Защита от Солнца

  • Вид работы:
    Статья
  • Предмет:
    Биология
  • Язык:
    Русский
    ,
    Формат файла:
    MS Word
    86,75 kb
  • Опубликовано:
    2009-01-12
Вы можете узнать стоимость помощи в написании студенческой работы.
Помощь в написании работы, которую точно примут!

Защита от Солнца

Защита от Солнца

И. А. Леенсон

Когда-то белая кожа считалась свидетельством благородного происхождения, поэтому её защищали от солнца. Потом времена изменились: показателем благосостояния и здорового образа жизни стал загар. В начале XX века эта мода распространилась по всему миру (последний российский император написал в дневнике о дочерях: „Откуда это у великих княжон странное желание почернеть от солнца?“). А что говорит о загаре наука?

Для начала вспомним, под каким светом загорает наша кожа. Люди становятся золотистыми или бронзовыми, когда, на их кожу попадают искусственные или естественные ультрафиолетовые лучи — свет с длиной волны меньше 400 нм (более длинноволновое излучение относится уже к видимому свету). Источник естественного ультрафиолета — прямая или рассеянная солнечная радиация (слово „рассеянный“ означет что загореть можно и в облачную погоду), а искусственного — например, — ртутно-кварцевые лампы. Но ультрафиолет бывает разный, и его действие на кожу зависит от длины волны излучения. Мягкое УФ-излучение (315–400 нм, УФ–А) наименее опасно для организма. Средний ультрафиолет (280–315 нм, УФ–В) и жёсткий (100–280 нм, УФ–С) гораздо опаснее, так как они лучше поглощаются биологическими молекулами.

До поверхности Земли доходит только излучение А и В, а от жёсткого ультрафиолета С нас пока спасает озоновый слой (хотя сейчас из-за озоновых дыр ситуация меняется). Как показали специальные исследования, до земной поверхности не доходят лучи с длиной волны меньше 286 нм. Реально же на умеренные широты попадает излучение от 295 нм (в Москве — от 301 нм). То, под каким УФ-излучением мы загораем, зависит помимо всего прочего от широты местности, её высоты над уровнем моря и запылённости атмосферы. Получить солнечный ожог в горах несравненно легче, чем на равнине, а на юге загорают быстрее, чем в средних широтах.

Химия загара

Загар — это защитная реакция кожи на облучение. Под действием света в ней образуется особый чёрно-коричневый пигмент меланин (от греческого melas — чёрный), который не только защищает кожу от излучения, но и выполняет функции антиокислителя, нейтрализуя опасные для клеток свободные радикалы. Меланин в больших или меньших количествах есть и в незагорелой коже, и он же окрашивает радужную оболочку глаз и волосы (его нет только у альбиносов).

Механизм образования меланина полностью не выяснен

Меланин — это высокомолекулярное соединение сложного строения. Его цвет и защитные функции во многом обусловлены тем, что в нём есть неспаренные электроны. Механизм образования меланина полностью не выяснен, но известно, что важную роль в нём играют аминокислота тирозин и фермент тирозиназа (рис. 1). Он синтезируется в особых клетках кожи — меланоцитах, а регулирует этот процесс гормональная система, в основном гормоны гипофиза (так называемые меланоцитстимулирующие гормоны). Взаимодействуя с молекулой белка, меланин формирует тёмные зёрнышки размером от 0,1 до 2 мкм. Меланоциты через свои отростки как бы впрыскивают эти зёрнышки в клетки верхних слоёв кожи, пока почти весь меланин не окажется в наружном роговом слое. Оттенок загара, возможно, зависит от того, в каком состоянии находится меланин: в окисленном он чёрный, а в восстановленном — жёлто-коричневый.

Меланин — прекрасный фильтр, он задерживает более 90% УФ-излучения, но это не единственный природный механизм защиты кожи. Ведь хорошо известно, что даже загорелый человек или негр не застрахованы от ожога, если окажутся на жарком солнце после перерыва.

урокановая кислота

И вместе с тем альбиносы, совсем не имеющие меланина, вырабатывают некоторую устойчивость к ультрафиолету и могут какое-то время находиться на солнце. От ожога их спасает толстый роговой слой из мёртвых клеток на поверхности кожи. Чем дольше человек находится под солнцем, тем толще становится роговой слой. Поэтому загоревшая кожа становится более грубой и шершавой, чем она была до загара. Ещё одна степень защиты — урокановая кислота, присутствующая в наружных слоях кожи. При облучении молекулы этой кислоты изменяют свою форму (транс-форма переходит в цис-) и таким образом превращают ультрафиолетовую радиацию просто в теплоту. В темноте идёт обратная реакция (рис. 2).

Но почему мы должны защищать кожу от ультрафиолета? Ведь известно, что он полезен, более того, необходим человеку хотя бы потому, что стимулирует образование витамина D (при длине волны 280–320 нм). Умеренные дозы ультрафиолета помогают организму подавлять простудные, инфекционные и аллергические заболевания, улучшают питание и кровоснабжение кожи, способствуют нормализации обмена веществ, благотворно действуют на аппетит и сон. Более того, ультрафиолет повышает устойчивость ко многим вредным веществам, в частности к свинцу, ртути, кадмию, бензолу, тетрахлориду углерода и сероуглероду, что весьма важно для химиков.

Но всё хорошо в меру. Избыток УФ-излучения, напротив, угнетает защитные силы организма, а кроме того, нарушает обменные процессы, функцию эндокринной системы. Многие испытали на себе, как плохо сказывается длительное облучение на самочувствии: появляются повышенные возбудимость, раздражительность или, наоборот, вялость. Давно известно и то, что лучи с длиной волны в интервале 270–334 нм могут вызвать рак: наиболее опасны УФ–В лучи от 301 до 303 нм — именно в той области самая высокая чувствительность кожи к ожогу.

Немного фотохимии

Давайте постараемся проследить путь кванта света после того, как он попадает на кожу, и понять, что же вредного он в себе несёт. Биомолекулы (какие — мы увидим дальше) поглощают кванты света и переходят в возбуждённое состояние. Этот процесс можно проиллюстрировать диаграммой, предложенной в 1935 году польским физиком Александром Яблонским (рис. 3).

Упрощённая диаграмма Яблонского

Рис. 3. Упрощённая диаграмма Яблонского.

Не будем вдаваться в подробности энергетических переходов. Для нас важны два обстоятельства: во-первых, в возбуждённых состояниях молекулы живут очень недолго (ничтожные доли секунды, причём в синглетном состоянии обычно значительно меньше, чем в триплетном), а во-вторых, они становятся очень реакционноспособными. У такой молекулы есть три возможных судьбы. Первая — вернуться в основное состояние; при этом избыток энергии, принесённый квантом света, перейдёт в тепловую энергию, которая передастся другим молекулам и рассеется в окружающее пространство. Вторая — испустить квант света (если молекула перед этим была в синглетном состоянии, излучение называется флуоресценцией, а если в триплетном — фосфоресценцией). Наконец, возбуждённая молекула может вступить в ту или иную химическую реакцию: изомеризации, ионизации, диссоциации или в реакцию с другими молекулами.

Таким образом, ультрафиолет запускает различные вторичные процессы, в том числе и цепные реакции. Единственное препятствие — малое время жизни возбуждённых состояний.

Конечно, в клетках предусмотрена защита от фотоповреждений. Есть множество ферментов, которые вырезают повреждённые участки и затем достраивают разорванную цепь ДНК. Так, существует фермент фотолиаза, который расщепляет пиримидиновые димеры. По некоторым данным, участвует в фотозащите и гормон серотонин, который встраивается в ДНК (без образования химических связей) и мешает образованию опасных димеров. Пиримидиновые основания поглощают свет в области 200–300 нм. Однако исследования показали, что изменения в ДНК могут происходить и под действием света УФ–А (320–400 нм), но этот механизм ещё полностью не изучен. К счастью, мягкий УФ–А действует сравнительно слабо, и вред от него проявляется только тогда, когда интенсивность и доза излучения на несколько порядков выше по сравнению с коротковолновым УФ-излучением.

К сожалению, одной ДНК дело не ограничивается, УФ-радиация может повреждать и белки. Поскольку к белкам относятся все ферменты, то их повреждение может отозваться тяжёлыми последствиями. Измерения показали, что эффективность повреждения белков может быть 0,1–1% в расчёте на число поглощённых квантов. Не все аминокислотные остатки в составе белков одинаково чувствительны к ультрафиолету: быстрее всего начинают реагировать триптофан и цистин. Но и этого вполне достаточно: из триптофана получается реакционноспособный радикал, который может сшивать соседние цепи белка. Если же триптофан входит в активный центр какого-либо фермента, то последний после этого неизбежно потеряет активность. Выбитый из молекулы триптофана электрон также ничего хорошего клетке не принесёт. Он помогает образованию активного радикала НО2·, или напрямую разрушает другие структуры белковой молекулы. Например, после присоединения электрона к молекуле цистина разрываются дисульфидные мостики.

Помимо ДНК и белков, ультрафиолет может действовать и на липиды — то есть на мембраны клеток. При облучении изменяется их ионная проницаемость, из-за чего клетки набухают и разрываются. Так кванты света разрушают эритроциты и работу внутриклеточных органов, таких, как митохондрии и лизосомы. В случае биологических мембран кванты действуют не напрямую, но также безотказно: сначала его улавливают фотосенсибилизаторы, которые передают возбуждение на липиды. В состав липидов входят полиненасыщенные жирные кислоты с несколькими двойными связями, что и делает их чувствительными к фотоокислению. Начинается цепная реакция, в результате которой получаются гидроперекиси. Цепное фотоокисление липидов можно затормозить с помощью ингибиторов — молекул, перехватывающих свободные радикалы. Ингибиторы цепного окисления называются антиокислителями, или антиоксидантами. Наиболее известный из них — альфа-токоферол (витамин Е).

Что и как защищает кожу от УФ-излучения?

Обычно те материалы, которые задерживают видимый свет, непрозрачны и для УФ-лучей. Обратное не всегда верно: вещество может быть совершенно прозрачным и бесцветным и в то же время почти полностью задерживать УФ-лучи. Очень важна и толщина материала: с её увеличением интенсивность поглощения возрастает по экспоненте. Например, обычное оконное стекло толщиной 0,1 мм весьма прозрачно во всей УФ-области. То же стекло толщиной 3 мм пропускает свет уже только в области УФ–А. Частично пропускает ультрафиолет и лёгкая одежда. Наиболее прозрачны ткани редкого плетения из тонких волокон, вроде капрона. Из полимерных материалов самый прозрачный — полиэтилен, он совсем немного ослабляет УФ-радиацию. В то же время плёнки из полистирола и некоторых других полимеров задерживают ультрафиолет значительно лучше.

Чтобы защитить кожу от солнца, особенно на пляже, используют специальные кремы. Они в ходу довольно давно, но раньше их состав подбирали чисто эмпирически, не имея представления о том, какие химические реакции происходят в коже под действием света. Получались, по современным понятиям, довольно жуткие смеси. Так, в рецептурном справочнике, изданном в США в тридцатые годы, в состав солнцезащитных кремов рекомендовали вводить различные экзотические вещества (трагант, миндальное масло, сосновое масло, китайское коричное масло и т. п.), а также весьма сомнительные соединения — борную кислоту, буру, фенол, полиалкилгликоли (под фирменным названием „гликопон“), сульфат хинина, холестерин, нафтолдисульфонат натрия. Популярны были также неорганические пигменты белого цвета, защитная роль которых сводилась к чисто механическому отражению и рассеянию света. Интересно, что простым добавлением коричневого красителя почти любой состав можно было превратить в средство для загара!

Сейчас подход к созданию солнцезащитных кремов чисто научный. Косметологи исходят из того, что эти средства должны помогать природным механизмам обезвреживать опасные кванты УФ-излучения. Эта помощь может быть просто механической: например, оксид цинка или титана делает крем ярко-белым и он образует на коже непрозрачный слой, который отражает и рассеивает ультрафиолетовое излучение. В состав кремов вводят также органические соединения, которые поглощают солнечную радиацию в нужном диапазоне длин волн. При этом молекулы-защитники не должны сами вступать в реакции или давать вредные продукты, например свободные радикалы. Их задача — поглотить квант света, очень быстро возвратиться из возбуждённого состояния в основное и работать дальше. Конечно, к веществам в составе солнцезащитных кремов предъявляют и другие требования: они должны быть нетоксичными, не раздражать кожу и т. д.

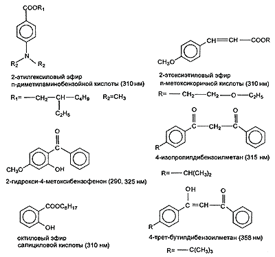
Вещества, поглощающие ультрафиолетовое излучение

Рис. 4. Вещества, поглощающие ультрафиолетовое излучение.

Некоторые из таких соединений показаны на рисунке 4. Все они содержат бензольные кольца, многие — сопряжённые системы связей, благодаря которым и поглощают ультрафиолетовое излучение. Первой косметологам приглянулась пара-аминобензойная кислота (по-английски сокращённо РАВА, от para-aminoben-zoic acid). Сложные эфиры РАВА (этиловый, пропиловый, изопропиловый) применяют в медицине в качестве местных анестезирующих средств, например новокаин. Проблема в том, что РАВА плохо растворяется в жироподобных веществах, которые, собственно, и составляют основу любого крема. Поэтому используют сложные эфиры: они растворяются значительно лучше. Однако у 1–2% людей РАВА и её производные вызывают аллергические реакции.

С этой точки зрения предпочтительнее другие солнцезащитные соединения, например эфиры коричной кислоты С6Н5–СН=СН–СООН и салициловой кислоты, производные бензофенона С6Н5–СО–С6Н5. Они очень хорошо поглощают УФ-излучение. Так, не замещённая коричная кислота делает это в сто раз лучше, чем бензол. Поэтому для кремов достаточно совсем небольших концентраций производных этой кислоты (циннаматов). Производные салициловой кислоты поглощают хуже, соответственно концентрация этих соединений в защитных кремах должна быть более высокой.

Защитное действие любого такого соединения или их смеси оценивается „защитным фактором“. Например, если раздражение на чистой коже появилось через 10 минут облучения, а на смазанной кремом (в точно таких же условиях) — через час, то защитный фактор равен 60÷10 = 6. Часто для повышения защитного фактора в одном креме одновременно применяют несколько различных соединений.

Помимо соединений с солнцезащитным действием, известны и такие, которые, напротив, увеличивают чувствительность кожи к ультрафиолетовому и даже видимому свету. Такие соединения (их называют фотосенсибилизаторами) могут попасть в кожу и при непосредственном контакте, и при приёме внутрь. С этим должны считаться химики, работающие с большим количеством различных соединений, действие которых на организм недостаточно изучено. Известно довольно много сенсибилизаторов загара: различные смолы, желчь, хинин, метиленовый синий, эозин и даже мука, которая вызывает „гречишную“ болезнь. К их числу относятся и некоторые лекарства, например сульфаниламиды. Вот почему при лечении такими препаратами надо избегать длительного пребывания на солнце. Впрочем, соединения, обладающие особенно сильным фотосенсибилизирующим действием, используют для лечения некоторых кожных болезней (см „Химию и жизнь-XXI век“, 1-й пилотный номер, 1996).

Список литературы

Для подготовки данной работы были использованы материалы с сайта http://wsyachina.narod.ru/

Похожие работы на - Защита от Солнца

 

Не нашли материал для своей работы?
Поможем написать уникальную работу
Без плагиата!
Без нейросетей!