Расчетный проект волноводного тракта приемной антенны спутникового телевидения
Введение
С появлением 50 лет назад искусственных
спутников земли (ИСЗ) открылись широкие возможности для дальнейшего развития и
совершенствования всех систем передачи информации, и в частности - для
телевидения. Одним из основных достижений радиотехники, электроники, и
телевидения в последнее время является развитие и широкое внедрение
спутникового телевидения.
СТВ получило чрезвычайно широкое
распространение, когда качественный прием большого числа телепрограмм стал
возможным с помощью дешевых, легких, и малогабаритных антенн, удобных для
установки на балконе, на стене здания, или даже внутри комнаты.
Для спутникового телевидения Международной
электротехнической комиссией выделены полосы частот в разных частотных
диапазонах: от УВЧ до КВЧ.
В настоящее время наиболее освоенными являются
диапазоны частот: С (3,6…4,2 ГГц) и К (10,9…12,5) ГГц, причем в диапазоне
частот 10,9…11,7 ГГц с ИСЗ транслируются сигналы с линейными поляризациями
(вертикальной и горизонтальной), а в диапазоне частот 11,7…12,5 ГГц - с круговыми
поляризациями (правой и левой). Таким образом, сигналы разных телевизионных
каналов, излучаемые ИСЗ различаются не только несущими частотами, но и
поляризациями электромагнитных волн. Это повышает помехозащищенность и улучшает
качество приема спутниковых телепрограмм.
Выделение широкой полосы частот для СТВ дает
возможность одновременно с многих спутников передавать значительно большее
число телепрограмм, чем при эфирном телевидении. Так, современные серийно
выпускаемые тюнеры для приемных систем СТВ программируются на прием десятков и
даже сотен телепрограмм.
Структура волноводного тракта приемной антенны
СТВ и его конструктивное исполнение определяется назначением антенны и рабочим
диапазоном частот. Возможные схемы построения волноводных трактов представлены
на рисунке 1.
Рисунок 1 (а, б, в).
На рисунке 1а изображена схема самого простого
волноводного тракта антенны для приема с ИСЗ волны с круговой поляризацией.
Однако чаще всего в тракт антенны включают еще одно устройство - переключатель
плоскости поляризации ПП. Схема волноводного тракта, позволяющего принимать с
ИСЗ программы, транслируемые с разными поляризациями поля, изображена на
рисунке 1б.
Описанные схемы волноводного тракта применяют в
приемных антеннах СТВ индивидуального пользования. В них программы с разной
поляризацией просматриваются поочередно, то есть разделяются во времени. Если
же на выходах тракта необходимо одновременно выделять СВЧ - сигналы,
соответствующие волнам с разной поляризацией поля принятым антенной, то тракт
строят по схеме, показанной на рисунке 1в. В этой схеме разделение сигналов по
поляризациям осуществляется селектором поляризации СП.
1. Выбор и обоснование схемы построения
устройства
В данной курсовой работе используется
волноводный тракт имеющий схему построения, представленную в П.1.
С выхода антенны(1), волны с круговой
поляризацией поля (2) поступают по волноводу (круглого сечения) на вход
поляризатора. В поляризаторе эти волны преобразуются в две линейные ортогонально
поляризованные волны (5) . В состав поляризатора входит четверть волновые
согласующие трансформаторы (3), и сам поляризатор (4). Далее при прохождении
волны через управляемый ферритовый переключатель поляризации имеет место
поворот плоскости поляризации волны (8,9). Переключатель поляризации
согласуется с трактом четверть волновыми согласующими трансформаторами (6). С
выхода переключателя поляризации волны через ступенчатый волноводный переход
(10) подаются по прямоугольному волноводу (11) на вход поляризационной развязки
(7), где происходит ослабление всех волн, имеющих поляризацию, отличную от
вертикальной.
Рисунок 2.
2. Расчет устройства
2.1 Расчет волноводов
2.1.1 Расчет прямоугольного волновода
Исходя из рабочего диапазона частот, определим
соответствующие длины волн по формуле:
где 
м/с - скорость
света в вакууме.

- минимальная
частота из диапазона,

- максимальная
частота из диапазона,

максимальная длина
волны,

- максимальная
длина волны,

- рабочая длина
волны.
Размеры поперечного сечения прямоугольного
волновода определим из условия:

,
где 
и 
- критические
длины волн основного типа 
и ближайшего
высшего типа 
(a - широкая
стенка волновода).
Определим а из условия

.
Получаем 12,8< a < 25,6 (мм).
В ГОСТ20900-75 есть стандартный прямоугольный
волновод, удовлетворяющий техническому заданию курсовой работы, изображенный на
рисунке 3. Данный волновод имеет следующие параметры:
1) Внутренние размеры - a =19мм, b=9,5 мм, S=1
мм.
) Рабочий диапазон частот: 9,84…15 ГГц.
Рисунок 3
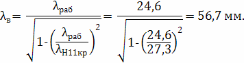
2.1.2 Расчет круглого волновода
Аналогично для круглого волновода диаметром 2с
рабочий диапазон длин волн определяется следующим выражением:

,
где 
и 
- критические
длины волн основного типа 
и ближайшего
высшего типа 
.
Определим с из условия

.
Получаем 7,5<с<9,8 (мм).
Так как ГОСТ на круглые волноводы нет, примем
диаметр круглого волновода равным размеру широкой стенки прямоугольного
волновода, т.е. равным 19 мм. Полученный волновод изображен на рисунке 3.
Рисунок 3.
2.2 Расчет волноводно-диэлектрического
поляризатора
Поляризатор - волноводное устройство,
осуществляющее преобразование поляризации электромагнитной волны в волноводе; в
частности, π/2 поляризатор
преобразует волну типа 
с линейной
поляризацией на входе кругового волновода в волну этого же типа, но с круговой
поляризацией (правой или левой) на выходе поляризатора. Для такого
преобразования необходимо, чтобы в волноводе могли распространяться две волны
типа квази
с разными фазовыми
постоянными. Этот эффект достигается, например, малой деформацией поперечного
сечения круглого или квадратного волновода. Аналогичный результат достигается
введением в волновод диэлектрической или металлической пластины.
Для конструирования волноводного тракта,
изображенного на рисунке 4, нам необходимо, чтобы поляризатор выполнял обратную
задачу: преобразовывал волну с круговой поляризацией в линейно поляризованную
волну. Эту функцию может выполнять поляризатор, так как он является взаимным
устройством. Будем использовать в качестве π/2 поляризатора
диэлектрическую пластину, так как она имеет относительную технологическую
простоту в изготовлении.
Эскиз поляризатора показан на рисунке 4.
Рисунок 4:
Здесь Ē|| , Ē┴
, Ēг
, Ēв
- обозначения плоскостей поляризации волн типа 
, поляризованных
соответственно в вертикальной и горизонтальной плоскостях, а также параллельно
и перпендикулярно диэлектрической пластине; lэф - эффективная длина пластины;
lс - длина выреза, выполняющего роль четвертьволнового трансформатора,
согласующего волновод с пластиной и волновод заполненный воздухом; lп= lэф + lс
- полная длина пластины; W - высота выреза; t - толщина пластины; 2с - диаметр
круглого волновода, в котором расположена пластина.
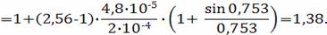
Расчет будем проводить на рабочей частоте 12,1
ГГц. В качестве диэлектрика выбираем полистирол с диэлектрической
проницаемостью lп=2,56.

- рабочая длина
волны.
Основной тип волны круглого волновода - 
.
Критическая длина волны для круглого волновода
Найдем длину волны распространяющейся в
волноводе
Длина четвертьволнового трансформатора
определяется выражением
Толщину диэлектрической пластинки должна быть не
более 1/5 диаметра волновода, поэтому примем ее равной t = 3 мм.
Найдем площадь поперечного сечения пластинки по
формуле
Найдем площадь круглого волновода, в который
устанавливается диэлектрическая пластина, по формуле
Определим вспомогательный коэффициент
В качестве диэлектрика выбираем полистирол с
диэлектрической проницаемостью Sп=2,56.
Найдем эффективные перпендикулярную и
параллельную диэлектрические проницаемости.
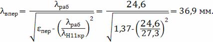
Определим эффективную параллельную и
перпендикулярную длину волны:
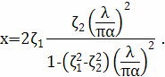
Найдем длину диэлектрической пластины по формуле
Для этого найдем вспомогательные коэффициенты 
и 
Тогда
Определим сопротивление волновода по следующему
выражению
Зная сопротивление волновода, определим сопротивление
поляризатора по формуле
Где
- относительная
магнитная проницаемость полистирола.
Относительная диэлектрическая проницаемость
полистирола
Тогда
Зная сопротивление волновода и сопротивление
поляризатора, найдем сопротивление трансформатора:
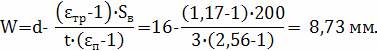
Найдем размер согласующего выреза:
Где эффективная диэлектрическая проницаемость
трансформатора находится по формуле:

.
Таким образом
2.3 Расчет ступенчатого перехода от круглого
волновода к
прямоугольному
Согласование круглого волновода диаметром 2с =
19 мм и прямоугольного волновода с размерами a * b = 19 * 9,5 осуществим с
помощью одноступенчатого перехода в виде секции полого прямоугольного
волновода.
При этом волновое сопротивление волновода
трансформатора определяется по формуле
Где 
- волновое
сопротивление круглого волновода для волны 

- волновое
сопротивление прямоугольного волновода для волны 
Таким образом

Ом.
Поскольку согласуемые волноводы имеют одинаковые
размеры 2с и a, равные соответственно 19 мм, целесообразно выбрать размер
широкой стенки волновода трансформатора 
Определим высоту волновода трансформатора
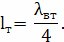
Длину ступени трансформатора определим по
формуле
Где 
- длина волны
рабочего типа 
в волноводном
трансформаторе, которая определяется по формуле
Таким образом, длина четвертьволнового
трансформатора равна
2.4 Расчет поляризационной развязки
Для внесения затухания всех видов поляризации,
отличной от вертикальной, используется поляризационная развязка. Она
представляет собой однородный прямоугольный волновод с бесконечно тонкой
поглощающей полоской, помещенной вдоль волновода по его середине, параллельно
вектору электрического поля, изображенный на Рисунке 5.
Рисунок 5.
Эквивалентная поперечная схема, для основной H
волны, представляет собой отрезок линии передачи короткозамкнутый на одном из
концов и нагруженный на другом конце активным сопротивлением 2R, где R = 100
Ом/□ - удельное сопротивление поглощающей полоски в Омах на единицу
площади равной 9,5×9,5 мм2.
Материалом пластины является слюда, сопротивление образовано напылением хрома
вакуумным методом.
Комплексная величина критического волнового
числа основной волны определяется из условий резонанса
Где
Определив в уравнении действительную и мнимую
части получим два уравнения
Причем
Где
ξ1 выбирается в
промежутке π/2 <
ξ1
< π,
и
в данной работе выбирается равной π для
затухания волны с горизонтальной поляризацией, и 3π/4
для
затухания волны с поляризацией 3π/4.
Тогда при ξ1
= π;
ξ2
= 0,736+1,570i; при ξ1 = 3π/4;
ξ2
= 0,602 + 0,785i постоянная затухания α равна
где
Тогда, при ξ1
= π,
ξ2 = 0,736 + 1,570i,
x = 2,348 - 1,394i, α = 22,888
Дб/□,
ξ1 = 3π/4,
ξ2
= 0,602 + 0,785i, x = 4,114 + 1,061i, α
= =14,829 .
При полученном затухании волны с поляризацией π
и
3π/4,
не
будут оказывать влияния не вертикальную поляризацию.
2.5 Расчет управляемого ферритового
переключателя поляризации
2.5.1 Расчет переключателя поляризации
Ферритовый переключатель поляризации - это
волноводное управляемое устройство, обеспечивающее изменение ориентации
плоскости поляризации электромагнитной волны в волноводном тракте.
В курсовой работе исследуется переключатель, в
котором реализуется эффект Фарадея. Этот эффект заключается в повороте
плоскости поляризации линейно поляризованной волны в круглом или квадратном
волноводе, содержащем продольно-намагниченный ферритовый стержень.
Феррит помещается внутрь волновода, а
намагниченность организуется за счет намотки провода на феррит, при протекании
тока провод создает намагниченность. Рассчитываемый переключатель поляризации
поворачивает плоскость поляризации на ±45о и 90о. Согласование реализуется
заточкой феррита с обеих сторон.
В техническом задании задан феррит 3СЧ19. Он
обладает следующими параметрами:
- диэлектрическая проницаемость εr=16,2,
- тангенс угла диэлектрических потерь tgδ=0,0005,
- остаточная индукция B=1450 Гс,
- коэрцитивная сила Hc=1,3 Э.
Диаметр феррита берется равным 0,6 от диаметра
волновода, так как дальнейшее увеличение диаметра феррит не даст увеличения
удельного угла поворота
2Cф=0,6*2*С =0,6*19 =11,5 мм.
Активность устройства, то есть величина угла
поворота, плоскости поляризации на длине ферритового стержня, равной длине
волны

,
где

- волновое число,
H = 1450 - намагниченность феррита, для расчета
это остаточная намагниченность в феррите,
μz - величина,
которая зависит от намагниченности насыщения и различных факторов для разных
типов феррита. Для большинства ферритов μz принимается
равным
μ0.
γ = 2,8*2*π*1011
Кл/кг - магнитомеханическое отношение,
ε = ε0*εф
- относительная диэлектрическая проницаемость.
Подставив данные получим Ψ=
.
Длину ферритового стержня, при которой плоскость
поляризации повернется на 90о, определим по формуле
L = α*λ0/Ψ
= 90*25.6/19.52 = 114 (мм),
где α
- максимальный угол поворота плоскости поляризации.
2.5.2 Расчет электрического управления
переключателем поляризации [1]
Рассмотрим работу переключателя, обмотки
которого намотаны на магнитопроводы. Если предположить, что сопротивление схемы
равно нулю, то по закону Фарадея изменение потока магнитной индукции в
магнитопроводах определяется выражением
где Uпит - напряжение питания, выберем
стандартное напряжение 12В, w - число витков на магнитопроводе.
Проинтегрировав данное выражение, получаем
Если во время действия импульса 
напряжение
постоянно, то
Выберем 
= 1 мс - время
поворота плоскости поляризации на 45о.
В двухсекционной конструкции при одноимпульсном
управлении величину ΔBм можно
принять равной 2ΔBм, тогда
выражение примет вид
Учитывая, что обмотки магнитопроводов одной
секции соединены последовательно, падение напряжения на обмотке уменьшается в
два раза и Bм1 будет равным
По закону непрерывности магнитного потока в
магнитной системе
где Вст, Вм - остаточная магнитная индукция
ферритового стержня и магнитопровода соответственно;пст, Sм - площадь поперечного
сечения ферритового стержня и площадь сечения магнитопровода соответственно.
Из двух предыдущих выражений, следует
Отсюда получаем
w = 
=
=135 витков.
Заключение
В данной курсовой работе был рассчитан
волноводный тракт приемной антенны спутникового телевидения.
Были рассчитаны следующие элементы тракта:
поляризатор, переключатель поляризации, ступенчатый переход для согласования
волноводов, поляризационная развязка.
Рассчитанный волноводный тракт позволяет
принимать волны в диапазоне частот 10.9…12.5 ГГц линейной и круговой
поляризации. Круговая поляризация преобразуется в линейную и на выходе можно
получить волну с необходимой вертикальной поляризацией.
антенна волновод поляризатор
Литература
1.
Внуков А.И. Ферритовые переключатели поляризации для антенного элемента
фазированной антенной решетки. Диссертация па соискание ученой степени
кандидата технических наук.
2.
Линии передачи сверхвысоких частот. Термины и определения. ГОСТ 1823872. М.:
Изд-во стандартов, 1973. -12 с.
.
Линии сверхвысоких частот и их элементы. ГОСТ 2.734 - 68. М.: Изд-во
стандартов, 1968. - 15 с.
.
Крехтунов В.М., Лавнов А.В. Исследование элементов волноводного тракта приемной
антенны спутникового телевидения: Методические указания к лабораторным работам
по курсу «Конструирование и производство устройств СВЧ». - М.: Изд-во МГТУ им.
Н.Э. Баумана, 2000. - 24 с.
.
Маркувитц. Справочник по волноводам: Пер. с англ. / Под ред. Я.Н. Фельда. М.:
Советское радио, 1952.