Фармацевтический анализ производных тиоамида изоникотиновой кислоты

  • Вид работы:
    Курсовая работа (т)
  • Предмет:
    Медицина, физкультура, здравоохранение
  • Язык:
    Русский
    ,
    Формат файла:
    MS Word
    405,45 Кб
  • Опубликовано:
    2012-11-12
Вы можете узнать стоимость помощи в написании студенческой работы.
Помощь в написании работы, которую точно примут!

Фармацевтический анализ производных тиоамида изоникотиновой кислоты











Курсовая работа

«Фармацевтический анализ производных тиоамида изоникотиновой кислоты»

Введение

В настоящее время, по данным ВОЗ, треть населения планеты инфицирована туберкулезом. Туберкулез уносит больше жизней, чем любая другая инфекция. Из всех смертей которых можно было бы избежать, 25% составляет смертность от туберкулеза.

Основным принципом химиотерапии больных туберкулезом в России является своевременное назначение противотуберкулезных препаратов. Кроме того, химиотерапия должна быть индивидуальной, контролируемой, комбинированной, длительной, адекватной и регулярной.

Противотуберкулезные препараты (ПТП), применяемые в России:

А - препараты первой категории: изониазид, рифампицин, рифабутин, пиразинамид, этамбутол;

Б - препараты второй категории: фтивазид, стрептомицин, канамицин, амикацин, капреомицин, протионамид (этионамид), циклосерин, ломефлоксацин (максаквин), солютизон (тиацетазон);

В-многокомпонентные препараты с фиксированными дозами: фтизоэтам (изониазид + этамбутол), фтизопирам (изониазид + пиразинамид), трикокс, рифатер, майрин (изониазид + рифампицин + пиразинамид), изопродиан (изониазид + протионамид + дапсон), майрин-П (изониазид + рифампицин + пиразинамид + этамбутол).

Значительное снижение эффективности лечения часто обусловливается развитием устойчивости микобактерий туберкулеза к антибактериальным препаратам. Быстрее всего устойчивость вырабатывается к фтивазиду, медленнее - к стрептомицину и ПАСК. Обнаружение устойчивых БК у вылечившихся туберкулезных больных, т.е. первичная лекарственная устойчивость, наблюдается редко - у 3-6% бациллярных больных, но этот факт имеет большое значение для успеха лечения больных туберкулезом. Приобретенная, или вторичная, устойчивость развивается во время лечения. Для правильного выбора препарата необходимо знать, к каким лекарствам микобактерий туберкулеза устойчивы. Никакое химиотерапевтическое средство не должно применяться одно (монотерапия), так как это облегчает развитие устойчивости, которое ограничивает действие препарата и уменьшает возможность более позднего применения его в комбинации.

Развитие лекарственной устойчивости можно предотвратить комбинированной терапией, что представляет собой основной принцип современной химиотерапии туберкулеза.

Возникновение устойчивости микобактерии туберкулеза к основным противотуберкулезным препаратам и снижение при этом эффективности лечения приводят к необходимости использования препаратов II ряда. Переходить к лечению препаратами II ряда следует только в показанных случаях и применять их в двойной-тройной комбинации друг с другом или с одним из препаратов I ряда.

При плохой переносимости какого-либо из препаратов I ряда, а также длительном лечении можно взамен ввести препарат II ряда, например вместо стрептомицина-циклосерин, рифампицин; ПАСК может быть заменена этамбутолом, тубазид - этионамидом или протионамидом при плохой переносимости первого. Таким образом, возможно одновременное применение различных препаратов I или II ряда и «новых» препаратов в рациональных комбинациях, в соответствии с данными о переносимости их больным и лекарственной чувствительности микобактерии туберкулеза.

Нерационально назначение препаратов одинаковой направленности бактериостатического действия, что связано с развитием перекрестной устойчивости. Она развивается также к этионамиду (протионамиду) и тибону, и, следовательно, если выявлена устойчивость к одному из этих препаратов, применение другого нерационально.

В данной работе рассмотрены резервные противотуберкулезные лекарственный препараты.

Цели работы:

1) определить связь химического строения с фармакологическим действием;

) провести фармацевтический анализ протионамида и этионамида;

) рассмотреть применение данных препаратов и лекарственные взаимодействия.

Наименование, синонимы, химическая формула

Представителями группы производных тиоамида изоникотиновой кислоты являются протионамид и этионамид, которые отличаются друг от друга радикалом в α - положении.

Этионамид (Ethionamide)

Тиоамид α-этилизоникотиновой кислоты, или 2-этил-4-тиокарбамоил-4-пиридин:


Брутто-формула: C8H10N2S

Молекулярная масса: 166,25

Синонимы: Миобит, Региницид, Этид, Amidazin, Athioniamid, Ethioniamide, Etid, Etionizina, Iridozin, Myobit, Nizotin, Reginicid, Thianid, Thionid, Trecator, Trescatyl.

Протионамид (Protionamide)

Тиоамид α-пропилизоникотиновой кислоты, или 2-пропил-тиокарбамоил-4-пиридин:

Брутто-формула: C9H12N2S

Молекулярная масса: 180,26

Синонимы: Петеха, Проницид, Peteha, Prothionamide, Pronicid, Teraplix, Treventix, Trevintix.

Связь структуры с фармакологическим действием

Протионамид и этионамид являются противотуберкулезными препаратами II ряда. Блокируют синтез миколиевых кислот, являющихся важнейшим структурным компонентом клеточной стенки микобактерий туберкулеза, обладают свойствами антагониста никотиновой кислоты. В высокой концентрации нарушают синтез белка микробной клетки. Оказывают бактериостатическое действие (в организме частично превращаются в сульфоксид, обладающий туберкулостатической активностью) в основном на размножающиеся микобактерии туберкулеза Mycobacterium tuberculosis (включая атипичные Mycobacterium avium), на вне- и внутриклеточно расположенные микроорганизмы (в т.ч. на штаммы, устойчивые к изониазиду и стрептомицину). В высоких концентрациях действуют на Mycobacterium leprae. Фармакологическое действие обусловлено скелетом изоникотиновой кислоты и наличием атома серы. Усиливают фагоцитоз в очаге туберкулезного воспаления, что способствует его рассасыванию. Тормозят развитие резистентности к другим противотуберкулезным средствам. Вторичная устойчивость развивается быстро. Между протионамидом и этионамидом существует полная перекрестная резистентность.

За счет замены этильного радикала (С2Н5) в положении 2 на пропильный (С3Н7) протионамид легче переносится.

В кислой среде способны ионизироваться, что объясняет высокую эффективность в очаге воспаления.

Физические свойства

 

Этионамид

Желтый кристаллический порошок со слабым или умеренным запахом серы. Не гигроскопичен. Практически нерастворим в воде и эфире; трудно растворим в этиловом и метиловом спирте, пропиленгликоле; растворим в ацетоне, дихлорэтане; свободно растворим в пиридине. Температура плавления 158-164°С.

Протионамид

Желтый кристаллический порошок без запаха или почти без запаха. Не гигроскопичен. Практически нерастворим в воде и эфире; трудно растворим в этиловом и метиловом спирте, пропиленгликоле; растворим в ацетоне, дихлорэтане; свободно растворим в пиридине. Температура плавления 140-143°С.

Определение подлинности

) ИК-спектроскопия

Устанавливают по ИК-спектрам, сравнивая полосы поглощения и их интенсивность со спектром сравнения или со спектром стандартного образца в области 4000-625 см-1

 

Этионамид [1, 940]

 

Протионамид [1, 597]


) УФ-спектроскопия

УФ-спектры растворов с концентрацией 10 мкг/мл в этаноле в области 230-360 нм имеют максимумы поглощения у этионамида при 290 нм, а у протионамида - при 291 нм. Оптическая плотность при длине волны около 290 нм приблизительно равна 0,42 у этионамида и около 0,78 - у протионамида. В 0,1М растворе хлороводородной кислоты этионамид имеет два максимума поглощения - при 230 и 278 нм.

Этионамид [2, 862]

 

Протионамид [1, 940]


) Реакция щелочного гидролиза (ГФ) с последующей идентификацией продуктов разложения. Выделяющийся аммиак обнаруживают по посинению лакмусовой бумажки.


Образующийся сульфид-ион обнаруживают с помощью раствора нитропруссида натрия (красно-фиолетовое окрашивание)

S2- + [Fe(CN)5NO]2- → [Fe(CN)5NOS]4-

4) Кислотный гидролиз (ГФ)

Нагревают с хлороводородной кислотой, выделяющиеся пары сероводорода окрашивают в черный цвет бумагу, пропитанную ацетатом свинца:

H2S + (CH3COO)2Pb → PbS↓ + 2 CH3COOH

) На третичный атом азота - с лимонной кислотой и уксусным ангидридом образуется красно-фиолетовое окрашивание.


) На пиридиновый цикл (ГФ)



Б) Образование Шиффовых оснований (красного цвета) [6, 81]



) С общеосадительными реактивами (на третичный атом азота)

А) с пикриновой кислотой - образуется оранжевый осадок


Б) с реактивом Драгендорфа в присутствии соляной кислоты - образуется оранжевый осадок


) отличить этионамид от протионамида можно по температуре плавления (ГФ):

Этионамид 158-164°С

Протионамид 140-143°С

Определение доброкачественности

 

На тяжелые металлы. 1,0 г испытуемого вещества растворяют в 10 мл воды, если нужно доводят до нейтральной или слабокислой реакции разведенной уксусной кислотой или раствором едкого натра, прибавляют 1 мл разведенной уксусной кислоты, 1-2 капли раствора сульфида натрия, перемешивают и через минуту сравнивают с эталоном, состоящим из 10 мл 0,00005% раствора свинец-иона и такого же количества реактивов, какое добавлено к испытуемому раствору.

Наблюдение окраски производят по оси пробирок диаметром около 1,5 см, помещенных на белой поверхности.

Окраска, появившаяся в испытуемом растворе, не должна превышать эталон. Содержание тяжелых металлов не более 20 мкг/г.

В сравниваемых растворах допустима лишь слабая опалесценция от серы, выделяющейся из сульфида натрия. [5, 171]

Сульфатная зола. Точную навеску препарата 1,0 помещают в предварительно прокаленный и взвешенный фарфоровый тигель, смачивают 0,5-1 мл концентрированной серной кислоты и осторожно нагревают на сетке или песчаной бане до удаления паров серной кислоты. Затем прокаливают при красном калении до постоянной массы, избегая сплавления золы и спекания ее со стенками тигля. По окончании прокаливания тигель охлаждают в эксикаторе и взвешивают. Допускается не более 1,0 мг/г сухого остатка. [1, 597]

mсух.ост=mнач-mконеч

 

Потеря при высушивании. Точную навеску 1,0 высушивают до постоянной массы при 105°С; потеря не более 5,0 мг/г.

mсух.ост=mнач-mконеч

 

Посторонние примеси (МФ). Проводят испытание, используя в качестве сорбента силикагель, а в качестве подвижной смесь 9 объемов хлороформа. и 1 объема метанола. Для анализа этионамида наносят на пластинку отдельно по 10 мкл каждого из 3 растворов в ацетоне, содержащих (А) 20 мг испытуемого вещества в 1 мл, (Б) 0,10 мг испытуемого вещества в 1 мл и (В) 0,04 мг испытуемого вещества в 1 мл. Для анализа протионамида наносят на пластинку отдельно по 5 мкл каждого из 2 растворов в метаноле, содержащих (А) 50 мг испытуемого вещества в 1 мл и (Б) 0,25 мг испытуемого вещества в 1 мл После извлечения пластинки из хроматографической камеры дают ей высохнуть на воздухе и оценивают хроматограмму в ультрафиолетовом свете (254 нм). Любое пятно, которое дает раствор А, кроме основного пятна, не должно быть более интенсивным, чем пятно, которое дает раствор Б. Для этионамида лишь одно такое пятно может быть более интенсивным, чем пятно, которое дает раствор В. [11, 147]

Протионамид дополнительно проверяют на кислотность.

Кислотность. Растворяют 2,0г испытуемого вещества в 20 мл теплого метанола, добавляют 20 мл воды, охлаждают, встряхивают, пока не начнется кристаллизация, и титруют раствором гидроксида натрия (0,1 моль/л), используя раствор крезола красного в этаноле в качестве индикатора; для достижения среднего значения индикатора (оранжевый цвет) требуется не более 0,2 мл. [11, 300]

Количественное определение

 

Протионамид

1) неводное титрование (ГФ)

Растворяют около 0,45 г. испытуемого вещества (точная навеска) в 30 мл ледяной уксусной кислоты и титруют хлорной кислотой (0,1 моль/л). Каждый миллилитр хлорной кислоты (0,1 моль/л) соответствует 18,03 мг протионамида. fэ=1

Т= = = 0,01803 г./мл

Х=

 

Этионамид

1) неводное титрование (МФ) [11, 158]

Растворяют около 0,15 г. испытуемого вещества (точная навеска) в 50 мл ледяной уксусной кислоты, и титруют хлорной кислотой (0,1 моль/л). Индикатор кристаллический фиолетовый. Каждый миллилитр хлорной кислоты (0,1 моль/л) соответствует 16,62 мг этионамида

fэ=1

Т= = = 0,01662 г./мл

Х=

стадия

II стадия

III стадия

) спектрофотометрия (МФ США)

Точную навеску препарата 250 мг помещают в колбу на 100 мл, растворяют в 100 мл метилового спирта. Из полученного раствора берут аликвоту 10 мл, добавляют 50 мл метилового спирта и определяют оптическую плотность при длине волны 290 нм. Предварительно измеряют оптическую плотность стандартного образца.

= , где

Ax - оптическая плотность исследуемого раствора;

Aст - оптическая плотность стандартного образца;

a - масса навески;

b - разведение;

q - средняя масса таблетки;

Vал - объем аликвоты.

3) фотометрия (патент РФ) [13]

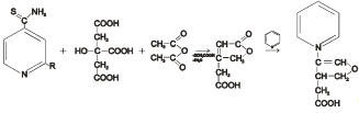
Сущность изобретения: способ экстракционно-фотометрического определения заключается в образовании ионного ассоциата этионамида и кислотного фиолетового антрахинонового красителя, его экстракции хлороформом из кислой среды, разрушении раствором щелочи и последующем измерении оптической плотности освободившегося красителя, количественно эквивалентного количеству этионамида. Прямолинейная зависимость между оптической плотностью исследуемого раствора и количеством препарата находится в пределах 30 - 150 мкг/мл.

Известен способ определения этионамида по реакции с глиоксиматом никеля и роданидом калия. Недостатком его является низкая чувствительность и невысокая точность определения. Наиболее близким к изобретению является способ количественного определения этионамида фотометрическим методом с применением 0,1%-ного пентацианоаминоферроата натрия (ПЦАФ), в котором анализируемая проба растворяется в метаноле и обрабатывается ПЦАФ. Окрашенная смесь фотометрируется при длине волны 550 нм. Недостатком способа является низкая чувствительность, применение труднодоступного, токсического и летучего растворителя метанола, а также то, что способ не позволяет определять этионамид в биологических жидкостях. Целью изобретения является повышение точности и чувствительности определения этионамида, а также расширение области применения. Цель достигается тем, что в способе количественного определения этионамида путем растворения анализируемой пробы в воде, обработки полученного раствора цветореагентом в присутствии универсального буферного раствора с последующей экстракцией хлороформом и фотометрированием в количестве цветореагента используя 0,04%-ный водный раствор количественного фиолетового антрахинонового красителя, обработку им проводят в присутствии универсального буферного раствора при рН 2,5 при соотношении пробы, буферного раствора цветореагента и хлороформа 1:7:2:10 и фотометрируют при длине волны 590 нм водный слой.

Способ осуществляют следующим образом. Для количественного определения этионамида используется стандартный водный раствор, содержащий в 1 мл 0,15 мг этого препарата. В качестве реагента используется 0,04%-ный водный раствор кислотного фиолетового антрахинонового красителя 1-окси - 9,10 - антрахинон-4-амино (мета-толил-сульфокислоты), в кислой среде с этионамидом образующий окрашенный ионный ассоциат, который в той же среды извлекается хлороформом. Для создания определенного рН среды используется универсальная буферная смесь. В хлороформной вытяжке, при обработке раствором щелочи, происходит разрушение ионного ассоциата этионамида и красителя. В щелочной раствор переходит освободившийся краситель, количество которого эквивалентно количеству вступившего с ним во взаимодействие этионамида.

Ионный ассоциат этионамида и реагента в наибольших количествах экстрагируется хлороформом при рН 2,0-3,0. В дальнейших исследованиях использовался раствор универсальной буферной смеси с рН 2,5. Из Для полного образования ионного ассоциата между этионамидом и реагентом необходимо прибавить 1,8-2,2 мл 0,04%-ного раствора кислотного фиолетового антрахинонового красителя. В дальнейших исследованиях прибавляли по 2 мл 0,04%-ного раствора указанного реагента. Было установлено, что для достижения оптимальных условий количественного определения этионамида, основанного на взаимодействии препарата с кислотным фиолетовым антрахиноновым красителем, необходимо брать 1-2 мл раствора этионамида, содержащего в этом объеме от 0,03 до 0,15 мг этого препарата, 7 мл раствора универсальной буферной смеси с рН 2,5, 2 мл 0,04%-ного раствора реагента и 10 мл хлороформа.

Фотометрируют и строят график зависимости оптической плотности исследуемого раствора от количества в нем этионамида, где по горизонтали откладывают количество этионамида С, а по вертикали - значение оптической плотности D.

Пример 1. Определение этионамида в субстанции.

В делительную воронку вносят 1 мл водного раствора этионамида (от 0,03 до 0,15 мг в пробе), прибавляют 7 мл универсальной буферной смеси с рН 2,5, 2 мл 0,04%-ного водного раствора реагента и 10 мл хлороформа. Смесь взбалтывают в течение 3 мин, затем оставляют для разделения фаз на 10 мин. После разделения фаз хлороформный слой переносят в делительную воронку, содержащую 12 мл 0,2 н. раствора гидроксида натрия и встряхивают 10-15 с. После отстаивания фаз отделяют окрашенный щелочной раствор и оптическую плотность окрашенного щелочного раствора измеряют с помощью фотоэлектроколориметра (при использовании светофильтра, который имеет эффективную длину волны 590 ±10 нм, кювета 20 мм). В качестве раствора сравнения берут 0,2 н. раствор гидроксида натрия.

Построение калибровочного графика.

В делительные воронки вносят по 0,2; 0,4; 0,6; 0,8; 1,0 мл стандартного раствора этионамида, в 10 мл которого содержится 0,15 мг препарата. Затем во все делительные воронки прибавляют раствор УБС (рН 2,5) до 8 мл, по 2 мл 0,04%-ного раствора реагента, по 10 мл хлороформа и поступают, как указано выше. Используя полученные значения оптической плотности, строят калибровочный график. Подчиняемость закону Бугера-Ламберта-Бера наблюдается в пределах концентраций этионамида от 0,03 до 0,15 мг/мл. Используя калибровочный график, определяют количество анализируемого препарата. Этот метод можно применять для количественного определения этионамида как в субстанции, так и в драже.

Пример 2. Количественное определение этионамида в драже по 0,25.

Для количественного определения этионамида в драже берут драже и измельчают. Из измельченного драже брали 0,02 (точная навеска), количественно переносят в мерную колбу емкостью 100 мл, растворяют и доводят до метки универсальной буферной смесью рН 2,5. Для анализа берут 1 мл этого раствора, добавляют 7 мл универсальной буферной смеси и 2 мл 0,04%-ного раствора реагента. Далее поступают аналогично примеру 1.

Расчет концентрации этионамида в драже можно производить не только по калибровочному графику, но и по следующей формуле:

x= , где

o - оптическая плотность стандартного раствора;x - оптическая плотность исследуемого образца;

Приготовление стандартного раствора.

0,015 мг субстанции этионамида помещают в мерную колбу на 100 мл и растворяют в 50 мл дистиллированной воды, доводят объем раствора водой до метки. Для анализа берут 1 мл стандартного раствора.

Пример 3. Определение этионамида в биологическом материале.

К 100 г. мелкоизмельченной печени трупа было добавлено 20 мг этионамида и оставлено на сутки при периодическом перемешивании. Исследуемый препарат из печени трехкратно изолировали водой, подкисленной щавелевой кислотой до рН 2,0. Объединенные вытяжки фильтровали через 4-5 слоев марли и центрифугировали. Этионамид из вытяжек экстрагировали хлороформом из щелочной среды (рН 8,0-9,0). Сухие остатки из кислых и из щелочных вытяжек после отгонки хлороформа растворяли в 100 мл универсальной буферной смеси (рН 2,5). Для количественного определения брали 1-2 мл этого раствора и далее поступали, как указано в примере 1. После определения оптической плотности количество выделенного этионамида из биологического материала рассчитывают по калибровочному графику. Примеси, выделенные совместно с этионамидом из биологического материала, не вступают во взаимодействие с реагентом и не мешают определению этионамида, выделенного из биологического материала.

Хранение

Хранят по списку Б, в плотно укупоренной таре, предохраняющей от действия света, в сухом месте, тк подвергаются окислению (за счет наличия атома серы) и гидролизу.

Этионамид хранят при температуре не выше 30°С. Он менее устойчив, чем протионамид. Под действием света темнеет (сера окисляется). Его растворы устойчивы при рН 3-6, в более кислой или щелочной среде он гидролизуется.

Применение

 

Показания: Туберкулез (легочный и внелегочный, в случае непереносимости или неэффективности противотуберкулезных ЛС I ряда, в т.ч. в составе комплексной туберкулостатической терапии).

Этионамид

Быстро и полностью всасывается из ЖКТ. Биодоступность около 100%. Cmax после однократного приема в дозе 500 мг составляет 2,2 мкг/мл и достигается через 1,8 ч. Связывание с белками плазмы низкое (10%). Широко распределяется в большинстве тканей и жидкостей организма, включая печень, почки, селезенку, спинно-мозговую жидкость. Объем распределения - 2,8 л/кг. Концентрации в органах и спинно-мозговой жидкости почти равны концентрации в плазме крови. Метаболизируется в печени до фармакологически активного сульфоксида и неактивных метаболитов. Т1/2 составляет 2-3 ч. С мочой экскретируется 1% неизмененного этионамида, до 5% - в виде активных и остальная часть - в виде неактивных метаболитов.

Протионамид

Быстро всасывается из ЖКТ в кровь при пероральном при¬еме. Биодоступность составляет почти 100%. Пик плазменной концентрации достигается через 1,8 часа. Широко распределяется в большинство тканей и жидкостей организма, включая печень, почки, селезенку. Концентрация препарата в органах и спинномозговой жидкости эквивалентна концентрации в крови. Проходит через плаценту. Связь с белками плазмы низкая - 10%. Т1/2 составляет 2-3 часа. Выводится с мочой.

Противопоказания: Гиперчувствительность, в т.ч. к изониазиду, пиразинамиду, никотиновой кислоте и другим схожим по химической структуре ЛС, острый гастрит, язвенная болезнь желудка и двенадцатиперстной кишки, язвенный колит (Протионамид переносится несколько лушче этионамида и может применяться при заболеваниях желудочно-кишечного тракта (но в фазе ремиссии!), цирроз печени и другие заболевания печени в фазе обострения, хронический алкоголизм, почечная недостаточность, возраст до 14 лет. Противопоказано при беременности. Этионамид проходит через плаценту. В экспериментальных исследованиях на животных (кролики, крысы) продемонстрированы тератогенные эффекты при дозах, превышающих рекомендованные для человека. На время лечения рекомендуется отказаться от грудного вскармливания (неизвестно, проникает ли этионамид в грудное молоко).

Побочные действия

Со стороны нервной системы и органов чувств: неврологические и психические нарушения - головная боль, парестезия, судороги, снижение концентрации внимания, спутанность сознания, сонливость или бессонница, слабость, депрессия, галлюцинации, возбуждение, психоз, периферический неврит, неврит зрительного нерва.

Со стороны органов ЖКТ: анорексия, металлический привкус во рту, стоматит, гиперсаливация, отрыжка с тухлым запахом, тошнота, рвота, боль в эпигастрии, диарея, метеоризм, нарушение функции печени (гепатотоксичность вплоть до развития гепатита).

Со стороны сердечно-сосудистой системы и крови (кроветворение, гемостаз): тахикардия, ортостатическая гипотензия, нарушение кроветворения (тромбоцитопения).

Аллергические реакции: кожная сыпь, крапивница, эксфолиативный дерматит. Прочие: гинекомастия, дисменорея, импотенция, гипотиреоидизм, эпизоды гипогликемии у больных сахарным диабетом, гиповитаминоз B6, снижение массы тела, артралгия, фотосенсибилизация.

Взаимодействие

При использовании одновременно с другими противотуберкулезными средствами проявляется синергизм по отношению к главному действию. При одновременном приеме с циклосерином повышается риск развития нейротоксических эффектов, в частности судорог (особенно у больных, имеющих неврологические заболевания в анамнезе), с изониазидом, рифампицином и пиразинамидом - риск гепатотоксичности. Усиливает токсический эффект алкоголя.

Лекарственные формы

Этионамид драже 250 мг, порошок для инъекций для приготовления внутривенного раствора 500 мг, таблетки покрытые оболочкой 250 мг, порошок для приготовления инфузионного раствора 500 мг, таблетки в оболочке из сахара 250 мг

Производители: Гедеон Рихтер А.О. (Венгрия), Русан Фарма(Россия), Темис Кэмикалс Лтд(Венгрия), Хеми(Индия)

Протионамид драже 250 мг, таблетки покрытые оболочкой 250 мг, таблетки покрытые пленочной оболочкой 250 мг

Производители: Гедеон Рихтер А.О. (Венгрия), Люпин Лтд(Индия), Промед Экспортс Пвт. Лтд(Индия), Русан Фарма(Индия), Симпекс Фарма Пвт, Лтд(Индия), Симпекс Фарма Пвт/упаковано Макиз Фарма (Индия / Россия), Симпекс Фарма Пвт/упаковано Макиз Фарма(Индия), Уфавита(Россия), Фортун Оверсиз Компани Пвт. Лтд, произведено Линкольн Фармасьютикалз Лтд(Индия), Щелковский витаминный завод(Россия)

Способ применения и дозы

Этионамид

Внутрь, через 30 мин после еды, запивая молоком или апельсиновым соком. Взрослым: по 250 мг 3-4 раза в сутки; максимальная суточная доза - 1,0 г; больным старше 60 лет, при массе тела менее 50 кг - по 250 мг 2 раза в сутки. Детям старше 14 лет: суточная доза - из расчета 10-20 мг/кг/сут, но не более 750 мг/сут. Длительность курса лечения - 1-2 года.

Протионамид

Внутрь, после еды. Взрослым: назначают 250 мг 3 раза в день; при хорошей переносимости - по 500 мг 2 раза в день. У больных старше 60 лет и при массе тела менее 50 кг суточная доза не должна превышать 750 мг (по 250 мг 2 раза в сутки). Детям: назначают из расчета 10-20 мг/кг массы тела в сутки.

Меры предосторожности

Перед лечением необходимо исследование ЖКТ и функции печени, а также определение чувствительности выделенного штамма микобактерий. Во время лечения следует каждые 2-4 нед контролировать уровень активности печеночных трансаминаз, проводить офтальмологическое обследование, пациентам с сахарным диабетом - регулярно определять уровень гликемии.

При совместном применении с пиразинамидом необходим более частый контроль функции печени. Совместное применение с протионамидом нецелесообразно из-за наличия перекрестной резистентности микобактерий туберкулеза к этим ЛС. Следует избегать одновременного применения с ЛС, обладающими гепатотоксическим действием. Для предупреждения побочного действия этионамид следует сочетать с никотинамидом (по 0,1 г 2-3 раза в сутки) и витамином В6 (1-2 мл 5% раствора в/м).

На время лечения следует воздержаться от употребления алкоголя. С осторожностью применять водителям транспортных средств и людям, деятельность которых требует повышенной концентрации внимания.

 

Заключение

В данной работе были рассмотрены производные тиоамида изоникотиновой кислоты - протионамид и этионамид, и получены следующие выводы:

) В основе химического стоения лежит скелет тиоизоникотинамида. Лекарственные вещества отличаются только радикалом (R) в α - положении. У этионамида R=C2H5, у протионамида R=C3H7;

) Лекарственные вещества также как и производные изоникотиновой кислоты проявляют противотуберкулезную активность, что обусловлено скелетом изоникотиновой кислоты и наличием атома серы. Оказывают бактериостатическое действие (в организме частично превращаются в сульфоксид, обладающий туберкулостатической активностью);

) По физическим свойствам представляют собой желтые кристаллические порошки (окраска обусловлена наличием атома серы и азота) практически нерастворимые в воде, растворимы в этаноле;

) Подлинность устанавливают по ИК и УФ-спектрам. Также используют химические реакции, основанные на установлении продуктов разложения, и реакции на пиридиновый цикл;

) Посторонние примеси определяют методом ТСХ, проявляя пятна УФ-светом. Также проводят испытания на тяжелые металлы, сульфатную золу, потери при высушивании и кислотность, руководствуясь методиками ГФ и МФ.

) Количественное определение проводят методом неводного титрования, описанным в МФ. Этионамид Фармакопея США рекомендует определять спектрофотометрически, а в РФ разработан патент фотометрического определения;

) Хранят по списку Б, учитывая способность препаратов к окислению и гидролизу;

) Этионамид и протионамид являются препаратами второго ряда при лечении туберкулеза, что связано с их токсичностью и значительными побочными эффектами. Но препараты нашли применение при лечении лекарственно-устойчивого туберкулеза в составе комплексной терапии. Выпускаются в основном в таблетках и драже.

Список использованной литературы

тиоамид изоникотиновый производный химический

1) Moffat A.C Clarke’s isolation and identification of drugs 2nd Edition - London: The pharmaceutical press, 1986. - 1684

) Terry Mills III and J. Conrad Roberson Instrumental Data for Drug Analysis 2nd Edition Volume 2 - New York: Elsevier, 1992. - 1577

3) Великородов А.В, Безуглова Т.В Руководство к лабораторным и семинарским занятиям по фармацевтической химии Астрахань 2007

) Глущенко Н.Н, Т.В Плетнева, В.А Попков Фармацевтическая химия - М.: Издательский центр «Академия», 2004. - 384 с.

) Государственная Фармакопея СССР 10-е издание. - М.: Медицина, 1968.-1081 с.

) Государственная Фармакопея СССР 11-е издание, вып. 1. - М.: Медицина, 1987. - 335 с.

) Джилкрист Т. Химия гетероциклических соединений: Пер. с англ. - М.: Мир, 1996. - 464 с.

) Логинова Н.В, Полозов Г.И Введение в фармацевтическую химию. - Мн.: БГУ, 2003. - 250 с.

) Максютина Н.П, Каган Ф.Е, Митченко Ф.А. - Киев: «Здоров'я», 1978. - 240 с.

) Машковский М.Д Лекарственные средства 14-е издание т. 2 - М.: ООО «Издательство Новая волна»: Издатель С.Б Дивов, 2002. - 608 с.

) Международная фармакопея 3е издание т. 1 Женева 1981

) Международная фармакопея 3е издание т. 3 Женева 1990

) Мелентьева Г.А, Антонова Л.А Фармацевтическая химия - М.: Медицина, 1985. - 480 с.

) Патент Российской федерации 2027170 от 20.01.1995 г.

) Халецкий А.М Фармацевтическая химия Л. - Медицина 1966. - 762 с.

) Эльдерфилд Р. Гетероциклические соединения т. 1 - М.: Издательство иностранной литературы 1953. - 556 с.

) Эшворт М.Р.Ф Титриметрические методы анализа органических соединений. - М.: Химия, 1968.-555 с.

Похожие работы на - Фармацевтический анализ производных тиоамида изоникотиновой кислоты

 

Не нашли материал для своей работы?
Поможем написать уникальную работу
Без плагиата!
Без нейросетей!