Программный комплекс для выбора и исследования одношнековых экструдеров в многоассортиментных производствах полимерных материалов
СОДЕРЖАНИЕ
ОБОЗНАЧЕНИЯ
И СОКРАЩЕНИЯ
ВВЕДЕНИЕ
.
АНАЛИТИЧЕСКИЙ ОБЗОР
.1
Характеристика одношнековых экструдеров в производствах полимерных материалов
.1.1
Геометрические характеристики и технико-экономические показатели экструзионных
агрегатов для изготовления пленок и листов
.1.2
Экструзионные головки
.1.3
Режимы экструзии пленок и листов
.2
Характеристика производства плоских пленок и листов
.2.1
Производство плоских пленок и листов
.2.2
Производство рукавных пленок
.3
Анализ математических моделей для исследования процессов одношнековой экструзии
полимеро
.4
Математические модели для расчета экструзионных головок
.5
Расчет характеристик процесса одношнековой экструзии на базе метода
моделирующих потоков
.6
Программное обеспечение для моделирования и исследования одношнековых
экструдеров
.7
Обзор СУБД
.8
Выводы по аналитическому обзору
.
ЦЕЛЬ И ЗАДАЧИ РАБОТЫ-ПРОЕКТА
.
ТЕХНОЛОГИЧЕСКАЯ ЧАСТЬ
.1
Формализованное описание процесса одношнековой экструзии как объекта
исследования
.2
Постановка задачи выбора и исследования экструдеров
.3
Функциональная структура программного комплекса
.4
Подсистема выбора экструдеров
.4.1
База данных характеристик экструдеров и полимерных материалов
.4.2
Алгоритм решения задачи выбора экструдера с заданными характеристиками
.4.3
Интерфейс для выбора экструдеров
.5
Подсистема моделирования и исследования процесса экструдзии
.5.1
Математическая модель процесса экструзии
.5.2
Алгоритм расчета выходных параметров экструдера
.5.3
Алгоритм решения задачи исследования
.5.4
Интерфейс исследования процесса экструзии
.
РЕЗУЛЬТАТЫ И ОБСУЖДЕНИЕ
.
ЭКСПЕРИМЕНТАЛЬНАЯ ЧАСТЬ
.1
Работа с подсистемой выбора
.2
Работа с подсистемой моделирования процесса экструзии
.
ЗАКЛЮЧЕНИЕ И ВЫВОДЫ
СПИСОК
ИСПОЛЬЗОВАННЫХ ИСТОЧНИКОВ
ВИДЫ
И ОБЪЕМ РАБОТ, ВЫПОЛНЕННЫХ С ИСПОЛЬЗОВАНИЕМ ЭВМ И ЭЛЕМЕНТОВ САПР
ПРИЛОЖЕНИЕ
А Стандартизация
ПРИЛОЖЕНИЕ
Б Охрана труда и окружающей среды
ПРИЛОЖЕНИЕ
В Технико-экономическая оценка работы-проекта
ПРИЛОЖЕНИЕ
Г Руководство оператора
ОБОЗНАЧЕНИЯ И СОКРАЩЕНИЯ
- шаг
нарезки шнека экструдера, м;
-
безразмерный градиент давления в циркуляционном потоке;
-
безразмерный градиент давления в поступательном потоке;
- первая
универсальная константа уравнения Вильямса-Лэндела-Ферри при температуре
стеклования полимера;
- вторая
универсальная константа уравнения Вильямса-Лэндела-Ферри при температуре
стеклования полимера, °C;
- диаметр
шнека экструдера, м;
-
энергопотребление экструдера, Вт;
-
энергия активации процесса термической деструкции, Дж/моль;
-
коэффициент влияния боковых стенок канала шнека на вынужденный поток расплава;
-
коэффициент влияния боковых стенок канала шнека на поток расплава под
давлением;
-
коэффициент влияния боковых стенок головки на поток расплава;
-
производительность экструдера, кг/с;
-
глубина канала шнека экструдера, м;
- индекс
термической деструкции экструдата, %;
-
относительная длина шнека экструдера;
-
давление расплава полимера на выходе из канала шнека, Па;
-
начальное давление расплава полимера, Па;
-
давление расплава на входе в головку, Па;
N - частота
вращения шнека, об/c;
Tb - температура
корпуса, °С;
-
объемный расход потока расплава в экструдере, м3/с;
-
объемный расход вынужденного потока расплава в экструдере, м3/с;
-
температура расплава полимера на выходе из канала шнека, °С;
-
температура деструкции полимерного материала, °С;
-
температура стеклования полимерного материала, °C;
-
температура приведения, °C;
-
температура шнека экструдера, °C;
- составляющая
окружной скорости шнека, действующая поперек канала шнека, м/с;
-
составляющая окружной скорости шнека, действующая вдоль оси канала шнека, м/с;
- ширина
канала шнека экструдера, м;
- длина
канала шнека экструдера, м;
-
удельная теплоемкость, Дж/(кг×°C);
- осевая
толщина витков нарезки шнека экструдера, м;
-
коэффициент гидравлического сопротивления головки, м3;
l - длина щели
головки, м;
- индекс
течения расплава;
w - ширина
плоского зазора щели головки, м;
- шаг
варьирования относительного объемного расхода потока;
-
относительный объемный расход потока расплава в экструдере;
-
коэффициент теплоотдачи от корпуса к расплаву, Вт/(м2×°C);
-
коэффициент теплоотдачи от расплава к шнеку, Вт/(м2×°C);
-
толщина плоского зазора щели головки, м;
-
безразмерная координата сечения нулевого напряжения вязкого трения в
циркуляционном потоке;
-
безразмерная координата сечения нулевого напряжения вязкого трения в
поступательном потоке;
-
коэффициент консистенции расплава, Па×сn;
-
коэффициент консистенции расплава при температуре приведения, Па×сn;
-
плотность расплава, кг/м3;
- время,
соответствующее необратимому изменению цвета материала при термодеструкции, с;
w1 - ширина
плоского зазора плоскощелевой головки, м;
δ1, δ2 - толщина зазора плоскощелевой и кольцевой головок, м;
l1, l2 -
длина плоскощелевой и кольцевой головок, м;
-
среднее время пребывания полимерного материала в экструдере, с;
- угол
наклона витков нарезки шнека экструдера, град;
η - вязкость расплава, Па
c;
c - геометрическая
степень сжатия полимерного материала.
-
температура плавления полимерного материала, °С;
-
температурный коэффициент вязкости, 1/°С;

-
степень смешения экструдата, ед. сдвига;

-
скорость сдвига, 1/с.
-
кинематические характеристики одномерных моделирующих потоков;
We- ширина
экструдера, м;
Нe -
высота экструдера, м;
Ze - длина
экструдера, м;
Me - масса
экструдера, кг;
С
- стоимость экструдера, млн. р.;
K0 = { Gmin,
Emax, Wamax, Zamax, Hamax, Mamax, Cmax } - вектор предельных значений критериальных
ограничений.
ВВЕДЕНИЕ
Являясь одним из самых распространенных методов переработки полимерных
материалов, экструзия также требует и достаточно дорогого оборудования. Его стоимость
определяется различными факторами, среди которых важное место занимают
конструктивные особенности шнека и, как следствие, производительность,
энергопотребление, виды полимерных материалов, которые могут быть переработаны
данным конкретным экструдером с учетом качества полученного материала.
В то же время для того, чтобы производства по переработке полимерных
материалов были наиболее эффективны, необходимо предоставлять потребителю
различные виды продукции, что обусловлено весьма развитым рынком полимерных
изделий. Поэтому производство должно обладать гибкостью, перенастраиваясь на
различные типы сырья, конфигурации изделий и производительность в зависимости
от текущих потребностей рынка. Переход на переработку другого типа полимерного
материала или на производство изделий другой конфигурации сопровождается и
изменением режимных параметров процесса экструзии. Необходимо отметить, что
подбор таких параметров экспериментальным путем на основе субъективной оценки
оператором качества экструдата ведет к неизбежному увеличению бракованного
продукта, а сложность процессов, которыми характеризуется экструзия, не
позволяет рассчитать их обычными методами без использования современных
информационных технологий.
Кроме того, решение задачи выбора экструзионных агрегатов при
проектировании полимерного производства осложнено необходимостью одновременного
учета множества ограничений по ТЭП экструдеров.
Как следствие, актуальной задачей становится разработка такого
программного комплекса, который позволял бы осуществлять автоматизированный
выбор экструдеров из базы данных по заданным технико-экономическим показателям,
а так же исследовать процесс экструзии, протекающий в нем, для определения
наилучших режимных параметров процесса, обеспечивающих минимальное энергопотребление
агрегата при выполнении требований к показателям качества продукции в
многоассортиментных производствах полимерных материалов.
1. АНАЛИТИЧЕСКИЙ ОБЗОР
1.1 Характеристика одношнековых экструдеров в производствах
полимерных материалов
.1.1 Геометрические характеристики и технико-экономические
показатели экструзионных агрегатов для изготовления пленок и листов
Под экструзией понимают способ переработки полимерных материалов
непрерывным продавливанием их расплава через формующую головку, геометрическая
форма выходного канала которой определяет профиль получаемого изделия или
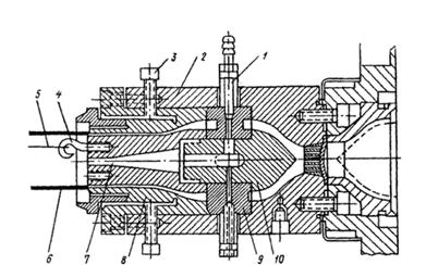
полуфабриката. Основным оборудованием экструзионного процесса является шнековый
экструдер (рисунок 1.1). В экструдере полимерный материал расплавляется,
пластицируется и затем нагнетается в головку [1].
Рисунок 1.1 - Принципиальное устройство одношнекового экструдера
Полимерный материал из бункера 3 поступает в цилиндр 2, захватывается
вращающимся шнеком 1 и транспортируется к формующей головке 7. При этом полимер
в питающей зоне l1 размягчается и
уплотняется в пробку, в зоне сжатия l2 он расплавляется, а в зоне дозирования l3 гомогенизируется и подготавливается к подаче в формующую
головку. Для регулировки теплового режима и условий транспортирования на
цилиндре устанавливаются зонные кольцевые нагреватели 5. Участок цилиндра
вблизи загрузочного отверстия охлаждается водой по каналам 4, а для контроля
температуры служат термопары 6. Большая часть конструкций шнека предусматривает
его внутреннее охлаждение водой, подаваемой и отводимой через устройство 10.
Шнек получает вращение от электромеханического привода, состоящего из
электродвигателя 12 постоянного или переменного тока и редуцирующей
механической передачи 9. Осевое усиление, действующее на шнек в направлении,
противоположном транспортированию расплава, воспринимается подшипниковым узлом
11. Все рабочие узлы экструдера смонтированы в корпусе 8. Следует отметить, что
в современных экструдерах цилиндр и электромеханический привод нередко располагаются
в одной горизонтальной плоскости, что позволяет существенно уменьшить
вертикальный габаритный размер машины.
По мере прохождения через экструдер материал уплотняется, расплавляется и
гомогенизируется. При этом образуется давление, за счет которого расплав
продавливается через формующую головку. В одношнековом экструдере могут быть
выделены 3 зоны: питания, плавления и дозирования .
В зоне питания материал присутствует в виде гранул, перемещаясь по
винтовому каналу преимущественно за счет силы своего веса, скатываясь при
вращении шнека. Свободному перемещению материала препятствует сопротивление
формующей головки, поэтому материал полностью заполняет канал и в нем
развивается давление. Далее материал уплотняется и уже не может двигаться под
действием своего веса. На этом участке основной движущей силой является
разность сил трения между цилиндром и материалом и червяком и материалом. В
таких условиях гранулы перемещаются уже как пробка. Следует отметить, что чем
больше разность сил трения между цилиндром и материалом и шнеком и материалом,
тем больше производительность зоны питания, что способствует транспортировке
материала в последующих зонах. Для увеличения этой разности поверхность
цилиндра делают шероховатой, а поверхность червяка полируют. Также у большинства
полимеров коэффициент трения значительно возрастает с ростом температуры,
поэтому в зоне питания стараются поддерживать максимальную для режима сухого
трения температуру - как правило, 353 - 373 К.
Далее твердый материал попадает в зону плавления. Соприкасаясь с
цилиндром, температура которого в этой зоне значительно выше температуры
плавления материала, пробка начинает плавиться, в результате чего между ней и
цилиндром возникает тонкая пленка. Толщина этой пленки не превышает нескольких
долей миллиметра, поэтому в ней расплав подвергается очень интенсивному
сдвиговому деформированию. При этом диссипативных тепловыделений в
высокоскоростных машинах часто бывает достаточно для прогрева и плавления
расплава, что позволяет обойтись без дополнительного нагрева цилиндра. По мере
продвижения по винтовому каналу шнека пробка постепенно уменьшается, материал
из нее постепенно переходит в пленку, а затем в область расплава.
В зоне дозирования вследствие прилипания расплава к стенкам канала его
скорость вблизи стенок равна скорости самих стенок, при этом ее продольная
составляющая формирует вынужденный поток по направлению к выходу из канала. На
выходе же существует значительное давление, вследствие чего образуется перепад
давления, вынуждающий часть расплава двигаться в направлении, противоположном
вынужденному потоку. Также в этой зоне существует циркуляционное течение в
поперечном сечении винтового канала, обусловленное перепадом давления по высоте
канала вблизи одной из стенок. Расплав, достигнув верхней части стенки канала,
стекает вдоль этой стенки в нижнюю часть канала, где образуется поток в
обратном направлении. При этом часть расплава проходит через кольцевой зазор.
Таким образом, производительность экструдера можно определить как разность
вынужденного потока и суммы обратного потока и потока утечки через зазор.
В настоящее время наиболее распространены три группы червяков,
различающихся размерами и конфигурацией трех основных конструктивных зон
канала: загрузки, сжатия и дозирования [2].
К первой группе относят шнеки для материалов с широким температурным
интервалом размягчения. Они имеют зону загрузки длиной (4-6)D. Зона сжатия с монотонно
уменьшающейся глубиной канала - длиной (7-13) D. Зона дозирования составляет (3-8) D. Степень сжатия этих шнеков составляет 2,5 - 3.
Ко второй группе относят шнеки для материалов с низкой термостабильностью
и с широким интервалом температур размягчения. Зона загрузки по длине такая же,
как и у шнеков первой группы, зона сжатия составляет (12-18)D, а зона дозирования нередко
отсутствует. Степень сжатия таких шнеков составляет 1,5 - 2.
К третьей группе относят шнеки для высококристаллических материалов. В
конструктивной зоне питания этих шнеков размещены две функциональные зоны -
загрузки и плавления, поэтому длина этой зоны достигает (14-16)D. Длина зоны сжатия (1,5-2)D. Длина зоны дозирования (4-7)D. Степень сжатия составляет (3-4,5)D. Ряд общих длин червяков
регламентирован и составляет 20D, 25D, 30D и 40D.
Диаметры червяков также строго определены - 20; 32; 45; 63; 125; 160; 200; 250;
320; 450; 630 мм. Глубина винтового канала составляет (0,12-0,16) D, ширина гребня нарезки - (0,05-1)D, радиальный зазор между гребнем и
цилиндром - (0,002-0,1)D.
Зависимость частоты вращения шнека от его диаметра приведена на рисунке 1.2.
Верхняя граница рабочей области определяется таким образом, чтобы избежать
механодеструкцию при максимальной скорости вращения червяка.
Рисунок 1.2 - Зависимость частоты вращения шнека от его диаметра
В таблицах 1.1 и 1.2 приведены геометрические и технико-экономические
характеристики для некоторых одношнековых экструдеров, применяемых в
производстве листов и пленки [3].
Таблица 1.1 - Геометрические и технико-экономические характеристики
экструзионных агрегатов для производства листов
|
Марка
|
Диаметр шнека, мм
|
Относительная длина шнека
|
Длина элемента шнека, мм
|
Глубина канала шнека, мм
|
Толщина витков нарезки, мм
|
Число заходов нарезки шнека
|
Радиальный зазор, мм
|
|
SLE 1-90
|
90
|
15
|
40
|
16,1
|
9
|
2
|
0,9
|
|
SLE 1-125
|
125
|
35
|
65
|
22,3
|
12,5
|
2
|
1,10
|
|
SLE 1-160
|
160
|
20
|
74
|
28,6
|
16
|
2
|
1,4
|
|
MKS 70
|
70
|
11
|
42
|
12,5
|
5
|
2
|
0,70
|
|
MKS 140
|
140
|
11
|
80
|
25
|
10
|
2
|
1,10
|
|
MKS 200
|
200
|
11
|
120
|
35
|
14
|
2
|
1,60
|
|
SLE 1-90
|
4
|
1,36
|
1,7
|
13000
|
16
|
132
|
30-600
|
|
SLE 1-125
|
5,2
|
1,4
|
1,9
|
7000
|
21
|
500
|
40-650
|
|
SLE 1-160
|
6,1
|
1,7
|
2,2
|
10000
|
28
|
950
|
40-700
|
|
MKS 70
|
3,28
|
2,1
|
2,6
|
4200
|
26
|
100
|
10-500
|
|
MKS 140
|
5,8
|
3,2
|
3,2
|
6800
|
32
|
650
|
10-500
|
|
MKS 200
|
6,7
|
3,8
|
3,5
|
9500
|
35
|
1200
|
10-500
|
|
|
|
|
|
|
|
|
|
|
|
|
|
|
|
Таблица 1.2 - Геометрические и технико-экономические характеристики
экструзионных агрегатов для производства пленки
|
Марка
|
Диаметр шнека, мм
|
Относительная длина шнека
|
Длина элемента шнека, мм
|
Глубина канала шнека, мм
|
Толщина витков нарезки, мм
|
Число заходов нарезки шнека
|
Радиальный зазор, мм
|
|
Leistritz
|
100
|
32
|
45
|
17,9
|
10
|
2
|
0,85
|
|
ЛРП-45-700М
|
45
|
25
|
24
|
8
|
4,5
|
2
|
0,5
|
|
ЛРП-63-1000М
|
63
|
30
|
29
|
11,3
|
4,5
|
2
|
0,6
|
|
MKS 46
|
46
|
11
|
27
|
7
|
3
|
2
|
0,45
|
|
MKS 55
|
55
|
11
|
33
|
9
|
3,5
|
2
|
0,55
|
|
MKS 100
|
100
|
11
|
60
|
17,5
|
7
|
2
|
0,85
|
|
Leistritz
|
4,8
|
1,55
|
2,2
|
10000
|
15
|
200
|
20-600
|
|
ЛРП-45-700М
|
5,4
|
2,3
|
2,2
|
12000
|
18
|
86
|
30-200
|
|
ЛРП-63-1000М
|
5,1
|
2,4
|
2,6
|
15000
|
24
|
200
|
30-200
|
|
MKS 46
|
2,8
|
1,7
|
2,4
|
950
|
20
|
50
|
10-500
|
|
MKS 55
|
2,985
|
1,8
|
2,4
|
2200
|
23
|
65
|
10-500
|
|
MKS 100
|
4,43
|
2,65
|
2,9
|
5400
|
29
|
260
|
10-500
|
|
|
|
|
|
|
|
|
|
|
|
|
|
|
1.1.2 Экструзионные головки
Для производства труб (гладких, гофрированных, перфорированных) применяют
кольцевую прямоточную головку. Толщину стенки экструзионной трубчатой заготовки
регулируют вращением нескольких регулировочных винтов 3. Если калибрующую
насадку не применяют, то это отношение увеличивается до 20-40 для получения
экструдата с большей точностью размеров. Давление расплава в головке находится
в пределах 15-20 МПа (реже 30 МПа), К дорну 10 крепится трос 5 или цепь,
которая удерживает уплотнительные пробки, скользящие по внутренней поверхности
трубы. В свою очередь пробки нужны для создания внутреннего давления в трубной
заготовке для ее калибрования по наружному диаметру. При калибровке по
внутреннему диаметру пробки не применяют.
Экструзия плоских пленок осуществляется с использованием коллекторных
плоскощелевых головок. Наличие в головке коллектора дает возможность устранить
возможные пульсации расплава и распределить его равномерно по всей ширине
головки с равными параметрами [4]. На рисунке 1.3 изображена прямоточная
кольцевая головка.
- штуцер для подвода сжатого воздуха; 2- корпус; 3- регулировочные винты;
4- крепежное устройство; 5- трос для удержания скользящих пробок в трубе (в
калибрующем устройстве); б- трубная заготовка; 7- канал для поступления в трубу
сжатого воздуха; 8- матрица; 9- дорнодер-жатель; 10- дорн
Рисунок 1.3 - Прямоточная кольцевая головка для изготовления труб и
шлангов
На рисунке 1.4 представлено изображение плоскощелевой головки. Расплав
после пакета сеток через переходник поступает в коллектор, где растекается по
всей ширине головки и, вследствие добавочного перепада давления, экструдируется
через щель в виде полотна. Толщину экструдированного полотна расплава
регулируют подвижной губкой 3. Однако расплав поступает в щель с неодинаковым
перепадом давления по ширине в связи с разным путем протекания по коллектору и
поэтому - разными потерями давления. По центру коллектора расплав проходит
наименьший путь (от переходника до щели), значит, здесь будут наименьшие потери
давления на течение. С отдалением от центра (места выхода расплава с
переходника) потери возрастают на преодоление сопротивления перетекания по
коллектору. Вследствие разных потерь давления по ширине головки, на входе из
экструдера и до края коллектора, возникают разные перепады давления, что
обуславливает разный выход материала из щели, а, значит, возможна
разнотолщинность пленки по ширине полотна.
Эта проблема возрастает с повышением вязкости расплава. Для выравнивания
потока чаще всего используют вкладки 10, которые по центру наиболее
приближаются к нижней плите, а по краю находятся дальше всего. Кроме этого,
подвижную губку выполняют из эластичного металла, что позволяет сформировать
аналогичный профиль щели вследствие выгибания губки в зависимости от давления в
расплаве [4].

1 - направление потока, 2 - переходник с фильтром, 3,11 - верхняя и нижняя
плита, 4 - регулирующий сердечник, 5 - соленоидная катушка, 6 - регулирующий
винт, 7,10 - подвижные вкладки, 8 - подвижная губка, 9 - неподвижная губка, 12
- нагреватели, 13 - теплоизоляция
Рисунок 1.4 - Схема плоскощелевой головки
1.1.3 Режимы экструзии пленок и листов
В таблице 1.3 представлены параметры режима производства рукавных пленок.
При выборе режима плавления необходимо учитывать, что темепература цилиндра
должна плавно возрастать от участка загрузки до формующей головки.
Таблица 1.3 - Параметры режима производства рукавной пленки и листов
|
Тип полимера
|
|
Температура по зонам, °С
|
Давление расплава на
головку, МПа
|
|
Вид изделия
|
Цилиндр
|
Головка
|
|
|
|
I
|
II
|
III
|
|
|
|
ПЭНП
|
Рукавные пленки
|
125
|
135
|
140
|
140
|
10-15
|
|
ПЭВП
|
Листы
|
140
|
170
|
182
|
180-182
|
13-19
|
|
ПП
|
Листы
|
185
|
220
|
245
|
250
|
15-20
|
|
ПЭСП
|
Рукавные пленки
|
130
|
140
|
150
|
150
|
13-20
|
|
УПС
|
Листы
|
170
|
195
|
195
|
15-25
|
|
Поликарбонат
|
Листы
|
165
|
190
|
250
|
300
|
25-40
|
Параметры режима экструзии плоских пленок и листов в целом схожи с параметрами
экструзии рукавных пленок за исключением того, что температура материала при
экструзии плоских пленок и листов небольшой толщины через головки должна быть
на 30 - 50 °С выше, чем при рукавном методе. Это обусловливается необходимостью
снижения вязкости расплава из-за большого сопротивления плоскощелевой головки.
Скорость экструдирования через щелевую головку составляет 120 - 150 м/мин,
тогда как при рукавном методе - до 90 м/мин [5].
1.2 Характеристика производства плоских пленок и листов
1.2.1 Производство плоских пленок и листов
Производство плоской пленки плоскощелевым методом состоит в выдавливании
расплава через головку на охлаждающий валок (рисунок 1.5). Такая пленка
проходит через охлаждающие, направляющие, разглаживающие, тянущие валки и
поступает либо на намотку, либо на устройство для продольной, поперечной или
плоскостной ориентации. Она может быть как практически изотропной, так и иметь
разную степень ориентации. Благодаря быстрому охлаждению она более прозрачна,
при растяжении обладает высокой прочностью, а также более равномерна по
толщине.
Кроме метода приема готовой пленки охлаждением на валках широко применяют
метод охлаждения в водяной ванне. Первый позволяет регулировать скорость
охлаждения пленки в довольно широких пределах и получать пленку с различным
содержанием аморфной и кристаллической фаз. Второй характеризуется мгновенным
охлаждением пленки и приводит к получению аморфной пленки с повышенной
прозрачностью.
- экструдер; 2 - головка; 3 - приемно-охлаждающие валки; 4 -
приспособление для обрезания кромки; 5 - направляющие валки; 6 - толщиномер; 7
- разглаживающие валки; 8 - тянущие валки; 9 - намоточное устройство
Рисунок 1.5 - Схема технологической линии получения плоской пленки
При необходимости получения пленки с минимальной ориентацией охлажденная
пленка перематывается приемным устройством с минимальным натяжением и после
обрезки кромок сматывается в рулоны. Пленка, выходящая из головки, попадает в
водяную ванну и сразу охлаждается. В ванне пленка огибает свободно вращающийся
вал и с помощью оттягивающих валков поступает на отжимные валки, удаляющие
захваченную влагу. Далее пленка обдувается осушающим воздухом и поступает на
намоточное устройство. Охлаждающая вода должна поступать равномерно и
достаточно интенсивно, но при этом поверхность воды должна оставаться
спокойной, а уровень воды постоянным.
При получении ориентированной пленки продольная вытяжка обычно
достигается с помощью нескольких пар тянущих валков, движущихся с различной
скоростью. Так как ориентация требует определенной температуры, достаточной для
достижения подвижности макромолекул, первая пара валков часто служит для
разогрева пленки, вторая - для вытяжки, а третья - для охлаждения. В
зависимости от природы полимера, степень вытяжки может быть различной, но
обычно у большинства полимеров не превышает 300 - 500 %.
Иногда для снижения напряжений, возникающих при ориентации, охлажденная
пленка поступает на термофиксацию - дополнительный прогрев ориентированной
пленки в напряженном состоянии до повышенной температуры. Это достигается
применением специальной печи туннельного типа. Температура в печи несколько
выше температуры ориентации. Так, например, при получении пленки из
полипропилена ее прочность в направлении ориентации при степени вытяжки 400 -
500 % возрастает с 40 до 200 МПа [5].
Лист представляет собой плоский прямоугольный профиль с большим
отношением ширины к высоте. Для получения листа с высококачественной
поверхностью подаваемый на экструзию материал лучше подсушивать и подогревать,
используя бункерные сушилки, снабженные ворошителем для предотвращения слипания
материала и более равномерного питания экструдера.
Подача материала без пульсаций и толчков является важным условием
получения качественных листов. Также необходимо поддерживать равномерный и
постоянный тепловой режим. Если происходит переработка материала с добавлением
отходов, то необходимо не только поддерживать постоянным его содержание, но и
добиваться равномерного распределения в новом материале.
Охлаждение следует вести равномерно, так как оно заметно сказывается на
производительности экструдера и может привести к неравномерности подачи
материала.
Согласно технологической схеме (рисунок 1.6), листы сразу после выхода из
головки экструдера попадают на средний валок приемного каландра,
предназначенного для калибрования и охлаждения шприцуемого листа. Приемный
каландр представляет собой трехвальный агрегат, валки которого расположены в
вертикальной плоскости и имеют индивидуальный привод с плавной регулировкой
числа оборотов. Меньший диаметр верхнего валка позволяет приблизить головку к
приемному устройству и установить провисание листа.
- экструдер; 2 -листовальная головка; 3 - регулятор зазора между валками;
4 - гладильно-калибровочные валки каландра; 5 - ножи для обрезки кромок; 6 -
лист; 7 - рольганг; 8 - тянущее устройство; 9 - гильотинный нож
Рисунок 1.6 - Технологическая схема агрегата для получения листов
Попадая в зазор между первым и вторым, а затем между вторым и третьим
валками, лист равномерно охлаждается и калибруется до необходимой толщины. Как
правило, толщина листа при этом изменяется незначительно. Во избежание
ориентации необходимо строгое согласование скорости вращения всех валков,
которые должны при этом равномерно соприкасаться по всей длине [6].
Окончательно лист остывает на рольганге длиной до 3 - 5 м. Для снижения
ориентации и связанных с ней напряжений может применяться ленточный транспортер
с лентой из нержавеющей стали. В этом случае лист практически не испытывает
даже незначительного натяжения.
1.2.2 Производство рукавных пленок
Рукавная технология получения полимерных пленок получила распространение
благодаря возможности перерабатывать широкий ассортимент термопластов, высокой
производительности технологических линий а также возможности получения
многослойной пленки.
Существует несколько схем получения рукавной пленки. Схема с приемкой
рукава вниз характеризуется быстрым охлаждением рукава, что позволяет получать
пленку большей прозрачности и уменьшить высоту установки, но есть шанс
самопроизвольного отрыва рукава и его вытягивания.
Схема приемки рукава в горизонтальном направлении имеет серьезный
недостаток - вытягиваемый рукав провисает, поэтому охлаждение и напряжения по
его периметру становятся неравномерными, и, как следствие, появляются
разнотолщинность и разнопрочность .
Наиболее распространена схема с приемкой рукава вверх (рисунок 1.7). В
этом случае рукав висит на тянущихся валках, что обеспечивает равномерное
распределение нагрузки от силы его веса по периметру и, как следствие,
равнотолщинность, а также минимальную нагрузку на участке раздувания [3].
Рисунок 1.7 - Технологическая схема агрегата для производства пленки
рукавным методом
Гранулированный полимерный материал пневмозагрузчиком 1 доставляется в
бункер 2 для подсушки и предварительного нагрева. Далее материал
перерабатывается экструдером и выдавливается в виде рукава. Через дрон 4
формующей головки внутрь заготовки подается воздух, под действием которого
осуществляется раздув рукава в поперечном направлении. Для придания
формоустойчивости раздуваемый пузырь интенсивно охлаждают устройством 5 с
использованием кольцевого бандажа 6. Складывающие щеки 8 преобразуют рукав 7 в
двухслойное полотно. Отвод рукава от головки осуществляется тянущим устройством
9. Ширительно-центрирующие валки 11 расправляют складки на полотне 10 перед его
разрезанием 12 и намоткой в рулоны 13.
1.3 Анализ математических моделей для исследования процессов
одношнековой экструзии полимеров
Наиболее значимой для процесса экструзии является зона дозирования шнека.
Именно в этой зоне происходит окончательная гомогенизация расплава, в первую
очередь за счет циркуляционных потоков, способствующих также и интенсивному
теплообмену, во многом определяющему энергопотребление экструдера в целом.
Здесь же происходит продавливание материала через формующую головку при
максимальном давлении, что позволяет судить о производительности экструдера.
Некоторые модели зоны дозирования приведены в таблицах 1.5 - 1.9.
Таблица 1.5 - Математическая модель зоны дозирования, разработанная З.
Тадмором
|
Авторы
|
Экструдер
|
Характеристика процесса
|
Расплав
|
|
Тадмор З.
|
Одношнековый экструдер
|
Установившийся во времени и
по длине канала изотермический процесс, расплав прилипает к стенкам канала и
шнека, отсутствуют утечки расплава через радиальный зазор
|
Неньютоновская,
несжимаемая, неупругая жидкость
|
|
Авторы
|
Структура математической
модели
|
|
|
Уравнения балансов
|
Реологическая модель
расплава
|
Краевые условия
|
Входные параметры
|
Выход-ные
пара-метры
|
Методы решения
|
|
|
|
|
|
|
|
|
|
Тадмор
З. Баланс сил давления:
I=
z
= 0: P = P0




|
Метод итераций для расчета распределения эффективной
вязкости по глубине потока
|
|
|
|
|
Таблица 1.6 - Математическая модель зоны дозирования, разработанная Д.М.
Мак-Келви
|
Авторы
|
Экструдер
|
Характеристика процесса
|
Расплав
|
|
Мак-Келви Д. М.
|
Одношнековый экструдер
|
Установившийся
изотермический процесс, нет течения в кольцевом зазоре, прилипает к стенкам
канала, течение в условиях сложного сдвига
|
несжимаемая, ньютоновская
жидкость (вязкость постоянна)
|
|
Авторы
|
Структура математической
модели
|
|
|
|
Мак-Келви Д. М.
|
Уравнения балансов
|
Краевые условия
|
Входные параметры
|
Выходные параметры
|
Методы решения
|
|
Баланс сил давления Материальный
баланс
|
y = 0: y
= H:
|
|
|
Аналитическое
интегрирование
|
Таблица 1.7 - Математическая модель зоны дозирования, разработанная Ч.Д.
Ханом
|
Авторы
|
Экструдер
|
Характеристика процесса
|
Расплав
|
|
Хан Ч. Д.
|
Одношнековый экструдер
|
Установившийся
неизотермический процесс со сложным сдвигом (расплав движется вдоль и поперек
канала шнека)
|
Неньютоновская жидкость
|
Таблица 1.8 - Математическая модель зоны дозирования, разработанная Р.В.
Торнером
|
Авторы
|
Экструдер
|
Характеристика процесса
|
Расплав
|
|
Торнер Р. В.
|
Одношнековый экструдер
|
Установившееся течение,
размеры канала по всей длине постоянны, стенки канала не влияют на течение,
сложный сдвиг
|
Аномально-вязкий,
несжимаемый
|
|
Авторы
|
Структура математической
модели
|
|
|
|
|
Торнер Р. В.
|
Уравнения балансов
|
Реологическая модель
расплава
|
Краевые условия
|
Входные параметры
|
Выходные параметры
|
Метод решения
|
|
|
|
|
|
|
|
|
Энергетический
баланс:
y = 0: 


|
 𝜇Аналитическое интегрирование
|
|
|
|
Таблица 1.9 - Математическая модель зоны дозирования, разработанная В.
Раманом
|
Авторы
|
Экструдер
|
Характеристика процесса
|
Расплав
|
|
Раман В.
|
Одношнековый экструдер
|
Установившийся во времени
неизотермический процесс, сложный сдвиг
|
Расплав - несжимаемая
неньютоновская жидкость
|
|
Авторы
|
Структура математической
модели
|
|
|
|
|
Раман В.
|
Уравнения балансов
|
Реологическая модель
расплава
|
Краевые условия
|
Входные параметры
|
Выхоные параметры
|
Метод решения
|
|
|
|
|
|
|
|
|
|
Баланс
сил давления и вязкого трения:
Энергетический
баланс:
y = 0: 



=

|
 TМетод итераций для расчета
градиента давления, метод прогонки для расчета температуры
|
|
|
|
1.4 Математические модели для расчета экструзионных головок
В настоящее время при проектировании головок ввиду большой сложности
процессов, протекающих в ней, накопленный опыт является неотъемлемой
составляющей, что позволяет использовать строго аналитический подход лишь в
некоторых случаях простого течения ньютоновских жидкостей. Основной проблемой
при построении внешней характеристики Q(P) головки для определения ее
производительности является поиск коэффициента ее сопротивления, так как
структура проточных каналов является довольно сложной, поэтому его рассчитывают
приближенными методами, заменяя реальную систему каналов упрощенной моделью
[6].
Математические модели для расчета экструзионных головок приведены в
таблице 1.10.
Таблица 1.10 - Математические модели экструзионных головок
|
Тип формующей головки
|
Структура модели
|
Входные параметры и коэффициенты
модели
|
Выходные параметры модели
|
Плоскощелевая
|
μ, Q, n, w, l, δ
|
|
|
Кольцевая
|
μ, Q, n, d, l, δ
|
|
|
Фильера
|
μ, Q, n, m,
d, l
|
|
|
1.5 Расчет характеристик процесса одношнековой экструзии на базе
метода моделирующих потоков
Для расчета характеристик процесса неизотермической одношнековой
экструзии аномально-вязкой жидкости наиболее часто используется метод
моделирующих потоков, разработанный Р.В. Торнером [6].
В основе метода моделирующих потоков лежит предположение о соответствии
характеристик кинематических полей двумерного потока и моделирующих одномерных
с сохранением граничных условий:

(1.1)

. (1.2)
Здесь
величины объемных расходов со штрихом относятся к моделирующим потокам, без них
- к реальному двумерному. Основная идея состоит в введении поправок на величины
напряжений, рассчитываемых по схеме одномерных потоков в параллельных
плоскостях для получения поля напряжений и главных кинематических характеристик
двумерного потока.
Граничные
условия для поступательного потока вдоль винтового канала:

(1.3)
Для циркуляционного потока в поперечном сечении канала:

(1.4)
Уравнения для расчета характеристик продольного моделирующего потока
имеют вид:

(1.5)

, (1.6)

, (1.7)

(1.8)

(1.9)

, (1.10)

, (1.11)

, (1.12)

, (1.13)

. (1.14)
Здесь

и 
-
составляющие вдоль винтового канала касательных напряжений, действующих на
стенку корпуса и дно винтового канала. Величины A, b, B, c, d
являются параметрами аппроксимации, зависящими от реологического параметра m.
Поперечный
циркуляционный поток в винтовом канале характеризуется нулевым объемным
расходом материала, уравнения для его расчета следующие:

(1.15)

, (1.16)

, (1.17)

(1.18)

(1.19)

, (1.20)

, (1.21)

, (1.22)

. (1.23)
Безразмерный
параметр циркуляционного потока 
также
может быть рассчитан по трансцендентному уравнению без аппроксимации
промежуточных выражений:

(1.24)
Главное
условие моделирования реального течения одномерными потоками, которое
заключается в равенстве соответствующих объемных расходов, может быть выполнено
приближенно, если принять условия:
для
циркуляционного потока

(1.25)
для
продольного потока

при 
(1.26)
В
таком случае можно связать продольный и поперечный градиенты гидростатического
давления в реальном течении с таким же параметром моделирующих потоков:

, (1.27)

, (1.28)
где

; (1.29)

; (1.30)

. (1.31)
В
уравнении (1.27) ввиду относительной близости эпюр скоростей моделирующего и
реального продольного потоков множители 
и 
можно
считать равными, тогда данные уравнения будут представлять конечный результат
для вычисления главных характеристик потока в винтовом канале для выбранного сечения.
Выражения
для касательных напряжений вблизи деформирующих поверхностей:

, (1.32)

, (1.33)

, (1.34)

. (1.35)
Диссипация
механической энергии, в элементарном объеме w·H·dz
винтового канала равна:

, (1.36)
где

; (1.37)

-
температура и коэффициент консистенции, соответствующие начальному сечению зоны
дозировании.
В
изотермическом режиме переработки в зоне дозирования при неизменной геометрии
винтового канала вдоль оси шнека мощность и перепад давлений принимают
следующие значения:

, (1.38)

, (1.39)
где 
-
температура плавления полимерного материала.
Для
адиабатического режима переработки справедливы следующие соотношения для
мощности, приращения температуры расплава и приращения давления:

, (1.40)

, (1.41)

, (1.42)
Где

;
(1.43)

объемная
производительность машины;

объемная
производительность в расчете на один винтовой канал.
1.6 Программное обеспечение для моделирования и исследования
одношнековых экструдеров
NEXTRUCAD
NEXTRUCAD является программным комплексом для моделирования зон
транспортировки, плавления и дозирования. Позволяет определять
распределения температуры и давления расплава вдоль оси шнека, потребляемую
мощность, крутящий момент и среднее время пребывания материала в экструдере.
NEXTRUCAD имеет простой, интуитивно понятный интерфейс с вводом и отображением
параметров в системе СИ. Также предусмотрена гибкая система настроек,
позволяющая учитывать экспериментальные данные. Контекстная справка доступна
непосредственно в программе.
NEXTRUCAD может быть использован для анализа конструкции шнеков экструдеров и для
изучения влияния скорости вращения, температуры цилиндра свойств материалов на
производительность экструдера в установившемся режиме. Программа также может
найти применение в качестве учебного инструмента для будущих специалистов, позволяя
ознакомиться с характеристиками процессов, происходящих внутри экструдера [8].
FLATCAD
FLATCAD
представляет собой пакет программного обеспечения, используемый для
моделирования формующих головок при производстве плоских пленок и листов.
Позволяет исследовать течение расплава от загрузочной трубы головки до выхода
из нее через зазоры в ограничителях, прогнозировать объемный расхода, давление,
температуру, степень смешения, время пребывания материала. Также возможно
определение разнотолщинности в конечном продукте. При разработке пакета
использовались особенности конструкции плоскощелевой головки, позволяющие
заменять движение расплава в трехмерном пространстве эквивалентной сетью
двумерных течений, предполагая независимое течение вдоль и поперек сечения
головки [10].
LAYERCAD
LAYERCAD представляет собой пакет программного обеспечения, используемых для
моделирования многослойной экструзии. Программа позволяет прогнозировать
толщину каждого слоя, скорость, интенсивность сдвига, вязкость и давления при
объединении потоков расплавленного полимера для формирования нескольких слоев
листа или пленки. Позволяет моделировать экструзию пленок и листов с
количеством слоев до двадцати.
В программе реализован метод конечных элементов при решении
соответствующих уравнений потока в предположении, что поток многослойного
канала состоит из нескольких параллельных почти плоских пластин. Это
приближение является точным для большинства практических проблем, связанных с
многослойностью [10].
FLUENT
Fluent
является программным комплексом для моделирования течения несжимаемых, умеренно
сжимаемых и сильно сжимаемых жидкостей. Благодаря гибкой системе настроек
позволяет получать различные решения для одной задачи, моделировать ламинарные
и турбулентные течения и различные режимы теплопереноса за счет разнообразия
физических моделей, стационарные и переходные ньютоновские и неньютоновские
потоки, со свободными поверхностями и многофазными моделями, в том числе
теплообмена и реакций. Учитывает изменения фазы при плавлении и кристаллизации,
кавитационные модели и модели влажного пара. Возможно моделирование обтекания
движущихся объектов [8].
POLYFLOW
Позволяет моделировать течение неньютоновских жидкостей, включая
вязкоупругие потоки. В программном комплексе реализован методы конечных элементов
и расчет траектории Лагранжа, включая статический анализ, позволяющий
рассчитывать потоки сложного характера, связанного со сложным движением твердых
частиц. Позволяет моделировать двумерные и трехмерные потоки, процессы лучевого
теплообмена, теплопередачу, конвекцию и электрическое нагревание. Содержит
инструменты, позволяющие рассчитывать формующие головки и учитывать пористость
материала. Обладает широкими возможностями по настройке пользовательского
интерфейса и развитой системой динамических подсказок, упрощающих работу с
программным продуктом [10].
PROVISION
Данный программный продукт является системой моделирования с
визуальным интерфейсом (рисунок 1.8). Позволяет формировать схемы
непосредственно на экране компьютера, выбирая элементы из списка и соединяя их
в определенном порядке, что является более удобным по сравнению с методами
табличного кодирования. Интерфейс пользователя позволяет работать с графом
потоков и агрегатов посредством обращения и редактирования специальной таблицы,
содержащей заданные пользователем алфавитно-цифровые идентификаторы потоков и
их характеристики.
Рисунок 1.8 - Графический интерфейс комплекса ProVision.
Позволяет решать задачи моделирования ХТС как эквивалентную большую систему
нелинейных одновременно решаемых уравнений. Эти системы включают расчет всех
необходимых термодинамических свойств для всех потоков, расходов и составов с
применением выбранных математических моделей расчета свойств и процессов. При
этом каждый элемент схемы решается с применением наиболее эффективных
алгоритмов, разработанных для каждого случая.
При расчете системы взаимосвязанных агрегатов последовательность расчета
элементов определяется автоматически (или может быть задана пользователем). При
наличии рециклов создается итерационная схема, в которой рецикловые потоки
разрываются и создается последовательность сходящихся оценочных значений. Эти
значения получаются замещением величин, рассчитанных при предыдущем просчете
схемы (метод простого замещения) или путем применения специальных методов
ускорения расчета рециклов - Вегштейна и Бройдена [8].
В таблице 1.11 дана сводная характеристика рассмотренных программных
продуктов.
|
Название програм-много
комплекса
|
Библиотека полимерных
материалов
|
Подсистема выбора агрегатов
по ТЭП
|
Подсистемы моделирования и
оптимизации
|
Метод решения
математической модели
|
Возможности интерфейса
исследователя
|
Документация на русском
языке
|
|
NextruCAD
|
Присутствует
|
Отсутствует
|
Расчет технологических и
конструктивных характеристик одношнекового экструзионного оборудования
|
Метод конечных объемов
|
Развитый графический
интерфейс, технология OLE-2
|
Статьи и учебные пособия
|
|
ProVision
|
Отсутствует
|
Отсутствует
|
Расчет технологических схем
основных аппаратов, оценка стоимости оборудования
|
Метод конечных объемов
|
Панели выбора объектов
(агрегатов)
|
Очень мало
|
|
PolyFlow
|
Присутствует
|
Отсутствует
|
Расчет характеристик
потоков расплава материала в экструдере и головке
|
Метод конечных элементов
|
Различные вкладки и
схематичное изображение агрегатов
|
Встроенная АОС, учебные
пособия
|
|
Fluent
|
Большая библиотека
материалов
|
Отсутствует
|
Расчет технологических и
конструктивных характеристик одношнекового экструзионного оборудования
|
Библиотека методов решения
|
Большое количество панелей
инструментов, изменение стиля интерфейса
|
Очень много учебных пособий
и книг
|
|
LayerCAD
|
Присутствует
|
Отсутствует
|
Расчет технологических и
конструктивных характеристик головок
|
Метод конечных элементов
|
Панели инструментов,
модификаторов, объектов
|
Хорошая встроенная
справочная система
|
|
FlatCAD
|
Присутствует
|
Отсутствует
|
Расчет технологических и
конструктивных характеристик головок
|
Метод конечных элементов
|
Панели выбора объектов,
модификаторов в ярком графическом режиме; выпадающие меню
|
Мало докумен-тации
|
Таблица 1.11 - Сводная характеристика рассмотренных программных продуктов
1.7 Обзор СУБД
SQL ServerSQL Server - одна из наиболее мощных СУБД архитектуры клиент -
сервер. Эта СУБД обеспечивает такие требования, предъявляемые к системам
распределенной обработке данных, как тиражирование данных, параллельная
обработка, поддержка больших баз данных на относительно недорогих аппаратных
платформах.
Сервер имеет средства удаленного администрирования и управления
операциями, организованные на базе объектно - ориентированной распределенной
среды управления. Microsoft SQL Server входит в состав семейства Microsoft
BackOffice, объединяющего 5 серверных приложений, разработанных для совместного
функционирования в качестве интегрированной системы. Также обладает новой
масштабируемой архитектурой блокировок, называемой динамической блокировкой (Dynamic Locking), которая комбинирует
блокировку на уровне страницы и записи для достижения максимальной
производительности и подключения максимального числа пользователей. Может
тиражировать информацию в БД иных фрматов включая Oracle, BM DB2, Sybase,
Microsoft Access и другие СУБД (при наличии ODBC драйвера, отвечающего
определенным требованиям) [13].
Хранимые процедуры, поддерживающие OLE Automation, позволяют применять
практически любой инструмент из тех, что поддерживают OLE объекты, в целях
создания хранимых процедур для SQL Server. Возможность работы с Visual Basic
поддерживается посредствам новой 32-разрядной DB-Library (OCX). Многочисленные
расширения языка Transact-SQL включают расширенную поддержку курсоров,
возможность использования команд определения данных внутри транзакций и т
.д.SQL Server содержит инструменты, позволяющие назначать основные процедуры
сопровождения базы данных и определять для них график выполнения. Операции по
сопровождению баз данных включают проверку распределения страниц, целостности
указателей в таблицах (включая системные) и индексах, обновления информации,
необходимой оптимизатору, реорганизацию страниц в таблицах и индексах, создание
страховочных копий таблиц и журналов транзакций. Все эти операции могут быть
установлены для автоматического выполнения по заданному администратором
графику.
MS Access
СУБД Microsoft Access для работы с данными использует процессор баз данных Microsoft Jet, объекты доступа к данным и средства быстрого
построения интерфейса (конструктор форм). Для получения распечаток используются
конструкторы отчетов. Автоматизация рутинных операций может быть выполнена с
помощью макрокоманд. На тот случай, когда не хватает функциональности
визуальных средств пользователи Access
могут обратиться к созданию процедур и функций.
Несмотря на свою ориентированность на конечного пользователя в Access присутствует язык программирования Visual Basic for Application, который позволяет создавать
массивы, свои типы данных, вызывать DLL-функции, с помощью OLE Automation
контролировать работу приложений, которые могут функционировать как OLE-серверы.
Одно из главных достоинств Access
- интеграция с другими приложениями пакета Microsoft Office. К примеру, скопировав в буфер графический образ
таблицы, открыв Microsoft Word и применив вставку из буфера, мы тут
же получим в документе готовую таблицу с данными.
Вся работа с базой данных осуществляется через контейнеры базы данных.
Отсюда осуществляется доступ ко всем объектам, а именно: таблицам, запросам,
формам, отчетам, макросам, модулям.
Посредством драйверов ISAM
можно получить доступ к файлам таблиц некоторых других форматов: DBASE, Paradox, Excel,
текстовым файлам, FoxPro 2.x, а посредством технологии ODBC - и к файлам многих других форматов
[13].
Встроенный SQL позволяет
максимально гибко работать с данными и значительно ускоряет доступ к внешним
данным.
СУБД Access имеет русифицированный интерфейс и
частично переведенный на русский язык файл контекстной помощи, обладает хорошей
встроенной системой защиты. Предусмотрены создание групп, пользователей,
присвоение прав доступа ко всем объектам, в том числе и модулям. Система защиты
доступна только при открытой базе данных. Каждому пользователю можно
предоставить индивидуальный пароль. Система защиты доступна как с помощью
визуальных средств, так и программных.
1.8 Выводы по аналитическому обзору
В результате выполненного анализа были получены следующие результаты:
) анализ способов производства полимерных пленочных и листовых материалов
на экструзионных линиях показал, что основными способами являются раздув рукава
и плоскощелевая экструзия;
) основными стадиями экструзионного производства полимерных пленок и
листов являются: подготовка сырья, переработка и формование в одношнековом экструдере
с головками различной конфигурации (кольцевыми, плоскощелевыми), калибровка и
охлаждение пленки;
) основыне параметры процесса экструзии - частота вращения шнека и
температура корпуса;
) важнейшими технико-экономическими показателями экструзионного производства
пленок, характеризующими его эффективность, являются: производительность,
энергопотребление, стоимость и показатели качества полимерного материала,
определяемые давлением и температурой экструзии, индексом термодеструкции и
степенью смешения;
) анализ математических моделей одношнековых экструдеров и экструзионных
головок позволил обосновать структуру и параметры математической модели для
исследования экструдеров в производствах плоских и рукавных пленок;
) анализ программных комплексов для исследования процесса экструзии в
одношнековых экструдерах позволил сформировать представление о структуре,
составе и интерфейсах сред автоматизированного проектирования и анализа
экструзионных линий программного, которые будут учитываться при разработке программного
комплекса для выбора и исследования одношнековых экструдеров, создаваемого в
ходе выполнения данной работы-проекта;
) анализ СУБД показал, что для разрабатываемого информационного
обеспечения целесообразнее использовать среду MS Access 2003, так как она является достаточно экономичным
вариантом с достаточным набором функциональных средств.
2. ЦЕЛЬ И ЗАДАЧИ РАБОТЫ-ПРОЕКТА
Целью работы-проекта является разработка гибкого программного комплекса
для выбора одношнековых экструдеров по технико-экономическим показателям и
исследования процесса экструзии для поиска режимных параметров, обеспечивающих
минимальное энергопотребление при соблюдении требований к качеству.
Задачи, которые необходимо решить для достижения поставленной цели:
)формализованное описание одношнекового экструдера как объекта
исследования;
) разработка функциональной структуры программного комплекса;
) создание базы данных (БД) одношнековых экструдеров и полимерных
материалов, содержащей геометрические, режимные характеристики, технико-экономические
показатели и 3D геометрические модели экструдеров, теплофизические и
реологические характеристики полимеров;
) построение алгоритма автоматизированного выбора одношнековых
экструдеров по типу полимерного материала, виду изделия и технико-экономическим
показателям экструдера;
) разработка структуры математической модели процесса одношнековой
экструзии расплавов полимеров, алгебраизация модели с использованием метода
моделирующих потоков;
) построение алгоритма расчета параметров состояния и критериальных
показателей экструдера;
) создание программного обеспечения модуля автоматизированного выбора
одношнековых экструдеров и модуля исследования для поиска режимных параметров
процесса, обеспечивающих минимальное энергопотребление экструдера и требуемые
показатели качества (степень смешения, индекс деструкции) полимерных изделий
различной конфигурации;
) интеграция модулей выбора и исследования, библиотеки моделей головок в
программный комплекс, разработка интерфейсов исследователя (для формирования задания
на выбор и визуализации паспорта, 3D модели, результатов расчета экструдера) и
администратора БД;
) тестирование работы программного комплекса на примере выбора и
исследования одношнековых экструдеров для производства листов из
поливинилхлорида.
3. ТЕХНОЛОГИЧЕСКАЯ ЧАСТЬ
Рисунок 3.1 - Формализованние описание процесса одношнековой экструзии
На этом рисунке:
X -
вектор входных параметров процесса:
Tpolymer - тип перерабатываемого полимерного материала;
Ppolymer = { ρ, cp, Tg, Tmelt
}
- вектор характеристик полимерного материала;
Gproduct = {G1 , G2} - вектор
конфигураций и геометрических характеристик изделия;
G1 - характеристики плоских пленок и листов;
G2 - характеристики рукавных пленок;
Gextruder = {Gscr, Gdie}
- вектор геометрических характеристик шнека и формующей головки экструдера;
Gscr = { D, L/D, B, e, H} -
вектор геометрических параметров шнека экструдера;
Gdie = {Tdie,
Gdie1
, Gdie2}
- вектор геометрических параметров формующей головки экструдера;
Tdie = { Tdie1,
Tdie2 } - вектор типов формующей головки;
Tdie1 -
плоскощелевая головка;
Tdie2 -
кольцевая головка;
Gdie1 = {w1, δ1, l1} - вектор
геометрических характеристик плоскощелевой головки;
Gdie2 = {d2, δ2, l2} - вектор
геометрических характеристик кольцевой головки;
Rextrusion = {P0, Tscr}
- вектор режимных параметров процесса экструзии;
V = {N, Tb} -
вектор варьируемых параметров процесса экструзии;
Y = {S, K} -
вектор выходных параметров процесса экструзии:
S = {P, T, h} - вектор параметров состояния процесса;
K = { E, G, Id, γ } - вектор критериальных показателей процесса.
3.2 Постановка задачи выбора и исследования экструдеров
Постановка задачи выбора экструдера с заданными характеристиками.
Для заданного типа полимерного материала Tpolymer, конфигурации и геометрических
характеристик изделия Gproduct из базы данных конструктивно-технологических и
технико-экономических характеристик экструзионных агрегатов выбрать
одношнековые экструдеры, геометрические Gextruder и режимные V параметры которых обеспечивают выполнение следующих
критериальных ограничений:
· производительность не ниже заданной G ≥ Gmin
· энергопотребение не выше заданного E ≤ Emax
· ширина экструдера не выше заданной Wа ≤ Wаmax
· высота экструдера не выше заданной Hа ≤ Hаmax
· длина экструдера не выше заданной Zа ≤ Zаmax
· масса экструдера не выше заданной Mа ≤ Mаmax
· стоимость экструдера не выше заданной C ≤ Cmax
Постановка задачи исследования процесса экструзии.
Для выбранного из базы данных одношнекового экструдера, имеющего
геометрические характеристики Gextruder по математической модели определить значения частоты
вращения шнека и температуры корпуса Nmin ≤
N0≤ Nmax , Tbmin ≤
Tb0 ≤ Tbmax , обеспечивающие минимум энергопотребления экструдера
экструзивный агрегат модель алгоритм
и требуемые показатели качества по индексу деструкции и по степени
смешения
Id(X, Tb0 , N0) ≤ Idmax , g(X, Tb0, N0) ³gmin
при производстве продукции заданной конфигурации Gproduct из заданного материала Tpolymer.
3.3 Функциональная структура программного комплекса
На рисунке 3.2 представлена функциональнаяструктура программного
комплекса.
Рисунок
3.2 - Функциональная структура программного комплекса
Интерфейс
проектировщика позволяет настраивать программный комплекс для синтеза и анализа
процесса экструзии на различные геометрические, режимные параметры
одношнекового экструдера, характеристики полимерного материала, виды конечного
изделия. Также позволяет менять ограничения на ТЭП при выборе агрегатов.
Интерфейс
администратора предоставляет возможность администратору работать с базой данных
характеристик экструдеров и полимерных материалов, редактируя, добавляя или
удаляя записи.
Модуль
расчета параметров состояния процесса одношнековой экструзии позволяет получить
распределения значений вязкости, температуры и давления в сечении канала по
длине канала шнека.
Расчет
значений энергопотребления, производительности, индекса деструкции и степени
смешения производится с применением модуля расчета критериальных показателей
процесса экструзии.
Модуль
визуализации результатов расчета нужен для формирования таблиц и графиков на
основе полученных расчетных значений.
3.4 Подсистема выбора экструдеров
3.4.1 База данных характеристик экструдеров и полимерных материалов
Инфологическая модель
Предметной областью для создания базы данных являются характеристики
экструзионных агрегатов, полимерных материалов и эмпирические коэффициенты
математической моделеи. База данных должна содержать данные по техническим
(геометрическим, режимным) и технико-экономическим параметрам экструдеров,
характеристикам полимерных материалов и соответствующих им эмпирических
коэффициентов. Каждый из параметров должен иметь уникальный идентификатор,
название, численное значение и единицу измерения. Инфологическая модель базы
данных представлена на рисунке 3.3.
Рисунок
3.3 - Инфологическая модель базы данных
Даталогическая
модель
На
основе требований к базе данных и инфологической модели была разработана
даталогическая модель (рисунок 3.4) при помощи реляционной СУБД Microsoft Access 2003.
Рисунок
3.4 - Даталогическая модель базы данных
Далее
приведено описание таблиц базы данных и их структура (таблицы 3.1 - 3.5).
Описание
таблиц:
· GEOM - геометрические и режимные характеристики экструдера
и формующих головок (15 полей, 21 запись);
· PROPERTIES - свойства полимерных материалов (8
полей, 4 записи);
· MMPARAMS - параметры математической модели
(17 полей, 4 записи);
· EXTPO - список обрабатываемых полимерных материалов для
каждого экструдера (3 поля, 45 записей)
· TEP - содержит технологические параметры и
технико-экономические показатели экструдеров. Содержит двадцать четыре поля и
двадцать одну запись;
Таблица 3.1 - Структура таблицы GEOM
Таблица 3.2 - Структура таблицы MMPARAMS
Таблица 3.3 - Структура таблицы PROPERTIES
Таблица 3.4 - Структура таблицы EXTPO
Таблица 3.5 - Структура таблицы TEP
Всего в базе данных содержатся данные о двадцати одном экструдере. Объем
памяти, занимаемой базой данных, составляет 628 Кб.
3.4.2 Алгоритм решения задачи выбора экструдера с заданными
характеристиками
На рисунке
3.5 представлен алгоритм выбора экструдера по заданным технико-экономическим
показателям.
Рисунок 3.5 -
Алгоритм выбора экструдера по заданным ТЭП
3.4.3 Интерфейс для выбора экструдеров
Программный комплекс предусматривает работу как исследователя, так и
администратора. Последний обладает правами работать с базой данных, редактируя,
добавляя или удаляя записи. Исследователь же при выборе экструдеров задает
предельные значения цены, энергопотребления, производительности, габаритных
размеров и массы требуемого экструдера, и в результате поиска по базе данных
получает паспорт и трехмерную модель экструдера. Карта меню представлена на
рисунке 3.6.
Рисунок 3.6 -
Интерфейс для выбора экструдеров по заданным ТЭП
3.5 Подсистема моделирования и исследования процесса экструдзии
3.5.1 Математическая модель процесса экструзии
Для решения поставленной задачи разработана единая функциональная
математическая модель одношнекового экструдера. В основе модели лежит ряд
допущений: [5]
) экструдер перерабатывает расплав;
) шнек неподвижен, корпус вращается (принцип обращенного движения);
) канал шнека разворачивается на плоскость (плоская модель), что
представлено на рисунке 3.7:
Рисунок 3.7 - Плоская модель канала шнека
) канал полностью заполнен полимерным материалом;
) теплофизические характеристики расплава полимера не зависят от
температуры;
) течение расплава является установившимся во времени и по длине канала;
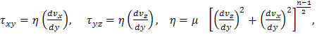
) расплав - неупругая несжимаемая псевдопластичная жидкость,
реологическое поведение которой описывается степенным уравнением
Оствальда-де’Вилье;
) течение расплава - ламинарное, течение в радиальном направлении (по
глубине канала) отсутствует, пристенные эффекты малы;
) утечки расплава через радиальные зазоры между корпусом и шнеком
пренебрежимо малы;
) на стенках канала выполняются условия прилипания расплава;
) давление не изменяется по глубине канала;
) массовые силы пренебрежимо малы по сравнению с силами вязкого трения;
) вдоль оси канала шнека преобладает конвективный механизм переноса
тепла;
) температура расплава по ширине и глубине канала изменяется
незначительно вследствие интенсивного циркуляционного течения.
С учетом принятых допущений инвариантная структура математической модели
экструдера на основе метода моделирующих потоков может быть представлена как
система следующих уравнений:
Уравнения материального баланса по циркуляционному и поступательному
потокам расплава:
Уравнения баланса сил давления и вязкого трения в потоке расплава:
Реологическая модель расплава:

Уравнение
теплового баланса:
Краевые
условия:
|z=0 = P0, T|z=0 = Tmelt, 
x|y=0
= 
z|y=0
= 0, 
x|y=H
= Vbx=
,

z|y=H = Vbz=
;
Геометрические
параметры канала шнека экструдера
,
.
Энергопотребление
экструдера (целевая функция)
.
Индекс
термической деструкции экструдата
,
где
.
Степень
смешения экструдата:

.
Математическая
модель, полученная на основе аналитического решения системы вышеприведенных
уравнений методом моделирующих потоков и позволяющая рассчитывать процесс
экструзии изделий различной конфигурации из разных полимерных материалов, имеет
вид:
Расчет скорости вращения шнека экструдера:
,
.
Расчет безразмерных координат сечений нулевых напряжений вязкого трения в
циркуляционном и поступательном потоках:
,
,
где
,
,
,
.
Расчет безразмерных градиентов давления в циркуляционном и поступательном
потоках
,
,
где
,
.
Расчет
коэффициента консистенции расплава полимерного материала производится в
соответствии с реологическими уравнениями инвариантной модели.
Расчет
температуры расплава на выходе из канала шнека экструдера
Где
,
Расчет
производительности экструдера
,
где
объемный расход потока расплава в экструдере определяется рабочей точкой
экструдера - точкой пересечения внешних характеристик шнека экструдера
,
,
.
и
одной из экструзионных головок, которая рассчитывается по соответствующей
модели.
Характеристика разработанной математической модели представлена в таблице
3.6.
Таблица 3.6- Характеристика разработанной математической модели
|
Параметр
|
Значение
|
|
Характер отображаемых
свойств объекта
|
Функциональная
|
|
Степень детализации внутри
уровня
|
Полная
|
|
Способ описания свойств
объекта
|
Аналитическая
|
|
Особенности поведения
объекта
|
Детерминированная
|
|
Способ получения
|
Комбинированная
|
|
Характер протекания
процесса во времени
|
Статическая
|
|
Тип взаимосвязи переменных
|
Нелинейная
|
|
Тип варьируемых переменных
|
Непрерывная
|
|
По распределенности
параметров в пространстве
|
Модель с распределенными
параметрами
|
3.5.2 Алгоритм расчета выходных параметров экструдера
На рисунке 3.8 представлен алгоритм расчета выходных параметров
экструдера.
Рисунок
3.8 - Блок-схема алгоритма расчета выходных параметров экструдера
3.5.3 Алгоритм решения задачи исследования
На рисунке
3.9 представлен алгоритм решения задачи исследования процесса экструзии.
Рисунок 3.9 - Алгоритм решения задачи исследования процесса экструзии
3.5.4 Интерфейс исследования процесса экструзии
Данный интерфейс предоставляет исследователю возвожности по настройке
программного комплекса для моделирования процессов экструзии с различными
геометрическими, режимными параметрами одношнекового экструдера,
характеристиками полимерного материала и видами конечного изделия. Карта меню
представлена на рисунке 3.10.
Рисунок
3.10 - Структура интерфейсов программного комплекса
4. РЕЗУЛЬТАТЫ
И ОБСУЖДЕНИЕ
В результате выполнения дипломной работы-проекта был разработан
программный комплекс для выбора и исследования одношнековых экструдеров в
производствах изделий из полимерных материалов, интегрированный в единую
систему. При выполнении данной дипломной работы-проекта были получены следующие
результаты:
) разработана база данных одношнековых экмтрудеров и полимерных
материалов;
) разработана математическая модель для расчета процесса одношнековой
экструзии с плоскощелевой, кольцевой головками и гранулирующей фильерой;
) разработаны алгоритмы выбора и исследования одношнековых экструдеров;
) реализован и интегрирован в единую систему выбора и исследования
производств полимерных пленок модуль расчета процесса одношнековой экструзии.
Разработанная система выбора и исследования может быть развита за счет
пополнения базы данных типов производимых полимерных материалов за счет
расширения базы данных агрегатов и их геометрических моделей и за счет
увеличения количества математических моделей, что позволит получать более
объективные модели, более точные и полные данные о качественных показателях
пленки и будет способствовать расширению функциональности и повышению гибкости
системы при проектировании и анализе аналогичных производств полимерных
материалов на экструзионных линиях.
Разработанный модуль исследования может применяться и независимо от
системы выбора экструзионных агрегатов. Ценность полученных с его помощью
результатов заключается в расчете качественных показателей продукта в процессе
проектирования, так как от качества экструдата, производительности и
энергопотребления в основном зависит принятие проектного решения. Кроме того
разработанный модуль может использоваться для исследования процесса экструзии в
одношнековых агрегатах с головками различной конфигурации, поэтому его
разработка является целесообразной и актуальной как для научных исследований,
так и для коммерческих целей.
5. ЭКСПЕРИМЕНТАЛЬНАЯ ЧАСТЬ
5.1 Работа с подсистемой выбора
Интерфейс подсистемы выбора экструдеров представлен на рисунке 5.1.
Рисунок 5.1 - Интерфейс подсистемы выбора
С его помощью исследователь формирует задание на выбор экструдеров по ТЭП
(типу полимерного материала, конфигурации изделия, предельным значениям
производительности, энергопотребления, цены, массы и габаритных размеров). По
нажатию кнопки «Найти» происходит поиск экструдеров в базе данных, результаты
которого приводятся в таблице.
Исследователь может просмотреть паспорт каждого из найденных экструдеров
посредством выбора пункта контекстного меню «Паспорт», появляющегося при
нажатии правой кнопкой мыши на строчке, соответствующей определенному
экструдеру (рисунок 5.2). В паспорте экструдера (рисунок 5.3) приведены его
технико-экономические показатели, режимные и конструктивные характеристики.
Рисунок 5.2 - Результат работы подсистемы выбора экструдеров
Рисунок 5.3 - Паспорт экструдера
5.2 Работа с подсистемой моделирования процесса
экструзии
Для перехода к интерфейсу моделирования (рисунок 5.4) необходимо выбрать
пункт меню «Вернуться». Здесь исследователь может изменять диапазоны
варьирования режимных параметров, шаг варьирования, тип экструдера, а
также устанавливать ограничения на показатели качества продукции. Для начала
моделирования необходимо нажать кнопку «Рассчитать».
Рисунок 5.4 - Интерфейс для моделирования процесса экструзии
После окончания расчетов исследователю предоставляются двумерные и
трехмерные графики зависимостей критериальных показателей и параметров
состояния процесса экструзии от режимных параметров, а также их табличные
значения (рисунок 5.5).
Рисунок 5.5 - Результаты исследования
Как видно из рисунка 5.5, с ростом частоты вращения шнека и температуры
корпуса энергопотребление увеличивается, что обусловлено повышением затрат
энергии на обогрев корпуса и потребление энергии приводом.
На рисунке 5.6 приведен график зависимости степени смешения от режимных
параметров. С ростом температуры трение между слоями полимерного материала
уменьшается, поэтому уменьшается и степень смешения, тогда как с ростом частоты
вращения шнека сдвиговая деформация становится более интенсивной и степень
смешения повышается.
Рисунок 5.6 - График зависимости степени смешения от режимных параметров
На рисунке 5.7 представлен график зависимости индекса деструкции от
режимных параметров. С ростом температуры он увеличивается, так как материал
интенсивнее нагревается, а с ростом частоты вращения шнека уменьшается, так как
уменьшается и время пребывания материала в экструдере за счет повышения
производительности экструдера. Это объясняется усилением напорного эффекта и,
как следствие, увеличением давления на выходе из головки, поэтому расход
вынужденного потока увеличивается (рисунок 5.8).
Рисунок 5.7 - График зависимости индекса деструкции от режимных
параметров
Рисунок 5.8 - График зависимости производительности от режимных
параметров
На рисунке 5.9 представлен график зависимости давления от режимных
параметров. С ростом температуры вязкость экструдата снижается, поэтому он проще
продавливается через формующую головку, и, как следствие, давление на выходе
снижается, а с ростом частоты вращения оно увеличивается за счет напорного
эффекта.
Рисунок 5.9 - График зависимости давления от режимных параметров
На рисунке 5.10 изображен график зависимости температуры материала от
режимных параметров. С ростом температуры корпуса за счет теплопроводности и с
увеличением частоты вращения шнека за счет диссипативных тепловыделений растет
и температура материала.
Рисунок 5.10 - График зависимости температуры материала от режимных
параметров
На рисунке 5.11 представлен график зависимости вязкости экструдата от
режимных параметров. С ростом температуры снижается энергия взаимодействий
молекул материала, поэтому снижается и вязкость. Также вязкость падает с ростом
частоты вращения шнека вследствие интенсификации движения молекул за счет
механического перемешивания.
Рисунок 5.11 - График зависимости вязкости от режимных параметров
Результаты исследования:
· N0 = 72 об/мин;
· Tb0 = 150 °C;
· Id = 1,4 %;
· γ
= 9002 ед. сдвига;
· Е = 29 кВт.
6. ЗАКЛЮЧЕНИЕ И ВЫВОДЫ
В результате проделанной работы:
1) на основе анализа характеристик одношнековых экструдеров создано
формализованное описание объекта моделирования;
2) сформированы задачи выбора экструдеров по ТЭП и их исследования
для поиска значений режимных параметров, обеспечивающих заданные показатели
качества продукции при минимальном энергопотреблении;
) разработана функциональная структура программного комплекса,
включающего подсистемы выбора экструдеров и их исследования;
) в результате анализа математических моделей процессов экструзии
разработана математическая модель процесса экструзии на основе метода
моделирующих потоков для расчета критериальных показателей и параметров
состояния процесса экструзии;
) разработаны интерфейсы для настройки комплекса на характеристики
процесса экструзии и свойства полимерного материала, интерфейс для визуализации
результатов расчета;
) произведена интеграция подсистемы выбора с подсистемой
моделирования в единый программный комплекс;
) проведено тестирование работы программного комплекса.
В результате проведенного тестирования программного продукта были
получены расчетные значения режимных параметров (частоты вращения шнека и
температуры корпуса) экструдера и критериальных показателей (энергопотребления,
индекса деструкции, степени смешения, производительности), а также параметров
состояния процесса экструзии (давление, вязкость, температура), выведенные на
экран в форме таблиц и трехмерных графиков, наряду с их наилучшими значениями
для заданных критериальных ограничений по индексу деструкции и степени
смешения. Полученные результаты полностью соответствует теоретическим оценкам и
оценкам экспертов.
СПИСОК ИСПОЛЬЗОВАННЫХ ИСТОЧНИКОВ
1 Власов,
С.В. и др. Основы технологии переработки пластмасс: учеб. пособие для вузов/
С.В. Власов, А.Б.Кандырин, В.Н.Кулезнев.- М. : Мир,
.- 600 c.
Брой, В.
Техника переработки пластмасс/ В. Брой, Н.И.Басов.- М. : Химия, 1985.- 528 с.
Бортников,
В.Г. Основы технологии переработки пластических масс/ В.Г. Бортников.- Л. :
Химия, 1983.- 304 c.
Бернхардт, Э.
Переработка термопластичных материалов/ Э. Бернхард, Г.В. Виноградов.- М. :
Химия, 1962.- 562 с.
Торнер, Р.В.
Теоретические основы переработки полимерных материалов (механика процессов)/
Р.В. Торнер.- М. : Химия, 1977.- 464 с.
Торнер, Р.В.
Оборудование заводов по переработке пластмасс/ Р.В. Торнер, А.С. Акутин. - М. :
Химия, 1986.- 400 с.
Красовский,
В.Н. Сборник примеров задач по технологии переработки полимеров/ В.Н.
Красовский, А.М. Воскресенский. - Мн. : Вышэйш. шк.,
.- 320 с.
CADuser
[Электронный ресурс] : Информационный портал. - Режим доступа:
#"578490.files/image288.gif">,
[МДж],
где
- количество i-го материала пожарной нагрузки, кг;
- низшая теплота сгорания i-го материала пожарной нагрузки,
МДж/кг;
- площадь размещения пожарной нагрузки, м2.
Материалы, находящиеся в помещении кафедры:
линолеум поливинилхлоридный на войлочной основе, горючий
материал, теплота сгорания 16.57 МДж/кг;
древесина, горючий материал, теплота сгорания 13.8 МДж/кг;
бумага, горючий материал, теплота сгорания 13.4 МДж/кг;
пластик из полистирола, горючий материал, теплота сгорания 39 МДж/кг.
Q =
16.57 · 24 + 13.8 · 51 + 13.4 · 25 + 39 · 16 = 2060 МДж


Категорию
помещения выбираем по таблице Б.1. Исходя из таблицы, видим, что помещение
кафедры относится к категории “В4”.
Таблица
Б.1 - Категорирование помещений по удельной пожарной нагрузке
|
Категория
|
Удельная пожарная нагрузка,
|
|
В1
|
более 2200
|
|
В2
|
1401 - 2200
|
|
В3
|
181 - 1400
|
|
В4
|
1 - 180
|
К помещениям ВЦ предъявляются следующие основные требования
пожаробезопасности:
) в ВЦ должны быть установлены противопожарные преграды в виде
перегородок из несгораемых материалов между производственными залами;
) все виды кабельных коммуникаций должны прокладываться в металлических
трубах;
) подпольное пространство под съемными полами должно разделяться
несгораемыми перегородками;
Продолжение приложения Б
) силовые кабельные линии должны быть надежно изолированы;
) в помещениях ВЦ должны иметься в наличии первичные огнетушащие
средства.
Пожарная безопасность на кафедре САПРиУ обеспечивается системами пожарной
сигнализации и противопожарной защиты.
Пространство внутри и вне помещений, в пределах которых постоянно или
периодически находятся горючие (сгораемые) вещества, и в котором они могут
находиться при нормальном технологическом процессе или при его нарушениях,
относят к пожароопасной зоне. Согласно ПУЭ помещение кафедры относится к классу
П-IIа, как помещение, в котором имеются
твердые горючие материалы.
Для тушения пожаров на кафедре САПРиУ в соответствии с требованиями
имеются первичные средства пожаротушения: внутренний пожарный водопровод,
огнетушители, сухой песок. Для тушения небольших очагов пожара всех видов
горючих веществ и электроустановок, находящихся под напряжением, используются
ручные углекислотно-снежные огнетушители ОУ-2 (огнетушащее вещество - диоксид
углерода в виде снега), а также передвижной углекислотный огнетушитель УП-2М,
так как применение воды в помещениях с вычислительной техникой нежелательно.
Санитарно-гигиенические требования
Основные санитарно-гигиенические требования к условиям труда:
· соблюдение норм чистоты, температуры, относительной влажности
и скорости движения воздуха;
· обеспечение системы отопления и вентиляции;
· соблюдение норм естественной и искусственной освещённости;
· обеспечение изоляции источников шума и вибрации;
· снижение тяжести и напряженности (монотонности) труда.
Мероприятия по оздоровлению условий работы
Для обеспечения комфортных условий труда в помещениях ВЦ поддерживают
определённые микроклиматические условия: в холодный период года температура
воздуха не более 22-240С, относительная влажность 40-60 %, скорость
движения воздуха 0,1 м/с; в тёплый период года температура не
превышает 23-25°С,
относительная влажность и скорость движения воздуха такие же как и в холодное
время года. В помещениях кафедры САПРиУ соблюдены указанные значения параметров
микроклимата.
Наряду с регулируемой отопительной системой нормальные метеорологические
условия и чистота воздуха в помещениях ВЦ поддерживается при помощи
естественной и искусственной вентиляции.
Механическая вентиляция воздуха в помещениях кафедры САПРиУ осуществляется
с использованием вытяжного центробежного вентилятора ЦИ-70-5
производительностью 200 м3/ч, удовлетворяющего требованиям. Вентилятор
территориально расположен вне кафедры и поэтому не является источником шума и
вибрации.
В связи с повышенной нагрузкой на орган зрения операторов ВЦ важное место
среди мероприятий по гигиене их труда занимает организация комфортного
естественного и искусственного освещения помещений ВЦ.
Естественное освещение осуществляется через световые проёмы в наружных
стенах помещения, ориентированные преимущественно на север и северо-восток и
обеспечивает коэффициент естественной освещённости не ниже 1,2%.
Искусственное освещение в помещениях эксплуатации ВДТ и ПЭВМ
осуществляется системой общего равномерного освещения. В случае преимущественной
работы с документами в помещениях допускается применение системы
комбинированного освещения (к общему освещению дополнительно устанавливаются
светильники местного освещения, предназначенные для освещения зоны расположения
документов).
Освещённость на поверхности стола в зоне размещения рабочего документа
300-500 лк. Местное освещение не создает бликов на поверхности экрана ВДТ и не
увеличивает освещённость экрана более 300 лк.
В качестве источников искусственного света в помещениях ВЦ применяют
преимущественно газоразрядные лампы низкого давления (люминесцентные лампы)
типа ЛБ (лампы белого света). Лампы накаливания используют в светильниках
местного освещения (в основном применяются вакуумные лампы накаливания).
Для освещения помещений с ВДТ и ПЭВМ применяют светильники рассеянного
света с экранирующими решётками.
На кафедре САПРиУ освещённость рабочего места пользователя вычислительной
техники составляет 250 лк (норма освещённости равна 300 лк); в качестве
осветительных приборов используют, например, светильники типа УВЛН-2-480
и УСП-35-620. Разряд зрительных работ равен IVа.
Уровень шума на рабочем месте оператора ВЦ не превышает 50 дБ, что
выполняется на кафедре САПРиУ. Если же используемое оборудование не
соответствует по своим характеристикам требованиям, то для защиты от шума
применяют звукопоглощающие материалы для облицовки стен и потолка помещений, а
также различные звукопоглощающие устройства (перегородки, прокладки, экраны).
Рациональным является выделение шумного оборудования в отдельные помещения с
исключением или ограничением допуска в них персонала.
Вибрация в помещениях ВЦ должна быть по амплитуде не более 0,1 мм, по
частоте 25 Гц. При несоблюдении этих требований для защиты от вибрации
необходимо использовать вибропоглощающие материалы и конструкции в соответствии
с требованиями.
В целях безопасности лиц, систематически и продолжительное время
работающих у экрана компьютера используют защитный экранный фильтр, исключающий
мерцание экрана, увеличивающий контрастность и чёткость изображения,
ослабляющий электростатическое и электромагнитное поле.
Помимо указанных выше предъявляются также требования по цветовой отделке
помещений ВЦ и эргономические требования к рабочим местам операторов.
Электробезопасность при проведении работ
В помещениях кафедры САПРиУ отсутствуют условия, создающие повышенную или
особую опасность воздействия электрического тока (сырость, токопроводящая пыль,
едкие пары и газы, высокая температура, токопроводящие полы), поэтому указанные
помещения относятся к классу помещений без повышенной опасности.
Электробезопасность обеспечивается конструкцией электроустановок;
техническими средствами и способами защиты; организационными и техническими
мероприятиями.
При проведении работ с электроустановками в целях предупреждения
электротравматизма важно выполнять соответствующие организационные и
технические мероприятия.
Мероприятия по электробезопасности:
· отключение оборудования на участке работ, принятие мер против
ошибочного или самопроизвольного включения электроустановок, ограждение при
необходимости рабочих мест и оставшихся под напряжением токоведущих частей;
· проверка отсутствия напряжения;
· безопасное расположение и электрическая изоляция токоведущих
частей;
· защитное заземление электроустановок;
· допуск к обслуживанию электроустановок и вычислительной
техники только персонала, имеющего соответствующую квалификацию.
Вышеперечисленные меры защиты позволяют предотвратить многие аварии и
несчастные случаи.
Эргономические требования
На самочувствие и работоспособность операторов влияют эргономические
характеристики эксплуатируемого оборудования и материалов в рабочей зоне,
конструкция рабочей мебели и ее размерные параметры. При организации рабочего
места учитывают антропометрические данные операторов, а также размещают
элементы оборудования соответственно характеру и последовательности выполняемой
работы.
При конструировании рабочих мест соблюдают следующие основные условия:
· площадь на одно рабочее место составляет не менее 6 м2, а
объем - не менее 20 м3;
между отдельными рабочими местами проход шириной не менее 1 м;
· эквивалентная доза рентгеновского излучения от видеотерминала
(ВДТ) в любой точке на расстоянии 0.05 м от его экрана и корпуса не превышает
0.1 мбэр/час (100 мкр/час);
· освещенность не менее 300 лк, коэффициент освещенности не
ниже 1.2 %;
· яркость светящихся поверхностей не более 200 кд/м2;
· яркость бликов на экране ВДТ не превышает 40 кд/м2;
· допустимый уровень шума - 50 дБ;
· подача наружного воздуха 60 м3 на одного работающего;
· используют экранный фильтр для защиты от вредных излучений,
бликов;
· расстояние от глаз пользователя до экрана монитора 600-700
мм;
· высота рабочей поверхности стола для ВДТ в пределах 680 - 800
мм;
· рабочий стул подъемно-поворотный;
· наличие необходимых инструкций и предупредительных знаков,
предостерегающих об опасностях, которые могут возникнуть при работе, и
указывающих на необходимые меры предосторожности;
· надежная индикация для случаев отказа электрического питания,
а также отказа оборудования или его функционирования с выходом за допустимые
пределы.
Основным источником проблем, связанных с охраной здоровья людей,
использующих в своей работе вычислительную технику, являются дисплеи, которые
представляют собой источник вредных излучений.
Особенностью труда с дисплеями является повышенное зрительное напряжение,
связанное со слежением за информацией, а также рядом других неблагоприятно
влияющих на зрение факторов. Большинство мониторов формируют изображение,
состоящее из многих кадров, выдаваемых на экран с некоторой частотой. Чем
меньше эта частота, тем выше утомляемость.
Труд операторов, работающих с дисплеями, характеризуется также повышенным
уровнем психологического напряжения. Реакция психологического напряжения
связана со сложностью трудовой деятельности, необходимостью постоянно
поддерживать активное внимание.
Работа с терминалами характеризуется недостаточной физической нагрузкой и
монотонностью. Различают монотонность физических действий и монотонность
психологического труда.
Эргономическую проблему представляют гипокинезия и гиподинамия
операторов.
Гипокинезия - это вынужденное уменьшение объема произвольных движений
вследствие характера трудовой деятельности (малая подвижность); вызывает ряд
болезненных явлений.
Гиподинамия - пониженная подвижность вследствие уменьшения силы движений.
Интенсивная работа на компьютере может стать источником тяжелых
профессиональных заболеваний. Так заболевания, обусловленные травмой
повторяющихся нагрузок, представляют собой постоянно накапливающиеся
недомогания, возникающие при длительной работе на клавиатуре.
«Эргономические» заболевания становятся быстро растущим видом
профессиональных заболеваний.
Анализ технологических операций
Анализ технологических операций, проводимых в работе с точки зрения
потенциальных опасностей и вредностей, приведен в таблице Б.2.
Таблица Б.2 - Анализ технологических операций с точки зрения опасности и
вредности
|
Наименова-ние
техноло-гических операций
|
Оборудование для проведения
операции
|
Возможные опасности и
вредности при проведении технологичес- кой операции
|
Причины проявления данной
опасности и вредности
|
Меры по безопасному
проведению данной технологической операции
|
|
Работа на ЭВМ
|
1.Монитор 2.Системный блок
3.Принтер 4.Сканер
|
Поражение электрическим
током
|
1.Нарущение изоляции;
2.Отсутствие заземления;
|
Перед работой проверить
изоляцию и заземление.
|
1.Плохая настройка;
2.Отсутствие защитного экрана; 3.Несоблюдение расстояний; 4.Плохая
освещенность; 5.Несоблюдение режима труда
|
1.Использование защитного
экрана; 2.Соблюдение рабочего расстояния от поверхности дисплея 50-70 см;
3.Использование ЭВМ с большой тактовой частотой.
|
|
|
Гипокинезия и гиподинамия
|
1.Недостаточная физическая
нагрузка; 2.Малоподвижность
|
Физкультурные паузы (8-10
упр.) через 20 мин. Установить кондиционеры
|
|
|
Недостаток кислорода
|
Плохая
вентиляция,мо-нотонная работа
|
Чередование видов
деятельности
|
Оказание первой помощи
Электрическое оборудование, к которому относятся ВДТ и ПЭВМ, представляет
собой потенциальную опасность для человека, так как в процессе эксплуатации,
при проведении технического обслуживания и ремонтов он может коснуться
токоведущих частей, находящихся под напряжением.
Первая помощь при поражении электрическим током состоит из следующих
этапов:
Отключить ту часть установки, к которой прикасается пострадавший, или
отделить пострадавшего от токоведущих частей при помощи сухой палки, веревки,
одежды;
Вызвать врача;
Определить состояние пострадавшего, для чего уложить его на спину,
проверить наличие пульса и дыхание, выяснить состояние зрачка
(расширенный зрачок указывает на резкое ухудшение кровоснабжения мозга);
Оказать соответствующую помощь пострадавшему:
Если пострадавший находится в сознании, его следует удобно уложить,
накрыть чем-нибудь и до прибытия врача обеспечить полный покой;
Если сознание отсутствует, нужно ровно и удобно уложить пострадавшего,
расстегнуть пояс и одежду, давать нюхать нашатырный спирт и обрызгивать его
водой;
Если пострадавший плохо дышит или отсутствуют признаки жизни делать
искусственное дыхание и наружный массаж сердца.
Для оказания первой медицинской помощи на месте в случае получения
сотрудниками или студентами каких-либо травм на кафедре САПРиУ имеется
минимальный набор медицинских средств - аптечка. В медицинской аптечке
содержатся бинты, лейкопластырь, йод, валидол или нитроглицерин, метамизол
натрия (анальгин), таблетки активированного угля, жгут и другие средства.
Охрана окружающей среды
В процессе работы экструзионного агрегата образуются твердые отходы в
виде некачественного пластиката на выходе из экструдера, бракованной пленки
после прохождения через каландр и обрезкахи пленки, полученные при формирования
изделия нужной ширины. Характеристика производственных отходов представлена в
таблице Б.3.
Таблица Б.3 - Характеристика производственных отходов
|
Отходы
|
Агрегатное состояние
|
Количество отходов в год, т
|
Вредные вещества (примеси)
|
Примечание
|
|
Некачественный пластикат
|
твердое
|
40
|
-
|
Регрануляция (дробление)
|
|
бракованная пленка
|
твердое
|
93
|
-
|
Сжигание
|
|
Обрезки пленки
|
твердое
|
180
|
-
|
Регрануляция (агломератор)
|
ПРИЛОЖЕНИЕ В
(обязательное)
Технико-экономическая оценка работы-проекта
1 Анализ рынка реализации программного продукта
Результатом выполнения дипломной работы-проекта является программный
комплекс для выбора и исследования одношнековых экструдеров в многоассортиментных
производствах полимерных материалов. Продукция этой перспективной, быстро
развивающейся отрасли используется в качестве упаковки для множества товаров, а
так же используется в других производствах. Несмотря на востребованность
полимерных материалов, коммерческих программных средств, позволяющих
моделировать экструзию для определения оптимальных условий протекания процесса,
немного.
Проведем позиционирование программного продукта в ряду других (Extrud, NextruCAD, FlatCAD) по стоимости, эргономичности интерфейса, полноте
документирования, стабильности работы, системным требованиям и функциональным
возможностям [10]. Результаты представлены в таблице В.1.
Таблица В.1 - Позиционирование программного продукта на рынке
|
Характеристика
|
Extrud
|
NextruCAD
|
FlatCAD
|
Разрабатывае-мый ПП
|
|
Стоимость программного
продукта
|
средняя
|
высокая
|
средняя
|
низкая
|
|
эргономичность интерфейса
|
4
|
5
|
4
|
4
|
|
полнота документирования
|
4
|
4
|
3
|
3
|
|
Стабильность работы
программы
|
5
|
4
|
4
|
5
|
|
Системные требования к
программе
|
средние
|
высокие
|
средние
|
средние
|
|
Функциональные возможности
программы
|
4
|
5
|
3
|
5
|
|
Контроль данных
пользователя
|
+
|
+
|
+
|
+
|
При позиционировании программного комплекса на рынке схожих продуктов для
ряда характеристик использовалась следующая балльная система:
балл - очень плохо
балла - плохо
балла - средне
балла - хорошо
баллов - очень хорошо
Также использовалась качественная оценка характеристик со шкалой:
· низкий
· средний
· высокий
Для обозначения наличия или отсутствия характеристик использовались,
соответственно, знаки “+”и “-”.
Исходя из данных, основанных на экспертных оценках и приведенных в
таблице В.1, разрабатываемый программный продукт, показатели которого в
сравнении с другими программами не хуже, а в ряде случаев и лучше, является
конкурентоспособным.
Определение себестоимости работы-проекта
Затраты на основную заработную плату исполнителя исследования
определяются умножением размера месячной стипендии (2200 руб.) на число
месяцев, отводимых на выполнение дипломной работы (5 месяцев).
Основная заработная плата руководителя дипломной работы определяется
исходя из установленных госкомитетом по народному образованию России суммарной
нормы затрат его рабочего времени на одну дипломную работу (25 часов) и
среднечасовой заработной платы. В целях упрощения расчет производим по среднечасовой
заработной плате руководителя работы (80 руб./час) [27].
Зосн = 5*2200 + 25*80 = 13000 руб
Расход дополнительной зарплаты составляет 20% от основной.
З доп. = 13000*0,2 ≈ 2600руб.
Государством установлен единый социальный налог Hc в размере 26 % от основной и дополнительной заработной
платы. Размер затрат по статье “Начисления на фонд оплаты труда” в данной
работе составляет:
ЗФОТ. = ( З осн. + З доп..) * Hc (B.1)
ЗФОТ. = (13000 + 2600)* 0,26 ≈ 4056 руб.
Затраты, связанные с использованием ЭВМ, рассчитываются исходя из
количества часов работы ЭВМ и тарифа за один машино-час ее эксплуатации. Тариф
за один машино-час работы ПЭВМ по данным сотрудников кафедры САПРиУ составляет
60 руб./час. Время, затрачиваемое на отладку программы, составляет примерно
полтора месяца. Таким образом, при 8-часовом рабочем дне израсходованное
машинное временя составит примерно 240 часов. Затраты, связанные с
использованием ЭВМ, составили:
З ЭВМ. = 240 * 60 = 14400 руб.
Накладные расходы Hp
составляют 50 % от прямых [28]:
З накл = ( З осн. + З доп..+ ЗФОТ. + З ЭВМ. ) * Hp (B.2)
З накл = (13000 + 2600 + 4056 + 14400) * 0,5 = 17028 руб.
Таким образом, себестоимость работы-проекта, состоящая из прямых и
накладных расходов будет равна:
СР.П. = З осн. + З доп..+ ЗФОТ. + З ЭВМ. + З накл. (B.3)
СР.П. = (13000 + 2600 + 4056 + 14400 + 17028) = 51084 руб.
Определение договорной цены работы-проекта
Договорная цена работы-проекта устанавливается на основе затрат,
необходимых для выполнения работы, установленного норматива рентабельности и
коэффициента учитывающего поощрительную надбавку к НИР [27]. Поощрительная
надбавка К определяется в зависимости от достигнутой величины
научно-технического эффекта Энт
Энт= К1.у1 + K2.у2 + K3.у3 (B.4)
где К1,K2,K3 - весовые коэффициенты первого, второго и третьего
частного показателя;
у1, у2, у3 - показатели, характеризующие в баллах, соответственно степень
новизны разработки, ее научно-технический уровень и глубину воздействия в
процессе использования.
Значения весовых коэффициентов:
К1=0.25,
К2=0.25,
К3=0.5.
Степень новизны в данной работе можно охарактеризовать как «в основе
разработки лежит известный и используемый в промышленности принцип». Данному
уровню исследования удовлетворяет оценка у1= 20.
Научно-технический уровень исследования характеризуется как «в основе
разработки лежит известный и используемый в промышленности принцип», у2=20.
Глубина воздействия характеризуется как «улучшает основные параметры
изделия или процесса». Такому уровню соответствует у3=60.
В итоге величина Энт составит:
Энт = 0.25.20 + 0.25.20 +0.5.60 = 40 баллов.
Данной величине научно-технического эффекта соответствует коэффициент,
учитывающий надбавку, К=1.2.
Договорная цена на разработку работы-проекта определяется по формуле:
(B.5)
где Р - рекомендуемый норматив рентабельности (для инициативных работ
10%) [28]. Подставив цифры в формулу для расчета договорной цены
работы-проекта, получим:
ЦНИР =51084.(1+10/100) .1.2=67,431 тыс. руб.
4 Экономическая эффективность внедрения дипломной
работы-проекта
Данный программный комплекс позволит анализировать
работу экструзионных агрегатов и находить такие значения режимных параметров,
которые бы обеспечивали минимальное энергопотребление для заданных значений
показателей качества, что позволит сократить расходы на электроэнергию.
Договорная цена разработки ЦНИР составит = 67,431 тыс.
руб.
Основной экономический эффект от внедрения
программного комплекса ожидается от уменьшения потребляемой энергии экструдером
в производствах полимерных пленок.
Для промышленных предприятий 1 КВт·ч по данным
Ленэнерго на 2009 год стоит 2,3 руб., а годовой фонд времени работы экструдера
8000 часов. Учитывая, что до внедрения программного продукта экструдер
потреблял 400 КВт, а после внедрения стал расходовать 350 КВт, то ожидаемый
годовой экономический эффект составит:
Э = М*Т*Ц - Еи*Цнир (В.6)
где Ц - стоимость 1 КВт·ч, руб;
М - годовое снижение мощности экструдера от внедрения
программного комплекса, КВт;
Т - годовой годовой фонд времени работы экструдера, ч;
Еи - норматив эффективности капитальных вложений 0.15.
Цнир - договорная цена работы-проекта, руб.
Э= 50*8000*2,3 - 0.15×67,431 » 920 тыс. руб.
Таким образом ожидаемый годовой экономический эффект от внедрения данного
программного продукта в многоассортиментные производства полимерных пленок за
счет снижения потребляемой энергии составит 920 тыс. руб. для одного
экструдера, что свидетельствует о целесообразности его внедрения.
ПРИЛОЖЕНИЕ Г
(обязательное)
Федеральное агентство по образованию
Санкт-Петербургский государственный технологический институт
(Технический университет)
УТВЕРЖДАЮ
Зав. кафедрой САПРиУ, проф.
___________ Т.Б.Чистякова
ПРОГРАММНЫЙ
КОМПЛЕКС ДЛЯ ВЫБОРА И ИССЛЕДОВАНИЯ ОДНОШНЕКОВЫХ ЭКСТРУДЕРОВ В
МНОГОАССОРТИМЕНТНЫХ ПРОИЗВОДСТВАХ ПОЛИМЕРНЫХ МАТЕРИАЛОВ
Руководство
оператора
ЛИСТ
УТВЕРЖДЕНИЯ
.2.030.00001-01
34 01-ЛУ
Руководитель
дипломной работы-проекта, доц.
___________ А.Н.Полосин
___________ 2009
Исполнитель , студент
___________ О.Е.Григорьев
___________2009
Нормоконтролер, доц.
___________ И.А.Смирнов
___________ 2009
2009
УТВЕРЖДЕН
.2.030.00001-01 34 01-ЛУ
ПРОГРАММНЫЙ
КОМПЛЕКС ДЛЯ ВЫБОРА И ИССЛЕДОВАНИЯ ОДНОШНЕКОВЫХ ЭКСТРУДЕРОВ В
МНОГОАССОРТИМЕНТНЫХ ПРОИЗВОДСТВАХ ПОЛИМЕРНЫХ МАТЕРИАЛОВ
Руководство
оператора
.2.030.00001-01
34 01
Листов 7
2009
460.2.030.00001-01 34 01
аннотация
Данный документ является описанием программного комплекса,
предназначенного для выбора и исследования одношнековых экструдеров в гибких
многоассортиментных производствах полимерных материалов. Этот программный
продукт может быть применен в промышленной сфере и научных исследованиях для
решения определенных задач. Данный программный документ является руководством
оператора. В нём содержится краткое описание назначения программы, условий
выполнения и сообщений оператору.
Программный продукт создан для применения на персональных компьютерах
типа IBM PC.
Документ содержит 4 раздела, которые перечислены в содержании.
460.2.030.00001-01 34 01
содержание
назначение
программы
Условия
выполнения программы
выполнение
программы
сообщения
оператору
460.2.030.00001-01 34 01
назначение программы
Программный комплекс предназначен для решения задач автоматизированного
выбора и исследования перенастраиваемых многоассортиментных экструзионных
производств полимерных материалов.
Подсистема выбора позволяет на основе предельных значений технико -
экономических показателей подобрать одношнековые экструдеры, подходящие для
конкретных условий.
Подсистема исследования предназначена для анализа процесса экструзии,
протекающем в выбранном экструдере, и позволяет рассчитать производительность,
энергопотребление и качественные показатели полимерной пленки, такие как индекс
термодеструкции, температуру пленки и давление расплава на выходе из головки и
проверить выполнение регламентных ограничений, что позволяет получить
информацию о необходимости изменить конфигурацию оборудования, режимные или
геометрические параметры.
Разработанный программный комплекс интегрирован в единый комплекс
проектирования производств полимерных материалов, который может быть применен в
промышленной сфере, для решения задач проектирования и поверочного расчета по
математическим моделям агрегатов экструзионной линии.
Программное обеспечение представляет собой интерфейс «оператор-ЭВМ».
условия выполнения программы
Программа корректно выполняется при правильном заполнении всех требуемых
полей.
Минимальные требования к аппаратному и программному обеспечению:
Для корректной работы требуется компьютер на базе процессора Pentium IV и выше, ОП 512 Мб, от 1 Гб свободного дискового
пространства, операционная система Windows 2000 / XP / 2003, разрешение монитора 1024x768 точек.
выполнение программы
Для запуска программы необходимо дважды щелкнуть на файле Project1.exe, находящемся в папке с программой, в результате чего
появится основное окно.
Для выбора экструдеров по заданным ТЭП необходимо выбрать пункт меню
«Выбор экструдеров…», появится окно для задания предельных
технико-экономических показателей экструдеров. После заполнения всех полей
необходимо нажать кнопку «Найти», в результате будет сформирован список
допустимых решений. Нажав правую кнопку мыши на одном из экструдеров по пункту
меню «Паспорт» исследователь может ознакомиться с техническим паспортом
экструдера.
Для продолжения работы необходимо выбрать пункт меню «Вернуться». Далее
из выпадающего списка необходимо выбрать экструдер для исследования, при
необходимости поправить диапазоны варьирования параметров и нажать кнопку
«Рассчитать». Далее будут сформированы графики, характеризующие процесс
одношнековой экструзии, которые можно выбирать из выпадающего меню.
Для выхода из программы необходимо выбрать пункт меню Файл->Выход.
сообщения оператору
В процессе выполнения программы исследователь получает сообщения об
невозможности выполнении тех или иных действий в программе. При попытке
заполнить базу знаний некорректными данными (данными уже имеющимися в системе)
пользователю будет выдано сообщение о недостоверности вводимых им знаний.
То же самое касается и заполнения исследователем полей, предназначенных
для формирования задания на выбор экструдеров или исследование.