Обучение и развитие в школе и ВУЗе

  • Вид работы:
    Реферат
  • Предмет:
    Педагогика
  • Язык:
    Русский
    ,
    Формат файла:
    MS Word
    58,52 kb
  • Опубликовано:
    2008-12-09
Вы можете узнать стоимость помощи в написании студенческой работы.
Помощь в написании работы, которую точно примут!

Обучение и развитие в школе и ВУЗе

Введение.

Тема данной курсовой работы является проектирование широкополосного усилителя (усилителя низкой частоты) и стабилизированного источника питания к нему. Усилители низкой частоты (УНЧ) относятся к одному из классов электронных приборов, принцип действия которых основан на использовании явлений, связанных с управлением потоками заряженных частиц.

Одним из наиболее важных применений электронных приборов - это усиление электронных сигналов, т.е. увеличение их мощности, амплитуды, напряжения или тока до заданной величины. В настоящее время в усилительных устройствах достаточно широко используются интегральные схемы, и чем совершеннее электроника, тем шире применение ИС. Громадные перспективы в развитии усилительных устройств открывает применение интегральных  микросхем.

Источником энергии для большей части оборудования является переменный ток, но существуют и другие типы источников энергии: батареи, солнечные элементы и т.д. Таким образом, доступной формой энергии является как переменный, так и постоянный ток.
Однако большинство электрического и электронного оборудования работают от постоянного тока. При этом различные виды оборудования работают при постоянных напряжениях нескольких уровней. Для некоторых устройств требуется несколько напряжений постоянного тока для внутренних операций.
        Источник электропитания является одним из важнейших элементов в любой комбинации электрического или электронного оборудования. Это объясняется тем, что он снабжает электроэнергией все электрические и электронные цепи и обеспечивает работоспособность оборудования. Успешная работа любого комплекта электрического или электронного оборудования зависит от точного и надежного функционирования источника электропитания. Особенности же самого источника электропитания полностью определяются характеристиками оборудования. Жесткие требования к этим характеристикам (масса, объем, надежность и стоимость) делают процесс проектирования источника электропитания строго выполняемой процедурой.[[1]]

По существу источник электропитания должен быть способен передать стабилизированное питание, уровни напряжения и тока которого отвечают требованиям оборудования. Уровень передаваемой энергии постоянного или переменного тока  может колебаться от долей ватта до нескольких тысяч ватт, а напряжение - от нескольких вольт до тысяч вольт. В блоке с выходным напряжением переменного тока его частота изменяется от нескольких герц до нескольких тысяч герц. Очень важно иметь высокий КПД. С уменьшением КПД возрастают требования к конвекционному и принудительному охлаждению и поэтому увеличивается объем и масса систем, что нежелательно. Таким образом, масса, стоимость и объем систем электропитания должны быть минимально возможными.[[2]]

























1. Теоретическая часть.

Стабилизатор напряжения - электрическое устройство, получающие питание от внешнего источника питания и выдающее на своем выходе напряжение, независящие от напряжения питания. Но это соблюдается при условии, что напряжение питания не выходит за допустимые нормы (см. рисунок 1). 

Рисунок – 1. Стабилизатор напряжения.

Классификация стабилизаторов напряжения по типу выходного напряжения:

· Стабилизаторы постоянного тока;

· Стабилизаторы переменного тока;

Тип питания такой же, как и выходное напряжение (постоянный или переменный ток), хотя возможны исключения.

Линейный стабилизатор – это делитель напряжения, на вход которого подается входное напряжение, а выходное (стабилизированное) напряжение снимается с нижнего плеча делителя (см. рисунок 2). 

Рисунок – 2. Линейный стабилизатор.

Стабилизация напряжения осуществляется путем изменения сопротивления одного из плеч делителя: сопротивление постоянно поддерживается таким, чтобы напряжение на выходе стабилизатора находилось в установленных пределах.

Линейный стабилизатор имеет низкий КПД (коэффициент полезного действия), так как часть мощности рассеивается в виде тепла на реагирующем  элементе.

Исходя из этого, регулирующий элемент должен иметь соответствующую мощность и, при необходимости, должен быть установлен на радиатор нужной площади.

Преимуществом линейного стабилизатора являются простота и небольшое количество используемых деталей.

В зависимости от расположения элемента с изменяемым сопротивлением (последовательное или параллельное соединение) линейные стабилизаторы делятся на два типа:

· Последовательный - регулирующий элемент находится в верхнем плече делителя (то есть последовательное с нагрузкой).

· Параллельный-регулирующий элемент  находится в нижнем плече делителя (то есть параллельно нагрузке).

В импульсном стабилизаторе ток от нестабилизированного внешнего источника подается на индуктивность короткими импульсами; при этом в индуктивности запасается энергия, которая затем высвобождается в нагрузку в виде электрической энергии, но уже с другими напряжениями. Стабилизация осуществляется  за счет управления длительностью импульсов и пауз между ними - широтно-импульсной модуляции. Импульсный стабилизатор, по сравнению с линейным, обладает значительно более высоким КПД (см. рисунок 3). 

Рисунок – 3. Импульсный стабилизатор.

В отличие от линейного стабилизатора, импульсный стабилизатор может преобразовывать входное напряжение произвольным образом (зависит от схемы стабилизатора):

·   Понижающий стабилизатор: выходное напряжение всегда ниже входного и имеет ту же полярность.

·   Повышающий стабилизатор: выходное напряжение всегда выше входного и имеет ту же полярность.

·   Инвертирующий стабилизатор: выходное напряжение имеет обратную полярность относительно входного, абсолютное значение выходного напряжения может быть любым.

В настоящее время основными типами стабилизаторов являются:

· Электродинамические сервоприводные (механические)

· Статические (Электронные переключаемые)

· Компенсационные (Электронные плавные)

Регулируемый стабилизатор положительного напряжения КР142ЕН18А - регулируемый 3-х выводной стабилизатор положительного напряжения, позволяющий питать устройства током до1.5А в диапазоне напряжений от 1В до 37В. Этого легко достичь, используя всего два внешних навесных резистора для установки необходимого выходного напряжения. Линейность нагрузочной характеристики лучше, чем в стандартных фиксированных стабилизаторах. КР142ЕН18А собран в стандартном транзисторном корпусе, позволяющем легко монтировать его на плате и теплоотводе (см. рисунок 4).   

Рисунок – 4. Регулируемый стабилизатор положительного напряжения КР142ЕН18А.

В дополнение к более высоким, чем у фиксированных стабилизаторов характеристикам, КР142ЕН18А имеет полную защиту от перегрузок, включающую внутрисхемное ограничение по току, защиту от перегрева и защиту выходного транзистора. Все схемы защиты от перегрузок остаются полностью работоспособными даже если вход регулирования отключен.

 Обычно входной конденсатор не нужен, если корпус стабилизатора находится в пределах 15 см от входной фильтрующей емкости, в противном случае он необходим. В дополнение может быть добавлен выходной конденсатор для сглаживания переходных процессов. Для достижения очень высокого значения коэффициента подавления пульсаций вход регулирования может быть зашунтирован емкостью. Помимо тех случаев, в которых используются фиксированные стабилизаторы, КР142ЕН18А находит применение в широком диапазоне других приложений. Например, переключаемый стабилизатор, стабилизатор с программируемым выходом, а с присоединением постоянного резистора между выходом и входом регулирования КР142ЕН18А может использоваться как прецизионный токовый стабилизатор. Источники с электронным выключением можно получить закорачиванием вывода регулирования на землю, при этом на выходе получается напряжение 1В, которое позволяет уменьшить ток в нагрузке.[[3]][[4]][[5]]

Основные характеристики

·   Регулируемый выход от 1В до 37В.

·   Гарантированный выходной ток 1.5 А.

·   Термостабильная защита по току.

·   Стандартный 3-х выводной транзисторный корпус.

·   Защита выхода от КЗ (короткого замыкания).






2. Расчет элементов стабилизатора.

Непосредственно за тем, чтобы напряжение оставалось таким, каким требуется, следит стабилизатор.

 Первоначально определяется напряжение Uвх, подающееся на стабилизатор, с целью получения необходимого Uвых.

Uвх= -35

Uвых= -20

Транзистор:

         Определение транзистора VT  производится по параметру рассеиваемой мощности.

Расчет:

Pmax=Iст*(Uвх-Uвых)*Imax; (1)

Pmax=1*(-35-20)*1=55Вт

Транзистор определятся по справочнику. Предположительно это будет  КТ817.

Первоначально определяется максимальный ток базы транзистора:

Iб max=Imax / h21Э min; (2)

h21Э min -  минимальный коэффициент передачи тока транзистора, который определяется по справочнику. При наличии данных предела параметра 30…..40, берется наименьший.

Iбmax=1/1,5=0,6А

Расчет сопротивления балластного резистора Rб:

Rб=(Uвх-Uст)/(Iб max+Iст min); (3)

Где Uст - напряжение стабилизации стабилитрона,
Iст min - ток стабилизации стабилитрона.

Rб = (-35+20)/(0,6+1) = -9,4 Ом.

Определение мощности данного резистора:

P=(Uвх-Uст)2/Rб.

P=(-35+20)2/9,4=3,2 Вт

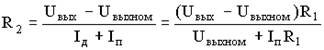
R1=Uвых ном/Iд ; (4)

Описание: # ; (5)

Uвыхном = Uвыхmin

R1=1/1,5=0,66Ом

R2=(-20-1)*0,66/(1+1,5)*0,66=8,4Ом

R3=R1*R2 (Uвых – Uопор )/ Uопор    ;(6)

Первоначально определяется минимальное значение выходного напряжение:

R3=0,66*(-8.4)*(-1 -1,25)/1,25=9,97 Ом

Далее рассчитывается  максимальное напряжение, выдаваемое стабилизатором:

R3=0,66*(-8.4)*(-20-1,25)/1,25=94,24 Ом

 

Таблица 1 – Перечень элементов стабилизатора.

№ по

порядку

Обозначение

Тип

Кол-во

Примечание

1

DA1

KP142EH18A

1

LM337T

2

VT1

КТ817А

1

ТО-126

3

C1

К50-16

1

1000мкФ

4

C2

К73-4

1

100мкФ

5

R1, R2

С5-15

2

0,66Ом;

8.4 Ом

6

R3

С5-15

1

9,97Ом


Чертёж – 1. Проектирование широкополосного усилителя (усилителя низкой частоты) и стабилизированного источника питания к нему (см. приложение 1).

Схема – 1. проектирование широкополосного усилителя (усилителя низкой частоты) и стабилизированного источника питания к нему (печатная плата) (см. приложение 2).


 Заключение.

КР142ЕН18А - регулируемый 3-х выводной стабилизатор положительного напряжения, позволяющий питать устройства током до 1.5А в диапазоне напряжений от 1В до 37В. Этого легко достигаемо при использовании всего двух внешних навесных резисторов для установки необходимого выходного напряжения. Линейность нагрузочной характеристики лучше, чем в стандартных фиксированных стабилизаторах. КР142ЕН18А собран в стандартном транзисторном корпусе, позволяющем легко монтировать его на плате и теплоотводе.

В дополнение к более высоким, чем у фиксированных стабилизаторов характеристикам, КР142ЕН18А имеет полную защиту от перегрузок, включающую внутрисхемное ограничение по току, защиту от перегрева и защиту выходного транзистора. Все схемы защиты от перегрузок остаются полностью работоспособными, даже если вход регулирования отключен. Обычно входной конденсатор не нужен, если корпус стабилизатора находится в пределах 15 см от входной фильтрующей емкости, в противном случае он необходим. В дополнение может быть добавлен выходной конденсатор для сглаживания переходных процессов.

Для достижения очень высокого значения коэффициента подавления пульсаций вход регулирования может быть зашунтирован емкостью. Помимо тех случаев, в которых используются фиксированные стабилизаторы, КР142ЕН18А находит применение в широком диапазоне других приложений. Например, переключаемый стабилизатор, стабилизатор с программируемым выходом, а с присоединением постоянного резистора между выходом и входом регулирования КР142ЕН18А может использоваться как прецизионный токовый стабилизатор. Источники с электронным выключением можно получить коротким замыканием вывода регулирования на землю, при этом на выходе получается напряжение 1В, которое позволяет уменьшить ток в нагрузке.[[6]][[7]]






 Список литературы.

1. Фолкеберри Л. ; «Применения операционных  усилителей и линейных ИС» -М.: Мир, 1985. -572с.

2. Хоровиц П. , Хилл У. ; «Искусство схемотехники» -М.: Мир, 1998. -700с.

3. Николаенко М.Н. ; «Самоучитель по радиоэлектронике» -М. :НТ Пресс, 2006. – 224с.

4. Гитцевич А.Б., Зайцев А.А., Мокряков В.В.  «Полупроводниковые приборы. Диоды выпрямительные, стабилитроны, тиристоры» – М.: Радио и связь, 1988. – 528 с.

5. Терещук P.M. «Полупроводниковые приемно-усилительные устройства» – Киев: Наук, думка, 1988. – 800 с.





Приложение 1

Приложение 2




[1]  Хоровиц П. , Хилл У. ; «Искусство схемотехники»

[2]  Гитцевич А.Б., Зайцев А.А., Мокряков В.В.  «Полупроводниковые приборы. Диоды выпрямительные, стабилитроны, тиристоры»

[3] Терещук P.M. «Полупроводниковые приемно-усилительные устройства»

[4]  Николаенко М.Н. ; «Самоучитель по радиоэлектронике»

[5]  Фолкеберри Л. ; «Применения операционных  усилителей и линейных ИС»

[6] Гитцевич А.Б., Зайцев А.А., Мокряков В.В.  «Полупроводниковые приборы. Диоды выпрямительные, стабилитроны, тиристоры»

[7] Николаенко М.Н. ; «Самоучитель по радиоэлектронике»


Не нашли материал для своей работы?
Поможем написать уникальную работу
Без плагиата!
Без нейросетей!