Расчет ременной передачи лесопильной рамы

  • Вид работы:
    Контрольная работа
  • Предмет:
    Другое
  • Язык:
    Русский
    ,
    Формат файла:
    MS Word
    256,33 Кб
  • Опубликовано:
    2012-09-14
Вы можете узнать стоимость помощи в написании студенческой работы.
Помощь в написании работы, которую точно примут!

Расчет ременной передачи лесопильной рамы

Задание


Рассчитать параметры ременной передачи и на их основе разработать конструкцию шкивов.

Параметр

Тип оборудования

Р1, кВт

n1, мин-1

U

Тип передачи

Число смен работы

Т2

3

730

2.9

К

2


Примечание: Т2 - привод лесопильных рам

К - клиноременная

Содержание

Введение

. Расчет ременной передачи

.1 Выбор сечения ремня

.2 Диаметры шкивов

.3 Действительное передаточное число

.4 Частота вращения ведомого шкива

.5 Расчетное межосевое расстояние

.6 Длина ремня

.7 Фактическое межосевое расстояние

.8 Угол обхвата ремнём малого шкива

.9 Скорость ремня

.10 Число клиновых ремней

.11 Силы, действующие в передаче

.12 Проверочные расчеты

.13 Сила давления на вал

.14 Результаты расчетов (таблица 1)

.15 Разработка конструкции шкива

Заключение

Список использованных источников

Введение

В данной расчетно-графической работе мы рассматриваем ременную передачу лесопильной рамы. Ременная передача состоит из двух шкивов, закрепленных на валах, и ремня, охватывающего шкивы. В зависимости от формы поперечного сечения ремня различают: плоскоременную, клиноременную и круглоременную передачи. В данной расчетно-графической работе используется клиноременная передача. В этой передаче ремень имеет клиновую форму поперечного сечения и располагается в соответствующих канавках шкива.

1. Расчет ременной передачи

Исходные данные:

- мощность на ведущем валу,

- частота вращения ведущего шкива,

- передаточное число привода,

 - количество смен,

Тип передачи - клиновой ремень.

Рисунок 1. Эскиз поперечного сечения ремня

1.1    Выбор сечения ремня

1.       Расчетный вращающий момент


2.       Профиль ремня

Тип сечения A - принимаем по таблице 1.1 [1].

Основные параметры ремня :, ,

Площадь сечения

1.2    Диаметры шкивов

1.       Расчетный диаметр малого (ведущего) шкива


 - принимаем из стандартного ряда диаметров шкивов

2.       Расчетный диаметр большого (ведомого) шкива


где  - коэффициент упругого скольжения,

 - принимаем из стандартного ряда диаметров шкивов

1.3    Действительное передаточное число


1.4 Частота вращения ведомого шкива



1.5 Расчетное межосевое расстояние


Из стандартного ряда линейных размеров принимаем a=360

1.6 Длина ремня


Принимаем из стандартного ряда длин ремней

1.7 Фактическое межосевое расстояние

,

Принимаем из стандартного ряда линейных размеров amin=450мм

.

Принимаем из стандартного ряда линейных размеров amax=530мм

1.8    Угол обхвата ремнём малого шкива

1.9 Скорость ремня


,  - допускаемая скорость ремня

1.10 Число клиновых ремней


где  - номинальная мощность, передаваемая одним ремнем

 - коэффициент угла обхвата на меньшем шкиве

 - коэффициент длины ремня

 - коэффициент, учитывающий число ремней в передаче


1.11 Силы, действующие в передаче

Окружная сила


Сила предварительного натяжения ремня

Сила натяжения ведущей ветви ремня


1.12  Проверочные расчеты

ремень шкив передаточный вал

1.       Напряжение растяжения ведущей ветви ремня


2.       Напряжения изгиба

,

где  - модуль продольной упругости при изгибе,

.

3.       Напряжения в ремне от центробежных сил

,

где  - плотность материала ремня,

.

4.       Максимальные напряжения в ремне

,

где  - допускаемые напряжения растяжения для клиновых ремней.

5.       Частота пробегов ремня

,

, где - допускаемая частота пробегов клинового ремня.

1.13  Сила давления на вал


1.14  Результаты расчетов (таблица 1)

Таблица 1. Результаты расчётов

Параметр

Значение

Параметр

Значение

Сечение ремня, мм

A

121.862


160183.207




475754.463




2.9996.113




4753.05




2000 5.603




14030




420




490.75710





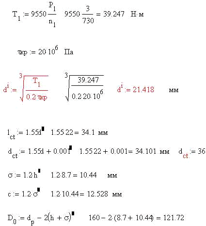
1.15 Разработка конструкции шкива

- вращающий момент, передаваемый валом,

- расчетный диаметр шкива,

- число ремней

Рисунок 2. Эскиз шкива


Заключение

В результате выполнения расчетно-графической работы я научилась рассчитывать параметры ременной передачи и на их основе разрабатывать конструкцию шкива.

Список использованных источников

1. Васильев А.С., Селиверстов А.А. Расчет механических передач: Методическое пособие. Петрозаводск. Издательство ПетрГУ,2008.- 53-71с.

. Дунаев П. Ф. Конструирование узлов и деталей машин: Учеб. пособие для студ. техн. спец. вузов / П. Ф. Дунаев, О. П. Леликов. - 8-е изд., перераб. и доп. - М.: Издательский центр «Академия», 2003. - 496 с.


Не нашли материал для своей работы?
Поможем написать уникальную работу
Без плагиата!
Без нейросетей!