Расчет рыночной стоимости транспортного средства
ГОУ ВПО
Дальневосточный Государственный
Университет Путей Сообщения
Институт дополнительного
образования
КУРСОВАЯ РАБОТА НА ТЕМУ:
«РАСЧЕТ РЫНОЧНОЙ СТОИМОСТИ
ТРАНСПОРТНОГО СРЕДСТВА»
Группа О-9
Выполнил:
Никифорова А.С.
Проверил:
Меняйлова Н.А.
Хабаровск 2012
АННОТАЦИЯ
В данной курсовой работе проведен расчет рыночной стоимости легкового
автомобиля PEUGEOT 308. В ходе работы был проведен анализ рынка легковых
автомобилей, рассмотрены три метода оценки транспортного средства, проведен
расчет по двум подходам и выведена итоговая стоимость.
В работе обоснован отказ от применения доходного подхода. Представлен
подробный расчет затратным подходом методом замещения и сравнительным подходом
методом прямого сравнения продаж
Курсовая работа выполнена на листах формата А4, содержит 9 таблиц.
Оглавление
АННОТАЦИЯ
ВВЕДЕНИЕ
1.
ТЕОРЕТИЧЕСКИЕ ОСНОВЫ ОЦЕНКИ МАШИН, ОБОРУДОВАНИЯ И ТРАНСПОТРНЫХ СРЕДСТВ
1.1 Принципы при оценки
машин, оборудования и транспортных средств
1.2 Виды стоимости
1.3 Основные понятия и
определения
1.4 Последовательность
определения стоимости объекта оценки
2. АНАЛИЗ РЫНКА
ТРАНСПОРТНЫХ СРЕДСТВ
3. ОПИСАНИЕ ОБЪЕКТА
ОЦЕНКИ
3.1 Инспекция имущества
3.2 Описание объекта
оценки
3.3 Описание оцениваемых
прав
4. ПРОЦЕСС ОЦЕНКИ
4.1 Анализ наилучшего и
наиболее эффективного использования
4.2 Затратный подход
4.2.1 Затратный поход и его
методы
4.2.2 Расчет рыночной
стоимости затратным походом
4.3 Сравнительный подход
4.3.1
Сравнительный подход и его методы
4.3.2 Расчет
рыночной стоимости сравнительным подходом
4.4 Доходный подход
4.4.1 Доходный подход и его
методы
4.4.2 Расчет рыночной стоимости
доходным подходом
5. СОГЛАСОВАНИЕ
РЕЗУЛЬТАТОВ
ЗАКЛЮЧЕНИЕ
СПИСОК
ЛИТЕРАТУРЫ
ВВЕДЕНИЕ
В настоящее время идет активный процесс развития оценочной деятельности,
как одного из важнейших институтов современной рыночно-правовой экономики.
Оценочная деятельность является одним из необходимых условий формирования
рыночной экономики и правового государства, создания нормальных
экономико-правовых отношений в обществе, а также обеспечения легитимного и
цивилизованного экономического оборота прав собственности. На автотранспортном
комплексе РФ, основным видом актива которого являются автотранспортные
средства, потребность в стоимостной оценке автотранспортных средств также
постоянно возрастает в связи со стабильным ростом автомобилизации в стране.
Оценка автотранспортных средств является специализированным и
обособленным видом оценочной деятельности, имеющим принципиальное отличие от
оценки других видов объектов.
Целью данной курсовой работы является расчет рыночной стоимости легкового
автомобиля PEUGEOT 308.
Задачей курсовой работы является закрепление полученных теоретических
знаний в рамках дисциплины «Оценка стоимости машин, оборудования и транспортных
средств» на практике.
1.
ТЕОРЕТИЧЕСКИЕ ОСНОВЫ ОЦЕНКИ МАШИН, ОБОРУДОВАНИЯ И ТРАНСПОТРНЫХ СРЕДСТВ
1.1 Принципы
при оценки машин, оборудования и транспортных средств
рыночная стоимость
транспортное средство
Методологические корни теории оценки стоимости кроятся в экономической
теории, особенно в таких науках, как микроэкономика, маркетинг и
ценообразование. Теоретические аспекты оценки исходят из теории стоимости,
которая рассматривает категорию стоимости, ее сущность и взаимосвязи с другими
экономическими категориями (ценой, ценностью, полезностью, качеством и т.д.).
Многие десятилетия ученые-экономисты разных научных школ вели дискуссии вокруг
категории «стоимость». В зависимости от цели оценки и назначения использования
ее результатов существует много разных видов стоимости, и о них речь пойдет
ниже, но прежде всего необходимо определить стоимость в ее политэкономическом
смысле. В настоящее время сложился такой взгляд, что стоимость в широком
экономическом смысле есть денежное выражение ценности объекта и относящихся к
нему прав собственности в конкретный момент времени. Таким образом, ценность
или полезность - то свойство, которое определяет стоимость объекта. Это
означает, что для оценки стоимости объекта необходимо в первую очередь оценить
его полезность и проанализировать потребности всех контрагентов, хоть
сколько-нибудь заинтересованных в результатах функционирования объекта.
Оценка стоимости как наука базируется на ряде фундаментальных положений
экономической теории и других смежных наук. Эти положения в форме неких
постулатов, которые обязательно должны учитываться при оценке стоимости,
называют общеэкономическими принципами оценки. Одними из первых данные принципы
сформулировали американские специалисты по оценке недвижимости Дж. Фридман и Н.
Ордуэй. Общеэкономические принципы оценки в их содержательном аспекте являются
едиными для всех видов имущества, но в то же время применительно к машинам,
оборудованию и транспортным средствам их практическая интерпретация несколько
меняется в отличие, например, от недвижимости.
Принципы оценки можно подразделить на следующие три группы:
· принципы, основанные на представлениях владельца имущества;
· принципы, обусловленные факторами функционирования объекта и
его взаимодействия с другими объектами имущества;
· принципы, связанные с рыночной средой.
Первая группа включает принципы, основанные на представлениях владельца
имущества.
Принцип полезности заключается в том, что ключевым критерием стоимости
объекта является его полезность, т.е. способность удовлетворять какие-то потребности
людей. Кратко это можно сформулировать так: есть полезность - есть стоимость,
нет полезности - нет стоимости. Исследовать полезность оцениваемого объекта -
значит определить, для кого, для каких целей и в силу каких свойств интересен
данный объект, кто принципиально может быть его возможным покупателем
(инвестором), как может измениться полезность объекта в перспективе и под
влиянием каких причин.
Принцип замещения исходит из того, что цена на объект, которую может
предложить возможный покупатель, не превысит сложившиеся на рынке цены на
аналогичные по назначению и потребительским свойствам объекты. На основе
данного принципа построены широко распространенные в практике оценки методы
сравнительного подхода, когда стоимость определяется сравнением с рыночными
ценами на аналогичные и идентичные объекты.
Принцип ожидания подчеркивает готовность покупателя (инвестора) вложить
свои средства на приобретение или на изготовление объекта в настоящее время,
ожидая получение доходов (выгод) от владения данным объектом в будущем. Данный
прин цип открывает возможность определить стоимость объекта на текущий момент
времени на основе прогноза будущих доходов при эксплуатации объекта и
приемлемой для покупателя (инвестора) норме доходности на вложенный капитал.
Тем самым закладывается методологическая база для реализации доходного подхода
при оценке.
Вторая группа включает принципы, обусловленные факторами функционирования
объекта и его взаимодействия с другими объектами имущества.
Принцип формирования стоимости под влиянием факторов производства
заключается в следующем. Оцениваемый машинный комплекс, с помощью которого
производится какая-либо продукция или выполняются какие-либо работы,
рассматривается как подсистема в производственной системе предприятия
(бизнес-единицы), доходность которой, как следует из экономической теории,
определяется четырьмя факторами: землей, трудом, капиталом и менеджментом.
Чистый доход - результат действия всех четырех факторов, и поэтому на основе
оценки дохода определяется стоимость всей производственной системы. Для оценки
стоимости машинного комплекса нужно либо установить его долю (вклад) в
формирование дохода всей системы, либо применить метод остатка, т.е. искомая
стоимость комплекса получается вычитанием из стоимости всей системы стоимости
других активов (недвижимости, земельного участка, нематериальных активов и
гудвилла).
Принцип вклада применительно к машинам и оборудованию состоит в том, что
оснащение объекта дополнительными устройствами, расширяющими функциональные
возможности объекта, не приводит к росту стоимости объекта на величину затрат
по приобретению и установке этих устройств. Вклад дополнительных устройств в
прирост стоимости объекта определяется тем, насколько повышается доходность
функционирования объекта от применения этих устройств. Например, если
технологическую машину оснастить роботом для автоматизации вспомогательных
операций, то стоимость полученного технологического комплекса будет
определяться производительностью, надежностью, экономичностью и другими показателями,
влияющими на доходность его функционирования. Таким образом, любые добавочные
элементы к машине оправданы тогда, когда получаемый прирост стоимости машины
превышает затраты на приобретение этих элементов.
Принцип сбалансированности (пропорциональности) применительно к машинам,
оборудованию и транспортным средствам следует понимать так, что все объекты,
входящие в машинный комплекс, должны быть согласованы между собой по пропускной
способности и другим характеристикам. При несоблюдении данного принципа добавление
еще одного или нескольких объектов в состав комплекса не дает адекватного роста
производственной мощности, а, следовательно, и стоимости машинного комплекса.
Принцип наилучшего и наиболее эффективного использования требует того,
чтобы оценка стоимости объекта, который может быть использован по-разному,
производилась при условии его наилучшего и наиболее эффективного использования.
Применительно к машинам, оборудованию и транспортным средствам согласно этому
принципу любая машина должна оцениваться, допуская, что она применяется по
прямому назначению, обеспечивается полная загрузка машины во времени и по
мощности, соблюдаются правила технического обслуживания и ремонта,
поддерживается нормальный режим эксплуатации, рабочий персонал имеет соответствующую
квалификацию. Трудности с соблюдением данного принципа возникают тогда, когда
оценивают объекты, обладающие многофункциональностью и несколькими сферами
применения. Например, трактор может применяться и на строительной площадке, и
на сельскохозяйственных работах, и на промышленном предприятии. Доходность
трактора в каждой сфере применения разная, соответственно разной будет и
оцениваемая стоимость. В качестве базовой сферы применения для оценки трактора
оценщик выберет ту, в которой наиболее полно реализуются функциональные
возможности этой машины.
В третью группу входят принципы, непосредственно связанные с рыночной
средой.
Принцип соответствия объекта требованиям рынка. Один и тот же объект
разными категориями покупателей (инвесторов) оценивается по-разному. Например,
комфортабельный легковой автомобиль высоко ценится в условиях города, тот же
автомобиль не представляет особой ценности для сельского жителя особенно в
условиях бездорожья. Если в некотором регионе имеется много промышленных
предприятий, то на местном региональном рынке будет повышенный спрос на станки,
пресса и другие технологические машины, соответственно и цены на это
оборудование будут не низкими. В силу данного принципа обязательным элементом
процедуры оценки должен быть анализ рынка, установление соответствия
оцениваемого объекта запросам рынка.
Принцип ориентации на равновесные цены требует того, чтобы при оценке
использовались равновесные цены аналогов. Из теории ценообразования известно,
что на нормально функционирующем рынке цены стабильны и стремятся к
равновесному уровню, при котором наступает соответствие между спросом и
предложением. Равновесные цены можно назвать также согласованными,
справедливыми ценами, одинаково выгодными и продавцам, и покупателям.
Стоимость, рассчитываемая при оценке по этим ценам, также становится
справедливой стоимостью.
Принцип учета характера конкуренции состоит в том, что товарные рынки
могут существенно различаться по характеру и состоянию конкуренции и
соответственно степени их монополизации. Характер конкуренции отражается на
процессе ценообразования. Так, в условиях монополизированного рынка цены обычно
искажены в пользу монополиста и содержат повышенную долю его прибыли. В
условиях свободного конкурентного рынка происходит уравнивание доходности
вложений, рентабельность продаж в ценах поддерживается примерно на стабильном
уровне. Благодаря конкуренции экономическая структура цен становится стабильной
и прозрачной, это открывает возможности использования затратного подхода при
оценке стоимости.
Принцип изменения (подвижности) стоимости требует учета фактора
непостоянства стоимости одного и того же объекта во времени. Общеэкономическая
инфляция в стране, а также сдвиги в структуре отдельных товарных рынков
вызывают динамику цен и соответственно стоимости. Отсюда следует требование о
том, что каждая оценка стоимости должна содержать указание о дате оценки, т.е.
о том моменте календарного времени, по состоянию на которое определена
стоимость.
Машины, оборудование и транспортные средства - сложные, многокомпонентные
изделия. При проведении оценки рыночной стоимости этих объектов применяют не
только перечисленные выше общеэкономические принципы, но и другие общепринятые
в научных исследованиях принципы и подходы(системный анализ, функциональный
подход, статистическое моделирование и принцип жизненного цикла).
1.2 Виды
стоимости
В практике оценки применяют много видов стоимости и соответствующих им
определений. Причем неспецифицированный термин «стоимость» почти не
применяется, обычно оценщики используют его в сочетании с определяющим
прилагательным, конкретизирующим смысл рассматриваемой стоимости.
Чаще всего речь идет о рыночной стоимости, т.е. стоимость рассматривается
под углом зрения рынка, а не с позиции абстрактного представления об абсолютной
ценности объекта. В Законе об оценочной деятельности дано следующее определение
рыночной стоимости: «Под рыночной стоимостью объекта оценки понимается наиболее
вероятная цена, по которой данный объект может быть отчужден на открытом рынке
в условиях конкуренции, когда стороны сделки действуют разумно, располагая
необходимой информацией, а на цене сделки не отражаются какие-либо чрезвычайные
обстоятельства».
Таким образом, назначаемая оценщиком рыночная стоимость есть его суждение
о том, какую вероятную цену сделки может иметь оцениваемый объект в условиях
открытого, конкурентного, активного первичного или вторичного рынка. Реальная
цена объекта по конкретной сделке может отличаться от ранее назначенной
оценщиком стоимости в ту или иную сторону, прежде всего, по той причине, что
эта сделка отличается от условий активного, «идеального» рынка.
Аналогом понятию рыночной стоимости служит понятие справедливой
стоимости. Термин «справедливая стоимость» возник в зарубежных стандартах
бухгалтерского учета, определяющих правила раскрытия информации о финансовых
инструментах. Понятие справедливой стоимости в международных стандартах
финансовой отчетности (МСФО 32, 39, 16) записано следующим образом:
«Справедливая стоимость (fair value) - это сумма денежных средств, достаточная
для приобретения актива или исполнения обязательства при совершении сделки
между хорошо осведомленными, действительно желающими совершить такую сделку, не
зависящими друг от друга сторонами». Как видно из этого определения,
принципиальных различий между понятиями рыночной стоимости и справедливой
стоимости нет. Смежными по отношению к рыночной стоимости являются понятия цены
и себестоимости.
Цена - сумма, которую оплачивает покупатель (инвестор) при приобретении
объекта как товара. Цена назначается предприятием-изготовителем или
продавцом-дилером в процессе ценообразования. Теория ценообразования
рассматривает разные виды цен: спроса, предложения, сделки, оптовые, розничные,
сбытовые, отпускные и т.д. В рыночной экономике цены выполняют целый ряд важных
функций (учета объемных показателей, распределения дохода, регулирования спроса
и т.д.). Для практики оценки стоимости цены служат первичным информационным
материалом, на базе которого строится суждение о рыночной стоимости.
Себестоимость продукции - выраженная в денежной форме совокупность затрат
на производство и реализацию продукции.
Себестоимость продукции - экономический показатель многоцелевого
применения, он исчисляется и для целей бухгалтерского, налогового и
управленческого учета, и для целей планирования и экономического анализа
производства, и для целей ценообразования. Исчисление себестоимости единицы
продукции (в частности, одного изделия) называется калькуляцией. Различают
несколько видов себестоимости и соответственно калькуляции: плановая, нормативная,
отчетная или фактическая, полная, цеховая, технологическая и т.д. Кроме того,
надо различать себестоимость изделия и себестоимость продукции или услуг,
которые производятся с помощью данного изделия. Последнее замечание особенно
важно для технологического оборудования и транспортных средств.
Себестоимость оцениваемого объекта представляет интерес для оценки
стоимости, особенно если эта оценка производится на основе затратного подхода.
А при применении доходного подхода не обойтись без расчета себестоимости
продукции или услуг, которые производятся с помощью оцениваемого объекта.
Полная себестоимость объекта, включающая затраты и на его производство, и
на его реализацию, влияет на рыночную стоимость объекта, однако однозначно ее
не определяет. Дорогая в изготовлении машина может оказаться мало полезной или
по своему качеству мало привлекательной для потребителей и иметь рыночную
стоимость ниже ее себестоимости.
Обилие терминов, касающихся разных видов стоимости, связано еще и с тем,
что наряду с видами стоимости, которые используются только в теории оценки,
есть свои виды стоимости, которыми оперируют в других сферах экономической
деятельности, например, в бухгалтерском учете, в налогообложении, во
внешнеэкономической деятельности и т.д.
Стоимость замещения - сумма затрат на создание объекта, аналогичного
объекту оценки, в рыночных ценах, существующих на дату проведения оценки, с
учетом износа объекта оценки. Из определения видно, что стоимость замещения
объекта получается тогда, когда ее оценка делается сравнением с аналогичными
объектами, для которых цены известны. Обычно стоимость замещения рассчитывается
сначала как полная, т.е. без учета обесценения, вызванного износом, сравнением
с новыми аналогичными объектами, а затем как остаточная, т.е. вычетом из
полученной полной стоимости обесценения, вызванного износом.
Стоимость воспроизводства - сумма затрат в рыночных ценах, существующих
на дату проведения оценки, на создание объекта, идентичного объекту оценки, с
применением идентичных материалов и технологий, с учетом износа объекта оценки.
Полная стоимость воспроизводства может быть определена либо по действующим на
момент оценки ценам на идентичный объект.
Для машин, оборудования и транспортных средств идентичным считается
объект той же модели, модификации и исполнения, что и оцениваемый объект. Либо
эта стоимость определяется одним из методов затратного подхода. Затем из
рассчитанной полной стоимости вычитается обесценение, вызванное износом, и
получают остаточную стоимость.
Стоимость объекта при существующем использовании - стоимость объекта
оценки, определяемая исходя из существующих условий и целей его использования.
Оценка этого вида стоимости имеет смысл для такого оборудования, на стоимость
которого сильно влияют место его применения, наличие коммуникаций, фундамента и
ограждений, приспособленность помещения, укомплектованность вспомогательными
устройствами (например, оборудование энергосистем, котельные установки,
средства связи и т.д.).
Инвестиционная стоимость - стоимость объекта оценки, определяемая исходя
из его доходности для конкретного лица при заданных инвестиционных целях.
Инвестиционная стоимость определяется применительно к определенному
инвестиционному проекту. Один и тот же объект может иметь разную инвестиционную
стоимость для разных проектов. Это будет зависеть от эффективности проектов, их
степени риска и требуемой доходности со стороны инвестора.
Стоимость для целей налогообложения - стоимость объекта оценки,
определяемая для исчисления налоговой базы и рассчитываемая в соответствии с
положениями нормативных правовых актов (в том числе инвентаризационная
стоимость). Наиболее характерным случаем является определение среднегодовой
остаточной стоимости для исчисления налога на имущество.
Ликвидационная стоимость - стоимость объекта оценки в случае, если объект
оценки должен быть отчужден в срок меньше обычного срока экспозиции аналогичных
объектов. Ликвидационная стоимость соответствует цене при вынужденной и срочной
продаже. По ликвидационной стоимости оцениваются машины, оборудование и
транспортные средства при распродаже на открытом аукционе имущества
обанкротившегося предприятия, при обращении права залогодержателя на имущество
залогодателя, при аресте имущества в результате судебного исполнения, при
аресте имущества на таможне и т.д.
Ликвидационную стоимость рассчитывают путем внесения в предварительно
оцененную рыночную стоимость так называемой ликвидационной скидки. Величина
ликвидационной скидки зависит от ликвидности оцениваемого объекта и
назначенного срока на реализацию. Чем ниже ликвидность и жестче сроки на
реализацию, тем больше ликвидационная скидка.
Утилизационная стоимость - стоимость объекта оценки, равная рыночной
стоимости материалов, которые он в себя включает, с учетом затрат на утилизацию
объекта оценки. Обычно утилизационную стоимость оценивают для сильно изношенных
объектов, когда мала вероятность их продажи на вторичном рынке. Утилизационную
стоимость могут оценивать также для объектов, оказавшихся по тем или иным
причинам (безопасность эксплуатации, экологический фактор, появление
конкурирующих технологий и т.д.) ненужными и не подлежащими продаже другим
лицам для дальнейшего применения по своему назначению. Утилизационная стоимость
объекта может быть для собственника величиной отрицательной, это возможно
тогда, когда расходы на утилизацию превышают доходы от продажи металлолома и
частей объекта. Утилизационная стоимость может оказаться и выше остаточной
рыночной стоимости, это имеет место тогда, когда наблюдался резкий рост цен на
редкие материалы, из которых когда-то была изготовлена машина.
1.3 Основные
понятия и определения
Оценщик - физическое или юридическое лицо, правомочное заниматься
оценочной деятельностью в соответствии с законодательством РФ.
Объект оценки - объекты гражданских прав, в отношении которых законодательством
Российской Федерации установлена возможность их участия в гражданском обороте. В соответствии со статьей 5 Закона
«Об оценочной деятельности в Российской Федерации» № 135-ФЗ к объектам оценки
относятся:
- отдельные материальные объекты (вещи);
- совокупность вещей, составляющих имущество лица, в том числе
имущество определенного вида (движимое или недвижимое, в том числе
предприятия);
- право собственности и иные вещные права на имущество или
отдельные вещи из состава имущества;
- права требования, обязательства (долги);
- работы, услуги, информация;
- иные объекты гражданских прав, в отношении которых
законодательством РФ установлена возможность их участия в гражданском обороте.
Цель оценки - определение рыночной или иной стоимости объекта оценки с
целью эффективного управления и распоряжения им.
Подход к оценке - совокупность методов оценки, объединенных общей
методологией.
Метод оценки - последовательность процедур, позволяющая на основе
существенной для данного метода информации определить стоимость объекта оценки
в рамках одного из подходов к оценке.
Затратный подход - совокупность методов оценки стоимости объекта оценки,
основанных на определении затрат, необходимых для восстановления либо замещения
объекта оценки, с учетом его износа.
Износ - снижение стоимости объекта оценки под действием различных причин.
Сравнительный подход - совокупность методов оценки стоимости объекта
оценки, основанных на сравнении объекта оценки с аналогичными объектами, в
отношении которых имеется информация о ценах сделок с ними.
Аналог объекта оценки - сходный по основным экономическим, материальным,
техническим и другим характеристикам объекту оценки другой объект, цена
которого известна из сделки, состоявшейся при сходных условиях.
Корректировка представляет собой операцию (часто - математическую),
учитывающую разницу в стоимости между оцениваемым и сравнимым объектами,
вызванную влиянием конкретного элемента сравнения. Все корректировки
выполняются по принципу «от объекта сравнения к объекту оценки».
Доходный подход - совокупность методов оценки стоимости объекта оценки,
основанных на определении ожидаемых доходов от объекта оценки.
Капитализация дохода - процесс пересчета доходов, полученных от объекта,
позволяющий определить его стоимость.
Коэффициент капитализации - норма дохода, которая отражает взаимосвязь
между доходом и стоимостью объекта оценки; должен учитывать как ставку дохода
на вложенный в объект капитал, так и норму возврата капитала.
Дата проведения оценки - календарная дата, по состоянию на которую
определяется стоимость объекта оценки.
Дата определения стоимости - это временной период (срок), в течение
которого производится работа по оценке.
Срок экспозиции объектов оценки - период времени, начиная с даты
представления на открытый рынок (публичная оферта) объекта оценки до даты
совершения сделки с ним.
Цена объекта - денежная сумма, предлагаемая или уплаченная за объект
оценки или его аналог.
Рыночная стоимость - наиболее вероятная цена, по которой объект оценки
может быть отчужден на дату оценки на открытом рынке в условиях конкуренции,
когда стороны сделки действуют разумно, располагая всей необходимой
информацией, а на величине цены сделки не отражаются какие-либо чрезвычайные
обстоятельства, то есть
когда:
- одна из сторон сделки не обязана отчуждать объект оценки, а
другая сторона не обязана принимать исполнение;
- стороны сделки хорошо осведомлены о предмете сделки и
действуют в своих интересах;
- объект оценки представлен на открытый рынок в форме публичной
оферты, типичной для аналогичных объектов оценки;
- цена сделки представляет собой разумное вознаграждение за
объект оценки и принуждения к совершению сделки в отношении сторон сделки, с
чьей-либо стороны не было;
- платеж за объект оценки выражен в денежной форме.
Итоговая величина стоимости объекта оценки - величина стоимости объекта
оценки, полученная как итог обоснованного оценщиком обобщения результатов
расчетов стоимости объекта оценки, при использовании различных подходов к
оценке и методов оценки.
1.4 Последовательность
определения стоимости объекта оценки
Процесс оценки стоимости объекта оценки представляет собой совокупность
действий по выявлению и анализу физических, экономических, социальных и т.п.
факторов, оказывающих влияние на величину стоимости объекта. Он должен состоять
из следующих основных этапов:
. Постановка задания на оценку. Идентификация оцениваемого актива.
Определение целей и задач оценки, оцениваемых прав, вида оцениваемой стоимости,
способа возможного использования и границ применимости результатов оценки.
. Описание и анализ объекта оценки. Местоположение, состав и техническое
состояние объекта оценки. Количественные и качественные характеристики объекта
оценки.
. Анализ конкурентного окружения и факторов, влияющих на стоимость.
Анализ рынка, соотношение спроса и предложения, его динамика и перспективы
развития. Типичные участники рынка, их мотивация, стандартные условия сделок.
. Анализ наилучшего и наиболее эффективного способа использования объекта
оценки. Под наиболее эффективным способом использования объекта оценки
понимается «наиболее вероятное использование имущества, являющееся физически
возможным, рациональным, правомочным, финансово осуществимым и в результате
которого стоимость оцениваемого имущества будет максимальной».
. Выбор методов оценки в рамках стандартных подходов к оценке. Согласно
Федеральным стандартам оценки в оценке анализируется применимость использования
трех подходов: затратного, сравнительного и доходного. В рамках каждого из
подходов существует набор методов оценки, то есть конкретных способов расчета
стоимости объекта.
. Проведение расчетов. В рамках применимых подходов и методов
осуществляются расчеты показателей рыночной стоимости оцениваемого объекта
. Заключение о стоимости. На данном этапе проводится анализ достоверности
полученных величин стоимости и соответствия каждого подхода заявленным целям
оценки, осуществляется взвешивание и согласование результатов, производится
окончательное заключение о стоимости и сертификация оценки.
8. Составление отчета об оценке. Отчет об оценке составляется как
документ, содержащий достоверные сведения доказательственного характера, и
передается Заказчику.
2.
АНАЛИЗ РЫНКА ТРАНСПОРТНЫХ СРЕДСТВ
Общая характеристика
Легковой автотранспорт широко распространён во всех отраслях и сферах
деятельности. Среди абсолютно разных целевых аудиторий и типов потребителей.
Представлен легковой автотранспорт несколькими типами автомобилей, которые
можно разделить по типу кузова. Это такие, как:
1. Седан;
2. Хэтчбэк;
. Универсал;
. Купе;
. Внедорожник;
. Грузовик;
. Минивэн;
. Микроавтобус.
Каждый из типов может различаться техническими характеристиками (объем и
тип двигателя), ценовыми диапазонами предложения (эконом-класс, бизнес-класс,
премиум-класс), а некоторые типы различаются и дополнительным оборудованием
(будки-рефрижераторы либо крановые мини-установки на легковых грузовиках,
внедорожники в виде пикапов либо шоссейных автомобилей) и т.д.
Обзор рынка легковых автомобилей в России
В 2011 г. в России было произведено 2,5 млн. легковых автомобилей (без
учета коммерческих), что на 40% больше, чем в 2010 г., в количественном
отношении и на 70% - в ценовом. В ближайшие годы ожидается перспектива роста
рынка автомобилей.
,04 млн. произведенных автомобилей - иномарки российского производства,
рост производства которых за год составил 70% в количественном отношении, и
почти вдвое выросла выручка от продаж в долларовом выражении (98%). Импорт
новых автомобилей составил 840 тыс. шт, прирост за год составил 38%, выручка от
продаж выросла на 63%.
На протяжении последних двух лет, благодаря стимулирующим государственным
мерам и возрастающему спросу (в том числе, и отложенному), происходило активное
оживление рынка, считают эксперты. В 2011 г. производство легковых автомобилей
в России выросло на 45% по сравнению с 2010 г. и превысило 1,7 млн. шт.
Достигнутый уровень производства легковых автомобилей является абсолютным
историческим максимумом.
При этом окончание программы утилизации и исчерпание эффекта «низкой
базы» ведут к ожидаемому замедлению роста авторынка. Несмотря на общую
положительную динамику, последние три квартала 2011 г. демонстрировали заметное
снижение темпов роста, говорится в исследовании. В I квартале 2011 г. рост
продаж легковых автомобилей в России составил 73%, во II квартале - 42%, в III
и IV кварталах - 28% и 24% соответственно.
Каждый десятый автомобиль в 2011 г. был куплен с привлечением льготного
автокредита, замечают аналитики. Всего в России в 2011 г. было выдано более 263
тыс. льготных автокредитов. В 2012 г. ожидается рост ставок по автокредитам, и
в первую очередь, на те автомобили, которые участвовали в программе льготного
кредитования, что потенциально может негативно сказаться на продажах
автомобилей в кредит. При этом эксперты отмечают, что с окончанием программы
льготного кредитования еще более активную роль будут играть кэптивные банки и
те банки, которые имеют совместные кредитные программы с автоконцернами.
По данным Ассоциации европейского бизнеса (АЕБ), в последний зимний месяц
на территории России было продано свыше 206 тысяч новых легковых и легких
коммерческих автомобилей (LCV). По сравнению с февралем прошлого года этот
показатель вырос почти на 25%, что значительно лучше, чем прогнозировали в АЕБ.
Впрочем, эксперты не спешат менять прогноз на весь 2012 год, считая первые два
месяца непоказательными.
Согласно последнему прогнозу комитета автопроизводителей, в этом году в
России будет реализовано порядка 2.8 миллионов новых авто, что несколько
больше, чем было продано в 2011 (чуть меньше 2.7 млн шт.). Если обратить
внимание на темпы роста продаж в январе и феврале, то прогноз в 2.8 млн шт. за
год сейчас выглядит не то что реальным, а весьма пессимистичным. Так, в январе
2012 года было продано 154 406 автомашин, что на 20% больше, чем за аналогичный
период 2011 года. В прошлом месяце было продано уже 206 873 автомобилей против
166 155 штук в феврале 2011 года, таким образом, рост с начала года уже
составил порядка 23%. Однако, эксперты из АЕБ не спешат пересматривать свой
прогноз на текущий год. По словам председателя Комитета автопроизводителей АЕБ
Дэвида Томаса, более четкую картину дадут только мартовские результаты.
«Обнадеживающее начало 2012 года продолжилось 25% ростом в феврале, вслед
за 20% увеличением в январе этого года. Рост 23% с начала года гораздо лучше,
чем ожидалось в прошлом прогнозе Комитета, но учитывая, что первые два месяца
на Российском рынке сильно подвержены влиянию длительных отпусков и закрытию
акций, Комитет считает, что еще слишком рано пересматривать прогноз продажи 2,8
м легковых автомобилей и легких коммерческих автомобилей в 2012 году.
Результаты марта дадут нам более четкое представление об общей тенденции
рынка», - приводятся слова Дэвида Томаса в распространенном на днях
пресс-релизе.
Что касается непосредственно самих автомашин и их популярности среди наших
соотечественников, то первое место в рейтинге пока по-прежнему за автомобилями
марки Lada. Всего, по данным АЕБ, в прошлом месяце было продано 36.8 тыс шт.
Впрочем, в отличие от общей тенденции, отечественные Lada несколько сдали свои
позиции, так как в феврале прошлого года было реализовано почти 39 тысяч авто,
что соответственно на 6% больше. Тем не менее, лидер рейтинга, несмотря на
некоторое падение объемов продаж, продолжает чувствовать себя уверенно, ведь
его ближайшие конкуренты - Hyundai и Nissan - отстают более чем вдвое с
продажами в феврале 14.7 тыс шт. и 14.2 тыс шт., соответственно.
Впечатляющую динамику на российском рынке показывают набирающие
популярность китайские автомобили. Так, продажи Geely за февраль выросли
впятеро и превысили 1 тыс. штук, продажи Chery выросли более чем в 3.5 раза -
до 1 097 штук, а Great Wall нарастила продажи более чем вдвое - до 906 единиц.
Из серьезных марок, заметно укрепивших позиции в феврале, стоит отметить
Volkswagen, чьи продажи выросли вдвое - до 11 365 авто. В среднем на 30%
выросли продажи южнокорейской Kia, французского Renault и американского
Chevrolet. А вот продажи Daewoo, Mitsubishi, Fiat и Suzuki, напротив, упали.
Среди 25 самых популярных моделей лидирующую позицию с объемом продаж в
феврале занимает Lada Priora - 10 027 штук против 8 956 штук в феврале 2011
года (+12%). На втором месте Hyundai Solaris, 9 308 штук и ростом за год на
174%. Замыкает тройку лидеров «знаменитая» Lada Kalina. В последний месяц зимы
2012 года автомобилей этой модели в России было продано 8 217 штук, что,
впрочем, на 15% меньше, чем было продано за аналогичный период прошлого года.
Обзор рынка поддержанных легковых автомобилей в России
В России сокращается рынок подержанных автомобилей. Об этом в своем
ежегодном отчете сообщает аналитическое агентство «Автостат». По данным
исследования в 2011 году рынок вторичных машин упал на 4,3% или 160 122
автомобиля по сравнению с 2010 годом.
«Уменьшение вторичного рынка и, в первую очередь, сегмента отечественных
автомобилей вызвано сокращением их парка в связи с утилизацией. При этом, чем
старше модель, тем на большую величину сокращается по ней вторичный рынок. В
особенности это касается снятых с производства моделей», - прокомментировал
результаты рейтинга исполнительный директор «Автостат» Сергей Удалов.
Перепродажи иностранных брендов, наоборот, растут по мере увеличения их
парка, причем наибольший рост приходится на модели с быстрорастущими парками.
Несмотря на падение в 16% первое место по продажам среди брендов занимает
Lada. В 2011 году было перепродано 1,24 млн автомобилей этой марки (по
сравнению с показателем в 1,48 млн в 2010 году). Модели Тольяттинского
автозавода занимают первые семь строчек в рейтинге самых продаваемых
автомобилей на подержанном рынке.
Первое место у «десятки» - 145 895 ВАЗ 2110 было продано в 2011 году
против 163 002 автомобилей в 2010. Продажи остальных отечественных марок
сократились сильнее. Автомобилей GAZ за 2011 год было продано 80 687 штук
против 110 617 в прошлом году (падение 27,1%), на 18,1% упал на вторичном
авторынке UAZ (32 636 в 2011 против 39 939 в 2010), автомобилей Moskvich
(бывший АЗЛК) было перепродано 16 791 шутка против 31 801 за 2010 год (-47,2%).
Украинская марка ZAZ потеряла 32,3%: подержанную продукцию Запорожского
автозавода купил 6391 человек, против 9392 в прошлом году.
Лидером среди иностранных брендов стала Toyota. На вторичном рынке
концерн потерял по сравнению с прошлым годом 1,7%, а самой продаваемой моделью
японского бренда стала Corolla. Из 440 101 перепроданного автомобиля, 81 998
пришлись на долю Corolla, а в люксовом сегменте самой продаваемой моделью стал
внедорожник Toyota Land Cruiser.
Наиболее сильный рост продемонстрировал Citroen. Моделей французского
бренда было продано на вторичном рынке на 37,7% больше уровня прошлого года -
12 740 штук против 9259. Автомобилей Dodge было продано 8730 (+27%), Chrysler -
7496 (+29,2%).
Автомобили люксового сегмента также демонстрировали рост на протяжении
2011 года. Больше всего выросли продажи у Infiniti - на 23,6% (7714 автомобилей).
Аналитики также зафиксировали увеличение перепродаж Land Rover, BMW и Mercedes.
Лидером по количеству проданных машин класса люкс на вторичном рынке стала Audi
- 76 302 автомобиля.
Вместе с общим падением рынка вторичных машин, выросло количество автокредитов
на их покупку. По данным специалистов автомаркета «Формула 91», самыми
популярными марками и моделями подержанных автомобилей, которые покупают в
кредит, стали Ford Focus, Mazda3, Mazda6, Opel Astra, Opel Zafira, Volkswagen
Passat, Hyundai Grand Starex, Mercedes Sprinter и Volkswagen Transporter.
По результатам 2011 года средний период кредитования составил пять лет,
при этом размер первоначального взноса колеблется от 0% до 10% при приобретении
личного транспорта и от 30% до 40% при покупке коммерческого.
При этом возраст покупаемых в кредит автомобилей уменьшился. Если в
прошлом году кредит брали на покупку моделей 1999 года выпуска, то сейчас в
основном приобретают машины, произведенные в 2003-2009 годах.
Общая ситуация на Дальневосточном рынке
В
настоящее время на дальневосточном рынке легкового автотранспорта продолжается
рост. Основная доля здесь принадлежит подержанным автомобилям японского
производства (с правым расположением руля). Согласно анализу рыночного
предложения (интернет сайты: www.japancar.ru <#"565240.files/image001.gif">
,
где
е - основание натуральных организмов, е=2,72;
Ω
- функция, зависящая от возраста и фактического пробега транспортного средства
с начала эксплуатации.
Функция
Ω определяется по формуле
Ω
= kT×Тф + kL× Lф,
где
kT - коэффициент, учитывающий влияние возраста
транспортного средства;
kL -
коэффициент, учитывающий влияние пробега (наработки) транспортного средства;
Тф
- фактический возраст транспортного средства на дату оценки, лет;
Lф - фактический
пробег с начала эксплуатации, км.
Значение
коэффициентов kT и kL представлены в [12] и составляют 0,05 и 0,0025
соответственно.
Расчет
физического износа объекта оценки представлен в таблице 3.
Таблица
3 - Расчет физического износа объекта оценки
|
Фактический возраст, Тф,
лет
|
Фактический пробег, Lф,
тыс. км
|
Вид зависимости Ω,
значение
|
Итоговый физический износ,
%
|
|
3
|
33,368
|
0,23342
|
20,83
|
Функциональный износ - это снижение стоимости объекта, вызванное в
основном факторами научно-технического прогресса и связанное с ухудшением
функциональных характеристик объекта.
Оценщиком не было выявлено признаков функционального износа для
оцениваемого объекта. Таким образом, функциональный износ определен в 0%.
Экономическое устаревание - есть потеря стоимости, обусловленная влиянием
внешних факторов. Экономическое устаревание может быть вызвано целым рядом
причин, таких как общеэкономические или внутриотраслевые изменения, в том числе
сокращение спроса на определенный вид продукции и сокращение предложения или
ухудшение качества сырья, рабочей силы, вспомогательных систем, сооружений и
коммуникаций; а также правовые изменения, относящиеся к законодательству,
муниципальным постановлениям, зонированию и административным распоряжениям и т.
п. Анализ всех вышеперечисленных факторов свидетельствует об отсутствии
факторов, внешне негативно влияющих на оцениваемое имущество, поэтому
экономический износ для всех объектов оценки определен в 0%.
Общий накопленный износ складывается из физического, функционального и внешнего
износа.
Величина общего накопленного износа рассчитывается по формуле:
Расчет накопленного износа представлен в таблице 4.
Таблица 4 - Расчет накопленного износа
|
Затраты на замещение,
включая НДС, руб.
|
Физический износ, %
|
Функциональное устаревание,
%
|
Экономическое устаревание,
%
|
Накопленный износ, %
|
Накопленный износ, руб.
|
|
673 000
|
20,83%
|
0
|
0
|
20,83%
|
140 186
|
Расчет рыночной стоимости затратным подходом представлен ниже.
Таблица 5 - Расчет рыночной стоимости объекта оценки затратным подходом
|
Затраты на замещение,
включая НДС, руб.
|
Накопленный износ, руб.
|
Стоимость объекта оценки,
включая НДС, руб.
|
Стоимость объекта оценки,
без НДС, руб.
|
|
673 000
|
140 186
|
532 814
|
451 537
|
Рыночная стоимость объекта оценки (Легковой автомобиль PEUGEOT 308, 2009
г.в., рег. № ------), определенная с использованием затратного подхода по
состоянию на 01.05.2012 г., составляет 451 537 (четыреста пятьдесят одна тысяча
пятьсот тридцать семь) рублей без учета НДС.
4.3 Сравнительный
подход
4.3.1 Сравнительный
подход и его методы
Согласно разделу III «Подходы к оценке» ФСО №1 «Общие понятия оценки,
подходы к оценке и требования к проведению оценки» «…сравнительный подход -
совокупность методов оценки стоимости объекта оценки, основанных на сравнении
объекта оценки с объектами - аналогами объекта оценки, в отношении которых
имеется информация о ценах. Объектом - аналогом объекта оценки для целей оценки
признается объект, сходный объекту оценки по основным экономическим,
материальным, техническим и другим характеристикам, определяющим его
стоимость…».
Данный поход основан на принципе замещения: когда существует
альтернативный выбор аналогичных или схожих объектов движимого имущества,
рыночная стоимость имеет тенденцию останавливаться на цене приобретения равно
приемлемой замены при условии, что не возникает временных задержек при
приобретении объектов, которые могут служить заменой.
В практике наиболее широко применяют следующие методы, основанные на
сравнении рыночных продаж:
1. метод прямого сравнения продаж; основывается на сравнении продаж
объектов, идентичных с оцениваемым, по которым были заключены сделки в недавнем
прошлом, или есть цены предложений иден6тичных объектов;
2. метод аналогового сравнения продаж; предполагает определение
стоимости объекта на основе анализа цен продаж (или предложений) аналогичных
(но не идентичных) объектов и корректировки стоимости аналогов на все отличия
от объекта оценки по элементам сравнения (функциональные, параметрические,
условия и время продаж и т.д.);
. метод направленных корректировок; применяется в том случае,
когда для оцениваемого объекта можно подобрать как минимум 2 аналога, при этом
определяется только направленность воздействия корректировки на стоимость, а
все корректировки подразделяются на повышающие и понижающие:
. метод статистических (корреляционных) моделей; выполняется на
основе случайных зависимостей стоимости от различных факторов (мощности,
производительности, потребляемого количества энергии, массы станка и т.д.);
оценка этих зависимостей проводится методами регрессионного и корреляционного
анализа;
. метод удельных экономико-технических показателей с
использованием двух коэффициентов торможения: линейного и степенного.
4.3.2 Расчет
рыночной стоимости сравнительным подходом
В данном расчете использован метод прямого сравнения продаж.
Метод прямого сравнительного анализа продаж базируется на информации о
недавних прошедших сделках с аналогичными объектами на рынке и сравнении
оцениваемого транспортного средства с аналогами. Данный метод включает сбор
данных о рынке продаж и предложений по транспортным средствам, сходными с
оцениваемым. Далее вносятся поправки, учитывающие различия. Это позволяет
определить цену продажи каждого аналога, как если бы он обладал теми же
основными характеристиками, что и оцениваемый объект. Скорректированная цена
дает возможность оценщику возможность сделать вывод о наиболее вероятной цене
продажи оцениваемого объекта.
Процесс оценки сравнительным подходом:
1. Выбор объектов-аналогов;
2. Выбор единиц сравнения;
. Сравнительный анализ объекта оценки и каждого объекта-аналога по
всем элементам сравнения;
. Корректировка значения единицы сравнения для объектов аналогов;
Выбор объектов-аналогов.
В ходе анализа рынка транспортных средств было установлено наличие
сравнительно значительного объема предложения данной моделей транспортного
средства на вторичном рынке в России (по марке, году выпуска, наработке и
другим характеристикам). Исходя из этого, оценщиком было принято решение о принятии
в качестве объектов-аналогов транспортные средства, идентичные по марке,
модели, характеристикам основных узлов и агрегатов объекта оценки.
Данные по объектам-аналогам приведены в таблице 6.
Таблица 6 - Описание объектов-аналогов оцениваемого транспортного
средства
|
Ценообразующий фактор
|
Объект оценки
|
АМТС №1
|
АМТС №2
|
АМТС №3
|
АМТС №4
|
АМТС №5
|
|
Марка
|
PEUGEOT 308
|
PEUGEOT 308
|
PEUGEOT 308
|
PEUGEOT 308
|
PEUGEOT 308
|
PEUGEOT 308
|
|
Дата продажи/предложения
|
10.05.2012
|
10.05.2012
|
10.05.2012
|
10.05.2012
|
10.05.2012
|
10.05.2012
|
|
Условия продажи
|
|
Цена предложения
|
Цена предложения
|
Цена предложения
|
Цена предложения
|
Цена предложения
|
|
Год выпуска
|
2009
|
2009
|
2009
|
2009
|
2009
|
2009
|
|
Пробег, км
|
33368
|
23000
|
22000
|
11000
|
25000
|
12700
|
|
Тип двигателя
|
Бензиновый
|
Бензиновый
|
Бензиновый
|
Бензиновый
|
Бензиновый
|
Бензиновый
|
|
Мощность, л.с.
|
140
|
140
|
140
|
140
|
140
|
140
|
|
Объем двигателя, куб. м.
|
1,6
|
1,6
|
1,6
|
1,6
|
1,6
|
1,6
|
|
Вид коробки передач
|
Автомат
|
Автомат
|
Автомат
|
Автомат
|
Автомат
|
Автомат
|
|
Тип привода
|
Передний
|
Передний
|
Передний
|
Передний
|
Передний
|
Передний
|
|
Руль
|
Левый
|
Левый
|
Левый
|
Левый
|
Левый
|
Левый
|
|
Цена продажи, руб.
|
|
630000
|
545000
|
555000
|
600000
|
570000
|
|
Техническое состояние
|
Очень хорошее
|
Очень хорошее
|
Очень хорошее
|
Очень хорошее
|
Очень хорошее
|
Очень хорошее
|
|
Источник информации
|
|
#"565240.files/image003.gif"> , (1)
где
Nоо - технический параметр объекта оценки;
Nоа -
технический параметр объекта оценки.
Если
технические параметры отличаются более чем на 20%, то корректировка
рассчитывается по формуле:
 , (2)
где
n - коэффициент
торможения цен.
Коэффициент
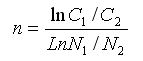
торможения цены рассчитывается по формуле:
где C1 и C2 - стоимости аналогов,и N2 - параметры аналогов.
Комплектация оцениваемого автомобиля и аналогов типовая, основные
технические характеристики одинаковы. Поскольку по всем ценообразующим
характеристикам объекты-аналоги сопоставимы с оцениваемым транспортным
средством, то корректировки на тип двигателя, объем двигателя, вид коробки
передач, тип привода, руль не вводились.
Корректировка на техническое состояние (физический износ). Так как объект
оценки и объекты-аналоги различаются по фактическому пробегу, требуется
введение корректировки на техническое состояние (физический износ).
Описание расчета физического износа транспортного средства проводился
выше в п. 3.2. Корректировка на техническое состояние выражается в
относительном выражении:
где
Ioo - износ объекта оценки;
Iа - износ
объекта аналога.
Расчет корректировки на физический износ объекта оценки и объектов
аналогов представлен в таблице 7.
|
Параметр
|
Объект оценки
|
АМТС №1
|
АМТС №2
|
АМТС №3
|
АМТС №4
|
АМТС №5
|
|
Марка автомобиля
|
PEUGEOT 308
|
PEUGEOT 308
|
PEUGEOT 308
|
PEUGEOT 308
|
PEUGEOT 308
|
PEUGEOT 308
|
|
Год выпуска
|
2009
|
2009
|
2009
|
2009
|
2009
|
2009
|
|
Фактический возраст ТС на
дату оценки, Тф, лет
|
3
|
3
|
3
|
3
|
3
|
3
|
|
Фактический пробег с начала
эксплуатации, Lф, тыс. км
|
33,368
|
23,000
|
22,000
|
11,000
|
25,000
|
12,700
|
|
Ω
|
0,23342
|
0,2075
|
0,205
|
0,1775
|
0,2125
|
0,18175
|
|
Физический износ, %
|
20,83
|
18,75
|
18,55
|
16,27
|
19,15
|
16,63
|
|
Коэффициент корректировки
на износ
|
|
0,97
|
0,97
|
0,95
|
0,98
|
0,95
|
Удельный вес достоверности результата. По итоговым результатам
вычисляется процентное соотношение цены продажи и скорректированной стоимости
по объектам-аналогам. По пятибалльной системе самым меньшим отклонениям (по
отношению к первоначальной цене аналогов) придается самое высокое значение
балла, затем рассчитывается средневзвешенное значение стоимости объекта оценки.
Расчет стоимости объекта оценки представлен в таблице 8.
Таблица 8 - Расчет рыночной стоимости сравнительным подходом
|
Характеристики
|
Объект оценки
|
АМТС №1
|
АМТС №2
|
АМТС №3
|
АМТС №4
|
АМТС №5
|
|
Марка:
|
PEUGEOT 308
|
PEUGEOT 308
|
PEUGEOT 308
|
PEUGEOT 308
|
PEUGEOT 308
|
PEUGEOT 308
|
|
Цена продажи, руб. без НДС
|
|
630 000
|
545 000
|
555 000
|
600 000
|
570 000
|
|
Условия продажи
|
|
Открытый рынок
|
Открытый рынок
|
Открытый рынок
|
Открытый рынок
|
Открытый рынок
|
|
Корректировка на уксловия
продажи
|
|
1,00
|
1,00
|
1,00
|
1,00
|
1,00
|
|
Скорректированная цена
|
|
630 000,00
|
545 000,00
|
555 000,00
|
600 000,00
|
570 000,00
|
|
Цена предложения/продажи
|
Продажа
|
Предложение
|
Предложение
|
Предложение
|
Предложение
|
Предложение
|
|
Корректировка на торг
|
|
0,95
|
0,95
|
0,95
|
0,95
|
0,95
|
|
Скорректированная цена
|
|
598 500,00
|
517 750,00
|
527 250,00
|
570 000,00
|
541 500,00
|
|
Дата продажи
|
Май 2012
|
Май 2012
|
Май 2012
|
Май 2012
|
Май 2012
|
Май 2012
|
|
Корректировка на дату
продажи
|
|
1,00
|
1,00
|
1,00
|
1,00
|
1,00
|
|
Скорректированная цена
|
|
598 500,00
|
517 750,00
|
527 250,00
|
570 000,00
|
541 500,00
|
|
Тип двигателя
|
Бензиновый
|
Бензиновый
|
Бензиновый
|
Бензиновый
|
Бензиновый
|
Бензиновый
|
|
Корректировка по типу
двигателя
|
|
1,00
|
1,00
|
1,00
|
1,00
|
1,00
|
|
Скорректированная цена
|
|
598 500,00
|
517 750,00
|
527 250,00
|
570 000,00
|
541 500,00
|
|
Объем двигателя
|
1,6
|
1,6
|
1,6
|
1,6
|
1,6
|
1,6
|
|
Корректировка на объем
двигателя
|
|
1,0
|
1,0
|
1,0
|
1,0
|
1,0
|
|
Скорректированная цена
|
|
598 500
|
517 750
|
527 250
|
570 000
|
541 500
|
|
Вид коробки передач
|
Автоматическая
|
Автоматическая
|
Автоматическая
|
Автоматическая
|
Автоматическая
|
Автоматическая
|
|
Корректировка на вид
коробки передач
|
1
|
1
|
1
|
1
|
1
|
1
|
|
Скорректированная цена
|
|
598 500
|
517 750
|
527 250
|
570 000
|
541 500
|
|
Тип привода
|
Передний
|
Передний
|
Передний
|
Передний
|
Передний
|
Передний
|
|
Корректировка на тип
привода
|
1
|
1
|
1
|
1
|
1
|
1
|
|
Скорректированная величина
|
|
598 500
|
517 750
|
527 250
|
570 000
|
541 500
|
|
Расположение руля
|
Левый
|
Левый
|
Левый
|
Левый
|
Левый
|
Левый
|
|
Корректировка по
расположение руля
|
|
1,00
|
1,00
|
1,00
|
1,00
|
1,00
|
|
Скорректированная цена
|
|
598 500
|
517 750
|
527 250
|
570 000
|
541 500
|
|
Техническое состояние
(физический износ)
|
20,83
|
18,75
|
18,55
|
16,27
|
19,15
|
16,63
|
|
Корректировка на
техническое состояние
|
|
0,97
|
0,97
|
0,95
|
0,98
|
0,95
|
|
Скорректированная цена
|
|
583 178
|
503 257
|
498 536
|
558 156
|
514 220
|
|
Удельный вес (%
расхождения)
|
|
7
|
8
|
10
|
7
|
10
|
|
Весовые коэффициенты
|
10
|
3
|
2
|
1
|
3
|
1
|
|
Скорректированная
цена*удельный вес
|
5 443 272
|
1 749 535
|
1 006 514
|
498 536
|
1 674 468
|
514 220
|
|
Стоимость, руб. без НДС
|
544 327
|
|
|
|
|
|
Рыночная стоимость объекта оценки (Легковой автомобиль PEUGEOT 308, 2009
г.в., рег. № А706КМ27), определенная с использованием сравнительного подхода по
состоянию на 01.05.2012 г., составляет 544 327 (пятьсот сорок четыре тысячи
триста двадцать семь) рублей без учета НДС.
4.4 Доходный
подход
4.4.1 Доходный
подход и его методы
Согласно разделу III «Подходы к оценке» ФСО №1 «Общие понятия оценки,
подходы к оценке и требования к проведению оценки» «…доходный подход -
совокупность методов оценки стоимости объекта оценки, основанных на определении
ожидаемых доходов от использования объекта оценки…». Сдаваемое в аренду
имущество приносит собственнику гарантированный рентный доход. На развитых
рынках этот доход может быть дисконтирован по присущей данному сегменту рынка
ставке дисконта или капитализирован по ставке капитализации. Обе эти ставки
учитывают связанные с коммерческой эксплуатацией объекта инвестиционные риски.
Доходы от владения собственностью поступают в виде:
·
текущих и будущих
платежей (в т.ч. периодических платежей);
·
текущей и будущей
экономии на налогах;
·
налоговых
сбережений от продажи, обмена, дарения в будущем;
·
других возможных
денежных поступлений и выгод.
В рамках доходного подхода стоимость имущества может быть определена:
·
методом прямой
капитализации;
·
методом
дисконтирования будущих денежных потоков.
1) Метод прямой капитализации
Метод прямой капитализации применяется в том случае, когда получение
дохода является постоянным (носит стабильный характер) в течение определенного
периода времени при отсутствии необходимости вложения средств.
Метод прямой капитализации переводит годовой доход в стоимость
собственности путем деления годового дохода на соответствующую норму (ставку
капитализации).
Коэффициент капитализации представляет собой ставку, по которой доходы
переводятся в стоимость. Коэффициент капитализации может быть рассчитан на
основе ставки дисконта (вычитанием из ставки дисконта ожидаемых среднегодовых
темпов роста денежного потока). При отсутствии роста денежного потока
коэффициент капитализации равен ставки дисконта.
Преображение дохода в стоимость осуществляется в соответствии с формулой:
Стоимость = Годовой доход : Ставка капитализации
) Метод дисконтирования денежных потоков
Основным показателем этого метода является чистый денежный поток,
рассчитывается как разница между притоком и оттоком денежных средств за
определенный период времени.
Данный метод позволяет учесть несистематические изменения потока доходов
и делает его привлекательным в условиях российской экономики, характеризующейся
сильной изменчивостью цен на готовую продукцию и услуги, и прочие компоненты,
существенным образом влияющие на стоимость оцениваемого имущества.
4.4.2 Расчет
рыночной стоимости доходным подходом
Определение стоимости имущества доходным подходом основано на оценке
будущих доходов, приносимых данным имуществом. По мнению оценщика, расчет
стоимости транспортных средств доходным подходом возможен в том случае, когда
на рынке имеется достаточное количество предложений аренды аналогичных
транспортных средств. Вместе с тем, рынок аренды легковых автомобилей в
настоящее время существует в г. Хабаровске, но развит достаточно слабо. Он
остается в основной своей массе «теневым» и неопределенным. Договора аренды в
подавляющем количестве случаев нигде не регистрируются, а оплата производится в
виде не облагаемой налогом наличной суммы. Это обстоятельство не позволяет
Оценщику собрать достаточное количество достоверной информации о размере
арендной платы и ставок аренды на автотранспортные средства. Использовать же
информацию, не имеющую документального подтверждения и обоснования Оценщик
посчитал невозможным.
5.
СОГЛАСОВАНИЕ РЕЗУЛЬТАТОВ
Окончательное, итоговое суждение о стоимости имущества выносится
Оценщиком на основе анализа полученных ориентиров стоимости оцениваемого
имущества, полученных в рамках классических подходов к оценке.
Для согласования результатов необходимо определить веса, в соответствии с
которыми отдельные, ранее полученные ориентиры, сформируют итоговую рыночную
стоимость имущества.
Для определения весов различных подходов используем пять приведенных ниже
критериев, которыми будем описывать те или иные преимущества или недостатки
примененного метода расчета с учетом особенностей настоящей оценки.
Для расчета весов использованных методов проделаем следующие вычисления:
1. построим матрицу (таблицу) факторов, присвоив каждому подходу
три вида баллов в соответствии с пятью критериями;
2. найдем сумму баллов каждого подхода;
. найдем сумму баллов всех используемых подходов;
. по отношению суммы баллов данного подхода к сумме баллов всех
использованных подходов найдем расчетный вес подхода в процентах;
На основе округленных весов рассчитаем согласованную стоимость
оцениваемого имущества путем умножения полученного с помощью данного подхода
ориентира стоимости на округленный вес подхода, рассчитанный в целях
согласования стоимостей.
Таблица 9 - Согласование результатов стоимостей полученных в рамках
подходов
|
Критерий
|
Подходы
|
|
Затратный
|
Сравнительный
|
Доходный
|
|
|
Баллы
|
|
|
Применимость подхода к
оценке объекта согласно утвердившимся в России и мире принципам и стандартам
оценки
|
1,5
|
1,5
|
0
|
|
Адекватность, достоверность
и достаточность информации, на основе которой проводились анализ и расчеты
|
1,5
|
1,5
|
0
|
|
Способность подхода
отразить мотивацию, действительные намерения типичного покупателя/арендатора
и/или продавца/арендодателя, прочие реалии спроса/предложения в статике и
динамике
|
1
|
2
|
0
|
|
Действенность подхода в
отношении учета конъюнктуры и динамики рынка финансов и инвестиций (включая
риски)
|
1
|
2
|
0
|
|
Способность подхода
учитывать структуру и иерархию ценообразующих факторов.
|
1
|
2
|
0
|
|
Итого
|
6
|
9
|
0
|
|
Сумма баллов
|
|
15
|
|
|
Вес подхода
|
0,4
|
0,6
|
0,00
|
|
Стоимость объекта по
подходу, руб.
|
451 537
|
544 327
|
|
|
Согласованная величина
стоимости, руб.
|
507 211
|
Таким образом, рыночная стоимость объекта оценки «Легковой автомобиль
PEUGEOT 308, 2009 г.в., рег. № А706КМ27», рассчитанная в соответствии с
оценочными методиками и подходами на дату оценки, округленно составляет 507 211
(пятьсот семь тысяч двести одиннадцать) рублей без учета НДС.
ЗАКЛЮЧЕНИЕ
На примере легковой автомобиль PEUGEOT 308 был произведен расчет рыночной
стоимости.
При проведении оценки предполагалось, что предоставленная информация
является точной и достоверной.
Назначение оценки - расчет рыночной стоимости для постановки на баланс
транспортного средства.
В результате проделанной работы были закреплены теоретические знания по
дисциплине «Оценка стоимости машин, оборудования и транспортных средств»,
получены практические навыки расчета рыночной стоимости транспортного средства.
Также была проведена работа по ознакомлению с нормативными документами,
справочной литературой и программными продуктами.
СПИСОК
ЛИТЕРАТУРЫ
1. Конституция Российской Федерации в действующей редакции;
2. Гражданский кодекс РФ в действующей редакции;
. Налоговый кодекс РФ в действующей редакции;
. Федеральный закон «Об оценочной деятельности в
Российской Федерации» № 135-ФЗ от 29 июля 1998 г. в действующей редакции;
. Федеральные стандарты оценки, обязательные к
применению субъектами оценочной деятельности и утвержденные Приказами
Министерства экономического развития и торговли Российской Федерации
(Минэкономразвития России) от 20 июля 2007 г.
№№ 254-256;
. «Методика оценки остаточной стоимости транспортных
средств с учетом технического состояния Р-03112194-0376-98», утверждена
руководителем Департамента автомобильного транспорта Министерства транспорта
Российской Федерации Г.П. Николаевым 10 декабря 1998 г.
. Андрианов Ю.В. «Оценка транспортных средств»,
Москва, Изд. «Дело», 2003 г;
. Теория и практика оценки машин и оборудования:
учебник/Т.Г. Касьяненко, Г.А. Маховикова. - Феникс, 2009. - 587, [1] с.: ил. -
(Высшее образование) ;
. Оценка стоимости машин, оборудования и транспортных
средств / А.П. Ковалев, А.А. Кушель, В.С. Хомяков, Ю.В. Андрианов, Б.Е.
Лужанский, И.В. Королев - М: Интерреклама, 2003. - 488 с.
10. Оценка стоимости машин и оборудования: Учебное пособие/
Под общей редакцией В. П. Антонова - М.: Издательский дом «Русская оценка»,
2005- 254 с.
11. Оценка стоимости транспортных средств.
Учебно-методическое пособие/ Под ред. М.П. Улицкого, М, «Финансы и статистика»,
2005 г. - 304 с.
. Андрианов Ю.В., Кравчинский В.И. Совершенствование
методов расчета износа транспортных средств // Московский оценщик №3, 2006г.
13. Интернет-ресурсы: www.drom.ru <http://www.drom.ru>, www.vestifinance.ru
<http://www.vestifinance.ru>, www.pwc.ru.
Похожие работы на - Расчет рыночной стоимости транспортного средства
|