Проект соляно-кислотной обработки скважины Средне-Макарихинского месторождения
ВВЕДЕНИЕ
Обеспечение высокой эффективности работ требует знание методики
воздействия на призабойную зону скважины, пластовых условий и механизмов
процессов, происходящих в пласте при воздействии на него различными методами.
Эффективным методом увеличения дебитов скважин являются обработки
призабойной зоны различными кислотными составами.
Эффективность кислотных обработок можно повысить за счёт применения новых
унифицированных составов кислот, а так же разработкой и применением новых
технологий.
Коллекторы залежей нефти Средне-Макарихинского
месторождения, представлены низкопроницаемыми известняками. В процессе бурения
и цементирования скважин создаются микротрещины, которые засоряются
привнесенными частицами, и проницаемость призабойной зоны ухудшается. В скважинах
успешно применяют химические обработки призабойной зоны с целью увеличения
производительности нефтяных и нагнетательных скважин.
В данном курсовом проекте спроектирована солянокислотная обработка
скважины № 740 Средне-Макарихинского месторождения.
1. ГЕОЛОГО-ПРОМЫСЛОВАЯ ХАРАКТЕРИСТИКА МЕСТОРОЖДЕНИЯ
.1 Общие сведения о месторождении
Средне-Макарихинское нефтяное месторождение расположено на территории
Усинского района Республики Коми в 90 км к северо-востоку от г. Усинска,
являющегося ближайшей железнодорожной станцией. В г. Усинске также имеется
аэропорт, пристань, асфальтобетонный завод, завод ЖБИ. Здесь базируются
нефтедобывающие предприятия, ведущие разработку Усинского и Возейского нефтяных
месторождений, связанных магистральным нефтепроводом Усинск - Ухта - Ярославль.
В 32 км к юго-западу от Средне-Макарихинского находится Баганское нефтяное
месторождение, связанное нефтепроводом с головными сооружениями г. Усинска.
Район месторождения населен слабо. Ближайшие населенные пункты - деревни
Адзьвавом и Мукерка, которые расположены в 34 и 26 км восточнее и южнее
месторождения соответственно. Сообщение между населенными пунктами и районным
центром в летний период осуществляется водным транспортом.
Непосредственно на территории Средне-Макарихинского месторождения дороги
отсутствуют. Круглогодично транспортировка материалов и оборудования на
Средне-Макарихинскую площадь осуществляется вертолетным транспортом. В зимнее
время функционирует автомобильная дорога-зимник.
Средне-Макарихинское месторождение расположено в восточной части
Печорской низменности. В орографическом отношении этот район представляет собой
слабовсхолмленную, пологоволнистую равнину с чередованием пологих валообразных
возвышенностей, ориентированных в северо-восточном и северо-западном
направлениях с абсолютными отметками от 57 до 160 м над уровнем моря.
Основной водной артерией района является река Уса - крупнейший приток р.
Печоры. Река Уса судоходна в течение всего навигационного периода. В пределах
территории месторождения протекает река Большая Макариха - правобережный приток
р. Усы с многочисленными водотоками. Наиболее крупными притоками являются реки.
Правая Макариха, Яракутаель, Дзеляшор, Катыдшор.
Ширина русла р. Большая Макариха 20 ÷ 25 м, дно реки неровное, песчаное, с
многочисленными перекатами. Скорость течения 0,7 м/с, глубина - 1,0 ÷ 1,5 м.
Ледостав на реках устанавливается в конце октября. Средняя
продолжительность ледостава 200 ÷ 210 дней. Весенний ледоход
начинается в мае.
В питании рек главную роль играет снежный покров (50 ÷ 80%), меньшее значение имеют
дождевые и подземные воды. Все крупные водотоки имеют круглогодичный сток,
относятся к равнинному типу. Мелкие ручьи зимой промерзают. Кроме естественных
источников наиболее перспективным для целей хозяйственно-питьевого
водоснабжения считается водоносный горизонт древнеаллювиальных отложений
(погребенные речные долины). Вода погребенных долин обычно взаимосвязана с
речными водами - река или питает, или дренирует ее.
Климат района определяется близостью Арктики, влиянием воздушных
атлантических масс, равнинным характером местности и характеризуется умеренно
суровой зимой, прохладным летом, очень малыми величинами испарения и избыточным
увлажнением.
Среднегодовая температура воздуха составляет минус 4,4оС.
Годовые колебания температуры от минус 48оС до плюс 31оС.
Продолжительность безморозного периода в среднем составляет 80 дней.
Продолжительность периода с устойчивыми морозами составляет 180 дней.
Максимальная толщина снежного покрова 65 см. Таяние снегов начинается в середине
мая, устойчивый снежный покров ложится в первой декаде октября.
Среднегодовое количество осадков составляет около 600 мм. Характерной
особенностью климата являются метели, число дней с которыми за зиму составляет
40 дней. В холодный период года преобладают ветры юго-западного направления, в
теплое время превалируют ветры северных направлений. Средняя продолжительность
светового дня в декабре составляет менее 4 часов, в июне - июле до 22.
Территория Средне-Макарихинского месторождения входит в зону крайнесеверной
тайги, площадь на 50% покрыта мелким еловым и березово-еловым лесом.
Заболоченные участки покрыты карликовой березой, мхами, ягодниками.
Промышленных запасов строительных материалов на территории месторождения
не выявлено. В качестве сырьевой базы для обустройства Средне-Макарихинского
месторождения нефти предлагается месторождение песка Б. Макариха, расположенное
в пойме реки Большая Макариха в 25 км от месторождения.
1.2 Геологическое строение месторождения и залежей
В геологическом строении Средне-Макарихинского месторождения принимают
участие осадочные образования палеозойской, мезозойской и кайнозойской групп,
залегающие со стратиграфическим несогласием на породах вендкембрийского
фундамента, представленного диабазовыми порфирами.
Палеозойская группа представлена ордовикской, силурийской, девонской,
каменноугольной и пермской системами.
Отложения ордовикской системы вскрыты в объеме верхнего, среднего и
нижнего отделов.
Отложения нижнего ордовика представлены переслаиванием красноцветных песчаников,
алевролитов и аргиллитов.
Породы среднего ордовика, согласно залегающие на нижнеордовикских,
представлены доломитами серыми и зеленовато-серыми, мелкозернистыми, глинистыми
и алевритистыми. Толщина пласта - 90 м.
Верхнеордовикские отложения толщиной пласта 330 ÷ 367 м снизу вверх расчленяются на
доломитовую, сульфатно-доломитовую и терригенно-сульфатно-доломитовую толщи. К
отложениям доломитовой толщи приурочена залежь нефти. Доломитовую толщу слагают
серо-коричневые и коричневато-серые трещинно-поровые вторичные доломиты.
Доломиты мелко-среднезернистые, с реликтовой органогенной структурой, толщина
пласта меняется от 75 до 153 м.
Породы сульфатно-доломитовой толщи плотные, крепкие, темно-серые и серые,
мелко-среднезернистые. Толщина пласта от 98 до 127 м.
В объеме терригенно-сульфатно-доломитовой толщи преобладают доломиты
почти черные, тонкозернистые, битуминозные, участками переходящие в доломитовый
мергель. Толщина пласта изменяется от 95 до 109 м.
Силурийская система представлена нижним отделом в объеме нерасчлененных
ландоверийского и венлокского ярусов, сложенных карбонатными породами. Вдоль
длинной оси структуры толщина пласта силурийских отложений изменяется от 878
(скв. 13) до 1116 м (скв. 15). В результате корреляции в мощной силурийской
толще с большой долей условности выделено 6 пачек, пронумерованных снизу вверх
от S1-I до S1-VI. К пачкам S1-V и S1-VI
приурочена залежь нефти.
Пачки от S1-I до S1-IV представлены доломитами
серыми и коричневато-серыми, крепкими, битуминозными, сульфатизированными,
трещиноватыми.
Отложения пачки S1-V сложены доломитами коричневыми и
серо-коричневыми, в различной степени нефтенасыщенными, вторичными,
разнозернистыми, с реликтово- органогенной структурой,
трещинно-порово-кавернозными и трещинно-поровыми. Поры образованы в результате
перекристаллизации и выщелачивания.
Пачка S1-VI сложена известняками водорослевыми,
нефтенасыщенными, неравномерно доломитизированными и перекристаллизованными,
слабо алевритистыми. В верхней части пачки отмечаются тонкие прослои красноцветных
аргиллитов.
Девонская система представлена осадками верхнего отдела, которые
трансгрессивно залегают на размытой поверхности нижнесилурийских образований. В
объеме верхнедевонских отложений выделены франский и фаменский ярусы.
Франский ярус расчленятся на нижне- и верхнефранский подъярусы.
Нижнефранский подъярус представлен нерасчлененными отложениями кыновского и
саргаевского горизонтов и полным разрезом семилукского горизонта.
Нерасчлененные кыновский и саргаевский горизонты представлены толщей
глинисто-карбонатных пород. Глины шоколадно-коричневые, известковистые и
алевритистые, с прослоями серого мелкозернистого известняка, с примазками
битума. Толщина пласта от 13 до 47 м.
Отложения семилукского горизонта сложены известняками серыми, темно-серыми,
коричневатыми, иногда до черных, мелко-тонкозернистыми, плотными, крепкими,
массивными, толщина пласта которых изменяется от 16 до 48 м.
Разрез верхнефранского подъяруса слагают известняки с прослоями
аргиллитов. Известняки светло-серые, слоистые, разнозернистые. Аргиллиты
зеленовато- и темно-серые, переходящие участками в мергель темно-серый. Толщина
пласта подъяруса изменяется от 22 до 67 м.
Фаменский ярус представлен отложениями нижнефаменского подъяруса толщиной
пласта 504 ÷ 754 м. Разрез слагается карбонатно-глинистыми породами.
Известняки серые и темно-серые, тонкозернистые, прослоями глинистые, плотные.
Аргиллиты темно-серые, тонкослоистые, известковистые.
Каменноугольная система представлена нижним, средним и верхним отделами.
Отложения нижнего карбона, с размывом залегающие на нижнефаменских,
выделены в объеме окского надгоризонта визейского яруса, нерасчлененных
тарусского+стешевского горизонтов и протвинского горизонта серпуховского яруса.
Окский надгоризонт сложен известняками светло-серыми с коричневатым
оттенком, мелко-тонкозернистыми, органогенно-детритовыми, плотными, крепкими. В
нижней части прослеживается пачка глин толщиной пласта до 20 м. Средняя толщина
пласта окских отложений составляет 160 м.
Нерасчлененные отложения тарусского+стешевского горизонтов четко
выделяются на электрокаротажных диаграммах высокими значениями кажущихся
сопротивлений и представлены сульфатно-доломитовыми породами. Преобладают
ангидриты коричневатые, желтоватые, голубовато-серые, однородные, крепкие. В основании
разреза четко прослеживается пачка переслаивающихся доломитов, мергелей и глин.
Толщина пласта колеблется от 129 до 175 м. Протвинский горизонт слагают плотные
коричневые и светло-палевые известняки преимущественно органогенно-обломочного
строения. Толщина пласта - 41 ÷ 70 м.
В составе среднего карбона выделяются отложения башкирского и московского
ярусов.
Отложения башкирского яруса представлены известняками светло-серыми,
органогенно-детритовыми, водорослевыми, плотными, с редкими прослоями глин. Толщина
пласта - 22 ÷ 58 м.
Отложения московского яруса представлены известняками серыми,
органогенно-детритовыми, крепкими, массивными. Толщина пласта изменяется от 54
до 96 м.
Отложения верхнего карбона согласно залегают на известняках московского
яруса. В подошве доминируют светло-серые и серые детритовые известняки.
Участками известняк кавернозный, пропитан нефтью. Выше залегают светло-серые и
коричневые, пористые, нефтенасыщенные детритово-биоморфные и биоморфные
известняки. В кровле преобладают светло-серые, серые и палевые, мелкозернистые,
органогенно-детритовые, пористые и трещиноватые известняки, насыщенные густой
нефтью. К этим отложениям приурочена залежь нефти. Толщина пласта отложений
колеблется от 45 до 68 м.
Пермская система представлена отложениями нижнего и верхнего отделов.
Нижнепермские отложения представлены нерасчлененными ассельско-сакмарским
и кунгурским ярусами.
Ассельско-сакмарский ярусы сложены темно- и светло-серыми
мелкозернистыми, органогенно-детритовыми, детритовыми, биоморфными известняками.
Выше появляются прослои смешанных глинисто-карбонатных пород, сильно глинистых
известняков и аргиллитов. Толщина пласта изменяется от 15 до 52 м.
Отложения кунгурского яруса залегают на размытой поверхности пород
ассельско-сакмарского ярусов и представлены переслаиванием серых глинистых
алевролитов и серых алевритистых глин, и редко песчаников. Толщина пласта - 25 ÷ 53 м.
Верхнепермские отложения представлены ритмичным переслаиванием
песчаников, алевролитов. Песчаники зеленовато-серые, полимиктовые, глинистые.
Алевролиты полимиктовые, серые и красно-коричневые. Глины
красновато-коричневые, аргиллитоподобные, в верхней части переходящие в
углистый аргиллит. В верхней части разреза выявлено большое количество угольных
пластов и углистых аргиллитов с линзами витринита. Толщина пласта отложений
верхней перми колеблется от 705 до 845 м.
Мезозойская группа представлена триасовой, юрской и меловой системами.
В составе триасовой системы выделяются отложения чаркобожской свиты
нижнетриасового возраста, шапкинской серии нижне-среднетриасового возрастов и
нарьянмарской свиты верхнего триаса.
Нижняя граница отложений чаркобожской свиты проводится по исчезновению
темно-серых аргиллитов с включениями углистого материала и появлению
разнозернистых песчаников с галькой и окатышами глин, с большим содержанием
минералов группы эпидот-цоизита. В подошве свиты залегают песчаники (базальный
пласт), толщина пласта около 20 м, серые и зеленовато-серые, полимиктовые,
глинистые, конгломератовидные. Выше свита представлена переслаиванием
песчаников, алевролитов, глин. Песчаники зеленовато- и буровато-серые, мелко-
среднезернистые. Алевролиты серые с зеленоватым оттенком и красно-коричневые,
слоистые, слюдистые. Глины красновато-коричневые, неравномерно алевритистые.
Верхняя часть разреза чаркобожской свиты сложена монотонной толщей
песчаников зеленовато - и буровато-серых, полимиктовых, иногда со скоплениями
магнетита и ильменита, мелкозернистых с редкими прослойками красно-коричневой
глины. Толщина пласта отложений свиты от 532 до 624 м.
В составе шапкинской серии выделяются красноцветные отложения харалейской
свиты нижнего триаса и пестроцветные отложения ангуранской свиты
среднетриасового возраста.
В нижней части харалейской свиты преобладают песчаники кирпично-красные,
зеленовато-серые, полимиктовые, мелко- и среднезернистые. В верхней части -
глины коричнево-красные, неравномерно алевритистые. Толщина пласта меняется от
31 до 72 м.
Ангуранская свита сложена пестроцветными глинами, уплотненными,
алевритистыми с подчиненными прослоями песчаников полимиктовых, мелкозернистых.
Толщина пласта от 0 до 136 м.
Верхнетриасовые отложения в составе нарьянмарской свиты на месторождении
выделены в разрезах двух скважин 11 и 18. Представлены базальной пачкой
песчаников серых с зеленоватым оттенком, полимиктовых, мелко- среднезернистых.
Толщина пласта - 27 ÷ 29 м.
Юрская система представлена отложениями всех трех отделов. Нерасчлененные
нижний + средний отделы слагают пески и песчаники светло-серые до белых, мелко-
среднезернистые, слабоглинистые, с тонкими прослоями углистых глин. Толщина
пласта варьирует от 75 до 136 м.
Морские фаунистически охарактеризованные отложения верхней юры
представлены породами всех ярусов (келловейский, оксфордский + кимериджский,
волжский).
Келловейский ярус слагают глины светло-серые, слюдистые, переходящие в
алевролит. Выше залегает толща зеленовато-серых песчано-глинистых пород
оксфордского + кимериджского ярусов.
Завершают разрез верхней юры алевролиты светло-серые и серые, глинистые,
переходящие в глину алевритистую, слюдистую волжского яруса. Толщина пласта
отложений верхней юры колеблется от 97 до 127 м.
Меловая система представлена нерасчлененными нижнемеловыми отложениями -
смешанными глинисто-алеврито-песчаными породами серыми, темно-серыми с
зеленоватым оттенком. В кровле преобладают черные, глинистые, слюдистые
алевролиты. Толщина пласта нижнемеловых отложений - 88 ÷ 117 м.
Отложения четвертичной системы с размывом ложатся на нижнемеловые и
представлены темно-серыми с зеленоватым оттенком и серыми суглинками,
содержащими гальку и гравий различных пород. Встречаются прослои супесей, глин
и песка. Толщина пласта - до 142 м.
В тектоническом отношении Среднемакарихинское месторождение приурочено к
Макарихинскому поднятию , входящему в Макарихинско-Салюкинскую зону линейных
поднятий, осложняющих юго-восточную часть Хорейверской впадины.
Макарихинская структура развивалась унаследовано. По фундаменту она
выражена валообразным поднятием, которое нашло отражение и в осадочном чехле.
По сейсмическим данным на западном крыле поднятия отмечена протяженная зона
потери корреляции, отождествляемая с тектоническим нарушением типа
"сброс" амплитудой 200 ÷ 300 м, прослеживающимся с севера на
юг и затухающим в верхнедевонско-нижнекаменноугольной части разреза. Это
древнее нарушение послужило зоной разгрузки тектонических напряжений в
мезозойское время и контролировало распространение надвиговых дислокаций.
Дугообразные в плане надвиговые дислокации осложняют силурийско-верхнепермские
отложения и постепенно затухают вверх по разрезу. В верхнепермских отложениях
они прослеживаются фрагментарно.
В пределах Макарихинского поднятия по данным сейсморазведки и глубокого
бурения выделяются осложняющие его локальные структуры: Северо-Макарихинская,
Средне-Макарихинская, Западно-Макарихинская и Мукеркская. Северо- и
Средне-Макарихинская структуры по всем отражающим горизонтам объединяются
единым цоколем. Западно-Макарихинское поднятие располагается в 3,5 км к западу
от Северо-Макарихинского, отделяясь от него тектоническим нарушением, секущем
западное крыло Северо- и Средне-Макарихинских поднятий. Мукеркская куполовидная
структура является юго-восточным осложнением южной периклинали
Средне-Макарихинской структуры, от которой отделяется неглубокой седловиной.
Приуроченность нефтяных скоплений в ордовикских, нижнесилурийских и
верхнекаменноугольных отложениях к тектоническим элементам, контролируемым
структурными построениями по отражающим горизонтам V (О), IIId (D3
dm) и Is (P1 ar+s) и характеризующимся взаимосвязанными условиями
тектонического развития и формирования залежей углеводородов, позволяет
рассматривать Северо- и Средне-Макарихинские структуры как элементы,
осложняющие единую линейную Средне-Макарихинскую складку. В этом плане
Средне-Макарихинское нефтяное месторождение представляется единым природным
резервуаром, приуроченным к одноименной структуре.
По отражающему горизонту V (О), прослеживающемуся вблизи кровли
ордовикских отложений, Средне-Макарихинская структура представляет собой
пологое антиклинальное поднятие субмеридионального простирания, осложненное
тремя куполами. Полностью структура очерчивается изогипсой минус 3950 м. Длина
в пределах этой изогипсы составляет 31 км, ширина 4,0 км, высота изменяется от
50 м на юге до 180 м на севере, в среднем - 110 м.
По отражающему горизонту IV (SIY), прослеживающемуся вблизи
подошвы нижнесилурийских отложений, структурный план повторяет общие черты
морфологии поверхности контакта с нижележащими ордовикскими отложениями и
характер сочленения отдельных блоков складки.
По отражающему горизонту IIId (D3 dm) структура представляет
собой узкую надвиговую линейную антиклинальную складку, осложненную по
западному крылу дугообразно изогнутыми к западу надвигами. Надвигами складка
разбивается на два купола (Средне- и Северо-Макарихинский), которые по сводам
осложняются еще более мелкими локальными, по два на каждом. Простирание складки
субмеридиональное, сводовая часть узкая, западное крыло пологое (угол падения 4
о) до плоскости надвига, восточное более крутое (8 - 9о).
Размеры структуры в контуре изогипсы минус 3050 м составляют 22,5×3
км, амплитуда 400 м.
По отражающему горизонту Is (Р1 as+s) складка наследует
морфологию структурного плана горизонта IIId (D3 dm). Тектонические
нарушения имеют тенденцию к затуханию. Структура замыкается изогипсой минус
1950 м, в контуре которой имеет амплитуду около 385 м, длину - 41,2 км, ширину
- 2,7 ÷ 3,8 км.
В разрезе Средне-Макарихинского месторождения, этаж нефтеносности
которого составляет 2500 м, выявлены и разведаны три залежи нефти: залежь в
доломитовой толще верхнего ордовика, залежь в карбонатных нижнесилурийских
отложениях, залежь в известняках верхнего карбона.
соляный кислота скважина месторождение
1.2.1 Верхнеордовикская залежь
Залежь нефти приурочена к доломитовой толще верхнеордовикского возраста.
Средняя глубина залегания продуктивных отложений - 4230 м. Залежь является
неполнопластовой, сводовой, тектонически экранированной. Западное крыло срезано
тектоническим нарушением типа сброса, амплитуда которого в северной части
составляет 30 ÷ 40 м. Строение залежи показано на структурной карте кровли
проницаемых карбонатов и геологическом разрезе.
Коллекторами являются трещинно-кавернозные доломиты.
Притоки нефти получены в пяти скважинах (8, 12, 13, 14, 21), приток
минерализованной воды - в скв. 22 из интервала 4354 ÷ 4407 м. Уровень подсчета принят на
отметке минус 4136 м по нижним дырам интервала перфорации в скв. 21, откуда
получен фонтанный приток нефти.
Размеры залежи в пределах контура подсчета запасов составляют 20,2×3,7
- 2,5 км, высота - 113 м.
1.2.2 Нижнесилурийская залежь
Залежь нефти приурочена к карбонатным отложениям пачек S1-V и
S1-VI нижнесилурийского возраста. Средняя глубина залегания
продуктивных отложений - 3125 м. Залежь массивная, сводовая, тектонически
экранированная, подстилается подошвенной водой. Западное крыло осложнено двумя
дугообразными, выпуклыми к западу, надвигами. Южная периклиналь структуры
срезана надвигом в районе скв. 251 и 1. Плоскости надвигов наклонены с запада
на восток, угол наклона - 30 ÷ 40о в северной части и 20
÷ 25о - в южной. Амплитуда
надвига в северной части - 200 ÷ 250 м, в южной - около 400 м.
Коллекторами являются доломиты и известняки в различной степени
доломитизированные со сложной структурой пустотного пространства, в котором
принимают участие поры, каверны и трещины в различном сочетании.
В контуре нефтеносности залежи находятся скв. 7 ÷ 11, 13 ÷ 15, 20, 21, 31. По данным ГИС
подошва нефтенасыщенного коллектора по скважинам колеблется от минус 3012,7
(скв. 21) до минус 3058 м (скв. 13). Самая высокая отметка кровли
водонасыщенного коллектора встречена в скв. 22 - минус 3023,3 м. Данные ГИС
подтверждены опробованием. Средняя отметка ВНК нижнесилурийской залежи
определена по 7 скважинам (7, 8, 11, 13, 15, 31, 22) и составила минус 3032 м.
В скв. 9 и 21 выявлена большая бесконтактная зона, в скв. 10 и 11
некачественное опробование.
Залежь имеет следующие размеры: длина - 27,1 км, ширина - 1,2 ÷ 3,2 км, высота - 211 м.
При корреляции нижнесилурийских отложений, принимая во внимание большую
высоту залежи, в продуктивной части разреза были выделены 4 пачки,
проиндексированные снизу вверх "a", "b", "c",
"d".
Пачка "d" имеет неравномерное распространение по площади, так
как подвергалась размыву, и в скв. 20 отсутствует полностью. Из 12 скважин,
вскрывших отложения нижнего силура, коллекторы пачек "d" и
"c" отсутствуют в 5 скважинах. Отсутствие коллекторов пачек
"d" и "c" отмечено на северной периклинали структуры в скв.
11, 7, на южной периклинали в скв. 22, а также в скв. 10 и 20. Скопления нефти,
приуроченные к трём верхним пачкам ("b", "c",
"d"), можно считать пластовыми, залежь в пачке "а" -
неполнопластовой.
Таким образом, в пределах месторождения наблюдаются две зоны развития
проницаемых карбонатов пачек "d" и "с": в
северо-центральной части месторождения (район скв. 14, 8, 31, 13, 9, 21) и в
районе скв. 15. В северо-центральной части месторождения все скважины,
вскрывшие коллектора пачки "d", находятся в нефтяной зоне, однако
из-за прогиба образуется достаточно обширная водонефтяная зона, составляющая 25%
от площади нефтеносности пачки "d".
По отложениям пачки "с" прогиб углубляется. В связи с этим в
скв. 13 и 9 она обводнена, и имеют место два участка распространения
нефтенасыщенных коллекторов: в районе скв. 14, 8, 31 и в районе скв. 21. На
долю водонефтяной зоны здесь приходится 11 % площади. Карбонатные отложения
пачек "d" и "с" в скв. 15 нефтенасыщенны.
Коллектора пачки "b" имеют повсеместное распространение,
однако, ещё более углубившимся прогибом, делятся на два участка нефтеносности.
На северном участке в нефтяной зоне находятся скв. 11 и 7, на её долю
приходится лишь 25% площади, на южном - нефтяная зона более обширна до 70%. В
целом по пачке "b" на водонефтяную зону приходится 44%.
Проницаемые отложения пачки "а" приурочены к наиболее высоким в
гипсометрическом отношении участкам. На северной периклинали это район скв. 11
и 7, на юге - район скв. 10, 20, 15. Скопления нефти, приуроченные к пачке
"а" на всей площади подстилаются водой.
Пачки "d", "c", "b" и "а"
являются единой гидродинамической системой, так как толщины разделов между ними
на отдельных участках не превышают 2 ÷ 3 м, и уровни водонефтяных контактов
близки.
1.2.3 Верхнекаменноугольная залежь
Залежь вскрыта структурно - поисковой скв. 251. При опробовании этой
скважины через фильтр в интервале глубин 1697 ÷ 1742 м был получен приток тяжелой
нефти дебитом 11 т/сут. Уровень подсчета принят по подошве последнего
нефтенасыщенного прослоя в этой скважине на отметке минус 1635 м.
Залежь в верхнекаменноугольных отложениях массивная, сводовая имеет
размеры 2,5×1,6 км, высоту 48 м.
1.3 Характеристика продуктивных коллекторов, вмещающих пород
и покрышек
1.3.1 Верхнеордовикская залежь
В строении продуктивной толщи верхнеордовикских отложений принимают
участие серо-коричневые и коричневато-серые трещинно-поровые вторичные
доломиты. Доломиты мелко-среднезернистые с реликтовой органогенной структурой.
Коллекторами являются нефтенасыщенные трещинные доломиты, где основной емкостью
служат трещины и приуроченные к ним выщелоченные поры и, иногда, каверны
размерами до 3 мм. Трещины, кроме емкости, служат путями создания единой
фильтрационной среды. Открытые трещины, в основном, горизонтальные, иногда
секут породу, часто приурочены к стилолитам. Системы трещин с примазками
желтого битума соединяют частично залеченные доломитом и реже ангидритом поры.
Объемная плотность трещин меняется по разрезу от 8 до 134 ед/м, их ширина по
шлифам 0,01 ÷ 0,025 мм. Пористость открытых трещин (по шлифам) равна 0,01 ÷ 1,9%, проницаемость до 0,0083 мкм2.
Общая толщина продуктивного разреза (от кровли доломитовой толщи до
уровня подсчета) изменяется от 29 (скв. 21) до 112,8 м (скв. 12), составляя в
среднем 75,4 м. Нефтенасыщенные толщины по скважинам колеблются от 22,0 до 48,2
м, средняя их величина по 4 скважинам равна 35,4 м.
Средневзвешенное по эффективной толщине значение общей пористости (по
НГК) составило по скв. 12 ÷ 3,8%, по скв. 13 ÷ 4,2%, по скв. 14 ÷ 3,5%. Средняя общая пористость по
трем скважинам составила 3,8%. Блоковая пористость определена по 54 образцам
керна и составила 0,98 ÷1%. Эффективная пористость, определенная по формуле Кпэф
= Кпнгк - Кпкерн, составила 2,8%. В
подсчет запасов принята величина коэффициента пористости 0,028.
Проницаемость по керну по скважинам варьирует от 0,0025 до 0,004 мкм2.
По гидродинамическим исследованиям в скв. 12 проницаемость после проведения СКВ
и трех СКО увеличилась с 0,0002 до 0,0013 мкм2. В продуктивных
разрезах скважин отмечено до 28 нефтенасыщенных прослоев. Коэффициент
расчлененности по залежи составил 18,2, коэффициент гранулярности - 0,52.
Покрышкой для залежи служат плотные сульфатно-доломитовые породы
мукерской свиты верхнего ордовика средней толщиной 107 м.
.3.2 Нижнесилурийская залежь
Нижнесилурийскую залежь слагают породы двух пачек - известняки с
переслаиванием доломитов и доломиты. По геологическим условиям верхняя пачка
известняков имеет неравномерное распространение по площади и разрезу, так как
подвергалась размыву. Коллектора верхней пачки представлены коричневато-серыми
сгустково-комковатыми известняками с примазками темной загустевшей нефти по
частым различно ориентированным трещинам и кавернам. Отмечаются прослои
вторичного доломита интенсивно трещиноватого. Спорадически доломит
пористо-кавернозный за счет неравномерного выщелачивания.
Породы доломитовой пачки сложены, в основном, вторичными
диа-эпигенетическими доломитами. В продуктивном разрезе присутствуют два типа
коллекторов. Коллекторы трещинно-каверново-порового типа представлены довольно
однотипными вторичными доломитами, отличающимися друг от друга лишь реликтовыми
текстурными особенностями. Для всех них характерен буровато-серый или бурый
цвет, среднеплитчатая реже тонко-крупноплитчатая отдельность, обусловленная
наличием горизонтальных стилолитов и открытых микротрещин, интенсивное, но
неравномерное нефтенасыщение, связанное со структурными особенностями пород.
Фильтрация в коллекторах этого типа осуществляется по порам и кавернам, в
меньшей мере она обусловлена наличием открытых микротрещин. Пористость
коллекторов достигает 14,31%, газопроницаемость 0,500 мкм2 и более.
Среди трещинно-каверново-поровых коллекторов отмечаются редкие прослои
коллекторов каверново-порово-трещинного типа толщиной пласта до 0,8 м,
представленные в основном, доломитами вторичными, эпидиагенетическими, иногда
седиментационными. Породы имеют серый, буровато-серый, темно-бурый (при наличии
битума) цвет, тонко-среднеплитчатую отдельность, обусловленную горизонтальными
стилолитами и трещинами. Нефтенасыщение неравномерное, связанное с системой
открытых трещин и связанных с ним пустот, реже с матрицей пород.
Фильтрация флюидов осуществляется, в основном, по системе открытых трещин
и, в меньшей мере, по межзерновым каналам. По данным анализа керна, пористость
таких коллекторов достигает 6,4%.
Как правило, оба типа коллекторов в значительной степени перемежаются в
разрезе с постепенными переходами между ними. Для связи между пластами,
обладающими значительной поровой и каверновой емкостью, большое значение имеют
стилолитовые образования и трещиноватость.
Стилолиты имеют тектоническое происхождение, ориентировку, в основном,
горизонтальную, согласную со слоистостью. Ширина стилолитов от 0,02 до 2 мм.
Часто к стилолитам приурочены открытые трещины, повторяющие их очертания.
Трещины по своему генезису, в основном, тектонические, значительно реже
встречаются эпигенетические трещинки, связанные с процессами доломитизации -
перекристаллизации. В отличие от тектонических трещин, имеющих значительную
протяженность, рассекающих отдельные зерна и форменные образования и способных
группироваться в системы, эпигенетические трещинки прерывистые, извилистой,
ветвящейся формы. Они огибают отдельные зерна и форменные элементы и затухают в
пределах отдельных слойков. Средняя ширина их значительно меньше, чем у
тектонических трещин и достигает 5 мкм.
Трещины часто служат соединительными каналами между различными видами
пустот, по характеру заполнения делятся на минеральные и открытые. Минеральные
трещины расположены в породе параллельно и под углом к слоистости. Характер
распространения трещин и минеральный состав, их заполняющий, позволяет выделить
несколько видов. По характеру распространения выделяются горизонтальные и
хаотически расположенные трещины, по минеральному заполнению - на доломитовые,
кальцитово-доломитовые, сульфато-доломитовые, сульфатные и битумные.
Открытые микротрещины - самые молодые по времени заложения. В шлифах
фиксируются 3 системы открытых трещин: горизонтальные, вертикальные и
наклонные, по керну - 7 систем. Наклонные и вертикальные трещины секут или
упираются в горизонтальные. Последние имеют в изучаемых породах наибольшее
распространение и значимость. Микротрещины, чаще протяженные, реже прерывистые
имеют слабо извилистую, реже прямолинейную форму, изредка кулисообразное и
ступенчатое расположение, неровные стенки, пережимы и раздутия. Раскрытость их
от 8 до 16 мкм, по-видимому, имеют тектоническое происхождение. Помимо их,
встречаются короткие слабо раскрытые (до 5 мкм) открытые трещины ветвящейся и
ступенькообразной формы, огибающие отдельные зерна и приуроченные к одному
литологическому слою, т.е. эпигенетические трещины, служащие в большинстве
случаев соединительными каналами между порами эпигенетической доломитизации и
образованным по ним пустотам выщелачивания. В таблице 1.1 приводится
количественное соотношение открытых трещин в коллекторах различного типа:
Таблица 1.1 - Количественное соотношение открытых трещин в коллекторах
различного типа
|
Тип коллектора
|
Плотность откр. трещин, 1/м
|
Трещинная проницаемость, 10-3
мкм2
|
Трещинная пористость, %
|
Пористость по шлифам, %
|
|
от
|
до
|
ср.
|
от
|
до
|
ср.
|
от
|
до
|
ср.
|
от
|
до
|
ср.
|
|
Трещинно-каверново-поровый
|
0
|
39
|
38
|
0
|
5,2
|
1,3
|
0
|
0,08
|
0,026
|
5,0
|
15,0
|
8,3
|
|
Каверново-порово-трещинный
|
19
|
166
|
76
|
0,83
|
9,3
|
3,8
|
0,01
|
0,16
|
0,062
|
1,0
|
7,0
|
3,6
|
С целью сравнения прямых и косвенных определений остаточной
водонасыщенности нижнесилурийских коллекторов была проведена ртутная порометрия
по 21 образцу из скв. 31.
Полученные значения остаточной воды хорошо согласуются с уже
определенными прямым методом результатами. Условно все образцы, исследованные
по ртутной порометрии, разделены на 4 группы. I - с проницаемостью от 0,1 до 1,5 мкм²,
II - 1,5 до 10 мкм²,
III - 10 до 100 мкм²,
IV - 100 мкм².
Анализ показал, что при
средней пористости в I
группе 4,7% и проницаемости 0,75 мкм². содержание остаточной воды составляет
(по ртути) 27%, т.е. даже коллектора с такой пористостью могут проводить нефть.
Таблица 1.2 - Характеристика коллекторов
|
Группа коллекторов
|
Средняя пористость, %
|
Средняя проницаемость, 10-3
мкм2
|
Средняя остаточная
водонасыщенность, %
|
Число определений
|
|
I
|
4,7
|
0,75
|
27,0
|
7
|
|
II
|
6,7
|
4,5
|
12,8
|
7
|
|
III
|
10,0
|
45,7
|
10,2
|
4
|
|
IV
|
11,5
|
280,0
|
5,2
|
3
|
Конечно, небольшое число определений позволяет сделать лишь
предварительные выводы об очень малом содержании остаточной воды в карбонатных
отложений силура на больших глубинах.
Проведенными исследованиями проницаемости по нефти в пластовых условиях
установлено, что проницаемость по нефти наступает при газопроницаемости ≥
0,001 мкм2, хотя в одном случае отмечена проницаемость по нефти
0,0001 мкм2 при газопроницаемости 0,0003 мкм2.
Из зависимости относительной проницаемости от водонасыщенности следует,
что критическая величина водонасыщенности, при которой нефть в коллекторе уже
не продвигается, составляет 38%.
По результатам обработки 198 представительных образцов пористость
меняется от 0,048 до 0,190 при среднем значении 0,085. Средняя проницаемость по
135 образцам составила 0,0752 мкм2. Большинство образцов керна
(71,8%) имеют проницаемость от 0,001 до 0,050 мкм2.
Средняя общая толщина продуктивных отложений нижнего силура составляет
87,1 м при изменении по площади от 10,0 до 190,8 м. Значения нефтенасыщенных
толщин варьируют от 0 на контуре до 47,2 м в скв. 8. В продуктивной части
нижнесилурийских отложений прослеживается от 3 до 23 проницаемых прослоев
толщиной 0,6 ÷ 17,3 м. Толщина разделяющих их пород от 0,6 до 26,6 м.
Отношение нефтенасыщенной толщины к общей толщине продуктивного разреза
меняется от 0,16 до 0,62, составляя в среднем 0,35. Толщина плотного прослоя
между нефтенасыщенными и водонасыщенными коллекторами варьирует от 2,0 до 39,4
м в скв. 9.
В семи скважинах, вскрывших коллекторы пачки "d", общая толщина
пачки изменяется от 0 до 70 м, составляя в среднем 37,6 м. Нефтенасыщенные
толщины варьируют от 1,8 до 23,8 м, при среднем значении 11,2 м. Соответственно
им изменяется и число проницаемых прослоев от 2 до 11, толщины которых
находятся в пределах 0,6 ÷ 13,0 м. Коэффициент гранулярности равен 0,41,
коэффициент расчлененности - 5,3. Средний коэффициент пористости по НГК
составляет 0,092, средний коэффициент нефтенасыщенности - 0,886. Из пачки
"d" отобрано 10 представительных образцов керна в трёх скважинах.
Средняя пористость составляет 0,088, средняя проницаемость - 0,130 мкм2.
Плотным разделом толщиной от 2 до 52 м пачка "с" отделена от
пачки "d". Средняя общая толщина пачки "с" составляет 40,5
м, средняя нефтенасыщенная толщина равняется 14,7 м, изменяясь по скважинам от
3,8 до 29,7 м. Толщина отдельных проницаемых прослоев достигает 9,2 м (скв.
14), количество прослоев - от 3 до 7. Коэффициент гранулярности равен 0,45,
коэффициент расчлененности - 5,2. Средний коэффициент пористости по НГК
составляет 0,091, средний коэффициент нефтенасыщенности - 0,887, т.е.
практически такие же, как в пачке "d". Пачка "с" наиболее
освещена керном, из неё отобрано 169 представительных образцов, из которых 167
образцов из скв. 31. Средняя пористость составляет 0,083. Средняя проницаемость
по 114 образцам - 0,0775 мкм2.
Коллекторы пачки "b" плотным разделом 2 ÷ 70 м отделены от вышележащей пачки
"с". Средняя общая толщина пачки в пределах контура нефтеносности
составляет 66,7 м, средняя нефтенасыщенная толщина - 13,2 м, изменяясь по
скважинам от 2,0 до 35,4 м. Количество прослоев варьирует от 2 до 12, толщина
их - от 0,6 до 1,0 м (скв. 21). Коэффициент гранулярности равен 0,40,
коэффициент расчлененности - 6,5. Средний коэффициент пористости по НГК
составляет 0,085, средний коэффициент нефтенасыщенности - 0,884. Из пачки
"b" отобрано 16 представительных образцов керна в трёх скважинах, из
них 13 образцов из скв. 31. Средняя пористость составляет 0,103, средняя
проницаемость - 0,0248 мкм2.
Толщина непроницаемого раздела между пачками "b" и
"а" от 3 до 37 м. В контуре продуктивности пачки "а"
находятся 5 скважин, нефтенасыщенные толщины, в которых изменяются от 2,2 до
14,8 м (8,1 м в среднем). Число прослоев по отдельным скважинам варьирует от 1
до 7, толщина их от 0,6 до 8,4 м (скв. 10). Коэффициент гранулярности равен
0,59, коэффициент расчлененности - 3,6. Средний коэффициент пористости по НГК
составляет 0,106, средний коэффициент нефтенасыщенности - 0,89. Из пачки
"а" отобрано лишь 3 представительных образца керна в двух скважинах.
Средняя пористость составляет 0,102, средняя проницаемость - 0,086 мкм2.
1.3.3 Верхнекаменноугольная залежь
Разрез залежи представлен переслаиванием плотных и проницаемых
биоморфно-детритовых известняков. Тип коллектора - каверново-поровый.
Комплекс ГИС (ПС, КВ, БКЗ), проведенный в скв. 251 явно недостаточен для
определения емкостных характеристик коллектора, поэтому при подсчете запасов
принято значение пористости по 36 представительным образцам керна равное 0,16,
без учета каверновой составляющей. Средняя проницаемость по керну составляет
0,0805 мкм2. Нефтенасыщенность, определенная по кривой сопоставления
открытой и эффективной пористости для однотипных коллекторов ряда месторождений
Тимано-Печорской провинции, составила 0,85.
Нефтенасыщенная толщина в скв. 251 равна 25 м. Коэффициент гранулярности
по ней составляет 0,52. В разрезе скв. 251 присутствуют 9 проницаемых прослоев
толщиной от 0,5 до 5,2 м.
Покрышкой служат глинисто-карбонатные породы нижнепермского возраста (P1
as+s и P1 к) толщиной пласта от 49 до 71 м.
2. СОСТОЯНИЕ РАЗРАБОТКИ СРЕДНЕМАКАРИХИНСКОГО МЕСТОРОЖДЕНИЯ
2.1
Характеристика проектных документов
Средне-Макарихинское нефтяное месторождение введено в эксплуатацию в
соответствии с проектом пробной эксплуатации (протокол № 33 от 12.04.1999 г.),
в котором предусмотрены следующие принципиальные основные положения:
)основной объект пробной эксплуатации - нижнесилурийская залежь;
2)для проведения пробной эксплуатации нижнесилурийской залежи
использовать пять скважин № 7, 9, 15, 25 и 31;
)проведение работ по интенсификации притока в скважине № 12, пробуренной
на верхнеордовикскую нефтяную залежь;
4)бурение эксплуатационных скважин в период пробной эксплуатации не
производить.
В 2002 году ФГУП ИГиРГИ был сделан авторский надзор за разработкой
нефтяных месторождений ОАО «Северная нефть».
2.2
Динамика технологических показателей
Средне-Макарихинское нефтяное месторождение введено в пробную
эксплуатацию в соответствии с проектным документом, утвержденным ТКР РК. Добыча
нефти за 2005 год составила 56,45 тыс.т. Темп отбора от начальных и текущих
извлекаемых запасов составил 0,48 % от утвержденных и 0,49 % от учтенных
запасов. Обводненность продукции по действующему фонду скважин составила 13,1
%. Динамика показателей разработки приведена в таблице 2.1. и на рисунке 2.1.
Все скважины оборудованы ЭЦН и эксплуатируются с низкими динамическими
уровнями. Однако при длительных остановках скважин отмечалось появление
избыточного давления на устье, и его рост, практически доходил до
первоначального. Накопленная добыча нефти по месторождению составляет 247,2
тыс. т, что составляет 2,1 % от утвержденных начальных извлекаемых запасов и
1,22 % - от учтенных НИЗ.
В разработке находилась только нижнесилурийская залежь и добыча по ней
составила 56,45 тыс. т нефти. В эксплуатации находились скважины № 7, 9, 15,
21, 31. Скважина № 15 была выведена в бездействие, а скважина № 31 с декабря
2005 г. простаивает. Темпы отбора от начальных и текущих извлекаемых запасов
соответственно равны 0,49 % и 0,50 % от утвержденных или 0,31 % и 0,32 % от
учтенных запасов.
Накопленный отбор нефти по залежи составил 247,1 тыс.т. Процент
использования утвержденных НИЗ - 2,16 %, учтенных - 1,38 %. Среднесуточный
дебит одной скважины за год в целом составляет 39 т/сут.
Пробная эксплуатация нижнесилурийской залежи производится на естественном
режиме истощения, что соответствует условиям проектного документа.
Таблица 2.1 - Динамика основных показателей разработки
Средне-Макарихинского месторождения
|
Показатели
|
2003
|
2004
|
2005
|
|
Годовая добыча нефти,
тыс.тонн
|
87,38
|
71,30
|
56,45
|
|
Годовая добыча жидкости,
тыс.тонн
|
87,58
|
77,58
|
64,97
|
|
Накопленная добыча нефти,
тыс. тонн
|
119,4
|
190,7
|
247,2
|
|
Накопленная добыча
жидкости, тыс. тонн
|
119,6
|
197,2
|
262,2
|
|
Годовая закачка рабочего
агента, тыс. м3
|
|
|
|
|
Накопленная закачка
рабочего агента, тыс.м3
|
|
|
|
|
Обводненность, %
|
0,2
|
8,1
|
13,1
|
|
Дебит нефти, т/сут
|
74,1
|
38,2
|
39
|
|
Дебит жидкости, т/сут
|
74,2
|
41,6
|
44,9
|
|
Действующий фонд добывающих
скважин, скв
|
4
|
5
|
4
|
Рисунок 2.1 - Графики разработки Средне-Макарихинского месторождения
Превышение фактических показателей по добыче нефти над проектными на фоне
отставания по фонду скважин и значительного превышения уровня обводненности
обеспечивается за счет более высоких дебитов скважин по нефти, а также большей
отработки скважин. Подтверждение этому приведено в таблице 2.2. Сопоставление
проектных и фактических показателей разработки Средне-Макарихинского
месторождения представлено в таблице 2.3.
Полностью выполненным не явилось ни одно из исследований. Вообще не
проведены исследования по определению пластового давления при поднятом
оборудовании, исследованию профиля притока, определению продуктивности скважин
методом восстановления уровня. Не производился отбор проб и химанализ попутной
воды, и анализ глубинных проб нефти.
Исследования по определению статического уровня выполнены менее чем на
половину.
Замер дебитов скважин, определение обводненности продукции и замеры
динамического уровня выполнены почти полностью.
Таблица 2.2 - Факторный анализ расхождения проектных и фактических
уровней добычи нефти Средне-Макарихинского месторождения
|
Показатели
|
Проект
|
Факт
|
Составляющие отклонения
добычи нефти от проектной величины
|
|
Действующий фонд добывающих
скважин
|
5
|
4
|
из-за отклонения фонда
скважин
|
|
Среднегодовая
обводненность, %
|
1,5
|
12,1
|
из-за отклонения
обводненности
|
|
Средний дебит 1 скв., т/сут
|
|
|
из-за отклонения дебита жидкости
|
|
по жидкости
|
30,9
|
44,9
|
|
|
по нефти
|
30,4
|
39,0
|
|
|
Добыча нефти, тыс.тонн
|
51,2
|
57,1
|
Отклонение добычи нефти от
проектной, всего
|
Таблица 2.3 - Сравнение проектных и фактических показателей разработки
Средне-Макарихинского месторождения
|
Показатели
|
2004
|
2005
|
2006
|
|
Проект
|
Проект
|
Проект
|
|
Факт
|
Факт
|
Расчет
|
|
Добыча нефти, тыс. т
|
56,0
|
51,2
|
46
|
|
|
71,3
|
56,5
|
44,4
|
|
Накопленная добыча нефти,
тыс. т
|
128,0
|
179,2
|
225,2
|
|
|
190,7
|
247,2
|
291,6
|
|
Коэффициент
нефтеизвлечения, доли ед.
|
0,002
|
0,004
|
0,005
|
|
|
0,003
|
0,006
|
0,007
|
|
Использование начальных
извлекаемых запасов, %
|
0,71
|
1,52
|
1,91
|
|
|
1,06
|
2,1
|
2,47
|
|
Темп отбора от начальных
извлекаемых запасов, %
|
0,47
|
0,43
|
0,39
|
|
|
0,60
|
0,48
|
0,38
|
|
Темп отбора от текущих
извлекаемых запасов, %
|
0,47
|
0,44
|
0,42
|
|
|
0,60
|
0,49
|
0,38
|
|
Обводненность
среднегодовая, %
|
1,0
|
1,5
|
2,0
|
|
|
8,1
|
13,1
|
15,5
|
|
Добыча жидкости, тыс. т
|
56,6
|
52,0
|
45,6
|
65,0
|
52,9
|
|
Накопленная добыча
жидкости, тыс. т
|
128,6
|
180,5
|
226,1
|
|
|
197,2
|
262,2
|
315,1
|
|
Коэффициент эксплуатации
скважин, доли ед.
|
0,900
|
0,900
|
|
|
|
0,895
|
0,964
|
|
|
Выбытие добывающих скважин,
ед
|
|
-
|
-
|
|
|
|
1
|
|
|
Фонд добывающих скважин на
конец года, ед
|
5
|
5
|
6
|
|
|
6
|
5
|
5
|
|
Действующий фонд добывающих
скважин на конец года, ед.
|
5
|
5
|
6
|
|
|
5
|
4
|
5
|
|
Среднесуточный дебит одной
добывающей скважины, т/сут
|
|
|
|
|
по нефти
|
34,4
|
30,4
|
|
|
|
|
44,1
|
39,0
|
31,6
|
|
|
по жидкости
|
34,7
|
30,9
|
|
|
|
|
48,1
|
44,9
|
37,4
|
|
|
|
|
|
|
|
|
2.3
Динамика фонда скважин
По состоянию на 01.01.2006 года по месторождению числится 20 скважин, в
т.ч. в эксплуатационном фонде - 5, из которых одна скважина № 31 находится в
простое, а одна - № 15 - в бездействии, в консервации - 2, ликвидированных - 11
скважин, контрольных - 2.
Текущее состояние фонда скважин представлено в таблице 2.4.
Таблица 2.4 - Характеристика фонда скважин Средне-Макарихинского
месторождения по состоянию на 01.01.2006 г
|
Залежь
|
Всего
|
|
O3
|
S1
|
|
|
Эксплуатационный фонд
добывающих скважин
|
Всего
|
|
5
|
5
|
|
Действующий
|
Всего
|
|
4
|
4
|
|
|
в работе
|
Всего
|
|
3
|
3
|
|
|
|
в т.ч. фонтанные
|
|
|
|
|
|
|
ЭЦН
|
|
3
|
3
|
|
|
В простое
|
|
1
|
1
|
|
Бездействующий
|
|
1
|
1
|
|
В освоении
|
|
|
|
|
Эксплуатационный фонд
нагнетательных скважин
|
Всего
|
|
|
|
|
Действующий
|
Всего
|
|
|
|
|
|
В работе
|
|
|
|
|
|
В простое
|
|
|
|
|
Бездействующий
|
|
|
|
|
В освоении
|
|
|
|
|
В консервации
|
Всего
|
1
|
1
|
2
|
|
В т. ч. добывающие
|
12
|
20
|
|
|
Нагнетательные
|
|
|
|
|
Ликвидировано
|
Всего
|
4
|
7
|
11
|
|
В т. ч. после эксплуатации
|
|
|
|
|
После бурения
|
4
|
7
|
|
|
В ожидании ликвидации
|
|
|
|
|
Водозаборные
|
|
|
|
|
Контрольно-наблюдательные
|
|
2
|
2
|
|
Всего пробуренный фонд
|
5
|
15
|
20
|
3. ПРОЕКТ СОЛЯНОКИСЛОТНОЙ ОБРАБОТКИ СКВАЖИНЫ НА
СРЕДНЕ-МАКАРИХИНСКОМ МЕСТОРОЖДЕНИИ
.1 Классификация методов воздействия на призабойную зону
скважин
.1.1 Обработка скважин соляной кислотой
Обработка скважин соляной кислотой нашла наиболее широкое распространение
вследствие своей сравнительной простоты, дешевизны и часто встречающихся
благоприятных для её применения пластовых условий.
В нефтесодержащих породах нередко присутствуют в тех или иных количествах
известняки, доломиты или карбонатные цементирующие вещества. Такие породы
соляная кислота хорошо растворяет, при этом происходят следующие основные
реакции.
При воздействии на известняк
HCl + CaCO3 = CaCl2 + H2O + CO3 . (3.1)
При воздействии на доломит
HCl + CaMg(CO3)2 = CaCl2
+ MgCl2 + 2H2O + 2CO2 . (3.2)
Однако в кислоте всегда присутствуют примеси, которые при взаимодействии
с ней могут образовать не растворимые в растворе нейтрализованной кислоты
осадки. Выпадение этих осадков в порах снижает проницаемость.
К числу этих примесей относятся следующие компоненты:
хлорное железо (FeCl3),
образующее в результате гидролиза гидрата окиси железа [Fe(OH3)] выпадающего в виде объёмистого осадка;
серная кислота в растворе при её взаимодействии с хлористым кальцием
образует гипс, который удерживается в растворе лишь в незначительных
количествах. Основная масса гипса выпадает в осадок в виде волокнистой массы
игольчатых кристаллов;
некоторые реагенты, вводимые в раствор кислоты в качестве антикоррозийных
добавок (ингибитор ПБ - 5).
Для обработки скважин обычно готовится раствор соляной кислоты с
содержанием чистой HCl в пределах от
10 до 15 %, так как при большом её содержании нейтрализованный раствор
получается очень вязким, что затрудняет его выход из пор пласта.
Соляная кислота, взаимодействуя с глинами, образует соли алюминия, а с
цементом и песчаником - гель кремниевой кислоты, выпадающие в осадок. Для
устранения этого и используют стабилизаторы - уксусную (CH3COOH) и плавиковую кислоты, а так же ряд других (лимонная,
винная и др.).
Различают несколько видов обработки соляной кислотой скважин, вскрывших
карбонатные коллекторы: кислотные ванны, простые кислотные обработки под
давлением, термокислотные обработки, кислотные обработки через гидромониторные
насадки, серийные поинтервальные кислотные обработки.
3.1.2 Кислотная ванна
Кислотные ванны применяются во всех скважинах с открытым забоем после
бурения и при освоении, для очистки поверхности забоя от остатков цементной и
глинистой корки, продуктов коррозии кальцитовых выделений из пластовых вод и
др. Для скважин, забой которых обсажен колонной и перфорирован, кислотные ванны
проводить не рекомендуют. Объём кислотного раствора должен быть равен объёму
скважины от забоя до кровли обрабатываемого интервала, а башмак НКТ, через
который закачивают раствор, спускается до подошвы пласта или забоя скважины.
Применяется раствор HCl повышенной
концентрации (15 ÷ 20 %), так как его перемешивания на забое не
происходит.
При проведении соляно-кислотной ванны одним из основных технологических
показателей является время выдерживания соляной кислоты в скважине, которое
зависит от времени нейтрализации кислоты. Время нейтрализации соляной кислоты
при взаимодействии с карбонатной породой определяли опытным путём.
3.1.3 Простые кислотные обработки
Наиболее распространённые кислотные обработки, осуществляются задавкой
раствора HCl. Простые кислотные обработки, как
правило, осуществляются с помощью одного насосного агрегата в тщательно
промытой и подготовленной скважине без применения повышенных температур и
давления. При парафинистых и смолистых отложениях в НКТ и на забое их удаляют
промывкой скважины соответствующими растворителями: керосином,
пропан-бутановыми фракциями и другими нетоварными продуктами предприятий
нефтехимии. При открытом забое кислотная обработка проводится только после
кислотной ванны. После закачки расчётного объёма раствора кислоты в НКТ
закачивают продавочную жидкость в объёме, равном объёму НКТ.
В качестве продавочной жидкости обычно используется нефть для добывающих
скважин и вода с добавкой ПАВ для нагнетательных скважин.
3.1.4 Кислотная обработка под давлением
При простых солянокислотных обработках кислота проникает в хорошо
проницаемые прослои, улучшая их и без того хорошую проницаемость. Плохо
проницаемые прослои остаются неохваченными. Для устранения этого недостатка,
связанного со слоистой неоднородностью пласта, применяют кислотные обработки
под давлением. При этом чётко выраженные высокопроницаемые прослои изолируются
пакерами или предварительной закачкой в эти прослои буфера - высоковязкой
эмульсии типа кислота в нефти. Таким способом при последующей закачке
кислотного раствора можно значительно увеличить охват пласта по толщине воздействием
кислоты.
Сначала в скважине проводятся обычные подготовительные мероприятия:
удаление забойных пробок, парафиновых отложений, изоляция обводнившихся
прослоев или создание на забое столба тяжёлой жидкости в пределах
обводнившегося низа скважины. Обычно перед проведением СКО под давлением
продуктивный пласт изучается для выявления местоположения поглощающих прослоев
и их толщины. Для предохранения обсадной колонны от высокого давления у кровли
пласта на НКТ устанавливают пакер с якорем. Затем спущенным на НКТ пакером
герметизируют кольцевое пространство, и в пласт закачивается раствор HCl объёмом, равным внутреннему объёму
НКТ, также при умеренном давлении, а по достижении кислотой башмака НКТ закачка
продолжается на максимальных скоростях для создания на забое необходимого
давления. После рабочего раствора HCl без снижения скорости закачивается продавочная жидкость объёмом, равным
объёму НКТ и подпакерного пространства. После выдержки пакер с якорем и НКТ
извлекаются, и скважина пускается в эксплуатацию.
3.1.5 Термохимическая и термокислотная обработки
Термохимической обработкой называют воздействие на призабойную зону
пласта кислотой, нагретой за счёт экзотермической реакции с магнием.
При термокислотной обработке в пласт закачивают вначале нагретую кислоту,
а затем холодную.
В руководстве по кислотным обработкам термохимическую обработку
рекомендуется применять в скважинах с открытым стволом в продуктивной части
разреза.
Основное назначение термохимических и термокислотных обработок -
интенсифицировать с помощью тепла процесс взаимодействия соляной кислоты с
породами и добиться очистки поверхностей от накопившихся твёрдых углеводородов
и ускоренного растворения породы.
При термокислотной обработке металлический магний в виде столбиков
стружки или шариков загружают в специальный реакционный наконечник,
представляющий собой трубу, заканчивающуюся сеткой. Наконечник на
насосно-компрессорных трубах опускают в интервал вскрытой части пласта.
Кислоту 15 ÷ 20 % - ной концентрации, закачивают в трубы и затем
прокачивают через магний, находящийся в наконечнике в виде столбиков. Скорость
прокачки кислоты выбирают такой, чтобы при входе из наконечника температура
кислоты достигала 70 ÷ 90 ºС, и при этом концентрация её должна
оставаться не менее 10 ÷ 15%. Далее закаченную в скважину кислоту продавливают
в пласт. Поступление в пласт водорода, выделяющегося при реакции кислоты с
магнием, обеспечивает установка пакера.
Воздействие холодной кислотой даёт положительный результат, если
запарафинена призабойная зона пласта, так как порода, на которой отложился
парафин и другие углеводороды, растворяется, что ведёт к образованию каналов
растворения. При закачке холодной кислоты в частично запарафиненные каналы
растворения первые порции её дольше сохраняются активными и, следовательно,
глубина проникновения их в пласт будет больше
3.2 Подготовка скважин к обработке
Кислотные обработки пласта проводятся в технически исправных скважинах,
не имеющих нарушений герметичности эксплуатационных колон и
насосно-компресорных труб.
Перед проведением обработки скважина должна быть промыта по схеме прямой
циркуляции нефтью, конденсатом или другой жидкости, не наносящей ущерба
коллекторским свойствам пласта, до поступления с забоя чистой жидкости.
По окончании промывки производится испытания скважины на приемистость
путем закачки в пласт нефти или другой жидкости, на 2-3 режимах до стабилизации
давления.
При низкой приемистости целесообразна установка кислотной ванны для
отчистки поверхности фильтра от загрязняющих материалов.
При наличии асфальтено-смоло-парафиновых отложений (АСПО) в НКТ, после
промывки скважины нефтью (конденсатом), необходимо удалить отложение путем
закачки и выдержки в НКТ и в зоне фильтра 2-3 часов органических растворителей.
Для этого могут быть использованы следующие растворители:
ББФР, БТФ, нефрас, бентол, ФАУ, легкая пиролезная смола, а так же смеси с
добавкой аминов жирных кислот С10-С16,С17-С20 или ингибиторов парафиноотложений
- реагентов СНПХ-7204,СНПХ-7205, СНПХ-7214, СНПХ-7214Р,СНПХ-7215, СНПХ-7401,
СНПХ-7212, СНПХ-7410, ИНПАР-1 и другие.
3.3 Технология проведения кислотных обработок на
Средне-Макарихинском месторождении
Цель: очистка интервала перфорации и призабойной зоны от глинистого
раствора, корки и цемента, воздействие на коллектор призабойной зоны для увеличения
коэффициента продуктивности.
3.3.1 Расчёт требуемого количества кислоты и концентрации для
проведения СКО
В данном подразделе определим необходимое количество химикатов и составим
план обработки скважины №740 соляной кислотой.
Скважина №740 имеет следующую характеристику:
глубина H = 3240 м;
толщина пласта h =
44,4 м;
глубина зумпфа h зум = 10 м;
внутренний диаметр скважины D скв = 0,1683 м;
диаметр НКТ dнкт = 0,0699 м;
-
наружный диаметр НКТ d1=
м;
Для
заданных условий принимаем концентрацию кислоты 15 %. При средней норме расхода
соляной кислоты 1,2 м3 на 1 м интервала обработки общий объём 15 % -
ной соляной кислоты, составит:
Wp = h ·
1,2 . (3.3)
h -толщина
пласта, м;
Wp =
44,4 · 1,2 = 53,28 м3.
Расчёт
количества химикатов и воды.
На
приготовление 53,28 м3 15 % - ого раствора необходимо
концентрированной HCl
Wp -
объём 15 % -ной соляной кислоты, м3;
xp - объемная доля кислотного раствора;
хк - объемная доля товарной кислоты = 27,5 %;
В качестве замедлителя реакции и стабилизатора окисных соединений железа
используем уксусную кислоту, объем которой определим по формуле
bук - норма добавки 100% уксусной
кислоты =3 %;
сук - объемная доля товарной уксусной кислоты = 80 %
В качестве ингибитора коррозии выбран реагент В - 2, объем которого
bи - выбранная объемная доля реагента в
растворе = 0,2 % ;
си - объемная доля товарного ингибитора = 100 %.
Количество интенсификатора (принимаем Марвелан - К (О)):
bинт
- норма добавки
100% интенсификатора =0,3 %;
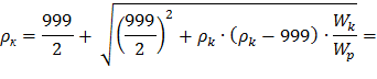
При использовании технической соляной кислоты в ней может содержаться до a = 0,4 % серной кислоты. Её
нейтрализуют добавкой хлористого бария, количество которого определяют по
формуле
где
21,3 - масса хлористого бария (кг), необходимые для нейтрализации 10 кг серной
кислоты; 
-
объемная доля серной кислоты в приготовленном растворе; 
-
объемная доля серной кислоты в товарной соляной кислоте, %; 0,02 - допустимая
объемная доля серной кислоты в растворе, когда после реакции ее с карбонатными
породами соли не выпадают в осадок, %.
При
плотности хлористого бария 4000 кг / м3 объем его с учетом
определяют

Объем
воды для приготовления кислотного расствора
Wв =Wр - Wк - ∑Wреаг = 53,28 - 27,44 - 1,998 - 0,1 - 0,16 - 0,04 =
25,54 м3;
Порядок приготовления кислотного раствора
Наливают в мерник 25,54 м3 добавляют к воде 0,1 м3
ингибитора В - 2, 1,998 м3 уксусной кислоты; 37,5 м3
соляной товарной кислоты. Полученный раствор тщательно перемешивают, измеряют
его плотность ареометром. При правильной дозировке плотность должна
соответствовать заданной концентрации при температуре замера. Значение ρр можно рассчитать по формуле
где

-
плотность товарной кислоты при 15 0С = 1139 кг / м3.
Если
замеряемая плотность больше расчетной, в раствор добавляют воду, если меньше,
то товарную кислоту. Обычно корректировка не требуется, если нет грубых ошибок
в расчетах или в дозировке, так как возможные погрешности при расчетах меньше,
чем ошибка при замере плотности ареометром.
Затем
добавляют в раствор 72 кг хлористого бария, хорошо перемешивают, через 5 минут
после этого добавляют 51 л интенсификатора Марвелан - К (О), раствор снова
перемешивают и оставляют его на 2 - 3 часа до полного осветления, после чего
раствор перекачивают в цистерну Азинмаш - 30А и другие емкости.
3.3.2
Обработка скважины
В
процессе подготовительных работ скважина промыта и заполнена нефтью.
1. Нижний интервал продуктивного пласта изолируют закачкой бланкета -
концентрированного раствора хлористого кальция. Трубы опускают до забоя и при
небольшой подаче насоса Азинмаш - 30А закачивают раствор CaCl2 плотностью 1200 кг / м3.
Объем закачиваемого бланкета составляет
Для получения 1 м3 раствора CaCl2 плотностью 1200 кг / м3 требуется 540 кг CaCl2 и 0,66 м3 воды. Для
изоляции нижнего интервала необходимо 540·0,38 = 205 кг CaCl2 и 0,66·0,38 = 0,25 м3 воды.
Транспортировка бланкета осуществляется продавкой нефтью в объеме выкидной
линии длиной 20 м с внутренним диаметром dв = 0,05 и НКТ длинной 3039 м.
Объем выкидной линии Vв
= 0,785 dв2·20 = 0,04 м3. (3.16)
Объем 1 м НКТ
VНКТ = 0,785·d2·1 = 0,0785·0,0699·1 = 0,0055 м3/м . (3.17)
Объем нефти для продавки бланкета
V=Vв + VНКТ·L = 0,04 + 0,0055·3039 = 16,75 м3. (3.18)
. Трубы приподнимают, устанавливая башмак на глубине 3029 м, размещают и
обвязывают оборудование.
. Закачивают кислотный раствор в объеме выкидной линии,
насосно-компрессорных труб и ствола скважины от башмака НКТ до кровли пласта
где d1 - наружный диаметр НКТ;
. Закрывают задвижку на затрубном пространстве и насосом агрегата
закачивают остальной кислотный раствор
. Для задавливания кислоты в пласт закачивают нефть в объеме выкидной
линии, насосно-компрессорных труб и ствола скважины от подошвы НКТ до кровли
пласта
. Затем закрывают задвижку на выкидной линии. Буферное давление падает.
Продолжительность реагирования кислоты 1,5 - 2 часа.
. Приток вызывают свабированием или с помощью компрессора, производится
отработка скважины и очистка призабойной зоны от продуктов реакции.
После освоения скважину исследуют для определения эффективеости кислотной
обработки, а затем сдают в эксплуатацию.
Для увеличения эффективности кислотного воздействия на породу желательно,
чтобы активная кислота прникала на большее расстояние от скважины. Радиус
обработанной зоны увеличивается с ростом скорости закачки. Кроме того,
увеличение подачи насоса при закачке снижает время контакта кислоты с
оборудованием и уменьшает коррозию последнего.
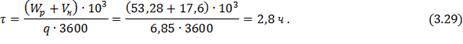
Режим работы агрегата выбирают таким образом, чтобы давление ,создаваемое
насосом, было достаточно для продавки раствора в пласт при максимально
возможной его подаче. Определим необходимое давление на выкиде насоса при
закачке в скважину жидкости с расходом q = 6,85 л/с.
где

-
максимальное забойное давление при продавке раствора

-
гидростатическое давление столба продавочной жидкости (нефть плотностью 900
кг/м3)
рт
- потери давления на трение
υ - скорость движения жидкости по трубам
λ - коэффициент гидравлического сопротивления
Re - число
Рейнольдса
μ - динамическая вязкость продавочной нефти, равная 3 мПа·с.
При
закачке кислотного раствора агрегат Азинмаш - 30А работает на III
скорости при диаметре плунжера 120 мм. При этом давление на выкиде насоса (17,4
МПа) больше чем необходимое для продавки в пласт раствора с дебитом 6,85 л/с.
Продолжительность
нагнетания и продавки в пласт раствора
3.4 Расчет радиуса проникновения кислоты и объема
растворенной породы
Анализ отчетов по кислотным обработкам на скважинах Средне-Макарихинского
месторождения дает преставление о роли этого метода в интенсификации добычи
нефти. Для кислотных обработок применяли нефтекислотные эмульсии (соляная
кислота 15% + нефть). Так как в обрабатываемых скважинах проявления
асфальтено-смоло-парафиновых отложений, то помимо нефтекислотной эмульсии в
скважины закачивали органический растворитель СНПХ-7р14 для удалений этих
отложений в НКТ и пласте. Знание состава и объема закачанной в пласт смеси дало
возможность сделать расчеты по двум направлениям: определение радиуса
проникновения смеси в пласт; определение изменения пористости после реакции
кислоты с породой.
Скважина №740 эффективная толщина = 44,4 метров. Объем и состав
закачиваемой смеси 53,28 м3 15%-ной HCL +17,6 м3 нефти и
5м3 СНПХ - 7р14. Эту смесь продавили нефтью в пласт. Зная объем
закачиваемой смеси (Vзак.=75,88 м3)
можно найти радиус проникновения этой смеси в пласт (Rпр).
Rпр=
(3.30)
Чтобы
найти пористость, нужно знать, какой объем породы растворился при
взаимодействии HCL. Для этого нам нужно знать растворяющую способность нашего
15%-ного раствора кислоты.
Запишем
в количественных соотношениях реакцию соляной кислоты с известняком
HCL+
СаСО3= CaCL2+ H2O + СО2
(1+35.5)+40+12+3*16=40+2*35,5+2*1+16+12+32
Таким
образом при взаимодействии с известняком 73 грамма чистого HCL, при полной ее
нейтрализации растворяется 100г известняка.
Известно,
что 1 литр 15%-ного раствора содержит 162 грамма чистой HCL. Следовательно, для
растворения одного килограмма известняка потребуется: 730/162 = 4,5 литра
раствора.
Значит
для растворения 1 кг. известняка 4,5·10-3м3 раствора. Так
как мы закачали 53,28 м3 15%-ной HCL, то значит она растворила:
,28
/ 4,5·10-3 = 11840 кг. СаСО
Плотность
нашей породы = 2,23 г/см3
Значит
наша кислота растворила:
кг
/ 2230 кг / м3 = 5,31 м3 породы.
Изменение
пористости найдем по формуле (3.4):
(3.31)
Пористость
увеличилась в
Рисунок
3.1 - Пористость до и после СКО
3.5
Анализ эффективности проведенных СКО
Рассмотрим
таблицу с данными по проведенным СКО на Среднема-Марихинском месторождении.
Таблица
3.1 - Сведения о скважинах, в которых была проведена СКО
|
скважина
|
Толщина пласта
|
Результаты до СКО
|
СКО
|
Результаты после СКО
|
|
|
дебит, м3/сут
|
диаметр штуцера, мм
|
Обводненность,%
|
объем смеси HCL, м3
|
концентрация, %
|
давления закачки, Рзак
|
дебит, м3/сут
|
диаметр штуцера, мм
|
Обводненность,%
|
|
21
|
13,6
|
5
|
5
|
19
|
2
|
10
|
140
|
7
|
5
|
20
|
|
8
|
12,8
|
5,5
|
5
|
10
|
4
|
10
|
70
|
5,7
|
5
|
10
|
|
31
|
15,6
|
6,0
|
5
|
-
|
5
|
15
|
140
|
8,3
|
5
|
-
|
|
15
|
14,2
|
6,2
|
5
|
9
|
2
|
15
|
70
|
6,5
|
5
|
9
|
|
9
|
12,8
|
5,4
|
5
|
24
|
3
|
16
|
60
|
6,3
|
5
|
28
|
В 2005 году на Средне-Макарихинском месторождении было проведено 5
кислотных обработок добывающих скважин, на которых был получен положительный
эффект, т.е. увеличение скважинной продукции от 3 до 30 %, причем только в
скважине №31 проведение кислотной обработки привело к увеличению дебита
жидкости на 30 %, при этом обводненность скважинной продукции не изменилась.
Рисунок 3.2 - Эффективность солянокислотных обработок скважин
3.6 Выводы и рекомендации
В данном курсовом проекте был сделан расчет требуемого количества кислоты
и концентрации для проведения СКО, расчет радиуса проникновения кислоты и
объема растворенной породы. Проанализировав результаты проведенных СКО на
скважинах Средне-Макарихинского месторождения можно предположить, что дебит
рассматриваемой в проекте скважины может увеличиться после проведения СКО на 20
% или более процентов. Чтобы повысить эффективность СКО, можно порекомендовать
увеличить глубину проникновения раствора в пласт. Увеличение глубины
проникновения достигается повышением концентрации HCL в исходном растворе и скорости закачки. Но у этих
методов имеются отрицательные стороны. Повышение концентрации вызывает коррозию
металла и оборудования. Увеличение скорости закачки ограничивается
приемистостью скважины и мощностью применяемого насосного оборудования.
4. ТЕХНИКО-ЭКОНОМИЧЕСКОЕ ОБОСНОВАНИЕ ПРОВЕДЕНИЯ
СОЛЯНОКИСЛОТНОЙ ОБРАБОТКИ
Средний
дебит исследуемой скважины составляет 12,5 т/сут, после проведения СКО дебит
ожидается около 15 т/сут. Следовательно, дополнительно добытой нефти получаем
2,5 т/сут. Если принять, что одна тонна нефти на мировом рынке стоит примерно
12000 рублей и чистая прибыль предприятия составляет 10%, то, дополнительная
прибыль от проведения СКО в год составит 
рублей.
Это сумма превосходит стоимость проведения СКО, следовательно предприятию
выгодно проводить кислотную обработку на скважинах с карбонатными коллекторами.
ЗАКЛЮЧЕНИЕ
В первом разделе (геолого-промысловая характеристика
Средне-Макарихинского месторождения) описывается сведения о месторождении,
геологическое строение месторождения и залежей, а так же характеристика
продуктивных коллекторов, вмещающих пород и покрышек.
Второй раздел (состояние разработки Средне-Макарихинского месторождения)
включает в себя характеристику проектных документов, динамику фонда скважин,
динамику технологических показателей.
В третьем разделе (Проектирование солянокислотной обработки скважины на
Средне-Макарихинском месторождении) описывается классификация методов
воздействия на призабойную зону скважин, а так же подготовка скважин к
обработке, технология проведения кислотных обработок, расчет радиуса
проникновения кислоты и объема растворенной породы, сделаны выводы и даны
рекомендации.
Четвертый раздел включает в себя технико-экономическое обоснование проведения
соляно-кислотной обработки.
1. Бойко, В.С. Разработка и эксплуатация
нефтяных месторождений [Текст]: учеб. для вузов. - М.: Недра, 1990.- 427 с.
2. Игнатов, А. В. Отчет пробной
эксплуатации скважин Средне-Макарихинского месторождения [Текст]: отчет / Ю. В.
Зайнулин, О. А. Ботвиновская, И. С. - Уфа: РН-УфаНИПИнефть, 2005. - 163 с.
3. Мищенко, И.Т. Скважинная добыча нефти
[Текст]: учеб. пособие для вузов / И.Т. Мищенко. - М.: ФГУП Изд-во «Нефть и
газ», 2003. - 816 с.
4.
Мордвинов, А. А.
Курсовое проектирование по скважинной добыче нефти [Текст]: методические
указания / А. А. Мордвинов. - Ухта: УГТУ, 2005. - 12 с.