Интенсификация процеса крашения полиэфирных волокон

  • Вид работы:
    Дипломная (ВКР)
  • Предмет:
    Другое
  • Язык:
    Русский
    ,
    Формат файла:
    MS Word
    475,06 Кб
  • Опубликовано:
    2012-12-17
Вы можете узнать стоимость помощи в написании студенческой работы.
Помощь в написании работы, которую точно примут!

Интенсификация процеса крашения полиэфирных волокон

Введение


В последнее время производство и потребление полиэфирных волокон получило очень широкое распространение. За счёт своих высоких физико-механических свойств, способности заменять другие виды волокон, наиболее низкой стоимостью по сравнению с аналогичными материалами, способности использовать в смеси с натуральным сырьём, полиэфирные волокна находят очень широкое использование в различных направлениях промышленности, особенно в текстильной.

Существуют различные способы крашения текстильных материалов из полиэфирных волокон, но самым эффективным является крашение дисперсным красителем использованием интенсифицирующих агентов. Выбранный способ имеет ряд преимуществ: простота технологического процесса и аппаратурного оформления, получение глубокого тона окрасок при температурах крашения не выше 100°С, возможность крашения любых смесей волокон из одной ванны. Было рассмотрено большое количество органических соединений ароматического и алифатического рядов рекомендовано в качестве интенсификаторов крашения. Эти соединения токсичны и имеют неприятный запах, в связи с этим внимание уделяется поиску низкотоксичных и экологически безопасных интенсификаторов процессов колорирования синтетических волокнистых материалов.

Целью данной работы является:

a)       Разработка технологии крашения полиэфирных волокон дисперсными красителями при температуре 100°С с использованием низкотоксиных, экологически безопасных соединений, содержащих в своей структуре положительно заряженный атом азота;

b)      Исследование взаимодействия дисперсного красителя с четвертичными аммониевыми солями в водном растворе в оптимальных условиях крашения.

1. Литературный обзор

 

1.1 Полиэфирные волокна, их производство и потребление в мире


В последние годы, увеличился объем производства материалов из натуральных и химических волокон. Уже в 2010 г., по сравнению с 2009 г., его прирост на 8,6% (или 6,4 млн. т.) и достигнув - 80,8 млн. т., что корреспондируется со среднемировым потреблением всех видов волокон на душу населения, равным 11,8 кг в год.

Таким образом, в мире средний ежегодный прирост волокон в последнем десятилетии составляет 3,4%, а рост населения в тот же период времени - 1,2% в год, т.е. народы земного шара сегодня, живут в условиях сбалансированного обеспечения сырьем.

Таблица 1 - Мировое производство текстильных волокон в 2010 г.

Волокна

млн. тонн

2009/2010 гг. (±%)

Полиэфирная комплексная нить

23,6

+16

Полиэфирное штапельное волокно

13,7

+9

Полипропиленовая комплексная нить

5

+6

Полипропиленовое штапельное волокно

1

+4

Полиамидная комплексная нить

3,8

+13

Полиамидное штапельное волокно

0,2

-14

Полиакрилонитрильное волокно

2


Другие синтетические волокна

0,8

+22

Целлюлозная комплексная нить

0,4

+5

Целлюлозное штапельное волокно

3,2

+15

Хлопок

24,5

+12

Шерсть

1,1

-3

Лен

0,5

+5

Шелк

0,2

+9

Всего, в т.ч.

80,1

+12

Химические волокна

53,8


Натуральные волокна

26,3


Синтетические волокна

50,2



Из приведенной таблицы (табл. 1) видно, что лидирующие позиции, по всем показателям сохраняют полиэфирные (ПЭФ) волокна, в т. ч. прирост по штапельным составил 9% (до 13,7 млн. т.) и комплексным нитям - 16% (до 23,6 млн. т.). Суммарный выпуск ПЭФ волокон равен 37,3 млн. т. [1].

Практически во всех странах, включенных в (табл. 2), превалируют ПЭФ волокна по сравнению с другими известными типами синтетических волокон. Везде отмечен прирост их производства в 2010 г.

Таблица 2 - Мировое производство синтетических волокон (тыс. т) в 2010 г.

Регионы

Полиэфирные

Полипропиленовые

Полиамидные

Полиакрилонитрильные


2009 г.

2010 г.

±%

2009 г.

2010 г.

±%

2009 г.

2010 г.

±%

2009 г.

2010 г.

±%

Западная Европа

460

516

+12

1351

1426

+6

333

346

+4

293

308

+5

Турция

266

344

+29

283

288

+2

32

47

+47

267

269

+1

Восточная Европа

242

355

+5

211

216

+2

130

154

+18

82

81

-1

США

907

1088

+20

919

997

+8

692

618

+4

-

-

-

Канада

-

-

-

65

78

+20

127

148

+17

-

-

-

Мексика

103

112

+9

78

90

+15

23

22

+4

46

52

+13

Южная Америка

253

276

+7

308

335

+9

84

91

+8

63

66

+5

Китай

21607

25133

+16

1019

1105

+8

1443

1658

+15

692

657

-5

Индия

2803

2944

+5

122

122

±0

87

97

+11

93

75

-19

Тайвань

1556

1680

+8

165

162

-2

358

398

+11

112

102

-9

Ю. Корея

1184

1354

+14

112

124

+11

135

139

+3

41

49

+20

Япония

309

347

+12

153

168

+10

76

95

+25

124

142

+15

Остальная Азия

2834

3013

+4

401

421

+5

129

141

+18

90

92

+2

Другое

233

235

+1

495

491

-1

68

71

+4

78

86

+10

Всего

32813

37296

+14

5679

5998

+6

3609

4024

+11

1980

1978

±0


По России, эти данные очень малы, по сравнению с выше перечисленными показателями других стран.

На фоне отмеченного благополучия с развитием ПЭФ волокон в мире ситуация с их производством в странах СНГ относительно хуже, а в России ее можно признать как катастрофическую. Сегодня Беларусь - единственный и самый крупный производитель ПЭФ волокон в странах бывшего СССР. С легкостью можно согласиться с высказыванием проф. Айзенштейн Э.М: «После развала Союза два действующих современных предприятия отрасли по ПЭФ - в Могилеве и Светлогорске - отошли к этой Республике, а в России остались три предприятия, и ни одно из них фактически не работало: вечная реконструкция в Курске, долгострой в Твери, переориентация на бутылки в Благовещенске. На сегодняшний день лишь «Тверской Полиэфир», в основном благодаря энтузиазму и профессионализму руководивших им в разное время В.А. Соколову и Е.В. Пресницкому, сумел выйти на проектные показатели и добиться в последние годы стабильно обнадеживающих результатов по выпуску ПЭФ пневмотекстурированных нитей.» [2]

Достижения Беларуси по увеличению производства химических волокон в 2010 г. (+18,9% при коэффициенте загрузки мощностей 84,9%) во многом связаны с высокими показателями роста выпуска ПЭФ волокон (на 24,4%, до 127 тыс. т.), доля которых в балансе химических волокон Республики (250 тыс. т.) составляет более 50%.

В России, собственного производства ПЭФ волокон практически нет - 0,35 кг/чел., что уступает среднемировому уровню (5,3 кг/чел.) в 15 раз. И речь идет о текстильном сырье, в настоящее время самом распространенном в мире и являющимся единственной альтернативой природным волокнам - хлопку и шерсти.

Итоги 2010 г. очень плохие: выпуск сократился почти на 5% (табл. 3), в т. ч. штапельного волокна - на 8,1%, спанбонда - на 57,2%. Только ОАО «Тверской полиэфир» и ОАО ПТФ «Завидовский текстиль» удалось вдвое увеличить производство ПЭФ текстильной нити. В целом ПЭФ волокна в 2010 г. составляли примерно 1/3 от производства химволокон в России, а по потреблению - более 50%.

Таблица 3 - Производство полиэфирных волокон и нитей в России, 2010 г.

Производство, т.

Прирост % 2010/1009 гг.

2010 г.

2009 г.


Штапельное волокно и жгут

39220

42690

-8,1

Текстильная нить

7320

3660

+100,1

Кордная ткань, тыс. м²

1370

1030

+33

Cпанбонд

2010

4700

-57,2

Итого: все виды ПЭФ волокон и нитей

48550

51050

-4,9


Говоря о ПЭФ штапельном волокне, производимом в России, надо учитывать, что речь идет не о нормальном сырье, которое отвечает требованиям ГОСТ для текстильной промышленности и способно перерабатываться в смесках с хлопком, шерстью и льном, а также в чистом виде, а о волокне, получаемом при рециклинге отходов бутылок из вторичного полиэтилентерефталата (ПЭТ) и пригодном, главным образом, для изготовления нетканых материалов (НМ), - здесь требования по равномерности, цвету, белизне и др. совершенно иные. Поэтому производство таких волокон из вторичного сырья в основном сосредоточено на текстильных предприятиях, выпускающих НМ, например, в Сыктывкаре, Н. Майне, Усть-Джегуте, Владимире, Гусь-Хрустальном, Судогде и др., - их, как правило, используют для внутренних нужд [3].

Инжиниринговая фирма «ЕРС» по заказу Ивановского государственного фонда поддержки малого бизнеса готовит эскизный проект (типа ТЭО) комплекса по производству и переработки ПЭТ, рассматривая данную работу как первый этап строительства завода по выпуску ПЭФ волокон.

Премьер-министр В.В. Путин 07.09.2011 г. своим Распоряжением №1561-р утвердил Паспорт регионального инвестиционного проекта «Создание завода по производству ПЭТ пищевого и текстильного назначения мощностью 486 тыс. тонн в год» [4].

ПЭФ волокон в России практически нет, из-за чего тысячи текстильных предприятий в стране простаивают или перебиваются дорогим импортным сырьем.

Точные сведения о потребности российских текстильщиков в ПЭФ волокнах пока отсутствуют, и этот факт нередко используется для спекулятивных прогнозов и рассуждений, искажения фактов в своих интересах. На самом деле есть три достоверных источника: 1) практический (ОАО «Ростекстиль»), 2) прогнозирующий (ФГУП ЦНИИЛКА) и 3) расчетный (НИИТЭХИМ). По все источникам можно сделать вывод, что производство химических волокон составляет - ок. 250 тыс. т/год. По данным, разбивка по ассортименту условно может выглядеть следующим образом: штапельное волокно, техническая и текстильная нити, (тыс. т/год) - 160, 30 и 50, соответственно. Вот такими или близкими к этому должны строиться новые производства ПЭФ волокон [5-7].

По самым осторожным прогнозам (с учетом вероятного продолжения кризисных явлений в мировой экономике), изложенным НИИТЭХИМ в докладе Д.Н. Клепикова на научно-практической конференции «Роль химии в инвестиционном развитии России и стран СНГ» 25-26.10.2011 г., исходя из предполагаемого объема выпуска химических волокон в установленной пропорции следует ожидать в обозримом будущем на российском рынке поступления ПЭФ волокон собственного производства на уровне: в 2015 г. - 270 тыс. т, в 2020 г. - 335 тыс. т и в 2030 г. - 400 тыс. т. [7].

Надеемся, что выполнение задуманных проектов окажется в руках грамотных и ответственных специалистов и бизнесменов и возродится производство ПЭФ волокон текстильного назначения. И тогда, разработанные технологии отделки текстильных материалов из ПЭФ волокон с помощью интенсификатора будут внедрены в производство.

1.2 Крашение полиэфирных волокон


Процесс крашения состоит из нанесения красителей на материал и фиксации красителя в волокне, в результате чего происходит облагораживание внешнего вида материала и изделий из него. Крашение сводится в одних случаях к адсорбции красителя волокном, в других - к образованию с волокном химических связей.

Процесс крашения любого волокна (кроме крашения в массе) делится на четыре стадии:

диффузия красителя к волоку (молекулы красителя из раствора диффундируют к волокну);

адсорбция красителя на волокно (молекулы красителя оседают на волокна);

диффузия молекул красителя внутрь волокна (осуществляется по межмолекулярному пространству полимера);

фиксация красителя в волокне (данные процесс необходим для прочного удержания красителя в структуре волокна, устойчивости окраски).

Крашение химических волокон зависит в первую очередь от гидрофильности или гидрофобности исходного полимера, скорости поглощения красителей и сродства красителя к волокну.

Гидрофильность волокон определяется наличием в макромолекуле полимера групп - OH, - COOH, - NH2, - CONH, - SO3H и других, придающих волокнам способность связывать воду. Поэтому гидрофильные волокна при крашении в водной среде набухают (поглощение до 150% воды от массы волокна). Отсутствие в полимерах указанных групп придает волокнам гидрофобность. При крашении эти волокна не набухают.

Полиэфирные волокна характеризуются следующими свойствами:

компактным строением, т.е. достаточной ориентации макромолекул вдоль оси волокна, большой плотностью упаковки и высокой степенью кристалличности;

малым количеством активных групп для образования связи с красителем;

сильно выраженной гидрофобностью.

В плотно упакованной структуре ПЭФ волокна не каждая молекула красителя может разместиться. Поэтому скорость диффузии красителя в глубь волокна мала по сравнению со скоростью диффузии в другие волокна. Для сокращения продолжительности крашения необходимо найти способы повышения скорости диффузии красителей в глубь волокна. Приблизившиеся к волокну молекулы красителя могут проникать в него только при наличии в его структуре свободного пространства. Эти пространства образуются в следующих случаях:

крашение производится при нагревании. В этом случае происходит тепловое движение цепей макромолекул и тем чаще, чем выше температура окружающей среды и самого волокна. Для волокна лавсан применяют крашение при температуре 100-140 оС. Повышение температуры увеличивает также тепловое движение молекул самого красителя, и скорость диффузии красителя в глубь волокна увеличивается. Однако чрезвычайное увеличение температуры ухудшает гриф ткани или может привести к гидролизу эфирных связей и падению прочности волокна [8];

для усиления диффузии красителей могут быть использованы вещества, ослабляющие связи между полимерными цепями, или вещества, вызывающие набухание, например фенолы, кетоны и другие соединения, способные сольватировать сложноэфирную связь, так называемые интенсификаторы или «переносчики». Считают, что размер молекул интенсификаторов меньше, чем молекулы самого красителя. Кроме того, интенсификатор может присоединять воду, при этом волокно набухает, что ускоряет диффузию красителя;

молекулы красителя легче диффундируют в структуре волокна, еcли их размеры очень малы.

Наиболее широко используются периодические способы крашения полиэфирных материалов в автоклавах под давлением при температуре
120-140 ˚С. Такие технологии характеризуются высокой энергоемкостью и конструктивной сложностью оборудования, поэтому все большее внимание отводится технологиям крашения при более низких температурах.

Широкое применение нашли периодические и непрерывные способы крашения текстильных материалов из полиэфирных волокон с использованием интенсифицирующих агентов. При непрерывных способах крашения тканей из полиэфирных нитей красильная ванна содержит сложные композиции органических и неорганических соединений. Например, предлагают [9] использовать следующий состав (г/л): дисперсный краситель 5-40, мочевина 100-150, хлорид кальция или хлорид лития 5-10% от количества мочевины, загуститель 10-20, вода до 1000. Состав позволяет повысить выход красителя на волокне, использовать дисперсные красители с низкой и средней устойчивостью к сублимации. Недостатками непрерывных способов крашение тканей являются выделение токсичных летучих веществ при термофиксации, невозможность окрашивать трикотажные полотна, а также ткани из смеси волокон, претерпевающими структурные изменения при температуре термофиксации 200-220˚С.

Периодические способы крашения позволяют обрабатывать любые текстильные материалы (нить, жгут, ткань, трикотажные полотна и изделия) и исключить стадию термофиксации.

Способы крашения полиэфирных волокон и нитей пытаются совершенствовать каждый день, изменяя режимы, компоненты красильных ванн и оборудование, но существует три основных процесса:

крашение в массе на стадии производства;

высокотемпературные способы крашение (температура выше 130оС);

низкотемпературные способы крашения (до 100оС);

 

1.2.1 Крашение в массе

Крашение в массе - это введение суспензии красителя в реакционную массу мономера или в расплав полученного полимера перед формованием волокна. Краситель в этом случае распределяется в расплаве полимера в виде механической взвеси и равномерность окраски зависит только от распределения частиц красителя в массе волокна.

Для крашения в массе используют красители, хорошо растворимые в растворах или расплавах полимеров, либо высокодисперсные пигменты, способные равномерно распределяться в полимерах и давать устойчивые дисперсии в условиях получения волокон. При крашении волокон, формуемых из расплавов (полиэфирных), красящие вещества вводят на стадии синтеза полимера или в готовый полимер перед формованием из него волокна. В последнем случае красящие вещества наносят на гранулы полимеров, например «опудриванием», окрашивают гранулы из водных ванн обычными методами крашения сформованных волокон или вводят в расплав концентраты красящих веществ в полимерах (тех же, что предназначены для крашения, или совместимых с ними). Крашение концентратами наиболее перспективно, так как их можно вводить непрерывно непосредственно перед формованием волокон. Красящие вещества должны иметь высокую термостабильность (получение и формование волокон проводят при высоких температурах, достигающих 300°С) и быть устойчивыми к химически агрессивных средах при высоких температурах. Для крашения полиэфирных волокон разработаны специальные термостойкие полимерорастворимые красители: производные фталоцианина, хинакридоны, сажу, а также кадмиевые и железооксидные [8].

Способ крашения полиэфирных нитей обработкой свежесформованной нити в водной красильной ванне дисперсными красителями при нагревании и натяжении менее 0,3 гс/текс осуществляют в две стадии при температуре 100,5-105 ˚С: крашение и крашение с вытягиванием. Аморфный полимер нити равномерно насыщается красителем и одновременно нить вытягивается в 1,5-10 раз [10]. Недостатком этого способа является ограниченное его использование, таким способом можно окрашивать полиэфирные нити и жгуты в процессе их получения.

Крашение в массе полимера экономически выгодно прочности окраски и малых затрат, однако из-за малого числа красителей, устойчивых к высоким температурам, находит ограниченное применение.

1.2.2 Высокотемпературные способы крашения

Для получения окрашенных нитей применяют преимущественно высокотемпературное крашение (выше 100°С). Красильный состав содержит дисперсный краситель и диспергатор. Краситель берут в количестве 3 - 5% от массы волокна. Диспергатор используют для уменьшения размера частиц красителя и поддерживания суспензии в состоянии высокой степени дисперсности в процессе крашения. Диспергаторы вводят в красильную ванну в количестве 1 - 2 г/л.

Процесс крашения в этом случае протекает следующим образом: вначале готовят дисперсию красителя с соответствующим диспергатором и вводят ее в красильную ванну, нагретую до 60 - 80°С. Затем нагревают ванну до 125 - 130°С и выдерживают при этой температуре (красят) 30 - 60 мин. Далее нити промывают вначале теплой водой и проводят их восстановительную обработку с последующей тщательной промывкой.

Крашение волокна дисперсными красителями при температуре выше 100°С дает возможность получать окраски, прочные к свету и светопогоде. Обычно процесс крашения проводят в автоклавах.

Можно также окрашивать ПЭ волокон по способу термозоль.

Этот способ крашения является новым вариантом высокотемпературного крашения. Сущность его заключается в следующем. Ткань (или трикотаж) в хорошо расправленном состоянии пропитывают суспензией красителя в присутствии смачивателя, диспергатора и небольшого количества загустителя и высушивают горячим воздухом при 60 - 70°С. После сушки следует термическая обработка горячим воздухом при 190-200°С в течении 1 мин. с последующим охлаждением холодным воздухом. Во время термообработки при 200°С ПЭ волокно расстекловывается, связи между соседними макромолекулами полиэфира в аморфных зонах разрываются, структурные элементы получают большую подвижность, в результате чего резко увеличивается диффузия красителя с поверхности вглубь волокна и его фиксация в волокне. Волокно пребывает в высокоэластичном состоянии, скорость диффузии красителя очень велика, поэтому при непродолжительной термообработке (1 мин) достигаются глубокое прокрашивание и высокая фиксация красителя на волокне. Одновременно с фиксацией красителя при термообработке происходит терсофиксация самого волокна, т.е. благодаря разрыву межмолекулярных связей молекулы полиэфира приобретают большую подвижность и распрямляются более или менее одинаково в соответствии с тем натяжением, при котором происходит обработка. При последующем охлаждении связи между соседними молекулами возникают в новых местах, и положение молекул в волокне таким образом фиксируется. В результате этого ткань приобретает такие ценные свойства, как безусадочность и несминаемость.

При крашении по способу термозоль должны соблюдаться следующие условия:

применяемые красители должны быть устойчивы к сублимации, т.е. не должны возгоняться в условиях термообработки при 200°С;

ткань должна быть в хорошо расправленном и умеренно натянутом состоянии, во избежание усадки и складок, заломов;

в красильную ванну необходимо ввести небольшое количество загустителя для приклеивания красителя к поверхности волокна во избежание миграции на волокне во время сушки горячим воздухом.

После термообработки и охлаждения ткань подвергается промывке по непрерывному способу.


1.2.3 Низкотемпературные способы крашения

Низкотемпературное крашение (не выше 100°С) может проводиться с добавлением интенсификаторов и без них.

Без добавления интенсификатора. В этом случае красильная ванна содержит дисперсный краситель и диспергатор. Крашение осуществляется теми же красителями и диспергаторами, что и при высокотемпературном крашении.

Вначале готовят суспензию красителя с диспергатором в теплой воде. Затем при 50°С волокно погружают в ванну, модуль которой 20 - 30 (на 1 часть красителя берут 20 - 30 частей воды). Содержимое ванны нагревают до 100°С и производят крашение в течение 1 - 1,5 ч. Далее следует промывка (обработка раствором), содержащим 1 г/л технических моющих средств (ТМС), при температуре 80°С в течение 20 - 30 мин. После этого волокно (нити) окончательно промывают.

С применением интенсификатора. Интенсификаторами являются веществами, снижающие температуру перехода из застеклованного состояния в высокоэластическое и вызывающие набухание волокна в условиях крашения. В качестве интенсификаторов при крашении ПЭФ волокон рекомендуется применять о-фенилфенолы, -нафтол в виде тонкодисперсных суспензий, салициловую и бензойную кислоты и др. Хорошим интенсификатором оказался бутиловый эфир сульфоланола (БЭС) [12].

В красильную ванну ввести сначала дисперсию интенсификатора с половинным количеством диспергатора. Для получения тонкодисперсной суспензии о-фенилфенола и -нафтола их следует перевести в растворимые в воде натриевые соли путем нагревания с эквивалентным количеством 10%-го раствора едкого натра (на 1 г. о-фенилфенола 2 мл 10%-го раствора NaOH). После нагревания полученные растворы разбавить теплой водой и ввести в красильную ванну вместе с половиной диспергатора. Затем в ванну медленно по каплям ввести уксусную кислоту до нейтральной реакции (по лакмусу). После добавления уксусной кислоты о-фенилфенол и -нафтол выделяется в виде тонкой дисперсии, которой и обрабатывают материал до введения красителя. Салициловую кислоту ввести в красильную ванну в виде водного раствора. БЭС превращается в дисперсию при смешивании с половиной диспергатора и теплой водой. Обработать волокнистый материал дисперсией (или раствором) интенсификатора при 80°С в течение 30 мин. (М=20), после этого в красильную ванну ввести краситель, затертый в пасту с остальной частью диспергатора и с небольшим количеством воды (М=30). Ванну нагреть до кипения и красить при кипении в течение 1 ч. После крашения промыть горячей водой, обработать раствором, содержащим 2 г/л ТМС и 2 г/л соды, при 80°С в течение 20 мин., снова промыть горячей и холодной водой и высушить

Иногда при крашении получается окраска, не прочная к трению вследствие поверхностного закрепления красителя на волокне. Для удаления красителя с поверхности волокна после крашения вместо обработки в растворе ТМС и соды рекомендуется восстановительная обработка при 80°С в течение 30 мин. Далее следует промывка горячей и холодной водой и сушка [12-13].

В заявке на изобретение 2006016711 JP МПК D06P3/54, D06P1/44, D06P5/20, D06P1/90, D06P3/34, D06P1/00 описывается метод крашения полиэфирных волокон периодическим способом композицией, включающей полярный органический растворитель из следующего ряда: метанол, этанол, изопропиловый спирт, бутанол, бензиловый спирт, ацетон, ацетофенон, N-метил-2-пирролидон, метилэтилкетон, диметилсульфоксид, диметилформамид, этиленгликоль и ацетонитрил [14].

Хорошие показатели колористической отделки полиэфирных материалов дисперсными красителями при температуре не выше 100 ˚С позволяют получать следующие интенсификаторы: 1-хлор-2-нафтол, анилид салициловой кислоты, бензилацетат [15].

В патенте [16] описывается интенсификатор для термической фиксации. Он содержит, мас.%: тиоцианат калия 20 - 35, мочевина 30 - 50, оксиэтилированный моноалкилфенол Неонол АФ 9 - 12 и вода - остальное до 100%. Степень фиксации активных красителей на хлопчатобумажной ткани составляет 90 - 91%, дисперсных красителей на ТАЦ ткани - 89%, активных и дисперсных красителей на хлопколавсановой ткани - 92%.

1.3 Интенсификаторы, применяемые в промышленности

Известные трудности окрашивания полиэфирных волокон связаны с высокой гидрофобностью и степенью кристалличности волокнообразующего полимера и в настоящее время преодолеваются путем применения токсичных полярных химических интенсификаторов, преимущественно ароматического строения (табл. 4) [17].

Таблица 4 - Токсикологическая характеристика используемых в промышленности интенсификаторов крашения полиэфирных материалов
(ГН 2.2.5.686-98)

Название

ПДКр.з., мг/м3

Класс опасности

Агрегатное состояние в воздухе в условиях производства

Бензол (канцероген)

0,5

2

пары

Нафталин

20,0

4

пары

Дифенилметан

10,0

4

аэрозоль

о-Фенилфенол

0,5

2

аэрозоль

в-Нафтол

0,1

2

аэрозоль

Бензилбензоат

5,0

3

пары

Бензойная кислота

5,0

3

аэрозоль

Салициловая кислота

0,1

2

аэрозоль

Ацетофенон

5,0

3

пары

Триметилпиридин

5,0

3

пары

Анилин

0,1

2

пары

Фенол

0,3

2

пары


Самые распространенные интенсификаторы применяемые в промышленности: бензол (-C6H6-) - органическое химическое соединение, бесцветная жидкость с приятным сладковатым запахом.

При непродолжительном вдыхании паров бензола не возникает немедленного отравления, поэтому до недавнего времени порядок работ с бензолом особо не регламентировался. В больших дозах бензол вызывает тошноту и головокружение, а в некоторых тяжёлых случаях отравление может повлечь смертельный исход. Пары бензола могут проникать через неповрежденную кожу. Если организм человека подвергается длительному воздействию бензола в малых количествах, последствия также могут быть очень серьёзными. В этом случае хроническое отравление бензолом может стать причиной лейкемии (рака крови) и анемии (недостатка гемоглобина в крови). Сильный канцероген [18].

Ввиду высокой токсичности его содержание новыми стандартами ограничено введением до 1%.

Салициловая кислота (от лат. salix «ива», из коры которой она была впервые выделена) - 2-гидроксибензойная или фенольная кислота, С6Н4 (ОН) СООН; бесцветные кристаллы, хорошо растворима в этаноле, диэтиловом эфире и других полярных органических растворителях, плохо растворима в воде (1,8 г/л при 20°C).

Салициловая кислота токсична в больших дозах, для человека предполагаемая LD50 составляет 1.75 г./кг. Беременным советуют не употреблять продуктов, содержащих салицилаты, из-за повышения риска развития синдрома Рея [17].

Фенол (гидроксибензол, устар. карболовая кислота) C6H5OH - простейший представитель класса фенолов. Бесцветные игольчатые кристаллы, розовеющие на воздухе из-за окисления, приводящего к образованию окрашенных веществ. Обладают специфическим запахом гуаши. Растворим в воде (6 г на 100 г. воды), в растворах щелоче́й, в спирте, в бензоле, в ацетоне.

Фенол ядовит. Вызывает нарушение функций нервной системы. Пыль, пары и раствор фенола раздражают слизистые оболочки глаз, дыхательных путей, кожу.

Предельно допустимые концентрации (ПДК) фенола:

ПДКр.з. = 1 мг/м³

ПДКр.с. = 0,3 мг/м³

ПДКм.р. = 0,01 мг/м³

ПДКс.с. = 0,003 мг/м³

ПДКв. = 0,001 мг/л

Попадая в организм, фенол очень быстро всасывается даже через неповрежденные участки кожи и уже через несколько минут начинает воздействовать на ткани головного мозга. Сначала возникает кратковременное возбуждение, а потом и паралич дыхательного центра. Даже при воздействии минимальных доз фенола наблюдается чихание, кашель, головная боль, головокружение, бледность, тошнота, упадок сил. Тяжелые случаи отравления характеризуются бессознательным состоянием, синюшностью, затруднением дыхания, нечувствительностью роговицы, скорым, едва ощутимым пульсом, холодным потом, нередко судорогами. Зачастую фенол является причиной онкозаболеваний [19].

Нафталин - С10Н8 твердое кристаллическое вещество с характерным запахом. В воде не растворяется, но хорошо - в бензоле, эфире, спирте, хлороформе.

Нафталин по химическим свойствам сходен с бензолом: легко нитруется, сульфируется, взаимодействует с галогенами. Отличается от бензола тем, что ещё легче вступает в реакции.

Длительное воздействие нафталина может вызвать повреждение или разрушение красных кровяных телец (эритроцитов). International Agency for Research on Cancer (IARC) классифицировала нафталин как возможный канцероген, вызывающий рак у людей и животных. В человеческом организме чаще всего концентрируется в жировой ткани, где может накапливаться до тех пор, пока жировая ткань не начнёт сжигаться и яд не попадёт в кровь, после чего наступает отравление организма (кровотечения, возникновение опухолей и т.д.).

Ацетофенон (метилфенилкетон, C6H5COCH3) - жирноароматический кетон.

Ацетофенон является бесцветной маслянистой жидкостью, обладающей сильным запахом черёмухи. Хорошо растворяется в этаноле, диэтиловом эфире, ацетоне, хлороформе, бензоле. Растворимость воды в ацетофеноне составляет 1,65% масс., растворимость ацетофенона в воде - 0,55% масс.

Ацетофенон обладает снотворным действием. Его производное - хлорацетофенон - является слезоточивым веществом [20].

в-Нафтолы - гидроксипроизводные нафтена (нафталина) где n = 1, 2, 3 и более.

Нафтолы представляют собой бесцветные кристаллические вещества со слабым фенольным запахом. Нафтолы хорошо растворимы в органических растворителях, таких как этанол, диэтиловый эфир, хлороформ, бензол; плохо растворимы в холодной воде, несколько лучше растворяются в горячей воде.

Пары нафтолов отрицательно влияют на живые организмы [17-20].

 

1.4 Катионные поверхностно-активные вещества


Катионными называют ПАВ, молекулы которых в результате диссоциации дают в растворе поверхностно-активный катион и обычный анион. Можно выделить пять группы катионноактивных веществ:

) алкиламины и оксиэтилированные амины;

) четвертичные аммониевые соединения;

) имидазолины;

) пиридиновык четвертичные основания;

) фосфониевые, сульфониевые и сульфоксониевыые ПАВ.

Большинство катионных ПАВ содержат атом азота, несущий положительный заряд, т.е. относятся к аминам или четвертичным аммониевым соединениям. Амины проявляют свойства ПАВ только в протонированном состоянии; поэтому их нельзя использовать при высоких рН. Напротив, четвертичные аммониевые соединения нечувствительны к изменениям рН. Амины также более чувствительны к действию многозарядных анионов. Как уже упоминалось, этоксилированные амины обладают свойствами неионных и катионных ПАВ, и чем длиннее оксиэтиленовая цепь, тем больше у таких соединений выражены свойства неионных ПАВ [21].

Четвертичные аммонивые соединения со сложноэфирными группами представляют собой новый класс экологически безопасных ПАВ, вытесняющий соответствующие ди-алкильные производные в процессах мягчения тканей (рис. 1).

Рисунок 1. - Структуры некоторых типичных катионных ПАВ

1.4.1 Получение КПАВ

Катионные ПАВ могут быть различной химической природы, но основным их отличием от других типов поверхностно-активных веществ является диссоциация в водной среде с образованием поверхностно-активного катиона.

Алкиламины и оксиэтилированные амины.



Синтез неэфирных четвертичных аммониевых ПАВ проходит через образование нитрильных соединений. Жирная кислота реагирует с аммиаком при повышенной температуре (380-400 оC), давая соответствующий нитрил. Эта реакция проходит через стадию образования промежуточного амида. Нитрил затем гидрируется до первичного амина в присутствии катализатора:

Гидрирование проводят при температуре 120-150 оС при вакуумировании в присутствии никелевого катализатора [22-23].

Вторичные амины получают либо непосредственно из нитрила, либо в две стадии из первичного амина. В одностадийном процессе, который проходит, по-видимому, через образование промежуточного имина, аммиак для облегчения образования вторичного амина постоянно удаляют из реакционной смеси:



Первичные амины с помощью цианоэтилирования превращают в длинноцепочечные 1,3 - диамины:



Первичные или вторичные длинноцепочечные амины можно метилировать и превращать в третичные амины, например по реакции с формальдегидом в восстановительных условиях:




В качестве алкилирующего агента для превращения первичных и вторичных аминов в третичные амины можно также использовать этиленоксид:


оксиэтилированные алкиламины

Четвертичные аммониевые соединения.

Около 90% всех производимых в мире КПАВ приходится на четвертичные аммониевые соединения. Пожалуй, это самый разнообразный вид КПАВ, в состав которых помимо углеводородного хвоста (или двух хвостов) могут входить короткие алкильные, гидроксиалкильные группы, бензил, пиридиниевый и другие гетероциклические фрагменты. Общепринятым методом получения четвертичных аммониевых соединений является исчерпывающее метилирование первичных или вторичных жирных аминов. Выбираемый алкилирующий агент определяет противоион ПАВ. При этом получают четвертичные аммониевые основания с алифатическими заместителями, например:

С16H33N(CH3)2+CH3Br→C16H33N+(CH3)3Br-

Цетилтриметиламмонийбромид

С5Н5N+C16H33Cl→ C16H33N+С5Н5Cl-

Алкилдиметилбензиламмонийхлорид

Четвертичные аммониевые ПАВ, содержащие сложноэфирные группы, получают этерификацией жирной кислоты аминоспиртом с последующим N-алкилированием. В качестве примера приведена реакция триэтаноламина, взятого в качестве аминоспирта, и диметилсульфата в качестве метилирующего агента:


Четвертичные соединения нового поколения относятся к числу биоразлагаемых ПАВ. Особенностью их строения является то, что алкильная цепь прерывается сложноэфирной или амидной группой. Такого рода КПАВ сочетают в себе хорошую биоразлааемость с мягчительным, антистатическим, антикоррозийным эффектами [24].

Имидазолины.

Еще одним важным предстовителем четвертичных оснований являются имидазолины. Их получают взаимодействием замещенного этиленамина с жирными кислотами. Эта реакция требует высоких температур (220-240 оС) и вакуума для удаления молей воды. В качестве жирных кислот используется олеиновая и жирные кислоты талового масла, которые взаимодействуют с диэтилентриамином либо аминоэтилэтаноламином. Образование кольца протекает через образование амида и последующей енолизацией амидной группы и межмолекулярной циклизацией до имидазолина.


В качестве аминных компонентов: 1,3 - диамины, 1,3 - диминоэтанолы или 1,3 - диамины. Получение четвертичных оснований обычно проводят взаимодействием имидозалина с метиленхлоридом или диметилсульфидом.

Общей особенностью их строения является то, что несущий положительный заряд атом азота является частью гетероцикла.

Четвертичные гетероциклические соединения известны в основном как антистатики, мягчители белья и трикотажа, ингибиторы коррозии и биоциды [22-24].

Пиридиновые четвертичные основания.

Материалы на основе аминоэтаноламина и диметиламиноэтанола. Отличие заключается в том что они меняются подобно анионным соединениям и имеют хорошие детергентные и бактерицидные свойства, и при этом очень мягкие.

Оксипропилированные четвертичные основания совместимы с анионными соединениями, обладают антистатическими свойствами и используются в качестве детергентов солей металлов в органических растворителях.


Специальные аминоэтанольные и диметиламиноэтанольные четвертичные основания.

Фосфониевые, сульфониевые и сульфоксониевыые ПАВ.

Существуют также фосфониевые, сульфониевые и сульфоксониевыые ПАВ. Первые два типа ПАВ получают обработкой триалкилфосфина или диалкилсульфида соответственно алкилхлоридом, как показано ниже для синтеза фосфониего ПАВ:


Сульфоксониевые ПАВ получают окислением пероксидом водорода сульфониевой соли. Промышленное использование неазотных катионных ПАВ невелико, поскольку эти вещества редко обладают преимуществами по сравнению с более дешевыми азотсодержащими ПАВ. Фосфониевые ПАВ с одной достаточно длинной алкильной цепью и тремя метальными группами нашли применение в качестве биоцидов [22-24].

1.4.2 Свойства КПАВ

Смачивание волокнистых материалов.

Достижение высокой скорости протекания технологических процессов отделки текстильных материалов, часто ограничивается скоростью их смачивания в водных растворах отделочных препаратов. Увеличение скорости их смачивания в водных растворах достигается введением в рабочие растворы или композиции специальных ПАВ, снижающих поверхностное натяжение (уменьшающий краевой угол смачивания) относительно обрабатываемых материалов [25].

Смачивание, явление, возникающее при соприкосновении жидкости с поверхностью твёрдого тела или другие жидкости. Оно выражается, в частности, в растекании жидкости по твёрдой поверхности, находящейся в контакте с газом (паром) или другой жидкостью. Смачивание часто рассматривают как результат межмолекулярного (ванн-дер-ваальсого) взаимодействия в зоне контакта трёх фаз (тел, сред). Смачивание обусловлено не только межмолекулярным взаимодействием, но и образованием химических соединений, твёрдых и жидких растворов, диффузионными процессами в поверхностном слое смачиваемого тела.

Мерой смачивания обычно служит краевой угол и между смачиваемой поверхностью и поверхностью жидкости на периметре смачивания (рис. 2).

Рис. 2. Капля на твердой поверхности

Угол и отсчитывают со стороны жидкости. При равновесном смачивании он связан с поверхностным натяжением жидкости (уж), поверхностным натяжением твёрдого тела (ут) и межфазным натяжением на границе твёрдое тело - жидкость (утж) уравнением Юнга: cosи = (ут - утж)/(уж) [27].

Анализ уравнения Юнга, связывающего поверхностное натяжение взаимодействующих фаз с краевым углом смачивания показывает, что снижение межфазного натяжения между волокном и раствором утж ведет к повышению cosи, т.е. к уменьшению краевого угла смачивания. К этому же приводит и понижение поверхностного натяжения (рис. 3). Увеличение cosи происходит до тех пор, пока краевой угол практически исчезает cosи→1, так как движущая сила процесса смачивания определяется произведением утж ·cosи.

В целом, основная роль смачивателя состоит в снижении межфазного натяжения относительно смачиваемого материала и некотором понижении поверхностного натяжения рабочего раствора, что способствует протеканию вторичных процессов смачивания, перемещению и вытеснению содержащегося в материале воздуха [25,27].

Рис. 3. Положение капли при различных условиях смачивания

По химическому строению молекула смачивателей представляет соединения с функциональной группой, которая обеспечивает сродство к сильнополярным поверхностям и придает им растворимость в воде. В то же время эти соединения содержат гидрофильный остаток с низким сродством к водной фазе. В целом хорошей смачивающей способностью обладают ТВВ со сферической формой молекул, центральным расположением гидрофильной группы и максимальной разветвленностью гидрофобного остатка. Как правило, это анионоактивные ПАВ и смеси с НПАВ. Но по требуемой структуре молекулы смачивателя, можно сделать вывод, что КПАВ тоже могут использоваться. Он имеют длинный, в некоторых случаях не один, гидрофобный остаток (хвост) и центральную гидрофильную часть.

Смачиватели применяемые для процессов крашения не должны сильно вспениваться, иметь неприятный запах или быть токсичными. Этим требованиям как раз отвечают КПАВ.

Эмульсии и пены.

Эмульсии - это микрогетерогенные системы, состоящие из двух практически взаимно-нерастворимых жидкостей, которые очень сильно отличаются друг от друга по характеру молекул. Эмульсии, в зависимости от объемного соотношения несмешивающихся жидкостей, могут быть типа «масло в воде» и «вода в масле», в первом случае непрерывная фаза эмульсии является водной, а во втором - представляет собой нерастворимую в воде жидкость. По однородности размера монодисперсные и полидисперсные.

Пена - дисперсная система, состоящая из пузырей газа, разделённых жидкой (или твёрдой) фазой. Жидкая пена образуется при смешении жидкости с газом, а также при кипении.

Для образования и стабильности эмульсий и пен используются ПАВ, которые носят названия эмульгаторы или пенообразователи. Такие вещества обладают способностью к понижению поверхностного натяжения на границе раздела фаз и образованию на ней тонкого адсорбционного слоя молекул ПАВ, понижается интенсивность взаимодействия частиц дисперсной фазы.

Баланс между гидрофильной и гидрофобной частями молекул эмульгаторов или пенообразователей имеет решающее значение для оценки этого процесса и выражается в значениях гидрофильно-липофильного баланса (ГЛБ) эмульгаторов. Существуют несколько методов расчета ГЛБ. Самый распространенный из них процентный метод аддитивности при расчете числа ГЛБ для функциональных групп (по Дэвису) [26].

ГЛБ= 7+∑(чисел гидрофильных групп)+∑(чисел липофильных групп)

Таблица 5 - Числа ГЛБ по Дэвису

Группа

Число ГЛБ

Гидрофильные


-SO3Na

11,1

-SO4Na

35,7

-CO2K

21,1

-CO2Na

19.1

-N (третичные амины)

9,4

Сложноэфирная группа (сорбитановый цикл)

6,3

Сложноэфирная группа

2,4

-СO2H

2,1

-OH (свободный)

1,9

-О-

1,3

-OH (сорбитановый цикл)

0,5

Липофильные


-CF3

-0,870

-CF2-

-0,870

-CH3

-0,475

-CH2-

-0,475

-0,475



При расчете и сравнении АПАВ, КПАВ и НПАВ можно сделать вывод, что для образовании эмульсий КПАВ применять лучше чем АПАВ и НПАВ.

На процесс пенообразования влияет: строение ПАВ, их концентрация (максимальное пенообразование соответствует ККМ), температура, pH, присутствие электролитов, поверхностное натяжение растворов и др. Стабильность пен характеризуется временем существования всего объема пен или его части. Кинетическая устойчивость пен может быть оценена по продолжительности истечения определенного объема междупленочной жидкости. Устойчивость пен из растворов НПАВ и КПАВ всегда меньше чем при применении АПАВ. С повышением температуры стабильность снижается из-за уменьшения вязкости пленок и увеличением скорости истечения жидкости (табл. 6) [25].

Таблица 6 - Пенообразующая способность ПАВ

Формула ПАВ в общем виде

R

Спав, %

Температура оС

Н, мм

C7H15

C11H230,1560134

201





R-N+(CH3)2CH2-OSO2-

C12H25 C18H37

0,15

60

1030 130

R-SO3Na

C12H25 C18H37

0,25

60

210 230

R-COONa

C10H21 C18H37

0,30

25

175 25


n=8 n=12

0,25

50

22 143


Из приведенной таблицы можно сделать вывод, что устойчивости КПАВ ниже, чем АПАВ и НПАВ, а следовательно их удобнее применять при отделке текстильных материалов. Так же следует заметить, что с увеличением длины радикала устойчивость пен уменьшается.

Поверхностный заряд и выравнивание окраски.

КПАВ оказывает влияние на скорость сорбции и растворимость красителя. При крашении синтетических волокон в составе текстильных изделий КПАВ, способствует замедлению процесса сорбции красителя и выравниванию окраски. Понижению зарядов красителя и волокна, образованию временных (лабильных) комплексов между положительно заряженным атомом азота и карбоксильной группой, препятствует солеобразованию между красителем и волокном (рис. 4).

Рисунок 4. Изменение электростатических сил отталкивания поверхностью ПАН волокна в водном растворе, в присутствии КПАВ

КПАВ фиксируется на волокне слабыми связями, замедляя процесс сорбции красителя. Со временем КПАВ вытесняется, т.к. сродство ПАВ к волокну меньше чем у красителя. КПАВ используются как выравниватели.

Обработка ТВВ позволяет удалить электростатический заряд с гидрофобных синтетических волокон, в результате которой понижается коэффициент трения волокна и нитей, повышается их поверхностная проводимость [22-25].

1.4.3 Применение КПАВ

Для КПАВ обычно не характерно высокое моющее действие, поэтому их относят к специальным ПАВ. КПАВ, тем не менее, могут включаться в рецептуры бытовых МС с целью придания им мягчительных и антистатических свойств или в кондиционирующие (2-в-1) шампуни. Их совместимости с АПАВ можно достичь рецептурным путем, за счет использования ПАВ - «посредников» (криптоанионных ПАВ, НПАВ и амфолитов). Более характерной областью использования КПАВ является введение их в биоцидные и антистатические препараты. Антибактериальные препараты с использованием КПАВ находят применение в медицине, в частности, в санитарной обработке оборудования и помещений. Их антистатические и мягчительные свойства используются в кондиционерах для белья и трикотажа, в бальзамах-ополаскивателях, средствах укладки волос, препаратах для обработки пластиковых поверхностей. Многие КПАВ являются неплохими ингибиторами коррозии, флотореагентами, промоторами адгезии (например, в битумных композициях), диспергаторами минеральных суспензий в углеводородных средах, агентами, предотвращающими слеживаемость минеральных удобрений.

Главное использование катионных ПАВ связано с их способностью адсорбироваться на отрицательно заряженных поверхностях. Некоторые примеры приведены в таблице 7 [23].

Таблица 7 - Использование КПАВ

Поверхность

Применение

Сталь

Антикоррозионные агенты

Минералы

Флотационные собиратели

Неорганические пигменты

Диспергаторы

Пластики

Антистатические агенты

Волокна

Антистатические агенты, мягчители, выравниватели

Волосы

Кондиционеры

Удобрения

Для снижения слеживаемости

Стенки бактериальных клеток

Бактерициды


Наиболее важные характеристики катионных ПАВ:

) катионные ПАВ представляют собой третий из наиболее распространенных классов ПАВ;

) они, как правило, несовместимы с анионными ПАВ;

) устойчивые к гидролизу катионные ПАВ более токсичны для водной среды по сравнению с ПАВ других классов;

) катионные ПАВ сильно адсорбируются практически на любых поверхностях, и их основное использование связано с возможностью модифицировать поверхность in situ;

) четвертичные аммониевые соли, содержащие эпоксидные радикалы (например, 2,3 - эпоксипропил) [28], являются реакционноспособными соединениями и нашли применение в процессах крашения текстильных материалов. Однако эпоксидные соединения в процессе крашения могут отщеплять активный кислород, что оказывает вредное воздействие на окружающую среду и может вызывать частичную деструкцию волокнообразующего полимера.

В [29] для крашения или печатания текстильного материала из смеси полиэфирных и целлюлозных волокон используется четвертичное аммониевое соединение общей формулы [29]

,

где Y - атом галогена;

X - анион неорганической или органической кислоты;

n - целое число 1,2 или 3;

R1, R3 - алкил или гидроксиалкил с числом углеродов от 1 до 3;

R2 - алкил или гидроксиалкил с числом углеродов от 1 до 3, алкиларил с числом углеродов от 7 до 9 или фенил.

Соединения данного типа реагируют с анионным красителем (образуется при этом диполярная связь) и с целлюлозным волокном в присутствии веществ, освобождающих аммиак при температуре выше 180°С (в настоящем патенте гексаметилентетрамин или карбонат аммония) с образованием ковалентной связи. Полиэфирное волокно по этому способу окрашивается дисперсными красителями в процессе термофиксации (180-230°С). Такая технология характеризуется высокой энергоемкостью, выделением токсичных летучих веществ при термофиксации, невозможностью окрашивать трикотажные полотна.

В [30] в состав для крашения или печатания волокнистых материалов входит полимеризованная четвертичная аммониевая соль на основе малеинового ангидрида, или винилпиридина, или стирола. Соединения такого строения являются текстильно-вспомогательными веществами и решают следующие задачи:

а) получение окрасок высокой ровноты при крашении полиакрилонитрильных волокнистых материалов катионными красителями, т.е. полимеризованные четвертичные аммониевые соли на основе малеинового ангидрида, или винилпиридина, или стирола играют роль выравнивателей;

б) получение прочных к мокрым обработкам (например, стирке) окрасок при крашении целлюлозных волокнистых материалов прямыми красителями. В этом случае текстильный материал обрабатывается раствором четвертичной полимеризованной аммониевой соли после стадии крашения.

1.5 Дисперсные красители


Дисперсные красители, специальные неионные красители для гидрофобных волокон, используемые при крашении в виде высокодисперсных водных суспензий. Они не содержат групп, придающих растворимость в воде, вследствие чего она очень низка (при комнатной температуре в 1 л воды растворяется от долей до нескольких мг. красителя). Молекулы дисперсного красителя имеют небольшие размеры от 0,2 до 2 мкм. Применяются дисперсные красители при крашении полиэфирных, полиамидных и ацетатных волокон, реже - полиакрилонитрильных (в светлые тона), а также при печатании по тканям главным образом из полиэфирных и ацетатных волокон. Дисперсные красители - единственная группа красителей, пригодных для окрашивания полиэфирных и ацетатных волокон [31]. Обеспечивают получение окрасок полной цветовой гаммы. В процессе крашения молекулы дисперсного красителя, перешедшие в раствор, сорбируются волокном и диффундируют вглубь него с образованием твердого раствора в полимере. Краситель удерживается в полимере главным образом силами Ван-дер-Ваальса, в отдельных случаях - водородными связями.

Выпускают дисперсные красители в виде тонкодисперсных порошков. Порошок обычно содержит 15-50% красящего вещества, с размером частиц не более 1-2 мкм; в их состав входят также вспомогательные вещества, способствующие сохранению дисперсности при применении и хранении (диспергаторы, смачиватели).

Пасты дисперсных красителей содержат в 2-3 раза меньше красящего вещества, чем соответствующие порошки. Кроме красителя в состав пасты входят диспергатор, смачиватель, вода и антифриз. Температура замерзания пасты -12оС. Основная масса частиц в пастах также имеет размеры до 2 мкм; в пастах ниже содержание грубодисперсных частиц и размеры последних не превышают 10 мкм.

Ассортимент насчитывает более 40 дисперсных красителей, многие из которых применимы для крашения и ацетатных и синтетических волокон. Однако некоторые красители рекомендуются только для крашения полиэфирных волокон (в их названии входят слово «полиэфирные») или только для крашения полиамидных волокон (их обозначают словом «полиамидные»).

По химическому строению дисперсные красители - главным образом азокрасители и антрахиноновые красители, реже - стириловые, хинофталоновые красители, нитродифениламины, ароиленимидазолы, антрапиридоны и др. [32]. Дисперсные азокрасители обеспечивают гамму цветов от желтого до темно-синего. К дисперсным красителям относятся моноазокрасители, содержащие первичные аминогруппы, способные диазотироваться на волокне и сочетаться с азосоставляющими (диазотирующиеся дисперсный краситель). Однако, ввиду сложности крашения, эти красители используют редко, главным образом для получения на ацетатных тканях прочных черных окрасок. Антрахиноновые красители обеспечивают гамму красных, фиолетовых, синих и бирюзовых цветов.

Окраски одними и теми же дисперсными красителями на различных волокнах могут иметь разные оттенки и различные по устойчивости. Причиной этого может служить ряд факторов: природа волокнистого материала, агрегации молекул красителей в волокне, которая зависит от плотности и пористости волокна; полярность красителя. Так, большинство дисперсных красителей дает на полиамидных волокнах окраски, менее устойчивы к действию света, чем на ацетаных. Светостойкость окрасок на полиэфирных волокнах близка к светостойкости окрасок на ацетатных волокнах и в значительной степени зависит от строения красителя. Дисперсные красители и производных нитродифениламинов дают на полиэфирных волокнах окраски, обладающие достаточно высокой светостойкостью. Низкой светостойкостью обладают антрахиноновые красители синих цветов.

Чувствительность дисперсных красителей к дымовым газам проявляется главным образом на ацетатных волокнах; на синтетических волокнах редко наблюдается обесцвечивание окрасок. Устойчивость окрасок к мокрым обработкам у дисперсных красителей на полиэфирном волокне высокая и несколько превосходит аналогичные показатели на других волокнах.

Важное практическое значение имеет устойчивость дисперсных красителей к сублимации, т.к. в процессах крашения и отделки химические волокна часто подвергаются высокотемпературным обработкам (больше 180 ˚С). Большинство дисперсных красителей отличается неудовлетворительной устойчивостью к сублимации. Так, моноазокрасители сублимируются при 135-170 ˚С, диазокрасители - при 160-180 ˚С.

Для большинства производных антрахинона также характерна невысокая устойчивость сублимации; некоторые красители начинают возгоняться уже при 130-150 ˚С. Устойчивость красителя к сублимации повышают путем увеличения его молекулярной массы или введением в его молекулу определенных групп. Для азокрасителей наиболее эффективны группы: SO2NH2, CONH2, CN, OH, CHF2 CF3; для антрахиноновых - Cl, Br, C2H4OH, C6H4OH, SO2NH2 [31-33].

1.6 Использование ПАВ при крашении дисперсными красителями


Известно, что для повышения растворимости дисперсных красителей в воде, для интенсификации процесса пропитки и повышения стабильности дисперсии в состав красильной композиции или непосредственно в выпускную форму дисперсных красителей вводят ПАВ.

Фундаментальным свойством ПАВ является дифильность их молекул: одна часть молекулы гидрофобна и неполярна, обычно представляет собой углеводородный радикал, не обладающий сродством к воде; другая часть молекулы - какая-либо функциональная группа, обладающая полярностью и сродством к воде. В зависимости от природы полярной группы и ее способности к электролитической диссоциации молекулы ПАВ подразделяют на следующие группы [21,34].

Неионогенные ПАВ, т.е. не диссоциирующие на ионы. К ним относятся оксиэтилированные спирты, кислоты, алкилфенолы, эфиры сахарозы и др.

Ионогенные ПАВ, т.е. диссоциирующие в водной среде, делятся в свою очередь на:

анионные, образующие в растворе активные анионы и гидратированные катионы, например ионы щелочных металлов;

катионные, у которых ответственность за поверхностную активность несет катион;

амфотерные, или амфолитные - эти соединения обладают обычно несколькими полярными группами, которые в растворе в зависимости от условий могут быть ионизированны с образованием длинных цепочек анионов или катионов, а при определенных значениях рН в молекулах содержатся одновременно отрицательные и положительные заряды, образуя так называемые цвиттер-ионы. К природным амфотерным ПАВ относятся фосфолипиды, например, лецитины - сложные эфиры фосфоновой кислоты с глицеридами жирных кислот и холином [22].

Поверхностно-активные вещества также классифицируют по растворимости - на водо- и маслорастворимые; по поведению в воде - образующие истинные и коллоидные растворы.

Молекулы ПАВ стремятся уменьшить поверхность соприкосновения гидрофобной части с водой. Вследствие этого возникает склонность к агрегации, что приводит к соединению молекул в мицеллы и к уменьшению поверхностной энергии.

Концентрация, при которой происходит образование мицелл называется критической концентрацией мицеллообразования (ККМ). Увеличение концентрации благоприятствует мицеллообразованию. При понижении температуры ККМ уменьшается.

Мицеллообразование неионогенных веществ существенно отличается от мицеллообразования ионогенных веществ. Гидрофобная часть молекулы ионного вещества значительно больше гидрофильной, тогда как у неионогенных молекул наоборот, гидрофильная часть велика и может быть даже больше гидрофобной. Кроме того, отсутствие электрического заряда у неионогенных веществ способствует мицеллообразованию, и значение ККМ для них ниже, чем для ионногенных.

Нагревание растворов ионногенных ПАВ до определенной температуры вызывает их внезапное помутнение, а дальнейшее повышение температуры - разделение на две фазы, одна из которых обогащена мицеллами ПАВ, а другая содержит ПАВ в молекулярно-дисперсном состоянии. Каждому ПАВ соответствует строго определенная температура помутнения. Возникновение помутнения с повышением температуры характерно только для неионогенных ПАВ, а ионогенные обнаруживают помутнение при понижении температуры раствора, причем, это связано с уменьшением их растворимости [34,35].

Растворы ПАВ обладают способностью увеличивать растворимость труднорастворимых органических соединений, в том числе органических красителей, путем извлечения их из кристаллической решетки или насыщенного раствора и ассоциации с ПАВ в устойчивые коллоидные частицы. Это свойство называется солюбилизацией. В зависимости от свойств растворяемого органического вещества механизм солюбилизации различен. Так, неполярные вещества растворяются во внутренней углеводородной части мицеллы. Полярные молекулы со слабогидрофильными группами своей гидрофобной частью находятся в пограничном слое мицеллы, а гидрофильной частью обращены к водной фазе по периферии мицеллы. Вещества нерастворимые ни в воде, ни в углеводородах, адсорбируются на поверхности мицелл.

Процесс солюбилизации протекает в несколько стадий:

растворение солюбилизата в воде;

диффузия молекул солюбилизата к мицеллам;

солюбилизация, то есть поглощение молекул.

Таким образом, своеобразная «перекачка» молекул солюбилизата в мицеллы происходит через его мономолекулярное состояние. Лимитирующими стадиями этого процесса могут быть первая и третья стадии. При очень низкой растворимости солюбилизируемого вещества в воде общая скорость процесса будет определяться первой стадией. Если лимитирующей является третья стадия, то скорость солюбилизации определяется количеством вакантных мест в мицелле и числом не содержащих солюбилизат (пустых) мицелл.

Мицеллообразование у неионогенных ПАВ (производные оксиэтилена) имеет ряд специфических особенностей. Установлено, что форма и структура мицелл близка к сферической. При этом в мицелле имеется ядро из углеводородной гидрофобной части, находящейся в квазижидком состоянии, и винтообразно закрученные оксиэтиленовые цепочки по периферии. По мере удаления оксиэтиленовой цепочки от поверхности ядра возрастает степень гидратации мицеллы, то есть количество молекул воды, заключенных в пространстве между закрученными оксиэтиленовыми цепями. Водородные связи, образуемые молекулами воды с атомами кислорода оксиэтиленовой цепи, обладают сравнительно небольшой энергией и легко разрушаются с повышением температуры. Это приводит к дегидратации молекул ПАВ, резкому увеличению мицеллярной массы и солюбилизацион - ной емкости мицелл, что в свою очередь, обеспечивает повышение коллоидной растворимости трудно растворимых соединений. В наибольшей степени молекулярная масса и солюбилизационная емкость мицелл увеличивается при температуре вблизи точки помутнения. Солюбилизат, в свою очередь может заметно понижать температуру точки помутнения, при которой происходит выделение второй фазы, обогащенной ПАВ.

Процессам солюбилизации различных трудно растворимых соединений посвящено большое количество исследований, однако солюбилизация органических красителей является недостаточно изученной.

Было установлено, что при растворении дисперсных красителей в присутствии различных ПАВ с возрастанием концентрации ПАВ количество солюбилизированного красителя увеличивается. Также доказано, что различные ПАВ по-разному действуют на один и тот же краситель, а величина солюбилизации зависит от строения красящего вещества [34-36].

Применяются ПАВы в процессе щелочной обработки в сочетании с НПАВ, КПАВ и вещества содержащие ионы аммония. В результате уменьшается повреждение волокна и понижается поверхностное натяжение, что способствует в дальнейшем лучшему окрашиванию синтетических материалов [37].

 

1.7 Влияние температуры на солюбилизацию дисперсных красителей


Вопрос о влиянии температурного фактора на солюбилизирующую способность ПАВ остается еще дискуссионным. При изучении коллоидного растворения некоторых гидрофобных веществ в одних случаях указывается увеличение солюбилизации в растворах ПАВ с повышением температуры, в других случаях солюбилизация изменяется в незначительной степени, а увеличивается только скорость растворения.

В работах Маркиной З.Н. и др. имеются данные, подтверждающие то положение, что при повышении температуры растворов ПАВ происходит увеличение ККМ. Это происходит в результате изменения степени ассоциации ПАВ в растворе, то есть, возможно, сопровождающейся также изменением их формы. Результатом такого процесса является уменьшение солюбилизирующей способности ПАВ. С другой стороны, с увеличением интенсивности теплового движения, будет происходить ослабления межмолекулярного взаимодействия солюбилизата. Это вызовет увеличение скорости солюбилизации. Кроме того, тем же автором и Ребиндером П.А. установлено, что для ряда ПАВ ККМ в широком интервале температур оказывается практически постоянным, что соответствует весьма малым теплотам мицеллообразования.

Изучение температурной зависимости солюбилизации дисперсных красителей в данном случае вызвано тем, что процесс крашения волокон происходит при различных температурах, что оказывает влияние на мицеллярные свойства ПАВ и, следовательно, на скорость диффузии красителей в мицеллы и волокно [34].

Как уже отмечалось, при использовании химических интенсификаторов крашения наряду с технологическими факторами важную роль приобретают вопросы охраны окружающей среды. В настоящее время в промышленности применяются токсичные вещества, поэтому для большинства соединений, рекомендуемых в качестве интенсификаторов, установлены предельно допустимые концентрации (ПДК раб. зоны) и их соблюдение требует применение дорогих установок. И в связи с вышесказанным и тем, что обзор существующих способов интенсификации крашения синтетических материалов выявил недостатки этих методов, представляется целесообразным исследовать возможность низкотемпературного крашения в присутствии нетоксичных интенсификаторов. В качестве интенсифицирующих веществ выбраны КПАВ, а точнее ЧАС. Используемые вещества ранее использовались в процессах крашения как выравниватели и ТВВ. Кроме того, предлагаемые компоненты являются биологически разлагаемыми, и вызовет проблем при очистке сточных вод, не потребуется специального оборудования, дополнительных капитальных затрат и существенного изменения технологии.

В соответствии с эти необходимо решить следующие задачи:

исследование процессов крашения ПЭФ материала;

оптимизация технологию низкотемпературного крашения лавсана;

оценить влияние выбранных нами ЧАС на состояние красителей в водных растворах;

- изучение интенсифицирующего процессе крашения;

определение колористических показателей окрасок и их прочностей к воздействию раствора мыла.

2. Объекты и методы исследования


2.1 Текстильные материалы


В настоящей работе использовались ткань, трикотажное полотно и полиэфирное волокно.

Полиэфирная ткань (артикул 56278)

Состав - полиэфирная нить

Ширина - 167±3 см

Поверхностная плотность - 410±10 г/м2

Разрывная нагрузка полоски ткани 50х200 мм, H - 5600 (основа)

(уток)

Удлинение при разрыве, % - 34 (основа)

(уток)

Толщина - 0,84±0,1 мм

Воздухопроницаемость при давлении 200 Па - 30 л/дм2/мин

Трикотажное полотно основовязаное (артикул арт. 6ТС8КВ)

Состав - полиэфир

Ширина - 161±2 см

Поверхностная плотность - 138±10 г/м2

Полиэфирное волокно [37]

Состав - полиэфир

Кондиционная влажность 0,4-0,5%

Температурный предел прочности 248°С

Пределы нормальных рабочих температур от 60 до +175°С.

 

2.2 Красители


В работе использовались дисперсные красители разной химической природы (табл. 8) [38].

Таблица 8 - Красители

Формула красителя

Светостойкость

Содержание осн. Вещест. %

Растворимость в воде, мг/л

Мм

Размер частиц, мкм





25°С

100°С



I

Дисперсный Алый

6-7

30

0,3

8,1

357

1,15

II

Дисперсный темно-синий З

3-4

60

0,2

272

1,08

III

Дисперсный желтый 4З

6-7

60

0,2

10,3

369

1, 05


2.3 Интенсификаторы


В качестве интенсификаторов были использованы азотсодержащие соединения различной ионной природы.

Триэтилбензиламмоний хлористый - КПАВ

·      Молекулярная масса: 227,8;

·        В сухом виде белый порошок;

·        Тпл: 185° С - 190° С (разл);

·        ККМ при Т=25 оС, 2,03∙10-2 мол∙л-1

·        Растворимость в воде: Растворим;

·        Температура кипения: 445° С;

·        Температура самовоспламенения: 300° C;

·        Стабильность: Стабилен, несовместим с сильными окислителями;

·        Токсикология: Раздражает кожу, глаза и дыхательные пути.

Применение:

Используется в качестве катализаторов межфазного переноса.

Триметилцетиламмоний бромистый - КПАВ

·      Белый кристаллический порошок или желтоватая вязкая жидкость;

·        Тп= 235°C (Разлагаются);

·        pH фактор 5 - 7.5;

·        Слаборастворим в воде (13г/л);

·        Молекулярная масса: 364.45 г./моль;

·        На 303 K (30°C) образует мицеллы;

·        ККМ при Т=25 оС, 6,5∙10-2 мол∙л-1.

Применение:

Эффективное антисептическое средство против бактерий и грибков. Относится к катионным ПАВ. Его используют как буферный раствор для извлечения ДНК. Он широко используется в синтезе золотых наночастиц. Кроме того, широко используемый в про-дуктах предназначенных для кондиционирования волос. Он используется отдельно или в сочетании с хлоргексидином для очистки и дезинфекции кожи и для лечения небольших ран, ожогов и сыпи. Сильно разбавленный раствор применяется наружно для облегчения боли в деснах [40].

Кокамидопропилбетаин-КПАВ

·        Внешний вид: полупрозрачная (до желтоватого оттенка) жидкость со слабым специфическим запахом;

·        Плотность: 1.043 г./мл при 25 C;

·        Растворимость в воде: растворим;

·        РН: 4,5-5,5;

·        Совместимый с анионными / катионными / неионными ПАВ. К вспомогательным ПАВ относят амфотерные, неионные и катионные вещества [41].

Применение: используется в биокосметике.

Лаурилсульфат натрия - АПАВ [39]12H25SO4Na

·        ККМ= 8,65∙10-3 мол∙л-1;

·        Растворимость: 27 кг/м3;

·        Высота пены: 140 мм;

·        Молярная масса: 288.38 г./моль;

·        Тпл.= 206°C;

·        Траз.= 216°C;

·        Плотность: 1.01 г./см³.

Применение: Используется в качестве мощного детергента в промышленности, фармакологии, косметологии. Наиболее распространённое поверхностно-активное вещество. Его включают в большинство очищающих рецептур, в том числе, во многие зубные пасты, шампуни, так как он дешёв и обеспечивает эффективное пенообразование и очищение.

б - Олефинсульфонат натрия - АПАВ=CH(CH2) n-SO3Na

·        Внешний вид: Светло-желтая жидкость, белый или желтоватый порошок;

·    Содержание основного вещества: 35%, 90-94%

·        ККМ=9,2∙10-3 моль/л (при Т=50 оС);

·        Растворимость: 0,19 кг/м3;

·        Высота пены: 180 мм (0,125% масс.);

·        Моющая способность: 17% (0,25% масс.).

Применение: в косметике, в бытовой химии (в чистящих и моющих средствах).

Лауретсульфат натрия - НПАВ

CH3(CH2)10CH2(OCH2CH2)nOSO3Na

·    Молярная масса: 420 г./моль;

·        ККМ=6,4∙10-3 моль/л;

·        Высота пены: 220 мм (при Т=60 оС).

Детергент, поверхностно-активное вещество. Представляет собой амфифильное вещество, применяющееся при производстве большинства моющих средств, шампуней, зубной пасты, косметики для образования пены.

Из-за реакции с другими ингредиентами чистящих средств и шампуней возможно образование канцерогенов нитратов и диоксанов, которые могут проникнуть в кровь человека.

Диэтаноламид жирных кислот кокосового масла-НПАВ

R-CO-N - (CH2-CН2-ОH)2

·               ККМ: 2,2∙10-3 моль/л;

·        Высота пены: 250 мм (Т=60 оС);

·        Растворимость в воде: растворим;

·        ГЛБ: 11.

Эффективный загуститель и стабилизатор пены, поэтому применяется в производстве шампуней, гелей, пенн для ванн.

Монолаурилфосфат калия-АПАВ

·          Внешний вид: бледно-желтая жидкость;

·        Основное вещество: 40%;

·        рН (10%): 6-8;

·        ГЛБ: 13;

·        Высота пены: 190 мм (Т=50 оС).

Эмульгатор с слабым раздражающим свойством, идет в изготовлении препаратов бытовой химии и косметики.

Лаурилсульфат натрия оксиэтилированный-АПАВ

·          Растворим: в воде и органических растворителях;

·        Основное вещество: 95% или 40%;

·        Высота пены: 150 мм (Т=60 оС).

Схож с лаурилсульфата натрия, но обладает более мягким действие на организм человека.

Аминосилоксан-НПАВ

·          Основное вещество: 40%;

·        ГЛБ: 6;

·        Высота пены: 220 мм (Т=50 оС);

·        Растворим в воде.

Мягчитель для тканей, придает тканям превосходный мягкий шелковистый гриф (особенно выраженный на шерстяных тканях), объемность, улучшенную гидрофобность, прочность к истиранию.

Полигликолевый эфир-НПАВ

·          Растворим в воде;

·        Высота пены 320 мм (Т=60 оС);

·        Основное вещество: 95%.

Применяют в качестве антистатика при переработке полиэфирных и полиакрилонитрильных волокон, выравнивателя при крашении кубовыми и сернистыми красителями, в качестве эмульгатора жиров, масел, восков.

Для сравнения использовались интенисификаторв, применяемые в промышленности, такие как: в-Нафтол и салициловая кислота [лит. об. 1.3].

2.4 Методика периодического крашения


Обработать волокнистый материал раствором интенсификатора при 80 оС в течении 30 мин. (М=20), после этого в красильную ванну ввести краситель с диспергатором и с небольшим количеством воды (до М=30). Ванну нагреть до 100 оС и красить при кипении в течении 1 часа. После крашения промыть горячей водой, обработать раствором, содержащим 2 г/л ТМС и 2г/л соды, при 80 оС в течении 20 мин., снова промыть горячей и холодной водой и высушить[11].

2.5 Определение интенсивности окраски


Определения интенсивности окраски проводится на спектрофотометре фирмы «Greatag Macbet» (Швейцария) при источнике освещения А - аппроксимирующий свет лампы накаливания с цветовой температурой 2854 , источнике  - рассеянный солнечный свет, включающий ультрафиолетовую составляющую, имеющую цветовую температуру 6500 , и источник . Значение координат цвета и спектры отражения окрашенных образцов с помощью программы ProPalette.

2.6 Определение прочности окраски к стирке


Определение устойчивости окраски к раствору мыла проводили согласно ГОСТ Р ИСО 105-С01-99 в растворе олеинового мыла (5 г/л), при t=40  в течение 30 мин [42].

2.7 Определение устойчивости окраски к трению


Определение устойчивости окраски к трению проводили согласно ГОСТ Р ИСО 105-Х12-99 на приборе ПТ-4, который имеет нагрузку на трущей стержень 1 кг. Оценку устойчивости окраски к трению определяли по закрашиванию х/б ткани по шкале серых эталонов [43].

2.8 Метод получения микросрезов полиэфирного волокна для световой микроскопии


Для получения микросрезов волокна подготавливается дюралюминиевая пластина толщиной 0,5 мм, с отверстием диаметром 1 мм, через него пропускаем полиэфирное волокно с максимальной плотностью. С помощью бритвы делается поперечный срез. Срезы просматривались в световом потоке микроскопа Leica DC 320 и сохранялись на компьютере.

 

2.9 Спектрофотометрический метод исследования концентрации красильных ванн


Предварительно сбросили калибровочную кривую по растворам дисперсного красителя известной концентрации: 0,1; 0,2; 0,3; 0,4 и 0,5 г/л. По полученной зависимости с помощью программы ЭВМ определили концентрации остаточных ванн. Погрешность спектра фотометрии при определении концентрации составляет 0,02 г./л.

2.10 Метод динамического рассеивания света


Для измерения размеров частиц использовали метод динамического рассеяния света (ДРС). Данный метод позволяет определить коэффициент диффузии дисперсных частиц в жидкости путем анализа характерного времени флуктуаций интенсивности рассеянного света. Далее, из коэффициента диффузии рассчитывается радиус частиц. Традиционно, этот вариант метода носит название лазерной доплеровской анемометрии (ЛДА).

Хаотическое броуновское движение дисперсных частиц вызывает микроскопические флуктуации их локальной концентрации. В свою очередь, эти флуктуации приводят к локальным неоднородностям показателя преломления среды. При прохождении лазерного луча через такую среду часть света будет рассеяна на этих неоднородностях. Флуктуации интенсивности рассеянного света будут соответствовать флуктуациям локальной концентрации дисперсных частиц. Информация о коэффициенте диффузии частиц содержится в зависящей от времени корреляционной функции флуктуаций интенсивности. Временная автокорреляционная функция согласно определению имеет следующий вид:

 (1)

где интенсивность I имеет различные значения во время t и (t-ф). tm - это время интегрирования (время накопления корреляционной функции). Очевидно, что при ф = 0, автокорреляционная функция равна среднеквадратичной интенсивности <I2>. Для больших времен корреляция отсутствует, и автокорреляционная функция равна квадрату средней интенсивности рассеяния:

 (2)

В соответствии с гипотезой Онзагера, релаксация микроскопических флуктуаций концентрации к равновесному состоянию может быть описана первым законом Фика (уравнением диффузии):

 (3)

где c (r, t) - концентрация и D - коэффициент диффузии частиц. Можно показать, что автокорреляционная функция интенсивности экспоненциально затухает во времени и характерное время релаксации однозначно связано с D. Корреляционная функция интенсивности рассеянного света имеет вид:

 (4)

где в соответствии с решением уравнения диффузии обратное время корреляции равно:

 (5)

Волновой вектор флуктуаций концентрации описывается выражением:

 (6)

В выражениях 4-6: a и b - экспериментальные константы, n - показатель преломления жидкости, в которой взвешены дисперсные частицы, л - длина волны лазерного света и и - угол рассеяния.

Рисунок 5. Схема процесса рассеяния света

Рисунок 6 - Автокорреляционная функция рассеянного света

Константы tc, a и b могут быть найдены путем аппроксимации измеренной корреляционной функции теоретической экспоненциальной функцией. Если форма частиц известна или задана, их размер может быть рассчитан с использованием соответствующей формулы. Например, для сферических частиц можно использовать формулу Стокса-Эйнштейна:

 (7)

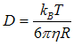
где kB - константа Больцмана, T - абсолютная температура и з - сдвиговая вязкость среды, в которой взвешены частицы радиуса R.

Эксперимент проводят на спектрометре Photocor Complex. Он комплектуется полным комплектом программного обеспечения, включая эффективную программу управления прибором. Эта программа содержит широкий набор стандартных экспериментальных процедур. В состав программы также входит макроязык, который позволяет создавать любые желаемые процедуры измерения [44].

2.11 Определение термодинамических функций процесса сорбции красителей


Изучение кинетики сорбции красителей волокном позволяет правильно подобрать состав ванны и режим обработки. Из всех физико-химических стадий крашения диффузия частиц красителя внутри волокнистого материала протекает наиболее медленно и в большинстве случаев определяет длительность и конечные результаты крашения

Для работы необходимо подготовить 6 образцов волокна по 1 г. Образцы погружают в красильные растворы при температуре крашения, длительность процесса крашения контролировать по секундомеру. для крашения требуются плоскодонные колбы, соединенные с холодильниками-конденсаторами притертыми поверхностями. Состав красильного раствора: краситель дисперсных алый полиэфирный или дисперсный темно-синий полиэфирный - 2% от массы волокна, интенсификатор - 5 г/л, вода - остальное. Объем рабочего раствора составляет 30 мл.

Лабораторная установка включает 6 обратных холодильников, колбы, газовые горелки, треножники с асбестовыми сетками. После разогрева до температуры кипения в колбу погружают образцы текстильного материала и окрашивают в течение 10, 20, 30, 40, 50, 60 минут при температуре кипения раствора. По окончанию процесса крашения текстильный материал промывают последовательно каждый образец порциями дистиллированной воды по 5 мл до полного снятия незафиксированного красителя. Промывные ванны соединяют с остаточной (после крашения) и собирают в одной мерной колбе на 50 мл. Полученный раствор колориметрируют.

Для построения зависимости концентрации красителя в растворе от концентрации на волокне берутся также концентрации: 0,5%, 1%, 1,5%, 2,5% от массы волокна и время крашения 60 мин. Процесс проводки остается тот же.

По формуле рассчитывается химический потенциал красителя:


где - константа равновесия.

Диффузия красителя в волокно (представляя волокно в виде цилиндра бесконечной длинны) описывается вторым законном Фика:


где С - концентрация красителя внутри волокна в момент времени t;

r - радиус волокна;

D - кажущийся коэффициент диффузии (учитывает торможение молекул красителя в порах волокна активными центрами субстрата)

В начале красильного процесса скорость внутренней диффузии красителя невелика. В этом случае целесообразно использовать параметр «время половинного крашения» (t1/2), который соответствует продолжительности крашения, в течение которого содержание красителя в волокне достигает 50% от максимально возможного насыщения. Этот параметр связан с коэффициентом диффузии следующими зависимости:


б - доля сорбированного красителя.

Таким образом, по данной формуле, используя полученные графики и начальные данные, можно рассчитать коэффициент диффузии [45].

2.12 Обработка результатов


Ошибку воспроизводимости определяли статическим методом по результатам параллельных опытов как их среднее арифметическое по формуле:

= У yni / n,

где n - количество опытов, yni - измеряемая величина.

Дисперсия J2 и среднее квадратичное J вычисляем по формулам:

= (У (yд - y) 2) / (n - 1);= ((У (yд - y) 2) / (n - 1)) 1/2.

Точность определения среднего результата по доверительной вероятности б = 0,95 равна:

Дyб = tб J / n.

Границы доверительного интервала:

(yn - Дyб) ≤ y < P (yn + Д yб)

Погрешность среднего результата в% через коэффициенты вариации рассчитывали по формуле:

щ = Дyб / yn · 100.

3. Экспериментальная часть


3.1 Обоснование и выбор интенсифицирующих агентов


Периодический способ крашения синтетических текстильных материалов на основе ПЭТФ из водных растворов дисперсий красителя при 100°С в присутствии интенсификаторов очень удобен, поскольку отличается простотой технологического процесса и возможностью реализации однованного окрашивания текстильных материалов из смеси волокон. Единственный недостаток этого способа - токсичность и неприятный запах используемых интенсификаторов (табл. 4).

В частности, в качестве ускорителей процессов колорирования используются соединения (бензол, в-нафтол, бензойная и салициловая кислоты), относящиеся ко 2 классу по токсикологической опасности. Из широкого круга представленных в табл. 4 интенсификаторов трудно указать вещества, обладающие низкой токсичностью. Наименее опасными являются дифенилметан и нафталин (4 класс опасности), но они имеет очень низкий порог восприятия запаха (менее 5∙10-4 мг/л), трудно воспринимаемого человеком.

На этапе предварительного эксперимента в качестве интенсификаторов использовали широкий ассортимент ПАВ разной ионной природы, которые широко используются в производстве косметических средств и характеризуются низким уровнем токсичности (ПДКр.з. выше 40 мг/м3). Использование таких веществ позволяет улучшить условия труда на производстве и повысить комфортность изделий при эксплуатации. Авторами работы [46] на основе результатов биотестирования водных растворов ПАВ с использованием культуры одноклеточных зеленых водорослей, а также согласно литературным данным [21], что исследуемые вещества являются низкотоксичными и экологически безопасными.

Крашение образцов ткани из полиэфирных волокон проводили дисперсными красителями по методике, описанной в 2.4; у окрашенных образцов определяли основные колористические показатели: интенсивность, ровноту и прочность к физико-химическим воздействиям в соответствии с 2.6 и 2.7. Интенсивность окраски определяли с использованием спектроколориметра «Color I5» фирмы «Gretag Macbeth» в системе CIELab, принимая за эталон исходный неокрашенный образец. Результаты исследований приведены в табл. 9.

Таблица 9 - Цветометрические показатели окрашенной полиэфирной ткани

Интенсификатор

Интенсивность окраски

Ровнота окраски

Прочность окраски, балл




к стирке

к трению

Краситель дисперсный алый полиэфирный

Монолаурилфосфат калия

61,109

1,1

5/5/4,5

4,5

Лаурилсульфат натрия оксиэтилированный

60,497

0,9

5/5/4

4

Диэтаноламид жирных кислот кокосового масла

62,003

1,3

5/5/4

3

Кокоамидопропилбетаин

60,433

1,2

4/4/3

2

Лаурисульфат натрия

62,556

1,5

5/5/4,5

4,5

Лауретсульфат натрия

61,377

1,1

5/5/4,5

5

Олефинсульфонат натрия

63,467

0,8

5/5/4,5

5

Аминосилоксан

59,449

1,1

5/5/4

4

Полигликолевый эфир

60,520

1,7

5/5/4

3,5

БТМЦА

64,711

0,7

5/5/5

5

Краситель дисперсный темно-синий полиэфирный

Монолаурилфосфат калия

42,189

1,5

5/5/4

4,5

Лаурилсульфат натрия оксиэтилированный

46,111

2,1

5/5/4

4,5

Диэтаноламид жирных кислот кокосового масла

46,538

2,5

5/5/4

5

Кокоамидопропилбетаин

43,764

2,6

5/5/4,5

4,5

Лаурисульфат натрия

43,285

2,4

5/5/4

4

Лауретсульфат натрия

41,308

1,5

5/5/4

5

Олефинсульфонат натрия

40,339

1,8

5/5/4,5

4,5

Аминосилоксан

39,741

1,1

5/5/4

4,5

Полигликолевый эфир

40,551

1,0

5/5/4,5

4

БТМЦА

46,541

0,9

5/5/4,5

5


Как видно из табл. 8, образцы, окрашенные в присутствии кокоамидопропилбетаином характеризуются низкой прочностью окраски к физико-химическим воздействии; АПАВ и НПАВ не обеспечивают необходимую интенсивность и ровноту окраски. Образцы, окрашенные в присутствии КПАВ (в данном случае БТМЦА), характеризуются наилучшими значениями по всем колористическим показателям. Поэтому для разработки интенсифицированной технологии крашения полиэфирных волокон периодическим способом в качестве интенсификаторов применяли КПАВ на основе четвертичных аммониевых солей.

3.2 Определение оптимальной концентрации интенсифицирующего агента


Применяемые в настоящее время интенсификаторы обладают не только экологическими недостатками (как говорилось выше), но многие интенсификаторы еще и дороги, что снижает конкурентоспособность готовой текстильной продукции. Использование в качестве интенсификаторов ПАВ, содержащих в своей структуре положительно заряженный атом азота, позволяет устранить эти недостатки.

Для выбора концентрации интенсификатора были обработаны образцы текстильных материалов (ткань, трикотаж) из полиэфирных волокон различными составами. Концентрацию дисперсного красителя (в данном случае темно-синего полиэфирного) оставляли постоянной (1,0 г/л), концентрацию интенсификатора меняли в интервале 3,0-6,0 г/л. Использование более концентрированных систем на наш взгляд нецелесообразно, т.к. концентрация водного раствора ПАВ не должна превышать ККМ (6,7 - для ХТЭБА, 5,3 - для БТМЦА). У образцов определяли интенсивность и прочность окраски по методикам, описанным в главе 2 (табл. 10).

Таблица 10 - Влияние концентрации интенсификатора на интенсивность и прочность окраски текстильных материалов из полиэфирных волокон

Вид текстильного материала

Интенсификатор, г/л

Интенсивность окраски

Прочность окраски, балл





к стирке

к трению

1

Ткань

ХТЭБА; 3,0

36,44

4,5/5/4,5

4,5

2

Ткань

ХТЭБА; 4,0

45,87

5/5/5

5

3

Ткань

ХТЭБА; 5,0

54,06

5/5/5

5

4

Ткань

ХТЭБА; 6,0

54,36

5/5/5

5

5

Ткань

БТМЦА; 3,0

25,42

4,5/5/5

4

6

Ткань

БТМЦА; 4,0

44,08

5/5/5

4,5

7

Ткань

БТМЦА; 5,0

54,13

5/5/5

5

8

Ткань

БТМЦА; 6,0

54,09

5/5/5

5

9

Трикотаж

ХТЭБА; 4,0

44,30

5/5/5

5

10

Трикотаж

ХТЭБА; 5,0

54,62

5/5/5

5

11

Трикотаж

БТМЦА; 4,0

40,37

5/5/5

5

12

Трикотаж

БТМЦА; 5,0

53,49

5/5/5

5


Концентрация интенсификатора влияет на интенсивность и прочность окраски к стирке и к сухому трению. Оптимальная концентрация интенсификатора составляет 5 г/л.

Далее были проведены исследования, которые позволили сравнить влияние рассматриваемых и традиционных интенсификаторов на качество колористической отделки. Для сравнения брали салициловую кислоту и в-нафтол в оптимальных концентрациях (5 г/л). Результаты представлены в табл. 11.

Таблица 11 - Влияние интенсификатора на интенсивность и прочность окраски полиэфирных волокон

Интенсификатор

Прочность окраски, балл



к стирке

к трению

Краситель дисперсный темно-синий полиэфирный

Салициловая кислота

46,12

5/5/5

5

в-Нафтол

44,78

5/5/5

5

ХТЭБА

47,12

5/5/5

5

БТМЦА

46,54

5/5/5

5

Краситель дисперсный алый полиэфирный

Салициловая кислота

65,00

4/5/4

4

в-Нафтол

62,63

4/5/4

4

ХТЭБА

67,52

4/5/4

4

БТМЦА

64,71

4/5/4

4

Краситель дисперсный желтый 4З

Салициловая кислота

74,68

5/5/5

5

в-Нафтол

74,05

5/5/5

5

ХТЭБА

81,10

5/5/5

5

БТМЦА

79,84

5/5/5

5


Анализ полученных данных позволяет сделать вывод о том, что образцы, окрашенные с использованием исследуемых экологически безопасных интенсификаторов, содержащих положительно заряженный атом азота, по основным показателям колористической отделки не уступают образцам, окрашенных в присутствии салициловой кислоты и в-нафтола (токсичных соединений).

3.3 Определение оптимальной температуры крашения текстильных материалов из полиэфирных волокон


Из-за высокоупорядоченной структуры и гидрофобных свойств полиэфирные волокна рекомендуется окрашивать при температурах выше 100°С, но это энергоемкие технологии, требующие использования паровых сред или среды полярного растворителя, что ведет к дополнительным техническим осложнениям (например, герметизация оборудования). Применение низкотемпературных технологий (не выше 100°С) позволяет технически упростить и удешевить колористическую отделку текстильных материалов из полиэфирных волокон, но необходимо применение интенсификаторов, которые незначительно влияют на стоимость отделки и являются экологически безвредными.

С целью определения оптимальной температуры крашение осуществляли при температурах 80, 90 и 100°С. Крашение при температуре ниже температуры стеклования (80°С) на наш взгляд нецелесообразно. У окрашенных образцов с использованием спектроколориметра «Color I5» определялись показатели интенсивности окрасок, полученных при применении разных дисперсных красителей (табл. 12, рис. 6-7).

Таблица 12. - Влияние температуры крашения на интенсивность окраски

Интенсификатор

Краситель

Температура обработки, °С

Интенсивность окраски

ХТЭБА

Дисперсный желтый 4З полиэфирный

80

40,72



90

57,08



100

65,51


Дисперсный темно-синий полиэфирный

80

36,44



90

42,35



100

54,64

БТМЦА

Дисперсный желтый 4З полиэфирный

80

40,80



90

56,82



100

68,78


Дисперсный темно-синий полиэфирный

80

33,24



90

38,95



100

44,13


Полученные данные показывают, что повышение температуры существенно влияет на накрашиваемость. Это связано с увеличением подвижности молекул интенсификатора и макромолекул полимера в избыточном свободном объеме волокна в интервале температур 80-100°С. Дальнейшее исследование влияния температуры на процесс периодического крашения полиэфирных волокон дисперсными красителями показало возможность ее снижения до 95°С в случае введения в красильную ванну ХТЭБА концентрацией 5 г/л.

Заключение


Установлено интенсифицирующее влияние низкотоксичных ПАВ катионного типа на крашение полиэфирных волокон дисперсными красителями. Доказана возможность получения интенсивных и прочных окрасок в условиях периодического крашения из водных растворов при температуре не выше 100°С.

Определены оптимальные параметры процесса крашения: температура - 100°С, концентрация интенсификатора - 5 г/л. Образцы ткани и трикотаж из полиэфирных волооко, окрашенные при 100°С и концентрации интенсификатора (хлорида триэтибензиламмония, или бромида триметилцетиламмония) из водных дисперсий красителя, характеризуются наиболее интенсивными и прочными к стирке и сухому трению окрасками.

Изучено состояние дисперсных красителей в водных растворах КПАВ.

Библиографический список

1. Айзенштейн Э.М. Производство и потребление химических волокон в 2010 г. // Рабочая одежда - 2011 - №4. - С. 14-24;

. Айзенштейн Э.М. Полиэфирные волокна по-прежнему в лидерах // Рабочая одежда - 2012 - №1. - С. 8-13;

. URL: http://www.textileclub.ru - Будущее закладывается (05.05.12);

. URL: http://www.invest.tradeportal.ru - Создание завода по производству ПЭТ пищевого и текстильного назначения мощностью 486 тыс. тонн в год (06.05.12);

. URL: http://www.roslegprom.ru - План работы Комиссии по текстильной и легкой промышленности на первое полугодие 2010 года (06.05.12);

. URL: http://www.tsniilka.ru - Опубликован проект технического регламента «О безопасности продукции легкой промышленности и потребительских товаров» (17.05.12);

. URL: http://www.niitekhim.ru - Роль Химии в инновационном развитии России и стран СНГ (05.05.12);

. Кричевский, Г.Е. Химическая технология текстильных материалов / Г.Е. Кричевский, М.В. Корчагин, А.В. Сенахов - М.: изд. Химия, 2001. - 678 с.

. Патент 2064026 РФ, Химический состав для печати или крашения тканей из полиэфирных или ацетатных волокон или их смесей / Баранов А.В., Дымникова Н.С., Прусова С.М., Морыганов А.П.; - опуб: 20.07.1996 - 4 с.

. Патент 94031444 РФ, Способ крашение полиэфирных нитей / Арендное предприятие Всесоюзный научно-исследовательский институт синтетического волокна с экспериментальным заводом; - опуб. 20.08.1996 - 12 с.

. Хархаров, А.А. Подготовка и крашение волокнистых материалов / А.А. Хархаров, Предтеченская И.А. - Л.: изд. Ленингр. ун-т, 1979 - 224 с.;

. Забашта, В.Н. Основы интенсификации крашения полиэфирных волокон / В.Н. Забашта - Л.: изд. Ленингр. ун-та, 1981. - 130 с.;

. Гопта, Л.Н. Интенсификация процесса крашения // Текстильная промышленность - 1987 - №12 - С. 78.

14. Патент JP 2006016711, Staining method of polyester fiber - 2006 - 23 с.

15. Патент UK 66047, 2004;

. Патент 2054498 РФ Интенсификатор для термической фиксации активных и / или дисперсных красителей / Институт химии неводных растворов РАН; - опуб. 20.02.1996 - 11 с.

. Справочник для химиков, инженеров и врачей: вредные вещества в промышленности / под ред. Н.В. Лазарева, Э.Н. Левина - Л.: изд. Химия, 1976.;

. Краткая химическая энциклопедия: Советская энциклопедия / под. ред. И.Л. Кнунянц и др. - М.: Химия, 1963.;

. URL: http://ru.wikipedia.org - химические соединения (24.05.12);

.        Калинкин, И.П. Новый справочник химика и технолога / И.П. Калинкин - СПб.: изд. АНО НПО «Мир и Семья», 2007. - 529 с.;

. Ланге, К.Р. Поверхностно-активные вещества: синтез, свойства, анализ, применение // К.Р. Ланге; под науч. ред. Л.П. Зайченко. - СПб.: изд. Профессия, 2004. - 240 с.;

. Справочник: Поверхностно активные вещества и композиции / под ред. Плетнева М.Ю. - М.: ООО «Фирма Клавель», 2002. - 701 с.;

. Волков, В.А. Поверхностно-активные вещества. Синтез и свойства / В.А. Волков. - М.: изд. Легпромбытиздат, 1985. - 354 с.;

. Абрамзон, А.А. Поверхностно-активные вещества. Синтез, анализ, свойства, применение: учеб. пособие для вузов / А.А. Абрамзон, Л.П. Зайченко, С.И. Файнгольд; под ред. А.А. Абрамзон. - Л.: изд. Химия, 1988. -200 с.;

. Состав и применение текстильно-вспомогательных веществ: метод. указ. / сост.: А.М. Киселев, Л.А. Дергачева, А.А. Буринская, Н.А. Тихомирова - СПб.: ИПЦ СПГУТД, 1995. - 61 с.

26. URL: http://www.chemport.ru - ГЛБ (13.04.12);

27. URL: http://slovari.yandex.ru - Смачивание (15.05.12);

. Патент GB 1236882, 1971;

. Патенте SU 1082887, 1984;

. Патенте US 4243390, 1981;

. Мельников, Б.Н. Применение красителей / Б.Н. Мельников, Г.И. Виноградова. - М.: изд. Химия, 1986 - 240 с.;

. Химия синтетических красителей / под ред. К. Венкатарамана - США, 1972. Том I-VI. / пер. с англ. под ред. Л.С. Эфроса - изд. Химия, 1977. - 464 с.

. Бородкин, В.Ф. Химия красителей / В.Ф. Бородкин - М.: Химия, 1981. - 248 с.

. Догадкина, Н.А. Выявление роли и оценка эффективности действия антимигрантов в процессах крашения текстильных материалов дисперсными красителями / дис. кон. тех. наук: 05Л9.02 / Догадкина Наталья Александровна. - Иваново, 2002. - 156 с.;

. Пророкова, Н.П. Направленное изменение свойств поверхности волокнистых материалов в процессах химико-текстильного производства / дис. док. тех. наук: 05.19.02. / Пророкова Наталия Петровна. - Иваново, 2006. - 369 с.;

. Виссарионова, О.Н. Физико-химические исследования системы дисперсный краситель - водный раствор поверхностно-активных веществ / дис. кон. хим. наук: 02.00.04 / Виссарионова Ольга Николаевна. - Тверь, 2005. - 95 с.

. URL: http://govservices.kg - Полиэфирные волокна - Лавсан (10.03.12)

. URL: http://www.promtkan.ru - Дисперсные красители (03.15.12)

. Поверхностно-активные вещества и полимеры в водных растворах / К. Холберг, Б. Йёнссон, Б. Кронберг, Б. Линдман. - М.: изд. Бином, 2007. - 528 с.

. URL: http://himlib.ru - Электронная Химическая Библиотека (02.12.12)

. URL: http://milosvet.com - Кокамидопропилбетаин (02.12.12)

. ГОСТ Р ИСО 105-С 01-99. Материалы текстильные. Методы испытания устойчивости окраски к раствору мыла - Введ. 2000-08-15. - М.: Госстандарт России: Изд-во стандартов, 2000. - 4 с.

. ГОСТ Р ИСО 105-Х12-99. Материалы текстильные. Методы определения устойчивости окраски к действию трения - Введ. 2000-09-28. - М.: Госстандарт России: Изд-во стандартов, 2000. - 19 с.

. URL: http://www.photocor.ru - Динамическое рассеяние света (24.05.12)

. Дянкова, Т.Ю. Расчет кинетических и термодинамических параметров процессов крашения текстильных материалов / Т.Ю. Дянкова, А.М. Киселев - СПб.: СПГУТД, 2004. - 18 с.

. Михайловская, А.П. Использование низкотоксичных органических соединений для интенсификации процесса крашения полиэфирных волокон / А.П. Михайловская, Е.Ю. Лозинская, С.В., Спицкий, А.М. Киселев // Вестник СПГУТД, 2009. - №2 (18). - С. 33-36.

. Пронькин, А.М. Влияние кислотно-основных свойств среды на состояние дисперсных красителей в воде / А.М. Пронькин, Ю.А. Калинников, Б.Н. Мельников // Журнал прикладной химии, 1989. - Т. 62, №5. - С. 1116-1121

. Стромберг, А.Г. Физическая химия / А.Г. Стромберг, Д.П. Семченко. - М: Высш. шк., 2006. - 527 с.

. Мельников, Б.Н. Теоретические основы технологии крашения волокнистых / Б.Н. Мельников, И.Б. Блиничева. - М.: изд. Легкая индустрия, 1978. - 304 с.

. Чешкова, А.В. Химические технологии и оборудование трикотажного отделочного производства: учеб. пособ. / А.В. Чешкова - Иваново: изд. ИПЦ ИГХТУ, 2008 - 113 с.

. Кулигин, М.Л. Оборудование отделочного производства: опорные лекции / М.Л. Кулигин - Херсон: изд. ИПЦ ХНТУ, 2009 - 250 с.

. Бельцов, В.М. Оборудование текстильных отделочных предприятий / СПб: ИПЦ СПГУТД, 2001. -568 с.

. Прилепин, Захар Трудовой кодекс Российской федерации / М.:изд. Эксмо, 2011. - 456 с.

. Громов, В.Ф. Пряжекрасильное производство: оборудование, технология, экология / СПб.: СПГУТД, 2005. - 374 с.

. Вредные вещества в промышленности. Справочник для химиков, инженеров и врачей: в трех томах. / под ред. Н.В. Лазарева, Э.Н. Левина - Л.: Химия, 1976.

. Охрана труда и противопожарная защита: учеб. пособие для сред. спец. учеб. заведений / В. Зиемелис - М.: Легпромбытиздан, 1991 - 224 с.

. URL: www. p2pays.org/ref/03/02855.pdf Кокамидопропилбетаин (05.05.2012).

. Михайловская, А.П. Использование низкотоксичных органических соединений для интенсификации процесса крашения полиэфирных волокон / Е.Ю. Лозинская, С.В. Спицкий, А.М Киселев // Вестник СПГУТД. - 2009. - №2 (18). - С 33-36.

полиэфирный интенсификатор солюбилизация краситель

Похожие работы на - Интенсификация процеса крашения полиэфирных волокон

 

Не нашли материал для своей работы?
Поможем написать уникальную работу
Без плагиата!
Без нейросетей!