|
№
п/п
|
Нагрузка
|
Подсчет
|
Нормативная
нагрузка, кН/м2
|
Коэффициент
γf
|
Расчетная
нагрузка, кН/м2
|
|
1.
|
Постоянная:
|
|
1.1.
|
ж/б
плита перекрытия
|
gn=2500*0,22*10/103
|
5,5
|
1,15
|
6,325
|
|
1.2.
|
Стяжка
из цементно-песчаного р-ра t=25мм.
|
gn=2000*0,025*10/*103
|
0,5
|
1,35
|
0,675
|
|
1.3.
|
Мастика
клеящаяся t=3мм.
|
gn=600*0.003*10/103
|
0,018
|
1,35
|
0,024
|
|
1.4.
|
Линолеум
t=5мм.
|
gn=1800*0.005*10/103
|
0,09
|
1,35
|
0,121
|
|
Всего:
|
6,108
|
|
7,145
|
|
2.
|
Временная:
|
|
2.1
|
Полезная
|
Таб.3
СНиП 2.01.07-85
|
1,5
|
1,5
|
2,25
|
|
Всего:
|
7,608
|
|
9,395
|
3. Расчёт и конструирование плиты
перекрытия
Исходные данные: рассчитать и сконструировать
многопустотную плиту перекрытия марки ПК63.15. Плита опирается на продольные
несущие стены здания жилого дома. Расчётная равномерно-распределённая нагрузка
на перекрытие q=9.395кН/м2. Плита выполнена из бетона класса С20/25,
армированная арматурными канатами класса S 1400, поперечной арматурой S500, и
монтажной S240.
3.1 Последовательность расчета плиты
. Определить усилия, возникающие в плите от
расчетных и нормативных нагрузок.
. Определение геометрических характеристик
сечения.
. Выписать из норм характеристики прочности
бетона и арматуры.
. Выполнить расчеты плиты по предельным
состояниям первой группы (по прочности).
.1. Рассчитать плиту на действие изгибающего
момента, возникающего от расчетной нагрузки, и подобрать рабочую продольную
арматуру
.1. Рассчитать плиту на действие поперечной силы
и подобрать поперечную арматуру.
.1. Рассчитать полку плиты на местный изгиб и
подобрать сетки для её армирования.
.1. Рассчитать полку на действие изгибающего
момента, возникающего при её подъеме и монтаже, и подобрать монтажную арматуру.
. Сделать арматурный чертеж плиты.
3.2 Выполнение поперечного сечения
плиты
Рис. 2 - Поперечное сечение плиты: 1 - сетка, 2
- каркас, 3 - напрягаемая продольная арматура
3.3 Определение усилий, возникающих
в плите от расчётных и нормативных нагрузок
Рис. 3
Рис. 4
Конструктивная длинна плиты Lk=6.280.
Расчётная длинна панели
м.
Расчетная нагрузка 1 погонный метр панели:= q
(таб.) * B= 9,395 * 1,5 = 14,09 кН/м, где 1,5 - ширина панели
Определение усилий, возникающих в плите от
расчетных нагрузок:
.4 Определение нормативных
характеристик прочности бетона и арматуры
Бетон класса С20/25:
По таб. 6.1. СНБ5.03.01-02 определяем
нормативное сопротивление бетона осевому сжатию 
Коэффициент безопасности по бетону 
(для ж/б
конструкций)
Расчетное сопротивление бетона осевому сжатию 
По таб. 6.1. СНБ5.03.01-02 определяем
нормативное сопротивление бетона осевому растяжению 
Расчетное сопротивление бетона осевому
растяжению 
Модуль упругости бетона 
(таб. 6.2 СНБ
5.03.01-02)
Арматура:
По таб. 6.5 изменения №4 СНБ5.03.01-02
определяем нормативное сопротивление ненапрягаемой арматуры 
По таб. 6.5 изменения №4 СНБ5.03.01-02
определяем расчетное сопротивление напрягаемой арматуры 
По таб. 6.5 изменения №4 СНБ5.03.01-02
определяем расчетное сопротивление поперечной арматуры 
Модуль упругости арматуры 
Передаточная прочность бетона устанавливается
так, чтобы при обжатии отношение напряжений 

≤0,75. 
Предварительное напряжение арматуры с учетом
всех потерь:

= 0,75
=0,75*1200 = 900
МПа.
Допустимые отклонения значения предварительного
напряжения при электрометрическом способе напряжения:= 30+360/l =
30+360/6,20=88,06 МПа, где l=6,2м - длина напрягаемого стержня.
Проверяем выполнение условий:
Условия выполняются.
Расчет по предельным состояниям 1-й группы:
Рис. 5
Определяем геометрические характеристики
сечения. Сечение многопустотной панели приводим к эквивалентному двутавровому
профилю. Круглые отверстия заменяют квадратными с той же площадью, моментом
инерции и положением центра тяжести
Определяем количество пустот:
Заменяем круглые пустоты на квадратные с такой
же площадью. Высота эквивалентного квадрата:
Определяем ширину ребра эквивалентного сечения:
Определяем высоту сжатой полки панели:
Проверяем условие 
:
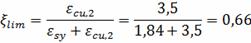
Определяем рабочую высоту сечения: 
.5 Расчет прочности по нормальным
сечениям
Определяем положение нейтральной оси и проверяем
условие:

Условие
выполняется, нейтральная ось проходит в полке, сечение рассчитываем как
прямоугольное. Расчет ведем по альтернативной модели. Полагаем 
=1460мм



=
0.0035/0.0035+1120/200*103=0,625


=



=0.5+
=0.5+
=0,934

Msd/
*fpd*d*
=
*103/0,934*1120*106*1.1*0,88=6.5cm2
Выполняем проверку правильности подбора
арматуры:
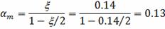
Определяем относительную высоту сжатой зоны
бетона
Определяем несущую способность сечения

- условие
выполняется. Арматура подобрана верно.
3.6 Расчёт прочности по наклонным
сечениям
. Конструирование каркаса
Для поперечного армирования принимаем
конструктивно короткие каркасы, устанавливаемые в приопорных четвертях пролета
панели 0,25L. Каркасы устанавливаются в крайних ребрах и далее через 2-3
пустоты.
В зависимости от диаметра продольной арматуры
назначаем диаметры поперечной арматуры 6 мм.
По сортаменту принимаем площадь 2-х поперечных
стержней для поперечной арматуры 1,01 см2.
Назначаем расстояние между поперечными стержнями
вдоль элемента на приопорных участках и в средней части пролета, учитывая
конструктивные требования.
Назначаем расстояния между поперечными стержнями
элемента
на приопорных участках 110мм.
в остальной части пролета 165мм.
Поперечная арматура Æ8мм..
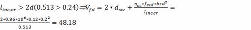
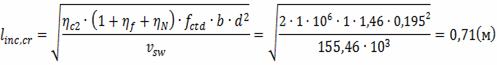
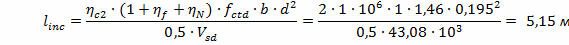
Обеспечение прочности по наклонной трещине
. Определяем длину проекции наиболее опасного
наклонного сечения на продольную ось элемента
Где 
=2, 
=1
. Определяем величину поперечной силы,
воспринимаемой бетоном
. Находим Asw=
cм2
. Определяем усилие в хомутах на единицу длины
элемента для приопорного участка
. Определяем длину проекции опасной наклонной
трещины на продольную ось элемента
7. Определяем поперечную силу воспринимаемую
хомутами


=

= 110,41 кН
. Поперечное усилие, воспринимаемое наклонным
сечением:

= 
110,41 = 142,78 кН
Проверяем условие 
,62кН
142,78 кН -
условие выполняется. Расчёт прочности по наклонной полосе между наклонными
трещинами
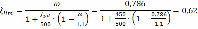
. Определяем коэффициент 
. Определяем коэффициент 
где 
; 
=0,00036
. Находим 
кН
. Проверяем условие 
; 
условие
выполняется. Проверяем необходимость постановки поперечной арматуры по расчёту


0,0002

5,56 кН, но не
менее

=
=113,88 кН.
Принимаем 
113,88 кН
. Проверяем условие, Vsd > Vrd,ct : 64,62>
113,88 кН условие не выполняется, следовательно постановка поперечной арматуры
не требуется, принимаем конструктивно 2 стержня диаметром 8, площадью 1,01см2,
с шагом на приопорных участках 110мм., в остальной части пролета 165мм.
3.7 Расчёт плиты на монтажные усилия
Панель армирована 4 монтажными петлями класса
S240, расположенными на расстоянии 365 мм от концов панели.
Рис. 6 - План панели
. Определяем изгибающий момент с учётом
пластических деформаций
Вычисляем коэффициент
3. Определяем коэффициент

Проверяем условие:

условие выполняется
. Определяем требуемую площадь арматуры на 1м
длинны плиты

см2
Принимаем 8 стержней Ø
7мм.
Площадью As=2,01 см2
3.8 Расчёт плиты на действие
изгибающего момента при подъёме и монтаже
Подъём и монтаж плиты осуществляется за 4
монтажные петли. Расчёт включает подбор монтажной арматуры и определение
диаметра монтажных петель. В качестве расчётной схемы применяется
двухконсольная балка. Расстояние между её опорами принимается равным расстоянию
между петлями для монтажа плиты 0,6L.
Рис. Монтаж плиты перекрытиясв=Gd,пл∙K∙b'f=4,03∙1,4∙1,46=8,237
кН/м2кН
Определяем отрицательный изгибающий момент

кН/м


= 0,001

Определяем требуемую площадь монтажной арматуры
см2
Принимаем 2 стержня Ø4мм
с
см2
Определяем требуемую площадь сечения одной петли
см2
Принимаем Ø5мм
при
см2
Конструирование плиты перекрытия
Многопустотная плита перекрытия запроектирована
в соответствии с рабочими чертежами, утвержденными РУП «Стройтехнорм» от
03,09,2008 г.
Запроектирована плита ПТМ72.15.22-8S1400-2W, с
продольной арматурой класса S1400, поперечной арматурой класса S500 и бетоном
класса С30/37.
Для проектируемой плиты принимаем сетку С1.
Данная сетка запроектирована из продольной рабочей арматуры Ø8
мм с шагом 200 мм; и поперечной арматуры Ø8
мм с шагом 400 мм.
Каркасы устанавливаются конструктивно в крайних
ребрах и далее через 2-3 пустоты. Принимаем каркас для проектируемой плиты Кр1
в количестве 10 штук. с продольными стержнями Ø18 мм.
и поперечными стержнями Ø12 мм.
с шагом 100 мм на приопорных участках.
Также для проектируемой плиты принимаем сетку С2
Данная сетка запроектирована из продольной рабочей арматуры Ø8
мм с шагом 695 мм; и поперечной арматуры Ø8
мм с шагом 400 мм.
Для поднятия и перемещения плиты выполняются 4
монтажные петли Ø5мм. из
арматуры класса S240. Петли выполняются на расстоянии 365 мм. от торцов плиты.
4. Расчет и конструирование перемычки
4.1 Исходные данные
Расстояние окон в свету: 1380мм.
Толщина стены: 590мм.
Расстояние между наружной и внутренней стеной:
16650мм.
Перекрытие в здании выполнено из многопустотной
плиты толщиной 220мм.
Пол: дощатый
Класс бетона: C
Класс продольной арматуры: S500
Класс поперечной арматуры: S400
Подбор элементов перемычки
Перемычка над оконным проемом состоит из 4-х
элементов одинаковой ширины. На внутренний элемент перемычки опираются панели
перекрытия (несущая перемычка). Остальные элементы перемычки несут нагрузку
только от кладки (самонесущие).
Определяем минимальную длину перемычек при
минимальных размерах заделки концов стену:
для несущих:
Принимаем несущую перемычку марки 3ПБ27-8
для самонесущих:
Принимаем самонесущую перемычку марки 2ПБ25-3
Рис. 7
4.2 Определение расчетных усилий
Несущая перемычка воспринимает нагрузку от
половины пролета плиты, от собственного веса перемычки и от кладки (высота
пояса 1290мм.)
Расчетная нагрузка на 1м.п. перемычки от
половины пролета плиты:
Расчетная нагрузка на 1м.п. перемычки от
собственной массы:
Расчетная нагрузка от массы стены:
Общая расчетная нагрузка:
Расчетная длинна перемычки:

Усилия, возникающее в перемычке:

Определение прочностных характеристик бетона и
арматуры
Бетон:
По таб. 6.1. СНБ5.03.01-02 определяем
нормативное сопротивление бетона осевому сжатию 
Расчетное сопротивление бетона осевому сжатию 
По таб. 6.1. СНБ5.03.01-02 определяем
нормативное сопротивление бетона осевому растяжению 
Расчетное сопротивление бетона осевому
растяжению 
Модуль упругости бетона 
Коэффициент безопасности по бетону 
Продольная арматура:
По таб. 6.5 изменения №4 СНБ5.03.01-02
определяем нормативное сопротивление ненапрягаемой арматуры 
Расчетное сопротивление напрягаемой арматуры 
По таб. 6.5 изменения №4 СНБ5.03.01-02
определяем расчетное сопротивление ненапрягаемой арматуры 
Поперечная арматура:
По таб. 6.5 изменения №4 СНБ5.03.01-02
определяем нормативное сопротивление ненапрягаемой арматуры 
Расчетное сопротивление напрягаемой арматуры 
По таб. 6.5 изменения №4 СНБ5.03.01-02
определяем расчетное сопротивление ненапрягаемой арматуры 
4.3 Расчет прочности по нормальным
сечениям




- условие
выполняется
Определяем требуемую площадь поперечного сечения
продольной арматуры:
Принимаем 1 стержня Æ8мм.
Площадью 
=0,503см2
Выполняем проверку правильности подбора
арматуры:
Определяем относительную высоту сжатой зоны
бетона
б. Определяем несущую способность сечения

- условие
выполняется. Арматура подобрана верно.
перекрытие плита конструирование
фундамент
4.4 Расчёт прочности по наклонным
сечениям
. Конструирование каркаса
Назначаем расстояния между поперечными стержнями
элемента
на приопорных участках 100мм.
в средней части пролёта 150
Принимаем продольную арматуру Æ16мм.
Принимаем поперечную арматуру Æ3мм
. 
кН
. 
м.
. 
103
. 
кН
. 
мм.

мм2

м

мм.
При h≤450 мм: s ≤ h/2=110; и не
более 150 мм.
Принимаем S=100мм.
Проверяем прочность:

кН

м.

кН

- условие
выполняется
Конструирование брусковой перемычки
В соответствии с заданием на проектирование
запроектирована брусковая перемычка марки 2ПБ19-3 с классом бетона С16/20.
По расчету принимаем рабочую продольную арматуру
класса S500
Ø2 мм. в верхней части перемычки и Ø6
мм. в нижней части.
Для совместной работы продольной арматуры
конструктивно принимаем поперечную арматуру класса S400
Ø3 мм. с шагом 100 мм. на приопорных участках и
150 мм. с средней части перемычки.
Для поднятия и перемещения перемычки
устанавливаются 2 строповочные петли Ø6 мм.
из арматуры класса S240. Петли располагаются на расстоянии 200 мм. от торцов
перемычки.
5. Расчёт ленточного фундамента под
внутреннюю стену здания
5.1 Исходные данные
Требуется рассчитать ленточный фундамент под
наружную стену 5-ти этажного жилого дома. Кровля скатная, пол - бетонный. Район
строительства - г. Лепель. Уровень грунтовых вод на отметке - 3.9м. Глубина
заложения фундамента d=3,1 м. Грунт - песок мелкий со следующими
характеристиками:
Коэффициент пористости е=0,55;
Удельное сцепление Сп = 4 (по таблице в
приложении ТКП);
Угол внутреннего трения 
= 36⁰(по таблице
в приложении ТКП);
Удельный вес грунта, залегающего выше подошвы
фундамента 
= 18,5 кН/м3;
Удельный вес грунта, залегающего ниже подошвы
фундамента 
= 18,5 кН/м3;

= 1,3;

= 1,3;
Условное расчетное сопротивление грунта
R0=300кПа; My=1,81; Mq=8,24; Mc=9,97; усредненный нормальный удельный вес
материала фундамента и грунта на обрезах = 20кН/м3. Бетон класса С20/25,
арматура класса S400.
.1 Сбор нагрузки на фундамент
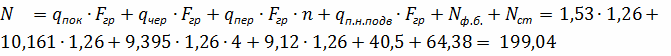
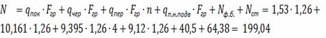
Нагрузка от массы 1 метра погонного стены: от
отметки -0,400 до отметки 17.300
Нст= 0,400+14,500 = 14,9 м.


47,68 ∙ 1,35
= 64,38 

3,15∙0,4 =
1,26 м.Нагрузка от массы 3-х стеновых фундаментных блоков

30 ∙ 1,35 =
40,5 кН/м Полная нагрузка на 1 метр погонный фундамента по обрезу фундаментной
плиты:

кН/м

кН/м
5.2 Определение ширины подошвы
фундамента
Для предварительного определения ширины
фундаментной плиты пользуемся табличными значениями сопротивления грунта (табл.
5.4 ТКП)
Для суглинка пластичного 
Принимаем b= 1 м
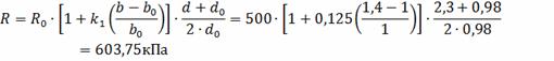
Определяем ширину фундамента при R=603,75 кПа
Принимаем b = 0,8м массой m=1,0 т длиной 2380
мм.
Определяем расчетное сопротивление грунта
основания по формуле:
Определяем нормативную нагрузку по подошве
фундамента с учетом собственной массы фундаментной плиты Рф и массы грунта
Ргр.:
Определяем среднее давление по подошве
фундамента:
Проверяем условие 
Условие выполняется, принимаем ширину
фундаментной плиты b= 0,8 м (масса плиты 1,0 т; длина плиты 2380 мм.)
.3 Расчет тела плитной части
фундамента
Рассчитаем конструкцию фундамента по первой и
второй группе предельных состояний. В качестве материала плиты фундамента
согласно требованиям назначаем бетон С16/20. Толщину защитного слоя бетона
фундаментной плиты принимаем по 6.4.8 как для сборной конструкции с=4,5 см.
Тогда рабочая высота сечения d=0,3-0,045=0,255 м.
Расчет производим на расчетные нагрузки, в то
числе от веса фундамента и грунта на его обрезах, принимая коэффициенты
надежности по нагрузке согласно таблице 1 СНиП 2.01.07.
Давление под подошвой фундамента от действия
расчетных нагрузок определяем по формуле:
Поперечную силу и изгибающий момент в сечении
фундамента у грани стены от отпора грунта определяем по формулам:
5.4 Расчет площади продольной
арматуры плит фундамента
Определяем коэффициенты 
и его граничное
значение 
:

,
где, по таблице 6.1 СНБ 5.03.01, для бетона
С16/20 
,а по таблице Д.1
(см. приложение Д настоящего технического кодекса), 
, К2 =0,416.
Для арматуры S400 при 
:
Так как условие 
выполняется,
находим ŋ:

где 
Тогда требуемая площадь растянутой продольной
арматуры составит:
Принимаем арматуру
10
мм и площадью 
.
5.5 Расчет на продавливание (местный
срез)
Определяем расстояние от низа плиты до центров
тяжести арматуры для каждого направления:

и 
Определяем рабочую высоту фундаментной плиты в
каждом направлении:

и 
Определяем рабочую высоту сечения:
Определяем коэффициенты армирования в обоих
направлениях:

, что меньше 0,02
(минимальное значение коэффициента армирования, регламентированное СНБ 5.03.01).
Тогда расчетный коэффициент армирования 
Определяем значение критического периметра
исходя их длины закругленных секторов l=0,01745rn0=0,584, (где n0 =900
,r=1,5d=0,372 м).

.
Определяем погонную поперечную силу, вызванную
местной сосредоточенной нагрузкой, принимая коэффициент 
так как
эксцентриситет приложения нагрузки отсутствует.
Где 
- местная поперечная
сила с вычетом силы отпора грунта в пределах расчетной критической площади
abcd:
Для бетона класса С 16/20 нормальное
сопротивление бетона сжатию 
и расчетное
сопротивление бетона растяжению (с учетом коэффициента надежности по материалу 
) 
Определяем коэффициент, учитывающий влияние
масштабного фактора,
Определяем погонное усилие, которое может
воспринять сечение при продавливании:
Определяем минимальное погонное усилие, которое
может воспринять сечение при продавливании:
Окончательное погонное усилие, которое может
воспринять сечение при продавливании, составляет
Поскольку значение погонной силы, вызванной
местной сосредоточенной нагрузкой, меньше погонного усилия, которое может
воспринять сечение при продавливании, прочность на продавливание по
критическому периметру обеспечена и поперечная арматура не требуется.
В соответствии с заданием на проектирование
запроектирован ленточный фундамент ФЛ12.24-4 изготовленный из бетона марки
С16/20 и арматуры класса S400.
Фундамент армируется сеткой расположенной в
нижней части плиты. Сетка состоит из продольной рабочей арматуры класса S400
Ø10 мм. и поперечной арматуры класса S400 Ø6
мм.
с шагом 100мм принятым конструктивно.
Для поднятия плиты устраиваются 4 монтажные
петли из арматуры класса S240 Ø6 мм.
Петли располагаются на расстоянии 200 мм от торцов плиты, и 350 мм от боковых
граней.
Литература
1. Берлинов
М.В., Ягупов Б.А. Строительные конструкции. - М.:Агропромиздат, 1990.
2. Павлова
А.И. Сборник задач по строительным конструкциям. - М.:ИНФРА-М, 2005.
. СЕтков
В.И., Сербин Е.П. Строительные конструкции. М.: ИНФРА-М, 2005.
. Веселов
В.А. Проектирование оснований и фундаментов. - М.: Стройздат, 1990.
. Методическая
инструкция. Курсовое проектирование. - Гомель: УО ГГДСТ, 2005.
. ГОСТ
21.501-93. Правила выполнения архитектурно-строительных чертежей.
. ГОСТ
21.101-93. Основные требования к рабочей документации.
. СНБ
5.01.01.-99. Основания зданий и сооружений.
. СНБ
5.03.01.-02 Бетонные и железобетонные конструкции.
. СНБ
2.04.01-97. Строительная теплотехника.
. СНиП2.01.07-85.
Нагрузки и воздействия.