Расчет состава смесей с заданным набором свойств

  • Вид работы:
    Статья
  • Предмет:
    Биология
  • Язык:
    Русский
    ,
    Формат файла:
    MS Word
    17,33 kb
  • Опубликовано:
    2009-01-12
Вы можете узнать стоимость помощи в написании студенческой работы.
Помощь в написании работы, которую точно примут!

Расчет состава смесей с заданным набором свойств

Расчет состава смесей с заданным набором свойств

В.И. Вершинин, Р.Ю. Симанчев, Омский государственный университет, кафедра аналитической химии и химии нефти

Постановка задачи.

В химической технологии нередко требуется получать композиции с заданными свойствами, смешивая N однотипных компонентов. При этом массовые или объемные доли компонентов подбирают эмпирически в ходе длительных экспериментов или заранее рассчитывают с учетом свойств каждого компонента. Расчеты возможны только в том случае, когда процесс смешивания протекает аддитивно, то есть без химического или какого-либо иного взаимодействия между компонентами. Состав смеси рассчитать тем труднее, чем большее число свойств смеси надо учесть. Например, для получения бензина с октановым числом (ОЧ) = 92 можно смешивать бензины с ОЧ = 76 и ОЧ = 95, и расчет доли каждого из них (xj) не вызывет затруднений. Подбирая же состав бензиновой смеси по четырем свойствам одновременно, например, добиваясь заданных значений ОЧ, температуры вспышки, плотности и предела выкипания, придется смешивать несколько компонентов, а для точного расчета состава смеси решать систему из 4 линейных уравнений с несколькими неизвестными xj. Предварительный выбор возможных компонентов проводится так, чтобы по единичному свойству одни из них имели бы более высокие, а другие - более низкие значения, чем требуемая смесь. Однако это условие - необходимое, но не достаточное; решения должны отвечать естественным ограничениям, а именно: доля любого компонента должна попадать в интервал (0, 1), а сумма xj должна равняться единице. Рассчитать "идеальный" состав смеси "в лоб", то есть решая систему линейных уравнений, удается редко. Несомненно, для подбора качественного и расчета количественного состава аддитивных смесей перспективно применение ЭВМ. Смеси определенного вида (например, нефтепродукты) могут быть рассчитаны с помощью зарубежных многоцелевых лицензионных программ [1], но нам неизвестны программы, позволяющие решать подобные задачи в общем виде с учетом требуемой точности прогноза.

Целью настоящей работы было создание алгоритма и программного обеспечения для нахождения состава аддитивных смесей со свойствами, с определенной степенью точности соответствующими заданному набору значений ("идеалу"). Такой подход объясняется тем, что в процессе приготовления реальных композиций всегда допускаются небольшие отклонения свойств смеси от желаемых значений, связанные, в частности, с неизбежными погрешностями при измерении свойств смеси. Пределы отклонений указываются в технической документации.

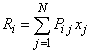
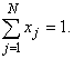
Алгоритм и программа. Допустим, что смесь предполагается составлять из N однотипных компонентов, при этом надо контролировать М свойств, имеющих одинаковую значимость. Обозначим численные значения i-го свойства смеси через Ri, а его идеальное значение через Fi. Те же показатели компонентов, взятых порознь, определяют заранее по стандартной методике или берут их из нормативной документации. Обозначим i-й показатель j-го компонента через Pij. Совокупность всех Pij для однотипных компонентов образует базу данных (БД).

Предположение об аддитивном характере смеси означает, что измеренное значение любого свойства (показателя) смеси равно:

(1)

Пусть Ri -задаваемое пользователем максимально допустимое отклонение i-го показателя смеси от его идеального значения. Будем считать, что допустимые отклонения каждого показателя "вверх" и "вниз" одинаковы, тогда модель аддитивного смешения приводит к системе неравенств и уравнений вида:

(2)

(3)

(4)

Условием существования смеси, отвечающей заданным требованиям, является совместность системы (2)-(4). Для решения этой системы целесообразно применить симплекс-метод [2] с произвольной линейной целевой функцией. В отличие от системы уравнений вида Fi - Pij xj = 0, система (2)-(4), как правило, имеет множество допустимых решений, особенно при больших Ri. Иными словами, приблизительное решение задачи о составе смеси возможно даже в тех случаях, когда точное решение получено быть не может. Приблизительное решение может быть уточнено различными способами, например путем повторных решений системы неравенств при постепенно уменьшающихся значениях Ri. Разумеется, исходная система неравенств может не иметь допустимых решений даже при больших Ri, что указывает на неудачный выбор исходных компонентов смеси, сочетанием которых приготовить смесь с желаемым набором свойств в принципе невозможно. В этом случае следует заменить один из компонентов смеси или ввести дополнительный.

Предложенный алгоритм был реализован (*1) в виде оригинальной расчетной программы Expert" для IBM-совместимых компьютеров с использованием системы программирования Borland С++. Программа "Ехpert" рассчитана на подбор состава смесей до 5-компонентных включительно и может учитывать до 5 независимых показателей. Первый вариант программы не требует наличия компьютерной базы данных и их автоматизированного ввода; свойства компонентов, как и "идеальные" свойства смеси, вводятся вручную. Значения Ri задаются пользователем в процентах от Fi, причем по разным показателям эти проценты могут не совпадать. Пользовательский интерфейс (на русском языке) рассчитан на интерактивный режим, он обеспечивает сохранение, дополнение или корректировку всех введенных параметров, а также выдачу на печать протокола эксперимента. Протокол воспроизводит исходные данные, содержит одно из допустимых решений системы (2)-(4), то есть набор xj, а также результаты подстановки этого решения в формулу (1). При несовместности системы пользователь получает сообщение, что достичь заданной близости свойств композиции к идеалу на основе данного набора компонентов нельзя.

Программа рассчитана на пользователя-технолога, проводящего серию последовательных расчетов (интерактивный режим компьютерного эксперимента). Если имеется база данных по свойствам возможных компонентов, но качественный состав композиции и даже число компонентов в ней заранее не определены, то рекомендуется начинать с проверки наиболее простых композиций. Вначале следует задавать достаточно большие отклонения, например Ri = 0,2 Fi. Отрицательный результат укажет на необходимость немедленно перейти к проверке смеси иного качественного состава, по усмотрению пользователя. В случае положительного результата пользователь может повторять расчет, последовательно уменьшая величину Ri (корректировка условия задачи и единичное решение ее занимают не более минуты). В результате серии расчетов будет получено либо достаточно точное совпадение всех показателей смеси с идеалом, либо выявлен тот набор минимальных значений Ri, ближе которого к идеалу подойти при данном качественном составе смеси нельзя.

Пример. В производстве определенного вида резины желательно было заменить уникальную импортную сажу А композицией из отечественных саж того же типа (*2). При этом надо было добиться как можно более полного совпадения трех адсорбционных показателей композиции (условно обозначены как ,  и ) со свойствами А. Аддитивность адсорбционных свойств композиций, составляемых из однотипных саж, ранее была доказана экспериментальным путем [3], что и позволило нам применять вышеописанный алгоритм и программное обеспечение. Вначале проверялась 3-компонентная композиция из саж Б, В и Г, выбранная технологами интуитивно (показатели сажи Б отличаются от А всего на 10% (запись эксперимента прилагается), тогда как сажи В и Г имеют соответственно существенно более высокие и более низкие показатели. Предполагалось, что В и Г могут быть регулирующими добавками. Проверка вначале проводилась при Ri = 0,05 Fi . Как видно из таблицы, составленной на основе информации, выданной ЭВМ на печать, моделирование А 3-компонентной смесью Б, В и Г действительно должно при некоторых их соотношениях приводить к отклонениям, не превышающим 5% отн., например, при доле В = 7,65% и Г = 10,23%. Повторный расчет при Ri = 0,03 Fi показал, что с этой точностью идеал также достигается, но уже при более высоких содержаниях добавок. Однако следующий расчет при Ri = 0,02 Fi не выявил допустимых решений, то есть дальнейшая оптимизация состава и свойств композиции Б, В и Г оказалась невозможной.

Аналогичные расчеты для композиций другого качественного состава привели к принципиально иным прогнозам. Так, было показано, что используя 2-компонентные смеси В и Г, мы при любых их соотношениях будем получать отклонения от идеала, превышающие 5%. Если же смешивать сажи Б и Д, можно при некотором их соотношении ожидать получения композиции, отличающейся от свойств сажи А по всем трем показателям всего на 1% . Так как погрешность измерения адсорбционных показателей в технологии сажевого производства более 1%, мы посчитали процесс оптимизации завершенным. Суммарное время компьютерного эксперимента по перечисленным сажевым композициям не превысило 50 мин.

Для проверки компьютерного прогноза была изготовлена реальная композиции Б + Д с вычисленным соотношением компонентов. Ее свойства исследовались в лабораториях Института техуглерода СО РАН (Омск) по стандартным методикам. Результаты подтвердили совпадение рассчитанных и реально полученных свойств композиции, то есть адекватность модели аддитивного смешения. Судя по экспериментальным данным, расхождения всех показателей композиции со свойствами уникальной сажи типа А не превышали 3% отн. и были статистически незначимы.

Данный пример подтверждает целесообразность применения программы Expert для прогнозирования качественного и количественного состава композиций c заданными свойствами. Возможны дальнейшие усовершенствования программы (можно автоматизировать перебор возможных сочетаний компонентов и ввод их показателей из БД, улучшить процедуру оптимизации и т.п.), однако выигрыш во времени вряд ли будет существенным. С другой стороны, применяемый сейчас интерактивный режим имеет и свои преимущества, в частности, технолог может использовать информацию, не учтенную в БД, уделять преимущественное внимание оптимизации по наиболее важным свойствам композиции и т.п.


Протокол компьютерного эксперимента Моделирование свойств сажи А композицией Б + В + Г

 

Показатели

Результаты

 

 

Идеал (А)

114

109

106

 

Компонент Б

116

106

98

 

Компонент В

238

159

140

 

Компонент Г

61

99

93

 

 

Расчет 1

 

 

 

 

Ri, в %

±5

±5

±5

xБ = 0,8212

 

 

 

 

xВ = 0,0765

 

 

 

xГ = 0,1023

Подстановка

119,7

109,3

100,7

 

 

Расчет 2

 

 

 

 

Ri, в %

±1

±3

±3

xБ = 0,4744

 

 

 

 

xВ = 0,1585

 

 

 

 

xГ = 0,3671

Подстановка

115,1

111,8

102,8

 

 

Расчет 3

 

 

 

 

Ri, в %

±2

±2

±2

решений нет

Список литературы

Современные системы компаундирования моторных топлив: Информационный обзор. М.: ЦНИИНефтехим, 1997.

Схивер А. Теория линейнего целочисленного программирования: В 2 т. М.: Мир, 1991.

Dowdle L.T. Gummi, asbest, kunststoffe. 1978. \No 1. С. 51-52.

Для подготовки данной работы были использованы материалы с сайта http://www.omsu.omskreg.ru/


Не нашли материал для своей работы?
Поможем написать уникальную работу
Без плагиата!
Без нейросетей!