Проект отбельного цеха сульфат-целлюлозного завода

  • Вид работы:
    Курсовая работа (т)
  • Предмет:
    Другое
  • Язык:
    Русский
    ,
    Формат файла:
    MS Word
    1,07 Мб
  • Опубликовано:
    2012-08-24
Вы можете узнать стоимость помощи в написании студенческой работы.
Помощь в написании работы, которую точно примут!

Проект отбельного цеха сульфат-целлюлозного завода













Проект отбельного цеха сульфат-целлюлозного завода

ОГЛАВЛЕНИЕ

1. Введение

. Обзор литературы

. Характеристика исходного сырья и химикатов и готовой продукции

. Описание технологического процесса

. Основные технологические расчеты отбельного цеха

. Производственный контроль и обслуживание в отбельном цехе

. Отходы производства, сточные воды и выбросы в атмосферу

. Основные правила безопасной эксплуатации производства

. Список литературы

1. ВВЕДЕНИЕ

Отбелка является процессом химической очистки и модификации целлюлозы. В результате отбелки или изменяются оптические свойства целлюлозных волокон при удалении компонентов, способных поглощать видимый свет, или уменьшается абсорбционная способность этих соединений. Любые остающиеся в целлюлозе после варки видимые загрязнения (частицы сора), которые могут вызвать затруднения при дальнейшей переработке целлюлозы в бумагу и картон, также должны быть удалены при отбелке. Кроме того, отбелка используется для регулирования степени полимеризации и увеличения содержания α-целлюлозы.

При отбелке целлюлозы, предназназначенной для изготовления бумаги, стремятся достичь высокой белизны при сохранении показателей механической прочности. При отбелке целлюлозы для химической переработки кроме достижения высокой белизны, удаляют гемицеллюлозы для получения полуфабриката с высоким содержанием α-целлюлозы и пониженной вязкостью.

Белизна целлюлозы показывает ее способность отражать монохроматический свет по сравнению с известным стандартом, в качестве которого используют покрытые сульфатом бария пластины. Для измерения белизны используют прибор лейкометр Цейсса (российский стандарт) или Цейсс-Эльрефо (по стандарту ISO).

Беленая целлюлоза может иметь белизну максимум 95 %, белизна небеленой целлюлозы имеет широкий интервал значений - от 23 до 70 % .

Самая высокая белизна небеленой целлюлозы достигается при сульфитной варке, более темными кажутся целлюлозы, полученные при натронной, сульфатной, моносульфитной варках. Целлюлоза и гемицеллюлозы не оказывают влияние на цвет технической целлюлозы. Воздействие света и атмосферного воздуха приводит к пожелтению целлюлозы, что можно наблюдать на различных бумагах, особенно газетной.

При отбелке целлюлозы используются две группы химических реагентов. В первую группу входят селективные химикаты, которые преимущественно разрушают хромофорные группы, но не растворяют лигнин, во вторую - химические реагенты, полностью разрушающие остаточный лигнин.

Химические реагенты первой группы используются для отбелки механических масс с высоким содержанием лигнина. Процесс отбелки механических масс называют осветлением, так как в результате разрушения хромофорных групп удается повысить белизну полуфабриката до 70 % и только при определенных условиях может быть достигнута белизна 80 %.

2 ОБЗОР ЛИТЕРАТУРЫ

.1 Основные закономерности отбелки целлюлозы

Современная отбелка проводится по многоступенчатой схеме с промывкой между ступенями и использованием различных химикатов и условий на каждой ступени.

Еще недавно любая схема отбелки начиналась со ступени хлорирования с последующим щелочением. В результате взаимодействия хлора с лигнином образуются хлорпроизводные лигнина, которые растворяются при последующем щелочении. Целью этих обработок является только делигнификация, так как в результате их проведения наблюдается лишь небольшое повышение белизны. Подобно хлорированию и щелочению, обработки кислородом и озоном используются преимущественно для делигнификации в начале схемы отбелки.

В настоящее время на базе вышеперечисленных реагентов могут быть реализованы четыре варианта схем:

1 схемы с использованием молекулярного хлора на первой ступени отбелки;

2 схемы без использования молекулярного хлора, с включением в схему отбелки диоксида хлора (схема ECF);

3 схемы с оптимизированными расходами СlO2 и Н2О2 (mild ECF);

4полностью бесхлорные схемы, основанные на использовании только кислородсодержащих реагентов (схема TCF).

Целесообразность использования того или иного варианта оценивается в первую очередь с точки зрения экономичности и экологической безопасности схемы отбелки. Отбелка без использования любых хлорсодержащих реагентов (TCF) - наиболее дорогостоящая. Себестоимость целлюлозы, полученной по технологии TCF, на 30.. .50 дол. Выше по сравнению с технологией ECF с использованием С1О2. Безопасность схем с использованием хлорреагентов оценивается по показателю АОХ (адсорбированные органические галогены), который определяет образующееся при отбелке количество хлорорганических соединений. Для большинства стран, имеющих развитую целлюлозно-бумажную промышленность, этот показатель сегодня ограничен 0,20.. .0,25 кг/т.

Схемы отбелки, в которых используются хлорсодержащие реагенты, характеризуются так называемым «фактором Каппа» (KF). Фактор Каппа - это отношение расхода активного хлора, заданного на первую делигнифицирующую ступень отбелки, к числу Каппа целлюлозы, поступающей в отбелку. Чем ниже фактор Каппа, тем безопаснее с экологической точки зрения схема отбелки.

Второй показатель, по которому оценивается экологическая безопасность схемы отбелки - это химическое потребление кислорода (ХПК) в сточных водах предприятия. Уровень сброса ХПК для современной схемы отбелки составляет 30.. .40 кг/т целлюлозы. Основной путь снижения ХПК в стоках отбельного цеха - применение кислородно-щелочной делигнификации и рациональное использование фильтратов отбелки.

При многоступенчатой отбелке на каждой ступени используются различные реагенты. Для определения общего расхода реагентов на 1 т целлюлозы на 1 Каппа необходимо использовать единый показатель. При отбелке только хлорсодержащими реагентами таким показателем является расход реагента, выраженный в единицах активного хлора (ед. активного хлора).

Как и все процессы, протекающие с древесиной и волокном, процессы отбелки являются гетерогенными и носят топохимический характер.

В целом механизм процесса отбелки может быть представлен следующей схемой:


Согласно схеме, белящий реагент X отделяется от реакционной зоны Y тремя слоями: d1 - подвижный слой растворителя; d2 - неподвижный слой растворителя (пленка воды на поверхности волокна); d3 - твердая фаза волокнистого материала.

Слои d1 и d2 определяют зону так называемого внешнедиффузионного сопротивления. Сопротивление слоя d1 тем меньше, чем выше растворимость реагента и выше его концентрация. Сопротивление слоя d2 обусловлено образованием пленки на поверхности волокна. Чем выше концентрация массы, тем меньше сопротивление слоя d2, тоньше пленка на поверхности волокна. Скорость диффузии реагента к поверхности волокна определяется концентрацией реагента и расстоянием диффузии.

Сопротивление слоя d3 (внутридиффузионное сопротивление) обусловлено структурой самого волокна (толщиной клеточной стенки, распределением лигнина в стенке, способностью волокна к набуханию, системой субкапилляров и т.д.). Сопротивление слоя d3 практически не поддается регулированию.

Проникновение реагентов в волокно будет складываться из следующих этапов: растворение белящего реагента в воде, диффузия его в пленку на поверхности волокна, сорбция его поверхностью волокна (зона внешней диффузии), диффузия реагента в толщу клеточной стенки (внутренняя диффузия).

В соответствии с законом Фика и предложенной схемой механизма отбелки интенсифицировать процесс отбелки, а именно снизить сопротивление внешнедиффузионной зоны, возможно, используя следующие факторы:

5 интенсивность перемешивания - влияет на равномерность распределения реагента в целлюлозной суспензии, т.е. уменьшает расстояние диффузии и увеличивает скорость доставки реагента к поверхности волокна, кроме того, при интенсивном перемешивании разрушается пленка на поверхности волокна.

6 концентрация реагентов в суспензии - влияет на скорость диффузии, градиент концентрации, а также на сорбцию реагентов поверхностью волокна. С увеличением концентрации скорость сорбции реагента волокном возрастает линейно.

- диспергирование целлюлозной суспензии перед отбелкой - увеличивает площадь диффузии, т.е. улучшает процессы сорбции реагентов. Диспергирование достигается удалением сучков, пучков волокон, а также разрушением «флокул».

3 ХАРАКТЕРИСТИКА СЫРЬЯ, ХИМИКАТОВ И ГОТОВОЙ ПРОДУКЦИИ

3.1     Требования к вискозной целлюлозе

В процессе переработки на вискозное волокно целлюлоза претерпевает глубокие изменения, затрагивающие и тонкое строение целлюлозных волокон, поэтому наряду с изучением свойств целлюлозы, большое значение придается изучению тонкого строения целлюлозы.

В связи с развитием и совершенствованием производства искусственного волокна растут и требования, предъявляемые к целлюлозе как к сырью для этого производства. Эти требования к целлюлозе различны в зависимости от ее назначения. К целлюлозе, идущей на изготовление штапельного волокна и текстильного шелка, требования значительно ниже, чем к целлюлозе, предназначенной для вискозного корда. Если раньше для характеристики вискозной целлюлозы было достаточно определения таких общепринятых показателей, как содержание альфа-целлюлозы, содержание пентозанов, смол, жиров, зольного остатка и вязкости, то теперь эти показатели недостаточно полно характеризуют качество вискозной целлюлозы. В связи с растущими требованиями, предъявляемыми к вискозной целлюлозе, в том числе и к кордной, оценка качества исходной целлюлозы методами, характеризующими ее степень пригодности к вискозообразованию, приобретает все большее значение. К перспективным методам характеристики целлюлозы можно отнести такие, как определение полидисперсности целлюлозы, ее реакционной способности, стойкости к окислительной деструкции и растворимости в щелочах. Заслуживают внимания методы характеристики свойств целлюлозы в процессе мерсеризации и предсозревания целлюлозы и определение растворимости ее в щелочах.

и все же в результате многочисленных исследований влияния свойств целлюлозы на качество вискозного шелка было показано значение этих свойств в процессе получения вискозной нити.

.1.1 Вязкость и степень полимеризации целлюлозы

Для производственного контроля качества вискозной целлюлозы определяют вязкость ее растворов, медно-аммиачных концентрацией 0,5…1,0 %, в куприэтилендиамине и вискозных.

Требования к показателю вязкости целлюлозы у нас в стране изменились мало. Медно-аммиачную вязкость целлюлозы определяют в соответствии с ГОСТ 5982-59 и 9104-59. В соответствии с этими ГОСТ вязкость 0,7 %-ного медно-аммиачного раствора целлюлозы для корда должна быть примерно 155…175 мпз.

высоковязкая целлюлоза содержит меньшее количество низкополимерных фракций, которые, по мнению большинства исследователей, оказывают вредное влияние на процесс получения вискозной нити. Стремление использовать для получения прочных нитей целлюлозу более высокой вязкости и соответственно более высокой СП (1000 и выше) связано и с тем, что вискозное волокно из такой целлюлозы обладает наиболее однородным фракционным составом, если основная деструкция этой целлюлозы происходит не в процессе варки и отбелки, а в процессе предсозревания.

.1.2 Содержание в целлюлозе альфа-, бета- и гамма-целлюлозы

До последнего времени считалось, что содержание альфа-целлюлозы - один из основных показателей качества вискозной целлюлозы, так как от него зависит выход и технические показатели процесса получения искусственного волокна, а также стабильность технологического процесса. Увеличение содержания альфа-целлюлозы сопровождается повышением качества вискозного волокна и производительности предприятия.

производство целлюлозы с высоким содержанием альфа-целлюлозы влечет к снижению выхода целлюлозы, что отрицательно сказывается на экономике производства. Кроме того, повышение содержания альфа-целлюлозы до 97 % и выше требует значительного расхода дорогостоящей щелочи, что также сказывается на стоимости целлюлозы.

Большое внимание уделялось и уделяется зависимости между механической прочностью вискозного волокна и содержанием бета-целлюлозы, т. Е. той низкополимерной части целлюлозного вещества, которое растворяется в 17,5 %-ном едком натре, но выпадает в осадок при подкислении щелочного раствора и поэтому частично может оказаться в нити вискозного волокна, отрицательно влияя на ее прочность.

Известно, что чем выше содержание бета-целлюлозы в исходной целлюлозе, тем ниже сопротивление вискозной нити старению.

При получении вискозного корда не меньшее значение имеет наличие в исходной целлюлозе гемицеллюлоз и низкополимерных фракций, т. Е. той части целлюлозы, которая растворяется в 17,5 %-ном растворе NaOH при 20 °С. Состав гемицеллюлоз неоднороден. В него входят такие полиозы, как маннан, ксилан, а также низкополимерные фракции целлюлозы. Предполагается, что те трудности, которые наблюдаются при переработке целлюлозы на вискозный шелк при мерсеризации целлюлозы, фильтрации вискозы, образовании частиц геля и других процессах, обусловлены наличием в целлюлозе гемицеллюлоз.

Повышенное содержание гемицеллюлоз свидетельствует о недостаточном облагораживании целлюлозы, и следовательно, о неполном разрушении внешних инертных слоев клеточных стенок. Таким образом, повышенное содержание, например, пентозанов может служить признаком пониженной реакционной способности целлюлозы.

3.1.3 Растворимость целлюлозы в щелочи

Определение растворимости целлюлозы в щелочи различной концентрации является как бы фракционированием целлюлозы и этот показатель полнее характеризует ее в отношении содержания низко-полимерных фракций.

В первых работах для определения растворимости целлюлозы в щелочах применяли 18 и 10 %-ные растворы NaOH. При этом исходили из того, что крепость вискозного волокна прежде всего зависит от оставшихся в нем низкополимерных фракций. Предполагалось, что на качество вискозного шелка существенно влияет содержание гемицеллюлоз, не растворимых в 10 %-ном NaOH, которые остаются в целлюлозном материале после мерсеризации и прессования и затем попадают в готовое волокно. Эту фракцию целлюлозы можно довольно точно определить как разницу между растворимостью в 18 и 10 %-ном NaOH.

Растворимость целлюлозы в щелочи и влияние этого показателя на свойства волокна еще недостаточно изучены, поэтому существует много методов его определения.

.1.4 Неоднородность целлюлозы

Вредное влияние неоднородности вискозной целлюлозы при химической переработке отмечалось уже давно. Говоря о неоднородности целлюлозы, можно понимать при этом неоднородность по длине молекул целлюлозы (клетчатки), или полидисперсность целлюлозы, и техническую неоднородность (по степени провара отдельных клеток, по качественным показателям в пределах листа, кипы, партии технической целлюлозы и т. Д.). Полидисперсность целлюлозы является производной ее морфологической, анатомической и технологической неоднородности. Остановимся прежде всего на полидисперсности целлюлозы, или ее молекулярной неоднородности.

На качество искусственного волокна существенное влияние оказывает то, что целлюлоза, выделенная из растительной ткани, является полидисперсным материалом, т. Е. содержит молекулы различной степени полимеризации. От молекулярной неоднородности целлюлозы в значительной степени зависят такие ее свойства, как растворимость, реакционная способность, набухание, вязкость и т. Д.

Неоднородность целлюлозы но молекулярному весу, а именно наличие в ней фракций с высокой степенью полимеризации, ухудшает фильтруемость вискозных растворов.

.1.5 Реакционная способность целлюлозы

Реакционная способность целлюлозы не вполне определившееся понятие и применяется часто с различными смысловыми оттенками. Чаще под реакционной способностью подразумевается способность целлюлозы давать после этерификации прозрачные и хорошо фильтрующиеся растворы, что характеризует полноту завершения процесса химической обработки.

Этот же термин используется и тогда, когда, например, говорит об активности функциональных групп и о наличии лабильных глюкозидных связей в макромолекуле целлюлозы.

Указанная неопределенность понятия реакционной способности целлюлозы объясняется, главным образом, сложностью и многосторонностью явлений и процессов, происходящих при химической обработке природной волокнистой целлюлозы. Причина этой сложности состоит в гетерогенном характере происходящих химических реакций и неоднородности макро- и микро- строения целлюлозы. В соответствии с этим реакционную способность целлюлозных материалов могут определять следующие факторы:

1.       структура и конфигурация элементарного глюкозного звена;

2.       степень устойчивости глюкозидных связей в зависимости от характера функциональных групп, наличия полуацетатных связей, остатков пентозанов в смешанных макромолекулах целлюлозы и др.;

.        расстояние между макромолекулами и степень их взаимной ориентации в микрофибриллах (наличие так называемых аморфных и кристаллических участков структуры целлюлозного вещества);

.        наличие или отсутствие водородных связей между макромолекулами и отдельными звеньями в макромолекулах, изменение интенсивности взаимодействия между отдельными звеньями макромолекул;

.        морфологическая структура отдельных волокон, степень разрушения этой структуры и, в частности, мало реакционноспособных внешних слоев клеточной стенки.

Вопрос о конкретных причинах и факторах, определяющих большую или меньшую активность целлюлозы в условиях различных химических процессов, в настоящее время изучен еще далеко недостаточно. Во всяком случае, реакционная способность целлюлозы зависит от многих причин и факторов.

.1.6 Содержание золы и зольных элементов в целлюлозе

Многочисленные исследовательские работы, а также опыт переработки целлюлозы на вискозное волокно показали, что повышенная зольность целлюлозы приводит к нарушениям режима производства и ухудшению свойств волокна. Соединения кальция и кремния, например, ухудшают процесс фильтрации вискозы. Большое внимание уделяется понижению и стабилизации содержания в целлюлозе тяжелых металлов, особенно железа и марганца, влияющих на скорость процесса предсозревания.

при повышении зольности целлюлозы от 0,05 до 0,25% фильтруемость вискозы уменьшается в 5 раз

наилучшим катализатором, ускоряющим предварительное созревание целлюлозы, оказался кобальт, затем следует марганец. Более слабые катализаторы: хром, железо, олово, никель и вольфрам. Сурьма, висмут, медь, уран, свинец, мышьяк и кальций затормаживают процесс предсозревания. Наличие в вискозном растворе ионов поливалентных металлов (особенно железа) вызывает дополнительное структурирование вискозы за счет «сшивки» молекул эфира целлюлозы ионами поливалентных металлов. Это вызывает большие затруднения при переработке такой вискозы, так как вязкость ее растворов значительно увеличивается. Особенно вредны соли железа.

Говоря о вредном влиянии зольного остатка целлюлозы, отмечено, что особенно большое значение имеют размеры частиц, загрязняющих целлюлозу и затем вискозу. Крупный песок, ржавчина и известь не вызывают больших затруднений, так как легко удаляются при фильтрации. Коллоидные частицы размером менее 20 мк проходят через фильтр и причиняют затруднения при прядении. Частицы размером 20…100 мк забивают фильтры, мешают фильтрации.

Содержание золы в целлюлозе и ее состав зависит от качества производственной воды, коррозиоустойчивости оборудования и чистоты применяемых химикатов, растворов и культуры производства.

Большое содержание кальция в целлюлозе может вызывать следующие затруднения: осаждение гемицеллюлоз в мерсеризационном растворе, уменьшение фильтруемости вискозы (при этом образуются отложения на фильтрах).

.1.7 Мелкое волокно

В практике производства целлюлозы для искусственного шелка большое внимание уделяется в последнее время содержанию в ней мелкого волокна. Это связано со стремлением, получать чистую и равномерную по волокну целлюлозу.

Содержание смолы в сульфатной целлюлозе из хвойной древесины невелико. Мелкого волокна в сульфатной целлюлозе меньше, чем в сульфитной. Поскольку удаление мелкого волокна улучшает свойства технической целлюлозы, поэтому кратко рассмотрим влияние его на процесс переработки целлюлозы на вискозу.

Прежде всего, мелкое волокно создает макронеоднородность целлюлозы. мелкое волокно ухудшает реакционную способность целлюлозы, так как само мелкое волокно (длиной 0,03…0,05 мм) имеет очень низкую реакционную способность.

мелкое волокно в вискозной целлюлозе главным образом влияет на физические свойства листа, ухудшает его впитывающую способность.

Наличие мелкого волокна в целлюлозе объясняется неоднородностью древесины.

Высокое содержание мелочи в целлюлозе для химической переработки вызывает затруднения при удалении щелочи после мерсеризации. Кроме того, мелкое волокно неблагоприятно влияет на физические свойства целлюлозной папки, особенно, как отмечалось, ухудшает ее впитываемость.

удаление мелкого волокна значительно повышает морфологическую однородность целлюлозы, улучшает ее химический состав, уменьшает смолистость и зольность, повышает содержание альфа-целлюлозы и реакционную способность.

Для удаления мелочи в промышленной практике широко применяются сетчатые барабаны и другие устройства. Потери целлюлозы при отделении мелкого волокна зависят от степени очистки целлюлозы и колеблются в пределах 2…10%.

.1.8 Физические свойства целлюлозной папки

В литературе есть немного сведений о свойствах целлюлозной папки и их влиянии на переработку целлюлозы на вискозный шелк. Установлено, что чем больше влияние прессования папки, тем меньше ее склонность к всплыванию. Оказывает влияние на всплываемость целлюлозы и вес 1 м2. Чем выше вес 1 м2, тем легче целлюлоза всплывает в растворе.

В результате большого опыта по переработке различных видов целлюлозы на вискозный шелк определено, что удельный вес ее колеблется в пределах 0,55…0,78, при этом большое количество образцов имеет удельный вес 0,62…0,78, а вес 1 м2 500…800 г. Доказана прямая зависимость между удельным весом и степенью набухания целлюлозы: чем больше удельный вес, тем выше набухание целлюлозы.

При увеличении влажности целлюлозной папки повышается всплываемость целлюлозы, а впитываемость щелочи уменьшается.

Для улучшения формования целлюлозной папки и повышения реакционной способности (в смысле повышения фильтруемости вискозы) перед отливом к целлюлозе добавляют поверхностно-активные вещества, как правило, не ионноактивные (рекомендуются продукты конденсации окиси этилена и пропилена с высшими жирными кислотами).

3.1.9 Технические требования к качеству вискозной целлюлозы

требования к качеству вискозной целлюлозы высоки и многообразны, но в настоящее время они ещё недостаточно уточнены.

Современные требования, предъявляемые к вискозной целлюлозе, приведены в таблице 3.1. В таблице 3.2 приведены показатели качества хвойной целлюлозы.

Таблица 3.1 - Требования к вискозной целлюлозе

Показатели качества целлюлозы

Для вискозного штапеля (ГОСТ 5982-59)

Для текстильного шелка(ГОСТ 5982-59)

Для кордного волокна (ГОСТ 9104-59)

1

2

3

4

Содержание альфа-целлюлозы, % не менее

92

93

95

Содержание бета-целлюлозы, %не более

5

4

3

Содержание веществ, растворимых в 5% р-ре NaОН,% не более

2,5

2

-

Реакционная способность, %CS2/NaOH, не более

90/11

90/11

90/11

Вязкость медно-аммиачного раствора, мпз

115-140

125-150

155-175

Содержание смол и жиров, % не более

0,3

0,2

0,2

Содержание золы, % не более ….

0,08

0,06

0,06

Содержание железа, мг/кг, не более

20

10

10

Содержание кремния, мг/кг, не более

50

35

25

Набухание, %

400-500

400-550

450-550

Белизна, % белого, не менее

89

90

88

Сорность (кол-во соринок на 1 м2), не более

150

100

100

Соринок свыше 1,5 мм

0

0

-

Влажность, %

5-9

5-9

5-9

Вес 1 м2, г

500-600

500-600

500-600


Таблица 3.2 - Показатели качества хвойной целлюлозы ГОСТ - 9571 - 89

Наименование показателя

Значения для марок




Метод


ХБ - 0

ХБ - 1

ХБ - 2

ХБ - 4

ХБ - 5

ХБ - 6

ХБ - 7

испытаний

1.Механическая прочность при









размоле в мельнице ЦРА до









60° ШР









1.1.Разрывная длина,

9.0

7.8

7,8

7,4

8,5

8,7

7,4

По ГОСТ -13525.1

км, не менее









1.2.Прочность на излом при мно

1300

1100

800

700

1000

1300

800

По ГОСТ - 13525.2

гократных перегибах, число двойных перегибов, не менее









2.Белизна, % не менее

90

88

86

87

82

80

81

По ГОСТ - 7690

3.Сорность, шт, для соринок








ГОСТ - 14363.3

площадью:









 от 0.1 до 1 мм2 включительно,

25

70

70

60

90

150

120


не более









 св 1.0 до 2 мм2 включительно,

0

0

2

2

5

15

10


не более









 св 2.0 до 3.0 мм2 включительно,

0

0

0

0

0

10

5


не более









 св 3.0 мм2

0

0

0

0

0

0

0


4. Рн водной вытяжки

5.5 - 7.0

5.5 - 7.0

5.5 - 7.0

5.5 - 7.0

5.5 - 7.0

5.5 - 7.0

5.5 - 7.0

По ГОСТ - 12523

5.Влажность, % не более

20

20

20

20

20

20

20

По ГОСТ - 16932,


Таблица 3.3 - Показатели качества сырья и химикатов

Наименование сырья, материалов, ГОСТ, ОСТ или ТУ

Показатели по ГОСТ, ОСТ, ТУ или регламенту

Показатели, обязательные для проверки перед использованием в производстве

Примечание

1.Небеленая целлюлоза из хвойных пород древесины

1.1.Степень делигнификации, ед. Каппа, 20 - 28

 

Поступает из варочного цеха. Показатели по данным лаборатории варочного цеха.

 ТР № 42-10-01

1.2.Разрывная длина, м, не менее 8500

 


 

1.3.Остаточная щелочность, г/л ед Na2О, не более 0.5

 

 

 

1.4.Сорность, шт/м2 площадью > 5мм2 - не допускается,

 

 

 

 свыше 2 до 5 мм2 - не более 16

 

 

2.Гипохлорит натрия

2.1.Содержание активного хлора, г/л - 45 - 55

2.1.Содержание активного хлора

Поступает из цеха двуокиси хлора

 ТР № 42-76.2-01

2.2.Содержание щелочи в пересчете на NaOH, г/л - 2 - 5

2.2.Содержание щелочи


3.Водный раствор каустика ТР № 42-76.2-01

3.1.Содержание NaOH, г/л - 95 - 105

3.1.Содержание щелочи

Поступает из цеха двуокиси хлора; приготовляется из натра едкого технического, ГОСТ 2263-79, с изм. 1,2.

4. Сернистая кислота ТР № 42-76.2-01

4.1.Содержание SO2, г/л - 10 - 25

4.1.Содержание SO2

Поступает из цеха двуокиси хлора или с производства картона

5.Двуокись хлора водный растворТР № 42-76.1-01

5.1.Содержание двуокиси хлора- 5 - 8 г/л (в пересчете на активный хлор, г/л - 13,2 - 21,0)

5.1.Содержание двуокисихлора

Поступает из цеха двуокиси хлора

6. Фильтрованная вода ТР № 42-9-99

6.1. Цветность, °ПКШ, не более - 50 6.2.Прозрачность, см, не менее - 25 6.3 Рн - 6,0-7,2

 

Поступает с ФОС-2.Показатели по данным  ФОС-2


3.2     Основные свойства применяемых химикатов

Основные реагенты, которые используются сегодня для отбелки целлюлозы - диоксид хлора, кислород, пероксид водорода, озон. На некоторых российских предприятиях по-прежнему используют хлор и гипохлорит натрия.

При решении вопроса об использовании отбеливающих реагентов необходимо учесть следующие факторы: химическая стабильность продукта; безопасность производства; транспортировка и хранение; экономика производства; доступность сырья и энергии; географическое расположение и инфраструктура; баланс химикатов на целлюлозном заводе; состояние окружающей среды. Такие реагенты, как озон, диоксид хлора, производят на целлюлозных заводах из-за их нестабильности. Гипохлорит также чаще всего производят непосредственно на заводе, поскольку для его приготовления используют отходящие газы производства диоксида хлора и хлора. Остальные реагенты могут быть получены непосредственно на целлюлозном заводе или закуплены у поставщиков. Щелочь, необходимая для отбелки, может быть получена как побочный продукт при производстве хлора или может быть заменена окисленным белым щелоком. Диоксид серы может быть побочным продуктом существующей на заводе системы регенерации химикатов.

.2.1 Получение и транспортировка гидроксида натрия

При производстве хлора путем электролиза раствора NaCl получают также эквивалентное количество гидроксида натрия. Раствор гидроксида натрия разбавляется до концентрации 50 % и в таком виде поставляется на целлюлозный завод (при производстве гидроксида натрия с использованием ртутного катода). При использовании мембранной технологии производится гидроксид натрия с концентрацией 10…20 %. Если расстояние невелико, то этот реагент можно транспортировать на целлюлозно-бумажный комбинат без дополнительного упаривания, в других случаях гидроксид натрия упаривают до концентрации 50 %.

Транспортировка гидроксида натрия осуществляется железнодорожным и автомобильным транспортом в контейнерах вместимостью 10…20 м3. Транспортировочные контейнеры, емкости для хранения и трубопроводы должны иметь хорошую изоляцию, поскольку 50 %-ный раствор гидроксида натрия кристаллизуется при температуре ниже 14 °С. Перед подачей в производство раствор гидроксида натрия разбавляют до концентрации 5… 10 %.

.2.2 Получение гипохлорита

гипохлориты являются солями очень слабой хлорноватистой кислоты. Хлорноватистая кислота (НОСl ) в свободном виде не выделена, но она существует в водном растворе. Раствор гипохлорита способен к саморазложению. Саморазложение ускоряется в присутствии нейтральных солей, под действием света, а также при перемешивании и при соприкосновении с воздухом. Концентрацию растворов гипохлоритов принято выражать в единицах активного хлора, эквивалентное способному участвовать в реакциях окисления количеству кислорода, входящего в состав гипохлорита или НОСl , образующейся при его гидролизе. Гипохлорит также чаще всего производят непосредственно на заводе, поскольку для его приготовления используют отходящие газы производства диоксида хлора и хлора.

.2.3 Свойства и получение диоксида хлора

Диоксид хлора используется в промышленном масштабе для отбелки целлюлозы начиная с середины 40-х годов XX века.

Диоксид хлора (СlO2) при нормальных условиях представляет собой газ красноватого цвета, по запаху напоминающий N02 и обладающий сильным удушающим и ядовитым действием. Запах диоксида хлора в воздухе ощущается обонянием человека при концентрации 0,0017 %. Плотность газообразного диоксида хлора в 2,38 раза больше плотности воздуха. При температуре -11 °С и атмосферном давлении диоксид хлора сжижается, образуя жидкость красного цвета плотностью около 1,7 г/см3, которая затвердевает при температуре - 59 °С. Теплота испарения жидкого СlO2 составляет 27 кДж/моль, теплота растворения газообразного диоксида хло 27,7 кДж/моль. Растворимость СlO2 в воде выше, чем хлора: при 0 °С -2,85, при 20 °С - 1,75 в 100 г воды. Для отбелки целлюлозы используют водные растворы СlO2 концентрацией 5… 7 г/дм (г/л). Растворы диоксида хлора, не содержащие молекулярного хлора, имеют красноватый цвет. Водные растворы С1О2 наиболее устойчивы в кислой среде. С повышением величины Рн диоксид хлора гидролизуется с образованием хлорноватой, хлористой и соляной кислот. Поскольку диоксид хлора является нестабильным газом и в смеси с воздухом образует взрывоопасную смесь, то этот химикат может храниться только в виде водного раствора и производится по месту использования с немедленным растворением в холодной воде. В виде водного раствора СlO2 является стабильным и может храниться в контейнерах при низкой температуре (= 5 °С) без газовой фазы в течение длительного времени

3.2.4 Свойство и получение кислорода

В связи с развитием в последние годы метода кислородно-щелочной отбелки целлюлозы к числу отбеливающих реагентов добавился молекулярный кислород, применяемый в газообразном виде. Плотность газообразного кислорода при 0 °С и атмосферном давлении равна 1,43 кг/м3, теплоемкость его при постоянном давлении составляет 0,915 кДж/(кг*°С). Растворимость кислорода в воде низкая: при 0 °С растворяется 0,074 кг О2 в 1 м3 воды, при 15 °С - 0,052. При температуре -183 °С кислород сжижается; скрытая теплота парообразования при атмосферном давлении составляет 2,13 кДж/кг. При испарении из 1 м3 жидкого кислорода образуется 800 м3 газообразного кислорода. Растворение кислорода в кислых водных растворах сопровождается частичным образованием пероксида водорода. При растворении водных растворах возникает некоторое количество оксидных ионов О-и пероксидных ионов НО2-, а также бирадикалов -О-О-, которые оказывают окислительное воздействие на лигнин и целлюлозу при отбелке.

Для отбелки целлюлозы пользуются так называемые технологическим кислородом, содержащим, от 90 до 98 % чистого О2, а также техническим кислородом с содержанием 99,2…99,7 % 02. И тот и другой вид кислорода получают в криогенных установках путем сжижения атмосферного воздуха, с последующим разделением смеси жидких кислорода и азота методом ректификации. На предприятия кислород поступает в виде газа в цистернах и баллонах под давлением 4…5 Мпа. Молекулярный кислород не относится к числу токсичных и взрывоопасных веществ, однако обращение с ним требует точного соблюдения правил техники безопасности, так как в атмосфере кислорода способны воспламеняться многие материалы (например, смазочные материалы, масла, скипидар и т. П.).

4.Описание технологического процесса

Цель отбелки - удаление из целлюлозы оставшейся после варки части лигнина и веществ, наиболее тесно с ней связанных и обуславливающих её окраску, получение продукции со стабильно высокой белизной при сохранении механической прочности, оптимальных затратах, минимальном загрязнении окружающей среды.

Сульфатная целлюлоза для химической переработки вырабатывается почти исключительно методом варки с предварительным гидролизом. Щелочная варка с водным или кислым предгидролизом, по существу, является способом получения небеленой облагороженной целлюлозы с высоким содержанием альфа-целлюлозы. Предгидролизная целлюлоза, получаемая из древесины хвойных пород путем сульфатной варки с водным предгидролизом, содержит около 95 % альфа-целлюлозы, 4…5% пентозанов, 2…3% остаточного лигнина. Поскольку выход предгидролизной целлюлозы из сосновой древесины составляет около 35 %, а содержание чистой целлюлозы в древесине хвойных пород равно примерно 42 %, очевидно, что при варке с предгидролизом разрушается и переходит в раствор не менее 15 % (относительных) клетчатки. Такой ценой достигается повышение реакционной способности целлюлозы, что очень важно для целлюлозы, предназначенной для химической переработки, в частности по вискозному методу, на шелк, штапель, обычный и высокопрочный корд. Оптимальные режимы водного предгидролиза обеспечивают минимальное содержание низкомолекулярных фракций и высокую стойкость целлюлозы против деструкции при предсозревании.

Отбелку предгидролизной целлюлозы необходимо вести с большой осторожностью, чтобы войти в нужные пределы вязкости без снижения содержания альфа-целлюлозы. Хлорирование ведут с небольшим избытком хлора в одну или две ступени с промежуточной горячей щелочной экстракцией. В некоторых случаях, в частности при получении кордной целлюлозы второе щелочение после хлорирования превращают в горячее облагораживание, проводимое без подъема давления при температуpax 100…150°С, с целью получить небольшой «запас» в содержании альфа-целлюлозы перед добелкой. При добелке используют гипохлорит натрия в две или даже три ступени (для придания высокой белизны). Отбелку заключает достаточно глубокая кислотная обработка, необходимая для снижения зольности целлюлозы.

Отбелка сульфатной хвойной целлюлозы производится в основном в 7 ступеней в башнях отбелки с промежуточной промывкой на пресс-фильтрах. Основные реагенты для отбелки поступают из цеха двуокиси хлора. Это водные растворы двуокиси хлора, гипохлорита натрия, сернистого ангидрида, каустической соды. Кроме них в отбелке используются или могут использоваться вспомогательные реагенты, такие, как кислые отходы производства двуокиси хлора, поверхностно-активные вещества различного состава, энзимы. Они помогают эффективно использовать основные реагенты, решать задачу снижения смоляных затруднений. Режим их использования, как правило, предлагается фирмами-изготовителями и тщательно отрабатывается в ходе опытно-промышленных испытаний. Проектом предложена схема:

КЩО - Д0 -Щ - ЩГ - ХО - Д1 - Д2 - К.

Основные ступени отбелки:

I Обработка кислородом при повышенном давлении в щелочной среде - КЩО;

II Делигнифицирующая обработка двуокисью хлора в кислой среде - Д0;

III Щелочение I ступени - Щ1;

IV Щелочение с добавлением гипохлорита - ЩГ;

V Холодное облагораживание - ХО;

VI Отбелка двуокисью хлора, 1 ступень - Д1;

VII. Отбелка двуокисью хлора, 2 ступень - Д2.

Заключительной стадией отбелки является кисловка (К), которая не требует отдельной ступени и проводится в башнях хранения белёной массы.

4.2 Основные условия процесса отбелки и факторы, влияющие на процесс

.2.1 Обработка двуокисью хлора

Двуокись хлора - ClО2 - очень эффективный окислитель, обладающий избирательным действием. На структурные элементы целлюлозы двуокись хлора оказывает сравнительно небольшое воздействие и деструкция целлюлозы может происходить только при значительном нарушении условий проведения процесса (чрезвычайно высоки доза реагента, температура, Рн). При отбелке двуокисью хлора происходит окисление и частично хлорирование лигнина. Также под действием двуокиси хлора окисляются компоненты смолы, имеющиеся в целлюлозе, превращаясь в бесцветные вещества, которые частично растворяются в воде, а частично остаются в волокне и на его поверхности.

Отбелка двуокисью хлора обеспечивает высокую стабильность белизны целлюлозы при переработке и хранении. Основными факторами, влияющими на процесс делигнификации и отбелки двуокисью хлора являются:

Оптимальный Рн для первой, делигнифицирующей ступени - 3…4, для ступеней отбелки двуокисью хлора 1 и 2 ступеней - не более 6 после смешивания массы с раствором двуокиси хлора.

Температура

Оптимальная температура на ступени делигнификации - 70 °С, на 1 и 2 ступенях отбелки - 75°С

Концентрация массы

Оптимальной считается концентрация для ступени делигнификации Д0 - не менее 3,5 %, для ступеней отбелки двуокисью хлора - 10..15 %.

Расход двуокиси хлора

Дозировка двуокиси хлора на ступени делигнификации Д0 может колебаться в значительных пределах - от 6 до 12 кг/т и выше в зависимости от исходной жёсткости, качества промывки после варки и других факторов. В любом случае расход определяется требуемой степенью делигнификации целлюлозы после обработки.

Для прекращения действия двуокиси хлора, устранения загазованности на вакуум-фильтре и подавления адсорбции окрашенных продуктов реакции на волокне в оборотную воду, подаваемую на разбавление массы перед выгрузкой из башни, подаётся раствор сернистого ангидрида с расчётом, чтобы в массе перед фильтром содержалось 0,003…0,005 г/л SО2.

Продолжительность процесса

На ступени делигнифицирующей обработки из-за низкой концентрации массы и большого содержания лигнина и других загрязняющих веществ двуокись хлора расходуется быстро и время обработки ограничивается только размерами башни.

На ступенях отбелки двуокисью хлора процесс связан с временем диффузии химиката внутрь волокон и оптимальное время 3 - 5 часов

.2.2 Отбелка гипохлоритом натрия

При обработке гипохлоритом натрия, который применяется в отбелке в виде раствора с избыточным содержанием щёлочи, происходят две основные конкурирующие химические реакции: окисление лигнина и прочих окрашенных веществ и окисление целлюлозы и гемицеллюлоз. При воздействии гипохлорита на целлюлозу в первую очередь окислению подвергается лигнин, продукты которого непрерывно растворяются в избытке щёлочи. По мере снижения содержания лигнина его защитное действие уменьшается и окислению подвергаются гемицеллюлозы и сама целлюлоза, при этом происходит понижение прочности целлюлозы, увеличиваются потери волокна. Поэтому нецелесообразно использовать гипохлорит на последних ступенях отбелки, а гипохлоритная ступень требует точного соблюдения режима и строгого контроля за основными факторами, влияющими на процесс, которыми являются:

Температура реакции

Оптимальная температура гипохлоритной отбелки в существующей схеме (на ступени щелочения с гипохлоритом) - 35°С.

Рн среды

При взаимодействии гипохлорита с целлюлозой образуются кислоты: соляная, угольная, органические. Под их действием быстро понижается значение Рн, увеличиваются содержание хлорноватистой кислоты, скорость отбелки и разрушение целлюлозы. Для замедления процесса отбелки с целью сохранения прочности целлюлозы рекомендуется поддерживать конечное значение Рн 10…10,5.

Продолжительность отбелки

Для проведения отбелки в наиболее мягких условиях (Рн 9 - 10, температура 35 °С) для максимального снижения сорности и получения максимальной белизны продолжительность процесса должна быть не менее трёх часов.

Концентрация массы

Чем выше концентрация гипохлорита в реакционном объёме, тем энергичнее происходит процесс отбелки. Поэтому для интенсификации процесса его выгодней проводить при высокой концентрации массы. Для данных условий принята концентрация 15 %.

Количество гипохлорита

Дозировка гипохлорита зависит от исходного качества массы, поступающей на ступень и заданной белизны. В любом случае необходимо задавать такой расход гипохлорита на ступень, чтобы в конце реакции сохранялся остаток активного хлора (0,2…0,3 % от веса волокна). Если гипохлорит будет израсходован полностью, целлюлоза может потемнеть. Избыток гипохлорита может привести к чрезмерному разрушению целлюлозы.

.2.3 Щелочение

При щелочной обработке целлюлозы значительно снижается содержание смолы в целлюлозе, повышается прочность. При этом производится подготовка целлюлозы для дальнейшей отбелки. В процессе щелочения удаляются продукты реакции, образовавшиеся на предыдущей ступени, растворяются красящие вещества, низкомолекулярные углеводные фракции, происходит некоторое набухание волокна, что способствует лучшему проникновению отбеливающих растворов в последующих ступенях отбелки. Ступень щелочения между ступенями отбелки двуокисью хлора сокращает расход химикатов на 2 ступени, обеспечивает лучшую стабильность белизны. Эта ступень также зависит от ряда факторов:

Температура

Для эффективного удаления лигнина температура должна быть 80°С.

Продолжительность обработки

Время обработки - менее значимый фактор, обычно достаточно 2,0 часа.

Концентрация массы

Оптимальная концентрация для данной схемы - 12…14 %.

Рн массы

Рн массы в конце процесса достаточно иметь - 9,5…10.5, что обеспечивает избыток щёлочи.

.2.4 Холодное облагораживание

для достижения более глубокого облагораживающего эффекта приходится прибегать к холодному облагораживанию целлюлозы крепкими растворами щелочи. Холодное облагораживание оказывается достаточно эффективным и дает возможность существенно повысить содержание альфа-целлюлозы и снизить содержание пентозанов. Для данной схемы холодное облагораживание длится 90 мин. при температуре 20 0С.

.2.5 Кисловка

Заключительной стадией отбелки целлюлозы является кисловка раствором двуокиси серы. Её цель - разложение остаточной двуокиси хлора, если она ещё присутствует в волокне (сернистая кислота при этом окисляется до серной), обеспечить стабильность белизны, снизить зольность. Обработка сернистой кислотой позволяет более полно удалить окрашенные продукты реакции, повысить конечную белизну целлюлозы. Оптимальный Рн 3…5.

.2.6 Промывка массы

Промывка целлюлозы между ступенями отбелки - важнейшая технологическая операция. При промывке удаляются продукты реакции, частично мелкое волокно со смолой. Недостаточное удаление растворённых веществ ухудшает отбелку на последующей ступени, ведёт к перерасходу химикатов, что увеличивает деструкцию волокна и химические потери.

Одним из современных промывных фильтров является пресс-фильтры. Для данной схемы принимаем промывной пресс Twin Rollтм - B. Пресс Twin Rollтм обеспечивает высокоинтенсивную промывку. Напорный ящик рассчитан на высокую концентрацию массы. Пресс идеально подходит для таких случаев, когда необходима высокоэффективная промывка и высокая производительность.

Принцип действия. Полотно целлюлозы образуется в специальном напускном устройстве и проходит между валами и изогнутыми направляющими. Вблизи направляющих концентрация массы составляет приблизительно 8…12 % и промывная жидкость добавляется в зоне вытеснения. В зоне контакта валов масса отжимается до концентрации на выходе 35 %. Масса из зоны контакта валов подаётся на шнек-разрыватель. Фильтрат проходит через канавки в конце каждого вала и удаляется через два выпускных отверстия в днище ванны.

На рисунке 4.3 представлена семиступенчатая схема отбелки целлюлозы для химической переработки. Схема работает с холодным облагораживанием:

КЩО - Д0 -Щ - ЩГ - ХО - Д1 - Д2 - К. Условия отбелки указаны в таблице 4.3.

Таблица 4.3 - Условия отбелки целлюлозы для химической переработки

Ступень отбелки

Реагент

С реагента, г/л

Расход реагента, кг/т

С массы, %

Т, 0С

t, мин

Потери, %

КЩО

NaOH

100

20

12

80

20

4,0





12

95

60


Д0

ClO2

14

30

12

75

60

1,0

Щ

NaOH

100

12

12

80

120

1,0

ЩГ

NaOCl

8

45

15

35

180

0,4

ХО

NaOH

100

20

16

20

90

8,0

Д1 Д2

ClO2

14

12

12

75

180

0,3




8





К

Н2SO3

3

0,5

16

20

-

0,05


Рисунок 4.3 - Схема отбельного цеха: 1 - бассейн небелёной целлюлозы; 2 - промывной фильтр; 3 - пароподогреватель; 4 - реакторы; 5 - смесители; 6 - насосы; 7 - пресс-фильтры; 8 - башня хлорирования; 9 - башня щелочения; 10 - башня гипохлоритной отбелки; 11 - башня холодного облагораживания; 12 - башни отбелки диоксидом хлора; 13 - баки оборотной воды; 14 - шнек.

5 основные технологические расчеты отбельного цеха

.1 расчет материального баланса

Задание: Выполнить расчет материального баланса отбельного цеха сульфатцеллюлозного завода производительностью 200000 т в год вискозной целлюлозы.

Баланс воды и волокна отбельного цеха.

Исходные данные для расчета:

Расход воды на спрыски вакуум-фильтров …………….4 м3

Концентрация волокна в оборотной воде ……………0 %

Концентрация массы, поступающей на вакуум-фильтр ………1,5 %

Концентрация растворов химикатов:

NaOH …………………………………………100 г/л

ClO2 (в ед. ClO2) ……………………………………14 г/л

водного раствора SO2 (в ед. SO2) …………………….3 г/л

NaOCl ………………………………………………….45 г/л

Расход (кг/т от абсолютно сухой целлюлозы):

NaOH на КЩО ……………………………………..20 кг/т

ClO2 на Д0 …………………………………..30 кг/т

NaOH на щелочение ……………………………………12 кг/т

NaOCl на щелочение ……………………………………45 кг/т

NaOH на холодное облагораживание ………………….20 кг/т

ClO2 на 1 ступень отбелки ………………………………12 кг/т

ClO2 на 2 ступень отбелки ………………………………8 кг/т

SO2 на кисловку ………………………………………….4,4 кг/т

Давление кислорода …………………………………….0,1 Мпа

Удельная теплоёмкость кислорода при давлении 0,1 Мпа и

температуре 10 0С …………………………………0,934 кДж/(кг*0С)

Суточная производительность завода …………….580 т

Расчет ведем на 1 т воздушно-сухой целлюлозы (880 кг абсолютно сухого волокна), поступающей в бассейн беленой целлюлозы (в бассейн низкой концентрации). Режим отбелки целлюлозы приведен в таблице 4.3.

.1.1 Бассейн низкой концентрации.

В бассейн низкой концентрации поступает масса с пресс-фильтра при концентрации массы 16 %.

Воды с массой поступает:

*84/16 = 4620 л.

Концентрация массы в бассейне 5 %. Объём воды в бассейне при данной концентрации

*95/5 = 16720 л.

Для разбавления массы в бассейн низкой концентрации поступает оборотной воды:

- 4620 = 12100 л.

Кисловку проводим в ванне пресс-фильтра. Потери волокна при кисловке составляют 0,05 % от массы абсолютно сухой целлюлозы. С барабана пресс-фильтра должно сойти массы:

*100/99,95 = 880,44 кг

химические потери волокна при кисловке составляют:

880,44 - 880,00 = 0,44 кг

Расход SO2 на кисловку составляет 0,5 %. При концентрации водного раствора SO2 3 % (в ед. SO2) объём его должен составить:

,44*0,005*1000/30 = 147 л

Объём воды в массе, сходящей с барабана пресс-фильтра:

- 147 = 4473 л.

Концентрация массы, сходящей с барабана пресс-фильтра:

,44*100/(4620 + 880,44) = 16,0 %

5.1.2 Пресс-фильтр.

Обозначим Х количество оборотной воды, уходящей в бак пресс-фильтра.

На пресс-фильтр должно поступить:

волокна 880,44

воды 4620 + Х - 4000

Концентрация массы, поступающей на пресс-фильтр, может быть рассчитана по формуле:

,44*100/(4473 + Х - 4000) = 1,5 %

Х = 58223л.

На пресс-фильтр должно поступить:

волокна 880,44

воды 4473 + 58223 - 4000 = 58696 л.

Проверка: концентрация массы

,44*100/(880,44 + 58696) = 1,5 %

.1.3 Башня отбелки двуокисью хлора (Д2)

при выходе из башни масса разбавляется оборотной водой из бака пресс-фильтра. Подсчитаем количество оборотной воды, поступающей на разбавление. обозначим его У. из башни должно выходить волокна 880,44. Химические потери волокна на этой ступени составляют 0,3 %. В башню следует подать волокна:

,44*100/99,7 = 883,1 кг.

при концентрации массы в башне (на входе) 12 % воды в ней должно быть:

,1*88/12 = 6476 л.

Поскольку при поступлении массы в зону разбавления башни количество в ней остаётся таким же, как при входе в башню, для разбавления массы, поступающей на пресс -фильтр, можно написать следующее уравнение:

У + 6476 = 58696

У = 52220 л.

Химические потери волокна в башне:

883,1 - 880,44 = 2,66 кг.

Проверка: концентрация массы

,1*100/(883,1 + 6476) = 12 %

По режиму расход двуокиси хлора на 2 ступень составляет 8 кг/т целлюлозы. При концентрации ClO2 в растворе 14 г/л или 0,014 кг/кг воды, количество отбельного раствора составит:

/0,014 = 571 кг.

Из двухвального смесителя в башню поступит:

волокна 883,1 кг

воды 6476 - 571 = 5905 л

.1.4 Двухвальный смеситель перед башней Д2

В смесителе производится подогрев массы паром до 75 0С. Подсчитаем затраты теплоты. Примем температуру массы, сходящей с пресс-фильтра, равной 42 0С, температуру раствора ClO2 10 0С, удельную теплоёмкость волокна 1,47 кДж/(кг*0С). Максимальные затраты теплоты на нагрев массы равны:

Q1 = 883,1*1,47*(75-42) + 5905*4,19*(75-42) + 571*4,19*(75 - 10) = 1014835 кДж

Расход пара давлением 0,3 Мпа (удельная энтальпия 2744,03 кДж/кг)

D1 = 1014835/(2744,03 - 75*4,19) = 418 кг.

Затраты теплоты при исключении конденсата пара:

Q2 = 883,1*1,47*(75 - 42)+(5905-418)*4,19*(75-42)+571*4,19*(75-10)=957038 кДж

Расход пара:

D2 = 957038/(2744,03-75*4,19) = 394 кг

От пресс-фильтра поступит

волокна 883,1 кг

воды 5905 - 394 = 5511 л.

Проверка: концентрация массы

,1*100/(883,1 + 5511) = 13,8%

.1.5 пресс-фильтр

Обозначим Х количество оборотной воды, уходящей в бак пресс-фильтра. На пресс-фильтр должно поступить:

волокна 883,1

воды 5511 + Х - 4000

Концентрация массы, поступающей на пресс-фильтр, может быть рассчитана по формуле:

,1*100/(5511 + Х - 4000) = 1,5 %

Х = 57362 л.

На пресс-фильтр должно поступить:

волокна 883,1 кг

воды 5511 + 57362 - 4000 = 58873 л.

Проверка: концентрация массы

,1*100/(883,1 + 58873) = 1,5 %

.1.6 Башня отбелки двуокисью хлора (Д1)

при выходе из башни масса разбавляется оборотной водой из бака пресс-фильтра. Подсчитаем количество оборотной воды, поступающей на разбавление. обозначим его У. из башни должно выходить волокна 883,1 кг. Химические потери волокна на этой ступени составляют 0,3 %. В башню следует подать волокна:

,1*100/99,7 = 885,76 кг.

при концентрации массы в башне (на входе) 12 % воды в ней должно быть:

,76*88/12 = 6496 л.

Поскольку при поступлении массы в зону разбавления башни количество в ней остаётся таким же, как при входе в башню, для разбавления массы, поступающей на пресс-фильтр, можно написать следующее уравнение:

У + 6496 = 58873

У = 52377 л.

Химические потери волокна в башне:

885,76 - 883,1 = 2,66 кг.

В башню поступает:

волокна 885,76 кг

воды 6496 л.

Проверка: концентрация массы

,76*100/(885,76 + 6496) = 12 %

По режиму расход двуокиси хлора на 1 ступень составляет 12 кг/т целлюлозы. При концентрации ClO2 в растворе 14 г/л или 0,014 кг/кг воды, количество отбельного раствора составит

/0,014 = 857 кг.

Из двухвального смесителя в башню поступит

волокна 885,76 кг

воды 6496 - 857 = 5639 л

.1.7 Двухвальный смеситель перед башней Д1

В смесителе производится подогрев массы паром до 75 0С. Подсчитаем затраты теплоты. Примем температуру массы, сходящей с пресс-фильтра, равной 42 0С, температуру раствора ClO2 10 0С, удельную теплоёмкость волокна 1,47 кДж/(кг*0С). Максимальные затраты теплоты на нагрев массы равны:

Q1 = 885,76*1,47*(75-42)+5639*4,19*(75-42) + 857*4,19*(75 - 10) = 1056076 кДж

Расход пара давлением 0,3 Мпа ( удельная энтальпия 2744,03 кДж/кг)

D1 = 1056076/(2744,03 - 75*4,19) = 435 кг.

Затраты теплоты при исключении конденсата пара:

Q2 = 885,76*1,47*(75- 42)+(5639-435)*4,19*(75-42)+857*4,19*(75-10)=995929 кДж

Расход пара:

D2 = 995929/(2744,03-75*4,19) = 410 кг

От пресс-фильтра поступит:

волокна 885,76 кг

воды 5639 - 410 = 5229 л.

Проверка: концентрация массы

,76*100/(885,76 + 5229) = 14,5 %

.1.8 пресс-фильтр

Обозначим Х количество оборотной воды, уходящей в бак пресс-фильтра. На пресс-фильтр должно поступить:

волокна 885,76

воды 5229 + Х - 4000

Концентрация массы, поступающей на пресс-фильтр, может быть рассчитана по формуле:

,76*100/(5229 + Х - 4000) = 1,5 %

Х = 57822 л.

На пресс-фильтр должно поступить

волокна 885,76 кг

воды 5229 + 57822 - 4000 = 59051л.

Проверка: концентрация массы

,76*100/(885,76 + 59051) = 1,5 %

.1.9 Башня холодного облагораживания (ХО)

при выходе из башни масса разбавляется оборотной водой из бака пресс-фильтра. Подсчитаем количество оборотной воды, поступающей на разбавление. обозначим его У. из башни должно выходить волокна 885,76 кг. Химические потери волокна на этой ступени составляют 8,0 %. В башню следует подать волокна:

,76*100/92 = 962,78 кг.

при концентрации массы в башне (на входе) 16 % воды в ней должно быть:

,78*84/16 = 5054 л.

Поскольку при поступлении массы в зону разбавления башни количество в ней остаётся таким же, как при входе в башню, для разбавления массы, поступающей на пресс-фильтр, можно написать следующее уравнение:

У + 5054 = 59051

У = 53997 л.

Химические потери волокна в башне:

962,78 - 885,76 = 77,02 кг.

В башню поступает:

волокна 962,78 кг

воды 5054 л.

Проверка: концентрация массы

,78*100/(962,78 + 5054) = 16 %

.1.10 Двухвальный смеситель башни холодного облагораживания (ХО)

По режиму расход NaOH на холодное облагораживание составляет 20 кг/т целлюлозы. При концентрации NaOH в растворе 100 г/л или 0,1 кг/кг воды, количество отбельного раствора составит:

/0,1 = 200 кг.

От пресс-фильтра в смеситель башни холодного облагораживания поступит:

волокна 962,78 кг

воды 5054 - 200 = 4854 л

Проверка: концентрация массы

,78*100/(962,78 + 4854) = 16 %

.1.11 пресс-фильтр

Обозначим Х количество оборотной воды, уходящей в бак пресс-фильтра. На пресс-фильтр должно поступить:

волокна 962,78

воды 4854 + Х - 4000

Концентрация массы, поступающей на пресс-фильтр, может быть рассчитана по формуле:

,78*100/(4854 + Х - 4000) = 1,5 %

Х = 63331 л.

На пресс-фильтр должно поступить:

волокна 962,78 кг

воды 4854 + 63331 - 4000 = 64185 л.

Проверка: концентрация массы

962,78*100/(962,78 + 64185) = 1,5 %

.1.12 Башня щелочения гипохлоритом (ЩГ)

при выходе из башни масса разбавляется оборотной водой из бака пресс-фильтра. Подсчитаем количество оборотной воды, поступающей на разбавление. обозначим его У. из башни должно выходить волокна 962,78 кг. Химические потери волокна на этой ступени составляют 0,4 %. В башню следует подать волокна:

,78*100/99,6 = 966,65 кг.

при концентрации массы в башне (на входе) 15 % воды в ней должно быть:

,65*85/15 = 5478 л.

Поскольку при поступлении массы в зону разбавления башни количество в ней остаётся таким же, как при входе в башню, для разбавления массы, поступающей на пресс-фильтр, можно написать следующее уравнение:

У + 5478 = 64185

У = 58707 л.

Химические потери волокна в башне:

,65 - 962,78 = 3,87 кг.

В башню поступает

волокна 966,65 кг

воды 5478 л.

Проверка: концентрация массы

,65*100/(966,65 + 5478) = 15 %

.1.13 Двухвальный смеситель башни щелочения гипохлоритом (ЩГ)

По режиму расход NaOCl на щелочения гипохлоритом составляет 7,7 кг/т. При концентрации NaOCl в растворе 45 г/л или 0,045 кг/кг воды, количество отбельного раствора составит:

,7/0,045 = 172 кг.

От пресс-фильтра в смеситель башни щелочения гипохлоритом поступит:

волокна 966,65 кг

воды 5478 - 172 = 5306 л

Проверка: концентрация массы

,65*100/(966,65 + 5306) = 15 %

.1.14 пресс-фильтр

Обозначим Х количество оборотной воды, уходящей в бак пресс-фильтра. На пресс-фильтр должно поступить:

волокна 966,65

воды 5306 + Х - 4000

Концентрация массы, поступающей на пресс-фильтр, может быть рассчитана по формуле:

,65*100/(5306 + Х - 4000) = 1,5 %

Х = 63137 л.

На пресс-фильтр должно поступить:

волокна 966,65 кг

воды 5306 + 63137 - 4000 = 64443 л.

Проверка: концентрация массы

,65*100/(966,65 + 64443) = 1,7 %

.1.15 Башня щелочения (Щ)

при выходе из башни масса разбавляется оборотной водой из бака пресс-фильтра. Подсчитаем количество оборотной воды, поступающей на разбавление. обозначим его У. из башни должно выходить волокна 966,65 кг. Химические потери волокна на этой ступени составляют 1,0 %. В башню следует подать волокна:

,65*100/99 = 976,41 кг.

при концентрации массы в башне (на входе) 12 % воды в ней должно быть:

,41*88/12 = 7157 л.

Поскольку при поступлении массы в зону разбавления башни количество в ней остаётся таким же, как при входе в башню, для разбавления массы, поступающей на пресс-фильтр, можно написать следующее уравнение:

У + 7157 = 64443

У = 57286 л.

Химические потери волокна в башне:

,41 - 966,65 = 9,76 кг.

В башню поступает:

волокна 976,41 кг

воды 7157 л.

Проверка: концентрация массы 976,41*100/(976,41 + 7157) = 12 %

.1.16 Двухвальный смеситель башни щелочения (Щ)

По режиму расход NaOH на щелочения составляет 12 кг/т целлюлозы. При концентрации NaOH в растворе 100 г/л или 0,1 кг/кг воды, количество отбельного раствора составит

/0,1 = 120 кг.

В смесителе производится подогрев массы паром до 80 0С. Подсчитаем затраты теплоты. Примем температуру массы, сходящей с пресс-фильтра, равной 40 0С. Удельную теплоёмкость волокна 1,34 кДж/(кг*0С). Максимальные затраты теплоты на нагрев массы равны:

Q = (976,41*1,34 + 7157*4,19)*(80 - 40) = 1251849 кДж

С потерями на теплоотдачу 5 %:


Расход пара давлением 0,3 Мпа ( удельная энтальпия 2740 кДж/кг)

D = 1314442/(2740 - 80*4,19) = 546 кг.

За вычетом конденсата пара и щелочного раствора в смеситель поступит:

- 120 - 546 = 6491 л.

От пресс-фильтра в смеситель башни щелочения поступит:

волокна 976,41 кг

воды 6491 л.

Проверка: концентрация массы

,41*100/(976,41 + 6491) = 13 %

.1.17 пресс-фильтр.

Обозначим Х количество оборотной воды, уходящей в бак пресс-фильтра. На пресс-фильтр должно поступить:

волокна 976,41

воды 6491 + Х - 4000

Концентрация массы, поступающей на пресс-фильтр, может быть рассчитана по формуле:

,41*100/(6491 + Х - 4000) = 1,5 %

Х = 62603 л.

На пресс-фильтр должно поступить

волокна 976,41 кг

воды 6491 + 62603 - 4000 = 65094 л.

Проверка: концентрация массы

,41*100/(976,41 + 65094) = 1,5 %

.1.18 Башня отбелки двуокисью хлора (Д0)

при выходе из башни масса разбавляется оборотной водой из бака пресс-фильтра. Подсчитаем количество оборотной воды, поступающей на разбавление. обозначим его У. из башни должно выходить волокна 976,41 кг. Химические потери волокна на этой ступени составляют 1,0 %. В башню следует подать волокна:

,41*100/99 = 986,27 кг.

при концентрации массы в башне (на входе) 12 % воды в ней должно быть:

,27*88/12 = 7233 л.

Поскольку при поступлении массы в зону разбавления башни количество в ней остаётся таким же, как при входе в башню, для разбавления массы, поступающей на пресс-фильтр, можно написать следующее уравнение:

У + 7233 = 65094

У = 57861 л.

Химические потери волокна в башне:

,27 - 976,41 = 9,86 кг.

В башню поступает:

волокна 986,27 кг

воды 7233 л.

Проверка: концентрация массы

,27*100/(986,27 + 7233) = 12 %

По режиму расход двуокиси хлора на 1 ступень составляет 30 кг/т целлюлозы. При концентрации ClO2 в растворе 14 г/л или 0,014 кг/кг воды, количество отбельного раствора составит:

/0,014 = 2143 кг.

Из двухвального смесителя в башню поступит:

волокна 986,27 кг

воды 7233 - 2143 = 5090 л

.1.19 Двухвальный смеситель башни отбелки двуокисью хлора (Д0)

В смесителе производится подогрев массы паром до 75 0С. Подсчитаем затраты теплоты. Примем температуру массы, сходящей с пресс-фильтра, равной 45 0С. Удельную теплоёмкость волокна 1,34 кДж/(кг*0С). Максимальные затраты теплоты на нагрев массы равны:

Q = (986,27*1,34 + 7233*4,19)*(75 - 45) = 948836 кДж

С потерями на теплоотдачу 5 %:

*1,05 = 996278 кДж

Расход пара давлением 0,3 Мпа ( удельная энтальпия 2740 кДж/кг)

D = 996278/(2740 - 75*4,19) = 411 кг.

За вычетом конденсата пара и щелочного раствора в смеситель поступит:

- 411 - 2143= 4679 л.

От пресс-фильтра в смеситель башни щелочения поступит:

волокна 986,27 кг

воды 4679 л.

Проверка: концентрация массы

986,27*100/(986,27 + 4679) = 17 %

.1.20 пресс-фильтр

Обозначим Х количество оборотной воды, уходящей в бак пресс-фильтра. На пресс-фильтр должно поступить:

волокна 986,27

воды 4679 + Х - 4000

Концентрация массы, поступающей на пресс-фильтр, может быть рассчитана по формуле:

,27*100/(4679 + Х - 4000) = 1,5 %

Х = 65072 л.

На пресс-фильтр должно поступить:

волокна 986,27 кг

воды 4679 + 65072 - 4000 = 65751 л.

Проверка: концентрация массы

,27*100/(986,27 + 65751) = 1,5 %

.1.21 Выдувной резервуар

Из кислородного реактора масса выдувается в выдувной резервуар. концентрация массы в нем составляет 6 %. При выходе из выдувного резервуара масса разбавляется оборотной водой из бака фильтрата пресс-фильтра. Определим количество оборотной воды, поступающей на разбавление, обозначив его У. При концентрации массы 1,5 % количество воды в ней:

,27*94/6 + У = 65751

У = 50299 л

В выдувной резервуар должно поступить:

волокна 986,27 кг

воды 986,27*94/6 = 15451 л

.1.22 Кислородный реактор (КЩО)

Концентрация массы в зоне реакции 12 %. В нижней части реактора происходит разбавление массы оборотной водой до концентрации 6 % и выдувка её в выдувной резервуар.

Подсчитаем количество оборотной воды, поступающей на разбавление. обозначим его У. из башни должно выходить волокна 986,27кг. Химические потери волокна на этой ступени составляют 4,0 %. В реактор следует подать волокна:

,27*100/96 = 1027,36 кг.

при концентрации массы 12 % воды в ней должно быть:

,36*88/12 = 7534л.

Общее количество воды в массе, поступающей в выдувной резервуар:

У + 7534 = 15451

У = 7917 л.

Химические потери волокна в башне:

,36 - 986,27 = 41,09 кг

В реактор должно поступить:

волокна 1027,36 кг

воды 7534 л

Примем расход кислорода на кислородно-щелочное облагораживание в размере 2 % от массы волокна:

,36*0,02 = 20,55 кг

Потери кислорода примем равными 25 %: 20,55 + 5,14 = 25,69 кг

Избыток оборотной воды, направляемый из бака фильтрата пресс-фильтра на промывку небелёной целлюлозы:

- 7917 = 5284 л

Подсчитаем расход пара на подогрев массы в реакторе до 95 0С. Температура массы, поступающей из смесителя, 80 0С, температура кислорода 10 0С.

Q1=1027,36*1,47*(95-80)+7534*4,19*(95-80)+25,69*0,934*(95-10) = 498205 кДж

D1= 498205/ (2744,03-95*4,19) = 212 кг

Q2= 1027,36*1,47*(95-80)+(7534-212)*4,19*(95-80)+25,69*0,934*(95-10)=484880кДж

D2 = 484880/(2744,03-95*4,19) = 207 кг

В реактор поступит:

волокна 1027,36 кг

воды 7534 - 207 = 7322 л

.1.23 Двухвальный смеситель кислородного реактора.

По режиму расход NaOH на кислородно-щелочное облагораживание составляет 20 кг/т. При концентрации раствора NaOH 100 г/л или 0,1 кг/кг воды количество раствора щелочи составляет:

/0,1 = 200 л

Определим количество пара, необходимого на нагрев массы в двухвальном смесителе до 80 0С. Примем температуру щёлочи равной 20 0С, температуру массы , сходящей со сгустителя 30 0С.

Q1=1027,36*1,47*(80-30)+(7322-200)*4,19*(80-30)+200*4,19*(80-20)=1617850кДж

D1= 1617850/(2744,03-80*4,19) = 672 кг

Q2=1027.36*1.47*(80-30)+(7322-200-672)*4.19*(80-30)+200*4.19*(80-20) = 1477066 кДж

D2 = 1477066/(2744,03-80*4,19) = 613 кг

От сгустителя в смеситель кислородного реактора поступает:

волокна 1027,36 кг

воды 7322-200-613 = 6509 л

Проверка: концентрация массы сходящей со сгустителя

1027,36*100/(1027,36+6509)=13,6%

.1.24 Сгуститель.

Определим количество оборотной воды, сходящей со сгустителя:

,36*100/(6509 + Х) = 1,5

Х = 60594 л

На сгуститель поступает:

волокна 1027,36 кг

воды 6509+60954 = 67463 л

Воду от сгустителя отправляем на промывку небелёной целлюлозы.

Результаты расчета материального баланса сведены в таблицу 5.3

Результаты расчета теплового баланса сведены в таблицу 5.2.

Таблица 5.2 - Сводная таблица теплового баланса

Наименование

Максимальные затраты теплоты, кДж

Расход пара кг

Смеситель башни КШО

1477066

613

Кислородный реактор

484880

207

Смеситель башни Д0

996278

411

Смеситель башни Щ

1314442

546

Смеситель башни Д1

995929

410

Смеситель башни Д2

957038

394


Таблица 5.3 Сводная таблица материального баланса отбельного цеха

Статьи прихода

Приход, кг

Статьи расхода

Расход, кг


волокна

воды

массы


волокна

воды

массы

Масса на сгуститель

1027,36

67463

68490,36

Масса со сгустителя Оборотная вода

1027,36 -

6509 60954

7536,36 60954

ИТОГО

1027,36

67463

68490,36

ИТОГО

1027,36

67463

68490,36

Двухвальный смеситель

Масса в смеситель Раствор NaOH Пар

1027,36 --

6509 200 613

7536,36 200 613

Масса в реактор

1027,36

7322

8349,36

ИТОГО

1027,36

7322

8349,36

ИТОГО

1027,36

7322

8349,36

Кислородный реактор

Масса в реактор Пар Оборотная вода на разбавление

1027,36 - -

7322 207 7917

8349,36 207 7917

Масса в выдувной резервуар Химические потери

986,27 41,09

15451 -

16437,27 41,09

ИТОГО

1027,36

15451

16478,36

ИТОГО

1027,36

15451

16478,36

Выдувной резервуар

Масса из реактора Оборотная вода на разбавление

986,27 -

15451 50299

16437,27 50299

Масса на пресс-фильтр

986,27

65751

66737,27

ИТОГО

968,27

65750

66736,27

ИТОГО

986,27

65751

66737,27

Пресс-фильтр

Масса из выдувного резервуара Свежая вода на спрыски

986,27 -

65751 4000

66737,27 4000

Масса в смеситель Оборотная вода в бак

986,27 -

4679 65072

5665,27 65072

ИТОГО

986,27

69751

70737,27

ИТОГО

986,27

69751

70737,27

Смеситель перед башней отбелки двуокисью хлором Д0

Масса перед пресс-фильтром Пар

986,27 -

4679 411

5665,27 411

Масса в радиальный смеситель

986,27

5090

6076,27

ИТОГО

986,27

5090

6076,27

ИТОГО

986,27

5090

6076,27

Радиальный смеситель

Масса из двухвального смесителя Раствор ClO2

986,27 -

5090 2143

6076,27 2143

Масса в башню отбелки ClO2

986,27

7233

8219,27

ИТОГО

986,27

7233

8219,27

ИТОГО

986,27

7233

8219,27

Статьи прихода

Приход, кг

Статьи расхода

Расход, кг


волокна

воды

массы


волокна

воды

массы

Башня отбелки двуокисью хлора Д0

Масса из радиального смесителя Оборотная вода

986,27 -

7233 57861

8219,27 57861

Масса на пресс-фильтр Химические потери

976,41 9,86

65094 -

66070,41 9,86

ИТОГО

986,27

65094

66080,27

ИТОГО

986,27

65094

66080,27

Масса на пресс-фильтр

Масса из башни отбелки Свежая вода на спрыски

976,41 -

65094 4000

66070,41 4000

Масса в двухвальный смеситель Оборотная вода

976,41 -

6491 62603

7467,41 62603

ИТОГО

976,41

69097

70070,41

ИТОГО

976,41

69097

70070,41

Двухвальный смеситель башни щелочения

Масса от пресс-фильтра Пар Раствор NaOH

976,41 - -

6491 546 120

7467,41 546 120

Масса в башню щелочения

976,41

7157

8133,41

ИТОГО

976,41

7157

8133,41

ИТОГО

976,41

7157

8133,41

Башня щелочения

Масса из смесителя Оборотная вода

976,41 -

7157 57286

8133,41 57286

Масса на пресс-фильтр Химические потери

966,65 9,76

64443 -

65409,65 9,76

ИТОГО

976,41

64443

65419,41

ИТОГО

64443

65419,41

Пресс-фильтр

Масса из башни щелочения Свежая вода на спрыски

966,65 -

64443 4000

65409,65 4000

Масса в двухвальный смеситель Оборотная вода

966,65 -

5306 63137

6272,65 63137

ИТОГО

966,65

64443

65419,41

ИТОГО

966,65

64443

65419,41

Двухвальный смеситель перед башней щелочения гипохлоритом

Масса от пресс-фильтра Раствор NaOH

966,65 -

5306 172

6272,65 172

Масса в башню ЩГ

966,65

5478

6444,65

ИТОГО

966,65

5478

6444,65

ИТОГО

966,65

5478

6444,65

Башня щелочения гипохлоритом

Масса из смесителя Оборотная вода

966,65 -

5478 58707

6444,65 58707

Масса на пресс-фильтр Химические потери

962,78 3,87

64185 -

65147,78 3,87

ИТОГО

966,65

64185

65151,65

ИТОГО

966,65

64185

65151,65


Статьи прихода

Приход, кг

Статьи расхода

Расход, кг


волокна

воды

массы


волокна

воды

массы

Пресс-фильтр

Масса из башни щелочения Свежая вода на спрыски

962,78 -

64185 4000

65147,78 4000

Масса в двухвальный смеситель Оборотная вода

962,78 -

4854 63331

5816,78 63331

ИТОГО

962,78

68185

69147,78

ИТОГО

962,78

68185

69147,78

Двухвальный смеситель перед башней холодного облагораживания

Масса от пресс-фильтра Раствор NaOH

962,78 -

4854 200

5816,78 200

Масса в башню ХО

962,78

5054

6116,78

ИТОГО

962,78

5054

6116,78

ИТОГО

962,78

5054

6116,78

Башня холодного облагораживания

Масса из смесителя Оборотная вода

962,78 -

5054 53997

6016,78 53997

Масса на пресс-фильтр Химические потери

885,76 77,06

59051 -

59936,76 77,06

ИТОГО

962,78

59051

60013,78

ИТОГО

962,78

59051

60013,78

Пресс-фильтр

Масса из башни ХО Свежая вода на спрыски

885,76 -

59051 4000

59936,76 4000

Масса в двухвальный смеситель Оборотная вода

885,76 -

5229 57822

6114,76 57822

ИТОГО

885,76

63051

63936,76

ИТОГО

885,76

68165

69950,76

Смеситель перед башней отбелки двуокисью хлором Д1

Масса перед пресс-фильтром Пар

885,76 -

5229 410

6114,76 410

Масса в радиальный смеситель

885,76

5639

6524,76

ИТОГО

885,76

5639

6524,76

ИТОГО

885,76

5639

6524,76

Радиальный смеситель

Масса из двухвального смесителя Раствор ClO2

885,76 -

5639 857

6524,76 857

Масса в башню отбелки Д1

885,76

6496

7381,76

ИТОГО

885,76

6496

7381,76

ИТОГО

885,76

6496

7381,76

Башня отбелки двуокисью хлора Д1

Масса из радиального смесителя Оборотная вода

885,76 -

6496 52377

7381,76 52377

Масса на пресс-фильтр Химические потери

883,1 2,66

58873 -

59756,1 2,66

ИТОГО

885,76

58873

59758,76

ИТОГО

885,76

58873

59758,76


Статьи прихода

Приход, кг

Статьи расхода

Расход, кг


волокна

воды

массы


волокна

воды

массы

Пресс-фильтр

Масса из башни Д1 Свежая вода на спрыски

883,1 -

58873 4000

59756,1 4000

Масса в двухвальный смеситель Оборотная вода

883,1 -

5511 57362

6394,1 57362

ИТОГО

883,1

62873

63756,1

ИТОГО

883,1

62873

63756,1

Смеситель перед башней отбелки двуокисью хлором Д2

Масса перед пресс-фильтром Пар

883,1 -

5511 394

6394,1 394

Масса в радиальный смеситель

883,1

5905

6788,1

ИТОГО

883,1

5905

6788,1

ИТОГО

883,1

5905

6788,1

Радиальный смеситель

Масса из двухвального смесителя Раствор ClO2

883,1 -

5905 571

6788,1 571

Масса в башню отбелки Д2

883,1

6471

7359,1

ИТОГО

883,1

6471

7359,1

ИТОГО

883,1

6471

7359,1

Башня отбелки двуокисью хлора Д2

Масса из радиального смесителя Оборотная вода

883,1 -

6476 52220

7359,1 52220

Масса на пресс-фильтр Химические потери

880,44 2,66

58696 -

59576,44 2,66

ИТОГО

883,1

58696

59579,1

ИТОГО

883,1

58696

59579,1

Пресс-фильтр

Масса из башни Д1 Свежая вода на спрыски

880,44 -

58696 4000

59576,44 4000

Масса в ванну фильтрата Оборотная вода

880,44 -

4473 58223

5353,44 58223

ИТОГО

880,44

62696

63576,44

ИТОГО

880,44

62696

63576,44

Ванна пресс-фильтра

Масса с барабана пресс-фильтра Раствор SO2 Оборотная вода

880,44 - -

4473 147 12100

5353,44 147 12100

Масса в бассейн низкой конц-ии Химические потери

880,00 0,44

16720 -

17600 0,44

ИТОГО

880,44

16720

17600,44

ИТОГО

880,44

16720

17600,44


.4 Расчет оборудования отбельного цеха

.4.1 Расчет отбельных башен

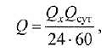
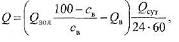
Необходимый реакционный объем башни рассчитывается по формуле:


где Vp - реакционный объем, м ; М - масса абсолютно сухой целлюлозы, поступающей в башню за сутки, т; t - время пребывания массы в башне, мин; св - концентрация волокна, %; К- коэффициент заполнения башни, для башен с ходом массы снизу вверх К = 0,95, для башен с ходом массы сверху вниз К = 0,85;

Потребный общий объем отбельной башни определяют по формуле:

Vобщ = Vр + Vразб ,

Объем зоны разбавления для башен с плоским днищем:


где dв - внутренний диаметр башни, рассчитанный из величины Vp, м; hр - высота зоны разбавления. Hр = (1,5… 1,7) м. Соотношение между общей высотой башни и диаметром должно быть от 3,5:1 до 5,0:1.

Башня Д0.

Необходимый реакционный объем башни рассчитывается по формуле:


Объем зоны разбавления для башен с плоским днищем, принимаем dв= 4,0 м,

hр = 1,5 м.:


Потребный общий объем отбельной башни определяют по формуле:

Vобщ = 402,88 + 4,71 = 407,59м3

Башня Щ.

Необходимый реакционный объем башни рассчитывается по формуле:


Объем зоны разбавления для башен с плоским днищем, принимаем dв= 6,0 м,

hр = 1,5 м.:


Потребный общий объем отбельной башни определяют по формуле:

Vобщ = 797,72 + 7,065 = 804,785 м3

Башня ЩГ.

Необходимый реакционный объем башни рассчитывается по формуле

Объем зоны разбавления для башен с плоским днищем, принимаем dв= 7,0 м,

hр = 1,5 м.


Потребный общий объем отбельной башни определяют по формуле:

Vобщ = 947,70 + 8,24 = 955,94 м3

Башня ХО.

Необходимый реакционный объем башни рассчитывается по формуле


Объем зоны разбавления для башен с плоским днищем, принимаем dв= 5,0 м,

hр = 1,5 м


Потребный общий объем отбельной башни определяют по формуле:

Vобщ = 442,45 + 5,89 = 448,34 м3

Башня Д1.

Необходимый реакционный объем башни рассчитывается по формуле


Объем зоны разбавления для башен с плоским днищем, принимаем

dв= 7,0 м, hр = 1,5 м.


Потребный общий объем отбельной башни определяют по формуле:

Vобщ = 1085,49 + 8,24 = 1093,73м3

Башня Д2.

Необходимый реакционный объем башни рассчитывается по формуле


Объем зоны разбавления для башен с плоским днищем, принимаем

dв= 7,0 м,

hр = 1,5 м.


Потребный общий объем отбельной башни определяют по формуле:

Vобщ = 1082,23 + 8,24 = 1090,47 м3

5.4.2 Выбор промывного оборудования

Расчет промывного оборудования сводится к определению фильтрующей поверхности. Фильтрующая поверхность определяется по количеству массы, поступающей на пресс-фильтр из башни:


где F - фильтрующая поверхность, м2: Qвол - количество а.с. массы на 1 т целлюлозы, кг; Qсут - суточная производительность отбельного цеха, т/сут; g - съем а.с. массы с 1 м фильтрующей поверхности, кг.

Съем воздушно-сухой целлюлозы с 1 м поверхности принимается в зависимости от вида вырабатываемого волокнистого полуфабриката и типа промывного оборудования. Принимаем съём равный 26 т/сут.

В зависимости от типа и производительности фильтра выбираются установочная мощность электродвигателя привода барабана фильтра, отжимного вала, шнека-разбавителя.

Башня Д0

Фильтрующая поверхность


Башня Щ

Фильтрующая поверхность


Башня щг

Фильтрующая поверхность:


Башня хо

Фильтрующая поверхность:


Башня Д1

Фильтрующая поверхность:


Башня Д2

Фильтрующая поверхность:


5.4.3 Расчет вместимости баков оборотной воды

Вместимость баков, м3, определяют по количеству оборотной воды, уходящей с вакуум-фильтров:

где QВ - количество оборотной воды на 1 т целлюлозы, л; Т- время пребывания воды в баке, Т = 3… 5 мин; К - коэффициент заполнения бака. К = 0,8.

Баки снабжаются переливными трубами для отвода избытка оборотной воды.

Башня Д0.

Вместимость бака, м3:


Башня Щ.

Вместимость бака, м3:


Башня ЩГ.

Вместимость бака, м3:


Башня ХО.

Вместимость бака, м3:


Башня Д1.

Вместимость бака, м3:


Башня Д2.

Вместимость бака, м3:


.4.4 Расчет вместимости массных бассейнов

Вместимость бассейнов низкой концентрации рассчитывается так же, как и вместимость баков оборотной воды. Время запаса массы в бассейне 0,5…2,5 ч. После расчетов вместимостей массных бассейнов и баков оборотной воды производится их унификация.

Вместимость бака, м3


.4.5 Расчет и выбор насосов

Насосы для подачи массы высокой и низкой концентрации и оборотной воды выбирают по производительности и требуемому напору. Расчет насосов производят после уточнения расположения оборудования в отбельном цехе и выполнения компоновочных чертежей.

Насосы для подачи оборотной воды на разбавление массы в башне

с движением массы сверху вниз Д0

Подача насоса, л/мин,


где Qвол - количество абсолютно сухой массы, уходящей из башни, на 1 т воздушно-сухой целлюлозы, кг; св - концентрация волокна в зоне разбавления, %; Qв - количество воды, поступающей в башню с массой, л (кг): Qсут - производительность отбельного цеха, т/сут.


Подачу насосов для оборотной воды на разбавление массы в башнях, работающих по принципу движения массы снизу вверх, рассчитывают по формуле


где св - концентрация волокна в массе, уходящей из башни, %.

При принятой компоновке пресс-фильтры устанавливаются на отметке (+15 м). При нормальном уровне воды в баке Hвсас = 7м, Ннагн = 0.

Башня Щ

Подача насоса, л/мин:


Башня ЩГ

Подача насоса, л/мин:


Башня ХО

Подача насоса, л/мин:


Башня Д1

Подача насоса, л/мин:


Башня Д2

Подача насоса, л/мин:


.4.6 Насосы для подачи химикатов

Подача насоса, л/мин:


где Qx - количество перекачиваемого раствора реагента, л/т.

Башня КЩО.

Подача насоса, л/мин:

 

Башня Д0.

Подача насоса, л/мин:

 

Башня Щ.

Подача насоса, л/мин:

 

Башня ЩГ.

Подача насоса, л/мин:

 

Башня ХО.

Подача насоса, л/мин:

 

Башня Д1.

Подача насоса, л/мин:

 

Башня Д2.

Подача насоса, л/мин:

 

.5 По расчётным данным подбираем оборудование

.5.1 КЩО

Техническая характеристика.

Параметры Величина параметра

Номинальная производительность, т/сут 250-800

Массовая доля волокна, % 8-12

Водородный показатель, ед Рн 10-12

Рабочее давление, Мпа 0,5-1,0

Рабочая температура, 0С 120

Основной материал реактора сталь 12х18Н10Т

.5.2 Башни отбелки

Техническая характеристика.

Параметры Величина параметра

Номинальная вместимость, м3 40-2000

Массовая доля волокна, %

на входе до 12

на выходе 1,5-4,5

Перемешивающее устройство: трехлопастная винтовая мешалка

Диаметр винта, мм 750-1250

Основные материалы двухслойная сталь с плакирующим слоем,

марки: 12х18Н10Т,10х17Н13М2Т,титан ВТ1-0

5.5.3 двухвальные смесители

Техническая характеристика.

Параметры Величина параметра

Производительность, т/сут не более 100 200 400

Вместимость, м3 1,25 1,25 2,5

Массовая доля волокна, % не более 12 12 12

Рабочее давление, Мпа гидростатическое

Рабочая температура, 0С не более 80 85 90

Мощность электродвигателя, кВт 37 37 75

Основные материалы 12х18Н10Т или 10х17Н13М2Т

Расчетная масса, кг 4800 4800 6870

.5.4 Бассейн с горизонтальным перемешивающим устройством

Основной материал: двухслойная сталь с плакирующим слоем марки 12Х18Н10Т или 08Х17Н15М3Т.

Техническая характеристика.

Параметр 204-135А-11

Вместимость номинальная, м3 630

Диаметр бассейна D, мм 7000

Масса в.с. вещества, т не более 10,42

Массовая доля волокна, % 5

Мощность установки, кВт не более 72

Габаритные размеры, мм: длина L 8980

ширина, В 7500

высота, Н 6617

Масса бассейна, кг 18530

.5.5 Промывной пресс Twin RollTM - B

Техническая характеристика.

Параметр пресс, тип DPA - xx/yy

Фильтрующая поверхность, м2                                            25,4

Размеры: длина, мм 8450

Ширина, мм 3000

Высота, мм 4000

Транспортная маркировка:

Вес нетто, кг 32000

Вес брутто, кг 34000

Объём, м3 64

Электродвигатели:

Мощность главного насоса, кВт 110

Скорость главного насоса, об/мин 1450

Мощность насоса высокого давления, кВт 1,5

Мощность насоса в средней части, кВт 3,0

Мощность электронасоса, кВт 18,5

Скорость электронасоса, об/мин 1450

.5.6 насосы

ипоразмер насоса БМ 118/31,5 (8БМ-7Н) БМ 530/22,4 (14БМ-14Н)

для химикатов для воды

Подача, м3/ч 118 530

Напор, м 31,5 22,4

Частота вращения, с-1(об/мин) 24(1450) 16,3(980)

КПД, % не менее 63 72

Мощность, кВт 17 47,5

6. Производственный контроль и обслуживание в отбельном отделе

В современных отбельных отделах, работающих полностью непрерывно, производственный контроль и обслуживание легко поддаются автоматизации. Основное правило, которым руководствуются при организации контроля, это соблюдение и поддержание постоянным заданного режима отбелки.

Для непрерывной отбельной установки, прежде всего, важно поддержание постоянной концентрации и количества жидкой массы, проходящей различные стадии процесса. Задача поступления постоянного количества небеленой целлюлозы на отбелку решается с помощью установки регулятора концентрации, массы и переливного бачка постоянного уровня перед башней хлорирования. В качестве регулятора концентрации применяют чаще всего поплавковый регулятор, удовлетворительно работающий при концентрации массы 3…4 %. Труднее поддерживать постоянную концентрацию и количество массы на промежуточных стадиях, в особенности в башнях со средней и высокой концентрацией массы. Здесь ограничиваются обычно установкой регистраторов уровня массы в башнях, а концентрацию устанавливают путем периодических лабораторных анализов.

Вторым элементом производственного контроля является определение температуры и правильная дозировка химикатов. Для определения температуры пользуются термометрами сопротивления с регистрирующими электронными мостами. Легко осуществимо автоматическое регулирование температуры с помощью различных электрических и пневматических терморегуляторов. Дозировка химикатов производится с помощью ротаметров указывающего или регистрирующего типа. Для стадий отбелки гипохлоритом и диоксидом хлора очень важно, кроме того, определение и регулирование Рн, Для этой цели имеются самопишущие потенциометры или Рн-метры со стеклянным, электродом. В последнее время появились также приборы для определения окислительного потенциала во время отбелки.

Автоматический контроль должен быть дополнен систематическим лабораторным контролем, выполняемым цеховой или заводской лабораторией. Лаборатория определяет концентрацию массы в различных местах производственного потока, концентрацию растворов химикатов, контролирует остаточное содержание хлора или щелочи в массе, выходящей из башен и сходящей с пресс-фильтров, определяет химические и механические показатели целлюлозы в процессе отбелки. Качество готовой продукции обычно контролируется отделом технического контроля после выработки на пресспате.

По данным лабораторного и текущего автоматического контроля устанавливаются удельные расходы химикатов. Расходы пара, воды, энергии определяют с помощью паромеров, водомеров и регистрирующих ваттметров. Несколько труднее установить химические и механические потери волокна при отбелке. Для этого обычно приходится предпринимать специальные исследования по составлению баланса воды и волокна, с определением количества сточных вод и содержащихся в них веществ.

Обслуживающий штат отбельного отдела в каждой смене состоит из старшего отбельщика и одного или нескольких подручных. Для сокращения штата большое значение имеет применение дистанционного (кнопочного) управления многочисленными вентилями и электродвигателями. Имеются полностью автоматизированные отбельные установки, где управление всеми вентилями и электродвигателями вынесено на контрольные панели вместе с контрольными приборами.

Старший отбельщик нередко выполняет и некоторые контрольные химические анализы, он ведет записи в производственном журнале и полностью отвечает за соблюдение режима отбелки. Подручные отбельщика, число которых зависит от сложности установки и степени ее автоматизации, обслуживают отдельные операции и аппараты - смесители, пресс-фильтры и т. П.

Отбельные отделы по условиям труда являются вредными и должны иметь хорошую вентиляцию. Постоянное ношение противогазов является обязательным. Вентиляцию устраивают по приточной подпорной системе, так как это гарантирует oт попадания в цех пыли из соседних помещении и из атмосферы.

7. Отходы производства, сточные воды и выбросы в атмосферу

.1 СТОЧНЫЕ ВОДЫ

Для сокращения расхода свежей воды, и уменьшения количества стоков в схеме отбелки предусматривается использование оборотной воды.

Фильтрат с каждой ступени отбелки используется на разбавление массы в этой же ступени.

За счет промывки массного полотна на барабане пресс-фильтра свежей водой в баке фильтрата каждого фильтра имеется избыток оборотной воды.

Фильтрат первых трёх ступеней отбелки наиболее загрязнён, его избыток сбрасывается в канализацию. Это способствует выводу из процесса экстрагированных и растворённых загрязнений, ухудшающих в дальнейшем качество продукции

Фильтрат 1 и 2 ступеней отбелки двуокисью хлора достаточно чистый, и, как правило, его избыток используется для разбавления массы, поступающей на отбелку из варочного цеха.

Фильтрат 2 ступени щелочения частично используется для поглощения вредных газов на газопромывных колонках.

Для разбавления массы, подаваемой на сортирование из башен хранения массы высокой концентрации, используется избыток подсеточной воды от сушильной машины, который собирается в бассейне оборотной воды.

.2 Газовые выбросы

Газы, содержащие вредные вещества подвергаются очистке на газопромывных колоннах.

Газовоздушная смесь из баков химикатов (бак сернистой кислоты, бак двуокиси хлора), баков оборотной воды, из-под колпаков вакуум-фильтров, непрореагировавшие газы башен отбелки двуокисью хлора направляются на газоочистную колонку, откуда после орошения щелочной водой выбрасывается в атмосферу вентилятором.

Непрореагировавший газ из башен отбелки, из - под колпаков пресс-фильтров, газовоздушная смесь от баков оборотной воды направляются на газопромывную колонку, где также производится орошение щелочным фильтратом. Вентилятором очищенный воздух выбрасывается в атмосферу. Весь фильтрат с газопромывных колонок сбрасывается канализацию цеха.

Отвод неагрессивной парогазовой смеси из под колпаков пресс-фильтров в атмосферу; вытяжная вентиляция из-под колпаков пресс-фильтров, предусматривает местный отсос неагрессивной парогазовой смеси, отдельно установленными вентиляторами на каждом фильтре производительностью каждый 800 м3/ч с выбросом в атмосферу.

Удаление вытяжной вентиляцией загрязненного воздуха из наиболее загазованных рабочих зон; вытяжной вентиляцией цеха В-1, В-2 и В-3 производится улавливание загрязненного воздуха с отметки 0.00 от насосов баков хранения химикатов и проемов, соединяющих отбельный цех с варочным цехом (производительность 12000 м3/ч). вытяжные вентиляторы пресс-фильтров производительностью по 800м3/час, подают газовоздушную смесь из-под колпаков этих фильтров на газоочистную установку производительность вентиляторов вытяжки из 1 и 2 газопромывных колонок - по 34000 м3/ч с выбросом в атмосферу.

Подачу свежего воздуха в цех; приточной вентиляцией П-1, П-2, П-18, П-19 обеспечивается подача свежего воздуха в помещение цеха в количестве 14500 м3/ч.

8. Основные правила безопасной эксплуатации производства.

Таблица 8.1 - Классификация здания и производственного процесса

Наименование

Категория помещения или здания по НПБ 105-95

Класс помещения по ПУЭ

Категория и группа взрывоопасных смесей по ГОСТ 12.1-011-78

Группа производственных процессов по санитарной характеристике по СниП 209.04-87 и отраслевым нормам

отбельный цех

Д

особо опасное

отсутствуют


Таблица 8.2 - Характеристика веществ, применяемых в производстве.

Наименование вещества

Класс опасности по ГОСТ 12.1.007-76

ПДК в воздухе рабочей зоны (мг/м3)

Характеристика токсичности

Двуокись хлора ClО2 (водный раствор)

1

0,1

Газ зеленовато-жёлтого цвета с удушливым запахом, с сильно раздражающим действием

Сернистый ангидрид SO2 (водный раствор)

3

10

Газ бесцветный с резким запахом раздражающего действия

Водный раствор едкого натра NаОН

2

0,5

Действует прижигающим образом

Щелочной раствор гипохлорита натрия NaOCl

-

-

Действует прижигающим образом

Водный раствор отходов цеха двуокиси хлора, содержащий серную кислоту H2SO4

2

1

Имеет прижигающее и раздражающее действие


Сырьё, материалы, химикаты, используемые в цехе, не имеют пожаровзрывоопасных свойств.

8.3 Характеристика опасностей, имеющих в производстве особые требования безопасности

Отбельный цех относится к опасным производственным объектам по следующим признакам:

.3.1 В производстве используется высокотоксичная двуокись хлора (1класс опасности)

.3.2 В состав оборудования цеха входят трубопроводы пара и теплообменники, работающие под давлением пара более 0,07 Мпа (0,7кгс/см2)

.3.3 Используется стационарно установленный мостовой кран

Кроме этого имеются другие опасные и вредные факторы

.3.4 Использование водных растворов кислот и щелочей

.3.5 Наличие большого количества дистанционно и автоматически включаемого оборудования

.3.6 Наличие горячих поверхностей

.3.7

Похожие работы на - Проект отбельного цеха сульфат-целлюлозного завода

 

Не нашли материал для своей работы?
Поможем написать уникальную работу
Без плагиата!
Без нейросетей!