патрубок.
Бетоносмеситель СБ-93:
- корпус-чаша 7 - сливная труба 13 - пружина
- крышка 8 - разгрузочный затвор 15 - верхняя
лопасть
- вытяжной патрубок 9 - загрузочный люк для
заполнителей
- мотор-редуктор 10 - наружный очистной скребок
- пульт управления 11 - ротор
- центральный стакан 12 - пневмоцилиндр
- загрузочный патрубок для цемента 16 - донная
лопасть
- внутренний очистной скребок
На опорном кольце центрального отверстия крышки
смонтирован редуктор с фланцевым электродвигателем, включаемым с пульта
управления. Выходной вал редуктора ступицей вращает ротор с перемешивающими
лопастями и зачистными скребками. Подпружиненные кулачки бетоносмесителя СБ
воздействуют на установленные во втулках оси держателей так, что каждая из
четырех донных перемешивающих лопастей при вращении ротора двигается над днищем
корпуса на расстоянии 3... 5 мм, интенсивно перемешивая материал, а при
попадании между днищем и лопастью заполнителей, грозящих заклиниванием и
поломкой лопасти, она свободно приподнимается над днищем, поворачиваясь вместе
с пластиной, криволинейным держателем и кулачком, сжимая пружину. Скребок,
зачищающий борт чаши, также подпружинен устройством. Предварительное сжатие
пружин производят регулировочными гайками через люки корпуса ротора.
Внутренний пластинчатый очистной скребок и две
верхние смешивающие лопасти и жестко закреплены держателями на роторе, так как
отстоят от днища и внутреннего цилиндра корпуса бетоносмесителя СБ на
расстоянии, превышающем размер наиболее крупных кусков заполнителя. Чтобы в
него случайно не попали куски, превышающие 70 мм в поперечнике, загрузочный люк
в крышке имеет предохранительную решетку. Подшипниками ротор опирается на
центральную ось, а его корпус, крышки люков обслуживания и специальные
герметизирующие диски и кожухи изолируют ответственные детали от воздействия
частиц компонентов бетонной смеси при их загрузке и перемешивании. Зачистное
устройство в виде резиновой ленты препятствует налипанию состава на части
ротора, которые также зачищаются струйками воды, подаваемой через
перфорированные трубки с очередной загрузкой материала в начале каждого цикла.
Материал загружают при вращающемся роторе так
же, как и при выгрузке порции готовой смеси. Разгрузочное устройство состоит из
пневмоцилиндра, рычага, оси и секторного затвора.
Для защиты вертикальных стенок корпуса-чаши и
его днища от износа и для облегчения ремонта применена сменная футеровка из
листовой износостойкой стали. Вместимость чаши бетоносмесителя СБ по загрузке
1500 л, объем готового замеса 1000 л, максимальная крупность заполнителей 70
мм, частота вращения ротора составляет 20 минут.
Чтобы в смеситель не попадал материал крупнее 70
мм, в загрузочном люке для заполнителей предусмотрена предохранительная
решетка.
Смесительное устройство состоит из шести
смешивающих лопастей и двух скребков для очистки поверхностен центрального
стакана и чаши.
Привод смесителя представляет собой вертикально
расположенный мотор-редуктор, состоящий из электродвигателя и встроенного
редуктора. Такая конструкции помогает уменьшить габаринтые размеры
бетоносмесителя. Что бы уменшить динамическую нагрузку, двигатель
устанавлвивают на гибких прокладках.
На выходном валу редуктора закреплен ротор
смесителя.
Для получения требуемой однородности бетонной
смеси перемешивание компонентов длится 45 минут, а для приготовления растворной
смеси перемешивание продолжается 70... 80 с. Мощность электродвигателя привода
ротора составляет 40 кВт. Масса бетоносмесителя СБ 5 тонн.
Применяют также планетарно-роторные установки
периодического действия с принудительным перемешиванием компонентов смеси в
кольцевом рабочем пространстве четырьмя лопастями, вертикальные держатели
которых попарно укреплены на поперечинах, совершающих вращательное движение и
обеспечивающих планетарное вращение лопастей и интенсивное перемешивание
материала в корпусе оборудования.
Расчет основных параметров
Техническая характеристика:
Обьем загрузки, л 1500
Колличество замесов, в час 40
Максимальный размер наполнителя,мм 70
Частота вращения ротора, мин 20
Электродвигатель:
Мощность,кВт 40
Габаритные размеры, мм:
длина
2880
высота 2850
ширина 2690
Масса, кг 4900
Мощность двигателя привода смесителей
принудительного действия. Бетонные и растворные смеси в зависимости от их
состояния имеют одновременно свойства связно-сыпучих тел и вязких жидкостей. Их
реологическое состояние может характеризоваться преобразованным уравнением
Ньютона:

+ 
;
где 
- напряжение сил трения между
слоями смеси;- предельное напряжение сдвига, характеризующее структурные связи;

- динамическая вязкость смеси; 
- градиент скорости движения слоев
жидкости.
При предельно разрушенной структуре
такие смеси с известным приближением можно рассматривать как псевдожидкости,
обладающие некоторой эффективной вязкостью.
Для выбора редуктора находится
крутящий момент на его тихоходном валу, с которым соединен рабочий орган (ротор
с лопастями)
=
где Р - мощность электродвигателя, кВт; ηред
- К.П.Д редуктора. η = 0.90; ωр.о.
- угловая скорость рабочего органа, ;
Число оборотов рабочего органа в минуту:
= 20 об\мин;
n=
=
об\сек;
=
=
;
=
=
0,33
= 2,08 рад\с;
=
=
n=
=
17,2;
Ввиду сложного движения струй смеси в смесителях
и непостоянства некоторых свойств смеси во времени уравнения движения их
решаются в критериальной форме на основе теории подобия. Преобладающее значение
при перемешивании имеют лобовое давление, силы трения и тяжести. Выражая эти
силы в критериальной форме, т. е. в их отношении к силам инерции, можно описать
этот процесс в виде степенных функций определяющих критериев:
Eu = (
)(Fr
),
где Eu - критерий
Эйлера, выражающий отношение лобового давления к силам инерции; Re- критерий
Рейнольдса, выражающий отношение сил внутреннего трения к силам инерции; Fr- критерий
Фруда, выражающий отношение сил тяжести к силам инерции.
На основе теории подобия и
экспериментальных исследований ВНИИстройдормаш предложил рассчитывать мощность
(кВт) двухвальных горизонтальных бетоносмесителей по формуле
N = (28 
30) 


где L-длина
смесителя, м; d-диаметр лопастей;
n - частота
вращения вала, об/мин; 
- степень заполнения смесителя.
В общем случае момент (Н-м),
необходимый для вращения лопасти:
М = krbdr=kb(
)/2,
где k-коэффициент
сопротивления движению лопасти, Н/м2;b-проекция
ширины лопасти на плоскость, перпендикулярную направлению вращения, м; 
- радиусы наружной и внутренней
кромок лопасти, м.
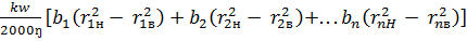
Для роторных смесителей, у которых
лопасти размещаются на разных радиусах и под разными углами, мощность двигателя
(кВт)
N =
где Ь1, b2,.. bn - проекции
ширины соответствующих лопастей, м; r1в; r2в.. rпн - радиусы
наружных кромок лопастей, м, r1В, r2В, r2В - радиусы
внутренних кромок лопастей, м.
В этих смесителях лопасти полностью
погружены в смесь, поэтому здесь 
= 1. Коэффициент сопротивления
движению лопасти в смеси зависит от состава смеси, содержания в ней воды и
скорости движения лопасти.
Исследованиями К. М. Королева
установлено, что с увеличением содержания воды коэффициент сопротивления
сначала возрастает, а затем уменьшается. Наибольшие сопротивления перемешиванию
имеют место при отношении массы воды к массе цемента в интервале В/Ц = 0,3-0,4.
При расчетах мощности следует
принимать значения коэффициентов сопротивления для наиболее тяжелых условий
работы смесителя соответствующего типа.

- раствор; 2 - керамзитобетон; 3 -
бетон с известняковым заполнителем; 4 - бетон с гранитным заполнителем
Коэффициент сопротивления движению
бетонов и растворов
|
Смесь
|
Крупный
заполнитель
|
Водоцементное
отношение В\Ц
|
Жесткость,
с
|
Коэфициент
сопротивления движения k, Па
|
|
Раствор
|
-
|
0,3
0,4 0,5 0,6
|
-
18 8
|
30000
25000 27000 15000
|
|
Легкий
бетон
|
Керамзит
|
0,3
0,4 0,5 0,6
|
-
|
20000
25000 18000 15000
|
|
Тяжелый
бетон
|
Известняк
|
0,3
0,4 0,5 0,6
|
-
- 15 10
|
55000
57000 48000 30000
|
|
Тяжелый
бетон
|
Гранит
|
0,3
0,4 0,5 0,6
|
-
- 13 7
|
70000
75000 65000 60000
|
Расчет геометрических и кинематических
параметров роторных смесителей. Эффективность работы (с-1) роторного
смесителя К. М. Королевым предложено оценивать критерием

= (vcр Fa)/V,
где vcр - условная
средняя скорость движения лопастей, м/с; Fa - активная
площадь лопастей, равная сумме проекций поверхностей лопастей на плоскость,
перпендикулярную направлению движения, м2; V- объем готового замеса,
м3; 
- современных смесителей К = 0,5т-
0,6 с"1.
П =
Z
где
-
обьем загрузки смесителя, л; Z - колличество замесов за час;
=
0,65 - коэфициент выхода раствора;
= 0,80…0,85 - коэфициент испоьзования машини по времени.
П
= 1500
40
где 
- обьем загрузки смесителя, л; Z -
колличество замесов за час; 
= 0,65 - 0,80…0,85 - коэфициент
испоьзования машини по времени.
П = 1500 
40 

Для обеспечения качественного
перемешивания условная средняя скорость лопастей не должна превышать
критическую скорость, при которой центробежные силы, действующие на частицу,
могут превышать силы трения, вследствие чего произойдет сегрегация компонентов
смеси.
Из схемы видно, что частица не будет
отбрасываться к периферии при условии равенства суммы сил трения fG и fQ силе
инерции Ри:
+ fQ = Ря.
Сила Q,
действующая на частицу со стороны лопасти для обеспечения ее перемещения по
днищу, Q = fG.
Схемы к расчету роторных смесителей
Учитывая, что Ри = 
, получаем
+f2G = G
P/g.
Откуда критическая угловая скорость
(с-1)

кр < 
,
где f -
коэффициент трения смеси о лопасти [по данным научно-исследовательского
института бетона и железобетона (НИИЖБ) f = 0,4
0,5]; g- ускорение,
м/с2; R - радиус, наиболее удаленный от оси
вращения лопасти, м.
Условная средняя скорость движения (м/с) по
рекомендациям К. М. Королева может приниматься:

ср = .
Оптимальные геометрические параметры смесителя
определяются в следующем порядке. Внутренний диаметр чаши (м)
D =
где h
- высота слоя смеси в чаше принимается в зависимости от объема смесителя, м.
Средний радиус вращения лопастей и диаметр
стакана
d (м):
Rcp
d = 0,33D.
Суммарная активная площадь лопастей (м2).
Fак
= 
Fi cos
cos
= 
V/vcр
где Fi - натуральная поверхность
отдельной лопасти, м2; a и 
- угол установки лопасти в
соответственно горизонтальной плоскости и вертикальной.
D = 
Для смесителей емкостью 500…2000 h 
0,13…0,2 м.
Лопастной аппарат должен быть спроектирован так,
чтобы обеспечивалась интенсивная циркуляция смеси, что достигается изменением
радиусов и углов а и Р Положительные углы атаки должны чередоваться с
отрицательными. Кромки предыдущих лопастей должны перекрывать кромки
последующих.
Смесь удержится на лопасти горизонтального
смесителя при условии:
Ри < F
+ G sin
а
Расчетными
параметрами роторных смесителей являються продуктивность бетоносмесителя П;
геометрические размеры - внутрений диаметр чаши D, средний радиус оборота
лопастей 
; колличество лопастей n; угловая
скорость ротора 
Максимальный диаметр чаши D зависит 
и высоты слоя смесителя в чаше 
Подбор состава бетонной смеси и
расчет материалов на замес бетономешалки
Прочность и долговечность монолитных
бетонных конструкций фундаментов напрямую зависят не только от качества применяемых
материалов, способа уплотнения бетонной смеси и условий выдерживания бетона,
но, главным образом, и от рационального подбора состава бетонной смеси, ее
подвижности (жесткости) и дозировки материалов на замес бетономешалки.
Если объем строительства находится
недалеко от бетонного завода (бетонного узла), то лучше заказать доставку
бетона нужной марки с определенной подвижностью и крупностью щебня.
Транспортирование бетонной смеси необходимо осуществлять автобетоносмесителями,
которые не допускают потерю цементного молока, исключают попадание атмосферных
осадков и прямое воздействие солнечных лучей, расслоение и нарушение
однородности смеси.
В большинстве случаев при
«самострое» с помощью наемных рабочих или небольших строительных фирм, не
имеющих опытного специалиста или договора со строительной лабораторией, подбор
состава бетона и дозировка материалов производятся «на глазок» лопатами.
Подвижность бетонной смеси не контролируется, а для облегчения укладки в смесь
добавляют излишнее количество воды, что приводит к нарушению водоцементного
(В/Ц) отношения и потере прочности бетона.
Схема определения подвижности
(величины осадки конуса) бетонной смеси
Конечно, в условиях строительной
площадки невозможно выполнить весь комплекс работ по определению качественных
характеристик применяемых материалов: песка (удельный вес, объемная масса,
пустотность, влажность, зерновой состав и модуль крупности, содержание
глинистых частиц и органических примесей и др.); щебня (объемная масса,
прочность, влажность, объем пустот, загрязненность, содержание пластинчатых и
игловатых зерен и др.); цемента (удельный вес и удельная поверхность, сроки
начала и окончания схватывания, активность и др.); бетонной смеси (подвижность,
прочность, объемная масса, водоотделение, водонепроницаемость и др.).
Однако и в построечных условиях
можно с достаточной точностью оценить некоторые свойства материалов и с помощью
справочных данных выполнить подбор составов бетонных смесей различных марок.
Исходные данные для расчета состава
товарного бетона:
При приготовлении бетонных смесей на
цементе и песке без крупного заполнителя (щебня) значения В/Ц для получения
мелкозернистого бетона требуемых марок уменьшают на 0,1 против указанных в
табл. 20.
Приведенные в табл. 20 значения В/Ц
предусматривают получение соответствующих марок бетона при твердении его в
нормальных условиях, т.е. при относительной влажности воздуха 90-100% и
температуре 15-20°С. Указанные в таблице значения В/Ц являются
ориентировочными. Однако, как показал опыт, они обеспечивают получение бетона
заданной марки лишь с незначительными отклонениями.
Значение водоцементного отношения
(В/Ц)
Проектная
марка бетона
Марка цемента
400 500
1,03 -
0,85 -
0,69 0,79
0,57 0,65
0,53 0,61
Примечание. Значения В/Ц приведены для бетона,
приготовленного на щебне и песке с модулем крупности до 2,5.
При использовании таблицы надо иметь в виду, что
в ней приведены данные, полученные на основе изучения бетонов, приготовленных
из смесей на природном песке с модулем крупности Мк = 2,7, при В/Ц = 0,57 и
подвижностью бетонной смеси, соответствующей 5 см осадки стандартного конуса.
Для бетонов, приготовленных на песке с другим модулем крупности (табл.), а
также имеющих иные подвижность и В/Ц, данные табл. следует принимать с
поправками.
Расход воды и содержание песка в смеси
заполнителей для пробных замесов товарного бетона
|
Наибольший
размер зерен щебня, мм
|
Содержание
песка, % от общего количества заполнителей по абсолютному объему
|
Расход
воды на 1 м3 бетона, л
|
|
10-12
|
56
|
23056
|
|
15
|
52
|
220
|
|
20
|
49
|
200
|
|
25
|
46
|
195
|
|
40
|
41
|
185
|
|
50
|
39
|
177
|
|
70
|
35
|
167
|
Примечание. Если в составе щебня имеется песок,
его количество надо уменьшить. Расход воды приведен с учетом условного водопоглощения
щебня до 1,5%
Определение расхода материалов на 1 м3 бетона:
Требуемая прочность бетона М200
Подвижность бетонной смеси - ОК = 5 см
Наибольший размер щебня - 40 мм
Водоцементное отношение В/Ц = 0,57
Плотность цемента для портландцемента принята Yц
= 3,1 г/см3
Плотность песка Yп
= 2,63 г/см3, объемная масса щебня Yоб.м
= 2,6 кг/л
Расход цемента Ц, кг, на 1 м3 бетона
подсчитывают по формулам Ц = В : (В/Ц) или Ц = В (Ц/В), где В - расход воды, л,
на 1 м3 бетона.
По табл. находим расход воды - 185 л при
применении щебня размером 40 мм и содержание песка - 41% общего количества
заполнителей.
Ц = 185 : 0,57 = 325 кг.
Далее определяем абсолютный объем смеси песка и
щебня Асм, л. Для этого из 1 м3 бетона вычитают сумму абсолютных объемов
цемента и воды, т.е. абсолютный объем, занимаемый в бетоне цементным тестом:
Асм = 1000 - ((Ц/Yц)+В),
Асм = 1000 ((325/3,1)+185) = 1000 - 290 = 710 л.
Группы песка
|
Группы
песка
|
Модуль
крупности Мк
|
|
Крупный
|
3,5
- 2,4
|
|
Средний
|
2,5
- 1,9
|
|
Мелкий
|
2,0
- 1,5
|
|
Очень
мелкий
|
1,6
- 1,1
|
|
Тонкий
|
Менее
1,2
|
Минимальный расход цемента для бетонов на
портландцементе, твердеющих в естественных условиях.
|
Проектная
марка бетона
|
Расход
цемента, кг/м3, марки
|
|
осадка
конуса, см
|
жесткость,
с
|
400
|
500
|
|
М150
|
5-9
|
-
|
225
|
-
|
|
1-4
|
-
|
210
|
-
|
|
-
|
5-10
|
200
|
-
|
|
М200
|
5-9
|
-
|
265
|
235
|
|
1-4
|
-
|
245
|
210
|
|
-
|
5-10
|
235
|
200
|
|
-
|
11-20
|
220
|
-
|
|
М250
|
5-9
|
-
|
310
|
275
|
|
1-4
|
-
|
325
|
290
|
|
-
|
5-10
|
270
|
235
|
|
-
|
11-20
|
285
|
250
|
|
М250
|
5-9
|
-
|
310
|
275
|
|
1-4
|
-
|
285
|
250
|
|
-
|
5-10
|
270
|
235
|
|
-
|
11-20
|
255
|
220
|
|
М300
|
-
|
355
|
315
|
|
-
|
325
|
-
|
290
|
|
-
|
5-10
|
305
|
270
|
|
-
|
11-20
|
285
|
250
|
|
М350
|
5-9
|
-
|
400
|
360
|
|
1-4
|
-
|
365
|
325
|
|
-
|
5-10
|
345
|
310
|
|
-
|
11-20
|
320
|
290
|
|
М400
|
5-9
|
-
|
-
|
405
|
|
1-4
|
-
|
-
|
365
|
|
-
|
5-10
|
-
|
340
|
|
-
|
11-20
|
-
|
320
|
Абсолютный объем песка Ап, л, определяем по
формуле:
Ап = (Асм*r)/100
где r
- найденное по табл. процентное содержание песка (41%),
Ап = (710*41)/100 = 290 л
Абсолютный объем щебня Ащ, л, находят как
разность между абсолютными объемами смеси заполнителей и песка:
Ащ = Асм - Ап
Ащ = 710 - 290 = 420 л
Зная плотность песка Yп
и объемную массу щебня Уоб.щ, определяют расходы песка П и щебня Щ, кг, на 1 м3
бетона:
П = АпYп
П = 290*2,63 = 763 кг
Щ = АщYоб.щ
Щ = 420*2,6 = 1092 кг
Расход материалов на 1 м3 бетона: Ц = 325кг; В =
185 л; П = 763кг; Щ = 1092 кг.
Объемная масса бетонной смеси: Yоб.б.см
= 325 + 185 + 763 + 1092 = 2365 кг/м3.
Состав бетонной смеси может быть выражен весовым
соотношением цемент : песок : щебень: (325/325) : (763/325) : (1092/325) = 1 :
2,3 : 3,4
Для приготовления пробных замесов количество
цемента, песка, щебня и воды уменьшают в соответствии с принятым объемом
пробного замеса. Затем делают пробные замесы и путем корректирования
устанавливают окончательный расход воды на 1 м3 бетона, обеспечивающий заданную
подвижность смеси. В том случае, когда заданное количество воды не обеспечивает
требуемой подвижности бетонной смеси, в приготовленную смесь добавляют воду
порциями по 2-3% от заданного количества. Для сохранения принятого В/Ц
добавляют также соответствующее количество цемента. Если смесь получилась с
избыточной подвижностью по сравнению с требуемой, в замес добавляют песок и
щебень, сохраняя между ними принятое по расчету соотношение. Песок и щебень
также добавляют порциями, по 3-5% от их веса. После корректировки пробного
замеса окончательно устанавливают состав бетона.
Определение подвижности бетонной смеси
От конструктивных особенностей изделий зависит в
значительной мере выбор метода их формования, а это, в свою очередь,
предъявляет соответствующие требования к консистенции бетонной смеси в
отношении ее подвижности и удобоукладываемости.
Бетонные смеси бывают подвижными и жесткими.
Подвижные смеси при укладке легко заполняют форму и уплотняются в ней под
действием собственной силы тяжести. Жесткие смеси для указанных выше операций
требуют приложения подчас значительных внешних сил. Независимо от того, к какой
из этих групп относится бетонная смесь, каждая из них в производственных
условиях характеризуется определенной степенью подвижности. Подвижность
бетонной смеси определяется по величине осадки стандартного конуса,
отформованного из данной смеси .
Для определения осадки конуса потребуются
средняя проба бетонной смеси, деревянная или металлическая площадка, форма
конуса, стержень для стыкования смеси, стальная линейка длиной не менее 70 см,
стальная линейка с делениями длиной 20-50 см, кельма.
Ход работы
После уплотнения излишек бетонной смеси срезают
вровень с верхними краями формы, заглаживая кельмой поверхность смеси. Затем
форму медленно поднимают строго вертикально и ставят рядом с конусом,
отформованным из смеси. На форму конуса по его диаметру кладут на ребро
стальную линейку длиной 70 см так, чтобы свободный конец линейки проходил через
центр конуса, изготовленного из бетонной смеси. Расстояние между поверхностью
бетонной смеси и ребром линейки измеряют другой линейкой с делениями с
точностью до 0,5 см. Результат промера характеризует величину осадки конуса. Как
правило, определение для одной и той же смеси повторяют дважды. Результат двух
параллельных измерений не должен отличаться больше чем на 2 см. Выбор
подвижности бетонной смеси зависит от вида конструкции. Например, для бетонных
набивных свай O.K.
~4-5 см, для густоармированных плит перекрытий и монолитных фундаментных
столбов O.K.
= 6-8 см и т.д. В каждом случае учитываются конструктивные особенности
элементов, густота армирования, воспринимающие элементом нагрузки, марка бетона
и используемые фракции (размеры крупного заполнителя - щебня, гравия).
Расчет расхода материалов на один замес
бетономешалки
В зависимости от объема бетонных работ на
строительных объектах используются в основном бетоносмесители гравитационного
типа емкостью от 60 до 3000 л. Для расчета расхода материалов на один замес
примем бетономешалку с емкостью смесительного барабана (Vб)
1200 л. Производственный расход материалов на 1 м3 бетона следующий:
Цпр - 312 кг, Впр - 153 л, Ппр - 612 кг, Щ -
1296 кг.
Объемный вес влажных песка и щебня принят 1,6 и
1,495 кг/л соответственно, объемный вес цемента 1,3 кг/л, щебень применяется
двух фракций: 40% щебня крупностью 10-20 мм и 60% щебня крупностью 20-40 мм.
Вычислим расход материалов на один замес. Для этого определим коэффициент
выхода бетонной смеси:
β = 1000/(Vц+Vп+Vщ)
= 1000/((Цпр/Vоб.ц)+(Ппр/Vоб.п)+(Щпр/Vоб.щ))
β =
1000/((312/1,3)+(612/1,6)+(1296/1,495)) = 0,672
Расходы материалов на один замес бетономешалки:
цемента Ц = (Vб*β/1000)*Цпр
Ц = (1200*0,672/1000)*312 = 0,806*312 = 252 кг
воды В = (Vб*β/1000)*Впр
В = 0,806*153 = 123,4 л
песка П = (Vб*β/1000)*Ппр
П = 0,806*612 = 493 кг
щебня Щ = (Vб*β/1000)*Щпр
Щ = 0,806*1296 = 1044 кг, в том числе:
Щ10-20 = 1044*40/100 = 436 кг
Щ20-40 = 1044*60/100 = 626 кг
Расчет на статическую прочность
Размеры: l1 = 60 мм; d1 = 70 мм; l2 = 10 мм; d2
= d3 = d4 = 65 мм; l3 = 80 мм; l4 = 160 мм; l5 = 80 мм; d5 = 68 мм; l6 = 70 мм;
d6 = 65 мм;
Нагрузки:
Окружная сила Ft = 5000 Н;
Радиальная сила Fr = 4500 Н;
Осевая сила Fa = 3000 Н;
Передаваемый момент Т = 25 Н∙м;
Свойства материала:
σт = 540 МПа;
τт = 290 МПа;
Расчет на статическую прочность
Проверку статической прочности выполняют в целях
предупреждения пластических деформаций в период действия кратковременных
перегрузок (например, при пуске, разгоне, реверсировании, торможении,
срабатывании предохранительного устройства). [1, стр. 165]
Величина нагрузки зависит от конструкции
передачи (привода). Так при наличии предохранительной муфты величину перегрузки
определяет момент, при котором эта муфта срабатывает. При отсутствии
предохранительной предохранительной муфты возможную перегрузку условно
принимают равной перегрузке при пуске приводного электродвигателя. [1, стр.
165]
В расчете используют коэффициент перегрузки Kп =
Tmax/T,
где Tmax - максимальный кратковременный
действующий вращающий момент (момент перегрузки); T - номинальный (расчетный)
вращающий момент. [1, стр. 165]
Коэффициент перегрузки выбирается по справочной
таблице 24.9 [1]. Для выбранного двигателя:
п = 2.4 .
В расчете определяют нормальные σ
и
касательные τ напряжения в
рассматриваемом сечении вала при действии максимальных нагрузок:
σ = 103Mmax/W +
Fmax/A; τ
= 103Mкmax/Wк,
где Mкmax = Tmax = KпT - крутящий момент, Н∙м;
Fmax = KпF - осевая сила, Н; W и Wк - моменты сопротивления сечения вала при
расчете на изгиб и кручение, мм3; A - площадь поперечного сечения, мм2. [1,
стр. 166]
Частные коэффициенты запаса прочности по
нормальным и касательным напряжениям (пределы текучести σт
и τт
материала см. табл. 10.2[1]) [1, стр. 166]:
тσ = σт/σ;
Sтτ
= τт/τ.
Общий коэффициент запаса прочности по пределу
текучести при совместном действии нормальных и касательных напряжений [1, стр.
166]
Статическую прочность считают обеспеченной, если
Sт ≥ [Sт], где [Sт] = 1,3...2 - минимально допустимое значение общего
коэффициента запаса по текучести (назначают в зависимости от ответственности
конструкции и последствий разрушения вала, точности определения нагрузок и
напряжений, уровня технологии изготовления и контроля). [1, стр. 166]
Моменты сопротивления W при изгибе, Wк при
кручении и площадь A вычисляют по нетто-сечению для вала с одним шпоночным
пазом [1, стр. 166]:
W = πd3/32 - bh(2d-h)2/(16d);
Wк = πd3/16
- bh(2d-h)2/(16d);
A = πd2/4
- bh/2.
При расчетах принимают, что насаженные на вал
детали передают силы и моменты валу на середине своей ширины. [1, стр. 164]
Длины участков для расчетных схем вала:
= 80 мм; L2 = 240 мм; L3 = 75 мм.
Расчетная схема вала для построения эпюры Mx:
Эпюра Mx:
Расчетная схема вала для построения эпюры My:
Эпюра My:
Расчетная схема вала для построения эпюры N:
Эпюра N (осевые факторы):
Расчетная схема вала для построения эпюры Mкр:
Эпюра Mкр:
Очевидно, что опасным является место зубчатого
зацепления, в котором действуют все виды внутренних факторов. Рассмотрим его:
Mx = 2700 Н∙мм;
My = 3000 Н∙мм;
F = 3000 Н;
Mк = 25 Н∙м;
Fmax = 2.4 ∙
3000 = 7200 Н;
Mкmax
= 2.4 ∙ 25 = 60 Н∙м.
Расчетный диаметр в сечении вала-шестерни: d =
65 мм.
W = 2691.25 мм;
к
= 5392.49 мм; = 3318.31 мм.
σ = 38.1 МПа;
τ = 1.11 МПа.
Частные коэффициенты запаса:
STσ = 14.17; τ = 261.26;
Общий коэффициент запаса:
=14.15.
Описание способа закрепления машины на
фундаменте
Смесители на фундаментах закрепляются при помощи
анкерных болтов, при значительном разнообразии конструкций всех их можно
разделить на 3 группы:
. Болты заделывающиеся в тело фундамента
наглухо.
. Болты устанавливаются с изолирующими
трубками(съёмные)
. Болты устанавливаются в готовые фундаменты в
просверленные скважины.
Болты I-ой
группы обычно снабжаются снизу крюками или, в остальных случаях находят
применение болты снабжённые анкерными плитами.
При установке небольших машин допускается
устанавливаются болты при бетонировании фундамента(рис.а). В более
ответственных они устанавливаются в специальные шахты (рис.б) с последующей
заливкой раствором.
Типичные конструкции болтов II-ой
группы показаны на рис в, г, д.
Первая из них (в) является наиболее
универсальным и распространенным заземлением в бетонный массив и осуществляется
при помощи сварной или литой анкерной плиты с прямоугольным отверстием , в
которое вводятся такого же очертания головка болта с последующим поворотом на
90.˚ Чтобы упростить установки болтов данного типа и исключить
необходимость применить для них специальной опалубки при бетонировании.
Последнюю можно заменить стальной трубкой из листовой стали ( рис г).
Более экономичной является конструкция анкерного
крепления, представленная на (рис д). Здесь короткий болт ввинчивается в
головку специальной закладкой в бетон на достаточную глубину. По этому типу
могут устраиваться и устанавливаться только хорошо уравновешенные машины при
диаметре болтов не более 20 мм.
Болты, установленные в готовый фундамент в
просверленные скважины, делятся на прямые, которые устанавливают с помощью
эпоксидного клея. Болты, закреплённые последним, могут устанавливаться через
отверстия в опорных чашах как до, так и после монтажа оборудования.
Правила эксплуатации машин
Использование оборудования в процессе
эксплуатации складывается из мероприятий, выполняемых перед началом, в процессе
и после окончания работы. Для оборудования всех типов необходимо проведение
крепёжных и смазочных работ. В то же время возникает необходимость в выполнении
ряда специфических операций зависящих от конструкции машины. При эксплуатации
бетоносмесительных машин регулярно проверяют работу фракционного устройства,
совершенно регулируя его, а так же смесительных лопастей которые влияют на
количество перемешивания. При проверке бетоносмесителей с опорным барабаном
особое внимание должно быть уделено на состояние концевых выключателей и
специальных опорных механизмов, удерживающих барабаны в рабочем положении. При
эксплуатации раздатчика бетона основное внимание должно быть обращено на
состояние его бункера и ленты. Нужно перед началом работы отчистить от бетона,
проверить применение вибраторов на бункере, убедиться в надёжности уплотнения в
месте применения, в месте питателя.
При приготовлении бетонной смеси неблагоприятным
является большое количество пыли. Для уменьшения количества пыли оборудование
подключается к аспирационной системе, вентиляции.
Из большого числа обеспыливающего оборудования
наибольшее распространение на заводах железобетонных конструкций, получили
циклоны, рукавные фильтры и электрофильтры. Отделение пыли из воздушных потоков
в них происходит в результате действия силы тяжести, а так же в результате
диффузии.
В отделениях дозирования, основное снимание
должно быть уделено герметичности дозировочных компонентов. Для этого вокруг
дозаторов устраиваются резиновые кожухи.
В бетоносмесительном отделении с целью
безопасного обслуживания запрещается увеличивать число бетоносмесителей
увеличивать число бетоносмесителей увеличивать число бетоносмесителей
увеличивать число бетоносмесителей увеличивать число бетоносмесителей, ремонт,
чистку и осмотр во время работы бетоносмесителя и нахождении посторонних лиц ,
включение оборудования без подачи звукового сигнала.
В бункерах смотровые люки устраиваются только
для осмотра и очистки бункера, но не для спуска в них рабочих. Смотровые люки
закрываются решетками и запираются на замок.
Запрещается подогрев материала острым паром.
Подогрев вода должен производиться оборудованием с предохранительным клапаном.
Охрана труда и техника безопасности
Важнейшим условием безопасности работы на
смесительных машинах и оборудовании для транспортирования и подачи бетонной
смеси является правильная эксплуатация машин и регулярное смазывание и
техническое обслуживание.
На машине или в зоне её работы должны быть
вывешены инструкции предупредительные надписи, знаки и плакаты по технике
безопасности. Необходимо, чтобы вокруг бетононасоса был проход шириной не менее
1 м. Движущиеся части машин должны быть в местах возможного доступа к ним.
Запрещается работать на машинах с неисправностями или снятыми ограждениями на
движущихся частях. При работе в тёмное или ночное время суток рабочее место или
машина должны быть освещены. Электросеть должна иметь хорошую изоляцию. Корпус
электродвигателей и машин с электрическим приводом должен быть заземлён.
Регулярный осмотр машин и оборудования постоянный надзор за их работоспособностью
и работой и своевременный ремонт теми мерами, которые повышают безопасность
работы обслуживающего персонала.
Список используемой литературы
1.
Механическое оборудование для производства строительных материалов и изделий -
А.А. Борщевский А.С. Ильин