Теодолитная съемка. Геометрическое нивелирование трассы участка железной дороги

  • Вид работы:
    Контрольная работа
  • Предмет:
    Геология
  • Язык:
    Русский
    ,
    Формат файла:
    MS Word
    1,99 Мб
  • Опубликовано:
    2012-11-02
Вы можете узнать стоимость помощи в написании студенческой работы.
Помощь в написании работы, которую точно примут!

Теодолитная съемка. Геометрическое нивелирование трассы участка железной дороги

ОСНОВЫ ГЕОДЕЗИИ И ПРОЕКТИРОВАНИЯ ЖЕЛЕЗНЫХ ДОРОГ












Контрольная работа

Вариант 025

Часть 1. Теодолитная съемка

1. Задание

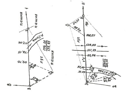
Разомкнутый теодолитный ход проложен между двумя исходными сторонами АА’ и BB’ (рис. 1.1), даны дирекционные углы сторон  и  и координаты исходных пунктов А и В.

Рис. 1.1. Схема теодолитного хода

Дирекционные углы:

 = 354047’

 = 77050’

Координаты:

ХА = 1706.46

УА = 3022.43

ХВ = 1955.27

УВ = 3005.91

На каждой точке хода измерен горизонтальный угол β, между точками хода определены горизонтальные положения α

Таблица 1.


Провести уравнивание измеренных углов разомкнутого теодолитного хода, вычислить по ним дирекционные углы сторон теодолитного хода и координаты точек хода (таблица 1). Составить план теодолитной съемки в масштабе 1:2000 на чертежной бумаге (формат А3), используя абрис теодолитной съемки (рис 1.2, 1.3, 1.4, 1.5).

Рис.1.2. Абрис линии А-1 Рис. 1.3 Абрис линии 1-2

Рис. 1.4 Абрис линии 2-3 Рис. 1.5. Абрис линии 3-В

Оформить составленный план в соответствии с условными знаками для масштаба 1:2000.

Решение:

.1 Уравнивания углов разомкнутого теодолитного хода

Составим таблицу - ведомость вычисления плоских прямоугольных координат точек теодолитного хода.

.        Подсчитываем сумму измеренных горизонтальных углов хода

Σβ = 298003.3’ + 76015.2’ + 176058.5’ + 86036.5’ + 179005.5’ = 816059.0’

2.       Определяем величину угловой неувязки fβ как разность между суммой измеренных углов и теоретической суммой:

fβ = Σβ -  - 1800*n + *

где n - число углов хода fβ = 816059.0’ - 354047’ - 1800*5 + (77050’+ 3600) = + 0002./ Определяем допустимую угловую невязку теодолитного хода

fβ. доп =  = 2,2/

У нас fβ = + 2,0/ и   2,2/, тогда величину fβ распределяем поровну на все углы, т. е. в каждый угол вводим поправку, обратную по знаку невязке fβ и равную 1/n ее величины = 1/5 * fβ = - 0,2*0,2 = - 0,4.

После уравнивания углов подсчитываем fβ/ - сумму уравненных углов, которая равна теоретической сумме.

1.2 Вычисление дирекционных углов сторон разомкнутого теодолитного хода

По уравненным углам и заданному дирекционному углу стороны А/А находим дирекционные углы всех остальных сторон αn = αn - 1 + 1800 - βn где αn и αn - 1 - дирекционные углы сторон, соответственно последующей и предыдущей; βn - внутренний правый по ходу уравненный угол при точке, образованной этими сторонами.

Например, в нашем случае, уравненный угол при точке А, равный 298002,9/, и дирекционный угол А/А, равный 354047,0/, тогда дирекционный угол стороны А1 будет:

047,0/

+

000,00/

 = 534047,0/

---

298002,9/

А1 = 236044,1/

И так далее для остальных сторон. В итоге, последовательное вычисление всех сторон приводит к величине дирекционного угла В/В - данные вносим в ведомость.

.3 Определение длины хода

Теодолитные ходы по точности делят на теодолитные ходы 1-го и 2-го разрядов, прокладываемые с относительной погрешностью соответственно 1:2000 и 1: 1000. Длины сторон в таких ходах для открытой местности допускаются 200 - 350 м.

Для определения длины разомкнутого теодолитного хода подсчитываем сумму горизонтальных проложений его сторон:

 = Σd. = 165.15 + 128.48 + 175.98 + 220.06 = 689.67  690 m.

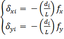
1.4 Вычисление приращений прямоугольных координат

Вычисление приращений проведем по формулам:


где Δх и Δу - приращения прямоугольных координат;

d - горизонтальное проложение;

α - дирекционный угол.

.5 Определение невязок и уравнение приращений координат точек разомкнутого теодолитного хода

а)       Для определения невязок в приращениях координат вычисляем


б) Находим невязки в вычисленных приращениях прямоугольных координат:


В нашем случае координаты исходных пунктов:

ХА = 1706.46 УА = 3022.43

ХВ = 1955.27 УВ = 3005.91

ХВ - ХА = 1955,27 - 1706,46 = + 248,81 м.

УВ - УА = 3005,91 - 3022,43 = - 16,52 м.


б)      Невязки fx и fy не должны превышать установленного предела

f=


L  1:2000=  = 0.265 m.= 690 m.

 ⇒  , т. е. условие выполняется.

Вводим поправки  , пропорциональные длинам сторон, определяемые как:

 тогда поправки равны:


После внесения поправок алгебраические суммы уравненных приращений координат равны теоретическим, т.е.


1.6 Вычисление координат разомкнутого теодолитного хода

Используя формулы прямой геодезической задачи, последовательно вычисляем координаты всех точек теодолитного хода.

Координаты вычисляем с точностью до 0,01:


В нашем случае:

ХА = 1706.46 УА = 3022.43


Контролем правильности выполненных вычислений будет служить получение координат пункта В:

ХВ = 1955.27 УВ = 3005.91

.7 Построение и оформление плана теодолитной съемки

Построение плана по материалам теодолитной съемки выполняем в следующей последовательности:

.        построение координатной сетки;

.        вынесение по координатам точек теодолитного хода;

.        вынесение ситуации;

.        оформление надписей.

Используем формат А3.

На листе бумаги формата А3 проводим две тонкие линии диагоналей. От точки их пересечения циркулем-измерителем откладываем на проведенных линиях равные расстояния в направлении каждого из четырех углов листа, получая, четыре вершины прямоугольника. На сторонах прямоугольника откладываем расстояния в 10 см и строим сетку дециметровых квадратов.

Ось Х располагается на чертеже снизу вверх (юг  север), ось У - слева направо (запад  восток).

Число квадратов сетки рассчитываем исходя из полученных значений координат точек теодолитного хода.

В нашем случае: самая северная (имеющая наибольшее значение Х) точка теодолитного хода (таблица 1.1) - точка В (ХВ = 1955,27 м  1955 м), а самая южная точка - точка 1 (Х1 = 1615,93 м  1616 м). разность координат этих двух точек будет: 1955 - 1616 = 339 м (340 м).

В масштабе плана 1:2000 стороне квадрата в 10 см на местности соответствует расстояние в 200 м. следовательно, по оси Х необходимо построить примерно 340/200 = 1,7 квадрата  2 квадрата.

Аналогично определяем число квадратов по оси У:

УА - У3 = 3022,43 - 2791,49 = 230,94 м.

Число квадратов: 230,94/200 = 1,155  1,2 квадрата (берем 2 квадрата)

Контроль вычерченной координатной оси выполняется по диагоналям построенных квадратов. Отклонения размеров построенных сторон и диагоналей от их точных значений не должны превосходить 0,2 мм.

Построенную координатную сетку подписываем точки хода наносим на план по их вычисленным координатам. Нанесение точек хода контролируем: измеряем расстояние между нанесенными точками (получившиеся на плане длины сторон хода должны отличаться от записанных в графе 6 табл. 1.1 не более, чем на 0,2 мм).

Ситуацию наносим на план с абриса (рис. 1.2 - 1.5), используя результаты всех измерений, сделанных при съемке ситуации.

Расстояния переносим в масштабе плана при помощи циркуля-измерителя. Измеренные при съемке ситуации расстояния и углы на плане не подписываем. Рамку строим так, чтобы ситуация находилась полностью внутри её.

Ситуацию будем вычерчивать в соответствии с действующими условными топографическими знаками для плана местности масштаба 1:2000, регламентированных в распоряжении О Перечне элементов от 16 марта 1995 г № 6-07-668.

Таблица 1.1. Ведомость вычисления плоских прямоугольных координат точек теодолитного хода

 номер точки

Горизонтальные углы

 Дирекционные углы, α

 Горизонт проложения d, м

Приращение координат

Координаты


 измеренные β

поправки

 уравненные β/



 вычисленные

 уравненные

 Х

 Y







 ΔХ

 ΔY

 Х

 Y



1

2

3

4

5

6

7

8

9

10

11

12

A’




354047’








A

298003.3’

-0,4/

29802,9’

236044,1’

165,15

-90,587

-138,089

-90.65

-138.08

1706.46

3022.43

1

76015.2’

-0,4/

76014.8’

340029,3’

128,48

121,102

-42,912

+121.05

-42.90

1615,81

2884.39

2

176058.5’

-0,4/

176058,1’

343031,2’

175,98

168,751

-49,922

+168.68

49.91

1736,86

2841.35

3

86036.5’

-0,4/

86036,1’

76055,1’

220,06

49,808

214,349

+49.73

+214.37

1905,54

2791.49

B

179005.5’

-0,4/

17905,1’

77050.0’




+248.81

-16.52

1955.27

3005.91

B’





Σd=689,67

ΣΔХ = +249,074

ΣΔУ= -16,574





Σβ

816059.0’

Σβ’

816057/



ΣΔХТ = +248,814

ΣΔУТ = - 16,524











fX = +0,26

fY = - 0,05







Часть 2. Геометрическое нивелирование трассы участка железной дороги

Задание:

По журналу технического нивелирования трассы выполнить следующие расчеты и построения:

а) вычислить среднее повышение связующих точек с производством постраничного контроля; определить невязку нивелирного хода, уравнять средние превышения и по этим превышениям подсчитать отметки связующих точек; отметки нивелирных реперов принять согласно таблице 2.1.

б) на станциях, имеющих промежуточные точки, вычислить горизонты нивелира (ГН), по ним найти отметки этих точек;

в) определить пикетажное положение главных точек одной кривой;

г) построить профиль участка железнодорожной трассы;

д) построить проектную линию на продольном профиле по заданным уклонам, вычислить проектные и рабочие отметки;

е) построить поперечный профиль на ПК 0 + 60.

Исходные данные

РП25 = 148,575 м

Отметки

РП26 = 154,629 м

Угол поворота (у) влево = 9024/

Дирекционный угол (αХ) = 209045/

Радиус круговой кривой R = 1200 м.

Рисунок 2.1.

Рис.2.1. Пикетажный журнал

Таблица 2.1.

теодолитный съемка нивелирование трасса

Решение:

2.1 Обработка журнала нивелирования железнодорожной трассы

По отсчетам на двухсторонних рейках, приведенном в журнале нивелирования трассы. Вычисляем превышения связующих точек и записываем их в графу 6 таблицы 1.

На станции 1 задний отсчет 1 693 мм на РП25 и передний отсчет 0423 на ПКО.

Превышение h1 = 1693 - 0423 = + 1270 мм. - записываем его в графу 6.

На этой же станции другой задний отсчет на РП 25 - 6 378 мм, а на ПКО передний отсчет - 5 111 мм.

Превышение h2 = 6378 - 5111 = +1267 мм.

Вычисляем среднее превышение h2 между этими двумя величинами и вносим его в графу 7 таблицы 1 с соответствующим знаком.

Аналогично делаем расчеты на 2-ой странице журнала.

Также вычисляем h и hcp . находим сумму всех задних отсчетов по нивелирным рейкам - Σа; и сумму всех передних отсчетов - Σb; определяем Σа - Σb; сумму всех превышений - Σh и сумму всех средних превышений - Σhcp.

При правильных отсчетах, записях и вычислениях на каждой странице журнала выполняем постраничный контроль:

Σа - Σb = Σh = 2 Σhcp.

В нашем случае: Σа - Σb =4859 мм и Σh = 4859 мм, 2*Σhcp = 2*2429 мм.

Таким образом, первая и вторая страницы журнала обработаны верно.

Вычисляем невязку fh для связующих точек всего нивелирного хода. Для хода, проложенного между двумя реперами - начальным и конечным с известными для них отметками Ннач и Нконеч находим:

fh = Σhcp - (Нконеч - Ннач )

В нашем случае Нконеч = Н(РП26) = 154,629 мм

Ннач = Н(РП25) = 148,575 мм.

fh = 6074 - (154629 - 148575 ) = 6074 - 6054 = 20 мм

Полученная невязка не должна превышать допуска, вычисляемого по формуле:

fh доп= ±50√L км

Если выполняется условие fh ≤ fh доп, то невязку распределяют между всеми средними превышениями и надписывают её над каждым средним превышением в колонке 7. Получив исправленные превышения, вписываем в колонку7 под каждым средним значением. Расчет поправок производится по формуле:

δh = fh* /Lоб = - 20/11 = -1.81(81)  - 2 mm

где Lоб - общая длина нивелирного хода, м

Находим отметки связующих точек хода:

Нi+1 = Hi +

где Нi+1 - отметка последующей точки;

Hi - отметка предыдущей точки;

 - уравненное среднее превышение.

В нашем случае:

НПК5 = НПК4 + h/cp5 = 152.211 + 0.431 = 152.642 м и т. д.

После вычисления всех отметок связующих точек выполняем контроль правильности вычислений

Нконеч - Hнач = Σ

Очевидно, что условие выполнено.

На станциях, имеющих промежуточные точки, вычисляем горизонт инструмента:

ГИ= Нi+i

Где Нi - высота предыдущей точки;

i - отсчет по черной стороне рейки, установленной на задней точке.

Отметка промежуточной точки:

Hi = ГНi - ci

где ci - отсчет по черной стороне рейки на i- ой промежуточной точке

ГН7 = 152,642 + 1,139 = 153,781 м

НПК6 = 153,781 - 0,334 = 153,447 м

Заполняем журнал технического нивелирования трассы.

Таблица 1. Журнал технического нивелирования

Нивелир Н-10 рейки двусторонние

№ станции

№ пикета

Отсчеты по рейке, мм

Превышение h, мм

Среднее превышение, hср, мм

Горизонт нивелира ГН, м

Отметка Н, м

 Расчет

примечания.



 Задние, а

 передние, b

промежуточные







1

2

3

4

5

6

7

8

9

10

11

1

 РП25 ПКО

 1693

 0423


 +1270 +1267

- 2



148,575  149,841


2

ПКО +60 П+9 П+20 Л+14 Л+20 ПК1

   0999

   0453

 0418 0300 2092 0305 2850

   +546 +546

   - 2

   150,84


149,841 150,422 150,540 148,748 150,535 147,990  150,385


 3

 ПК1 ПК2

 1736

 0386  


 +1350 +1351

 -2



150,385   151,734


4

 ПК2 ПК3

 0837

 2857  


 -2020 -2021

 - 2



151,734   149,712


5

 ПК3 ПК4

 2850

 0349


 +2501 +2501

 -2



149,712  152,211




Σа=39656

Σb=32365

Σа - Σb = +7291

Σh= +7291

Σhcp= +3645


Контроль на 1 странице:152,211 - 148,575


Уравненное Σhcp= +3635

Нивелир Н-10 рейки двусторонние

 

№ станции

№ пикета

Отсчеты по рейке, мм

Превышение h, мм

Горизонт нивелира ГН, м

 Отметка Н, м

примечания.



 задние, а

 передние, b

промежуточные






1

2

3

4

5

6

7

8

9

10

6

 ПК4 +60 ПК5

 1055

 0621

  1089

 +434 +432

 -2  

  153,266

152,211  152,177 152,642


7

 ПК5 ПК6 ПК7

 1139

 1193

  0334

 -54 -53

 -2

  153,781

152,642 153,447 152,587


8

 ПК7  ПК8

 1244

 0789


 +455 +455

 -2  


152,587 153,040


9

 ПК8  ПК9

 1787

 1231


 +556 +553

 -2  


153,040 153,593


10

 ПК9 +60 ПК10

 1021

 0603

  1421

 +418 +416

 -2

  154,614

153,593  153,193 154,008


11

ПК10 РП26

1311

0685


+626 +621

-2


154,008 154,629


 


Σа=43224

Σb=38365

Σа - Σb =4859

Σh= =4859

Σhcp= =2429


Контроль второй страницы: 154,629 - 152,211 = 2,418


Уравненное Σhcp= +2418

После камеральной обработки журнала нивелирования приступаем к построению продольного профиля трассы, предварительно определив пикетное положение главных точек кривых.

.2 Расчет пикетажного положения главных точек кривой

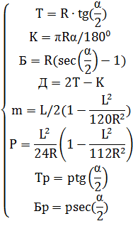
По заданному углу поворота трассы влево у = 9024/, радиусу круговой кривой R = 1200 м и длине переходной кривой L = 100 м находим, пользуясь таблицами для разбивки железнодорожных кривых, элементы кривой, а также рассчитываем пикетажное положение ее главных точек.

При отсутствии таблиц для разбивки кривых на железных дорогах, элементы кривых находим по формулам:


Здесь:

α(у) = 9024/ - угол поворота линии;

R(P) = 1200 м. - радиус круговой кривой;

L = 100 м. - длина переходной кривой;

Т - «тангенс» - расстояние от вершины угла поворота (ВУП) до начала (НК) или конца (КК) круговой кривой;

К - длина круговой кривой;

Б - биссектриса круговой кривой;

Д - диаметр круговой кривой;

m - приращение тангенса при устройстве переходной кривой;

Р - величина сдвижки круговой кривой при устройстве переходной кривой;

Тр и Бр - приращения тангенса и биссектрисы круговой кривой, вызванной сдвижкой р.



Тогда


Пикетажное положение главных точек кривой:


Результаты расчета сведем в «Ведомость расчета кривых».

2.3 Построение продольного графика трассы

Продольный профиль строим по данным нивелирного и пикетажного журналов .

Верхняя линия сетки называется линией условного горизонта.

Профиль строим для горизонтальных расстояний в масштабе 1:10000 и для вертикальных - 1:200.

1.       По данным пикетажного и нивелирного журналов заполняем графу расстояний в заданном масштабе.

Плановое положение всех пикетов и плюсовых точек фиксируем вертикальными отрезками. Заполняем графу отметки земли, округляя последнее до 0,01 м. отлаживаем отметки земли от линии условного горизонта.

.        На продольный профиль наносим проектную линию бровки земляного полотна. Ее начальную отметку в данной работе принимаем на 0,23 м выше отметки ПКО.

Величины уклонов проектной линии бровки земляного полотна и сопутствующих им расстояния принимаем следующими:

между ПКO и ПК5 уклон i = +5‰ (+0,005);

между ПК5 и ПК10 уклон i = +3‰ (+0,003).

3.       По заданным уклонам находим отметки проектного профиля:

 =

 - определяемая проектная отметка последующей точки;

 - известная проектная отметка предыдущей точки;

d - горизонтальное расстояние между точкой, в которой определяют отметку, и предыдущей точкой (где отметка известна);

i - проектный уклон.

Например,

Проектный уклон i = +0.005;

 = 148,575 + 0,005*100 = 149,075 = 149,08 м.м.

= 149,075 + 0,005*100 = 149,575м. = 149,58 м. и т.д.

4.       Проводим контроль вычислений:

 -  = 4.000

5.       После выполнения контроля правильности расчета проектных отметок наносим проектную линию по найденным проектным отметкам точек перелома профиля.

Проектные отметки вычисляем на всех пикетах и плюсовых точках профиля с точностью до 0,01 м.

.        Вычисляем рабочие отметки:

h/ =

где h/ - искомая рабочая отметка в данной точке;

 - проектная отметка в данной точке:

 - отметка земли в той же точке.

Записываем вычисленные рабочие отметки с точностью до 0,01 м. у соответствующих точек. При этом отметки со знаком «---« (выемки) - под проектной линией на профиле.

Например,

На ПК1 Н/ - проектная отметка равна 149,58 м.

Н - отметка земли - 150,385 = 150,39 м., тогда рабочая отметка на этом плане h/ = 149,58 - 150,39 = -0,81 м - выемка.

.        По рабочим отметкам для одной точки нулевых работ рассчитываем ее горизонтальное положение до ближайшего пикета.

x =

Вычисление проектных и рабочих отметок:

№ точки

Высота уровня земли, Нзем , м

Уклон, i

Расстояние, d, м

Проектная высота, Нп, м

Рабочая высота, h/ м

Точки нулевых работ НТ

Нп-1 = НРП25= 148,575 м


ПК0

149,841

-

-

149,08

- 0,76

 

ПК0+60

150,422

+0,005

60

149,38

-1,04

149,21

ПК1

150,385

+0,005

100

149,58

-0,81

149,49

ПК2

151,734

+0,005

200

150,08

-1,65

149,74

ПК3

149,713

+0,005

300

150,58

+0,87

150,41

ПК4

152,211

+0,005

400

151,08

-1,13

150,80

ПК4+60

152,177

+0,005

460

151,38

-0,80

151,26

ПК5

152,642

+0,005

500

151,58

-1,06

151,47

ПК6

153,447

+0,003

600

151,88

-1,57

151,70

ПК7

152,587

+0,003

700

152,18

-0,41

152,12

ПК8

153,04

+0,003

800

152,48

-0,56

152,31

ПК9

153,593

+0,003

 900

152,78

-0,81

152,60

ПК9+60

153,193

+0,003

960

152,96

-0,23

152,86

ПК10

154,008

-

1000

153,08

-0,93

152,98

НРП26 = 154,629 м


Определение точек нулевых работ (сделаем точные вычисления):

,

Т. 1 расположена между ПК0 и ПК0+60:

d1 =  =  = 25.33 m

d2 =  =  = 34.67 m

HT1 = HПК0 -  * d1 = 149.08 -  25.33 = 149.21 m

Т. 2 расположена между ПК0+60 и ПК2:

d1 =  =  = 22.49 m

d2 =  =  = 17.51 m

HT2 = HПК0+60 -  * d1 = 149.38 -  22.49=149.49 m

Т.3 расположена между точкой ПК1 и ПК2

d1 =  =  = 32,93 m

d2 =  =  = 67,07 m

HT3 = HПК1 -  * d1 = 149.58 -  32,93 = 149,74 m

Т.4 расположена между ПК2 и ПК3

d1 =  =  = 65,48 m

d2 =  =  = 34,52 m

HT4 = HПК2 -  * d1 = 150,08 -  65,48 = 150,41 m

Т.5 расположена между ПК3 и ПК4

d1 =  =  = 43,50 m

d2 =  =  = 56,5 m

HT5 = HПК3 -  * d1 = 150,58 -  43,50 = 150,80 m

Т.6 расположена между ПК4 и ПК4+60

d1 =  =  = 35,13 m

d2 =  =  = 24,87 m

HT6 = HПК4 -  * d1 = 151,08 -  35,13 =151,26 m

Т.7 расположена между ПК4 + 60 и ПК5

d1 =  =  = 17,20 m

d2 =  =  = 22,80 m

HT7 = HПК4+60 -  * d1 = 151,38 -  17,2 =151,47 m

Т.8 расположена между ПК5 и ПК6

d1 =  =  = 40,30 m

d2 =  =  = 41,29 m

HT8 = HПК5 -  * d1 = 151,58 -  40,30 =151,70 m

Т.9 расположена между ПК6 и ПК7

d1 =  =  = 79,29 m

d2 =  =  = 20,71 m

HT9 = HПК6 -  * d1 = 151,88 +  79,29 = 152,12 m

Т.10 расположена между ПК7 и ПК8

d1 =  =  = 42,27 m

d2 =  =  = 57,73 m

HT10 = HПК7 -  * d1 = 152,18 +  42,27 = 152,31 m

Т.11 расположена между ПК8 и ПК9

d1 =  =  = 40,88 m

d2 =  =  = 59,12 m

HT11 = HПК8 -  * d1 = 152,48 +  40,88 = 152,60 m

Т.12 расположена между ПК9 и ПК9+60

d1 =  =  = 46,73 m

d2 =  =  = 13,27 m

HT12 = HПК9 -  * d1 = 152,78 +  46,73 = 152,86 m

Т.13 расположена между ПК9+60 и П10

d1 =  =  = 7,93 m

d2 =  =  = 32,07 m

HT13 = HПК9+60 -  * d1 = 152,96 +  7,93 = 152,98 m

В графу «Прямые и кривые в плане» продольного профиля, используя данные таблицы «Вычисление и контроль элементов участков трассы и профиля», вносим пикетажное положение главных точек заданной кривой.

На плане прямыми отрезками обозначим прямые участки трассы и дугами, обращенные вверх или вниз кривые.

Если трасса поворачивает вправо, то дуга вычерчивается выпуклостью вверх, если влево - вниз. В точках НК и КК каждой кривой проводим ординаты до графы «Пикет», вдоль которых необходимо написать расстояния до ближайших пикетов.

Над и под дугами, изображающими на профиле кривые, подписываем значения основных элементов кривых. Над прямыми отрезками подписываем длины прямых и участков трассы. Расчет выполняем таблично (Приложение 2).

По дирекционному углу (αН) первой прямой вставки находим дирекционный угол αК второй прямой вставки трассы по формуле для левых углов уА поворота

αК = αН - αЛ

αН = 209045/ - для первой прямой вставки;

αЛ = 9024/

αК = 209045/ - 9024/ = 200021/ - для второй прямой вставки.

В соответствии с ГОСТ 21.510-83 на построенном продольном профиле участка железной дороги «сплошной толстой основной» линией показываем проектную линию, линии ординат от точек перелома проектной линии, прямые и кривые в плане, развернутый план пути.

1.4 Построение поперечного профиля на ПКО+60

Масштаб принимаем 1:200. Так как в работе не рассматриваются вопросы проектирования земляного полотна и искусственных сооружений, то для данного профиля применяется сокращенная сетка

Отметки для вычерчивания поперечного профиля берем из таблицы 1 « Журнал нивелирования трассы». Сетку поперечного сечения выбираем в виде:


В соответствии с ГОСТ 21.510-83 на поперечном профиле линию фактической поверхности земли показываем «сплошной тонкой».

Приложение 1

Ведомость расчета кривых

Первая кривая (поворот налево); у = 9024/.

Исходные данные: R = 1200 м; L = 100 м.

.        Элементы кривых:

круговой

переходной

Т = 98,66 м

Тр = 0,0285 м

К = 196,77 м

m = 49,997

Д = 0,55 м

Бр = 0,348 м.

Б = 4,05 м

Др = 0,051 м.


Суммированные значения Тс, Кс, Дс, Бс.

Т

98,66


К

196,77

 

Д

0,55


Б

4,05

+Тр

0,0285


+L

100


+Др

0,051


+Бр

0,348

+m

49,997


Kc

296,77


Дс

0,601


Бс

4,398

Tc

148,69










Контроль: 2Тс - Кс - Дс = 297,38 - 296,77 - 0,601 = 0,009 = 0

Контроль:

ПК ВУП

8 + 00,00


ПК ВУП

8 + 00,00

- Тс

1 + 48,69


+Тс

1 + 48,69

ПК НК

6 +51,31



9 + 48,69

+Кс

2 + 96,77


- Дт

 0,601

ПК КК

9 + 48,08


ПК КК

9 +49,29

ПК НК

6 + 51,31


ПК ВУ

8 + 00,00

+Кс/2

1 + 48,39


-Дс/2

0 + 0,300

ПК СК

7 + 99,70


ПК СК

7 + 99,70




Приложение 2

Вычисление и контроль элементов участка трассы и профиля

Проверка разности и проектных отметок (превышений) между конечной и первой точками профиля

Длина уклонов, α

Уклоны, ‰

Превышения

Отметки


+

--

+

--

500

0,005


2,50


НПКО = 149,075

500

0,003


1,50


НПК5 = 149,075+2,50= 151,575






НПК10 = 151,575+1,50=153,075






153,08




-Σhc = 4,00

-Σh/ = 0,00

149,08




Σh/ = 0,00


4,00


Таблица 2.Проверка общей длины трассы

Длина участков трассы

прямых

кривых

площадок

уклонов

ПК НК = 651,31




51,31+0,6 = 51,91

с = 296,77


500,00




500,00









ΣПР = 703,,22

ΣКР = 296,77

ΣПЛ = 0

ΣУКЛ = 1000,00

ΣПР + ΣКР = 703,22+296,77 = 1000 м. ΣПЛ + ΣУКЛ = 1000 м.

Длина участка трассы Sобщ = 1000 м.

Таблица 3. Вычисление дирекционных углов α прямых участков трассы и производство проверки вычислений

Направление

α

Контроль



Углы поворота



У правые

У левые

αН

209045/



- 9024/



200021/



0000/

---

+9024/

200021/




 αН = 200021/ - 209045/ = - 9024/ ΣуП = 0; Σул = 9024/

ΣуП - Σул = - 9024/

Литература

1. Визгин А.А., Коугия В.А., Хренов Л.С. Практикум по инженерной геодезии. Учебное пособие для вузов.. - М.: Недра, 1989. - 285 с.

. Генике А.А., Побединский Г.Г. Глобальные спутниковые системы определения местоположения и их применение в геодезии. Изд. 2-е. - М.: Картгеоцентр, 2004. - 355 с.

. Геодезия. Термины и определения. ГОСТ 22268-76. - М.:Госстандарт СССР, 1976. - 32 с.

. Геодезия. Топографические съемки: Справочное пособ. / Ю.К. Неумывакин, Е.И. Халугин, П.Н. Кузнецов и А.В. Бойко - М.: Недра, 1991. - 317 с.: ил.

. Геодезические работы при строительстве мостов / В.А. Коугия, В.В. Грузинов, О.Н. Малковский, В.Д. Петров. - М.: Недра, 1986. - 248 с.

. Изыскания и проектирование железных дорог. Учеб. для вузов ж.-д. трансп. / И.В. Турбин, А.В. Гавриленков, И.И. Кантор и др.; под ред. И.В. Турбина. - M.: Транспорт, 1989. - 479 с.

. Инженерная геодезия. Учеб. для вузов ж.-д. трансп./ Г.С. Бронштейн, В.Д. Власов, Н.С. Зайцева и др.; под ред. С.И. Матвеева.- М.; 1999. - 455 с.

. Инженерная геодезия. Учеб. для вузов / Под ред. Д.Ш. Михелева. - Изд. 2-е - М.: Высш. шк., 2001 - 464 с.

. Инструкция по нивелированию I, II, III и IV классов.- М.: Недра, 1990. - 167 с.

. Инструкция по топографической съемке в масштабах 1:5000, 1:2000, 1:1000, 1:500. - М.: Недра, 1985. - 152 с.

. Инструкция по топографо-геодезическим работам при инженерных изысканиях для промышленного, сельскохозяйственного, городского и поселкового строительства. СН-212-73. - М.: Стройиздат, 1974. - 152 с.

. Коськов Б.И. Справочное пособие по съемке городов. - 3-е изд., перераб. и доп. - М.: Недра, 1986. - 334 с.

. Лобанов А.Н. Аэрофототопография. - М.: Недра, 1978. - 576 с.

. Матвеев С.И., Коугия В.А., Цветков В.Я. Геоинформационные системы и технологии на железнодорожном транспорте: Учебное пособие для вузов ж.-д. трансп. / Под ред. С.И. Матвеева. - М.: УМК МПС России, 2002. - 288 с.

. Основные положения о государственной геодезической сети Российской Федерации. ГКИНТП (ГНТА) - 01 - 006 - 03. - М.: Федеральная служба геодезии и картографии России, 2004. - 28 с.

. Правила закладки центров и реперов на пунктах геодезической и нивелирной сетей. - М.: “Картгеоцентр-Геодезиздат”,1993.

. Правила закрепления центров пунктов спутниковой геодезической сети. - М.: ЦНИИГАиК, 2001.- 51 с.

. СНиП №.01.03.-84. Геодезические работы в строительстве. - М.: ЦНИТП Госстроя СССР. - 1985. - 28 с.

. Спутниковая технология геодезических работ. Термины и определения / Руководящий технический материал. - М.: ЦНИИГАиК, 2001. - 28 с.

. Условные знаки для топографических планов масштабов 1:5000, 1:2000, 1:1000, 1:500. - М.: Недра, 1989. - 286 с.

Похожие работы на - Теодолитная съемка. Геометрическое нивелирование трассы участка железной дороги

 

Не нашли материал для своей работы?
Поможем написать уникальную работу
Без плагиата!
Без нейросетей!