Обработка материалов теодолитной съемки
Реферат
Цель курсовой работы - закрепление полученных во
время лабораторных занятий знаний, приобретение навыков по обработке материалов
теодолитной съёмки.
Во время выполнения работы закрепляются
полученные знания и приобретаются навыки по: технологии работ горизонтальной
съемки местности и камеральной обработке полученных результатов; увязке углов и
приращений координат в теодолитных ходах определению углов и линий из
результатов измерения в теодолитных ходах, измерению площади по плану, решению
обратной геодезической задачи определению углов и линий из результатов
измерения в теодолитных ходах, вычислению приращений координат, нанесению точек
местности по координатам и ситуации по абрисам съёмки, по измерению площадей
различными методами
Курсовая работа состоит из разделов:
Обработка полевых материалов теодолитной съемки
Составление плана в масштабе 1: 10000 по румбам
и координатам
Определение площадей графическим, аналитическим
и механическим способами
Выполнение УИРС по вычислению геодезических данных
(углов и длин линий) проектного хода
Съемки, измерению площадей различными методами.
В ходе выполнения работы часто встречаются
понятия:
Масштаб - отношение длины линии на плане к
горизонтальному проложению на местности;
Дирекционный угол - горизонтальный угол,
отсчитываемый от северного направления осевого меридиана по ходу часовой
стрелки до направления данной линии;
Румб - горизонтальный угол, отсчитываемый от
ближайшего направления меридиана (северного или южного) до направления данной
линии;
Горизонтальное проложение - проекция линии
местности на горизонтальную плоскость;
Приращения координат - ортогональная проекция
горизонтального проложения линии на оси координат.
Обработка материалов и составление плана
теодолитной съёмки укомплектовано в курсовой работе, курсовая работа содержит
25 страниц, включает в себя 2 рисунка, 7 таблиц, 4 приложений. В ней были
определены координаты пунктов полигона, и площадь отдельных угодий находящихся
в его пределах. Составили план теодолитной съёмки в масштабе 1:10000. По
индивидуальному заданию были определены направления и длины линий проектного
хода.
ВВЕДЕНИЕ
Геодезия - наука, изучающая форму и размеры
поверхности Земли или отдельных её частей путём измерений, вычислительной
обработки их, построения карт, планов, профилей, которые используют при решении
инженерных, экономических и других задач.
В задачи геодезии входит изучение методов:
) измерений линий и углов на поверхности земли,
под землёй, над землёй с помощью специальных геодезических приборов;
) вычислительной обработки результатов измерений
и создания цифровых моделей местности, с использованием
электронно-вычислительной техники;
) графических построений и оформления карт,
планов и профилей с использованием машинной графики;
) использования результатов измерений и
графических построений при решении задач промышленного, сельскохозяйственного,
транспортного, культурного строительства, научных исследований,
землеустройства, земельного и других кадастров.
Процесс полевых измерений, которые производятся
в целях получения карт, планов и профилей, называется съёмкой. В зависимости от
применяемых приборов различают виды съёмок: эккерные, буссольные, теодолитные,
мензульные, тахеометрические, аэрофотосъёмки, фототеодолитные, глазомерные и
полуинструментальные.
Теодолитная съёмка, как и съёмки других видов,
является полевой работой, при выполнении которой сначала создаётся съёмочная
геодезическая сеть, а затем производится съёмка ситуации.
Цель курсовой работы - закрепление полученных
знаний и приобретение навыков по обработке материалов теодолитной съёмки.
При выполнении курсовой работы были решены
следующие вопросы:
) составление схемы ходов;
) вычисление горизонтальных углов и длин линий
между точками хода;
) вычисление горизонтальных проложений;
) вычисление недоступного расстояния;
) решение обратных геодезических задач по линиям
хода;
) обработка ведомостей координат разомкнутых
ходов;
) обработка проектного хода;
) нанесение точек съёмочного обоснования по
координатной сетке;
) нанесение ситуации на план;
) вычисление площадей аналитическим способом;
) вычисление площадей планиметром;
) расчёт координатной сетки для построения плана
К курсовой работе на тему: «обработка материалов
и составление плана участка теодолитной съёмки»
Курсовая работа должна содержать следующие
основные разделы:
обработка результатов полевых измерений;
обработка ведомостей вычисления координат;
вычисление площадей;
учебно-исследовательская работа.
А также приложения:
Приложение А - журнал измерения углов;
Приложение Б - ведомость вычисления координат;
Приложение В - план теодолитной съёмки;
Приложение Г - ведомость вычисления площадей.
Исходные данные приведены в таблице 1 и
приложении А.
Таблица 1 - Данные базисных линий (1-2; 4-5)
|
№
пункта
|
Координаты,
м
|
Дирекционный
угол
|
|
X
|
Y
|
|
|
1
|
7900,00
|
5600,00
|
48º44'
|
|
2
|
8322,32
|
6081,28
|
|
|
4
|
9265,62
|
7060,61
|
139º52'
|
|
5
|
8667,44
|
7564,92
|
|
Выполнение курсовой работы делится на следующие
этапы:
подготовительный (необходимо изучить
рекомендуемую литературу);
основной - составление плана по результатам теодолитной
съёмки;
заключительный - оформление пояснительной
записки, расчётно-графического раздела, подготовка к защите.
Глава 1.
ОБРАБОТКА РЕЗУЛЬТАТОВ ПОЛЕВЫХ ИЗМЕРЕНИЙ
1.1 СОСТАВЛЕНИЕ СХЕМЫ ХОДОВ
Схему теодолитных ходов составляют на первой
странице журнала измерений углов, на ней указывают пункты, с которых
производятся измерения углов, так же отмечают измеренные углы и базисные линии.
1.2 ВЫЧИСЛЕНИЕ ГОРИЗОНТАЛЬНЫХ УГЛОВ
И ДЛИН ЛИНИЙ МЕЖДУ ТОЧКАМИ ХОДА
По полученным, из журнала измерений углов (приложение
Б), данным проверяем расхождения значений каждого угла в полуприёмах, которое
не должно превышать 1', и рассчитываем среднее его значение.
(1)
где 
- углы, измеренные при круге вправо
и влево соответственно

,
Производим расчёт, средних длин,
линий между пунктами хода:

, (2)
где 
- расстояния измеренные лентой прямо
и обратно :
Проверяем расхождения результатов
двойного измерения линии, которые не должны быть больше 1/2000 от средней длины
линий.

, (3)
где 
=
.
1.3 ВЫЧИСЛЕНИЕ ГОРИЗОНТАЛЬНОГО
ПРОЛОЖЕНИЯ ЛИНИИ 8-1
Определяем горизонтальные проложения
для линий хода, уклон которых составляет более 2º. В данном
проекте только одна линия 2-го хода 1-8 расположена под углом >2º. 

, (4)

, (5)
где 
- уклон местности

,

,
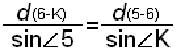
1.4 ВЫЧИСЛЕНИЕ НЕПРЕСТУПНОГО
РАССТОЯНИЯ ДЛЯ ЛИНИИ 5-6
Расстояние, недоступное для
измерения лентой, определяем косвенным методом, путем решения треугольника в
котором известен базис и все углы. В решении поставленной задачи используем
теорему синуса:
, (6)
Из (6) получаем 
,

,

,

, (7)

, (8)
где 
.
Из расчётов (7,8) получаем
расстояние, недоступное для измерения лентой, 
=1004,41 м.
1.5 РЕШЕНИЕ ОБРАТНОЙ ГЕОДЕЗИЧЕСКОЙ
ЗАДАЧИ ПО ЛИНИЯМ 1-2 И 4-5
Решая обратную геодезическую задачу
найдём длину линии (горизонтальное проложение) и значение дирекционного угла.
∆Х(1-2)=Х2-Х1 ∆Х(4-5)=Х5-Х4
∆Y(1-2)=Y2-Y1 ∆Y(4-5)=Y5-Y4
∆Х, ∆Y-приращения
координат, указывающие на направление линии. Знак укажет на принадлежность
направления.
∆Х(1-2)=8322,32-7900 = 422,32 ∆Х(4-5)
= 8667,44-9265,62 = - 596,18
∆Y(1-2)=6081,28-5600 = 481,28 ∆Y(4-5)
= 7564,92-7060,61 = 504,31
Найдём значение тангенса румба:
(r) =│∆Х/∆Y│
tg (r)1-2 = │422,32/481,28│=
0,877493351; (r)4-5 = │ 504,31/-596,18│=0,845902244
От известного тангенса перейдём к
румбу:
r= arctg (│∆Х/∆Y│)r(1-2)
=48°44´;
r(4-5)
= 40°08´;
По формулам связи, в зависимости от
названия румба переходим к значению дирекционного угла:
= α1=180° - α 2= α 3 -
180°=360° - α
4
α 1-2 = r(1-2) =48°44´ α 4-5 =180
- 40°08´= 139°52´;
По известным приращениям и румбам
найдём горизонтальные проложения:
=
│∆Х│ /cos(r); d2 = │∆Y│/sin(r);
Все
результаты рассчётов заносим в ведомость вычисления координат.
Вывод:
в первой главе мы составили схему ходов, вычислили значения горизонтальных
углов и длин линий между точками хода, вычислили горизонтальное проложение с
углом наклона и непреступное расстояние, выполнили обратную геодезическую
задачу для линий 1-2 и 4-5.
ГЛАВА
2. ОБРАБОТКА ВЕДОМОСТЕЙ ВЫЧИСЛЕНИЯ КООРДИНАТ И СОСТАВЛЕНИЕ ПЛАНА ТЕОДОЛИТОНЙ
СЪЁМКИ
.1
ОБРАБОТКА ВЕДОМОСТЕЙ ВЫЧИСЛЕНИЯ КООРДИНАТ ОСНОВНОГО ХОДА
Вычислительная
обработка теодолитных ходов выполняется с целью получения координат точек этих
ходов, по координатам, дирекционным углам и горизонтальным проложениям базисных
линий. В данной работе обрабатывали три хода из них: 2 хода (пп1-пп2-3-пп4-пп5;
пп4-пп5-6-7-8-пп1-пп2) 1-го порядка и один ход (8-пп1-а-б-6-7) 2-го порядка
(диагональный ход). Чем больше ходов и полигонов образуется совместно, тем
сложнее вычисления.
В
первую очередь составляется схема ходов, в неё заносят измеренные значения углов
и длин линий, особо отмечают пункты геодезических сетей с известными
координатами, к которым привязаны теодолитные ходы, линии привязки, исходные
дирекционные углы, координаты пунктов, примычные углы.
Определяем
теоретическую сумму углов для каждого хода по формуле:
где

, 
- начальный и конечный дирекционные
углы,- число углов в ходе, включая примыкающие.
Ход
1
Ход
2
Суммируя
значения всех углов определяем практическую сумму в каждом ходе:
Ход
1
Ход
2
В
каждом разомкнутом ходе вычисляем невязку по формуле:
ход
1
fβ
= - 0º01´
ход
2
fβ
= - 0º01,5´
Вычисленную
невязку в сравниваем с допустимой, рассчитанной в ходе:
fβдоп = 1´·√n,
где n - число углов в ходе, включая примычные.
ход
1 fβдоп = 1´·√3 =
0º01,7´
ход
2
fβдоп = 1´·√5 =
0º02,2´
Все
невязки считаем допустимыми т.к. они удовлетворяют условию fβ < fβдоп. Далее
распределяем их по углам с обратным знаком поровну с округлением до 0,5'. При
этом в первую очередь исправляем углы образованные более короткими сторонами. Для
контроля вычислений рассчитываем сумму исправленных углов в каждом ходе и
сравниваем её с теоретической суммой углов, полученной раннее. Таким образом,
после увязки углов fβ
=
0 . Исправленные углы заносим в ВВК.
По
дирекционному углу начальной базисной линии в каждом ходе и по увязанным углам
вычисляем дирекционные углы всех сторон каждого хода (с контролем по
дирекционному углу конечной стороны каждого хода) по формуле:

(15)
вычисленные
дирекционные углы заносим в ВВК.
Определяем
приращения координат по формулам:

, (16)

. (17)
Вычисляем
невязки в приращениях разомкнутых ходов по осям X и Y по формулам:
где


- практические суммы приращений по
осям координат;

- координаты начальных и конечных
исходных пунктов теодолитных ходов.
Вычислив
невязки в приращениях разомкнутых ходов по осям X и Y, записываем в таблицу 2
полученные данные.
В
периметре каждого хода определяем абсолютные линейные невязки по формуле:
Результаты
заносим в таблицу 2:
Таблица
2 - Невязки в приращениях разомкнутых ходов, абсолютные линейные невязки в
периметре
|
№
ход
|
|
|
fS
|
|
1
|
-0,04
|
0,35
|
0,35
|
|
2
|
-0,58
|
0,89
|
1,06
|
Относительные невязки считаем
допустимыми т.к.
<1/2000 для ходов 1-го порядка и

<1/1500 для хода 2-го порядка.
Увязываем приращения координат,
путём введения поправок. Из формул (21) и (22) определим их значения.
где 
- длина линии хода.
Рассчитав поправки для каждого
горизонтального проложения, составляем для них сводную таблицу:
Таблица 3 - Значения поправок
|
Линия
|
|
|
|
Ход
1
|
|
2-3
|
+0,02
|
-0,26
|
|
3-4
|
+0,02
|
-0,32
|
|
Ход
2
|
|
5-6
|
+0,14
|
+0,21
|
|
6-7
|
+0,14
|
+0,22
|
|
7-8
|
+0,15
|
+0,23
|
|
8-1
|
+0,15
|
+0,23
|
Суммы исправленных приращений координат в
разомкнутых ходах по каждой оси удовлетворяют условию: ∑∆Хиспр =Хк
- Хн;∑∆Yиспр = Yк - Yн. Исправленные приращения заносим в ВВК. По
координатам начальных точек ходов и увязанным приращениям, вычисляем координаты
всех точек ходов по формулам:
Хпослед = Хпред+∆Хиспр
(23)
Yпослед = Yпред+∆Yиспр . (24)
В результате последовательного
вычисления координат вершин разомкнутых ходов, были получены известные
координаты их конечных точек. Координаты всех пунктов записываем в ВВК на чём и
завершается обработка ведомостей вычисления координат разомкнутых ходов.
2.2 ОБРАБОТКА ДИАГОНАЛЬНОГО ХОДА НА
ПРИМЕРЕ ОСНОВНОГО
Вычислительная обработка
диагонального хода проводится аналогично по примеру основного.
Определяем теоретическую сумму углов
для каждого хода:
Суммируя значения всех углов
определяем практическую сумму в каждом ходе:
В каждом разомкнутом ходе вычисляем
невязку:
fβ = - 0º00,5´
Вычисленную невязку сравниваем с
допустимой, рассчитанной в ходе:
fβдоп = 1´·√4 =
0º02´
fβ < fβдоп данное
условие выполнено, невязку считаем допустимой.
По дирекционному углу начальной
базисной линии в каждом ходе и по увязанным углам вычисляем дирекционные углы
всех сторон каждого хода (с контролем по дирекционному углу конечной стороны
каждого хода) по формуле:
вычисленные дирекционные углы
заносим в ВВК.
Определяем приращения координат по
формулам:

,

.
Вычисляем невязки в приращениях
разомкнутых ходов по осям X и Y по формулам:
где 

- практические суммы приращений по
осям координат;
Вычислив невязки в приращениях
разомкнутых ходов по осям X и Y, записываем в таблицу 4 полученные данные.
В периметре каждого хода определяем
абсолютные линейные невязки по формуле:
Результаты заносим в таблицу 3:
Таблица 4 - Невязки в приращениях
диагонального хода, абсолютные линейные невязки в периметре
|
№
ход
|
|
|
fS
|
|
Диагональный
ход
|
0,66
|
0,64
|
0,92
|
Относительные невязки считаем допустимыми
т.к. 
<1/1500 для хода 2-го порядка.
Увязываем приращения координат,
путём введения поправок. Из формул (21) и (22) определим их значения.
где 
- длина линии хода.
Рассчитав поправки для каждого
горизонтального проложения, составляем для них сводную таблицу:
Таблица 5 - Значения поправок
|
Диагональный
ход
|
|
Линия
|
|
|
|
1-а
|
-0,17
|
-0,17
|
|
а-б
|
-0,25
|
-0,24
|
|
б-6
|
-0,24
|
-0,23
|
Суммы исправленных приращений координат в
разомкнутых ходах по каждой оси удовлетворяют условию: ∑∆Хиспр =Хк
- Хн;∑∆Yиспр = Yк - Yн. Исправленные приращения заносим в ВВК. По
координатам начальных точек ходов и увязанным приращениям, вычисляем координаты
всех точек ходов по формулам:
Хпослед = Хпред+∆Хиспр
(23)
Yпослед = Yпред+∆Yиспр . (24)
В результате последовательного
вычисления координат вершин разомкнутых ходов, были получены известные
координаты их конечных точек. Координаты всех пунктов записываем в ВВК на чём и
завершается обработка ведомостей вычисления координат разомкнутых ходов.
2.3 РАСЧЁТ КООРДИНАТНОЙ СЕТКИ ДЛЯ
ПОСТРОЕНИЯ ПЛАНА
Данный расчёт состоит из следующих
этапов:
Определение размеров плана полигона
Расположение полигона на формате
Расчёт расстояния от края плана
полигона до линий сетки кратных 1000м
Размер плана полигона рассчитывается
по формуле:

, (25)

, (26)
где 
- максимальные и минимальные
координаты вершин полигона

,

,
Полигон располагают так, чтобы 
, а 
(рисунок 2)

, (27)

, (28)

, (29)
∆
,
∆
,

,
Расстояния lx и ly определяем по
формуле:

, (31)

, (32)

,

,
2.4 НАНЕСЕНИЕ ТОЧЕК СЪЁМОЧНОГО
ОБОСНОВАНИЯ ПО КООРДИНАТАМ
По данным из ведомости вычисления
координат (приложение Б) наносим на план точки съёмочного обоснования в
масштабе 1:10000 методом перпендикуляров.
2.5 НАНЕСЕНИЕ СИТУАЦИИ НА ПЛАН
Ситуацию наносят на план после
нанесения теодолитных ходов. В зависимости от способа съёмки контуров ситуации
применяют соответствующие способы их нанесения на план. В данном проекте
применялись три метода съёмки ситуации.
Метод перпендикуляров, заключающийся
в измерении расстояния от начала линии до основания перпендикуляров от
снимаемых точек на линию и длины перпендикуляров. Который главным образом,
нашел своё применение при съёмке р. Оша и места расположения усадьбы.
Метод угловых засечек применили при
съёмке отдельно стоящего дерева, а так же для определения характерного изгиба
дороги. Для обоих объектов, измерения проводили с двух точек теодолитного хода,
путём измерения горизонтальных углов, между направлениями на снимаемые точки, и
линиями теодолитного хода.
Методом полярных координат произвели
съёмку контуров кустарника и озера. Этот метод состоит в том, что с точки
теодолитного хода, принимаемой за полюс, положение каждой из характерных точек
контуров ситуации, определяют парой полярных координат: направлением на точку и
расстоянием до неё.
Таким образом, в данной главе
рассмотрели не только обработку ведомости вычисления координат, результатом
которой есть координаты каждого пункта, а так же различные методы съёмки ситуации
и нанесение её точек на план.
Вывод: во второй главе мы выполнили
обработку ведомости вычисления координат и составили план теодолитной съёмки.
В первую очередь мы обработали
результаты основного и диагонального ходов, рассчитали координатную сетку для
построения плана, нанесли точки съёмочного обоснования по координатам, затем
нанесли ситуацию на план.
ГЛАВА 3. ВЫЧИСЛЕНИЕ ПЛОЩАДЕЙ
.1 ВЫЧИСЛЕНИЕ ПЛОЩАДЕЙ АНАЛИТИЧЕСКИМ
СПОСОБОМ
Площади вычисляют по результатам
измерений линий и углов на местности, с применением формул геометрии, площади
разбивают на простейшие фигуры. Площади больших участков вычисляют по
результатам измерений линий и углов на местности или по их функциям -
приращениям координат, и координатам вершин хода. Вычисление площадей аналитическим
способом в данном проекте заключается в расчёте площади многоугольника,
вершинами которого являются пункты полигона.
где 
- координаты вершин,- номер
вершины.
Данные для вычисления координат
сводим в таблицу
Результат переводим в гектары.
P=351,67 Га
3.2 ВЫЧИСЛЕНИЕ ПЛОЩАДЕЙ МЕХАНИЧЕСКИМ
СПОСОБОМ (ПЛАНИМЕТРОМ)
.2.1 ВЫЧИСЛЕНИЕ ЦЕНЫ ДЕЛЕНИЯ
ПЛАНИМЕТРА
Планиметр - механический прибор,
который путём обвода плоской фигуры любой формы определяет её площадь, наиболее
распространены полярные планиметры с одним или двумя счётными механизмами.
Установив планиметр в рабочее
положение, берём отчёт n1, обводим контур с известной площадью (квадрат
координатной сетки, Р=100 Га т.к. стороны квадрата равны 1000м) записываем
значение n2, повторив операцию, получим n3. Должно соблюдаться соотношение:
Выбираем среднее значение 
из 
и 
, определяем площадь, приходящуюся
на единицу планиметра (цену деления планиметра):

, (34)
где 
- площадь квадрата координатной
сетки.
Из расчётов получаем, что для
планиметра цена деления (С) составляет 0,089526 Га при длине рычага 137 мм. Для
удобства вычисления принимаем цену деления планиметра за С=0,1; тогда
R1/R2=C1/C2,
Откуда R2= (C1/C2) R1,
=(0,1/0,089526)137=153,0.
Устанавливаем на планиметре вычисленную
длину рычага, в дальнейшем это преобразование значительно упростит вычисления
площадей контуров.
3.2.2 ВЫЧИСЛЕНИЕ ПЛОЩАДЕЙ УГОДИЙ
ПЛАНИМЕТРОМ
Площади контуров
сельскохозяйственных угодий определяют главным образом планиметром, а в
частности двумя обводами при одном положении полюса.
Рконтура=С(n2-n1),
где n2,n1-отсчёты планиметра,
С-цена деления планиметра.
Площади узких контуров, таких как
дороги, вычисляют как площади прямоугольников, у которых длину определяют по
плану, а ширину измеряют на местности. Для уменьшения невязки в сумме площадей
контуров при сравнении её с общей площадью участка, площади узких и вкрапленных
контуров включают в площади соседних угодий или же угодий, в которые они
вкраплены.
где р - относительная цена деления
планиметра,- число контуров,
М - знаменатель численного масштаба
плена,
Р - площадь участка в гектарах.
Вычисленную невязку считаем
допустимой т.к. она удовлетворяет условию

, (0,47 ≤
1,1). Далее
вычисленную невязку приближённо проверим по равенству (36)

и распределим пропорционально
площадям угодий.
Произведя расчёт площади полигона
аналитическим способом, и при сравнении её с суммой площадей, измеренных
планиметром, было установлено, что невязку можно считать допустимой. После чего
невязку распределили по угодьям, пропорционально их площади.
3.2.3 СОСТАВЛЕНИЕ ЭКСПЛИКАЦИИ И УВЯЗКА
ПЛОЩАДЕЙ
Невязка площадей находится
аналогично угловой и линейной, для этого необходимо из практической суммы
площадей, вычисленной механическим способом, отнять теоретическую сумму,
полученную аналитическим способом.
=∑Рпр-∑Ртеор;=351,2-351,67=
- 0,47
Полученную невязку необходимо
распределить с обратным знаком пропорционально площади контуров:
δ= (fp/Sтеор)Sконтура
|
Контур
|
δ
|
|
Пашня1
|
0,04
|
|
Пашня2
|
0,08
|
|
Луг
с усадьбой
|
0,12
|
|
Выгон
с усадьбой
|
0,1
|
|
Кустарник
|
0,08
|
|
Лес
|
0,04
|
|
Озеро
|
0,01
|
Сумма увязанных площадей фигур должна дать
теоретическую площадь Sтеор.
По данным этой ведомости составляем экспликацию
- таблицу состава земель по угодьям, куда заносим увязанные площади угодий.
Вывод: в третьей главе мы вычислили площади
контуров ситуации аналитическим и механическим способами, рассчитали цену
деления планиметра, после чего выполнили увязку площадей. Результаты работы
занесли в экспликацию.
ГЛАВА 4. УЧЕБНО-ИССЛЕДОВАТЕЛЬСКАЯ
РАБОТА
.1 РЕШЕНИЕ ОБРАТНОЙ ГЕОДЕЗИЧЕСКОЙ
ЗАДАЧИ ПО ДАННЫМ ПРОЕКТНОГО ХОДА
В задании курсовой работы было предложено,
самостоятельно на плане отметить пункты D и F, а далее спроецировать
разомкнутый ход теодолитной съёмки проходящий через выбранные пункты. По
координатной сетке были определенны прямоугольные координаты пунктов D и F, полученные
результаты занесены в таблицу 5.
Таблица 5 - Вспомогательная ведомость вычисления
обратной геодезической задачи
|
№
|
Х
|
Y
|
∆X
|
∆Y
|
tg(r)
|
r
|
cos(r)
|
sin(r)
|
S1
|
S2
|
S3
|
Sсред
|
|
2
|
8322,32
|
6081,28
|
|
|
|
|
|
|
|
|
|
|
|
|
|
-63,32
|
599,72
|
9,47129
|
ЮВ:8358’22’’
|
0,105001
|
0,994472
|
603,04
|
603,05
|
603,05
|
603,05
|
|
D
|
8259
|
6681
|
|
|
|
|
|
|
|
|
|
|
|
|
|
+23
|
603
|
26,217391
|
СВ:8748’56’’
|
0,038117
|
0,999273
|
603,4
|
603,4
|
603,4
|
603,4
|
|
F
|
8282
|
7284
|
|
|
|
|
|
|
|
|
|
|
|
|
|
+385,44
|
280,92
|
0,728829
|
СВ:3605’08’’
|
0,808138
|
0,588993
|
476,95
|
476,95
|
476,95
|
476,95
|
|
5
|
8667,44
|
7564,92
|
|
|
|
|
|
|
|
|
|
|
Решая обратные геодезические задачи, определяем
румбы и длины сторон проектного хода.
где 

r2-D=(6681-6081,28)/(8259-8322,32)=8358'F=(7284-6681)/(8282-8259)=8748'=(7564,92-7284)/(8667,44-8282)=3605'
Определив горизонтальные проложения
для каждой линии хода по формулам (38), (39) и (40) записываем средние значения
в ведомость вычисления координат. Применив формулы связи определяем
дирекционные углы.
Рассчитаем горизонтальные углы
проектного хода (1-2-D-F-5-6).

, (41)

, (42)
Проверка:
βправ=4844'+180 - 9602'=13242'
βправ=9602'+180 - 87 48'=188
14'
βправ=87 48'+180 - 36 05'=231
43'
βправ=36 05'+180 - 184 19'=31
46'
βлев=9602'+180 - 4844'=22718'
βлев=8748'+180- 9602'=17146'
βлев=3605'+180- 8748'=12817'
βлев=18419'+180 - 3605'=32814'
Проверка:

(43)
'+22718'=360
14'+17146'=360
43'+12817'=360
46'+32814'=360
4.2 СРАВНЕНИЕ УГЛОВЫХ И ЛИНЕЙНЫХ
РЕЗУЛЬТАТОВ
.2.1 СРАВНЕНИЕ УГЛОВЫХ РЕЗУЛЬТАТОВ
Таблица 6 - Результаты определения
углов проектного хода
|
№
вершины
|
βизмеренный
|
βвычисленный
|
∆β
|
Допуск
|
|
2
|
13320'
|
13242'
|
038'
|
│∆βmax│
≤ 2 153' ≤ 2
|
|
D
|
18910'
|
18814'
|
056'
|
|
|
F
|
22950'
|
23143'
|
-153'
|
|
|
5
|
3240'
|
3146'
|
054'
|
|
4.2.2 СРАВНЕНИЕ РЕЗУЛЬТАТОВ ДЛИН
ЛИНИЙ
Таблица 7 - Результаты определения длин линий
проектного хода графическим и аналитическим способами
|
№
вершины
|
Длина
линии
|
|
Допуск
|
|
|
|
|
|
|
2
|
|
|
|
│∆Smax│
≤ 3m 2,95 ≤ 3m
|
|
606
|
603,05
|
2,95
|
|
|
D
|
|
|
|
|
|
602
|
603,4
|
-1,4
|
|
|
F
|
|
|
|
|
|
474
|
476,95
|
-2,95
|
|
|
5
|
|
|
|
|
Проведя учебно-исследовательскую работу, были
вычислены углы и длины линий проектного хода, затем, произведя измерения и
сравнив их с вычисленными значениями, установили, что невязки допустимы. При
вынесении проектного хода в натуру расхождения координат точек будут
соответствовать допуску.
ВЫВОДЫ
В первой главе мы составили схему ходов,
вычислили значения горизонтальных углов и длин линий между точками хода,
вычислили горизонтальное проложение с углом наклона и непреступное расстояние,
выполнили обратную геодезическую задачу для линий 1-2 и 4-5.
Во второй главе мы выполнили обработку ведомости
вычисления координат и составили план теодолитной съёмки.В первую очередь мы
обработали результаты основного и диагонального ходов, рассчитали координатную
сетку для построения плана, нанесли точки съёмочного обоснования по координатам,
затем нанесли ситуацию на план.
В третьей главе мы вычислили площади контуров
ситуации аналитическим и механическим способами, рассчитали цену деления
планиметра, после чего выполнили увязку площадей. Результаты работы занесли в
экспликацию.
Проведя учебно-исследовательскую работу, были
вычислены углы и длины линий проектного хода, затем, произведя измерения и
сравнив их с вычисленными значениями, установили, что невязки допустимы. При
вынесении проектного хода в натуру расхождения координат точек будут
соответствовать допуску.
СПИСОК ЛИТЕРАТУРЫ
геодезический экспликация ход угол
1.
Маслов А.В. Геодезия / А.В. Маслов, А.В. Гордеев, Ю.Г. Батраков - М.: Колосс,
2006. - 600 с.
.
Условные знаки для топографических карт масштаба 1:10000. - М.: Геодезиздат, 1956.
- 85 с.
.
Куштин И.Ф. Инженерная геодезия / И.Ф. Куштин, В.И. Куштин - Ростов н/Д.:
Феникс, 2002. - 427 с.
.
Шрифты для проектов и планов карт. - М.: Недра, 1979. - 56 с.
.
Уваров А.И. Методические указания по курсу «Геодезия» / А.И. Уваров, В.С. Сайбель,
Л.С Костецкая - Омск.: Типография ОмГАУ, 1996. - 44 с.