Финансовый анализ

  • Вид работы:
    Контрольная работа
  • Предмет:
    Финансы, деньги, кредит
  • Язык:
    Русский
    ,
    Формат файла:
    MS Word
    28,48 Кб
  • Опубликовано:
    2012-12-24
Вы можете узнать стоимость помощи в написании студенческой работы.
Помощь в написании работы, которую точно примут!

Финансовый анализ

Роль и функции финансов в деятельности хозяйствующих субъектов

Переход на рыночную экономику поставил перед хозяйствующими субъектами новые, более сложные задачи, в т.ч. и в области финансирования их деятельности.

Финансы хозяйствующих субъектов представляют собой денежные отношения, связанные с формированием денежных ресурсов, необходимых для осуществления производственно-хозяйственной деятельности. В условиях конкурентной борьбы необходимо решать задачи по расширению производства, его модернизации, повышению квалификации персонала и в повышении заинтересованности работников в улучшении результатов своей деятельности.

Финансовые ресурсы в условиях рыночной экономики являются первостепенными, т.к. это единственный вид ресурсов, который может быстро трансформироваться в любой другой вид необходимых ресурсов.

Источником формирования финансовых ресурсов являются собственные и заемные средства.

Финансы в условиях рыночной экономики выполняют следующие функции:

·        формирование, поддержание оптимального состава и наращивание производственного потенциала,

·        обеспечение текущей и перспективной финансово-хозяйственной деятельности хозяйствующего субъекта,

·        обеспечение платежеспособности, финансовой устойчивости и необходимой социальной политики.

Сущность финансового анализа в условиях рыночной экономики

финансы рыночный анализ

Предметом финансового анализа является совокупность финансовых процессов, причинно-следственных связей и методов их исследования под влиянием внешней и внутренней среды.

Цель финансового анализа - систематическое изучение финансового состояния хозяйствующего субъекта, его динамики, причин, обусловивших достигнутое состояние, и их количественная оценка. Это позволяет внести необходимые коррективы в управленческие решения для улучшения финансового состояния и повышения эффективности функционирования хозяйствующего субъекта.

Задачи финансового анализа:

·        Оценка степени обоснованности принятого стратегического и тактического финансового плана.

·        Систематический контроль за ходом выполнения финансового плана.

·        Объективная оценка достигнутых финансовых результатов, финансового состояния и финансовых ресурсов.

·        Выявление и количественная оценка имеющихся резервов улучшения финансового состояния

Этапы проведения финансового анализа

·        Подготовительный этап: формулируется цель, задачи анализа, календарный план проведения, показатели, исполнители

·        Проведение анализа:

·        Заключительный этап: оценка результатов анализа и формулирование выводов.

Информационной базой финансового анализа является бизнес-план, бухгалтерская отчетность, экономическая отчетность, нормативная информация, основные результаты деятельности организации и её основные технико-экономические показатели.

Виды финансового анализа

·        внутренний,

·        внешний:

o   экспресс-анализ,

o   детализированный анализ.

Вид зависит от круга пользователей его результатами.

Финансовый анализ может быть подразделен на 3 группы по кругу пользователей:

·        собственники хозяйствующего субъекта, которых интересует более широкая внутренняя информация, необходимая для принятия соответствующих управленческих решений.

·        потенциальные собственники и деловые партнеры, которых интересует целесообразность покупки акций хозяйствующего субъекта, степень риска предоставления кредита, оплата поставляемых материально-технический ценностей и оказанных услуг.

·        опосредованно заинтересованные организации (налоговые органы, аудиторские фирмы, юристы, профсоюзы и т.д.)

Целью экспресс-анализа является общая оценка финансового состояния, динамика развития организации. Анализ завершается выводом о необходимости проведения более углубленного, детализированного анализа. Экспресс-анализ проводится по схеме:

1.      Оценка экономического потенциала хозяйствующего субъекта

1.1.   Оценка имущества

1.1.1. объём основных средств и их доля в имуществе,

.1.2.   коэффициент износа

1.2.   Оценка финансового состояния

1.2.1. имущество всего, собственное и заемное

.2.2.   коэффициент платежеспособности

.2.3.   доля собственных оборотных средств в оборотных средствах всего

.2.4.   доля долгосрочных кредитов

.2.5.   коэффициент покрытия материальных запасов и текущих затрат

1.3.   Наличие «больных мест»

1.3.1. убытки

.3.2.   просроченная задолженность

2.      Оценка результатов финансово-хозяйственной деятельности

2.1.   Прибыльность

2.1.1. объем прибыли

.1.2.   уровень рентабельности

2.2.   Оценка динамики результатов финансово-хозяйственной деятельности

2.2.1. темы роста объема производства, прибыли, имущества собственного и заемного,

.2.2.   оборачиваемость активов,

.2.3.   продолжительность финансовых циклов,

.2.4.   соотношение дебиторской и кредиторской задолженности

2.3.   Эффективность использования экономического потенциала

Детализированный анализ подробно характеризует имущественное и финансовое состояние хозяйствующего субъекта, факторы влияния, а также возможности развития на перспективу.

Методы и приёмы финансового анализа

В ходе финансового анализа используются различные методы:

.        традиционные методы экономической статистики,

.1.1.   средние показатели,

.1.2.   относительные величины

.1.3.   группировки

.1.4.   динамические ряды

.1.5.   индексы

.1.6.   взаимосвязь показателей и явлений

.        экономико-математические методы

.1.1.   корреляционно-регрессионный анализ

.1.2.   и т.д.

Анализ финансового состояния предприятия

1.       Характеристика имущества и источников его финансирования.

.        Анализ финансовой устойчивости хозяйствующего субъекта.

.        Анализ ликвидности и платежеспособности хозяйствующего субъекта (далее - ХС)

Оцениваются объём, структура имущества, источники его финансирования, соотношение СК и ЗК, доля оборотных и внеоборотных активов, затем проводится детальный анализ каждого полученного актива.

Рост стоимости имущества может быть обусловлен рядом причин:

)        увеличение объёма производства

)        замедление оборачиваемости

)        инфляция

)        переоценка

Уменьшение стоимости имущества является следствием:

)        уменьшение объёма производства

)        уменьшение платёжеспособности потребителей услуг (продукции) ХС

Выявление конкретных причин изменения объёма имущества требует более детального анализа.

Имущество формируется за счет собственных и заёмных средств. Лучший с финансовой точки зрения вариант для ХС - всё имущество ХС сформировано за счёт собственных средств.

Увеличение стоимости и доли заемного имущества свидетельствует о возрастании доли риска для ХС.

В ходе анализа важно оценить цену заёмного капитала (% за кредит). Рост доли заёмного капитала может привести к банкротству.

Признаки «хорошего» баланса:

·        Темп роста имущества меньше, чем рост объёма производства (эффективность использования имущества растет)

·        Темп роста оборотных средств, как правило, больше темпа роста основных средств (рост оборачиваемости => рост объёма производства и прибыли)

·        Темп роста дебиторской задолженности равен темпу роста кредиторской задолженности (в условиях кризиса соотношение может приближаться к 2)

В ходе анализа финансового состояния оценивается динамика структуры активов и пассивов. Рациональная, оптимальная структура активов и пассивов должна способствовать повышению абсолютной эффективности деятельности ХС, т.к. появляется реальная возможность увеличить объём производства, сократить удельные затраты.

В ходе анализа оценивается финансовая устойчивость ХС. В условиях рыночной экономики за счёт результатов деятельности ХС и умелого, экономически обоснованного управления всей совокупности факторов, определящей результат деятельности ХС.

Индикатором финансовой устойчивости является степень обеспеченности имущества ХС финансовыми источниками. В условиях рыночной экономики многие ХС привлекают кредиты, однако сильный рост заёмных средств может привести ХС к банкротству. Таким образом, в общем виде финансовая устойчивость характеризуется соотношением собственного и заёмного капитала. Для более детальной характеристики разработана система оценочных показателей.

Коэффициент соотношения собственных и заёмных средств: чем выше значение коэффициента, тем больше зависит хозяйствующий субъект от заёмных средств. Значение этого коэффициента должно быть меньше 1.

Коэффициент манёвренности средств: доля оборотных средств в собственном капитале

Коэффициент иммобилизации имущества:

Коэффициент обеспеченности материальными ресурсами:

Коэффициент соотношения кредиторской и дебиторской задолженности:

Коэффициент долгосрочных займов Кдз = Кт/(Ис-Уб-Кт)

Финансовое состояния ХС также определяется ликвидностью его активов.

Группы имущества по степени имущества:

А1 - ДС,

А2 - КДЗ и КФВ,

А3 - ДДЗ, МПЗ, НЗП

А4 - ОС, НМА, ДФВ, Кап. вложениея

Группы ликвидности имущества используются при оценке платёжеспособности ХС.

Оценка степени платёжеспособности ХС проводится по данным ряда коэффициентов.

Коэффициент абсолютной ликвидности.

Промежуточный коэффициент ликвидности.

Коэффициент общей ликвидности: показывает, что мобилизация всех оборотных средств ХС позволит ему погасить свои краткосрочные финансовые обязательства.

Результаты оценки коэффициентов ликвидности могут быть дополнены качественным анализом других экономических показателей.

С нарастанием объёма и доли собственного капитала, финансовый риск делового партнёра снижается, поэтому анализу соответствующих показателей в процессе внешнего анализа финансовой устойчивости уделяется большое внимание.

При внутреннем анализе оцениваются возможности ХС по приобретению необходимых активов. Если финансовое состояния ХС неустойчивое, то он рискует утратить право собственности на имуществом и на получение новых кредитов.

Устойчивое финансовое состояния ХС возможно за счёт реализации конкретных мер, вытекающих из реального его состояния. Существуют, в то же время, общие направления необходимых мер:

·        защитная тактика, основанная на проведении мероприятий по устранению убытков, сокращению расходов, выявлению внутренних резервов, кадровым перестановка и укреплению кадровой дисциплины, отсрочке долгов и расчётов с контрагентами.

·        наступательная тактика, предусматривающая проведение активного маркетинга (новые товары, рынки сбыта, повышение цен за счёт улучшения качества), увеличение расходов на обновление производства, его модернизацию.

<пропуск>

Инфляция приводит к искажению стоимости имущества ХС, отдельных его составляющих. В условиях инфляции осложняется сравнительный анализ ряда хозяйствующих субъектов оснащённых одинаковым имуществом, но приобретённым в разное время и по разным ценам. Чем выше уровень инфляции, тем более значительно это отклонение.

Инфляция отрицательно влияет на финансовое состояние ХС при открытии нового дела, что требует большего расхода капитала.

Положительное влияние инфляции заключается в том, что средства выгоднее направлять на развитие экономики, а не на накопление.

Инфляция оказывает разное влияние на стоимость отдельных составляющих имущества и капитала ХС. Кредиторская задолженность уменьшается, т.к. возврат долгов будет производиться более дешёвыми денежными средствами и т.д.

Для устранения влияния инфляции на качество бухгалтерского учёта необходима переоценка имущества предприятия. Для этой цели разработан ряд методов:

·        переоценка по средним индексам цен,

·        переоценка по реальным ценам,

·        переоценка по смешанным ценам, при котором собственный капитал переоценивается по средним темпам инфляции, имущества - по фактическим реальным ценам.

Перед пересчётом активов необходимо подразделить на две группы:

·        монетарные активы,

·        немонетарные активы

Элементы этих групп по-разному реагируют на инфляцию. Монетарные активы несут косвенные потери из-за снижения платежеспособности её составляющих. Немонетарные активы переоцениваются по современным ценам, для чего все объекты группы подразделяются по годам приобретения, после этого проводится пересчёт по этапам:

·        составляются данные о фактических ценах приобретения активов,

·        пересчитывается каждый элемент группы с учётом новых цен,

·        по общему среднему индексу пересчитывается величина собственного капитала,

·        баланс активов и пассивов достигается регулировкой статьи «нераспределённая прибыль».

Методы:

·        пересчёт баланса в усреднённых ценах,

·        по реальным ценам,

·        по смешанным ценам.

Инфляция влияет на величину амортизационных отчислений, стоимость МПЗ и т.д.

Показатели

Число (поступления)

Всего



7

13

20

25

Всего за месяц


Кол-во

30

20

35

20

25

100

130

Цена

10

11

12

14

16


12,46

Сумма

300

220

420

280

400

1320

1620


Средняя цена = 1620 / 130 = 12,46

Расход = 90 единиц

Остаток = 130 - 90 = 40 единиц

Метод ФИФО

Расход: 30*10 + 20*11 + 35*12 +5*14 = 1010 т.р.

Остаток: 1620-1010 = 610 т.р.

Метод средней

Расход: 12,46*90= 1121,4 т.р.

Остаток: 1620-1121,4 = 498,6 т.р.

Методы учёта инфляции при принятии финансовых решений

В условиях высокого уровня инфляции работа финансовых менеджеров усложняется по ряду направлений их деятельности.

Первое. При расчёте потребности в дополнительных источниках финансирования деятельности фирмы. см. задачу в тетради.

Второе. Управление дебиторской задолженностью. В условиях инфляции наличие дебиторской задолженности является косвенными потерями фирмы. Эти потери появляются по следующим причинам:

·        дебиторская задолженность не может быть активно использована,

·        возвращаемые фирме долги теряют свою платежеспособность,

·        для покрытия затрат при непогашении дебиторами долгов, как правило, фирме необходимо привлекать кредитные ресурсы и оплачивать проценты по ним.

Более быстрое поступление реальных денежных средств позволит фирме получить дополнительную прибыль, сократить затраты на оплату процентов.

Определение средней величины экономии от сокращения потерь и размера возможной скидки.

Средний период погашения дебиторской задолженности - 90 дней.

Показатели

Вариант


пессимистический

наиболее вероятный

оптимистический

1. Индекс инфляции годовой, %

15

10

5

2. Возможное сокращение дней погашения дебиторской задолженности, дни

5

10

20

3. Процентная ставка за кредит, %

10

8

6

4. Вероятность вариант

0,2

0,5

0,3

17,39

27,22

31,33

5.1. за счёт сокращения дней

16,00

25,00

28,00

5.2. за счёт экономии на процентах за кредит

1,39

2,22

3,33


Средний показатель = 17,39 * 0,2 + 27,22*0,5 + 31,33*0,3 = 26,5 руб. с 1000 рублей (2,65%)

Финансовый леверидж и анализ политики фирмы в области структуры капитала

1.       Понятие цены капитала и цены фирмы.

.        Понятие и оценка уровня финансового левериджа.

Привлечение любого источника финансирования предполагает некоторые затраты:

·        собственное имущество - выплата дивидендов акционерам

·        заёмное имущество - проценты по кредиту,

Общая сумма таких затрат, отнесённая к общему размеру финансовых ресурсов субъекта (имуществу) называется ценой капитала. Цена капитала определяется в процентах и характеризует проценты, которые необходимо уплатить владельцам ресурсов фирмы, а также минимальный уровень доходности.

Цена капитала характеризуется расходами конкретной фирмы по обслуживанию своей финансовой задолженности.

Цена капитала и цена фирмы взаимосвязаны: чем выше цена капитала, тем ниже цена фирмы.

Цена капитала:

·        текущая (фактическая)

·        перспективная

Для финансирования своей деятельности фирмы, как правило, приобретают кредиты.

Финансовый леверидж характеризует соотношение собственных и заёмных средств, условия привлечения и использования кредитов и потенциальные возможности фирмы увеличивать её прибыль.

П

Доля заёмного имущества, %


0

20

50

Имущество всего, в т.ч.

30 000

30 000

30 000

собственное

30 000

24 000

15 000

заёмное


6 000

15 000

Коэффициент финансовой зависимости

0

1,25

2,0

% зассуды

-

5

5

платежи за ссуду


300

750

прибыль от реализации

900

1000

1100

600

700

800

150

250

350

налогооблагаемая прибыль

900

1000

1100

600

700

800

250

350

уплата налога на прибыль

216

240

264

144

168

192

36

60

84

чистая прибыль

684

760

836

456

532

608

124

190

266

абсолютная эффективность собственного капитала

2,28

2,53

2,78

1,9

2,22

2,53

0,76

1,27

1,77

Темп прироста прибыли от реализации

-10

0

10

-10

0

10

-10

0

10

Темп прироста чистой прибыли

-10

0

10

-14,3

0

14,3

-40

0

40

Размах абсолютной эффективности собственного капитала










Уровень финансово левериджа











Оценка дивидендной политики

При переходе на рыночную экономику коренным способом меняется система материального стимулирования работников фирм. Разгосударствление собственности и переход главным образом на акционерную форму выдвинул проблему стимулирования владельцев собственного капитала акциями фирмы. Эта проблема решается с помощью разрабатываемой каждой фирмой своей конкретной дивидендной политики, которая является важной составляющей управления деятельности фирмой в условиях рыночной экономики.

В основу дивидендной политики закладываются условия, которые прямо или косвенно участвуют в формировании собственного капитала.

Дивидендная политика направлена на распределение чистой прибыли, на пополнение собственного капитала и выплату дивидендов.

Выплата дивидендов является не только материальным поощрением собственников акций, но и повышает их заинтересованность в эффективном функционировании фирмы и во вложении собственных средств в пополнение размера собственного капитала фирмы.

Выплата дивидендов возможна при условии успешных результатов деятельности.

Если компания неуклонно расширяет свой объём реализации, совершенствует свой производственный процесс, внедряя новейшие достижения науки и техники, своевременно обновляет морально и физически изношенное оборудование. В результате чего сокращаются удельные затраты на производство, повышается его уровень рентабельности, то растёт и размер полученной прибыли. Таким образом, возможности выплаты дивидендов в возрастающем размере становится реальностью.

Имея ощутимые доходы на свои акции, владельцы стремятся к их приобретению в большем количестве.

В результате доля собственного капитала в имуществе возрастает, повышается финансовая устойчивость фирмы, что является одним из важных условий успешного функционирования фирмы в дальнейшем.

В условиях рыночной экономики важно выработать дивидендную политику, которая как и управление структурой капитала оказывает существенное влияние на эффективность функционирования фирмы и на цену его акций.

Западными специалистами разработаны теоретические основы дивидендной политики. Основные подходы (противоположны):

·        начисление дивидендов по остаточному признаку и выплата их в случае, если профинансированы за счёт прибыли все приемлемые для фирмы инвестиционные проекты, а при отсутствии проектов, то вся прибыль может быть направлена на выплату дивидендов (т.е.инвестирование имеет первичный приоритет перед выплатой дивидендов). (авторы - Модильяни и Миллер)

·        выплата дивидендов производится при любых условиях (автор - Гордон)

Каждая фирма должна выработать свою дивидендную политику, исходя из своего конкретного состояния и тенденции его изменения. Дивидендная политика каждой фирмы должна быть разработана на конкретный период деятельности фирмы.

При выборе конкретной дивидендной политики важно обеспечить максимально возможные совокупные доходы от фирмы и необходимые средства для финансирования её деятельности.

В самом общем виде возможны следующие варианты разработки дивидендной политики:

2)      максимизация возможных выплат дивидендов. Положения подхода:.    в условиях инфляции дивиденды, выплаченные в отдалённом будущем, по своей потребительской стоимости будут ниже, чем в ближайшем будущем..         из двух компаний с одинаковым финансовым результатом и одинаковой степенью конкурентоспособности та, которая выплачивает больше дивидендов, будет иметь больше возможностей продавать свои акции по более высокой цене, что стимулирует рост инвестирования в деятельность фирмы и обеспечивает приток собственного капитала.

Пример

Получена прибыль 13,46 млн. руб.

Рыночная норма дохода 18% (r)

Варианты:

Прибыльность

 Варианты

 

1

2

прибыльность инвестиционных вариантов (g)

40%

10%

доходность инвестиций (q)

7%

2%


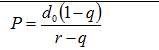
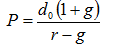
Формула Гордо́на:

На паре

В учебнике

Где Р - стоимость акций, d0 - дивиденд текущего года, r - ставка дисконтирования, q = g - рост дивидендов в предстоящие годы,


Считаем величину дивидендов (d0):

13,46*0,6 = 8,076

,46*0,9 = 12,11

Применяем формулу Гордона:

P1 = (8,076 *1,07)/(0,18-0,07) = 78,56

P2 = (12,11*1,02)/(0,18-0,02) = 77,20

Разница = 1,3 млн руб.

Совокупный результат по P1: 8,08+ 78,56 = 86,64 млн. руб.

Совокупный результат по P2: 12,11 + 77,20 = 89,31 млн. руб.

Чем больше разность между r и q, тем совокупный доход акционеров будет больше.

)        объединение предыдущих вариантов. Цели (по степени важности):.    избежание сокращения реализации проектов, приносящих фирме дополнительную прибыль;.         избежание сокращения выплаты дивидендом;.         избежание необходимости продавать акции компании на сторону;. поддержание структуры капитала (соотношения собственного и заёмного капитала);

Дивидендная политика должна сохраняться в своей основе на длительную перспективу с временными отклонениями за счёт снижения дивидендных выплат или продажи части акций.

Выплата дивидендов может производиться либо наличными деньгами как прибыль на одну акцию или в процентах от рыночной цены акций, либо в форме акций.

Выплаты:

·        регулярные;

·        дополнительные (сверх регулярных)

·        разовые;

·        ликвидационные (после ликвидации части имущества компании).

Анализ финансового риска

Любая предпринимательская деятельность в условиях рыночной экономики сопряжена с определённым предпринимательским риском, т.е. с вероятностью потери части своих ресурсов, недополучения доходов, появления дополнительных расходов в результате осуществления своей деятельности.

Наиболее ощутимо для хозяйствующего субъекта риск проявляется в двух направлениях:

·        в уменьшении уровня доходности финансовых операций,

·        риск банкротства.

Финансовый риск - это неопределённость, изменчивость величины прибыли, отдачи на вложенный капитал.

Финансовый риск - риск, связанный с изменением покупательной способности потребителей, соотношением собственного и заёмного капитала.

Риск должен иметь вероятность получить сверхприбыль и, в то же время, означает вероятность оказаться в убытке. Важно управлять риском, проводя анализ и прогноз возможных потерь ресурсов, снижения доходности. Цель такого управления - уменьшение или компенсация ущерба при наступлении неблагоприятных ситуаций. Понятие «снижение риска» означает либо уменьшение возможного ущерба, либо понижение вероятности наступления неблагоприятных событий.

Управление риском является сложным процессом, включающим следующие этапы:

)        анализ риска,

)        выбор методов воздействия на риск при оценке их сравнительной эффективности,

)        принятие решения,

)        непосредственное воздействие на риск,

)        контроль и корректировка результатов процесса управления.

Анализ рисков является начальным этапом управления рисками, целью которого является получение необходимой информации о структуре, свойствах объекта, возможных рисках.

В процессе анализа не только выявляются отдельные виды рисков, но и оценивается вероятность их появления и производится количественная оценка их последствий.

Важно выбирать и формы управления рисками:

1)      активная (используется наличная информация, осуществляется активное воздействие на деятельность хоз. субъекта с целью максимального сокращения негативных последствий),

2)      адаптивная (основывается на принципе выбора меньшего из зол. При осуществлении конкретных хозяйственных операций принимаются меры для предотвращения лишь части негативных последствий).

3)      консервативная (характеризуется отставанием мер воздействия на объект: ущерб уже возник, а управление направлено на его локализацию, избежание его влияния на другие стороны деятельности фирмы).

Риски подразделяются на:

·        производственные,

·        коммерческие,

·        финансовые.

Производственные риски обуславливаются производственными факторами:

·        некачественные материальные ресурсы,

·        недостаточная квалификация работников,

·        изношенное производственное оборудование,

Производственный риск приводит к:

·        снижению объёма производства,

·        увеличение аварий.

Коммерческие риски связаны с потерей денежных средств либо с недополучением. Они возникают в условиях:

·        неопределённости спроса, снижения объёма реализации продукции,

·        роста цен на материалы, труд, оборудование,

·        опережающего действия конкурентов.

Если доля заёмного капитала высока, то повышается зависимость хозяйствующего субъекта от кредиторов, ухудшаются взаимоотношения с деловыми партнёрами, работниками предприятия.

Виды финансовых рисков:

·        кредитный - риск невозврата кредита и процентов по нему,

·        процентный - потери денежных средств из-за изменения процента за привлекаемые средства,

·        валютный - связан с потерей денежных средств из-за изменения курса валют.

·        риск упущенной выгодны - потери денежных средств как косвенный ущерб от события.

Величина финансового риска определяется по статистическим данным с помощью математических методов.

Для определения величины финансового риска необходимо знать все возможные последствия какого-либо отдельного действия и вероятность этих последствий.

Используя методы теории вероятностей, определяется значение вероятности наступления события и выбирается вариант с наибольшей величиной математического ожидания.

Вероятность может быть определена с использованием метода экспертных оценок.

Вероятность риска можно определить по размаху вариации и по коэффициенту вариации.

Исходная информация для расчёта вероятности риска, прогнозной оценки, результативности, разных вариантов решений и вероятности их осуществления.

Показатели

1 вариант

2 вариант

Вероятность

Стоимость реализации проекта

12

18


Уровень рентабельности, %



1

а) пессимистический вариант

14

13

0,2

б) наиболее вероятный вариант

16

17

0,6

в) оптимистический вариант

18

21

0,2


Размах вариации:

Первый вариант: 18% - 14% = 4%

Второй вариант: 21% - 13% = 8%

Коэффициент вариации:

А) Наиболее вероятный уровень рентабельности

проект: 14*0,2 + 16*0,6 + 18*0,2 = 2,8 + 9,6 + 3,6 = 16

проект: 13*0,2 + 17*0,6 + 21*0,2 = 17

Б) Стандартное отклонение

) проект: станд откл. = 0,89

) проект: станд. откл. = 2,53

В) коэффициент вариации = станд. отклон/ Кв

Коэффициент вариации (учебники, лекции по финансовому менеджменту):

, где

Способы снижения риска:

·        избежание риска (уклонение от любых рискованных мероприятий)

·        удержание риска (переложение риска на инвестора),

·        передача риска третьему лицу (страхование),

·        снижение степени риска (одновременная реализация ряда различных проектов).

Каждый предприниматель должен установить для себя приемлемую степень риска.

Принципы функционирования в условиях риска:

·        риск не должен превышать величину собственного капитала,

·        просчёт последствий риска,

·        риск должен быть оправданным.

Анализ финансовых предпосылок несостоятельности (банкротства) организации

Одним из факторов повышения эффективности функционирования фирмы является привлечение заёмных средств. Их эффективное использование оказывает положительное влияние на возможности расширения объёма деятельности, повышение научно-технического уровня деятельности, снижение удельных затрат на производство, повышение конкурентоспособности и эффективности деятельности.

В условиях рыночной экономики нередко возникают кризисные ситуации, и если не принять необходимых профилактических мер, может произойти разбалансирование всей деятельности хоз. субъекта, что приведёт к его неспособности продолжать финансовое обеспечение функционирования (к банкротству).

Банкротство - это неспособность хозяйствующего субъекта платить по своим долгам и финансировать свою текущую деятельность.

Банкротству предшествуют как внутренние, так и внешние предпосылки.

В ходе финансового анализа выявляются критические показатели для оценки возможного банкротства хоз. субъекта, которые можно подразделить на 2 группы:

)        показатели, уровень и динамика которых свидетельствует о грядущих финансовых затруднениях и возможном банкротстве:.        снижение объёма производства, приостановление производственной деятельности, наличие нереализованной продукции..         неблагоприятные изменения в портфеле заказов (потенциальные потери долгосрочных заказов на продукцию).   применение в производственном процессе физически и морально изношенного оборудования.          увольнение работников,.         высокая доля просроченной дебиторской и кредиторской задолженности,.         хроническая нехватка собственных оборотных средств,.  рост доли заёмного капитала до опасного уровня.        устойчиво низкий коэффициент платёжеспособности,.         чрезмерное использование краткосрочных кредитов в качестве финансирования инвестиций..       ухудшение отношений с банками,. использование заёмного имущества на невыгодных для хозяйствующего субъекта условиях..      снижение коэффициента абсолютной эффективности деятельности, рентабельности производства, оборачиваемости имущества, соотношения собственного и заёмного капитала.

)        показатели, не свидетельствующие о назревающем кризисе в деятельности хозяйствующего субъекта, но обращают внимание на возможность её ухудшения, если своевременно не принять необходимых мер:.  потери ключевых сотрудников аппарата управления,.        нарушение ритмичности производственного процесса,.    зависимость финансовых результатов производственно-хозяйственной деятельности от какого-либо проекта, вида активов, типа оборудования..    недооценка необходимости постоянного обновления техники и технологии производства,.    неэффективные долгосрочные соглашения,.       участие в судебных разбирательствах с непредсказуемым исходом,

В зарубежной практике для прогнозирования банкротства используются многочисленные многофакторные модели (Альтмана, Таффлера, Тиммоу, Спрингера, Лисса, Бивера), однако в современной России они мало приемлемы из-за отличия в состоянии и динамики изменений экономики в целом по стране, в отдельных отраслях, в различных формах собственности.

Неспособность хозяйствующего субъекта удовлетворять требования кредиторов, деловых партнёров, собственных работников и пр. должна быть признана арбитражным судом. Принимаемое им решение является основой для подготовки предложений по оказанию финансовой поддержки неплатёжеспособному хозяйствующему субъекту, а также иное предусмотренное законодательством финансовое оздоровление банкрота.


Не нашли материал для своей работы?
Поможем написать уникальную работу
Без плагиата!
Без нейросетей!