|
(23)
|
|
где а - достаточно большое положительное число; In - единичная матрица
размерности n.
Достоинство рекуррентного метода состоит в том, что он не содержит
операции обращения матрицы, т.к. входящее в формулу выражение
в результате дает скалярную величину.
Пишем код программы:
P
i=1:501;=3:501;=2(:,:,1)=eye(2)(:,:,2)=P(:,:,1)*a0(:,1)=[0;0];(:,2)=alfa(:,1);k=3:501
delta_y(1,k)=y(k-1);_y(2,k)=y(k-2);;k=3:501(:,:,k)=P(:,:,k-1)-P(:,:,k-1)*delta_y(:,k)*(1+delta_y(:,k)'*P(:,:,k-1)*delta_y(:,k))^-1*delta_y(:,k)'*P(:,:,k-1);(:,:,k)=P(:,:,k)*delta_y(:,k);(:,k)=alfa(:,k-1)+K(:,:,k)*(y(k)-delta_y(:,k)'*alfa(:,k-1));;on(alfa(1,:))on(alfa(2,:),'g')
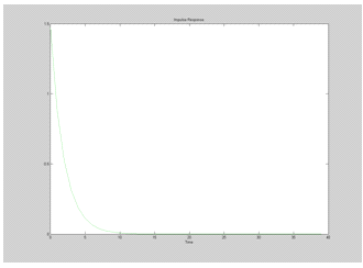
Полученные результаты в виде графиков представлены на рисунках 5,
6 и 7.
Рисунок 5. Параметр
.
Рисунок 6. Параметр
.
Рисунок
3. Идентификация объекта с использованием средств пакета System
Identification Toolbox программы Matlab
Запускаем графический интерфейс пакета System Identification
Toolbox командой ident из командной строки. Необходимо построить
2 вида модели: ARX и ARMAX. Начнем с ARX.
В рабочую среду MATLAB загружаем
массивы данных f (входные данные) и у (выходные данные),
относящихся к объекту исследования. Эти данные отобразятся в окнах Working Data
(Рабочие данные) и Validation Data (Данные для проверки модели). Проведение исследования исходных
данных начали с установки фла жка Time plot, после чего сразу появилось графическое
окно, содержащее графики сигналов входа и выхода. Они представлены на рисунке
8.
Рисунок 8. Графики сигналов входа и выхода.
Затем мы проводим предварительную обработку сигналов исследуемого
объекта, исключив из них постоянную составляющую. Полученный результат
представлен на рисунке 9.
Рисунок 9. Графики сигналов входа и выхода без постоянной
составляющей.
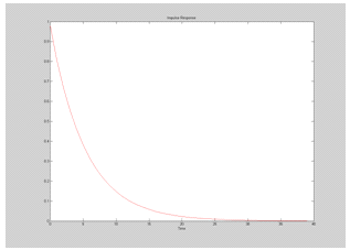
Затем строим график переходной функции для параметрической модели.
Получаем график, представленный на рисунке 10.
Рисунок 10. Переходная функция исследуемой системы.
Как видно из графика, система получилась неустойчивая. Её
параметры
Подберем такие параметры, чтобы получить устойчивую систему. Эти
параметры:
Получим следующий график переходной функции:
Рисунок 11.
Далее строим графики функции веса, представленный на рисунке 12.
Рисунок 12. Функция веса исследуемой модели.
Далее построим графики частотных характеристик, представленные на
рисунке 13.
Рисунок 13. Частотные характеристики исследуемой модели.
Теперь аналогичным образом построим все характеристики для второй
параметрической модели - ARMAX.
Изначально Matlab предложил следующие параметры:
При таких параметрах система проявляет себя как неустойчивая.
График переходной функции представлен на рисунке 14.
Рисунок 14. График переходной функции.
Система становится устойчивой при следующих параметрах:
Графики переходной функции, функции веса и частотных характеристик
представлены на рисунках 15, 16 и 17 соответственно.
Рисунок 15
Рисунок 16. Функция веса.
Рисунок 17. Частотные характеристики.
4. Диагностика технических систем
.1 Формирование множеств проверок диагностируемого
объекта с помощью аппарата булевых функций
Одной из первых моделей объектов технической диагностики,
которая охватывает обширный класс реальных технических систем, явилась
функциональная модель, предложенная Брюле, Джонсоном и Клетским. При построении
этой модели предполагается, что систему, рассматриваемую как объект
диагностики, можно подразделить на некоторое число в общем случае связанных
между собой функциональных элементов (часть системы, которая может находиться в
одном из двух несовместимых состоянии - работоспособна, отказала - и в
работоспособном состоянии - то есть отвечает требуемой реакцией на определенную
совокупность воздействий, в число которых могут входить реакции других
элементов).
Воздействия, которые необходимо приложить к работоспособному
элементу для получения требуемой (допустимой) реакции, называются допустимыми.
Реакцию отказавшего элемента называют недопустимой. В рассматриваемой модели
предполагается, что требуемая реакция любого элемента может быть получена только
в том случае, если все приложенные к этому элементу воздействия являются
допустимыми и элемент работоспособен, а реакция отказавшего элемента не зависит
от приложенных к нему воздействий.
Для того чтобы полностью задать функциональную модель
системы, необходимо:
а) перечислить все возможные для данной системы комбинации
одновременно отказавших элементов, т. е. задать множество возможных состояний
системы;
б) указать, какие комбинации допустимых воздействий
необходимо приложить к каждому элементу для получения допустимой реакции;
в) задать схему объекта, на которой указаны все элементы и
связи между ними, причем для любой пары связанных элементов должно выполняться
следующее условие: если элемент bi связан с элементом bj,
то допустимая реакция элемента bi является допустимым воздействием
для элемента bj и, наоборот, недопустимая реакция элемента bi,
является недопустимым воздействием для элемента bj.
При графическом изображении схемы объекта каж дый элемент
обозначается прямоугольником с некоторым количеством входящих стрелок (входов)
и одной выходящей стрелкой (выходом), обозначающей реакцию элемента. Количество
входов элемента равно количеству допустимых воздействий, которые необходимо
приложить к этому элементу для получения допустимой реакции. Связи между
элементами обозначаются линиями, соединяющими стрелки между собой так, чтобы
направления стрелок совпадали. При этом выход любого элемента может быть
соединен с любым числом входов, тогда как вход любого элемента может быть
соединен только с одним выходом. Входы, которые не соединены ни с одним
выходом, называются внешними. Эти входы обозначают внешние воздействия, которые
подаются на систему. В данном практическом занятии все внешние воздействия
считаются допустимыми и не рассматриваются.
Для схемы выполняется построение таблицы состояний по
следующим правилам:
1. в заголовке строки указывается состояние системы,
обозначаемое Si, где i - номер неисправного блока. В заголовке
столбца даётся обозначение проверки (датчика) πk, где k - номер блока, на
котором установлен соответствующий датчик.
2. все внешние воздействия считаются допустимыми;
. если блок исправен, и на его входы поступают
допустимые воздействия, то реакция блока тоже будет допустимой (датчик, покажет
исправность блока, которая обозначается «1»;
. если блок неисправен или на вход исправного
(неисправного) блока поступают недопустимые входные воздействия, то
контролирующий состояние блока покажет «0».
Используя данную матрицу можно определить неразличимые
состояния посредством сравнения строк матрицы состояний: у неразличимых
состояний строки в матрице будут одинаковыми. Однако для сложной системы данный
способ определения неразличимых отказов не всегда оправдывает себя из-за
большой трудоёмкости.
По таблице состояний производится построение булевой матрицы
различимости (далее булевой матрицы) посредством попарного сравнения строк по
следующему алгоритму:
1. в заголовке строки указывается пара сравниваемых
состояний системы, обозначаемая (Si, Sj), где i, j -
номера сравниваемых состояний. В заголовке столбца даётся обозначение проверки
(датчика), где k - номер блока, на котором установлен соответствующий датчик;
2. если k-я проверка в состоянии Si даёт
отклик «1» , а в состоянии Sj даёт отклик «0», то пара состояний (Si,
Sj) различается проверкой и в строке, обозначенной (Si, Sj),
в столбце с именем πk проставляется «1».
Иными словами булева матрица есть матрица логической функции
«исключающее ИЛИ» относительно различных состояний для каждой проверки. Если
какая-либо строка булевой матрицы получается нулевой, то пара состояний,
соответствующая этой строке является неразличимой.
В данной работе необходимо решить две основные задачи
построения диагностических тестов:
. Задача построения минимального диагностического теста: для
данной булевой матрицы найти минимальное множество столбцов, так чтобы каждая
строка имела «1» по крайней мере, в одном из столбцов матрицы.
. Задача построения всех элементарных диагностических тестов:
для данной булевой матрицы найти множество Р всех множеств столбцов, так чтобы
для любого элемента Pi множества Р нашелся в каждой строке, по
крайней мере, один элемент «1» в столбце, принадлежащем Рi и так,
чтобы вычеркивание любого столбца из Рi приводило бы к потере
указанного свойства.
Вторая задача допускает следующую алгебрологическую
интерпретацию. Каждый столбец булевой ма трицы представляется булевой
переменной, а каждая строка - булевой суммой (дизъюнкцией) этих переменных (в
зависимости от того, равна переменная 1 или 0, она входит или не входит в
указанную дизъюнкцию). Это означает, что элементарный тест, являющийся решением
задачи, должен содержать, по крайней мере, одну проверку, по которой пара
состояний (si, sr) Î R, соответствующая
данной строке булевой матрицы, различима. Указанная дизъюнкция записывается для
каждой строки булевой матрицы. Для того чтобы определить тест, необходимо
образовать произведение (конъюнкцию) полученных дизъюнкций, поскольку
сконструированная таким образом булева функции вида &v (конъюнкция
дизъюнкций) будет истинна тогда и только тогда, когда одновременно все пары
состояний, принадлежащие множеству R, различимы. Применяя дистрибутивный закон,
а также известные правила алгебры логики
|
Идемпотентности
|
pk & pk
= pk
|
|
И
|
Поглощения
|
pk Ú Q & pk = pk
|
|
где Q - произвольная конъюнкция, преобразуем полученное
выражение к виду v& (дизъюнкция конъюнкций). Полученная булева сумма не
будет содержать лишних слагаемых, а элементы, входящие в одно слагаемое
(дизъюнкцию) выражения v&, порождают множество, которое является
элементарным диагностическим тестом, поскольку каждое слагаемое выражения
v& обусловливает истинность исходной булевой функции вида &v (попарную
различимость всех состоянии диагностируемого объекта), так как оно имеет общим
с каждым сомножителем в выражении &v по крайней мере один элемент.
Рисунок 12. Исходная структурная схема объекта.
1. По структурной схеме составляем таблицу состояний,
которая имеет вид:
Таблица 1. Таблица состояний.
2. Булева матрица, построенная по таблице состояний,
выглядит следующим образом:
Таблица 2. Булева матрица, построенная по таблице состояний.
. По булевой матрице записывается функция в форме «дизъюнкция
конъюнкций»:
Таким образом, множество элементарных тестов состоит из четырех
элементов
Т1 = {
,
,
,
,
,
}
Т2 = {
,
,
,
,
,
,
}
Т3 = {
,
,
,
,
,
,
}
Т4 = {
,
,
,
,
,
,
}
Минимальным является тест Т1 = {
,
,
,
,
,
}
4.2 Построение достаточно простых диагностических
тестов с помощью алгоритма Яблонского-Мак-Класки
Предлагаемый алгоритм в общем случае приводит к построению
некоторого достаточно простого диагностического теста, однако иногда может
приводить и к минимальному варианту. Пусть множество Е = {еk}, k=
есть множество всех двоичных наборов еk
= (
),
Î{0, 1} длины m ( j =
). Для всех еkÎЕ, норма еk опреде ляется числом единиц в данном
наборе, т. е. || еk || =
. Наборы еk и еrÎЕ называются сравнимыми (обо значается еk£еr) если для всех j
, j =
(напри мер, 10100£10110).
Исходная информация задается в виде некоторой булевой матрицы М,
которую необходимо упрощать по следующим правилам:
. Правило поглощения строк. Если в матрице М имеется такая
пара строк ai и ar (i, r =
), что ai £ ar , то строка ar вычеркивается.
. Правило поглощения столбцов. Если в матрице М имеется такая пара
столбцов bj и bt ( j, t =
), что bt £ bj, то
столбец bt вычеркивается.
. Критерий вхождения столбца во все неприводимые матрицы. Если в
матрице М имеется строка ai, которая содержит только одну единицу
(т.е. ||ai|| = 1), стоящую на пересечении i-й строки и j-го столбца, то
столбец bj отмечается, как входящий в минимальный диагностический тест, и
вычёркивается из М.
4. Если в матрице имеется столбец , не содержащий единиц (т. е. ||bj||=0), то этот столбец вычеркивается из М.
Правила преобразования применяются к исходной матрице М до тех
пор, пока эти правила приводят к упрощению М. Такое упрощение может
привести к двум результатам.
. После применения правил преобразования в матрице М не осталось
ни одного столбца. В этом случае отмеченные столбцы образуют неприводимую
матрицу М*, имеющую минимальное число столбцов. Следовательно, подмножество
проверок из П, имеющих те же номера, что и столбцы в М*, образует
минимальный диагностический тест.
. Из матрицы М получена матрица М0, которая не
упрощается при дальнейшем применении правил преобразования. Такая матрица
называется циклической. В этом случае любой тест Т, полученный при
помощи матрицы М, можно представить в виде
где T1 - подмножество проверок из П, номера
которых совпадают с номерами отмеченных столбцов из M;
T2 - подмножество проверок из П, которое можно
рассматривать как некоторый тест, полученный в том случае, если исходную
матрицу М заменить на циклическую матрицу М0. Очевидно, что
тест Т будет минимальным диагностическим тестом только в том случае, когда T2
будет содержать минимальное число проверок. Поэтому задача построения
минимального диагностического теста Т0 с помощью матрицы М сводится
к задаче построения теста Т0 с помощью циклической булевой матрицы М0.
Для упрощения циклических матриц используется следующий
метод. В матрице М0 отыскивается столбец, содержащий наибольшее
число единиц, который отмечается, как входящий в сокращенную матрицу М*, а,
следовательно, и в достаточно простой тест (если таких столбцов несколько или
все столбцы из М0 содержат одинаковое число единиц, то отмечается
любой из этих столбцов). Из М0 вычеркиваются все те строки, которые
содержат единицу в отмеченном столбце. Матрица, полученная в результате этого
преобразования, упрощается таким же образом, как и исходная матрица М,
причем столбцы, к которым применяется правило 3, отмечается как входящие тест.
Таким образом, полученный тест Т, включающий в себя поверки из Т1 и
Т2, и является достаточно простым диагностическим тестом.
Таблица 3. Исходная таблица состояний
Создадим булеву матрицу, отображающую различимость состояний.
Таблица 4. Булева матрица, отображающая различимость
состояний.
Таблица
|
          
|
|
|
|
|
|
|
|
|
|
|
|
|
110100011010
|
|
|
|
|
|
|
|
|
|
|
|
|
|
110101010100
|
|
|
|
|
|
|
|
|
|
|
|
|
|
011011101010
|
|
|
|
|
|
|
|
|
|
|
|
|
|
100000100000
|
|
|
|
|
|
|
|
|
|
|
|
|
|
011001111101
|
|
|
|
|
|
|
|
|
|
|
|
|
|
110100010101
|
|
|
|
|
|
|
|
|
|
|
|
|
|
101011001101
|
|
|
|
|
|
|
|
|
|
|
|
|
|
110100110111
|
|
|
|
|
|
|
|
|
|
|
|
|
|
010000000001
|
|
|
|
|
|
|
|
|
|
|
|
|
|
010111010100
|
|
|
|
|
|
|
|
|
|
|
|
|
|
111010100011
|
|
|
|
|
|
|
|
|
|
|
|
|
|
111011101101
|
|
|
|
|
|
|
|
|
|
|
|
|
|
010101010011
|
|
|
|
|
|
|
|
|
|
|
|
|
|
101110011001
|
|
|
|
|
|
|
|
|
|
|
|
|
|
010111000100
|
|
|
|
|
|
|
|
|
|
|
|
|
|
111010101100
|
|
|
|
|
|
|
|
|
|
|
|
|
|
100101110100
|
|
|
|
|
|
|
|
|
|
|
|
|
|
111010001110
|
|
|
|
|
|
|
|
|
|
|
|
|
|
011110111000
|
|
|
|
|
|
|
|
|
|
|
|
|
|
101101110111
|
|
|
|
|
|
|
|
|
|
|
|
|
|
101100111001
|
|
|
|
|
|
|
|
|
|
|
|
|
|
000010000111
|
|
|
|
|
|
|
|
|
|
|
|
|
|
111001001101
|
|
|
|
|
|
|
|
|
|
|
|
|
|
000000010000
|
|
|
|
|
|
|
|
|
|
|
|
|
|
101101111000
|
|
|
|
|
|
|
|
|
|
|
|
|
|
110010100000
|
|
|
|
|
|
|
|
|
|
|
|
|
|
101101011010
|
|
|
|
|
|
|
|
|
|
|
|
|
|
001001101100
|
|
|
|
|
|
|
|
|
|
|
|
|
|
000001001110
|
|
|
|
|
|
|
|
|
|
|
|
|
|
101111110000
|
|
|
|
|
|
|
|
|
|
|
|
|
|
010100111010
|
|
|
|
|
|
|
|
|
|
|
|
|
|
101101100111
|
|
|
|
|
|
|
|
|
|
|
|
|
|
000000001111
|
|
|
|
|
|
|
|
|
|
|
|
|
|
011111010111
|
|
|
|
|
|
|
|
|
|
|
|
|
|
000000101101
|
|
|
|
|
|
|
|
|
|
|
|
|
Таблица
В полученной булевой матрице строка
содержит одну единицу напротив проверки
, следовательно, она поглощает все строки,
у которых в этом же столбце есть единица. Это строки:
,
,
,
,
,
,
,
,
,
,
,
,
,
,
,
,
,
,
,
,
,
,
,
,
,
,
,
,
,
,
,
,
,
,
. Проверка
отмечается как входящая в тест и выводится из рассмотрения со
строкой
. Полученные результаты сведены в таблицу
5.
Таблица 5. Булева матрица без проверки
и с исключенными строками.
|
         
|
|
|
|
|
|
|
|
|
|
|
|
01100111101
|
|
|
|
|
|
|
|
|
|
|
|
|
01101111010
|
|
|
|
|
|
|
|
|
|
|
|
|
10000010000
|
|
|
|
|
|
|
|
|
|
|
|
|
10101101101
|
|
|
|
|
|
|
|
|
|
|
|
|
01000000001
|
|
|
|
|
|
|
|
|
|
|
|
|
11101010011
|
|
|
|
|
|
|
|
|
|
|
|
|
11101111101
|
|
|
|
|
|
|
|
|
|
|
|
|
01011100100
|
|
|
|
|
|
|
|
|
|
|
|
|
11101011100
|
|
|
|
|
|
|
|
|
|
|
|
|
11101001110
|
|
|
|
|
|
|
|
|
|
|
|
|
00001000111
|
|
|
|
|
|
|
|
|
|
|
|
|
11100101101
|
|
|
|
|
|
|
|
|
|
|
|
|
11001010000
|
|
|
|
|
|
|
|
|
|
|
|
|
00100111100
|
|
|
|
|
|
|
|
|
|
|
|
|
00000101110
|
|
|
|
|
|
|
|
|
|
|
|
|
10110110111
|
|
|
|
|
|
|
|
|
|
|
|
|
00000001111
|
|
|
|
|
|
|
|
|
|
|
|
|
00000011101
|
|
|
|
|
|
|
|
|
|
|
|
|
10110011001
|
|
|
|
|
|
|
|
|
|
|
|
|
00000100001
|
|
|
|
|
|
|
|
|
|
|
|
|
00000110011
|
|
|
|
|
|
|
|
|
|
|
|
|
11101101010
|
|
|
|
|
|
|
|
|
|
|
|
|
11000010111
|
|
|
|
|
|
|
|
|
|
|
|
|
00101111011
|
|
|
|
|
|
|
|
|
|
|
|
|
00101111101
|
|
|
|
|
|
|
|
|
|
|
|
|
11000010001
|
|
|
|
|
|
|
|
|
|
|
|
|
10110111000
|
|
|
|
|
|
|
|
|
|
|
|
|
10110101010
|
|
|
|
|
|
|
|
|
|
|
|
|
00000010010
|
|
|
|
|
|
|
|
|
|
|
|
|
11101101100
|
|
|
|
|
|
|
|
|
|
|
|
Строки
,
,
,
содержат по две единицы напротив проверок
и
,
и
,
и
,
и
соответственно.
Следовательно, они поглощают все строки, у которых в обоих этих
столбцах присутствуют единицы.
поглотит:
,
,
,
,
,
,
,
,
,
поглотит
,
-
,
,
,
,
,
-
.
Полученные результаты сведены в таблицу 6.
Таблица 6. Новая булева матрица (без поглощенных строк).
Дальнейшее применение правила поглощения строк здесь невозможно,
однако есть резон применить правило поглощения столбцов к
и
, которые сравнимы со столбцами
и
соответственно. (
≤
,
≤
). Результаты сведены в таблицу 7.
Таблица 7. Булева матрица с поглощенными строками.
Далее снова становится возможным применение правила поглощения
строк:
поглощается
,
поглощается
.
В процессе решения задачи получим циклическую матрицу
. Результаты сведены в таблицу 8.
Таблица 8. Циклическая матрица
.
|
       
|
|
|
|
|
|
|
|
|
|
100010000
|
|
|
|
|
|
|
|
|
|
|
010000001
|
|
|
|
|
|
|
|
|
|
|
011100100
|
|
|
|
|
|
|
|
|
|
|
111001110
|
|
|
|
|
|
|
|
|
|
|
001000111
|
|
|
|
|
|
|
|
|
|
|
000111100
|
|
|
|
|
|
|
|
|
|
|
000101110
|
|
|
|
|
|
|
|
|
|
|
000001111
|
|
|
|
|
|
|
|
|
|
|
000011101
|
|
|
|
|
|
|
|
|
|
|
000100001
|
|
|
|
|
|
|
|
|
|
|
100101010
|
|
|
|
|
|
|
|
|
|
|
000010010
|
|
|
|
|
|
|
|
|
|
В этой матрице столбец
имеет максимальное число единиц по сравнению с другими столбцами.
Его можно отметить как входящий в тест. Тогда сам столбец и все строки, в
которых в данном столбце есть единицы, исключаются из рассмотрения. Результат
сведен в таблицу 9.
Таблица 9. Булева матрица после упрощения циклической матрицы
.
Столбец
нулевой, соответственно его можно убрать
из рассмотрения. Столбец
поглотит столбец
.
поглотит столбец
. Полученные результаты сведены в таблицу 10.
Таблица 10. Булева матрица с поглощенными столбцами.
Строка
содержит одну единицу в проверке
. Столбец
отмечается как входящий в тест и все строки, которые содержат
единицы в этом столбце вычеркиваются из матрицы. Затем столбец
поглощает
. Полученные результаты сведены в таблицу 11.
Таблица 11. Окончательно упрощенная булева матрица.
Проведем проверку по
. Она входит в тест. Поглощаются строки
и
. Затем
поглощает
. Следовательно в тест входит проверка
. Проверки, отмеченные как входящие в тест
до образования первой циклической матрицы, являются проверками, входящими во
множество проверок минимального диагностического теста
.
Остальные проверки входят во множество
проверок, выбранных после формирования
циклической матрицы
.
. Достаточно близкий к минимальному (или минимальный)
диагностический тест
.
4.3 Построение достаточно простых диагностических тестов с помощью
алгоритма Синдеева
Исходный материал в данном алгоритме задается в виде матрицы
состояний, причем рассматривается транспонированная матрица состояний, т. е.
матрица состояний, у которой столбцы соответствуют всем возможным состояниям, а
строки - всем возможным проверкам. Ради .простоты изложения ограничимся
случаем, когда множество результатов проверок состоит из двух элементов А
={0,1}, т. е. каждая проверка имеет лишь два возможных исхода. Матрицу
состояний можно рассматривать как задание некоторой конечной схемы
|
|
Предполагается, что все n
состояний, составляющие полную группу событий, равновероятны:
.Тогда, с точки зрения теории информации,
неопределенность или энтропия, создаваемая такой конечной схемой, запишется в
виде:
|
|
Для того чтобы однозначно определить состояние конечной схемы,
необходимо провести некоторый эксперимент, состоящий в последовательном выборе
не более чем m проверок. Каждая проверка pk несет
некоторое количество информации относительно состояния указанной конечной
схемы:
, где H(pk)
- средняя условная энтропия состояния схемы при условии выбора проверки pk. Так как при проведении проверки pk
имеются только два возможных исхода pk = 1 и pk = 0 с вероятностями рk (pk)
и pk (
), то
|
|
где
и
- энтропии состояний схемы после проведения проверки pk;
|
,
|
|
где l-число единиц в i-й строке исходной матрицы
состояний. При этом
|
,
|
|
a ,
|
Первой выбирается проверка pk, несущая максимальное
количество информации. Если таких проверок несколько, то выбирается любая из
них.
Второй выбирается проверка pt, которая обладает
наибольшей условной информацией I(pt/pk) относительно состояния,
характеризуемого энтропией Н (pk)
|
I(pt/pk) = H(pk)
- H(pt/pk)
|
Где
Таблица
где l1 - число единиц в строке t напротив l
единиц в строке k;
l2 - число единиц в строке t напротив (n-l)
нулей в строке k. При этом
Исходная таблица имеет вид:
Таблица 12 . Исходная таблица
Исходная транспонированная матрица имеет следующий вид:
Таблица 13. Исходная транспонированная матрица
Схема может пребывать в 12-ти возможных состояниях,
следовательно энтропия исходной схемы :
В первой строке матрицы
единиц и
нулей, отсюда энтропия первой проверки
будет рассчитывается по формуле (3.6)
Информация, которую несёт первая проверка, рассчитывается
следующим образом:
Аналогичным образом рассчитываются энтропии и количества
информации остальных проверок. Результаты этих проверок сведены в таблицу.
Таблица 14. Энтропии и количества информации всех проверок.
|
            
|
|
|
|
|
|
|
|
|
|
|
|
|
|
|
0001101011102,5851,000
|
|
|
|
|
|
|
|
|
|
|
|
|
|
|
|
0011110110112,6670,918
|
|
|
|
|
|
|
|
|
|
|
|
|
|
|
|
1001101010112,6050,980
|
|
|
|
|
|
|
|
|
|
|
|
|
|
|
|
1010011101012,6050,980
|
|
|
|
|
|
|
|
|
|
|
|
|
|
|
|
0100010001002,7740,811
|
|
|
|
|
|
|
|
|
|
|
|
|
|
|
|
1101001010112,6050,980
|
|
|
|
|
|
|
|
|
|
|
|
|
|
|
|
1001100011012,5851,000
|
|
|
|
|
|
|
|
|
|
|
|
|
|
|
|
1010011001012,5851,000
|
|
|
|
|
|
|
|
|
|
|
|
|
|
|
|
0111010101002,5851,000
|
|
|
|
|
|
|
|
|
|
|
|
|
|
|
|
1101011000012,5851,000
|
|
|
|
|
|
|
|
|
|
|
|
|
|
|
|
1110101111012,7740,811
|
|
|
|
|
|
|
|
|
|
|
|
|
|
|
|
1001111000002,6050,980
|
|
|
|
|
|
|
|
|
|
|
|
|
|
|
Максимальное количество информации несут проверки
,
,
,
,
. В качестве первой проверки выбирается
проверка
. Учитывая, что соответствующая ей
энтропия
, можно рассчитать энтропии и количества
информации остальных проверок, при условии проведения проверки
.
Расчёт условной энтропии первой проверки
производится при учёте следующих данных:
Число единиц (положительных исходов) в первой строке (первой
проверки) напротив единиц строки
;
Число нулей в первой строке напротив единиц строки
;
Число единиц в первой строке напротив нулей строки
;
Число нулей в первой строке напротив нулей строки
.
Тогда условная энтропия первой проверки:
Количество информации, которое несёт первая проверка при условии,
что шестая уже проведена:
Аналогичным образом рассчитываются энтропии и количества
информации остальных проверок при условии что первая проверка уже проведена.
Результаты этих проверок сведены в таблицу 15.
Таблица 15. Результаты диагностики после проведения первой
проверки.
|
            
|
|
|
|
|
|
|
|
|
|
|
|
|
|
|
101001100101
|
|
|
|
|
|
|
|
|
|
|
|
|
|
|
|
|
|
|
|
|
|
|
|
|
|
|
|
|
|
|
0001101011101,6670,918
|
|
|
|
|
|
|
|
|
|
|
|
|
|
|
|
0011110110111,760,825
|
|
|
|
|
|
|
|
|
|
|
|
|
|
|
|
1001101010111,6060,979
|
|
|
|
|
|
|
|
|
|
|
|
|
|
|
|
1010011101012,260,325
|
|
|
|
|
|
|
|
|
|
|
|
|
|
|
|
0100010001001,8010,784
|
|
|
|
|
|
|
|
|
|
|
|
|
|
|
|
1101001010111,6060,979
|
|
|
|
|
|
|
|
|
|
|
|
|
|
|
|
1001100011011,5851,000
|
|
|
|
|
|
|
|
|
|
|
|
|
|
|
|
1101011000011,6670,918
|
|
|
|
|
|
|
|
|
|
|
|
|
|
|
|
1110101111011,8010,784
|
|
|
|
|
|
|
|
|
|
|
|
|
|
|
|
1001111000001,6060,979
|
|
|
|
|
|
|
|
|
|
|
|
|
|
|
Максимальное количество информации несут проверка
,
. Выберем
в качестве второй проверки, проводимой после проверки
. Учитывая, что соответствующая ей
условная энтропия
, можно рассчитать энтропии и количества
информации остальных проверок, при условии проведения проверки
и
. Результаты этих проверок сведены в таблицу 16.
Таблица 16. Результаты диагностики после проведения второй
проверки.
Таблица
|
            
|
|
|
|
|
|
|
|
|
|
|
|
|
|
|
0001101011100,8960,689
|
|
|
|
|
|
|
|
|
|
|
|
|
|
|
|
0011110110110,8960,689
|
|
|
|
|
|
|
|
|
|
|
|
|
|
|
|
1001101010110,8960,689
|
|
|
|
|
|
|
|
|
|
|
|
|
|
|
|
1010011101011,3550,230
|
|
|
|
|
|
|
|
|
|
|
|
|
|
|
|
0100010001000,8960,689
|
|
|
|
|
|
|
|
|
|
|
|
|
|
|
|
1101001010110,6670,918
|
|
|
|
|
|
|
|
|
|
|
|
|
|
|
|
0111010101000,6670,918
|
|
|
|
|
|
|
|
|
|
|
|
|
|
|
|
1101011000010,6670,918
|
|
|
|
|
|
|
|
|
|
|
|
|
|
|
|
1110101111010,8960,689
|
|
|
|
|
|
|
|
|
|
|
|
|
|
|
|
1001111000000,8960,689
|
|
|
|
|
|
|
|
|
|
|
|
|
|
|
Максимальное количество информации несут проверки
,
,
. Выберем
. Учитывая, что соответствующая ей условная энтропия
, можно рассчитать энтропии и количества
информации остальных проверок, при условии проведения проверки
,
,
. Результаты сведены в таблицу 17.
Таблица 17. Результаты диагностики после проведения третьей
проверки.
|
            
|
|
|
|
|
|
|
|
|
|
|
|
|
|
|
101001100101
|
|
|
|
|
|
|
|
|
|
|
|
|
|
|
|
100110001101
|
|
|
|
|
|
|
|
|
|
|
|
|
|
|
|
1101011000011,6670,918
|
|
|
|
|
|
|
|
|
|
|
|
|
|
|
|
|
|
|
|
|
|
|
|
|
|
|
|
1,76
|
0,825
|
|
0001101011101,6060,979
|
|
|
|
|
|
|
|
|
|
|
|
|
|
|
|
0011110110112,260,325
|
|
|
|
|
|
|
|
|
|
|
|
|
|
|
|
1001101010111,8010,784
|
|
|
|
|
|
|
|
|
|
|
|
|
|
|
|
1010011101011,6060,979
|
|
|
|
|
|
|
|
|
|
|
|
|
|
|
|
0100010001001,5851,000
|
|
|
|
|
|
|
|
|
|
|
|
|
|
|
|
1101001010111,5851,000
|
|
|
|
|
|
|
|
|
|
|
|
|
|
|
|
0111010101001,6670,918
|
|
|
|
|
|
|
|
|
|
|
|
|
|
|
|
1110101111011,8010,784
|
|
|
|
|
|
|
|
|
|
|
|
|
|
|
|
1001111000001,6060,979
|
|
|
|
|
|
|
|
|
|
|
|
|
|
|
Максимальное количество информации несут проверки
. Учитывая, что соответствующая ей
условная энтропия
, можно рассчитать энтропии и количества
информации остальных проверок, при условии проведения проверки
,
,
,
. Полученные
результаты сведены в таблицу 18.
Таблица 18. Результаты диагностики после проведения четвертой
проверки.
|
            
|
|
|
|
|
|
|
|
|
|
|
|
|
|
|
101001100101
|
|
|
|
|
|
|
|
|
|
|
|
|
|
|
|
100110001101
|
|
|
|
|
|
|
|
|
|
|
|
|
|
|
|
110101100001
|
|
|
|
|
|
|
|
|
|
|
|
|
|
|
|
110100101011
|
|
|
|
|
|
|
|
|
|
|
|
|
|
|
|
|
|
|
|
|
|
|
|
|
|
|
|
|
|
|
0001101011100,1670
|
|
|
|
|
|
|
|
|
|
|
|
|
|
|
|
0011110110110,0000,167
|
|
|
|
|
|
|
|
|
|
|
|
|
|
|
|
1001101010110,1670
|
|
|
|
|
|
|
|
|
|
|
|
|
|
|
|
1010011101010,1670
|
|
|
|
|
|
|
|
|
|
|
|
|
|
|
|
0100010001000,1670
|
|
|
|
|
|
|
|
|
|
|
|
|
|
|
|
0111010101000,1670
|
|
|
|
|
|
|
|
|
|
|
|
|
|
|
|
1110101111010,1670
|
|
|
|
|
|
|
|
|
|
|
|
|
|
|
|
1001111000000,0000,167
|
|
|
|
|
|
|
|
|
|
|
|
|
|
|
Из таблицы 18 видно, что после проведения проверки
или
энтропия становится нулевой. А это
значит, что искомый близкий к минимальному тест определён и будет иметь вид
.
Заключение
В результате проделанной курсовой работы мы ознакомились с
некоторыми и статических объектов:
§ изучили метод методами исследования динамических
построения математической модели динамического объекта с помощью прямого и
рекуррентного методов наименьших квадратов;
§ построение математической модели статического
объекта с помощью полиномов Чебышёва и с помощью степенных функций;
§ идентификация объекта с использованием средств
пакета System Identification Toolbox программы Matlab;
Отдельно мы ознакомились с формированием множеств проверок
диагностируемого объекта с помощью аппарата булевых функций, Алгоритма
Яблонского-Мак-Класки и алгоритма Синдеева.
Список литературы
.Алексеев
A.A. «Идентификация и диагностика систем», издательский центр «Академия», 2009
г..
.Музыка
М.М. «Идентификация статики и динамики технических объектов. Методические
указания к курсовой работе по дисциплине: Идентификация и диагностика систем»,
2008 г.
.Собственноручно
написанные лекции.
Приложение 1
Таблица
|
x
|
f(x)
|
|
-1
|
-3,8071
|
|
-0,9778
|
-3,4838
|
|
-0,9556
|
-3,1849
|
|
-0,9333
|
-2,7763
|
|
-0,9111
|
-2,1161
|
|
-0,8889
|
-1,8673
|
|
-0,8667
|
-1,7944
|
|
-0,8444
|
-1,4887
|
|
-0,8222
|
-1,1456
|
|
-0,8
|
-0,831
|
|
-0,7778
|
-0,8364
|
|
-0,7556
|
-0,8387
|
|
-0,7333
|
-0,3019
|
|
-0,7111
|
0,299
|
|
-0,6889
|
0,0493
|
|
-0,6667
|
0,5116
|
|
-0,6444
|
0,6159
|
|
-0,6222
|
0,6732
|
|
-0,6
|
0,6538
|
|
-0,5778
|
0,7634
|
|
-0,5556
|
0,7
|
|
-0,5333
|
0,764
|
|
-0,5111
|
1,0706
|
|
-0,4889
|
1,1509
|
|
-0,4667
|
1,3644
|
|
-0,4444
|
0,9863
|
|
-0,4222
|
1,1747
|
|
-0,4
|
1,3168
|
|
-0,3778
|
1,4013
|
|
-0,3556
|
0,9507
|
|
-0,3333
|
0,8073
|
|
x
|
f(x)
|
|
-0,3111
|
0,9716
|
|
-0,2889
|
1,0366
|
|
-0,2667
|
0,8665
|
|
-0,2444
|
0,9843
|
|
-0,2222
|
0,589
|
|
-0,2
|
0,9076
|
|
-0,1778
|
0,813
|
|
-0,1556
|
0,666
|
|
-0,1333
|
0,703
|
|
-0,1111
|
0,5226
|
|
-0,0889
|
0,4181
|
|
-0,0667
|
0,0516
|
|
-0,0444
|
0,0391
|
|
-0,0222
|
-0,1284
|
|
0
|
-0,2222
|
|
0,0222
|
-0,0742
|
|
0,0444
|
-0,211
|
|
0,0667
|
-0,3119
|
|
0,0889
|
-0,2548
|
|
0,1111
|
-0,4276
|
|
0,1333
|
-0,5168
|
|
0,1556
|
-0,5247
|
|
0,1778
|
-0,7445
|
|
0,2
|
-0,8943
|
|
0,2222
|
-0,8083
|
|
0,2444
|
-0,9358
|
|
0,2667
|
-0,6708
|
|
0,2889
|
-0,9985
|
|
0,3111
|
-1,1478
|
|
0,3333
|
-1,0599
|
|
0,3556
|
-0,8102
|
|
x
|
f(x)
|
|
0,3778
|
-0,8465
|
|
0,4
|
-1,2455
|
|
0,4222
|
-1,0722
|
|
0,4444
|
-1,0377
|
|
0,4667
|
-0,7165
|
|
0,4889
|
-0,9742
|
|
0,5111
|
-0,6775
|
|
0,5333
|
-0,9376
|
|
0,5556
|
-0,8914
|
|
0,5778
|
-0,5514
|
|
0,6
|
-0,6832
|
|
0,6222
|
-0,6161
|
|
0,6444
|
-0,5532
|
|
0,6667
|
-0,3338
|
|
0,6889
|
-0,203
|
|
0,7111
|
0,2445
|
|
0,7333
|
0,0945
|
|
0,7556
|
0,4533
|
|
0,7778
|
0,6457
|
|
0,8
|
0,4494
|
|
0,8222
|
1,3091
|
|
0,8444
|
1,5722
|
|
0,8667
|
1,6802
|
|
0,8889
|
1,6702
|
|
0,9111
|
2,2609
|
|
0,9333
|
2,8543
|
|
0,9556
|
3,2717
|
|
0,9778
|
3,4815
|
|
1
|
4,1737
|
Приложение 2
Таблица
|
t
|
f
|
y
|
|
0
|
-1,0128
|
-1,0128
|
|
0,04
|
1,4064
|
1,4082
|
|
0,08
|
-0,5689
|
-0,5511
|
|
0,12
|
-0,1258
|
-0,0866
|
|
0,16
|
-0,4105
|
-0,3501
|
|
0,2
|
-0,2356
|
-0,1493
|
|
0,24
|
-0,5205
|
-0,4128
|
|
0,28
|
-0,3476
|
-0,2281
|
|
0,32
|
-0,7145
|
-0,5889
|
|
0,36
|
0,6052
|
0,7395
|
|
0,4
|
-0,2827
|
-0,1369
|
|
0,44
|
-0,472
|
-0,3126
|
|
0,48
|
-0,2906
|
-0,1144
|
|
0,52
|
1,1858
|
1,3778
|
|
0,56
|
0,3628
|
0,5742
|
|
0,6
|
-0,0848
|
0,1466
|
|
0,64
|
0,2183
|
0,4527
|
|
0,68
|
0,6906
|
0,9084
|
|
0,72
|
-0,3641
|
-0,1598
|
|
0
|
-1,0128
|
-1,0128
|
|
0,76
|
0,3794
|
0,5781
|
|
0,8
|
-0,1475
|
0,0386
|
|
0,84
|
0,0672
|
0,2324
|
|
0,88
|
-0,4812
|
-0,343
|
|
0,92
|
-0,2108
|
-0,1029
|
|
0,96
|
0,5322
|
0,6082
|
|
1
|
-0,5549
|
-0,5107
|
|
1,04
|
-0,4147
|
-0,3918
|
|
1,08
|
-0,793
|
-0,781
|
|
1,12
|
0,5479
|
0,5573
|
|
1,16
|
-0,4888
|
-0,4712
|
1,1049
|
1,1353
|
|
1,24
|
-0,5901
|
-0,5499
|
|
1,28
|
-0,1831
|
-0,1398
|
|
1,32
|
-0,144
|
-0,1017
|
|
1,36
|
0,2034
|
0,237
|
|
1,4
|
0,0411
|
0,0718
|
|
1,44
|
0,6731
|
0,7172
|
|
1,48
|
0,8348
|
0,8919
|
|
1,52
|
0,6143
|
0,6742
|
|
1,56
|
-0,3131
|
-0,2567
|
|
1,6
|
-0,2585
|
-0,2021
|
|
1,64
|
0,156
|
0,2147
|
|
1,68
|
-0,3186
|
-0,2662
|
|
1,72
|
0,064
|
0,0994
|
|
1,76
|
-0,8002
|
-0,7845
|
|
1,8
|
0,1552
|
0,1595
|
|
1,84
|
-1,578
|
-1,5782
|
|
1,88
|
-0,9921
|
-0,9916
|
|
1,92
|
0,1159
|
0,119
|
|
1,96
|
-0,3593
|
-0,3569
|
|
2
|
-0,0257
|
-0,0231
|
|
2,04
|
-0,8163
|
-0,8216
|
|
2,08
|
0,4872
|
0,4549
|
|
2,12
|
-0,732
|
-0,7973
|
|
2,16
|
0,7696
|
0,6768
|
|
t
|
f
|
y
|
|
2,2
|
0,19
|
0,0786
|
|
2,24
|
0,9225
|
0,8006
|
|
2,28
|
0,3036
|
0,1705
|
|
2,32
|
-0,2014
|
-0,3489
|
|
2,36
|
0,3982
|
0,2394
|
|
2,4
|
0,6146
|
0,4521
|
|
2,44
|
-0,4957
|
-0,6539
|
|
2,48
|
0,1655
|
0,026
|
|
2,52
|
0,5495
|
0,4399
|
|
2,56
|
-0,5989
|
-0,6878
|
|
2,6
|
-0,3065
|
-0,3849
|
|
2,64
|
0,1255
|
0,0651
|
|
2,68
|
-0,0596
|
-0,1018
|
|
2,72
|
0,1649
|
0,1337
|
|
2,76
|
0,3511
|
0,3217
|
|
2,8
|
0,44
|
0,4067
|
|
2,84
|
0,0385
|
0,0013
|
|
2,88
|
0,5149
|
0,4637
|
|
2,92
|
0,0413
|
-0,0269
|
|
2,96
|
0,8726
|
0,8036
|
|
3
|
0,5665
|
0,5111
|
|
3,04
|
-0,4235
|
-0,4645
|
|
3,08
|
-0,3749
|
-0,3877
|
|
3,12
|
-0,0188
|
0,005
|
|
3,16
|
0,5439
|
0,6024
|
|
3,2
|
0,1036
|
0,202
|
|
3,24
|
0,1641
|
0,3051
|
|
3,28
|
-0,429
|
-0,2468
|
|
3,32
|
-0,8132
|
-0,602
|
|
3,36
|
0,771
|
1,0038
|
|
3,4
|
0,9481
|
1,2037
|
|
3,44
|
-0,177
|
0,0917
|
|
3,48
|
0,2638
|
0,5511
|
|
3,52
|
-0,4851
|
-0,1599
|
|
3,56
|
-0,6522
|
-0,2864
|
|
3,6
|
-0,6088
|
-0,214
|
|
3,64
|
-0,1848
|
0,2256
|
|
3,68
|
0,1046
|
0,5229
|
|
3,72
|
-0,1854
|
0,2373
|
|
3,76
|
1,1046
|
1,5257
|
|
3,8
|
0,4856
|
0,8954
|
|
3,84
|
-0,0275
|
0,3642
|
|
3,88
|
0,0954
|
0,4631
|
|
3,92
|
0,6873
|
1,0347
|
|
3,96
|
-0,0248
|
0,3051
|
|
4
|
-0,9301
|
-0,6176
|
|
4,04
|
1,1561
|
1,4672
|
|
4,08
|
0,8233
|
1,1384
|
|
4,12
|
-0,4497
|
-0,1339
|
|
4,16
|
0,0656
|
0,3806
|
|
4,2
|
0,4936
|
0,8029
|
|
4,24
|
-0,1005
|
0,1948
|
|
4,28
|
-0,5456
|
-0,2609
|
|
4,32
|
0,1278
|
0,4119
|
|
4,36
|
-0,2341
|
0,0487
|
|
4,4
|
-0,6097
|
-0,3292
|
|
t
|
f
|
y
|
|
4,44
|
1,3659
|
1,6431
|
|
4,48
|
0,1369
|
0,4043
|
|
4,52
|
0,1619
|
0,4143
|
|
4,56
|
-0,3527
|
-0,109
|
|
4,6
|
0,0064
|
0,2585
|
|
4,64
|
1,7419
|
2,0119
|
|
4,68
|
0,7843
|
1,0573
|
|
4,72
|
-0,1964
|
0,074
|
|
4,76
|
0,5429
|
0,8169
|
|
4,8
|
0,5933
|
0,8765
|
|
4,84
|
1,5732
|
1,8756
|
|
4,88
|
-1,1759
|
-0,853
|
|
4,92
|
-0,1498
|
0,1853
|
|
4,96
|
0,1572
|
0,5055
|
|
5
|
0,2365
|
0,5983
|
|
5,04
|
0,5399
|
0,9053
|
|
5,08
|
-1,0209
|
-0,651
|
|
5,12
|
-0,7859
|
-0,4059
|
|
5,16
|
0,1287
|
0,5104
|
|
5,2
|
0,154
|
0,5273
|
|
5,24
|
0,3296
|
0,6931
|
|
5,28
|
-0,031
|
0,3216
|
|
5,32
|
0,0186
|
0,3622
|
|
5,36
|
0,5364
|
0,8656
|
|
5,4
|
0,7853
|
1,092
|
|
5,44
|
-0,7427
|
-0,466
|
|
5,48
|
0,3197
|
0,5664
|
|
5,52
|
0,0403
|
0,2703
|
|
5,56
|
-0,0434
|
0,1763
|
|
5,6
|
0,062
|
0,2732
|
|
5,64
|
-0,1366
|
0,0722
|
|
5,68
|
-0,0808
|
0,1313
|
|
5,72
|
-0,3257
|
-0,1057
|
|
5,76
|
-0,514
|
-0,2856
|
0,3424
|
0,5787
|
|
5,84
|
-0,5325
|
-0,2944
|
|
5,88
|
-0,4137
|
-0,1783
|
|
5,92
|
-0,911
|
-0,6698
|
|
5,96
|
0,106
|
0,3569
|
|
6
|
0,9479
|
1,2058
|
|
6,04
|
-0,5526
|
-0,279
|
|
6,08
|
-0,0519
|
0,2434
|
|
6,12
|
0,7661
|
1,0797
|
|
6,16
|
0,2228
|
0,5563
|
|
6,2
|
0,1047
|
0,4541
|
|
6,24
|
0,6437
|
1,0032
|
|
6,28
|
0,0071
|
0,3818
|
|
6,32
|
0,2694
|
0,6644
|
|
6,36
|
-0,3911
|
0,0239
|
|
6,4
|
-1,0633
|
-0,6393
|
|
6,44
|
0,6111
|
1,0278
|
|
6,48
|
0,2528
|
0,6454
|
|
6,52
|
0,0013
|
0,3563
|
|
6,56
|
-0,6601
|
-0,3426
|
|
6,6
|
-0,1664
|
0,1187
|
|
6,64
|
-0,1906
|
0,0598
|
|
t
|
f
|
y
|
|
6,68
|
-0,9261
|
-0,6992
|
|
6,72
|
0,8393
|
1,0541
|
|
6,76
|
0,0358
|
0,2367
|
|
6,8
|
-0,1969
|
-0,0084
|
|
6,84
|
0,022
|
0,2001
|
|
6,88
|
0,4173
|
0,5912
|
|
6,92
|
-0,1693
|
-0,0071
|
|
6,96
|
-0,8843
|
-0,7524
|
|
7
|
-0,2033
|
-0,1149
|
|
7,04
|
0,4283
|
0,4718
|
|
7,08
|
-0,2604
|
-0,2547
|
|
7,12
|
-0,4213
|
-0,4489
|
|
7,16
|
-0,0556
|
-0,1121
|
|
7,2
|
-0,4986
|
-0,5741
|
|
7,24
|
1,2559
|
1,1676
|
|
7,28
|
-0,209
|
-0,3188
|
|
7,32
|
-0,4275
|
-0,5696
|
|
7,36
|
0,0069
|
-0,1745
|
|
7,4
|
0,5647
|
0,3364
|
|
7,44
|
0,5571
|
0,2819
|
|
7,48
|
-0,4404
|
-0,7638
|
|
7,52
|
0,5101
|
0,1359
|
|
7,56
|
0,124
|
-0,2879
|
|
7,6
|
-0,0313
|
-0,475
|
|
7,64
|
0,0237
|
-0,455
|
|
7,68
|
0,6977
|
0,1825
|
|
7,72
|
0,4715
|
-0,0854
|
|
7,76
|
-1,1951
|
-1,7855
|
|
7,8
|
-0,8039
|
-1,4183
|
|
7,84
|
-0,5265
|
-1,1701
|
|
7,88
|
-0,1222
|
-0,8021
|
|
7,92
|
0,7448
|
0,025
|
|
7,96
|
0,526
|
-0,2297
|
|
8
|
-0,7566
|
-1,5454
|
|
8,04
|
-1,3902
|
-2,2045
|
|
8,08
|
-0,7747
|
-1,6048
|
|
8,12
|
-0,4032
|
-1,2448
|
|
8,16
|
0,417
|
-0,4374
|
|
8,2
|
0,1159
|
-0,7563
|
|
8,24
|
-0,2979
|
-1,1843
|
|
8,28
|
1,1848
|
0,2855
|
|
8,32
|
0,4946
|
-0,422
|
|
8,36
|
0,2806
|
-0,6533
|
|
8,4
|
-0,9575
|
-1,9049
|
|
8,44
|
-0,4005
|
-1,3644
|
|
8,48
|
-0,3332
|
-1,3145
|
|
8,52
|
-0,7779
|
-1,7641
|
|
8,56
|
0,0716
|
-0,9008
|
|
8,6
|
0,0165
|
-0,9414
|
|
8,64
|
-0,5877
|
-1,5303
|
|
8,68
|
-0,1213
|
-1,0316
|
|
8,72
|
-0,3624
|
-1,2313
|
|
8,76
|
-0,0694
|
-0,902
|
|
8,8
|
0,3482
|
-0,4511
|
|
8,84
|
-0,244
|
-1,0079
|
|
8,88
|
-0,158
|
-0,8943
|
|
8,92
|
0,4533
|
-0,2647
|
|
8,96
|
-0,5851
|
-1,2891
|
|
9
|
-0,8801
|
-1,5683
|
|
t
|
f
|
y
|
|
9,04
|
-0,0815
|
-0,7496
|
|
9,08
|
-0,3257
|
-0,9788
|
|
9,12
|
0,1594
|
-0,4771
|
|
9,16
|
0,4386
|
-0,1696
|
|
9,2
|
-0,5966
|
-1,1719
|
|
9,24
|
0,3272
|
-0,214
|
|
9,28
|
1,0889
|
0,5838
|
|
9,32
|
-0,4449
|
-0,9146
|
|
9,36
|
0,8666
|
0,4206
|
|
9,4
|
-0,2425
|
-0,6689
|
|
9,44
|
-0,1147
|
-0,5223
|
|
9,48
|
-0,2143
|
-0,6109
|
|
9,52
|
0,0851
|
-0,2984
|
|
9,56
|
0,5616
|
0,2007
|
|
9,6
|
-0,341
|
-0,6827
|
|
9,64
|
-0,2695
|
-0,6027
|
|
9,68
|
-0,0379
|
-0,3724
|
|
9,72
|
0,4275
|
0,0921
|
|
9,76
|
0,5633
|
0,2332
|
|
9,8
|
-0,2878
|
-0,6169
|
|
9,84
|
-0,3725
|
-0,7146
|
|
9,88
|
0,1561
|
-0,2143
|
|
9,92
|
-0,0898
|
-0,4935
|
|
9,96
|
-0,5294
|
-0,9559
|
|
10
|
-0,1792
|
-0,6173
|
|
10,04
|
-0,113
|
-0,5626
|
|
10,08
|
-0,8249
|
-1,2839
|
|
10,12
|
-1,4069
|
-1,8726
|
|
10,16
|
-0,1176
|
-0,588
|
|
10,2
|
0,4145
|
-0,0546
|
|
10,24
|
0,6455
|
0,1826
|
|
10,28
|
0,0511
|
-0,4014
|
|
10,32
|
0,9105
|
0,4709
|
|
10,36
|
-0,7476
|
-1,1784
|
-0,2516
|
-0,6709
|
|
10,44
|
-1,7011
|
-2,1019
|
|
10,48
|
0,5919
|
0,2057
|
|
10,52
|
-0,4077
|
-0,7887
|
|
10,56
|
0,052
|
-0,3178
|
|
10,6
|
0,5047
|
0,1572
|
|
10,64
|
0,9082
|
0,57
|
|
10,68
|
0,3925
|
0,0495
|
|
10,72
|
0,8975
|
0,5552
|
|
10,76
|
1,0303
|
0,6968
|
|
10,8
|
0,438
|
0,1116
|
|
10,84
|
-0,4773
|
-0,7985
|
|
10,88
|
0,0417
|
-0,2844
|
|
10,92
|
-0,0825
|
-0,4191
|
|
10,96
|
-0,4506
|
-0,7868
|
|
11
|
1,5291
|
1,1957
|
|
11,04
|
0,7057
|
0,3738
|
|
11,08
|
-0,2728
|
-0,5925
|
|
11,12
|
2,2926
|
1,9904
|
|
11,16
|
0,6026
|
0,3181
|
|
11,2
|
0,1191
|
-0,1449
|
|
11,24
|
-0,8687
|
-1,1126
|
|
11,28
|
-0,2691
|
-0,4797
|
|
11,32
|
0,461
|
0,3012
|
|
11,36
|
0,0905
|
-0,0214
|
|
t
|
f
|
y
|
|
11,4
|
0,0771
|
-0,002
|
|
11,44
|
0,0002
|
-0,0623
|
|
11,48
|
0,2394
|
0,187
|
|
11,52
|
0,5607
|
0,5285
|
|
11,56
|
-0,3102
|
-0,3197
|
|
11,6
|
-0,341
|
-0,336
|
|
11,64
|
-0,2339
|
-0,2138
|
|
11,68
|
-0,0992
|
-0,0578
|
|
11,72
|
-0,1724
|
-0,1041
|
|
11,76
|
-0,0534
|
0,0462
|
|
11,8
|
-0,539
|
-0,4095
|
|
11,84
|
-0,8357
|
-0,6826
|
|
11,88
|
0,8459
|
1,0146
|
|
11,92
|
0,0403
|
0,2193
|
|
11,96
|
0,2368
|
0,4203
|
|
12
|
-0,0115
|
0,1717
|
|
12,04
|
-0,1327
|
0,0469
|
|
12,08
|
0,9841
|
1,1518
|
|
12,12
|
0,2894
|
0,443
|
|
12,16
|
-0,0842
|
0,0629
|
|
12,2
|
-0,4398
|
-0,2824
|
|
12,24
|
-0,6121
|
-0,4284
|
|
12,28
|
-0,8025
|
-0,5969
|
|
12,32
|
-0,5743
|
-0,3528
|
|
12,36
|
0,4619
|
0,6899
|
|
12,4
|
0,1117
|
0,3341
|
|
12,44
|
-1,4441
|
-1,229
|
|
12,48
|
-0,3911
|
-0,1823
|
|
12,52
|
-0,0696
|
0,1373
|
|
12,56
|
-0,5403
|
-0,3291
|
|
12,6
|
-0,0246
|
0,1914
|
|
12,64
|
-0,4008
|
-0,179
|
|
12,68
|
-0,0236
|
0,2058
|
|
12,72
|
0,8327
|
1,0648
|
|
12,76
|
0,6324
|
0,8624
|
|
12,8
|
1,5559
|
1,7729
|
|
12,84
|
0,4755
|
0,6751
|
|
12,88
|
-1,8301
|
-1,6419
|
|
12,92
|
-0,3152
|
-0,1304
|
|
12,96
|
0,4433
|
0,6304
|
|
13
|
-0,3874
|
-0,2124
|
|
13,04
|
-0,9952
|
-0,839
|
|
13,08
|
-0,5001
|
-0,3562
|
|
13,12
|
0,9292
|
1,0692
|
|
13,16
|
-0,0732
|
0,0724
|
|
13,2
|
0,2323
|
0,3785
|
|
13,24
|
-0,1126
|
0,0225
|
|
13,28
|
-0,7194
|
-0,5972
|
|
13,32
|
0,9025
|
1,0197
|
|
13,4
|
-0,6258
|
-0,5115
|
|
13,44
|
0,1945
|
0,3049
|
|
13,48
|
0,3749
|
0,4763
|
|
13,52
|
0,1309
|
0,2257
|
|
13,56
|
0,099
|
0,1906
|
|
13,6
|
-0,6007
|
-0,5189
|
|
13,64
|
-0,426
|
-0,3632
|
|
13,68
|
-0,0898
|
-0,0441
|
|
13,72
|
-0,4602
|
-0,4269
|
|
13,76
|
-0,5396
|
-0,5237
|
|
t
|
f
|
y
|
|
13,8
|
1,3733
|
1,368
|
|
13,84
|
0,1802
|
0,1497
|
|
13,88
|
0,4028
|
0,3444
|
|
13,92
|
0,6649
|
0,5776
|
|
13,96
|
0,4273
|
0,3091
|
|
14
|
0,9935
|
0,8438
|
|
14,04
|
-0,8226
|
-0,9965
|
|
14,08
|
-0,1469
|
-0,3473
|
|
14,12
|
0,0722
|
-0,16
|
|
14,16
|
-0,5059
|
-0,7721
|
|
14,2
|
0,8004
|
0,4792
|
|
14,24
|
-0,9018
|
-1,2899
|
|
14,28
|
0,0742
|
-0,3689
|
|
14,32
|
0,1366
|
-0,3449
|
|
14,36
|
0,1091
|
-0,3957
|
|
14,4
|
-0,5827
|
-1,1005
|
|
14,44
|
0,1011
|
-0,432
|
|
14,48
|
-0,3172
|
-0,8631
|
|
14,52
|
0,0226
|
-0,5337
|
|
14,56
|
-0,026
|
-0,5974
|
|
14,6
|
0,2998
|
-0,2847
|
|
14,64
|
-0,0296
|
-0,6298
|
|
14,68
|
-0,0006
|
-0,6209
|
|
14,72
|
0,0357
|
-0,6088
|
|
14,76
|
-0,1548
|
-0,8135
|
|
14,8
|
-0,8414
|
-1,5058
|
|
14,84
|
-0,6834
|
-1,357
|
|
14,88
|
-0,39
|
-1,0734
|
|
14,92
|
-0,9418
|
-1,6368
|
|
14,96
|
-0,3537
|
-1,0611
|
|
15
|
0,0016
|
-0,7155
|
-0,6228
|
-1,3412
|
|
15,08
|
0,3048
|
-0,4192
|
|
15,12
|
-0,3218
|
-1,0584
|
|
15,16
|
0,2488
|
-0,4948
|
|
15,2
|
0,4183
|
-0,3317
|
|
15,24
|
1,1995
|
0,4314
|
|
15,28
|
0,1064
|
-0,6759
|
|
15,32
|
0,6579
|
-0,1283
|
|
15,36
|
1,0573
|
0,2709
|
|
15,4
|
-0,22
|
-1,0013
|
|
15,44
|
-0,0101
|
-0,7814
|
|
15,48
|
-0,1744
|
-0,9329
|
|
15,52
|
0,1273
|
-0,6203
|
|
15,56
|
-0,8246
|
-1,5596
|
|
15,6
|
-1,0992
|
-1,8176
|
|
15,64
|
0,4542
|
-0,2424
|
|
15,68
|
0,8147
|
0,1382
|
|
15,72
|
-0,0972
|
-0,7556
|
|
15,76
|
-0,5086
|
-1,148
|
|
15,8
|
-0,2628
|
-0,894
|
|
15,84
|
-0,5538
|
-1,1851
|
|
15,88
|
0,3018
|
-0,3237
|
|
15,92
|
0,0894
|
-0,5215
|
|
15,96
|
0,7986
|
0,2075
|
|
16
|
0,676
|
0,109
|
|
16,04
|
-0,1244
|
-0,6654
|
|
16,16
|
0,4417
|
0,0167
|
|
t
|
f
|
y
|
|
16,2
|
0,5729
|
0,1794
|
|
16,24
|
0,1445
|
-0,2265
|
|
16,28
|
0,9464
|
0,5915
|
|
16,32
|
0,031
|
-0,3188
|
|
16,36
|
0,8213
|
0,4685
|
|
16,4
|
-0,2929
|
-0,6468
|
|
16,44
|
-0,3933
|
-0,745
|
|
16,48
|
-0,1633
|
-0,5031
|
|
16,52
|
-0,2255
|
-0,546
|
|
16,56
|
0,3519
|
0,0497
|
|
16,6
|
1,0921
|
0,8082
|
|
16,64
|
0,0094
|
-0,2605
|
|
16,68
|
0,289
|
0,0313
|
|
16,72
|
0,0501
|
-0,1859
|
|
16,76
|
-1,3371
|
-1,5412
|
|
16,8
|
0,2404
|
0,0765
|
|
16,84
|
-0,704
|
-0,8256
|
|
16,88
|
0,5869
|
0,4966
|
|
16,92
|
-0,4253
|
-0,5038
|
|
16,96
|
-0,8774
|
-0,952
|
|
17
|
1,2054
|
1,1398
|
|
17,04
|
-0,3179
|
-0,3746
|
|
17,08
|
0,1203
|
0,0703
|
|
17,12
|
0,0531
|
0,0046
|
|
17,16
|
0,2859
|
0,231
|
|
17,2
|
0,8422
|
0,7858
|
|
17,24
|
0,8109
|
0,7641
|
|
17,28
|
-0,5501
|
-0,5901
|
|
17,32
|
-0,2317
|
-0,2694
|
|
17,36
|
-0,1225
|
-0,1682
|
|
17,4
|
-0,1016
|
-0,1635
|
|
17,44
|
0,5828
|
0,5104
|
|
17,48
|
-1,0081
|
-1,093
|
|
17,52
|
-0,0933
|
-0,2032
|
|
17,56
|
-0,2417
|
-0,3756
|
|
17,6
|
0,0848
|
-0,0561
|
|
17,64
|
-0,3186
|
-0,4586
|
|
17,68
|
0,7083
|
0,5659
|
|
17,72
|
-0,9407
|
-1,0945
|
|
17,76
|
0,2657
|
0,0982
|
|
17,8
|
-0,3366
|
-0,5151
|
|
17,84
|
-0,6251
|
-0,8222
|
|
17,88
|
0,6623
|
0,4398
|
|
17,92
|
0,9459
|
0,703
|
|
17,96
|
-1,5874
|
-1,8452
|
|
18
|
0,8097
|
0,5392
|
|
18,04
|
0,3522
|
0,068
|
|
18,08
|
1,1011
|
0,7991
|
|
18,12
|
0,2116
|
-0,1027
|
|
18,16
|
0,4195
|
0,0992
|
|
18,2
|
-0,49
|
-0,8118
|
|
18,24
|
0,0536
|
-0,262
|
|
18,28
|
0,5183
|
0,2128
|
|
18,32
|
0,5635
|
0,2725
|
|
18,36
|
0,6324
|
0,3613
|
|
18,4
|
-1,0384
|
-1,2943
|
|
18,44
|
-0,3208
|
-0,5619
|
|
t
|
f
|
y
|
|
18,48
|
-0,5343
|
-0,7594
|
|
18,52
|
-0,4883
|
-0,7122
|
|
18,56
|
0,0306
|
-0,1982
|
|
18,6
|
0,6631
|
0,4299
|
|
18,64
|
1,0325
|
0,8004
|
|
18,68
|
0,4132
|
0,1829
|
|
18,72
|
0,2254
|
-0,0201
|
|
18,76
|
-0,3308
|
-0,603
|
|
18,8
|
0,3796
|
0,0775
|
|
18,84
|
-0,2098
|
-0,5404
|
|
18,88
|
-0,0423
|
-0,3927
|
|
18,92
|
0,0758
|
-0,282
|
|
18,96
|
-0,8735
|
-1,2369
|
|
19
|
1,1651
|
0,792
|
|
19,04
|
0,5839
|
0,1985
|
|
19,08
|
-0,1423
|
-0,5362
|
|
19,12
|
0,0172
|
-0,3722
|
|
19,16
|
-0,6408
|
-1,0169
|
|
19,2
|
0,6716
|
0,3025
|
|
19,24
|
0,3268
|
-0,044
|
|
19,28
|
-1,1581
|
-1,5253
|
|
19,32
|
-0,2294
|
-0,5873
|
|
19,36
|
-0,0676
|
-0,4163
|
|
19,4
|
2,0294
|
1,6901
|
|
19,44
|
0,0589
|
-0,264
|
|
19,48
|
0,1636
|
-0,1363
|
|
19,52
|
0,1361
|
-0,1494
|
|
19,56
|
0,2982
|
0,0094
|
|
19,6
|
-0,8971
|
-1,1984
|
|
19,64
|
-0,4145
|
-0,7222
|
|
19,68
|
0,7438
|
0,4389
|
0,6136
|
0,315
|
|
19,76
|
-0,7278
|
-1,0248
|
|
19,8
|
-0,0942
|
-0,3906
|
|
19,84
|
1,1761
|
0,8808
|
|
19,88
|
-0,3177
|
-0,6193
|
|
19,92
|
0,2286
|
-0,0832
|
|
19,96
|
1,1037
|
0,7798
|
|
20
|
0,3152
|
-0,0232
|