Разработка конструкции печатного узла модуля по принципиальной схеме в системе проектирования Diptrace 2.3
СОДЕРЖАНИЕ
ВВЕДЕНИЕ
.
НЕЧЕТКИЕ СИСТЕМЫ. ОСОБЕННОСТИ ИХ ПРОЕКТИРОВАНИЯ
1.1 Теоретические сведения о нечетких системах
.2 Функции принадлежности
.3 Разработка нечетких правил
.4 Дефаззификация (устранение нечеткости)
.5 Описание системы
2. РАЗРАБОТКА ТОПОЛОГИИ ПП ИК ПУЛЬТА ДЛЯ ПК И РОЗЕТОК
2.1 Порядок создания библиотек компонентов в Dip Trace
.2 Создание электрической принципиальной схемы в е Dip Trace
.3 Формирование топологии ПП в системе Dip Trace
.4 Проверка ПП в системе Dip Trace
ЗАКЛЮЧЕНИЕ
СПИСОК
ИСПОЛЬЗУЕМОЙ ЛИТЕРАТУРЫ
ВВЕДЕНИЕ
В наше время очень много электронных узлов изготавливается на
печатных платах, а не навесным методом, как это было в прошлом веке. Это
помогает минимизировать размер электронного узла, сделать его более надёжным.
Сейчас существуют производственные конвейеры, которые автоматически способны за
кратчайшие сроки собирать узлы электронного оборудования на печатной плате. Но
решающим фактором остаётся грамотное проектирование печатного узла, с
соблюдением всех предъявляемых к нему требований.
В наши дни САПР типа Diptrace существенно облегчает
работу инженера, занимающегося проектированием радиоэлектронных средств.
Diptrace обладает большим набором функций и параметров,
необходимых для проектирования печатных плат. В нём возможна автоматическая
трассировка и разводка печатной платы, с заданными параметрами проводников,
отверстий и её габаритов. Этот программный пакет довольно прост в работе, но
требует серьёзного изучения для наилучшего освоения рабочей среды Diptrace.
Целью данного курсового проекта является разработка
конструкции печатного узла модуля по принципиальной схеме в системе
проектирования Diptrace 2.3
1. Нечеткие системы. Особенности их
проектирования
В последнее время нечеткая технология завоевывает
все больше сторонников среди разработчиков систем управления. Взяв старт в 1965
году из работ профессора Лотфи Заде, за прошедшее время нечеткая логика прошла
путь от почти антинаучной теории, практически отвергнутой в Европе и США, до
банальной ситуации конца девяностых годов, когда в Японии в широком
ассортименте появились «нечеткие» бритвы, пылесосы, фотокамеры . Сам термин
«fuzzy» так прочно вошел в жизнь, что на многих языках он даже не переводится.
В качестве примера можно вспомнить рекламу стиральных машин и микроволновых
печей фирмы Samsung, обладающих искусственным интеллектом на основе нечеткой
логики.
Тем
не менее, столь масштабный скачок в развитии нечетких систем управления не
случаен. Простота и дешевизна их разработки заставляет проектировщиков все чаще
прибегать к этой технологии. Бурный рост рынка нечетких систем показан на рис.
1.
Рис. 1 - Рост рынка нечетких систем
После поистине взрывного старта прикладных
нечетких систем в Японии многие разработчики США и Европы наконец-то обратили
внимание на эту технологию. Но время было упущено, и мировым лидером в области
нечетких систем стала Страна восходящего солнца, где к концу 1980-х годов был
налажен выпуск специализированных нечетких контроллеров, выполненных по
технологии СБИС. В такой ситуации Intel нашла поистине гениальное решение. Имея
большое количество разнообразных контроллеров от MCS-51 до MCS-96, которые на
протяжении многих лет успешно использовались во многих приложениях, корпорация
решила создать средство разработки приложений на базе этих контроллеров, но с
использованием технологии нечеткости. Это позволило избежать значительных
затрат на конструирование собственных нечетких контроллеров, а система от
Intel, получившая название fuzzy TECH, завоевала огромную популярность не
только в США и Европе, но и прорвалась на японский рынок.
1.1
Теоретические сведения
Нечеткая логика основана на использовании таких оборотов
естественного языка, как «далеко», «близко», «холодно», «горячо». Диапазон ее
применения очень широк - от бытовых приборов до управления сложными
промышленными процессами.
Многие современные задачи управления просто не могут быть
решены классическими методами из-за очень большой сложности математических
моделей, их описывающих.
Вместе с тем, чтобы использовать теорию нечеткости на
цифровых компьютерах, необходимы математические преобразования, позволяющие
перейти от лингвистических переменных к их числовым аналогам в ЭВМ.
Рис. 2 - Область применения современных технологий управления
На рис. 2 показаны области наиболее эффективного применения
современных технологий управления. Как видно, классические методы управления
хорошо работают при полностью детерминированном объекте управления и
детерминированной среде, а для систем с неполной информацией и высокой
сложностью объекта управления оптимальными являются нечеткие методы управления.
(В правом верхнем углу рисунка приведена еще одна современная технология
управления - с применением искусственных нейронных сетей, но мы не станем столь
глубоко вдаваться в достижения ученых.)
Такие понятия, как «нечеткие правила», «нечеткий вывод» да и
сам термин «нечеткое управление». Классическая логика развивается с древнейших
времен. Ее основоположником считается Аристотель. Логика известна как строгая и
сугубо теоретическая наука, и большинство ученых (кроме разработчиков
последнего поколения компьютеров) продолжают придерживаться этого мнения.
Вместе с тем классическая или булева логика имеет один существенный недостаток
- с ее помощью невозможно описать ассоциативное мышление человека. Классическая
логика оперирует только двумя понятиями: ИСТИНА и ЛОЖЬ, и исключая любые
промежуточные значения. Аналогично этому булева логика не признает ничего кроме
единиц и нулей. Все это хорошо для вычислительных машин, но попытка представить
весь окружающий мир только в черном и белом цвете, вдобавок исключив из языка
любые ответы на вопросы, кроме, ДА и НЕТ. Это будет весьма затруднительная
ситуация. Решить эту проблему и призвана нечеткая логика. С термином
«лингвистическая переменная» можно связать любую физическую величину, для
которой нужно иметь больше значений, чем только ДА и НЕТ. В этом случае
определяется необходимое число термов и каждому из них ставите в соответствие
некоторое значение описываемой физической величины. Для этого значения степень
принадлежности физической величины к терму будет равна единице, а для всех
остальных значений - в зависимости от выбранной функции принадлежности.
Например, можно ввести переменную ВОЗРАСТ и определить для нее термы ЮНОШЕСКИЙ,
СРЕДНИЙ и ПРЕКЛОННЫЙ. Обсудив с экспертами значения конкретного возраста для
каждого терма, можно избавиться от жестких ограничений логики Аристотеля.
Получившие наибольшее развитие из всех разработок
искусственного интеллекта, экспертные системы завоевали устойчивое признание в
качестве систем поддержки принятия решений. Подобные системы способны
аккумулировать знания, полученные человеком в различных областях деятельности.
Посредством экспертных систем удается решить многие современные задачи, в том
числе и задачи управления. Однако большинство систем все еще сильно зависит от
классической логики.
Одним из основных методов представления знаний в экспертных
системах являются продукционные правила, позволяющие приблизиться к стилю мышления
человека. Любое правило продукций состоит из посылок и заключения. Возможно
наличие нескольких посылок в правиле, в этом случае они объединяются
посредством логических связок И, ИЛИ. Обычно продукционное правило записывается
в виде: «ЕСЛИ (посылка) (связка) (посылка) (посылка) ТО (заключение)».
Главным же недостатком продукционных систем остается то, что
для их функционирования требуется наличие полной информации о системе.
Нечеткие системы тоже основаны на правилах продукционного
типа, однако в качестве посылки и заключения в правиле используются
лингвистические переменные, что позволяет избежать ограничений, присущих
классическим продукционным правилам.
Целевая установка процесса управления связывается с выходной
переменной нечеткой системы управления, но результат нечеткого логического
вывода является нечетким, а физическое исполнительное устройство не способно
воспринять такую команду. Необходимы специальные математические методы,
позволяющие переходить от нечетких значений величин к вполне определенным. В
целом весь процесс нечеткого управления можно разбить на несколько шагов:
фаззификация, разработка нечетких правил и дефаззификация.
Примером является поставляемой с пакетом fuzzy TECH модель
контейнерного крана. Пусть, крановщику, необходимо перегрузить контейнер с
баржи на железнодорожную платформу. Осуществляется управление мощностью
двигателя тележки крана, заставляя ее двигаться быстрее или медленнее. От
скорости перемещения тележки, зависит расстояние до цели и амплитуда колебания
контейнера на тросе. Вследствие того, что стратегия управления краном сильно
зависит от положения тележки, применение стандартных контроллеров для этой
задачи весьма затруднительно. Вместе с тем математическая модель движения
груза, состоящая из нескольких дифференциальных уравнений, может быть
составлена довольно легко, но для ее решения при различных исходных данных
потребуется довольно много времени. К тому же исполняемый код программы будет
большим и не поворотливым. Нечеткая система справляется с такой задачей очень
быстро - несмотря на то, что вместо сложных дифференциальных уравнений движения
груза весь процесс движения описывается терминами естественного языка:
«больше», «средне», «немного» и т. п. То есть так, будто даются указания
крановщике, сидящему за рычагами управления.
Фаззификация
(переход к нечеткости)
Точные значения входных переменных преобразуются в значения
лингвистических переменных посредством применения некоторых положений теории
нечетких множеств, а именно - при помощи определенных функций принадлежности.
Прежде всего, рассмотрим понятия «лингвистической переменной»
и «функции принадлежности».
Лингвистические
переменные
В нечеткой логике значения любой величины представляются не
числами, а словами естественного языка и называются ТЕРМАМИ. Так, значением
лингвистической переменной ДИСТАНЦИЯ являются термы ДАЛЕКО, БЛИЗКО и т. д.
Конечно, для реализации лингвистической переменной необходимо
определить точные физические значения ее термов. Пусть, например, переменная
ДИСТАНЦИЯ может принимать любое значение из диапазона от 0 до 60 метров.
Согласно положениям теории нечетких множеств, каждому значению расстояния из
диапазона в 60 метров может быть поставлено в соответствие некоторое число, от
нуля до единицы, которое определяет СТЕПЕНЬ ПРИНАДЛЕЖНОСТИ данного физического
значения расстояния (допустим, 10 метров) к тому или иному терму
лингвистической переменной ДИСТАНЦИЯ. В нашем случае расстоянию в 50 метров
можно задать степень принадлежности к терму ДАЛЕКО, равную 0,85, а к терму
БЛИЗКО - 0,15. Конкретное определение степени принадлежности возможно только
при работе с экспертами. При обсуждении вопроса о термах лингвистической
переменной интересно прикинуть, сколько всего термов в переменной необходимо
для достаточно точного представления физической величины. В настоящее время
сложилось мнение, что для большинства приложений достаточно 3-7 термов на
каждую переменную. Минимальное значение числа термов вполне оправданно. Такое
определение содержит два экстремальных значения (минимальное и максимальное) и
среднее. Для большинства применений этого вполне достаточно. Что касается
максимального количества термов, то оно не ограничено и зависит целиком от
приложения и требуемой точности описания системы. Число же 7 обусловлено
емкостью кратковременной памяти человека, в которой, по современным
представлениям, может храниться до семи единиц информации.
Есть два совета, которые помогут в определении числа термов:
Необходимо исходить из поставленной задачи и необходимой
точности описания, важно учесть, что для большинства приложений вполне
достаточно трех термов в переменной;
составляемые нечеткие правила функционирования системы должны
быть понятны, и вызывать трудности при их разработке; в противном случае, если
не хватает словарного запаса в термах, следует увеличить их число.
.2
Функции принадлежности
Принадлежность каждого точного значения к одному из термов
лингвистической переменной определяется посредством функции принадлежности. Ее
вид может быть абсолютно произвольным. Сейчас сформировалось понятие о так
называемых стандартных функциях принадлежности (рис. 3).
Рис. 3 - Функции принадлежности
Стандартные функции принадлежности легко применимы к решению
большинства задач. Однако если предстоит решать специфическую задачу, можно
выбрать и более подходящую форму функции принадлежности, при этом можно
добиться лучших результатов работы системы, чем при использовании функций
стандартного вида.
Существует образец алгоритма по формализации задачи в
терминах нечеткой логики.
Шаг 1. Для каждого терма взятой лингвистической переменной
найти числовое значение или диапазон значений, наилучшим образом
характеризующих данный терм. Так как это значение или значения являются
«прототипом» нашего терма, то для них выбирается единичное значение функции
принадлежности.
Шаг 2. После определения значений с единичной принадлежностью
необходимо определить значение параметра с принадлежностью «0» к данному терму.
Это значение может быть выбрано как значение с принадлежностью «1» к другому
терму из числа определенных ранее.
Шаг 3. После определения экстремальных значений нужно
определить промежуточные значения. Для них выбираются П- или Л-функции из числа
стандартных функций принадлежности.
Шаг 4. Для значений, соответствующих экстремальным значениям
параметра, выбираются S- или Z-функции принадлежности.
1.3
Разработка нечетких правил
нечеткий diptrace печатный плата
На этом этапе определяются продукционные правила, связывающие
лингвистические переменные. Совокупность таких правил описывает стратегию
управления, применяемую в данной задаче.
Большинство нечетких систем используют продукционные правила
для описания зависимостей между лингвистическими переменными. Типичное
продукционное правило состоит из антецедента (часть ЕСЛИ ) и консеквента (часть
ТО ). Антецедент может содержать более одной посылки. В этом случае они
объединяются посредством логических связок И или ИЛИ.
Процесс вычисления нечеткого правила называется нечетким
логическим выводом и подразделяется на два этапа: обобщение и заключение.
Пусть имеется следующее правило:
ЕСЛИ ДИСТАНЦИЯ=средняя
УГОЛ=малый, ТО МОЩНОСТЬ=средняя.
Воспользуемся примером с контейнерным краном и рассмотрим
ситуацию, когда расстояние до платформы равно 20 метрам, а угол отклонения
контейнера на тросе крана равен четырем градусам. После фаззификации исходных
данных получим, что степень принадлежности расстояния в 20 метров к терму
СРЕДНЯЯ лингвистической переменной ДИСТАНЦИЯ равна 0,9, а степень
принадлежности угла в 4 градуса к терму МАЛЫЙ лингвистической переменной УГОЛ
равна 0,8.
На первом шаге логического вывода необходимо определить
степень принадлежности всего антецедента правила. Для этого в нечеткой логике
существуют два оператора: MIN(…) и MAX(…). Первый вычисляет минимальное
значение степени принадлежности, а второй - максимальное значение. Когда
применять тот или иной оператор, зависит от того, какой связкой соединены
посылки в правиле. Если использована связка И, применяется оператор MIN(…).
Если же посылки объединены связкой ИЛИ, необходимо применить оператор MAX(…).
Ну а если в правиле всего одна посылка, операторы вовсе не нужны. Для нашего
примера применим оператор MIN(…), так как использована связка И. Получим
следующее:
(0,9;0,8)=0,8.
Следовательно, степень принадлежности антецедента такого правила
равна 0,8. Операция, описанная выше, отрабатывается для каждого правила в базе
нечетких правил.
Следующим шагом является собственно вывод или заключение.
Подобным же образом посредством операторов MIN/MAX вычисляется значение
консеквента. Исходными данными служат вычисленные на предыдущем шаге значения
степеней принадлежности антецедентов правил.
После выполнения всех шагов нечеткого вывода получается
нечеткое значение управляющей переменной. Чтобы исполнительное устройство
смогло отработать полученную команду, необходим этап управления, на котором
происходит избавление от нечеткости и который называется дефаззификацией.
.4 Дефаззификация (устранение нечеткости)
На этом этапе осуществляется переход от нечетких значений
величин к определенным физическим параметрам, которые могут служить командами
исполнительному устройству.
Результат нечеткого вывода, конечно же, будет нечетким. В
примере с краном команда для электромотора крана будет представлена термом
СРЕДНЯЯ (мощность), но для исполнительного устройства это ровно ничего не
значит.
Для устранения нечеткости окончательного результата
существует несколько методов. Аббревиатура, стоящая после названия метода,
происходит от сокращения его английского эквивалента.
Метод
центра максимума (СоМ)
Так как результатом нечеткого логического вывода может быть
несколько термов выходной переменной, то правило дефаззификации должно
определить, какой из термов выбрать. Работа правила СоМ показана на рис. 4.
Рис. 4 - Метод CoM
Рис. 5 - Метод МоМ
Метод
центроида (СоА)
В этом методе окончательное значение определяется как
проекция центра тяжести фигуры, ограниченной функциями принадлежности выходной
переменной с допустимыми значениями. Работу правила можно видеть на рис. 6.
Рис. 6 - Метод СоА
Основные шаги разработки нечеткой системы управления с
использованием CAD-системы fuzzy TECH 3.0
Процесс разработки проекта нечеткой системы управления на
fuzzy TECH разбивается на четыре основных этапа. Все они схематично показаны на
рис. 7.
Рис. 7 - Разработка нечеткой системы управления
1.5
Описание системы
На этом этапе при помощи средств, доступных в fuzzy TECH,
задача формализуется. Здесь необходимо описать лингвистические переменные,
которые вы будете использовать; их функции принадлежности; описать стратегию
управления посредством нечетких правил, которые вы сможете объединить в единую
базу правил или знаний о системе. В целом CASE-технология, на основе которой
построен пакет, позволяет все эти действия выполнить только посредством общения
с экраном ЭВМ, не заглядывая в программный код. Поэтому начальный этап
проектирования прост, несмотря на кажущуюся сложность. Так, например, можно
установить разрядность машинного кода, генерируемого пакетом. Это влияет на
формат величин, которые можно использовать
Таблица 1 - Разрядность машинного кода, генерируемого пакетом
|
Тип данных
|
Min значение
|
Max значение
|
|
8-битовый
целочисленный
|
0
|
255
|
|
16-битовый
целочисленный
|
0
|
32786
|
|
32-битный
целочисленный
|
0
|
2147483648
|
|
Двойная
точность
|
1,7-308
|
1,7+308
|
Off-line-оптимизация
Рис.8 - Система разработки fuzzy TECH 3.0
На этом этапе следует проверить работоспособность созданной
системы посредством всех средств fuzzy TECH. Можно использовать заранее
созданный программный симулятор объекта управления, подобно модели
контейнерного крана. Для связи системы управления с моделью используется
специально разработанный протокол связи fTlink, в основу которого положена
концепция обмена сообщениями Windows. Все необходимые средства для установления
связи с моделью находятся в исходных текстах программ связи, поставляемых с
пакетом.
On-line-оптимизация
На этом шаге разрабатываемая система управления и реальный
объект управления соединяются физической линией связи (см. рис. 8).
Такой вид отладки позволяет наблюдать поведение системы в
реальных условиях и при необходимости вносить изменения в систему управления.
Реализация
На этом этапе необходимо получить окончательный вариант кода
для конкретного микроконтроллера и, если нужно, связать его с основной программой.
Об оптимальности создаваемого fuzzy TECH кода можно судить по данным табл.
ниже.
Основу программного кода, генерируемого пакетом fuzzy TECH,
составляет аппаратно-ориентированное на конкретный тип процессора ядро.
Поставляемое с пакетом fuzzy TECH MCU-96 программное ядро совместимо с такими
контроллерами, как 8096BH, 8096-90, 80196KB/KC/KD, 80196 KR, 80196MC,
80196NT/NQ.
Важное замечание касается структуры генерируемого кода. Он,
как правило, состоит из трех основных частей:
§ код библиотечных функций;
§ сегмент базы правил и функций принадлежности;
§ функции нечеткой системы.
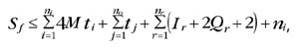
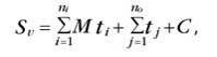
Найти объем ОЗУ и ПЗУ, потребный для работы и хранения
системы, помогут следующие формулы:
§ для оперативной памяти,
где
Sv - объем необходимой оперативной памяти;- число входных
переменных;- число выходных переменных;- число термов во входной
лингвистической переменной i;- число термов в выходной лингвистической
переменной j;константа, равная 1 для 8-битного кода и 2 - для 16-битного;-
константа, равная 28 байтам для MCU-96 и 7 байт для MCU-51;
§ для постоянной памяти:
где
Sf - размер базы правил в байтах;- число входных
переменных;число выходных переменных;- число правил в базе знаний;- число
термов во входной лингвистической переменной i;- число термов в выходной
лингвистической переменной j;- число входных условий для правила r;- число
выходных условий для правила r; - константа, равная 1 для 8-битного кода и 2 - для
16-битного.
Точный размер сгенерированного fuzzy TECH 3.0 кода
указывается по окончании процесса компиляции.
Таблица 2 - Пример оптимальности fuzzy TECH
|
0
|
20 правил 2 вх. и 1 вых.
|
20 FAM Правил 2
вх. И 1 вых.
|
80 правил 3 вх. И 1вых.
|
|
MCS-96, 16 бит,
80С196KD, встроенное ПЗУ, 20 Мгц
|
0,28 мс 0,84
Кбайт ПЗУ 63 байт ОЗУ
|
0,29 мс 0,87
Кбайт ПЗУ 63 байт ОЗУ
|
0,43 мс 1.27
Кбайт ПЗУ 69 байт ОЗУ
|
|
MCS-51, 8 бит,
80С51, встроенное ПЗУ, 12 МГц
|
1,4 мс 0,54
Кбайт ПЗУ 25 байт ОЗУ
|
1,5 мс 0,58
Кбайт ПЗУ 25 байт ОЗУ
|
4,4 мс 1,0
Кбайт ПЗУ 29 байт ОЗУ
|
|
|
|
|
|
2. РАЗРАБОТКА ТОПОЛОГИИ ПП ИК ПУЛЬТА ДЛЯ ПК И РОЗЕТОК
Создание любого электронного устройства включает в себя
следующие этапы:
- Формирование технического задания (ТЗ) на разработку,
определение структуры и алгоритмов функционирования системы.
- Разработка принципиальной электрической схемы,
перечня элементов и выпуск соответствующей документации.
Разработка конструкции печатной платы и выпуск
комплекта конструкторской и технологической документации.
Подготовка к производству и изготовление печатных
плат.
Сборка, настройка и регулировка изделия.
Одним из вариантов использования модулей системы DipTrace при проектировании узлов
печатных плат является следующий порядок выполнения операций:
1. Создание библиотеки радиоэлектронных компонентов
включает в себя три этапа:
- Создание условного графического обозначения (УГО)
символа компонента;
- Создание посадочного места и корпуса
радиоэлектронного компонента (РЭК);
- Упаковка РЭК и формирование библиотеки.
После создания принципиальная электрическая схема проверяется
на наличие грубых ошибок (замыкание на «землю» выхода логического элемента).
Остальной тип ошибок при создании принципиальной электрической схемы является следствием
невнимательности проектировщика (90%), поэтому процесс создания схемы требует
тщательности и очень серьезного внимания от проектировщика.
3. Формирование контура ПП и размещение конструктивных
элементов на ней с помощью графического редактора PCB Layout.
4. Трассировка проводников ПП:
- в ручном и интерактивном режимах средствами
графического редактора PCB Layout;
- в автоматическом режиме программами модуля
PCB Layout Autorouters, вызываемым из
управляющей оболочки PCB Layout.
.1
Порядок создания библиотеки
радиоэлектронных компонентов в системе DipTrace
DipTrace имеет интегрированные библиотеки, которые
содержат графическую информацию о символах и типовых корпусах компонентов и
текстовую упаковочную информацию. В интегрированной библиотеке каждому символу
могут быть сопоставлены несколько вариантов корпусов. Библиотеки легко
пополняются с помощью графических редакторов, а упаковочная информация о
цоколевке компонентов, логической эквивалентности выводов и т.п. координируется
администратором библиотек.
Создание и редактирование библиотек компонентов и их
посадочных мест осуществляется с помощью программ Component Editor и Pattern Editor. Также в эти программы
входят средства поиска, импорта атрибутов компонентов, верификация библиотек,
составление списков соответствий выводов символов и корпусов компонентов и
средства просмотра параметров компонентов.
Символьное изображение (файл .eli) представляет собой
условное графическое изображение компонента и используется при создании
принципиальной электрической схемы.
Конструкторско-технологический образ компонента (файл .lib) представляет собой
сведения о типе выводов (штыревые или планарные) и конструктиве (форме)
корпуса.
Конструкторско-технологические образы для отдельных типов
компонентов могут совпадать (когда разные компоненты упаковываются в одинаковые
корпуса), но символьные изображения все равно отличны друг от друга.
Информация об именах выводов, номерах выводов подключающихся
к земле и питанию и о типе корпуса берется из соответствующих справочников.
Новая библиотека создается следующим образом:
- Запускается редактор Component Editor.
- Выполняется команда Новая библиотека и
задается его имя Библиотека.eli.
Для примера рассмотрим порядок создания УГО резистора.
Сначала задается название и метка компонента, используя
соответствующие поля на панели свойств компонента (Рисунок 2.1).
Рисунок 2.1 - Панель свойств компонента
Выбирается “Вывод” в правом верхнем углу окна, затем,
перемещая курсор в область построения, размещаются два вывода щелчком левой
кнопки мыши. Существует возможность вращения вывода, нажимая клавишу “R”.
Выбирается “Прямоугольник” и размещаются границы резистора в слое
шелкографии. Выводы должны быть установлены по сетке 0.1, поэтому прямоугольник
нужно сделать по сетке 0.05 (Ctrl+, Ctrl - для быстрого изменения сетки). Символ
резистора готов (Рисунок 2.2).
Рисунок 2.2 - УГО резистора
Далее необходимо присоединить корпус (предварительно созданный в
редакторе Pattern Editor) для возможности создания платы из схемы, содержащей данный
резистор: Выбирается “Компонент / Привязка к корпусу” в главном меню. В
появившемся диалоговом окне производится соединение выбранного корпуса из
списка добавленных библиотек с УГО резистора (Рисунок 2.3). Также можно уточнить связь между выводами
символа и корпуса используя список связей, этот метод более предпочтителен для
средних и больших компонентов. Номера выводов могут быть заданы и с помощью
таблицы выводов (выбрать “Компонент / Таблица выводов” в главном меню и открыть
ее) или из диалога свойств вывода.
Рисунок 2.3 - Привязка корпуса к УГО резистора
Резистор готов и содержит и символ схемотехники и корпус для PCB.
Создание корпуса в редакторе PCB Layout осуществляется похожим
способом.
2.2
Создания электрической принципиальной
схемы в DipTrace
Принципиальная электрическая схема определяет полный состав
элементов и связей между ними и дает детальное представление о принципах работы
объекта проектирования. Принципиальная электрическая схема служит основанием
для разработки других конструкторских документов: схемы соединений, чертежей
печатных плат и перечня элементов.
Каждая схема должна быть оформлена как самостоятельный
конструкторский документ, которому присваивается обозначение по ГОСТу 2.201-80
(АБВГ.ХХХХХХ.ХХХ ЭЗ).
На каждом документе (внизу справа) помещают основную надпись.
В графах основной надписи указывают:
1) наименование изделия и документа в именительном падеже
единственного числа. Наименование, состоящее из нескольких слов, начинают с
имени существительного. Например, «Блок комбинированный. Схема электрическая
принципиальная».
2) обозначение документа, составленное в соответствии с ГОСТ
2.201-80; на всех листах одного документа указывают одно и то же обозначение.
) обозначение материала. Графу заполняют только на чертежах
деталей.
) наименование или различительный индекс предприятия-
разработчика. Графу не заполняют, если различительный индекс содержится в
обозначении документа.
На схеме изображают все элементы, в виде условных графических
обозначений. Каждый элемент схемы должен иметь позиционно-буквенное
обозначение. Порядковые номера присваиваются, начиная с 1-го для каждого типа
РЭК (DD1, DD2 или С1,С2), в соответствии с последовательностью расположения
элементов на схеме сверху вниз, в направлении слева направо.
Позиционное обозначение проставляется рядом с графическим
изображением, с правой стороны или сверху. При изображении элемента разнесенным
способом его позиционное обозначение проставляется около каждой части (DD1.1,
…DD1.4).
При выпуске документа принципиальной электрической схемы
обязательно совместно с ней выпускается перечень элементов, который помещают на
первом листе схемы или выполняют в виде самостоятельного документа. Перечень
оформляют в виде таблицы заполняемой сверху вниз.
В графах таблицы указывают следующие данные:
- в графе «Поз. Обозначение» - позиционные
обозначения элементов функциональных групп;
- в графе «Наименование» - для элемента:
наименование в соответствии с документом, на основании которого этот элемент
применен, и обозначение этого документа (основной конструкторский документ,
государственный стандарт, отраслевой стандарт, технические условия) - для
функциональной группы «наименование»;
- в графе «Примечание» - рекомендуется
указывать технические данные элемента, не содержащиеся в его наименовании. В
последнее время, в связи с широким применением импортной элементной базы, в
этой графе указывают аналоги или альтернативную фирму-производителя.
При выполнении перечня элементов на первом листе схемы его
располагают, как правило, над основной надписью. Расстояние между перечнем
элементов и основной надписью должно быть не менее 12 мм. Продолжение перечня
элементов помещают слева от основной надписи, повторяя шапку таблицы.
При выпуске перечня элементов в виде самостоятельного
документа его код должен состоять из буквы «П» и кода схемы, к которой
выпускают перечень, например, код перечня элементов к принципиальной
электрической схеме - ПЭЗ. При этом в основной надписи указывают наименование
изделия, а также наименование документа «Перечень элементов».
На принципиальной электрической схеме изображают РЭК либо в
виде условных графических обозначений, либо в виде прямоугольников. Линии
взаимосвязи, буквенно-цифровые обозначения, таблицы, текстовую информацию,
например, о питании интегральных микросхем, и помещают в основную надпись.
Условные графические обозначения элементов выполняются в соответствии с ЕСКД.
Толщина линий выбирается в пределах 0,2..1,0 мм.
Рекомендуемая ширина 0,3..0,4 мм. Условные графические обозначения и линии
соединений выполняются одной толщины. Утолщенными линиями обычно выполняются
общие шины.
Тип линии определяется изображаемым объектом:
- сплошной линией - обозначают электрические связи,
условные графические обозначения элементов и т.п.;
- штриховой линией - электрические,
магнитные экраны и механические связи;
- штрихпунктирной линией - функциональные
группы компонентов.
При выполнении схемы устанавливается просвет между соседними
линиями условных графических обозначений не менее 1 мм, между отдельными
линиями условных графических обозначений - не менее 2 мм, между соседними
линиями связи (цепями) - не менее 3 мм. Линии соединений должны состоять из
горизонтальных и вертикальных отрезков, для некоторых схем в виде исключения
допускается выполнение линий связи под углом 45°. Линии связи должны иметь
минимальное количество пересечений и изломов.
Создание схемы электрической принципиальной:
1. Запустить графический редактор Schematic Capture.
2. Настроить конфигурацию графического редактора. Для
этого необходимо:
- Установить размер страницы и чертежной рамки:
Файл / Параметры страницы. Затем в нижней части окна установить “Показывать
рамку и штамп” и “Показывать лист”.
- Выбрать шаг сетки 1,25 из раскрывающегося списка:
Вид/Шаг сетки.
3. Установить элементы. Для этого наводим курсор мыши на
панель библиотек и из нужной библиотеки выбираем необходимый элемент и
размещаем на рабочее пале.
4. Провести связь. Для этого подводим курсор к выводу
одного элемента и нажимаем левую кнопку мыши.
. Провести электрические цепи между выводами
элементов. Чтобы соединить выводы элементов, надо щелкнуть левой кнопкой на
одном выводе и, переместив курсор ко второму выводу, щелкнуть левой кнопкой еще
раз.
6. Проверить возможные синтаксические ошибки, допущенные при
создании схемы. Для этого выполнить команды Проверка/Проверка связей (ERC). После этого программой производится
поиск ошибок, результаты которого выводятся в текстовом файле с расширением .ERC (Рисунок 2.4).
Рисунок 2.4 - результаты проверки ERC
Для записи сформированной схемы выполнить команды
Файл/Сохранить как. Откроется диалоговое окно, в котором необходимо указать
папку для хранения проекта.
Для упаковки схемы на ПП (размещения на ПП корпусов ЭРЭ с
указанием электрических связей между ними в соответствии с принципиальной
схемой) ее надо записать в виде списка соединений. Последний включает в себя
список ЭРЭ и цепей с указанием номеров выводов ЭРЭ, к которым они подключены.
Для этого необходимо выполнить команду Файл/Преобразовать в плату. Принципиальная
схема устройства защиты радиоаппаратуры от превышении сетевого напряжения
готова.
.3
Формирование топологии ПП в системе DipTrace
Топология ПП представляет собой наглядное изображение
проектируемой платы. Топология ПП включает: границы ПП, корпуса РЭК с
посадочными местами, электрические соединения, печатные проводники, переходные
отверстия (ПО) и крепежные отверстия, маркировку элементов, а также другую
информацию необходимую для удобства проектирования, изготовления и эксплуатации
изделия.
Топологию ПП формируют в графическом редакторе PCB Layout. В системе DipTrace предусмотрена ручная, и
автоматическая трассировка соединений ПП.
Система DipTrace включает несколько программ автоматической
трассировки печатных проводников, которые вызываются из редактора PCB Layout.
Программа Grid Router реализует сеточную технологию и позволяющая
разводить несложные платы, в том числе с перемычками. Трассировщик Shape Router основан на бессеточной
технологии и реализует принципы оптимизации нейронных сетей. Программа
реализует такие алгоритмы, которые стремятся получить 100% трассировки
соединений. Работает программа в автоматическом, интерактивном и ручном
режимах.
Критериями качества результатов трассировки являются
следующие: процент реализованных соединений; суммарная длина проводников; число
монтажных слоев; число межслойных переходов; равномерность распределения
проводников; минимальная область трассировки; минимизация длины параллельных
участков близко лежащих проводников и др. При трассировке необходимо их
учитывать.
Порядок
размещения ЭРЭ на печатной плате в системе DipTrace
Разработка печатной платы начинается с экспорта созданной
принципиальной схемы в программу PCB Layout. При этом на рабочем поле отображаются
корпуса всех элементов, из которых состоит принципиальная схема, и связи между
ними (Рисунок 2.5)

Осуществить компоновку элементов схемы можно как вручную, так и
автоматически. Для запуска автоматического позиционирования элементов
необходимо выполнить Позиционирование/Запуск авто-позиционирования. Перед
запуском авто компоновки можно редактировать параметры позиционирования:
Позиционирование/Настройки позиционирования. В результате программа находит
оптимальное расположение компонентов (минимум пересечения связей, минимальная
длина связей) (Рисунок 2.6).
Рисунок 2.6 - Результаты авто-позиционирования
При осуществлении компоновки печатной платы более оптимальным
вариантом является сочетание авто компоновки и позиционирования компонентов
вручную.
Трассировка
цепей ПП в системе DipTrace
Далее осуществляется трассировка линий связей между компонентами.
Программа PCB Layout позволяет трассировать плату как в ручном, так и в автоматическом
режиме. Перед тем, как начать трассировку ПП необходимо нарисовать ее границы:
Объекты/границы платы. Для осуществления авто-трассировки выберем Shape Router
трассировщик: Трассировка/Выбор авто-трассировщика/Shape Router
(Рисунок 2.7). Перед выполнением команды определимся с ее параметрами:
Трассировка/параметры авто-трассировки. В частности, в параметрах можно указать
количество слоев трассировки: 1 или 2.
Рисунок 2.7 - Результаты автотрассировки
2.4
Проверка ПП в системе DipTrace
После разработки рисунка ПП его необходимо проверить на
соответствие исходной принципиальной схеме и соблюдение технологических
ограничений. Для это необходимо выполнить команду Проверка/Показать ошибки
трассировки. Параметры проверки можно задать с помощью команды
Проверка/Параметры проверки ошибок. В появившемся окне можно указать:
· Минимальную ширину трасс
· Минимальное расстояние между краями
соседних элементов проводящего рисунка
· Минимальные размеры металлизированных
отверстий
· Минимальная толщина металлизации
Результат ошибок трассировки отображается в виде таблицы ошибок
(Рисунок 2.8)
Рисунок 2.8 - Таблица ошибок трассировки ПП
Заключение
В результате выполнения курсового проекта была создана
принципиальная электрическая схема и разработана топология печатной платы
устройства защиты радиоаппаратуры от превышения сетевого напряжения в системе
автоматизированного проектирования DipTrace.
Были систематизированы, закреплены и расширены теоретические
знания по предмету «Информационные технологии проектирования РЭС», привиты
навыки самостоятельного решения задач автоматизированного проектирования РЭС с
помощью САПР DipTrace 2.3.
Знания, полученные при изучении САПР DipTrace, помогут в дальнейшем
освоить любые другие САПР.
Литература
1. Zade L.A. The concept of a linguistic variable and its
application to approximate reasoning. Part 1, 2, 3 // Information Sciences, n.
8 pp.199-249, pp.301-357; n. 9 pp. 43-80.
2. Прикладные
нечеткие системы: Перевод с япон./ К. Асаи, Д. Ватада, С. Иваи и др.; под ред.
Т. Тэрано, К. Асаи, М. Сугено. - М.: Мир, 1993.
. Книга
по работе в DipTrace 2.3. [Электронный ресурс] - Режим доступа: http://www.diptrace.com/rus/index.php?page=1
. Иванова
Н.Ю. Информационные технологии проектирования ЭВС. Методическое пособие: / Под
ред. Н.Ю. Иванова, Е.Б. Романовой; М-во образования Рос. Федерации. - СПб:
СПбГУ ИТМО, 2007
. Курейчик
В.М. Математическое обеспечение конструкторского и технологического
проектирования с применением САПР. Курейчик, В.М; учебник для вузов. - М.:
Радио и связь. 1990.