Выбор электромашинного усилителя и электродвигателя постоянного тока для обеспечения конкурентоспособности замкнутой электромеханической системы регулирования скорости двигателя
Содержание
Задание
Введение
Раздел 1.
Выбор коэффициента передачи ККЗ электромашинного усилителя и
постоянной времени Т2 электродвигателя постоянного тока с целью
обеспечения работоспособности системы регулирования скорости электродвигателя
.1 Структурные
преобразования исходной схемы
.2 Нахождение
характеристического уравнения замкнутой
.3 Определение
области устойчивости электромеханической системы в пространстве параметров
коэффициента передачи электромашинного усилителя - ККЗ и постоянной
времени электродвигателя постоянного тока - Т2 (D-разбиения по двум параметрам: ККЗ,Т2)
Раздел 2.
Определение качественных показателей системы с целью обеспечения ее
конкурентоспособности
.1
Определение запасов устойчивости электромеханической системы по амплитуде и фазе
с помощью критерия устойчивости Найквиста
.2
Определение запасов устойчивости электромеханической системы по амплитуде и
фазе с помощью логарифмического критерия устойчивости Найквиста
.3 Оценка
быстродействия проектируемой конкурентоспособной следящей системы регулирования
скорости двигателя по переходной характеристике
.4
Определение коэффициентов ошибок
Выводы
Список
использованной литературы
Задание
Тема: Выбор коэффициента передачи ККЗ электромашинного
усилителя и постоянной времени Т2 электродвигателя постоянного тока
для обеспечения конкурентоспособности электромеханической системы регулирования
скорости двигателя.
Студент: Группа 5045/2 Камышев Е. М.
Цель курсового проекта - развитие и закрепление навыков по динамическому
конструированию и расчету систем автоматического регулирования с обратной
связью.
Техническое условие на проектирование: Необходимо выбрать коэффициент
передачи ККЗ электромашинного усилителя и постоянную времени Т2
электродвигателя постоянного тока, чтобы обеспечить конкурентоспособность
системы по динамическим параметрам (быстродействие, производительность,
точность, запаса устойчивости по амплитуде и фазе).
Исходные данные: заданы структурная схема системы, вид и параметры (кроме
двух) передаточной функции динамических звеньев.
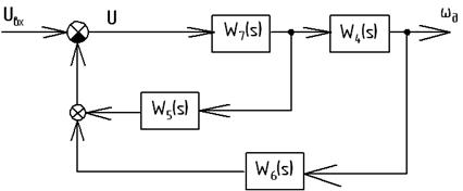
Исходная схема:
Передаточные функции звеньев:
-
электронный усилитель;
-
электромашинный усилитель (поперечного поля);
-
генератор;
-
электродвигатель постоянного тока;
- гибкая
обратная связь;
-
жесткая обратная связь. 3
Исходные
данные:
Таблица
1.
|
Номер варианта
|
Параметры
|
|
КУ
|
КЭМУ
|
ТЭ, с
|
ТКО, с
|
КГ
|
ТГ, с
|
Кд, Та, сТМ, сККЗТ1,
сТ2, сКТГ,
|
|
|
|
|
|
|
|
6
|
18
|
7
|
0,11
|
0,22
|
0,7
|
0,55
|
0,8
|
0,08
|
0,5
|
?
|
2,9
|
?
|
0,7
|
Состав проекта:
. Краткое описание работы системы
. Провести выбор параметров системы
. Оценка быстродействия системы
. Оценка точности системы
Графическая часть:
. Исходные данные, структурные схемы преобразованной системы
. Обеспечение запасов устойчивости системы для ее работоспособности и
конкурентоспособности
. Обеспечение производительности и оценка точности для ее
конкурентоспособности
Задание выдано 6.09.07
Срок сдачи 12.12.07
Руководитель: Нагорный В. С.
Литература:
. И. М. Макаров, Б. М. Менский. Линейные автоматические системы (элементы
теории, методы расчета и справочный материал). - М. Машиностроение, 1982
. В. А. Бесекерский, Е. П. Попов. Теория систем автоматического
регулирования.-М.: Наука, 1985.
. В. С. Нагорный, Н. Б Культин. Выбор параметров объектов и устройств
управления механическим оборудованием с использованием ЭВМ. Методические
указания к курсовому проектированию.- СПбГТУ Санкт-Петербург 1994г.
Введение
Существует чрезвычайно большое разнообразие автоматических систем,
выполняющих те или иные функции по управлению самыми различными физическими
процессами во всех областях техники. В этих системах сочетаются весьма
разнообразные по конструкции механические, электрические и другие устройства,
составляя, в общем, сложный комплекс взаимодействующих друг с другом звеньев.
Подобные системы могут весьма успешно применяться в
строительных и дорожных машинах. Прежде всего, это может быть автоматическое
управление рабочим органами машин, которое позволит повысить точность, а значит
качество выполняемых операций, например системы телеуправления, в которых от
нажатия кнопки или от легкого поворота ручки на пульте управления совершается
определенная комбинация мощных и сложных операций рабочим органом.
Это может быть автоматическое регулирование скорости
выполняемых операций, например скорости перемещения штока гидроцилиндра в
зависимости от нагрузки на штоке, автоматический регулятор скорости вращения
двигателя, поддерживающий постоянную угловую скорость двигателя независимо от
внешней нагрузки. При управлении рабочим органом строительных и дорожных машин
может применяться следящая система, на выходе которой с определенной точностью
копируется произвольное во времени изменение какой-нибудь величины, поданной на
вход и т.д.
Применение подобных систем помогает более рационально использовать
системный подход при решении конструкторских задач, что является на данный
момент очень важной составляющей обеспечения конкурентоспособности
производимого оборудования.
Целью данной работы является разработка конкурентоспособной
электромеханической системы регулирования скорости, отвечающей требованиям
устойчивости, производительности, быстродействия и точности.
При оценке свойств системы автоматического управления (САУ), прежде
всего, выясняют ее устойчивость. Понятие устойчивости САУ связано с ее
поведением после прекращения внешнего воздействия, то есть с ее свободным
движением под влиянием начальных условий.
Система устойчива, если с течением времени выходная ее величина стремится
к значению, определяемому входным управляющим воздействием (т. е. с течением
времени стремится к вынуждающей составляющей). Оценка устойчивости - есть
оценка принципиальной способности САУ осуществлять регулирование. Появление
неустойчивости при желаемом изменении какого-то параметра системы (например,
при увеличении коэффициента передачи) часто ограничивает возможности повышения качества
регулирования. Именно поэтому значения коэффициента передачи -ККЗ и
постоянной времени -Т2 исследуемого объекта управления должны быть
выбраны с точки зрения обеспечения устойчивости системы регулирования скорости.
Чтобы выяснить, устойчива система или нет, нужно построить область
устойчивости. Для этого мы будем использовать критерий устойчивости Михайлова.
Для построения годографа Михайлова нужно знать характеристический комплекс.
Характеристический комплекс получаем из характеристического уравнения замкнутой
системы, а характеристическое уравнение замкнутой системы получаем как сумма
числителя и знаменателя передаточной функции разомкнутой системы. Чтобы
получить передаточную функцию разомкнутой системы нужно сделать структурные
преобразования исходной схемы.
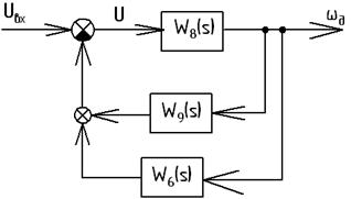
Принцип работы следящей электромеханической системы
регулирования скорости электродвигателя.
Входной
сигнал
поступает на выявительное устройство, где
сравнивается с сумарным сигналом от гибкой и жесткой обратной связи; сигнал
ошибки U поступает на электронный усилитель. Усиленный сигнал
поступает на электромашинный усилитель поперечного
поля. Усиленный сигнал подается на обмотку возбуждения генератора постоянного
тока. Напряжение постоянного тока
поступает
на электродвигатель постоянного тока.
Напряжение
преобразовывается, за счет гибкой обратной связи, в
сигнал
, поступающий на сумматор. Жесткая обратная связь
измеряет скорость вращения двигателя и вырабатывает сигнал
, который поступает на сумматор. После сумматора
сигнал
подается на выявительное устройство.
Если
скорость электродвигателя не соответствует заданной, на выявительном устройстве
вырабатывается сигнал ошибки такой, чтобы электродвигатель вернулся к заданному
значению скорости.
Раздел 1. Выбор коэффициента передачи ККЗ
электромашинного усилителя и постоянной времени Т2 электродвигателя
постоянного тока с целью обеспечения работоспособности системы регулирования
скорости электродвигателя
.1 Структурные преобразования исходной схемы
Для того, чтобы записать характеристическое уравнение передаточной
функции разомкнутой системы, следует привести исходную замкнутую систему к
одному звену с отрицательной обратной связью. Поэтому воспользуемся правилами
преобразования структурных схем и линейных систем.
Выполним ряд структурных преобразований, используя правила преобразования
структурных схем в линейных системах.
Исходная структурная схема:
Рис. 1.1. Исходная структурная схема
Приведем
последовательно соединенные звенья
, 
в одно
с передаточной функцией
. В результате преобразования приведем исходную схему
к виду:
Для
дальнейшего упрощения необходимо перенести узел
с входа
на выход звена на основании правил структурных преобразований.
В
результате преобразования получили новое звено
.
Объединяем
звенья
,
в звено
с передаточной функцией
и звенья
,
в звено
с
передаточной функцией
.
Проведя
эти преобразования получим следующую схему:
Объединяем
звенья
,
в звено
с передаточной функцией
.
Затем
объединим звенья
,
в звено
и получим
.
Получаем,
что передаточная функция
соответствует искомой передаточной функции
. Окончательно уравнение передаточной функции
разомкнутой системы имеет вид:
(1.1)
.2
Нахождение характеристического уравнения замкнутой системы
Представим
передаточную функцию разомкнутой системы в виде:
, (1.2)
где
и
-
коэффициенты, выраженные через параметры (коэффициенты передач и постоянные
времени) динамических звеньев исходной системы n > m. Для этого раскроем
скобки и упростим выражение:
Подставим
в уравнение (1.1) значения передаточных функций из табл.1, одновременно
раскроем скобки и получим выражение передаточной функции разомкнутой системы в
общем виде:
В
результате преобразований и упрощений получим:
(1.3.)
Запишем
характеристическое уравнение замкнутой системы как сумму числителя и
знаменателя передаточной функции разомкнутой системы:
(1.4)
1.3 Определение области устойчивости электромеханической
системы в пространстве параметров коэффициента передачи электромашинного
усилителя - ККЗ и постоянной времени электродвигателя постоянного
тока - Т2 (D-разбиения по двум параметрам: ККЗ ,Т2)
Рассмотрим влияние на устойчивость САУ тех параметров, которые могут быть
изменены, т. е. коэффициента передачи тахогенератора -ККЗ и
постоянной времени управляющего двигателя -Т2.
Допустимые пределы изменения параметров определяют при неизменных
значениях остальных. В последнем случае на плоскости двух параметров выделяют
область устойчивости, то есть такую область этих параметров, при которых САУ
остается устойчивой.
Построение областей устойчивости возможно с помощью любого из критериев
устойчивости. Однако так поступают лишь при определении граничного значения
передаточного коэффициента разомкнутой системы, а при выделении областей
устойчивости привлекают более общий метод D - разбиения. Принципиально это метод разбиения n - мерного пространства параметров на
области, каждой из которых соответствует определенное число правых корней
характеристического уравнения. Область, которой соответствует нуль правых
корней, есть область устойчивости.
На основании того, что интересующие нас параметры ККЗ и Т2
, входят в характеристическое уравнение линейно, то можем записать
характеристическое уравнение системы в виде:
(1.5)
где
-неизвестная постоянная времени,(
);
- неизвестный
коэффициент передачи, (
),
-
коэффициент полиномов при
;
-
коэффициент полиномов при
;
-
коэффициент полиномов который не относится ни к
ни к
.
Таким образом, на основании выражения 1.5 запишем характеристическое
уравнение системы:
Далее,
воспользуемся критерием устойчивости Михайлова. Этот критерий основан на
построении годографа Михайлова - кривой, которую описывает конец вектора D(jw) на
комплексной плоскости при изменении w от 0 до ¥. Вектор D(jw) получается из характеристического уравнения
замкнутой системы при подстановке s=jw, где
, w - круговая частота
гармонического входного сигнала.
Для
устойчивости системы n-го порядка необходимо и достаточно, чтобы годограф
Михайлова обошел в положительном направлении (против часовой стрелки)
последовательно n квадрантов (где n - порядок
системы), нигде не обращаясь в нуль (рис. 1.2., а). Если система находится на
границе колебательной устойчивости, то годограф Михайлова проходит через начало
координат (рис. 1.2., б).
Рис.
1.2. Годографы Михайлова для нашей системы, описанной дифференциальным
уравнением шестого порядка а) устойчивая система; б) система на границе
колебательной устойчивости
Ориентируясь
на нахождение границы колебательной устойчивости с использованием частного
критерия устойчивости Михайлова в характеристическое уравнение замкнутой
системы, вместо оператора s подставим
s = w×j,
где
, w - круговая частота
гармонического входного сигнала и, вместе с этим, возведем в степень мнимую
единицу.
В
результате характеристическое уравнение можем записать в виде:
(1.6)
При
каком-то значении ω
годограф Михайлова проходит через начало
координат, то есть система находится на границе колебательной устойчивости, при
этом действительная и мнимая части характеристического уравнения замкнутой
системы обращается в нуль. На основании чего можно записать следующую систему
уравнений:
Запишем
систему уравнений, состоящую из вещественной и мнимой части характеристического
уравнения (1.6):
Выделим
значения коэффициентов при различных степенях
:
Подставив
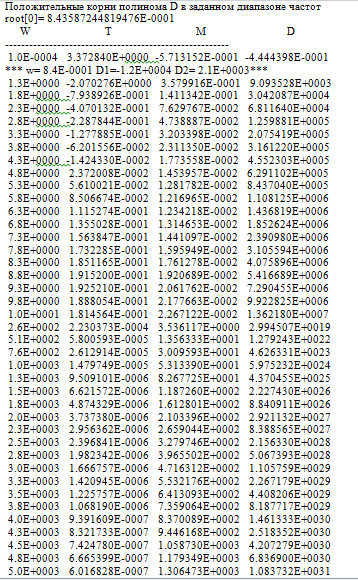
численные значения коэффициентов из табл.1, найдем значения полиномов:
Эти
коэффициенты необходимы для вычисления t, m, D(w), D1(w) и D2(w).
Решаем
систему (1.6) в операторном виде. Главный определитель системы определяется:
(1.7)
Определители,
используемые для вычислений неизвестных t и m:
(1.8)
Значения
неизвестных параметров в зависимости от частоты:
(1.9)
(1.10)
Выражения
(1.9), (1.10) определяют τ
и μ как функции от ω.
Следовательно, при каждом значении ω=ωi
можно вычислить значения τi и μi и нанести
соответствующую точку на плоскость параметров τ и μ. Геометрическое
место этих точек при изменении ω от -
до +
является
кривой D - разбиения плоскости (τ, μ), где τ откладывается по оси абсцисс и μ по оси ординат. Расчет τ(ω) и μ(ω)
при изменении круговой частоты выходного гармонического сигнала ω от 10-4 до 104 производим на
ЭВМ, результаты приведены в таблице ниже. По полученным значениям строим кривую
D - разбиения в плоскости параметров τ и μ:
Порядок
системы 6
Коэффициенты
полиномов
Метод
Д-разбиения дает общее решение вопросов о влиянии данных параметров на
устойчивость САУ.
Для
выделения областей, подозрительных на устойчивость в плоскости t - m, выполняют штриховку границы Д-разбиения. Для этого
на кривой указывают направление возрастания частоты w. При движении в этом направлении D(w) > 0, кривая штрихуется двойной штриховкой слева.
При
некоторой частоте
получаем
или
. Тогда система уравнений (1.6) преобразуется в одно
уравнение особой прямой.
Особые
прямые находятся из характеристического уравнения, в результате приравнивания
нулю коэффициентов а0 и аn:
При аn=0,
получаем особую прямую μ = -0,57; при а0=0 - особой прямой
нет.
Область
пространства D - разбиения, ограниченная штриховкой вовнутрь
является областью подозрительной на устойчивость. Из области подозрительной на
устойчивость выбираем точку А с координатами:
Рис.
1.3. Кривая D - разбиения в плоскости параметров
.
Раздел
2. Определение качественных показателей системы с целью ее
конкурентоспособности
электромеханический скорость устойчивость точность
Устойчивость выходных параметров необходимое, но не
достаточное условие. Произведем оценку качества проектируемой
электрогидравлической системы объемного регулирования скорости с точки зрения
динамического конструирования. Динамическое конструирование - это выбор
конструктивных параметров механического оборудования с позиции
конкурентоспособности системы управления оборудования по динамическим
показателям: показателю колебательности, величине перерегулирования, времени
переходного процесса, по коэффициентам ошибок. Конкурентоспособность системы
управления оценивается по запасам устойчивости по амплитуде и фазе, по точности
проектируемой САУ, по быстродействию. Запасы устойчивости по амплитуде и фазе
находим по простым и логарифмическим критериями устойчивости Найквиста;
показатели быстродействия системы управления определяем по переходной
характеристике; точность проектируемой САУ - по коэффициентам ошибок.
Переходную характеристику определяем по вещественной
частотной характеристике замкнутой системы, для этого необходимо знать
частотные передаточные функции замкнутой и разомкнутой системы. Для построения
логарифмических амплитудной и фазной частотных характеристик разомкнутой
системы необходимо знать вещественную и мнимую части частотной передаточной
функции разомкнутой системы. (Амплитудно-частотная характеристика показывает,
как изменяется амплитуды выходного сигнала при изменении частоты входною
сигнала. Фазо - частотная характеристика показывает, как изменяется выходной
сигнал относительно фазы входного сигнала при изменении частоты входного
сигнала.)
Для
этого представим частотную передаточную функцию разомкнутой системы в виде
и найдем коэффициенты при
.
2.1 Определение запасов устойчивости электромеханической
системы по амплитуде и фазе с помощью критерия устойчивости Найквиста
Определим запас устойчивости на основании критерия Найквиста по удалению
АФЧХ разомкнутой системы от критической точки с координатами [-1, j0], это оценивается двумя показателями: запасом
устойчивости по амплитуде и фазе.
Согласно формуле (1.3) выражение передаточной функции
разомкнутой системы имеет вид:
Запишем
полученное выражение относительно частоты, для чего вместо оператора s
подставим s = j×w .
Запишем данное выражение в виде
Подставим
численные выражения, в том числе и выбранные
параметры
,
где А(ω), В(ω), С(ω), D(ω) - полиномы от ω.
В итоге получим:
Выделим вещественную Re(W(jw)) и мнимую часть Im(W(jw))
передаточной функции разомкнутой электрогидравлической системы. Для этого
умножим числитель и знаменатель на число сопряженное знаменателю:
Откуда
получаем:
Численные
значения
и
при
изменении w от 0 до + ∞ определяем с помощью ЭВМ см.
таблицу 2. (Программа NAG2)
Таблица 2
Студент: Камышев Е. М. гр. 5045/2
Степень полинома 6
Исходные данные
По
полученным результатам строим годограф Найквиста (амплитудно-фазовая частотная
характеристика разомкнутой системы) при изменении ω от 0 до + ∞ (рис.2.1), откладывая по оси абсцисс
вещественную, а по оси ординат мнимую части передаточной функции разомкнутой
системы. Как зеркальное отображение относительно оси абсцисс достраиваем
годограф Найквиста при изменении ω от 0 до - ∞. Затем, по часовой стрелке, дугой бесконечно большого
радиуса соединяем первую и вторую ветви годографа. При этом она не охватывает
точку (-1, j0), что
является необходимым и достаточным условием устойчивости замкнутой системы.
Таким образом, при выбранных значениях
проектируемая система устойчива.
Величину
запасов устойчивости по амплитуде и фазе определяем следующим образом. Запас по
амплитуде ΔA,
определяется как длина отрезка от точки (-1, j0) до ближайшей
точки пересечения годографом Найквиста вещественной оси (см. рис. 2.2). Запас
по фазе
определяется путем дополнительного построения
окружности единичного радиуса с центром в начале координат. Через точку
пересечения окружности и годографа проводим прямую с началом в центре координат
и угол образованный этой прямой и вещественной осью является запасом
устойчивости по фазе (см. рис. 2.2).
Рис. 2.1 Годограф Найквиста
Рис. 2.2 Определение величины запасов устойчивости по амплитуде и фазе
Таким образом, при выбранных значениях постоянной времени
электродвигателя Т2=0,08 с и коэффициенте передачи электромашинного
усилителя ККЗ=0,02 проектируемая система устойчива.
2.2
Определение запасов устойчивости электромеханической системы по амплитуде и
фазе с помощью логарифмического критерия устойчивости Найквиста
Логарифмический критерий устойчивости Найквиста
позволяет выяснить устойчивость замкнутой системы по логарифмическим частотным
характеристикам разомкнутой системы. Эту возможность используют весьма широко
вследствие простоты построения таких характеристик и определения по ним запаса
устойчивости.
Если разомкнутая система устойчива, то для ее
устойчивости в замкнутом состоянии необходимо и достаточно, чтобы число
переходов логарифмической фазово-частотной характеристики (ЛФЧХ) через линию
-180° при положительных значениях логарифмической амплитудно-частотной
характеристики (ЛАЧХ) было четным (в частном случае равно нулю). Пересечение
ЛФЧХ линии -180° снизу вверх считается положительным, а сверху вниз -
отрицательным.
Амплитудно-частотная логарифмическая характеристика
разомкнутой системы L(ω)
рассчитывается по
формуле:
,
Таким
образом:
Также
выразим через коэффициенты A, B, C и D фазово-частотную логарифмическую характеристику
разомкнутой системы φ(ω). Она рассчитывается по формуле:
;
Подставим
найденные выражения для вещественной и мнимой части в данную формулу и получим:

Численные
значения
и
при различных значениях получаем с помощью ЭВМ
(таблица 2). По полученным результатам строим эти частотные характеристики,
причем для удобства определения запасов устойчивости системы по амплитуде и
фазе -
и
,
и
строим в одном масштабе по оси абсцисс и располагаем
друг под другом.
Рис.2.3 ЛАЧХ и ЛФЧХ разомкнутой системы (в масштабе)
Из рис.2.3 видно, что исследуемая замкнутая система является устойчивой,
так как число переходов ЛФЧХ через линию -180 при положительных значениях ЛАЧХ
равно нулю, а это является частным случаем критерия устойчивости (необходимым и
достаточным).
Таким образом, величины запасов равны:
По
амплитуде
По
фазе
Практика
показывает, что качественная система управления должна обладать запасом
устойчивости по амплитуде не менее 6 дБ и по фазе не менее
. Таким образом, проектируемая система обладает достаточно
благоприятными запасами устойчивости по амплитуде и фазе.
.3
Оценка быстродействия проектируемой конкурентоспособной следящей системы
регулирования скорости двигателя по переходной характеристике
Переходная характеристика - это реакция системы на
единичный ступенчатый скачек входного сигнала.
Для
оценки быстродействия системы управления вводят количественные показатели:
время переходного процесса
,
величину перерегулирования
и показатели
колебательности т. Время переходного процесса - это время, за которое система
входит в 5% зону от установившегося значения регулируемой величины. Величина
перерегулирования определяется по формуле:
где
утах - максимальное значение регулируемой величины, ууст
- ее установившееся значение. Система удовлетворительна, если
не превышает 30%. Показатель колебательности т -
количество переходов установившихся за время переходного процесса.
Определим ВЧХ замкнутой системы с единичной обратной связью исходя из
того, что:
,
где
Ф(jw) и W(jw) - соответственно передаточная функция замкнутой и
разомкнутой системы. Согласно выражению для Ф(jw) получаем:
Выделяем
из полученного выражения действительную и мнимую часть, умножив числитель и
знаменатель на число, сопряженное знаменателю:
ВЧХ
замкнутой системы (вещественная часть передаточной функции замкнутой системы)
имеет вид:
30
Численные
значения
для различных получаем при помощи ЭВМ (таблица 2). По
полученным значениям строим вещественную частотную характеристику замкнутой
системы
(рис. 2.4).
Рис.
2.4
Оценку
быстродействия системы можно произвести по виду ее переходной характеристики
(реакция системы на единичный ступенчатый сигнал).
Для
построения кривой переходного процесса воспользуемся методом вещественных
частотных характеристик. Основой метода является зависимость между переходной
характеристикой h(t) устойчивой САУ и ее вещественной характеристикой
:
Суть
рассматриваемо метода построения переходной характеристики заключается в
следующем. Данный интеграл вычислен при различных значениях параметров
вещественной частотной характеристики простейшей формы (трапеция) и результаты
сведены в таблицу. Реальную характеристику Р(w) разбивают
на несколько простейших Pi(w):
.
Для
каждой простейшей характеристики Рi(w) с помощью таблицы определяют соответствующую ей
характеристику hi(t). Тогда переходная характеристика h(t),
соответствующая вещественной частотной характеристике Р(w), определяется суммированием составляющих hi(t):
.
В
качестве типовой выбрана единичная трапециидальная ВЧХ (рис 2.5).
Рис.
2.5 Единичная трапециидальная ВЧХ
Ее
высота равна единице и основание wп=1 с-1. Изменяющимся параметром
является отношение меньшей параллельной стороны wа к большей (к основанию):
,
которое
называется коэффициентом наклона.
По
выражению для
, вычислены значения h(t),
соответствующие единичной трапеции с различным коэффициентом наклона c от 0 до 1, при различных значениях условного времени
. Построение переходной характеристики h(t) по
ВЧХ Р(w) методом трапеций состоит из нескольких этапов.
Вещественную
частотную характеристику разбиваем на трапеции (рис.2.6). Для этого
действительную кривую ВЧХ приближенно заменяем прямолинейными отрезками, и
концы каждого отрезка соединяем с осью ординат прямыми, параллельными оси
абсцисс. Первый отрезок должен начинаться из точки Р(0), так как эта точка
определяет конечное значение переходной характеристики
.
Рис.2.6
Для
каждой из трапеций определяем высоту Рi, частоты
wai
и wпi и коэффициент наклона cI и
округляем его до ближайшего из значений 0; 0,05; 0,10;…; 0,95; 1 (см. таб. 3).
Таблица 3. Параметры трапеций
|
№
|
Трапеции
|
Рi
|
wai
|
wпi
|
ci
|
|
1
|
ABCD
|
6,25
|
12,5
|
14,5
|
0,85
|
|
2
|
CDEF
|
-1
|
14,5
|
18
|
0,80
|
|
3
|
EFGO
|
-1
|
18
|
30
|
0,6
|
В таблице h-функций для
каждой трапеции отыскиваем столбец, соответствующий значениюcI . Затем для ряда значений условного
времени t определяем соответствующие им
значения h(t). По значениям t и h(t) вычисляем значения действительного
времени t и составляющей hi переходной характеристики:
;
По
полученным таким образом результатам (см. табл. 4) строим график составляющих
переходной характеристики (рис. 2.7). После чего в результате сложения
составляющих переходной характеристики, получаем ее график (рис. 2.7).
Таблица
4.
|
 0,85 0,80 0,6 
|
|
|
|
|
|
|
|
 
|
|
|
|
|
|
|
0
|
0
|
0
|
0
|
0
|
0
|
0
|
|
0,5
|
0,29
|
0,282
|
0,255
|
0,034483
|
0,027778
|
0,016667
|
|
1
|
0,562
|
0,547
|
0,49
|
0,068966
|
0,055556
|
0,033333
|
|
1,5
|
0,794
|
0,776
|
0,706
|
0,103448
|
0,083333
|
0,05
|
|
2
|
0,997
|
0,956
|
0,878
|
0,137931
|
0,111111
|
0,066667
|
|
2,5
|
1,09
|
1,084
|
1,01
|
0,172414
|
0,138889
|
0,083333
|
|
3
|
1,154
|
1,1
|
0,206897
|
0,166667
|
0,1
|
|
3,5
|
1,174
|
1,171
|
1,145
|
0,241379
|
0,194444
|
0,116667
|
|
4
|
1,149
|
1,156
|
1,158
|
0,275862
|
0,222222
|
0,133333
|
|
4,5
|
1,099
|
1,111
|
1,138
|
0,310345
|
0,25
|
0,15
|
|
5
|
1,037
|
1,053
|
1,107
|
0,344828
|
0,277778
|
0,166667
|
|
5,5
|
0,979
|
0,994
|
1,07
|
0,37931
|
0,305556
|
0,183333
|
|
6
|
0,934
|
0,94
|
1,021
|
0,413793
|
0,333333
|
0,2
|
|
6,5
|
0,91
|
0,92
|
0,982
|
0,448276
|
0,361111
|
0,216667
|
|
7
|
0,908
|
0,911
|
0,957
|
0,482759
|
0,388889
|
0,233333
|
|
7,5
|
0,927
|
0,92
|
0,944
|
0,517241
|
0,416667
|
0,25
|
|
8
|
0,955
|
0,944
|
0,941
|
0,551724
|
0,444444
|
0,266667
|
|
8,5
|
0,99
|
0,974
|
0,944
|
0,586207
|
0,472222
|
0,283333
|
|
9
|
1,023
|
1,006
|
0,961
|
0,62069
|
0,5
|
0,3
|
|
9,5
|
1,048
|
1,033
|
0,98
|
0,655172
|
0,527778
|
0,316667
|
|
10
|
1,059
|
1,049
|
0,993
|
0,689655
|
0,555556
|
0,333333
|
|
10,5
|
1,058
|
1,054
|
1,007
|
0,724138
|
0,583333
|
0,35
|
|
11
|
1,044
|
1,048
|
1,014
|
0,758621
|
0,611111
|
0,366667
|
|
11,5
|
1,024
|
1,034
|
1,017
|
0,793103
|
0,638889
|
0,383333
|
|
12
|
1
|
1,015
|
1,019
|
0,827586
|
0,666667
|
0,4
|
|
12,5
|
0,979
|
0,995
|
1,018
|
0,862069
|
0,694444
|
0,416667
|
|
13
|
0,964
|
0,98
|
1,014
|
0,896552
|
0,722222
|
0,433333
|
|
13,5
|
0,958
|
0,968
|
1,01
|
0,931034
|
0,75
|
0,45
|
|
14
|
0,961
|
0,965
|
1,008
|
0,965517
|
0,777778
|
0,466667
|
|
14,5
|
0,971
|
0,969
|
1,005
|
1
|
0,805556
|
0,483333
|
|
15
|
0,987
|
0,978
|
1,002
|
1,034483
|
0,833333
|
0,5
|
|
15,5
|
1,003
|
0,991
|
1,001
|
1,068966
|
0,861111
|
0,516667
|
|
16
|
1,018
|
1,003
|
1
|
1,103448
|
0,888889
|
0,533333
|
|
16,5
|
1,028
|
1,014
|
1,001
|
1,137931
|
0,916667
|
0,55
|
|
17
|
1,03
|
1,02
|
0,999
|
1,172414
|
0,944444
|
0,566667
|
|
17,5
|
1,027
|
1,023
|
0,997
|
1,206897
|
0,972222
|
0,583333
|
|
18
|
1,018
|
1,02
|
0,997
|
1,241379
|
1
|
0,6
|
|
18,5
|
1,008
|
1,014
|
0,995
|
1,275862
|
1,027778
|
0,616667
|
|
19
|
1,007
|
1,006
|
0,993
|
1,310345
|
1,055556
|
0,633333
|
|
19,5
|
0,985
|
0,998
|
0,992
|
1,344828
|
1,083333
|
0,65
|
|
20
|
0,999
|
0,991
|
0,992
|
1,37931
|
1,111111
|
0,666667
|
|
20,5
|
0,976
|
0,986
|
0,994
|
1,413793
|
1,138889
|
0,683333
|
|
21
|
0,975
|
0,983
|
0,997
|
1,448276
|
1,166667
|
0,7
|
|
21,5
|
0,988
|
0,996
|
1
|
1,482759
|
1,194444
|
0,716667
|
|
22
|
0,997
|
0,991
|
1
|
1,517241
|
1,222222
|
0,733333
|
|
22,5
|
1,008
|
0,998
|
1,004
|
1,551724
|
1,25
|
0,75
|
|
23
|
1,015
|
1,002
|
1,006
|
1,586207
|
1,277778
|
0,766667
|
|
23,5
|
1,017
|
1,007
|
1,007
|
1,62069
|
1,305556
|
0,783333
|
|
24
|
1,017
|
1,008
|
1,008
|
1,655172
|
1,333333
|
0,8
|
|
24,5
|
1,014
|
1,008
|
1,006
|
1,689655
|
1,361111
|
0,816667
|
|
25
|
1,008
|
1,005
|
1,004
|
1,724138
|
1,388889
|
0,833333
|
|
25,5
|
1,001
|
1,004
|
1,002
|
1,758621
|
1,416667
|
0,85
|
|
26
|
0,987
|
1,002
|
1
|
1,793103
|
1,444444
|
0,866667
|
|
 
|
|
|
|
0
|
0
|
0
|
|
1,8125
|
-0,282
|
-0,255
|
|
3,5125
|
-0,547
|
-0,49
|
|
4,9625
|
-0,776
|
-0,706
|
|
6,23125
|
-0,956
|
-0,878
|
|
6,8125
|
-1,084
|
-1,01
|
|
7,275
|
-1,154
|
-1,1
|
|
7,3375
|
-1,145
|
|
7,18125
|
-1,156
|
-1,158
|
|
6,86875
|
-1,111
|
-1,138
|
|
6,48125
|
-1,053
|
-1,107
|
|
6,11875
|
-0,994
|
-1,07
|
|
5,8375
|
-0,94
|
-1,021
|
|
5,6875
|
-0,92
|
-0,982
|
|
5,675
|
-0,911
|
-0,957
|
|
5,79375
|
-0,92
|
-0,944
|
|
5,96875
|
-0,944
|
-0,941
|
|
6,1875
|
-0,974
|
-0,944
|
|
6,39375
|
-1,006
|
-0,961
|
|
6,55
|
-1,033
|
-0,98
|
|
6,61875
|
-1,049
|
-0,993
|
|
6,6125
|
-1,054
|
-1,007
|
|
6,525
|
-1,048
|
-1,014
|
|
6,4
|
-1,034
|
-1,017
|
|
6,25
|
-1,015
|
-1,019
|
|
6,11875
|
-0,995
|
-1,018
|
|
6,025
|
-0,98
|
-1,014
|
|
5,9875
|
-0,968
|
-1,01
|
|
6,00625
|
-0,965
|
-1,008
|
|
6,06875
|
-0,969
|
-1,005
|
|
6,16875
|
-0,978
|
-1,002
|
|
6,26875
|
-0,991
|
-1,001
|
|
6,3625
|
-1,003
|
-1
|
|
6,425
|
-1,014
|
-1,001
|
|
6,4375
|
-1,02
|
-0,999
|
|
6,41875
|
-1,023
|
-0,997
|
|
6,3625
|
-1,02
|
-0,997
|
|
6,3
|
-1,014
|
-0,995
|
|
6,29375
|
-1,006
|
-0,993
|
|
6,15625
|
-0,998
|
-0,992
|
|
6,24375
|
-0,991
|
-0,992
|
|
6,1
|
-0,986
|
-0,994
|
|
6,09375
|
-0,983
|
-0,997
|
|
6,175
|
-0,996
|
-1
|
|
6,23125
|
-0,991
|
-1
|
|
6,3
|
-0,998
|
-1,004
|
|
6,34375
|
-1,002
|
-1,006
|
|
6,35625
|
-1,007
|
-1,007
|
|
6,35625
|
-1,008
|
-1,008
|
|
6,3375
|
-1,008
|
-1,006
|
|
6,3
|
-1,005
|
-1,004
|
|
6,25625
|
-1,004
|
-1,002
|
|
6,16875
|
-1,002
|
-1
|
Рис. 2.7. График переходной характеристики и её составляющих
При анализе переходной характеристики видно, что время переходного
процесса tп равно примерно 0,78 с. Величина
перерегулирования составляет:
.
Итак,
мы определили качественные показатели системы регулирования скорости двигателя.
Определим:
1. установившееся значение yуст=4,25
2. максимальное значение ymax= 5,25
3. время переходного процесса tп =0,78 с - время, за которое переходная характеристика
войдет в 5% зону от установившегося значения yуст.
4. показатель колебательности m= 3
Данные значения показывают, что наша система регулирования скорости
электродвигателя является конкурентоспособной с точки зрения быстродействия.
2.4 Определение коэффициентов ошибок
Для оценки точности проектируемой системы управления необходимо
определить величину установившейся ошибки еуст - отклонение
регулируемой величины в установившемся режиме от требуемого значения,
определяемого входным управляющим сигналом:
,
где е(t)=g(t)-y(t) - изменение ошибки во времени.
Если функция входного воздействия g(t) изменяется достаточно медленно, а быстродействие достаточно
велико, так что в каждый момент времени система успевает выйти на
установившийся режим, тогда ошибку системы можно определить следующим образом:
представим однозвенную замкнутую систему в таком виде, что выходной величиной
будет значение ошибки (см. рис. 2.8.).
а)
б)
Рис. 2.8.
Для полученной системы (см. рис. 2.8., б) можно записать передаточную
функцию по ошибке:
,
где
Е(s) - изображение ошибки системы по Лапласу,
G(s) -
изображение по Лапласу задающего воздействия.
Изображение
ошибки:
.
В
выражении разложим передаточную функцию по ошибке в ряд по возрастающим
степеням оператора s в ряд Тейлора:
. 38
Величины
с0, с1, с2, …называются коэффициентами ошибок.
Они определяются согласно общему правилу разложения функции в ряд Тейлора по
формулам:
,
, …,
.
Найдем
коэффициенты ошибки по положению с0, скорости с1 и
ускорению с2 для проектируемой системы управления. Выражение для
передаточной функции разомкнутой системы имеет вид:
По
формуле определяем передаточную функцию замкнутой системы по ошибке:
Обозначим
числитель передаточной функции замкнутой системы по ошибке через U(S), а
знаменатель через V(S):
Согласно формулам имеем:
;
Поскольку
мы имеем статическую систему регулирования скорости электродвигателя, ошибка по
скорости будет не постоянна, а будет увеличиваться с течением времени. Если
необходима фиксированная ошибка по скорости, необходимо добавить в систему
интегрирующее звено ( в нашем курсовом проекте такая задача не стоит).
Таким образом, коэффициент ошибки:
по положению с0= 0,019;
Определим также величины обратные коэффициенту ошибки, называемые
добротностью:
добротность по положению d0=1/с0= 52,6;
Выводы
В
результате данной работы была разработана электромеханическая схема
регулирования скорости двигателя. Были выбраны неизвестные параметры:
коэффициент передачи ККЗ электромашинного усилителя; постоянная
времени Т2 электродвигателя постоянного тока.
Разработка системы осуществлялась с позиции
обеспечения ее конкурентоспособности, т.е: неизвестные параметры были выбраны
из тех пределов, где система будет устойчивой, были проверены запасы
устойчивости системы по амплитуде и фазе:
1) По критерию устойчивости Найквиста запасы устойчивости:
по
амплитуде
, по фазе
2) По логарифмическому критерию устойчивости Найквиста:
по
амплитуде
, по фазе
Поскольку
рекомендуемый минимальный запас по амплитуде составляет 6 дБ, а по фазе 450,
то полученные значения нас вполне устраивают. Было проверено быстродействие
системы:
время
переходного процесса
,
величина
перерегулирования
,
показатель
колебательности
. Данные значения нас полностью устраивают.
Также
была осуществлена проверка система по точности и получены следующие
коэффициенты ошибок:
- по положению с0= 0,019
Кроме того, были найдены значения величин обратных значениям
коэффициентов ошибок:
добротность по положению d0=1/с0= 52,6
Данные значения нас устраивают.
Список использованной литературы
1. И. М.
Макаров, Б. М. Менский. Линейные автоматические системы (элементы теории,
методы расчета и справочный материал). - М. Машиностроение, 1982
. В. А.
Бесекерский, Е. П. Попов. Теория систем автоматического регулирования. - М.:
Наука, 1985.
. В. С.
Нагорный, Н. Б Культин. Выбор параметров объектов и устройств управления
механическим оборудованием с использованием ЭВМ. Методические указания к
курсовому проектированию.- СПбГТУ Санкт-Петербург 1994 г.