Проектирование составов тяжелого цементобетона и асфальтобетона
Федеральное
агентство по образованию
Уральский
Государственный Лесотехнический Университет
Кафедра
транспортного и дорожного строительства
Курсовая
работа
по
дисциплине Материаловедение
Тема:
"Проектирование составов тяжелого цементобетона и асфальтобетона"
Выполнил:
Студент: Матушкин
А. В.
Проверила: Гриневич
Н.А.
Задание
на курсовую работу по
"Материаловедению" студента специальности 270800
II
курса заочного факультета
Часть №1. Проектирование состава тяжёлого
цементобетона
1. Общие
положения (основные сведения о цементобетоне).
2. Исходные
данные (физико-механические характеристики применяемых материалов).
3. Задание
на проектирование (даны: класс бетона, коэффициент вариации - определить марку
бетона; задана удобоукладываемость бетонной смеси, объём бетоносмесителя).
4. Изобразить
номограмму В.П. Сизова для определения марки бетона и график Миронова для
определения водопотребности бетонной смеси.
5. Рассчитать
состав цементобетона, т.е. найти количество щебня, песка, цемента и воды,
необходимое для получения 1 куб.м бетонной смеси.
6. Проверка
качества расчёта: по фактической плотности, по удобоукладываемости и по марки
полученного цементобетона.
7. Пересчитать
лабораторный состав цементобетона на производственный.
8. Определить
коэффициент выхода бетонной смеси.
9. Определить
расход материалов (Щ, П, Ц, В), кг, на замес бетоносмесителя.
Часть №2. Проектирование состава асфальтобетона
1. Общие
положения (основные сведения об асфальтобетоне).
2. Исходные
данные (физико-механические характеристики применяемых материалов).
3. Задание
на проектирование.
4. Расчёт
минеральной части асфальтобетона.
5. Расчёт
оптимального содержания битума.
6. Построить
графики предельных кривых.
7. Определение
основных свойств полученного асфальтобетона.
8. Представить
таблицу по физико-механическим свойствам полученного асфальтобетона.
9. Контроль
качества покрытия из асфальтобетона, отбор кернов, определение коэффициента
уплотнения.
Варианты курсовой работы для студентов
спец.270800 по "Материаловедению"
цементобетон
асфальтобетон водопотребность керн
Часть №1. Задание для проектирования
цементобетона
|
Номер,
№
|
Назначение
материала
|
Класс
бетона, МПа
|
Коэффициент
вариации, С
|
Удобоукладываемосгь
ОК,см; Ж,с
|
Объём
Б/см, л
|
|
1
|
н/сл
2-х слойн. дор.покрытия
|
23
|
13,5
|
2-3
|
1600
|
|
2
|
в/сл
2-х слойн. дор.покрытия
|
42
|
10
|
2-3
|
600
|
|
3
|
однослойное
дор.покрытие
|
31
|
13,5
|
2-3
|
-
|
800
|
|
4
|
основание
под дор.покрытия
|
16
|
10
|
4
|
1600
|
|
5
|
н/сл
2-х слойн. дор.покрытия
|
22
|
13,5
|
2
|
800
|
|
6
|
в/сл
2-х слойн. дор.покрытия
|
33
|
10
|
1
|
1200
|
|
7
|
однослойное
дор.покрытие
|
22
|
13,5
|
3
|
-
|
800
|
|
8
|
основание
для дор.покрытия
|
12
|
10
|
-
|
4
|
600
|
|
9
|
н/сл
2-х слойн. дор.покрытия
|
22
|
5
|
1
|
1200
|
|
10
|
в/сл
2-х слойн. дор.покрытия
|
31
|
13,5
|
2
|
1200
|
|
11
|
однослойное
дор.покрытие
|
33
|
10
|
3
|
-
|
600
|
|
12
|
основание
для дор.покрытия
|
9
|
5
|
-
|
5
|
600
|
|
13
|
н/сл
2-х слойн. дор.покрытия
|
18
|
13,5
|
1
|
1200
|
|
14
|
в/сл
2-х слойн. дор.покрытия
|
28
|
10
|
2
|
1600
|
|
15
|
н/сл
2-х слойн. дор.покрытия
|
22
|
5
|
1
|
600
|
|
16
|
в/сл
2-х слойн. дор.покрытия
|
27
|
13,5
|
2
|
1600
|
|
17
|
однослойное
дор.покрытие
|
37
|
10
|
1
|
-
|
1200
|
|
18
|
основание
под дор.покрытие
|
22
|
5
|
-
|
4
|
1200
|
|
19
|
в/сл
2-х слойн. дор.покрытия
|
37
|
13,5
|
2
|
600
|
|
20
|
в/сл
2-х слойн. дор.покрытия
|
42
|
10
|
3
|
800
|
|
21
|
однослойное
дор.нокрытие
|
26
|
5
|
2
|
-
|
1200
|
|
22
|
основание
под дор.покрытие
|
10
|
13,5
|
-
|
4
|
800
|
|
23
|
н/сл
2-х слойн. дор.покрытия
|
27
|
10
|
3
|
1600
|
|
24
|
в/сл
2-х слойн. дор.покрытия
|
37
|
5
|
2
|
800
|
|
25
|
однослойное
дор.покрытие
|
31
|
13,5
|
1
|
-
|
600
|
|
26
|
осн.
под дор.покр.
|
7
|
10
|
-
|
4
|
1200
|
|
27
|
н/сл
2-х слойн. дор.покрытия
|
27
|
5
|
1
|
800
|
|
28
|
в/сл
2-х слойн. дор.покрытия
|
38
|
13,5
|
3
|
600
|
|
29
|
однослойное
дор.покрытие
|
25
|
10
|
1
|
-
|
1600
|
|
30
|
осн.
под дорожное покрытие
|
23
|
5
|
3
|
800
|
Исходные данные для проектирования цементобетона
|
№
|
Цемент
|
Песок
речной
|
Щебень
дробленый
|
|
Rц,
МПа
|
ρц г/ см3
|
ρц нас, г/
СМ3
|
ρ, г/см3
|
ρнас, г/ СМ3
|
Мкр
|
W,%
|
ρг/см3
|
ρнас г/см3
|
НКЗ,
мм
|
W,%
|
|
1
|
50
|
3,1
|
1,4
|
2,6
|
1,5
|
2,0
|
4,0
|
3,0
|
1,8
|
40
|
3,0
|
|
2
|
60
|
3,1
|
1,3
|
2,5
|
1,9
|
2,5
|
6,0
|
3,1
|
1,9
|
20
|
0
|
|
3
|
50
|
3,0
|
1,3
|
2,6
|
1,5
|
1,5
|
3,0
|
3,1
|
1,8
|
40
|
2,0
|
|
4
|
30
|
3,2
|
1,4
|
2,6
|
1,6
|
2,0
|
4,0
|
3,0
|
1,7
|
40
|
1,0
|
|
5
|
50
|
3,1
|
1,3
|
2,5
|
1,6
|
2,5
|
5,0
|
2,8
|
1,8
|
40
|
1,0
|
|
6
|
50
|
3,1
|
1,4
|
2,7
|
1,6
|
1,5
|
2,0
|
3,0
|
1,7
|
10
|
2,0
|
|
7
|
50
|
3,2
|
1,5
|
2,5
|
1,5
|
2,0
|
4,0
|
3,0
|
1,8
|
40
|
2,0
|
|
8
|
30
|
3,0
|
1,1
|
2,5
|
1,6
|
2,5
|
1,0
|
3,1
|
1,8
|
40
|
3,0
|
|
9
|
40
|
3,0
|
1,3
|
2,5
|
1,5
|
6,0
|
3,0
|
1,9
|
40
|
2,0
|
|
10
|
50
|
3,1
|
1,2
|
2,6
|
1,6
|
2,0
|
4,0
|
2,9
|
1,9
|
10
|
2,0
|
|
11
|
60
|
3,0
|
1,4
|
2,5
|
1,5
|
2,5
|
3,0
|
3,1
|
1,8
|
40
|
3,0
|
|
12
|
30
|
3,1
|
1,4
|
2,4
|
1,5
|
1,5
|
2,0
|
3,2
|
1,9
|
40
|
2,0
|
|
13
|
40
|
3,0
|
1,2
|
2,4
|
1,6
|
2,0
|
2,0
|
2,7
|
1,8
|
40
|
2,0
|
|
14
|
50
|
3,0
|
1,3
|
2,4
|
1,6
|
2,5
|
1,0
|
2,8
|
1,8
|
20
|
3,0
|
|
15
|
40
|
3,0
|
1,1
|
2,4
|
1,5
|
1,5
|
4,0
|
2,7
|
1,7
|
40
|
1,0
|
|
16
|
50
|
3,0
|
1,2
|
2,4
|
1,5
|
2,0
|
3,0
|
2,7
|
1,7
|
20
|
2,0
|
|
17
|
50
|
3,1
|
1,3
|
2,4
|
1,5
|
2,5
|
2,0
|
3,2
|
1,7
|
40
|
1,0
|
|
18
|
40
|
3,1
|
1,3
|
2,6
|
1,5
|
1,5
|
3,0
|
2,6
|
1,7
|
70
|
2,0
|
|
19
|
50
|
3,2
|
1,4
|
2,7
|
1,6
|
2,0
|
3,0
|
3,1
|
1,8
|
40
|
0
|
|
20
|
60
|
3,2
|
1,2
|
2,5
|
1,6
|
2,5
|
6,0
|
3,1
|
1,8
|
10
|
2,0
|
|
21
|
50
|
3,2
|
1,3
|
2,7
|
1,6
|
1,5
|
4,0
|
3,2
|
1,9
|
40
|
0
|
|
22
|
30
|
3,2
|
1,3
|
2,5
|
1,5
|
2,5
|
4,0
|
2,7
|
1,7
|
70
|
1,0
|
|
23
|
50
|
3,2
|
1,3
|
2,7
|
1,5
|
2,0
|
2,0
|
3,1
|
1,9
|
40
|
3,0
|
|
24
|
50
|
3,2
|
1,3
|
2,7
|
1,6
|
1,5
|
4,0
|
3,0
|
1,8
|
10
|
2,0
|
|
25
|
60
|
3,1
|
1,4
|
2,7
|
1,7
|
2,5
|
2,0
|
3,1
|
1,7
|
40
|
2,0
|
|
26
|
30
|
3,0
|
1,2
|
2,4
|
1,4
|
2,0
|
2,0
|
2,8
|
1,8
|
70
|
1,0
|
|
27
|
50
|
3,1
|
1,2
|
2,6
|
1,6
|
2,5
|
5,0
|
2,9
|
1,8
|
40
|
3,0
|
|
28
|
60
|
3,2
|
1,4
|
2,6
|
1,5
|
1,5
|
3,0
|
2,9
|
1,8
|
20
|
1,0
|
|
29
|
40
|
3,0
|
1,2
|
2,6
|
1,6
|
2,0
|
3,0
|
3,0
|
1,9
|
40
|
2,0
|
|
30
|
40
|
3,1
|
1,2
|
2,7
|
1,7
|
2,5
|
1,0
|
2,9
|
1,8
|
40
|
2,0
|
Часть №2. Исходные данные для проектирования
минеральной части асфальтобетона.
|
№
|
Щебень
|
Песок
|
Мин.порошок
|
Строит
тип а/б
|
|
20
|
15
|
10
|
5
|
2,5
|
2,5
|
1,25
|
0,63
|
0315
|
0,16
|
0,071
|
0,16
|
0,071
|
менее
0,071
|
|
|
1
|
5
|
7
|
273
|
53,4
|
7,7
|
8,5
|
35,3
|
26,7
|
16,6
|
10,8
|
2,1
|
10,0
|
10,0
|
80,0
|
А
|
|
2
|
3,0
|
17,0
|
20,1
|
52,0
|
7,9
|
8,7
|
353
|
26,4
|
16,4
|
11,0
|
2,2
|
5,0
|
15,6
|
79,4
|
Б
|
|
3
|
-
|
12,0
|
28,9
|
51,0
|
8,1
|
8,9
|
353
|
26,1
|
16,2
|
11,2
|
23
|
11,2
|
10,0
|
78,8
|
В
|
|
4
|
2,0
|
17,3
|
22,4
|
50,0
|
8,3
|
9,1
|
353
|
25,8
|
16,0
|
11,4
|
2,4
|
6,8
|
15,0
|
78,2
|
Бх
|
|
5
|
2,5
|
15,0
|
25,0
|
49,0
|
8,5
|
93
|
35,3
|
25,5
|
11,6
|
2,5
|
7,4
|
15,0
|
77,6
|
Вх
|
|
6
|
33
|
17,0
|
20,0
|
48,0
|
8,7
|
9,5
|
35,3
|
25,2
|
15,6
|
11,8
|
2,6
|
3,0
|
203
|
77,0
|
А
|
|
7
|
-
|
20,0
|
24,1
|
47,0
|
8,9
|
9,7
|
35,3
|
24,9
|
15,4
|
12,0
|
2,7
|
3,6
|
20,0
|
76,4
|
Б
|
|
8
|
4,9
|
15,0
|
25,0
|
46,0
|
9,1
|
9,9
|
353
|
24,6
|
15,2
|
12,2
|
3,8
|
4,2
|
20,0
|
75,8
|
В
|
|
9
|
3,2
|
20,0
|
22,0
|
45,0
|
9,8
|
10,1
|
35,3
|
243
|
15,0
|
12,4
|
2,9
|
5,8
|
19,0
|
75,2
|
Бх
|
|
10
|
2,5
|
20,0
|
24,0
|
44,0
|
9,5
|
103
|
353
|
24,0
|
14,8
|
12,6
|
3,0
|
5,4
|
20,0
|
74,6
|
Вх
|
|
11
|
-
|
12,3
|
35,0
|
43,0
|
9,7
|
10,5
|
35,3
|
23,7
|
14,6
|
12,8
|
3,1
|
6,0
|
20,0
|
74,0
|
А
|
|
12
|
-
|
18,1
|
30,0
|
42,0
|
9,9
|
10,7
|
35,3
|
23,4
|
14,4
|
13,0
|
3,2
|
6,6
|
20,0
|
73,4
|
Б
|
|
13
|
-
|
10,8
|
38,1
|
41,0
|
10,1
|
10,9
|
35,3
|
23,1
|
14,2
|
13,2
|
33
|
8,2
|
19,0
|
72,8
|
В
|
|
14
|
-
|
11,6
|
38,1
|
40,0
|
юз
|
11,1
|
35,3
|
22,8
|
14,0
|
13,6
|
3,2
|
7,8
|
20,0
|
72,2
|
Бх
|
|
15
|
-
|
14,3
|
36,2
|
39,0
|
10,5
|
11,3
|
35,7
|
22,5
|
13,8
|
13,6
|
3,1
|
9,4
|
19,0
|
Л,6
|
Вх
|
|
16
|
3,2
|
10,0
|
33,3
|
44,0
|
9,5
|
133
|
37,7
|
19,5
|
113
|
15,6
|
2,6
|
5,8
|
19,0
|
75,2
|
А
|
|
17
|
2,3
|
10,0
|
35,0
|
43,0
|
9,7
|
13,5
|
37,7
|
19,2
|
11,6
|
15,8
|
2,2
|
3,2
|
21,0
|
75,8
|
Б
|
|
18
|
3,1
|
15,0
|
30,0
|
42,0
|
9,9
|
14,7
|
36,7
|
18,9
|
11,4
|
16,0
|
23
|
5,6
|
18,0
|
76,4
|
В
|
|
19
|
-
|
10,8
|
38,1
|
41,0
|
10,1
|
13,9
|
37,7
|
18,6
|
11,2
|
16,2
|
2,4
|
4,0
|
19,0
|
77,0
|
Бх
|
|
20
|
1,6
|
10,0
|
38,1
|
40,0
|
103
|
14,1
|
37,5
|
18,5
|
11,0
|
16,4
|
2,5
|
3,4
|
19,0
|
77,6
|
А
|
|
21
|
-
|
143
|
36,2
|
39,0
|
10,5
|
153
|
36,7
|
18,0
|
10,8
|
16,6
|
2,6
|
1,8
|
20,0
|
78,2
|
Б
|
|
22
|
3,2
|
10,0
|
333
|
44,0
|
9,5
|
8,5
|
35,3
|
26,7
|
16,6
|
10,8
|
2,1
|
4,6
|
16,0
|
79,4
|
В
|
|
23
|
4,0
|
10,1
|
42,0
|
ззз
|
10,6
|
9,1
|
353
|
25,8
|
16,0
|
11,4
|
2,4
|
2,1
|
19,1
|
78,8
|
Бх
|
|
24
|
3,5
|
10,2
|
50,0
|
28,0
|
83
|
8,7
|
353
|
26,4
|
16,4
|
11,0
|
2,2
|
3,0
|
17,0
|
80,0
|
Вх
|
|
25
|
4,1
|
10,2
|
36,2
|
38,0
|
11,5
|
10,1
|
35,3
|
243
|
15,0
|
12,4
|
2,9
|
7,2
|
21,8
|
71,0
|
А
|
|
26
|
1/5
|
10,1
|
28,1
|
40,0
|
103
|
юз
|
35,3
|
24,0
|
14,8
|
12,6
|
3,0
|
4,4
|
21,0
|
74,6
|
Б
|
|
27
|
0,8
|
10,0
|
38,1
|
41,0
|
10,1
|
10,5
|
35,3
|
14,6
|
12,8
|
3,1
|
5,1
|
20,8
|
74,1
|
В
|
|
28
|
1,6
|
9,0
|
34,4
|
42,8
|
12,2
|
10,9
|
35,3
|
23,1
|
14,2
|
13,2
|
33
|
6,4
|
20,8
|
72,8
|
Бх
|
|
30
|
2,5
|
11,5
|
30,0
|
47,9
|
8,1
|
8,5
|
35,2
|
26,8
|
16,6
|
10,9
|
2,0
|
1,1
|
20,0
|
78,9
|
Вх
|
Содержание
Часть 1. Проектирование состава
тяжелого цементобетона
.1 Общие положения
.2 Проектирование
.3 Определение состава цементобетона
.4 Приготовление пробного замеса
.5 Расчет производственного сотава
бетона
Часть 2. Проектирование состава
асфальтобетона
.1 Общие положения
.2 Исходные данные
.3 Задание на проектирование
.4 Расчет минеральной части
асфальтобетона
Часть 1. Проектирование состава тяжелого
цементобетона
1.1 Общие
положения
Бетоном называют искусственный каменный
материал, получаемый после затвердевания бетонной смеси - рационально
подобранной, тщательно дозированной, перемешенной и уплотненной смеси
минерального вяжущего, воды, крупного и мелкого заполнителей и различных
добавок.
В строительстве дорог наибольшее применение
имеет тяжелый цементный бетон плотностью 2100….2500кг/м3 на
заполнителях из плотных горных пород и некоторых промотходов. В качестве мелких
заполнителей используют различные пески и отсев камнедробления. Качество бетона
в большей степени зависит от используемых материалов, поэтому их правильный
выбор, учитывающий как требования к бетону, так и свойства самих материалов,
имеет важное значение в технологии. При этом должны учитываться экономические
условия и экономические нормативы.
Подбор состава бетона включает в себя:
· Назначение требований к бетону исходя из вида и
особенностей изготовления и последующей эксплуатации изделия;
· Выбор материалов для бетона и
определение их свойств;
· Расчет номинального состава бетона;
· Приготовление и испытание бетонной
смеси на пробных замесах;
· Формование и испытание бетонных
образцов их пробных замесов;
· Обработку результатов и уточнение
номинального состава;
· Переход от номинального состава к
рабочему с учетом колебаний свойств заменителей;
· Передачу в производство рабочих
дозировок с учетом объёмов замеса.
В итоге подбора состава должны быть выполнены
два основных условия: бетон должен иметь заданную прочность, а бетонная смесь -
заданную удобоукладываемость.
Прочность бетона характеризуется классами,
которые определяются величиной гарантированной на сжатие с обеспеченностью
0.95. На производстве контролируют марку или среднюю прочность бетона. Между
классом и средней прочностью имеется зависимость. Бетон
подразделяется на классы: В1; В1.5; В2; В2.5; В3; В3.5; В5; В7.5; В10; В12.5;
В15; В20; В25; В30; В40; В50; В55; В60. На марки бетон подразделяется следующим
образом: М50; М75; М100;М150; М200; М250; М300; М350; М400; М450; М500; М600 и
выше через 100. Прочность
определяется пределом прочности при сжатии стандартных бетонных образцов -
кубов размером 15х 15х15 см, испытанных через 28 суток твердения в нормальных
условиях (температура 16-20 0С, относительная влажность окружающего
воздуха 90….100%). При использовании кубов с другими размерами вводят
переходной коэффициент, на который умножается полученная прочность:
Таблица №1
|
Размер
ребра куба, см
|
7
|
10
|
15
|
20
|
30
|
|
Масштабный
коэффициент
|
0,85
|
0,95
|
1,00
|
1,05
|
1,10
|
Удобоукладываемость (формуемость) - способность
бетонной смеси растекаться и принимать заданную форму, сохраняя монолитность и
однородность - является главным свойством бетонной смеси. Удобоукладываемость в
производственных условиях оценивают через подвижность (жёсткость) двумя
способами: по осадке конуса для пластичных и по времени растекания на
техническом вискозиметре для жёстких смесей. Другие свойства смесей:
уплотняемость, расслаиваемость, однородность, воздухововличение, вязкость и др.
изучаются в научно - исследовательских лабораториях.
1.2 Проектирование
Средняя (расчетная) прочность бетона.
Прочность бетона характеризуется классами. Между
классом бетона В и его средней кубиковой прочностью Rб
принимаемой за расчетную, имеется зависимость:
(1)
где t
- коэффициент, характеризующий принятую обеспеченность класса бетона.
при обеспеченности 0.95, t=1.645;
- коэффициент
вариации прочности бетона, %.
За нормативный коэффициент вариации принимают
При указанных значениях t
и vВ
расчетную кубиковую прочность определяют по формуле:
По графику В.П.Сизова (рис.1), определяют
расчетную прочность бетона (марку). При классе бетона по прочности на сжатие
В45, марка - М450.
Качество бетонной смеси
Для данной конструкции с подвижностью ОК 2 см,
П1 - подвижная бетонная смесь.
Характеристика цемента.
Марка цемента М500 для бетона М450. Для
экономного расходования цемента необходимо, чтобы его марка превышала заданную
прочность бетона. Портландцемент активностью 500 кг/см2, плотностью
3.2 г/см3 и насыпной плотностью 1.4 г/см3.
Рекомендуется применять добавки
поверхностно-активных веществ (ПАВ), позволяющих улучшить структуру и свойства
затвердевшего бетона, его коррозионную стойкость и морозостойкость, а также
экономить цемент.
Характеристика заполнителей и воды.
В качестве крупного заполнителя в тяжелом бетоне
обычно используют щебеночные и гравийные материалы естественного происхождения
из плотных горных пород.
Для бетона класса В45 рекомендуется использовать
особовысококачественный щебень из незатронутых выветриванием прочных
изверженных пород с шероховатой поверхностью излома (мелкокристаллические
граниты, деориты). Щебень с наибольшей крупностью зерен 40 мм, влажностью 0 %,
плотностью 3.1 г/см3 и насыпной плотностью 1.8 г/см3.
Основным мелким заполнителем для бетона является
природный речной песок с модулем крупности Мкр 2.5, влажностью 3.0
%, плотностью 2.7 г/см3 и насыпной плотностью 1.6 г/см3.
Для приготовления бетонной смеси и поливки
бетона в процессе твердения допускается применять воду из хозяйственного
водопровода, имеющую водородный показатель рН не менее 4 и содержащую
минеральные соли не более 5%.
Твердение происходит в естественных условиях.
Материалы для приготовления бетона должны
отвечать требованиям стандартов на эти материалы.
.3 Определение
состава цементобетона
Определяем расход воды на 1м3 бетона:
Рис. 1. График водопотребности бетонных смесей
жестких (а) и пластичных (б), приготовленных с применением портландцемента,
песка средней крупности и гравия наибольшей крупности:
1 - 80 мм; 2 - 40 мм; 3 - 20 мм; 4 - 10 мм (при
использовании вместо гравия щебня расход воды увеличивают на 10 л. При
использовании пуццоланового портландцемента расход воды увеличивают на 15-20 л.
При применении мелкого песка расход воды увеличивают на 10-20 л).
Так как осадка конуса равна 2 см, а наибольшая
крупность щебня 40 мм, то расход воды составил 175 л.
Определяем расход цемента на 1м3
бетона:
(3)
Водоцементное отношение:
Определяем расход щебня на 1м3
бетона:
(5)
Межзерновая пустотность:
Определяем расход песка на 1м3
бетона:
.4 Приготовление
пробного замеса
Пробный замес приготавливается из расчета на
10литров:
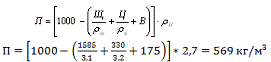
Таблица №3
|
Материалы
|
Расход
материалов, кг
|
Добавки,
кг
|
Фактический
расход материалов, кг
|
|
На
1000л
|
На
10л
|
|
|
|
Щебень
|
1585
|
15,85
|
-
|
15,85
|
|
Песок
|
569
|
5,69
|
-
|
5,69
|
|
Цемент
|
330
|
3,3
|
0,5
|
3,8
|
|
Вода
|
175
|
1,75
|
0,36
|
2,11
|
Материалы отвешивают из расчета на 10 литров,
помещают на металлический блок и перемешивают до получения однородной смеси.
Определение теоретической плотности бетонной
смеси.
Теоретическая плотность определяется по формуле:
Определение фактической плотности бетонной
смеси.
Свежеприготовленную БС с заданной подвижностью
укладывают в мерный сосуд и вибрируют на стандартной виброплощадке до
прекращения осаждении БС и выделения из нее пузырьков воздуха.
Фактическую
среднюю плотность вибрированной БС в кг/м3 вычисляют по формуле
,
где m1
и m2
- массы пустого сосуда и сосуда АБС
V - объем сосуда, л
.5 Расчет
производственного состава бетона
Пересчет лабораторного состава на
производственный.
Номинальный состав бетона определяют на сухих
фракционных заполнителях. Каждая фракция должна быть чистой, не засоренной
другими фракциями. В производственных условиях обычно наблюдается увлажнение, а
также взаимное засорение фракции.
Расход заполнителя и воды в рабочем составе с
учетом фракционной влажности заполнителей определяют по формуле
8. Коэффициент
выхода БС
При изготовлении БС происходит как бы уменьшение
обычного общего объема материала, т.к. зерна песка располагаются между зернами
щебня, а частицы цемента между зернами песка. Поэтому если насыпать в емкость
Щ, П, Ц и перемешать, то объем смеси будет меньше первоначальной суммы объемов.
Степень уменьшения объема характеризуется коэффициентом выхода бетона.
9. Расход
материалов на один замес бетоносмесителя.
Часть 2.
Проектирование состава асфальтобетона
2.1 Общие
положения
Асфальтобетон-это искусственный каменный
материал, полученный в результате уплотнения и охлаждения асфальтобетонной
смеси, состоящей из щебня или гравия, песка, минерального порошка, битума.
Классификация асфальтобетонов (ГОСТ 9128-97)
I по виду
заполнителя
щебёночные
гравийные
песчаные
II В
зависимости от температуры укладки и вязкости применяемого битума:
I горячие,
приготовляемые на вязких битумах, при температуре 120-160 градусов и
укладываемые в покрытие при температуре не ниже 120 градусов, формирование
структуры бетона в основном заканчивается в период уплотнения. Используются
битумы марок: БНД 40/60, БНД 60/90, БНД 90/130, БНД 130/200, БНД 200/300, БНД
0/90, БН 90/130, БН 130/200, БН 200/300, а также жидкие битумы СГ 130/200
II Холодные,
приготавливаемые на жидких битума, при температуре 80-120, укладываемые при
температуре не ниже 5 градусов. Холодные смеси до их укладки на дорогу можно
хранить 4-8 месяцев. Формирование холодного асфальтобетона продолжается 4-10
месяцев, в зависимости от класса жидкого битума, погодных условий и степени
доуплотняющего воздействия автотранспорта. Используются битумы марок: СГ
170/200, СГ 70/130 (средне густеющие), МГ 130/200, МГ 70/130 (медленно
густеющие, окисленные)
III по
крупности заполнителя:
Горячие 1 крупнозернистые, с размером зёрен до
40 мм
мелкозернистые, размером зёрен до 20 мм
песчаные, с размером зёрен до 5 мм
Холодные 1 мелкозернистые до 20 мм
песчаные до 5 мм
IV по
структурным признакам (плотности, пористости)
Горячие
высокоплотные, с остаточной пористостью от 1,0
до 2,5%, применяемые в верхнем слое покрытий и литых асфальтобетонах и
содержащие повышенное количество минерального порошка
плотные, с остаточной пористостью 2,5-5,0%
объёма, применяемые в однослойных и верхних слоях двухслойных покрытий и
обязательно содержащие минеральный порошок.
пористые, с остаточной пористостью5-10% объёма,
применяемые в нижних слоях покрытий и верхних слоях оснований при пониженном
содержании или отсутствии минерального порошка.
высокопористые с остаточной пористостью 10-18%
объёма, применяемые в слоях оснований при пониженном содержании или отсутствии
минерального порошка.
Холодные
плотные, с остаточной пористостью 6-10% из-за
начального недоуплотнения, но в процессе формирования их плотность повышается.
V В зависимости от
содержания щебня (гравия) подразделяются на типы
Горячие 1 тип А с содержанием щебня свыше 50-60%
тип Б с содержанием щебня (гравия) свыше 40-50%
тип В с содержанием щебня (гравия) свыше 30-40%
В зависимости от вида песка
тип Г на песках из отсевов дробления, а также на
их смесях с природным песком при содержании последнего не более 30% по массе
тип Д на природных песках или смесях природных
песков с отсевами дробления при содержании последних не менее 70% по массе
Холодные 1 тип Б щебень, гравий 40-50%
тип В щебень, гравий 30-40%
тип Г дроблёный песок
тип Д природный песок
IV По
физико-механическим свойствам, устанавливающим качество делят на три марки (I-высшее
качество к III низшее)
Горячие 1 высокоплотные I
плотные А I,
II
Б и Г I,
II, III
В и Д II,
III
пористые
Высокопористые I,
II
Холодные на две марки
Б, В I
II
Г I
II
Д II
VII В
зависимости от значения суммарной удельной эффективности естественных
радионуклеидов А в применяемых минеральных материалах смеси бывают
А до 740 Бк/кг - для строительства дорог и
аэродромов без ограничений
А свыше 740 до 2800 Бк/кг для строительства вне
населённых пунктов и зон перспективной застройки
VIII
Качественный асфальтобетон должен быть однородным, однородность устанавливают
по коэффициенту вариации
Горячие R
I марка не >0,16
II марка не
>0,18
III марка не
>0,20
Холодные: водонасыщеные
I марка не >0,15
II марка не
>0,15
Применение асфальтобетонов
Горячие асфальтобетоны применяют на дорогах всех
технических категорий во всех дорожно-климатических зонах
"+" имеют высокую плотность и
прочность, быстрый срок формирования структуры, следовательно, открывать
движение транспорта можно через через 1-3 суток по мере остывания покрытия
"-" ограниченный радиус доставки 30-50
км. Холодные асфальтобетоны применяют на дорогах не выше III
категории во II-IV
дорожно-климатических зонах.
"-" в виду пониженной вязкости жидких
битумов они имеют низкую плотность и прочность, более длительный срок
формирования структуры, следовательно, движение открывается через 15-30 дней
"+" - неограниченный радиус доставки
готовить холодную смесь можно круглосуточно
возможность укладки тонким слоем
Крупнозернистый асфальтобетон применяют для
устройства нижнего слоя покрытия, шероховатая поверхность, которого
обеспечивает хорошее сцепление с верхним слоем
Среднезернистый асфальтобетон применяют для
устройства однослойного покрытия, а также для верхнего слоя покрытия на
участках дороги с большими продольными уклонами при тяжёлом и интенсивном
движении.
Мелкозернистый асфальтобетон применяют для
устройства покрытий при интенсивном движении и верхнего слоя и верхнего слоя
двухслойных покрытий. Он обладает высокой сопротивляемостью механическими
воздействиями и атмосферными факторами.
Песчаный асфальтобетон применяется на дорогах с
лёгким движением, а также полов в цехах промышленных предприятиях, тротуаров,
отмосток и т.д.
Холодные мелкозернистые асфальтобетонные смеси
используются для устройства покрытий на дорогах облегчённого типа.
Холодные крупнозернистые смеси применяют для
устройства нижних слоёв покрытий и оснований.
Битумоминеральные смеси применяют для устройства
покрытий на дорогах с меньшей интенсивностью движения, покрытий облегчённого
типа, устройства оснований и др.
.2 Исходные
данные
Таблица№5
|
Размер
сит,мм
|
Частные
остатки, % Щебень
|
Частные
остатки, % Песок
|
Частные
остатки, % Минеральный порошок
|
|
20
|
-
|
|
|
|
15
|
10,8
|
|
|
|
10
|
38,1
|
|
|
|
5
|
41
|
|
|
|
2,5
|
10,1
|
13,9
|
|
|
1,25
|
|
37,7
|
|
|
0,63
|
|
18,6
|
|
|
0,315
|
|
11,2
|
|
|
0,16
|
|
16,2
|
4
|
|
0,071
|
|
2,4
|
19,0
|
|
<0,071
|
|
|
77
|
Физико-механические свойства щебня удовлетворяют
стандартам ГОСТ 269-87, ГОСТ 8269-93. Гравийно-песчанные смеси по зерновому
составу отвечают требованиям ГОСТ 23735-79
2.3 Задание на
проектирование
Задание: Запроектировать холодный асфальтобетон,
мелкозернистый, тип Вх, второй марки, предназначенной для устройства
верхнего слоя покрытия автомобильной дороги IV
технической категории, расположенной в III
дорожно-климатической зоне.
Материалы: Щебень и песок отходы асбестовой
промышленности, минеральный порошок - пыль цементного завода, битум - жидкий СГ
70/130. Все материалы по физико-механическим свойствам отвечают требованиям
ГОСТ 9128-97и могут быть использованы для приготовления холодного
асфальтобетона.
2.4 Расчет
минеральной части асфальтобетона
Вычисляем общее содержание щебня в проектируемой
смеси по количеству частиц фракции 5-20, предлагаемых материалов. В
предлагаемых материалах общее содержание частиц 5-20 составляет:
,8+38,1+41=89,9%
Согласно ГОСТ 9128-97 для типа Бх
содержание щебня составляет 50-60%. Рассчитываю
нормативное содержание щебня по нижнему и верхнему пределам:
Щн = 100*50/89,9 = 55,6%
Щв = 100*60/89,9 = 66,7%
Вычисляем содержание минерального порошка в
проектируемой смеси по фракции <0,071мм. Согласно ГОСТ 9128-97 содержание
минерального порошка для типа Бх составляет 8-12%.
В
моем случае 77%, тогда рассчитываю нормативное содержание минерального порошка
по нижнему и верхнему пределам:
МПн = 100*8/77 = 10,4%
МПв = 100*12/77 = 15,6%
Таким образом ограничения по содержанию:
55,6 ≤ Щ ≤ 66,7
,4 ≤ МП ≤ 15,6
Для определения содержания песка следует: П =
100-(МП+Щ)
Возможные варианты составов
|
Варианты
составов
|
Содержание
компонентов, % массы
|
|
Щебня
|
Мин.
пор.
|
песка
|
|
1
|
55,6
|
10,4
|
34,0
|
|
2
|
55,6
|
13,0
|
31,4
|
|
3
|
55,6
|
15,6
|
28,8
|
|
4
|
61,2
|
10,4
|
28,4
|
|
5
|
61,2
|
13,0
|
25,8
|
|
6
|
61,2
|
15,6
|
23,2
|
|
7
|
66,7
|
10,4
|
22,9
|
|
8
|
66,7
|
13,0
|
20,3
|
|
9
|
66,7
|
15,6
|
17,7
|
В расчетную таблицу вписывают:
· Зерновой состав исходных материалов
(щебня, песка, минерального порошка)
· Зерновой состав проектируемой смеси
(ГОСТ 9128-97)
Если кривая не вписывается в рекомендуемые
пределы, производят корректировку щебня, песка и минерального порошка, либо в
большую, либо в меньшую сторону, но не выходя из требований ГОСТ 9128-97. Т.к.
зерновой состав проектируемой смеси отвечает ГОСТу 9128-97,то рецепт смеси
такой:
Щебень фракции 5-20- 55,6%
Песок фракции -31,4%
Минеральный порошок -13%
Битум СГ70/130- 3,5-5,5%.
Контроль качества покрытия из АБ, отбор кернов,
определение коэффициента уплотнения.
Приемку смеси производят партиями.
При приемке холодных смесей партий, считают
количество смесей одного состава, выпускаемой заводом в течение одной смены, но
не более 200т.
При приемно-сдаточных испытаниях смесей отбирают
по ГОСТ 12801 одну объединенную пробу от партии и определяют температуру
отгружаемой смеси при выпуске из смесителя или накопительного бункера, зерновой
состав минеральной части смеси, водонасыщение всех смесей, предел прочности при
сжатии при t=20оС в т.ч. в водонасыщенном состоянии и слеживаемость
для холодных смесей.
При периодическом контроле количества смесей
определяют: пористость минеральной части, остаточную пористость, водостойкость
ри длительном водонасыщении, предел прочности при сжатии, сцепление битума с
минеральной частью смесей, показатели сдвигоустойчивости и трещиностойкости.
Периодический контроль производится один раз в месяц, также при каждом
изменении материалов.
Список литературы
1. А.А.Афанасьев
"Бетонные работы" - М.: Высшая школа, 1991г.
2. Н.А.Гриневич "Расчет
состава тяжелого бетона"
. Н.А.Гриневич
"Испытания дорожно-строительных материалов"
. Н.А.Гриневич
"Проектирование состава дорожного асфальтобетона", 2002г.
. В.Т.Волков
"Лабораторные и практические занятия по испытанию дорожно-строительных
материалов", 1967г.
. М.И.Волков
"Дорожно-строительные материалы", 1965г.