Автоматизация решения задач пользователя в MS Excel

  • Вид работы:
    Контрольная работа
  • Предмет:
    Информационное обеспечение, программирование
  • Язык:
    Русский
    ,
    Формат файла:
    MS Word
    939,89 Кб
  • Опубликовано:
    2012-05-12
Вы можете узнать стоимость помощи в написании студенческой работы.
Помощь в написании работы, которую точно примут!

Автоматизация решения задач пользователя в MS Excel

Министерство образования Республики Беларусь

БЕЛОРУССКИЙ НАЦИОНАЛЬНЫЙ ТЕХНИЧЕСКИЙ УНИВЕРСИТЕТ

Кафедра "Экономика и управление на транспорте"






РАСЧЕТНО-ГРАФИЧЕСКАЯ РАБОТА

по дисциплине "Информатика"

на тему "Автоматизация решения задач пользователя в MS Excel"





Выполнила: студентка гр.101851

Макей В.В.

Проверил: ст. преподаватель

Стефанович Н.В.




Содержание

 

Введение

Теоретическая часть

1. Параметры форматирования ячейки. Применение Автоформата. Создание и использование стилей форматирования

2. Функции рабочего листа даты и времени. Использование Мастера функций

Практическая часть

1. Построение графиков функций

2. Построение графика периодичной кусочно-ломаной функции с условиями

3. Выполнение экономических расчетов средствами MS Excel

4. Анализ данных средствами MS Excel

5. Решение задачи математического программирования средствами MS Excel

Заключение

Список использованных источников

Введение


Электронные таблицы (табличные процессоры) - прикладное программное обеспечение общего назначения, предназначенное для обработки различных данных, представимых в табличной форме. Главное достоинство электронной таблицы состоит в том, что в ней можно мгновенно пересчитывать все данные, связанные формульными зависимостями, при изменении любого значения. Так как я будущий экономист, для меня умение работать с электронными таблицами является неотъемлемой частью моей будущей профессии. Поэтому в ходе расчетно-графической работы я хочу приобрести практические навыки работы с электронными таблицами Microsoft Excel.

табличный процессор стиль excel

Теоретическая часть


1. Параметры форматирования ячейки. Применение Автоформата. Создание и использование стилей форматирования


Стиль ячеек включает в себя определенный набор параметров форматирования ячейки - шрифт с заданными характеристиками, цвет заливки и шрифта, наличие и тип границы ячейки, числовой формат ячейки. Вызывается нажатием правой клавиши мыши на ячейке и выбором пункта Формат ячеек…

Автоформат позволяет автоматически применить к текущей таблице параметры форматирования, включающие шрифты, затенение и границы.

Чтобы применить автоформат к таблице следует:

.        Выделить диапазон, содержащий таблицу.

2.       Выполнить Формат\Автоформат. Откроется окно Автоформат.

.        Выделить желаемый формат в списке форматов и просмотреть образец.

.        Нажать OK.

Существует несколько способов создания собственных стилей с помощью диалогового окна Стиль (меню Формат, команда Стили).

Создание нового стиля на основе существующего формата

.        В меню Формат выберите команду Стиль.

2.       В поле Имя стиля введите имя нового стиля.

Создание стиля с нуля

.        В меню Формат выберите команду Стиль.

2.       Введите имя нового стиля в поле Имя стиля.

.        Нажмите кнопку Изменить.

.        В группе Стиль включает укажите нужные атрибуты стиля.

.        Нажмите кнопку OK, чтобы сохранить стиль и применить его к выбранному диапазону, или нажмите кнопку Добавить, чтобы просто сохранить стиль.

Изменение существующего стиля

.        В меню Формат выберите команду Стиль.

2.       Нажмите кнопку Изменить.

.        Измените стиль, используя вкладки диалогового окна Формат ячеек.

.        Дважды нажмите кнопку OK.

Использование существующих стилей

Существующий стиль, либо предопределенный, либо созданный, можно быстро использовать в своей книге. Стандартные стили, такие как Финансовый , Денежный  и Процентный , также легко доступны на панели инструментов Форматирование. Другими стилями можно воспользоваться с помощью команды Стиль меню Формат.

Применение стиля

.        Выберите ячейку или диапазон ячеек, к которому нужно применить требуемый стиль.

2.       В меню Формат выберите команду Стиль.

.        В раскрывающемся списке Имя стиля щелкните применяемый стиль.

.        В группе "Стиль включает" выберите все применяемые категории стиля.

2. Функции рабочего листа даты и времени. Использование Мастера функций


Excel хранит дату в виде последовательных чисел (сериальных чисел), а время в виде десятичной части этого значения (время является частью даты). Значения даты и времени представляются числами, поэтому их можно использовать в вычислениях.

Функции даты и времени <javascript:ToggleDiv('divExpCollAsst_66028836')>

ДАТА <#"564405.files/image004.gif"> <#"564405.files/image005.gif">

Рисунок 1

На рисунке 1 показано выполненное задание №1. Построение графиков функции. Два графика на одной диаграмме.

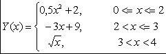
2. Построение графика периодичной кусочно-ломаной функции с условиями


Постановка задачи:

Для заданной периодичной кусочно-ломаной функции необходимо:

.        Построить электронную таблицу для вычисления значений кусочно-ломаной функции в диапазоне двух периодов, с заданным шагом. шаг h=0,25

При построении таблицы значений функции использовать встроенные функции Microsoft Excel ОСТАТ и ЕСЛИ.

.        По табличным данным с помощью Мастера диаграмм построить график функции (тип диаграммы - точечная).


Рисунок 2

На рисунке 2 показано выполненное практическое задание №2. Построение графика периодичной кусочно-ломаной функции

3. Выполнение экономических расчетов средствами MS Excel


Постановка задачи

Срок службы технологической линии составляет K лет.

Остаточная стоимость технологической линии в конце срока службы - Sk.

Построить (по варианту) таблицу для расчета суммы амортизационных отчислений и остаточной стоимости линии по годам, если применяется ускоренная амортизация по правилу суммы лет.

Таблица 1

Начальная стоимость

Остаточная стоимость

Срок эксплуатации, лет

19

140 000 $

17 000$

6


В таблице 1 приведены данные для расчета амортизации.

Рисунок 3

На рисунке 3 показано выполнение задания №3. Здесь показано, как с помощью MS Excel можно выполнять экономический расчеты.

4. Анализ данных средствами MS Excel


Постановка задачи:

Используя команду Подбор параметра из меню Сервис, найти значение Х, при котором функция возвратит заданное значение.

Результат отобразить в виде таблицы:

Таблица 2

N

Переменная

Функция

Результат


X

y

z



9


2,13

1,29

=10,08



В таблице 2 приведены данные для решения задачи с использованием команды Подбор данных

Рисунок 4

На рисунке 5 показан результата подбора параметра

Рисунок 5

На рисунке 4 показан процесс подбора параметра в MS Excel

5. Решение задачи математического программирования средствами MS Excel


Постановка задачи:

Рисунок 6

На рисунке 6 показан принцип работы надстройки MS Excel Поиск решения

Используя надстройку Microsoft Excel Поиск решения, определить размеры бака (R, h), имеющего форму цилиндра с крышкой объемом 8000 см3, чтобы площадь материала, пошедшего на его изготовление, была минимальной.

Рисунок 7

На рисунке 7 показан отчет по результатам поиска решения к задаче №5

Заключение


В ходе расчетно-графической работы я приобрела практические навыки работы с электронными таблицами в Microsoft Excel.

Список использованных источников


1.       http://ru. wikipedia.org <http://ru.wikipedia.org>

2.       http://school8. uriit.ru/people/av/index.html <http://school8.uriit.ru/people/av/index.html>

3.       Конспект лекций по информатике


Не нашли материал для своей работы?
Поможем написать уникальную работу
Без плагиата!
Без нейросетей!