Улитки – дары и бедствия приносящие

  • Вид работы:
    Статья
  • Предмет:
    Биология
  • Язык:
    Русский
    ,
    Формат файла:
    MS Word
    14,89 kb
  • Опубликовано:
    2009-01-12
Вы можете узнать стоимость помощи в написании студенческой работы.
Помощь в написании работы, которую точно примут!

Улитки – дары и бедствия приносящие

Улитки – дары и бедствия приносящие

Н.Ю. Феоктистова

Своим названием мурексы – багрянки, или пурпурные улитки, обязаны Плинию Старшему. Знаменитый римский натуралист много писал об этих необычных созданиях, подаривших миру чудесный «мерцающий» краситель – пурпур. Много позже Карл Линней сохранил данное Плинием название Murex, распространив его на несколько систематически близких видов моллюсков, составляющих единое семейство.

Все мурексы (Muricidae – их насчитывается в мировой фауне более 400 видов) обладают красивыми, разнообразной формы, раковинами, у некоторых видов – длиной до 30 см. Кроме того, раковины некоторых из этих моллюсков часто украшены длинными отростками, которые в некоторых случаях так тонки и изящны, что напоминают иглы. У все мурексов по краю устья («входа» в раковину) располагается более или менее длинный выступающий вперед желобок.

Встречаются представители семейства мурексов повсеместно, но наиболее многочисленны они в тропических и субтропических морях, где предпочитают селиться на мелководье. Там же, в теплых водах, встречаются, естественно, и виды с наиболее крупными и красивыми раковинами.

Все мурексы – хищники, питающиеся либо «собратьями по классу» – другими брюхоногими моллюсками, либо «ракушками» – двустворчатыми моллюсками, в частности мидиями. Для того чтобы добыть пищу, мурексы с помощью радулы («терки» – особого органа в ротовом аппарате) просверливают раковины своих жертв или вставляют вырост наружной губы раковины между створками «ракушек» и разламывают их.

Но главная и удивительная особенность мурексов – наличие в мантии, на стенке жаберной полости, особой железы, которая вырабатывает пурпур – чудесное вещество, необыкновенно красивый краситель, ставший в древности настоящим символом власти.

Легенда гласит, что первыми открыли пурпур финикийцы. Собака пастуха царя Фоиникса, который правил в городе Тире во втором тысячелетии до нашей эры, однажды на берегу разгрызла выброшенную морем раковину – и тут же ее морда окрасилась в яркий красный цвет! Как мы узнаем позже, это только легенда: для того, чтобы содержимое железы превратилось в краситель, требуется много времени… Но тем не менее люди как-то сумели узнать, что из улиток можно получать пурпур.  Получали его во многих местах Финикии – древней страны, расположенной на восточном побережье Средиземного моря и в 332 г. до н.э. завоеванной Александром Македонским. В частности, славился этим промыслом один из самых знаменитых финикийских городов – Сидон (современный город Ливана Сайда), который в период II–I тысячелетия до н.э. боролся с Тиром за звание главного города Финикии.

Плиний так описывал технологию получения пурпура, которую использовали финикийцы. Прежде всего, надо было выловить моллюсков нужного вида – достаточное количество краски можно было получить только из трех видов улиток: Murex brandaris (Bolinus brandaria), Trunculariopsis trunculus и Thais haemastoma. Причем из Trunculariopsis добывали красный пурпур, а из двух других – фиолетовый. Раковину разбивали и извлекали расположенную в полости мантии пурпурную железу, содержащую… прозрачную жидкость. Добытые железы (а иногда и моллюсков целиком, если они были мелкого размера) давили каменными прессами и три для выдерживали в растворе соли. Затем получившийся раствор помещали в металлические котлы и выпаривали на слабом огне в течение 10 дней. После этого материал, который необходимо было окрасить, пропитывали все еще беловатым раствором и сушили на солнце. Только под действием солнечных лучей и кислорода воздуха полученное вещество (в растворе присутствовали и определенные ферменты) последовательно меняло цвет – сначала на зеленовато-желтый, затем на зеленый и, наконец, – на синий или пурпурный. Благодаря различиям в способах обработки исходного красящего вещества, неоднократным пропиткам и другими приемам финикийцы достигали широкого спектра конечных оттенков окраски тканей – от ярко-красного до темно-фиолетового.

Ткань, окрашенная пурпуром, стоила огромных денег. Так, 1 кг тирской шерсти, окрашенной дважды, стоил 2 тыс. динариев! Дело в том, что для производства 1 г краски требовалось около 10 000 раковин моллюсков. В центре города Сайда до сих высится холм высотой в 45 и диаметром в 100 м, целиком сложенный из добытых в древние времена раковин. Гробница для многих миллионов моллюсков…

Очень дорого ценилась пурпурная шерстяная ткань в Древнем Риме – там она являлась еще и символом власти. Только цезари или полководцы-триумфаторы могли носить одежды, полностью окрашенные пурпуром. Консулы и преторы имели право лишь на тогу с пурпурным краем, а военачальники надевали пурпурный плащ только во время боевых действий.

Само производство финикийского, или императорского, пурпура в Римской империи находилось под очень строгим контролем. Краситель получали только в государственных мастерских, а нарушение государственной монополии каралось смертной казнью.

Правда, есть упоминание о том, что знаменитый оратор и политический деятель Цицерон, занимавший должность первого консула, носил дважды окрашенные пурпуром одежды в честь признания его выдающихся заслуг. А египетская царица Клеопатра, известная не только своей красотой и богатством, но и некоторым сумасбродством, однажды велела выкрасить пурпуром паруса своих кораблей. Сколько стоил каждый такой парус, даже трудно себе представить…

Пурпур употреблялся для окраски не только тканей, но и слоновой кости, и пергамента. Нашел он свое применение и в косметике, и как отличная краска для фресок. Кроме того, из пурпура изготовляли чернила. Расписываться пурпурными чернилами имели право только императоры. Регенты использовали для подписи чернила только зеленого цвета, изготовленные из «недозревшего» секрета пурпурных желез.

Следы производства пурпура археологи находят при раскопках вдоль всего восточного побережья Средиземного моря. А гигантские отвалы из раковин – они сохранились не только в Сайде, а во многих местах – просто поражают воображение.

В качестве красителя пурпур использовали больше 3 тыс. лет. Из южных стран он попал в северные, в частности в Англию и Норвегию, где оставался в обиходе до XVIII в. И только после изобретения более дешевых анилиновых красок пурпур утратил свое значение. Теперь одежду, окрашенную натуральным пурпуром, можно увидеть только кое-где по берегам Средиземного моря и в Центральной Америке. Знания технологии, позволяющей окрашивать ткани с помощью моллюсков, сохранили только немногие жители приморских деревень.

Из теплого Средиземноморья перенесемся в наши края и познакомимся теперь с улитками, наверняка, не менее популярными, чем когда-то были улитки, подарившие миру пурпур. Всем хорошо знакомые рапаны (Rapana venosa) также принадлежат к семейству мурексов.

Рапаны принесли нам больше проблем, чем полезных продуктов, – хотя справедливости ради стоит отметить, что мясо этих улиток довольно вкусно и блюда из него можно увидеть в меню ресторанов, в первую очередь с корейской кухней.

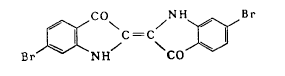
Финикийский пурпур по своему химическому составу

Финикийский пурпур по своему химическому составу является производным вещества, составляющего основу другого природного красителя, получаемого из растений индиго (6,6ў-диброминдиго).

Родина рапаны – Японское, Желтое и Восточно-Китайское моря, где этот брюхоногий моллюск питается в основном устрицами, открывая раковины своих жертв с помощью мускулистой ноги. В Японском море рапану всегда можно найти на устричных банках, которые она покидает только в период размножения.

В наших водах на Дальнем Востоке рапана встречается лишь на самом юге и не создает там больших проблем. Однако эта улитка оказалась отменным путешественником и в 40-е гг. ХХ в. проникла в Черное море, где быстро заявила о своем присутствии. За прошедшие 60 лет рапана стала настоящей «визитной карточкой» Черноморского побережья, захватила всю акваторию Черного и появилась и Азовском и Средиземном морях.

Как удалось рапане совершить подобный бросок – до сих пор не ясно. Изначально ученые посчитали, что рапана попала в Новороссийскую бухту (где впервые и была обнаружена в 1947 г.) вместе с балластными водами судов. Дело в том, что в развитии этого моллюска имеется достаточно длинная – до нескольких недель – стадия плавающей личинки. С ее окончанием молодая улитка оседает на дно, но до этого плавает в толще воды и может таким образом попасть в балластный танк судна в одном месте и быть слитой из него вместе с водой в другом. Однако все же трудно себе представить, чтобы судно из Японского моря прошло через Индийский океан и Суэцкий канал без остановок. Балластные воды необходимы для сохранения осадки судна. При проходе через Суэцкий канал из Красного моря в Средиземное, а тем более в Черное, соленость которого намного ниже, их необходимо откачивать. Поэтому, если рапана расселялась с балластными водами, то сначала она должна была бы появиться в Средиземном море или в западной части Черного, а не в Новороссийске. И тем не менее она появилась именно там, а затем уже отправилась в путешествие на запад и на юг.

Вселившись в Черное море, рапана начала свою хищническую деятельность, почти полностью истребив устриц. А когда не стало устриц – переключилась на питание другими двустворчатыми моллюсками, в том числе мидиями. С другой стороны, крупные (для нас, по крайней мере) и эффектные раковины рапаны принесли приезжающим к Черному морю туристам и отдыхающим немало радости, а местным жителям – неплохую прибыль.

Но Черным и Средиземным морями дело не ограничилось. В 1972 г. появились сведения о нахождении рапаны у берегов Новой Зеландии. А летом 1998 г. специалисты Виргинского института морских исследований (США) во время траления Чесапикского залива поймали двух крупных особей незнакомого брюхоногого моллюска, оказавшегося при ближайшем рассмотрении все той же рапаной. (Чесапикский залив расположен на востоке Америки, недалеко от его побережья располагается столица США – Вашингтон.) Разведение устриц в заливе является традиционной отраслью бизнеса, и факт появления там опасного хищника-пришельца вызвал серьезное беспокойство у местных предпринимателей. Однако специально проведенные исследования показали, что рапаны в Чесапикском заливе проявили скромность и перешли на питание другими двустворчатыми моллюсками, по непонятным причинам оставив устриц в покое.

Генетический анализ, проведенный в Виргинском институте, показал, что в Чесапикский залив рапана попала из Черного моря. Поскольку между Черным морем и восточным побережьем Америки существует активное судоходство, личинки моллюска действительно могли быть перевезены с балластными водами – этот бросок через Атлантику для рапаны можно считать лишь легкой прогулкой по сравнению с ее переселением из дальневосточных морей в Черное.

В 1999 г. рапану обнаружили уже в Уругвае… Так что путешествие этой улитки по миру далеко не закончено, и вероятно в ближайшем будущем мы услышим о ее новых подвигах. Надо заметить, что такое расселение крупного брюхоногого моллюска – явление редкое, но все же не уникальное. Аналогичная ситуация сложилась с другим моллюском того же семейства мурексов – Ocenebra inornata. Исходно и эта улитка обитала в Восточно-Китайском и Японском морях, но во время интродукции тихоокеанских устриц ее случайно завезли сначала на Северо-Восточное побережье США, а в 2000 г. – во Францию. Ocenebra тоже очень любит полакомиться устрицами, и хотя она меньше рапаны, вред может нанести значительный.

Список литературы

Для подготовки данной работы были использованы материалы с сайта http://bio.1september.ru

Похожие работы на - Улитки – дары и бедствия приносящие

 

Не нашли материал для своей работы?
Поможем написать уникальную работу
Без плагиата!
Без нейросетей!