Вивчення побудови і роботи розрядних робочих еталонів для перевірки частотомірів

  • Вид работы:
    Практическое задание
  • Предмет:
    Другое
  • Язык:
    Украинский
    ,
    Формат файла:
    MS Word
    210,62 Кб
  • Опубликовано:
    2012-12-15
Вы можете узнать стоимость помощи в написании студенческой работы.
Помощь в написании работы, которую точно примут!

Вивчення побудови і роботи розрядних робочих еталонів для перевірки частотомірів

Міністерство освіти і науки, молоді та спорту України

Національний університет"Львівська політехніка"

Інститут комп’ютерних технологій автоматики та метрології

Кафедра метрології стандартизації та сертифікації







Звіт

з навчальної дисципліни "Еталони одиниць фізичних величин"

про виконання лабораторної роботи

на тему:

"Вивчення побудови і роботи розрядних робочих еталонів для перевірки частотомірів"

Виконали: ст. гр. МС-41

Цуцей Ольга, Пеленська Ірина, Берник Наталія, Швець Ольга

Викладач: Янович Р.Р.




Львів 2012

1. Мета роботи


1.1 Вивчити принцип дії та порядок роботи стандарту частоти Ч1-50,частотного компаратора Ч7-12, синтезатора частоти Ч6-31, частотоміра Ч3-34.

.2 Вивчити методику повірки частотомірів (ГОСТ 8.329-78

.3 3дійснити метрологічну перевірку частотоміра Ч3-34 (Ч3-34А, Ч3-35).

.4 Оформити звіт.

2. Короткі теоретичні відомості


Період T - це інтервал часу, який задовольняє рівняння x (t) = x (T+ t), тобто це інтервал часу, протягом якого повторюються миттєві значення періодичного сигналу. Кількість повних циклів (періодів) зміни сигналу за одиницю часу називають циклічною частотою, або просто частотою f, яка є оберненою величиною до періоду T, тобто

= 1/T.

Частота і час нерозривно пов'язані між собою, тому вимірювання тієї чи іншої величини диктується умовами експерименту та необхідною точністю вимірювання. Діапазон вимірювання частоти в галузі вимірювань електричних і магнітних величин надзвичайно широкий - від часток герца до тисяч мегагерц, тобто від інфранизьких до надвисоких частот.


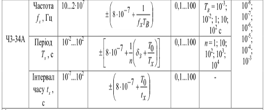
2.1 Основні технічні характеристики частотоміра Ч3-34

2.2 Схеми метрологічної перевірки


2.3Обробка результатів досліджень

 

Таблиця 1. - Результати вимірювань частотоміром Ч3-34

Виміряна частота,f

Поріг чутливості U, мВ

Похибка вимірювання частоти

1

100

28


2

42

 

 

3

58

 

 

62

 

 

5

71



6

2500,000064




Визначення основної відносної похибки вимірювання частоти:


 - похибка кварцового генератора ;

одиниця молодшого розряду к=6.

.

Допустимі значення

кГц - 000010,000 ± 0,001 кГц

кГц - 000100,000 ± 0,004 кГц

кГц - 001000,000 ± 0,031 кГц

Виміряні значення

кГц - 000010,000 кГц, 10 кГц - 000100,001 кГц

кГц - 001000,014 кГц

Визначення основної відносної похибки вимірювання періоду кварцового генератора:


де  - виміряне значення


1)      Для 100кГц:


) Для 10кГц:


) Для 1кГц:


Висновок: в даній лабораторній роботі ми вивчили принцип дії та порядок роботи стандарту частоти Ч1-50, частотного компаратора Ч7-12, синтезатора частоти Ч6-31, вольтметра В3-41, частотоміра Ч3-34, а також методику повірки частотомірів і метрологічну перевірку частотоміра Ч3-34, який виявився придатним для застосування.

Похожие работы на - Вивчення побудови і роботи розрядних робочих еталонів для перевірки частотомірів

 

Не нашли материал для своей работы?
Поможем написать уникальную работу
Без плагиата!
Без нейросетей!