Повышения эффективности работы машиностроительного и ремонтного производства
Введение
горная машина ремонт персонал
Одним из основных факторов, напрямую влияющих на эффективность работы, а
соответственно, экономическое благополучие российских горнодобывающих
предприятий, является непрерывное старение парка горно-шахтного оборудования
(ГШО). Сегодня темпы старения ГШО опережают его воспроизводство, модернизацию и
реновацию. Среди некоторых видов ГШО доля машин с выработанным ресурсом уже
превышает 50%. Эксплуатация техники в «предотказном» состоянии приводит к
постоянному увеличению доли затрат на ее содержание в себестоимости добычи и
переработки продукции горного производства. В настоящее время рост расходов на
эксплуатацию и ремонт ГШО на горнодобывающих предприятиях опережает рост
стоимости основной продукции. Если имеющаяся тенденция сохранится, то уже через
5-7 лет затраты на ремонт сравняются со стоимостью нового ГШО.
Актуальность проблемы повышения эффективности работы машиностроительного
и ремонтного производства с целью обеспечения успешного решения задач
управления надежностью ГШО определяется действием целого комплекса факторов и
тенденций, среди которых помимо старения техники следует выделить:
· напрямую связанное с уменьшением надежности ГШО снижение уровня
безопасности и эффективности его работы;
· недостаточный уровень квалификации кадров в
машиностроительном и ремонтном производстве, не позволяющий выйти на
оптимальное соотношение критерия «цена-качество»;
· сохраняющие свою силу негативные последствия распада
комплекса горного машиностроения (как сокращение номенклатуры, так и уменьшение
объемов производства).
Данный курсовой проект ставит перед собой такие цели как: закрепление и
углубление знаний, полученных при изучении дисциплины “Эксплуатация и ремонт
горных машин и комплексов”; развитие навыков самостоятельного творческого
решения вопросов по эксплуатации и ремонту машин и оборудования в конкретных
производственных условиях; подготовка к практической инженерной деятельности,
связанной с организацией ремонтной службы на предприятии, с применением
современных методов ремонта, восстановления и повышения срока службы деталей
машин и оборудования при минимальных технико-экономических затратах.
Основные задачи проекта: определить необходимое количество и виды
технического обслуживания и ремонта; составить перспективные и текущие графики
ремонта основного технологического оборудования; рассчитать необходимую
численность ремонтного персонала и станочного оборудования; спроектировать
ремонтную базу предприятия; выбрать рациональные систему и метод ремонта
действующих машин и оборудования; применить современные методы ремонта,
восстановления и повышения износостойкости деталей машин и оборудования при
минимальных технико-экономических затратах.
1. Характеристика предприятия
Исходные данные: Особенности геологического строения месторождения.
В геологическом строении месторождения Эльдорадо принимают участие
гранато-слюдистые сланцы горбилокской и удерейской свит, кварцево-биотитовые
сланцы кординской свиты. Рудовмещающая толща кристаллических сланцев
горбилокской свиты и локализующиеся в ней послойные жильные рудоносные зоны
располагаются в северо-восточном крыле антиклинальной складки, имеют
моноклинальное северо-восточное падение под углами 65-80° и устойчивое
северо-западное простирание по азимуту 315-325°. Структура золоторудного поля
характеризуется блоковой тектоникой. Основным структурным элементом рудного
поля является Ольгинское нарушение северо-западного простирания.
Субмеридиональными нарушениями - Констанским, Раздельным и Южным - рудное поле
месторождения подразделяется на Северо-Западный, Центральный и Юго-Восточный
тектонические блоки. Внутриблоковая разрывная тектоника характеризуется
наличием мелких нарушений субмеридионального направления с крутыми углами
(70-80°) падения сместителей, смещения или смятия пород и жил в пределах первых
метров.
Рудные участки в пределах рудного поля связаны с протяженными
линейно-вытянутыми мощными зонами послойного смятия, дробления, расланцевания и
гидротермального изменения вмещающих пород горбилокской свиты, выделяемыми как
кварцево-жильные зоны. Жильные зоны залегают согласно с кристаллизационной
сланцеватостью вмещающих пород и выделяются по наличию рудоносных кварцевых
образований в виде прожилков, линз и жил сложной морфологии, концентрирующихся
на отдельных участках в рудные тела, оконтуриваемые по результатам опробования.
Кварцевые образования имеют четкие контакты с вмещающими сланцами
кварц-биотит-серицитового состава и по морфологии подразделяются следующим
образом:
. Единичные крупные кварцевые жилы, выдержанные по простиранию и падению.
Протяженность - сотни метров при средней мощности 0.8 - 1.0 м.
2. Кварцевые жилы средней величины.
Протяженность не более 100 м, мощность колеблется в пределах 0.2-0.7 м. Имеет
ограниченное распространение.
3. Четковидные кварцевые жилы с
раздувами и пережимами. Длина раздувов 0.5 - 2.0 м, мощность в раздувах 1.5 -
2.0 м. В пережимах мощность уменьшается до миллиметров. Жилы часто ветвятся.
Длина жил десятки метров. Широко распространены на месторождении.
4. Мелкие линзообразные жилы и линзы,
длина которых не превышает первых метров. Широко представлены в рудных телах,
где они сопровождают жилы более крупных размеров.
5.Мелкие кварцевые прожилки (0.1 -1.0 см) прямолинейной и птигматовой
формы параллельные сланцеватости и секущие ее. Характерны для рудных зон и тел.
Всего на месторождении выделено 4 жильных зоны, из которых две -Первая и
Вторая - вмещают все промышленное оруденение. Насыщенность кварцево-жильных зон
рудными телами различная. В Первой и Второй жильных зонах на данном этапе
разведанности выделяются 17 рудных тел различных по протяженности, мощности и
золотоносности.
Первая жильная зона - вмещает 97.6 % разведанных запасов золота. Мощность
зоны от 10 до 150 м, протяженность на дневной поверхности -2650 м, на
горизонтах 680 м - 660 м - 2530 м, на горизонте 620 м - 2620 м. Ниже горизонта
подземных горных работ разведана скважинами до глубины 350 м (горизонт 380 м).
В Первой жильной зоне выделяются 13 рудных тел, в том числе 3 ведущих (1,
2, 3), вмещающих 81.8% разведанных запасов месторождения. Рудные тела 1 и 2
располагаются в Северо-Западном блоке и протягиваются субпараллельно в
северо-западной и центральной частях зоны, ограничиваясь по простиранию
Констанским и Раздельным нарушениями. В лежачих и висячих боках основных рудных
тел выделяются тела-спутники (4, 7, 11, 14-16) незначительной протяженности по
простиранию и падению.
Рудное тело 3 расположено в Центральном тектоническом блоке и слагает
юго-восточную часть зоны, протягиваясь от нарушения Раздельного до нарушения
Южного, вблизи которого золотоносность зоны падает, она распадается на
несколько рудных тел-спутников (19, 20) и постепенно выклинивается.
Вторая жильная зона - располагается в 210 м к северо-востоку от Первой,
протягиваясь на 1500 м по поверхности.Мощность зоны от 10 до 60 м. Сложена
короткими (до 10 м) кварцевыми жилами линзовидной сложно-ветвящейся морфологии
с раздувами до 2.5 м, линзами различных мощностей, линейными и птигматитовыми
прожилками. Кварцевые образования по простиранию и падению быстро выклиниваются.
Насыщенность кварцем неравномерная: прожилки или сильно рассредоточены, или
концентрируются на небольших интервалах. Промышленное оруденение локализуется в
юго-восточной части зоны, где по результатам опробования выделено 4 рудных
тела- 5, 12, 21 и 22.
Для всех рудных тел месторождения характерны:
1. согласное залегание с вмещающими породами; линейно вытянутая форма в
плане;
2. сложность внутреннего строения, обусловленная наличием различных
форм кварцевых образований;
. неравномерность распределения золота и сульфидной минерализации;
. невыдержанность мощностей по простиранию и падению, наличие
раздувов и пережимов, прослоев пустых пород;
. однородный минералогический состав руд.
Вещественный состав руды. Рудой на месторождении Эльдорадо является материал,
представляющий собой смесь кварцево-жильных малосульфидных образований (до 16,
в среднем-11%) и вмещающих их гидротермально измененных (окварцованных,
сульфиди-зированных) сланцев. В целом по месторождению руды однотипны по
вещественному составу и характеру распределения золота.
Вмещающие породы в контурных рудных телах - глинисто-слюдистые и
кварцево-слюдистые сланцы - состоят из глинистых минералов (хлорит, серицит) с
переменным количеством кварца и биотита. В заметных количествах до 3% - присутствуют
карбонаты, полевые шпаты и графит, встречаются апатит, мусковит, гранат.
Содержание золота в сланцах достигает 60 г/т.
Жильный кварц массивного сложения представлен плотными крупнозернистыми
агрегатами, содержит ксенолиты вмещающих пород.
Сульфиды, как в кварце, так и в сланцах образуют прожилково-вкрапленные
включения, вкрапленность отдельных кристаллов. Размер выделений от 0.8-0.3 мм
до 3-5 мм. Густота и величина вкрапленности увеличиваются на контактах сланцев
и кварцевых образований, где сульфиды развиваются в виде тонко,
мелкопрожилковых и гнездовых скоплений. Обычно в виде вкрапленности наблюдается
арсенопирит, пирит с марказитом, редко пирротин; в скоплениях наиболее
характерен пирротин, часто - с халькопиритом.
Золото находится в самородном виде и связано главным образом с кварцем,
который является основной средой отложения сульфидов и золота, заполняющих
трещин, небольшие полости.
Гидрогеологические и инженерно-геологические условия. Месторождение расположено на
водоразделе. На площади месторождения берут начало ручьи Актолик, Банный,
Констанский, Сухой Лог, дренирующие рудное поле. Жильные зоны и вмещающие
породы обводнены подземными водами трещинно-грунтового и трещинно-жильного
типов. Они развиты повсеместно, но неравномерно. Наиболее обводнены зоны
рассланцевания пород, согласные с общим простиранием структур района. Мощность
этих зон от первых сантиметров до 2-10 м. На всей площади месторождения
подземные воды имеют свободную поверхность, глубина залегания которой зависит
от геоморфологического положения, времени года и удаленности горных выработок.
Способ, система и параметры разработки месторождения. Мощность рудных тел, выход их на
дневную поверхность, сравнительно низкое содержание золота в балансовых запасах
предопределили открытый способ разработки месторождения. Глубина разработки
карьером ограничена горизонтом +590м, т.е. глубиной подсчета запасов для
открытой разработки, утвержденной ГКЗ СССР.
Вскрытие рудных тел на пяти верхних уступах (горизонты 730-690м)
предусматривается осуществлять горизонтальными заездами на уступы по рельефу.
Для вскрытия нижележащих уступов проектируется проходка въездных траншей. На
северо-западном фланге месторождения проектируется проходка въездной траншеи №
1 до гор. 660 м. В центральной части месторождения северо-восточном борту
карьера (по распадку) предусматривается проходка въездной траншеи № 2 до гор.
620 м, с использованием ее только для транспортировки вскрыши на породный
отвал.
Высота рабочего уступа на вскрыше и добыче, как и в проекте института
«Сибгипрозолото» принята 10м. При двух и трехрядном взрывании скважин высота
развала пород колеблется в пределах 0,7-1,0 высоты уступа, т.е. может достигать
10м.
Ширина предохранительной бермы (из учета зачистки бульдозером, ширина
бульдозера - 3,2 м.) принимается для 10-ти метрового уступа - 5-6 м.; для 20-ти
метрового уступа - 8 м.
Вскрышные породы представлены скальным грунтом, и их рыхление
предусмотрено буровзрывным способом. Бурение взрывных скважин по породе
предусматривается производить станком шарошечного бурения. На погрузке породы
задействованы карьерные экскаваторы. Транспортировка породы в отвал
производится автосамосвалами.
Началу вскрышных работ в карьере предшествует подготовка территории:
вырубка леса, корчевка пней, срезка кустарника, снятие потенциально
плодородного слоя и складирование его в отдельные бурты на борту карьера для
дальнейшего использования при рекультивации. Затем бульдозером производится
разработка и складирование рыхлой вскрыши внавалку с последующей вывозкой ее в
дальнейшем на породный отвал. Погрузка из навалки осуществляется
экскаватором,транспортировка на породный отвал производится автосамосвалами.
Как и на вскрышных работах, рыхление руды осуществляется буровзрывным способом.
Кондиционный максимальный кусок по руде принят (согласно заданию на
проектирование) 400 мм. Дробление негабаритов производится в карьере методом
накладных зарядов.
Таблица 1 - Номинальный фонд работы оборудования
|
Np
|
nсм
|
Номинальный фонд работы
оборудования, ч
|
|
|
Тсм
|
Тсут
|
Тмес
|
Тг
|
|
365
|
3
|
8
|
24
|
730
|
8760
|
2. Выбор и
расчет необходимого количества оборудования
На основании производительности, характеристики производства,
горно-технических и горно-геологических условий предприятия, а также на
основании материалов производственной практики выбираем следующее горное
оборудование:
для буровых работ:
буровой станок СБШ-250МНА-32 в количестве 11 ед.;
для погрузочных работ:
экскаватор ЭКГ-15 в количестве 5 ед.;
для вспомогательных работ:
бульдозер Т-20.01ЯБР-1 в количестве 4 ед.
По приложению 2 [2] определяем нормативы периодичности, продолжительности
и трудоемкости ремонтов выбранного оборудования:
Таблица 2 - Ремонтные нормативы оборудования
|
№ п/п
|
Оборудование
|
Кол- во
|
Мас- са, т
|
Ремонт
|
Трудоемкость, чел.-ч.
|
|
|
|
|
вид
|
продол-житель-ность, ч
|
число в цикле
|
одного ремонта
|
средне-годовая
|
|
1
|
СБШ-250МНА-32
|
11
|
66
|
ТО Т1 Т2 К
|
50 250 1000 12000
|
4 16 72 400
|
192 26 11 1
|
8 75 480 1690
|
768 1350 2640 845
|
|
2
|
ЭКГ-15
|
5
|
185
|
ТО Т1 Т2 К
|
530 1590 8480 25400
|
24 96 360 600
|
32 13 2 1
|
96 370 980 4220
|
768 1202 490 1055
|
|
3
|
Т-20.01ЯБР-1
|
4
|
28
|
ТО Т1 Т2 К
|
100 500 1000 6000
|
8 48 72 380
|
48 6 5 1
|
16 92 192 1400
|
768 576 960 1400
|
Для
определения трудоемкости ремонта бульдозера Т-20.01ЯБР-1 вводим поправочный
коэффициент 
.
где

-
коэффициент изменения массы; 
- масса
бульдозера Т-20.01ЯБР-1, т; 
- масса
однотипного оборудования, для которого трудоемкость ремонта определена
(бульдозер ДЭТ-250), т.
По
таблице 3 [1] принимаем коэффициент изменения трудоемкости 
Трудоемкость
ремонта оборудования определяем по формуле:
где

-
трудоемкость ремонта однотипного оборудования с известными ремонтными
нормативами, чел. - ч.
3. Определение количества и видов ремонтов
Количество и виды технических обслуживаний и ремонтов являются исходной
информацией для составления годового и месячного графиков ремонтных работ по
каждой единице принятого к эксплуатации оборудования.
В данном курсовом проекте количество и виды технических обслуживаний и
ремонтов в году определяем аналитическим методом.
3.1
Определение количество и виды технических обслуживаний и ремонтов в году для
бурового станка СБШ-250МНА-32
· количество капитальных ремонтов:
где

-
планируемая выработка на год, час; 
-
выработка машины от предыдущего капитального ремонта, ч., принимаем 
; 
-
ремонтный цикл машины, ч.
где

-
планируемый коэффициент использования машины в смену; 
-
номинальный фонд времени работы оборудования, час (табл. 1); 
-
количество часов, затрачиваемых на ремонт в планируемом году.
где

-
продолжительность, соответственно, одного технического обслуживания, текущего и
капитального ремонтов, ч; 
- число
в цикле, соответственно, технических обслуживаний, текущих и капитальных
ремонтов, ед.
· количество вторых текущих ремонтов:
где

-
выработка машины от предыдущего второго текущего ремонта, ч.; 
-
периодичность вторых текущих ремонтов машины, ч.
где

- целое
число проведенных вторых текущих ремонтов со времени работы машины от
предыдущего капитального ремонта.
·
количество первых текущих ремонтов:
где

-
выработка машины от предыдущего текущего ремонта, ч.; 
-
периодичность первых текущих ремонтов машины, ч.
где

- целое
число проведенных первых текущих ремонтов со времени работы машины от
предыдущего капитального ремонта.
· количество технических осмотров:
где

-
выработка машины от предыдущего технического обслуживания, ч.; 
-
периодичность технических осмотров машины, ч.
где

- целое
число проведенных технических осмотров со времени работы машины от предыдущего
капитального ремонта.
3.2
Определение количество и виды технических обслуживаний и ремонтов в году для
экскаватора ЭКГ - 15
· количество капитальных ремонтов:
· количество вторых текущих ремонтов:
· количество первых текущих ремонтов:
· количество технических осмотров:
3.3
Определение количество и виды технических обслуживаний и ремонтов в году для
бульдозера Т - 20.01ЯБР - 1
· количество капитальных ремонтов:
·
количество вторых текущих ремонтов:
· количество первых текущих ремонтов:
· количество технических осмотров:
Таблица 3 - Количество технических обслуживаний и ремонтов оборудования
|
|
|
|
|
|
СБШ-250МНА-32
|
97
|
12
|
5
|
0
|
|
ЭКГ - 15
|
8
|
3
|
0
|
0
|
|
Т-20.01ЯБР-1
|
43
|
5
|
5
|
0
|
4. Расчет численности ремонтного персонала
.1 Годовые
суммарные трудозатраты
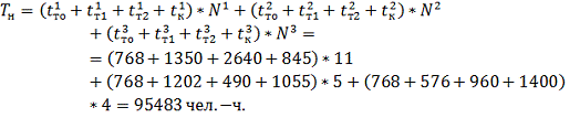
Годовые суммарные трудозатраты рассчитываем по формуле:
где

-
нормативная среднегодовая трудоемкость технических осмотров отдельных видов
оборудования, чел.-ч.; 
-
нормативная среднегодовая трудоемкость первых текущих ремонтов отдельных видов
оборудования, чел.-ч.; 
-
нормативная среднегодовая трудоемкость вторых текущих ремонтов отдельных видов
оборудования, чел.-ч.;
- нормативная
среднегодовая трудоемкость капитальных ремонтов отдельных видов оборудования,
чел.-ч.; 
- число
единиц отдельных видов оборудования, принятых к эксплуатации.
4.2
Плановая численность производственных рабочих
Плановую численность производственных рабочих, необходимых для выполнения
годового объема ремонтных работ, определяем по формуле, чел.:
где

-
коэффициент, учитывающий выполнение внеплановых работ; 
-
номинальный годовой фонд времени одного рабочего, ч.
где

-
количество выходных дней в планируемом году; 
-
количество праздничных дней; 
-
средняя продолжительность отпуска производственного рабочего; 
-
коэффициент, учитывающий потери времени рабочего по уважительным причинам
(болезни и т. д.); 
-
продолжительность одной смены, ч; 
-
коэффициент выполнения норм выработки рабочими.
4.3
Ориентировочный штат ремонтных рабочих
Таблица 4 - Штат ремонтных рабочих по профессиям
|
Профессия рабочего
|
Численность, чел
|
|
Слесари и электрослесари
|
49
|
|
Токари-станочники
|
16
|
|
Кузнецы, прессовщики,
бурозаправщики
|
8
|
|
Электрогазосварщики
|
4
|
|
Прочие
|
4
|
4.4 Численность вспомогательных и подсобных рабочих
Численность вспомогательных и подсобных рабочих (транспортного отдела,
инструментального, ОТК, заточники, кладовщики и т. д.) принимаем равной:
4.5 Численность инженерно-технических работников
Численность ИТР принимаем равным:
4.6 Численность счетно-нормировочного состава
4.7 Численность младшего обслуживающего персонала
4.8 Численность всего работающего персонала
Таблица 5 - Численность всего работающего персонала по категориям работы
|
Категория работы
|
Численность, чел
|
|
Ремонтных рабочих
|
81
|
|
Вспомогательных и подсобных
рабочих
|
9
|
|
ИТР
|
8
|
|
Счетно-нормировочного
состава
|
5
|
|
Младшего обслуживающего
персонала
|
3
|
5. Расчет станочного оборудования
5.1 Количество станков
где

-
коэффициент станочных работ; 
- число
смен работы станков в сутки, обычно 
; 
-
годовой фонд рабочего времени одного станка; 
-
коэффициент использования станка в течение смены.
5.2
Распределение станков по типам
Таблица
6 - Распределение станков по типам и маркам
|
Тип станка
|
Количество, ед.
|
|
Токарно-винторезные
|
4
|
|
Сверлильные
|
2
|
|
Фрезерные
|
3
|
|
Строгальные
|
2
|
|
Зуборезные
|
2
|
|
Электрогазосварочные посты
|
1
|
Общее
количество станков 
6.
Проектирование ремонтной базы
.1 Расчет производственных площадей
В данном курсовом проекте расчет производственных площадей в зависимости
от типа ремонтного предприятия, объёма ремонтных работ проводим по площади
пола, занятого оборудованием.
Таблица 7 - Площади производственных цехов и отделений
|
№
|
Цех или отделение
|
|

|
Участок наружной мойки
|
30-35
|
3,5-4
|
|
2
|
Участок разборки
оборудования
|
20-30
|
4-4,5
|
|
3
|
Отделение мойки деталей
|
20-25
|
3-3,5
|
|
4
|
Отделение сортировки и
комплектовки
|
40-47
|
2-2,5
|
|
5
|
Испытательное отделение
|
25-30
|
4-5
|
|
6
|
Отделение ремонта
электрооборудования
|
15-20
|
5-7
|
|
7
|
Отделение ремонта корпусных
деталей и рам
|
20-25
|
3,5-4
|
|
8
|
Цех сборки машин и
агрегатов
|
20-25
|
4-4,5
|
|
9
|
Кузнечно-прессовое
отделение
|
24-26
|
3,5-4
|
|
10
|
Термическое отделение
|
24-26
|
3-3,5
|
|
11
|
Электрогазосварочное
отделение
|
25-30
|
5-5,5
|
|
12
|
Компрессорная станция
|
25-30
|
6-6,5
|
|
13
|
Трансформаторная подстанция
|
25-30
|
5-5,5
|
|
14
|
Механический цех
|
280-350
|
4-5
|
По площади пола, занятого оборудованием, производственные площади
определяют с учетом переходного коэффициента, учитывающего рабочие зоны,
проезды и проходы:
где

-
площадь пола, занятого 
-м
оборудованием, 
коэффициент,

Площадь
административных помещений, м2:
Площадь
бытовых помещений, м2:
Площадь
вспомогательных помещений: инструментальное и заточное отделения, кладовые
инструмента и запасных частей, складские помещения и т.д., м2:
Общая
площадь ремонтной базы:
6.2
Выбор схемы ремонтной базы
Схемы,
конструкции и размеры производственных машиностроительных зданий унифицированы
и регламентируются нормами Госстроя СН-118-68. Эти нормы применяют и для
проектирования ремонтных предприятий.
Унифицированные
здания предусматривают блочное размещение цехов и отделений предприятия, как
правило, в одном многопролётном здании. Такое размещение цехов и отделений
значительно снижает стоимость строительства и эксплуатации зданий, улучшает
условия маневрирования при перепланировке производства.
Здания
в плане должны быть близкими к квадрату или короткому прямоугольнику. В этом
случае при одной и той же площади периметр здания является минимальным.
В
связи с производственной необходимостью схема производственного потока ремонта
принимается прямоточная, без встречных и перекрестных грузопотоков.
Все
цехи и отделения ремонтного предприятия делятся на зоны:
.
Зона разборки. В неё входят участки: разборки и мойки оборудования, отделение
сортировки, контрольно-сортировочный склад деталей;
.
Зона сборки. В неё входят отделения: комплектовки, испытательное, малярное; цех
сборки машин и агрегатов;
.
Зона холодной обработки. В неё входят отделения ремонта электрооборудования и
корпусных деталей, механический цех;
.
Зона горячей обработки. В нее входят термическое, гальваническое, штамповочное,
кузнечнопрессовое отделения;
.
Зона сварки, в которую входят электрогазосварочное и газотермическое отделения;
.
Зона вспомогательных цехов и служб: инструментальное и заточное отделения,
склады, трансформаторная подстанция и компрессорная станция;
.
Зона движения грузопотоков;
.
Зона административных помещений;
.
Зона бытовых помещений.
Зоны
8 и 9 располагаются на верхних этажах в торцевой (или продольной) части здания.
5.3 Определение параметров пролета здания ремонтной базы
Основными параметрами пролета здания являются: ширина пролета L; шаг колонн t в направлении продольной оси пролета; сетка колонн L´t; высота до подкрановых путей H1; высота пролета H (расстояние от пола до нижней части несущих конструкций
перекрытия); строительная высота HC; длина пролета S
(расстояние между осями крайних колонн здания в направлении продольной оси
пролета).
Высота до подкрановых путей, м:
где

-
расстояние от пола до нижней части груза при его транспортировании, м; 
-
максимальная высота перемещаемого груза, м; 
-
расстояние между грузом и центром крюка крана; 
-
расстояние от центра крюка в верхнем крайнем положение до рельсовых путей, м.
Принимаем

Высота
пролета, м:
где

-
расстояние от рельсовых путей до нижней части фермы, м.
Принимаем

Строительная
высота:
где

- высота
фермы.
Длина
пролета, м:
где

- число
шагов колонн.
7.
Управление механической службой
Типовая
структура энерго-механической службы рудника представлена на рисунке 1. Во
главе механической службы стоит главный механик рудника, который отвечает за
безотказную работу, своевременное техническое обслуживание и ремонт всего
оборудования рудника. Подчиняется главный механик непосредственно главному
инженеру рудника.
За
бесперебойное снабжение рудника электроэнергией отвечает главный энергетик
рудника.
В
подчинении главного механика рудника находится главный механик карьера, главный
механик автотранспортного цеха, начальник центральных ремонтных мастерских
(ЦРММ), главный механик дробильно-шахтного отделения (ДШО), главный энергетик
карьера. Они организуют, направляют и контролируют работу подчиненного им
персонала.
С
целью повышения гибкости и оперативности работы энерго-механической службы
каждый участок эксплуатируемого оборудования - буровой экскаваторной,
автотранспортный и участок механизации имеет свою ремонтную службу, которая
возглавляется своим старшим механиком Старший механик экскаваторного парка
является заместителем главного механика карьера.
Функции
персонала энерго-механической службы предприятия определены должностными
инструкциями.
Рисунок
2 - Типовая структура механической службы предприятия
8. Техника
безопасности при ремонте горных машин
При выполнении ремонта и монтажа большая доля приходится на слесарные
операции. Поэтому основные правила безопасности относятся к обеспечению
безопасного выполнения слесарных работ. Кроме того, при ремонте и монтаже
выполняются такелажные и сварочные работы, подключение и отключение
электродвигателей. Поэтом необходимо знать основные правила безопасного
выполнения такелажных и сварочных работ, электроработ.
Монтажники обычно совмещают несколько профессий. Наиболее часто второй
является профессия слесаря или стропальщика. Знание правил техники безопасности
необходимо по всем смежным профессиям.
Общим является следующий порядок выполнения работ ремонту оборудования.
Ремонтные работы в действующих цехах проводятся по нарядам -допускам согласи
перечня. Наряд-допуск выдается начальником цеха. Допуск к работе выдается по
наряд-допуску руководителем работ, которым является механик цеха. Руководитель
работ назначает ответственного производителя работ (бригадир, слесарь) на 3
дня.
При работе в слесарной мастерской и в РМЦ наряд-допуск не требуется.
Транспортировка и подъем узлов осуществляются только исправным грузоподъемными
механизмами. К ручной транспортировке грузов допускаются лица достигшие
восемнадцатилетнего возраста и прошедшие медосмотр. Один человек может
поднимать узлы весом не более 500 Н. Подъем более тяжелых узлов одним человеком
запрещается. При работе грузоподъемных устройств запрещается: находиться
поподнимаемым грузом или на пути его движения; отрывать краном аппарат от
бетонной подливки; допускать раскачивание груза; оставлять груз в подвешенном
состоянии и длительное время.
При работе на высоте используются подмостки, леса и люльки, оборудованные
перилами. Кроме того, на высоте более 2м должны применяться предохранительные
пояса. Для переноски инструмента используются ящики, если работа ведется н
подмостях, и сумки, надетые через плечо, если работа проводится без подмостей.
Перед ремонтом любой машины необходимо отключить электропитание, снять
приводные ремни и на рубильнике повесить плакат «Не включать - работают люди)
При разборке машин, расположенных на высоких опорах, необходимо применял
устойчивые леса и подмости. Снятые узлы и детали укладываются на специально
отведенных местах так, чтобы оставались свободные участки для безопасного
продолжения работ. Запрещается наращивать гаечные ключи трубами для увеличена
крутящего момента и использовать ключи большего размера с установкой прокладок
между гайкой и ключом. Запрещается также отворачивать и заворачивать гайки
зубилом молотком.
При выпрессовке деталей прессом запрещается поддерживать рукой оправки
другие направляющие приспособления. Разборка узла на стендах и верстаках
выполняете после надежного его закрепления. Пользоваться неисправными зажимными
устройствам запрещается.
При мойке деталей необходимо работать в резиновом фартуке и перчатках.
При работе с кислотами необходимо пользоваться резиновым фартуком, перчатками
специальными защитными очками. При травлении и обезжиривании, для погружения
детали в ванну должны применяться щипцы. Количество кислот, хранимых на рабочем
месте, не должно превышать потребности одной рабочей смены. Хранятся кислоты,
стеклянных и фарфоровых сосудах с широким дном и притертой пробкой. При попадаю
кислоты или щелочи на кожу пораженное место необходимо промывать водой в
течение 1 5-20 мин.
Слесарные верстаки, установленные вблизи проходов или обращенные к другим
рабочим местам, должны иметь на задней стороне сетку высотой 600 мм. Перед
работой необходимо проверять исправность ручного инструмента и надежность
крепления его на рукоятках. Рабочая поверхность молотков и кувалд не должна
иметь заусенцев и трещин. Ручки молотков и кувалд должны быть заклинены стальными
клиньями.
При рубке нужно надевать предохранительные очки с небьющимися стеклами.
Напильники должны быть с ручками. Опилки и стружку необходимо удалять с помощью
щеток или ветоши.
Заточные станки должны иметь предохранительный кожух и специальный прозрачный
экран для защиты глаз от абразивной пыли. Зазор между абразивным кругом и
подручником должен быть минимальным. Регулировать зазоры можно только во время
остановки станка.
Работа на сверлильных станках ведется с соблюдением следующих правил: 1)
необходимо надежно закрепить детали на столе станка в тисках или в
приспособлении;2)нельзя удалять стружку
рукой; 3)нельзя подавать охлаждающую жидкость смоченными обтирочными
концами. Рукава одежды рабочего должны быть завязаны, волосы убраны под
головной убор.
К работе электрическим и пневматическим инструментом допускаются только
те лица, которые изучили их устройство и правила пользования. Работа с
электрифицированным инструментом разрешается только с обязательным
использованием диэлектрических перчаток, галош или коврика и заземления корпуса
электроинструмента. Изоляция электрифицированного инструмента должна
проверяться периодически, а также при начале работы с инструментом. При работе
со сжатым воздухом и, на наждачном круге надеваются защитные очки.
Электроинструмент в помещении без повышенной опасности может применяться
на напряжении 127 к 220 В. В помещениях с повышенной опасностью напряжение не
должно превышать 36 В. Провода должны покрываться защитой из резиновой трубки.
Резиновая трубка в месте ввода провода в инструмент должна быть заключена в
металлическую спираль. До полной остановки электроинструмента нельзя вынимать
режущий инструмент.
Пневмоинструмент более безопасен, чем электроинструмент. Он может
применяться в сырых помещениях и под дождем. Работа с пневмолотком и
пневмозубилом должна проводиться в защитных очках с установкой экранов для
ограждения зоны отлета кусков. При включении пневмомолотка во избежание выброса
зубила необходимо сначала прижать зубило к металлу и после, этого изготавливаются
из подручных материалов по индивидуальным проектам. При монтаже оборудования
должны выполняться следующие правила техники безопасности.
К монтажным работам допускаются лица не моложе 18 лет на основании данных
медицинского осмотра, прошедшие вводный инструктаж, инструктаж на рабочем месте
и знающие правила техники безопасности, что должно быть записано в специальных
журналах.
Монтажный персонал должен являться на рабочее место в исправной
спецодежде и с защитными средствами (каска, защитные очки, предохранительный
пояс). Все колодцы лотки, траншеи и другие коммуникации, находящиеся на пути
грузоподъемных vтранспортных
машин, должны быть обозначены хорошо видимыми указателями Запрещается выходить
на монтажную площадку без защитной каски и находиться под грузом, перемещаемым
краном.
Рабочие места, расположенные на высоте более 3 м, должны иметь
специальные подмости, оборудованные прочными перилами. При работе вне таких
площадок рабочие должны иметь проверенные предохранительные пояса. Если
отсутствуют мест; закрепления предохранительного пояса, создаются специальные
устройства: скобы привариваемые к конструкциям, стальные канаты, натягиваемые в
месте производств; работ. При работе сварщика в неудобном положении (например,
лежа) должны применяться резиновые и войлочные коврики. Монтажные леса,
подмости, стремянки, переносные лестницы для работ на высоте более 1,5 м должны
изготавливаться по проектам из качественных лесоматериалов с последующим
испытанием их до ввода в работу и проверкой до начала каждой смены.
Проход по фермам и прочим элементам конструкций, не приспособленным для
этих целей, запрещается. Проход по подкрановым балкам и нижним поясам
стропильных ферм допускается, если вдоль балки или фермы, на высоте 1м натянут
трос для закрепления цепи предохранительного пояса.
При силе ветра более 6 баллов работа кранов прекращается, а рельсовые
краны закрепляются противоугонными средствами. На электролебедках могут
работать только лица, знающие их устройство и правила эксплуатации, что должно
быть подтверждено удостоверением, выданным квалификационной комиссией.
Запрещается крепить тали, лебедки, блоки за трубопроводы. Крепление их за
строительные конструкции (колонны, балки, фермы) разрешается только с согласия
главного инженера монтажного участка или строительной организации.
Использование металлоконструкций здания для крепления полиспастов разрешается
только при наличии расчета прочности этих конструкций и разрешения заказчика
или генподрядчика. Грузоподъемные операций могут проводиться только специально
обученным персоналом. Из зоны подъема и спуска груза люди должны быть удалены
на безопасное расстояние до начала операции.
При работе в ночное время рабочие места должны быть хорошо освещены
лампами рассеивающегося света и прожекторами. Переносные лампы должны иметь
напряжение 12В.
Сварочные работы на высоте необходимо проводить только с подвесных
подмостей, огражденных перилами включить молоток.
Работа электра и пневмоинструментом с приставных лестниц запрещается. Она
может проводиться только на прочных подмостях и лесах, имеющих перила.
Запрещается заправлять керосиновую паяльную лампу бензином, так как это
может привести к взрыву. Лампу необходимо заливать керосином не более чем на /4
ее объема и, разжигать в специальном месте, удаленном от общих рабочих мест.
К сварочным работам допускаются лица, сдавшие экзамен и получившие право
на выполнение этих работ. Провода сварочных агрегатов должны иметь хорошую
изоляцию, а сами агрегаты - заземление. Места, где ведутся электросварочные
работы, должны быть ограждены переносными щитами. Рабочее место сварщика
оборудуется местной вентиляцией: Не допускается применение предохранительного
щитка с разбитыми или нестандартными фильтрами для глаз.
Кроме изложенных требований по обеспечению безопасных условий труда
рабочих-ремонтников необходимо учитывать требования безопасности ремонтных
работ, связанные с условиями взрывопожароопасности химических цехов и
помещений.
При ремонте запрещается загромождать рабочие площадки, установки и
территорию вокруг них. После окончания работ осуществляется уборка строительных
отходов, материалов и оборудования. Вскрытые котлованы, ямы, траншеи в местах
перехода должны быть оборудованы пешеходными мостиками с ограждениями. При
изменении условий на территории ремонтируемого объекта (парение, утечка газов,
жидких продуктов и т. д.) ремонтные работы прекращаются, рабочие удаляются в
безопасное место и принимаются меры к ликвидации опасности. Возобновление,
ремонтных работ разрешается после выяснения и устранения причин опасности.
Система смазки машин перед пуском заполняется маслом установленной марки.
При необходимости включается система охлаждения.
После опробования машины на холостом ходу необходимо провести тщательную
проверку всех креплений, работу деталей и сборочных единиц. После такой проверки
нагрузка увеличивается до установленной технической характеристикой.
При испытании механического оборудования проверяется работа
кинематических звеньев машины (зубчатых колес, цепей, ремней, шатунов,
кривошипов и т. п.). При этом необходимо контролировать температуру. Для
исключения перегрева обеспечивается режим обильной смазки, постоянный уход и
наблюдение.
При пуске и обкатке оборудования запрещается устранять дефекты на ходу
машины. Во избежание попадания масла на бетонные фундаменты они покрываются
специальным защитным слоем и окрашиваются.
Работы должны проводиться в изолированных помещениях или в общих
помещениях, но на специально выделенных и оборудованных рабочих местах.
Половина травм происходит при строповке, перемещении, установке и укладке
грузов. В основном травмируются ноги при падении переносимых грузов.
В данном курсовом проекте были рассмотрены основные методы выбора и
расчета оборудования необходимого для ведения горных работ в соответствии с
годовой производительностью и физико-механических характеристик присущих
породам данного месторождения. По каждому виду оборудования аналитическим
методом определили необходимое количество и виды технических обслуживаний и
ремонтов, причем капитальные ремонты рассчитывались исходя из климатических
условий в которых эксплуатируется техника.
Также был проведен расчет ремонтной базы, количество технологического
оборудования и необходимая площади технологических участков для своевременного
и качественного технического обслуживания и ремонта технологического
оборудования.
Список литературы
1. 1В.Н. Вокин, В.Н. Морозов, Б.А. Ахпашев; Основы гонного
дела: Учеб-ное пособие. / ГУЦМиЗ. - Красноярск 2004. - 208с.
2. Положение о ППР оборудования и транспортных средств
на предприятиях министерства цветной металлургии. М. Недра - 1984.
. А.В. Гилев, Х.М. Мишхожев; Ремонт машин и
оборудования: Метод. указания по курсовому и дипломному пректированию. /КИЦМ.
Красноярск 1990. - 40с.
. Р.Ю. Подерни; Горные машины и комплексы для открытых
работ: Учебное пособие. В 2 т. Т. 1, 2. - 4-е изд., стер. - М.: Издательство
Московско-го государственного горного университета, 2001.
. Г.И. Солод, В.И. Морозов, В.И. Русихин; Технология
машиностроения и ремонт горных машин: учебник для вузов. - М.: Недра, 1988. -
421с.
. Ремонт карьерных экскаваторов: Справочник/Е. М.
Титиевский, И. Е.Щербань, Ю. Ш. Гохбер, С. В. Субботин - М.: Недра, 1992 - 238
с
. Технологические карты по техническому обслуживанию и
ремонту экскаваторов ЭКГ-5/ В. В. Поморцев - Кемерово 1995. - 80 с.
. Экскаваторные ковши активного действия/ Д. И.
Федоров, И. А. Недорезов, В. Г. Тайц, А. И. Федулов-«Транспорт», 1974-224 с.