Расчет электрофизических характеристик структуры метал-диэлектрик-полупроводник
Введение
Основной задачей курсовой работы по
дисциплине «Физика полупроводников и диэлектриков» является выяснение
физической сущности явлений и процессов, лежащих в основе работы различных
полупроводниковых структур и дискретных полупроводниковых приборов, а также
элементов интегральных микросхем (ИМС); приобретение практических навыков
расчета электрофизических характеристик полупроводниковых структур;
ознакомление со значениями параметров полупроводниковых материалов и их
размерностями и развитие навыков самостоятельной работы с научно-технической
литературой.
Тема данной курсовой работы является
актуальной, так как современный научно-технический прогресс неразрывно связан с
расширением масштабов применения радиотехнических систем и систем
телекоммуникаций. Составной частью этих систем является радиоэлектронная
аппаратура, содержащая огромное количество радиокомпонентов. Полупроводниковая
электроника интенсивно развивалась уже с начала 30-х годов. Ученые исследовали
физические процессы в полупроводниках и влияние примесей на эти процессы. Была
разработана квантовая теория полупроводников, введено понятие подвижных
свободных мест кристаллической решетки полупроводника, получивших название
дырок, создана теория генерации пар «электрон-дырка». В 60-х годах были созданы
первые интегральные схемы. Интегральные микросхемы предназначены для реализации
подавляющего большинства аппаратурных функций. Их элементы выполнены и
объединены внутри или на поверхности общей подложки, электрически соединены
между собой и заключены в единый корпус. Все или часть элементов создаются в
едином технологическом процессе с использованием групповых методов
изготовления. А в конце 70-х годов появились сверхбольшие интегральные схемы
(СБИС), содержащие от 104 до 106 элементов на кристалле
при размере элементов от 1 до 3 мкм [3].
Развитие радиотехники продолжается и
по сегодняшний день, и будет продолжать совершенствоваться в будущем.
1. Описание физических
процессов в заданной полупроводниковой структуре
Элементы полупроводниковой интегральной
микросхемы - диоды, транзисторы, резисторы, конденсаторы - представляют собой
совокупность различных полупроводниковых структур.
К таким полупроводниковым структурам
относятся: контакты металл-полупроводник, электронно-дырочные переходы, структуры
металл-диэлектрик-полупроводник (МДП).
На электрофизических свойствах
различных контактов основаны принципы действия подавляющего большинства ИМС.
На границе раздела между двумя
различными по типу электропроводности полупроводниками или между полупроводником
и металлом возникают потенциальные барьеры, что является следствием
перераспределения концентрации подвижных носителей заряда между контактирующими
материалами. Электрические свойства граничного слоя зависят как от значения,
так и от полярности приложенного внешнего напряжения. Если граничные слои в
полупроводниковых структурах обладают нелинейными вольт-амперными
характеристиками, т.е. если их электрическое сопротивление при одной полярности
напряжения больше, чем при другой, то такие слои называются выпрямляющими
переходами.
Процессы, протекающие на поверхности
полупроводника, оказывают существенное влияние на электрические параметры
элементов интегральных схем. Наличие локальных поверхностных энергетических
уровней вызывает образование поверхностного электрического заряда. При этом в
приповерхностной области полупроводника появляется равный по значению и
противоположный по знаку индуцированный заряд, т.е. появляются обогащенные,
обедненные или инверсионные приповерхностные слои. Возникновением инверсионных
слоев в значительной степени определяется эффект поверхностной проводимости и
образование так называемых каналов.
Каналы могут формироваться и под
действием поперечного внешнего электрического поля. Модулируя величину
электропроводности канала, управляют величиной тока в полевых транзисторах на
основе МДП-структур.
1.1 Основные понятия и
уравнения твердотельной электроники
Температурный потенциал:
где k-постоянная Больцмана (
); Т-абсолютная
температура (при температуре Т=300К температурный потенциал имеет значение 
), q - заряд электрона (
).
Закон действующих масс:
где n - концентрация электронов; р-концентрация дырок; ni - концентрация носителей заряда в
собственном полупроводнике.
Закон справедлив в
случае термодинамического равновесия, как для собственных, так и для примесных
полупроводников.
Потенциал,
характеризующий уровень Ферми в полупроводнике, равен:
где
-потенциал,
соответствующий середине запрещенной зоны полупроводника; 
и 
- объемные потенциалы.
Таким образом, согласно
данным выражениям, в собственных полупроводниках (n=р=ni) уровень Ферми расположен в
середине запрещенной зоны, в электронных полупроводниках (n>ni)
- в верхней половине, а в дырочных (р>n)
- в нижней половине запрещенной зоны.
Уровень Ферми одинаков
во всех частях равновесной системы, какой бы разнородной она ни была, т.е. 
.
Закон полного тока в
полупроводнике n-типа:
в полупроводнике р-типа:
где и dn/dxи
dp/dx-градиент
концентраций дырок и электронов; µpи
µn - подвижности дырок и электронов соответственно; Dn иDp
- коэффициенты диффузии дырок и электронов; 
- напряженность внешнего
электрического поля.
Соотношение Эйнштейна,
показывающее связь между коэффициентом диффузии и подвижностью носителей
зарядов полупроводнике n-и
р-типа соответственно:
полупроводниковый микроэлектроника
физический структура
Время жизни неравновесных носителей
зарядаτnи τpравно промежутку времени, в течение которого их концентрация
уменьшается в е раз.
Диффузионная длина носителей заряда
соответствует расстоянию, которое они проходят за время жизни, равна:
где Ln и Lp-диффузионные длины электронов и дырок соответственно.
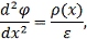
Уравнение Пуассона, позволяющее
определить распределение потенциала в среде:
где 
-потенциал; x-координата; 
-объемная плотность
заряда; 
-диэлектрическая
проницаемость среды, для полупроводника 
, где 
-относительная
диэлектрическая проницаемость полупроводника, 
-электрическая
постоянная (
) [1].
1.2 Электронно-дырочный
переход
а) Электронно-дырочный
переход (р-n-переход)
- это контакт двух полупроводников с различным типом проводимости.
Электропроводность полупроводников р-и n-типов
определяется следующими выражениями:

(1)

(2)
где 
- электропроводность
полупроводников р- и n-типов;
Nа
и Nd-концентрация
акцепторов и доноров соответственно.
Удельное сопротивление
материала p-типа:
Отсюда:

(3)
Аналогично концентрация
доноров

(4)
При известных значениях Nа
и Ndвыражение для диффузионного
потенциала (контактной разности потенциалов) может быть представлено в виде:

(5)
б) Вольт-амперная
характеристика идеального р-n-перехода
может быть описана следующим выражением:

(6)
где I0 - ток насыщения; U - приложенное напряжение. Ток насыщения I0 определяется следующим выражением:
(7)
где А - площадь р-n-перехода.
Когда Na
>>Nd, обратный ток насыщения
определяется соотношением:
(8)
где W - ширина р-n-перехода.
Зависимость тока насыщения от
температуры для р-n-перехода,
сформированного на кремнии, определяется выражением:

(9)
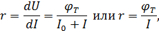
в) Дифференциальное
сопротивление р-п - перехода может быть определено по формуле:
(10)
г) Определение барьерной емкости р-п
- перехода. Величина удельной емкости резкого р-п - перехода в общем случае
рассчитывается по формуле:
(11)
При этом толщина обедненного слоя
(ширина р-n-перехода) определяется выражением:
(13)
Для линейно-плавных переходов:
(14)
где а - градиент концентрации
примесей.
Толщина обедненного слоя в этом
случае находится по формуле:
(15)
д) Определение напряжения пробоя Uпр для несимметричного резкого р-п-перехода. Величина
максимального значения напряженности электрического поля в р-n-переходе определяется
по формуле:
(16)
При заданном значении ξm толщина обедненного слоя р-n-перехода может быть
найдена W=Wn+Wp, где
Отсюда толщина обедненного слоя р-n-перехода равна:
(17)
Напряжение пробоя для резкого
несимметричного перехода можно найти по формуле:
(18)
1.3 Структура
металл-полупроводник
а) Скорость дрейфа носителей заряда
в обедненной области полупроводника можно найти по формуле:

(19)
где ξ0
максимальное значение напряженности электрического поля в полупроводнике в
области барьера Шоттки.
б) Высота барьера
Шоттки:
для структуры
металл-кремний n-типа
проводимости:

(20)
для структуры
металл-кремний р-типа проводимости:

(21)
в) Максимальное значение
напряженности электрического поля в полупроводнике рассчитывается по формуле:

(22)
при условии U = 0, где W
- толщина обедненного слоя полупроводника, U - напряжение смещения, т.е. 
.
В условиях равновесия Wопределяется выражением:
(23)
где N - концентрация основных
носителей заряда в полупроводнике.
Если υD>> υRто справедлива теория
термоэлектронной эмиссии.
В том случае, когда υD<<υR определяющим является
процесс диффузии.
г) Барьерная емкость контакта
металл-полупроводник определяется по формуле:
(24)
где А - площадь контакта
металл-полупроводник.
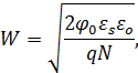
1.4 Структура
металл-диэлектрик-полупроводник
а) Структуру
металл-диэлектрик-полупроводник можно рассматривать как конденсатор. Общую
дифференциальную емкость МДП-структуры можно представить как последовательное
соединение емкости диэлектрика и переменной емкости пространственного заряда у
поверхности полупроводника:
(25)
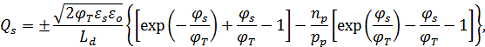
б) Емкость пространственного заряда Сп
зависит от величины поверхностного потенциала φsи плотности зарядаQx. Для идеальной
МДП-структуры, не учитывающей наличие поверхностных состояний и,
предполагающей, что сопротивление диэлектрика является бесконечным, заряд можно
выразить формулой:
(26)
где 
- дебаевская длина, N
- концентрация основных носителей заряда в полупроводнике.
Условие (±) перед этим
выражением означает, что при φs>0 следует воспользоваться знаком (+), а при φs<0 - знаком (-).
в) Зависимость между φsи
U:

(27)
где UD-падение напряжения на диэлектрике; Unз
- напряжение плоских зон.
Падение напряжения на
диэлектрике определяется выражением:
(28)
Напряжение плоских зон определится
выражением:
(29)
г) Максимальная толщина обедненного
слоя в приповерхностной области МДП-структуры в режиме сильной инверсии
определяется выражением:
(30)
где N=Naили Ndв зависимости от
типа проводимости полупроводника:

(31)
Для МДП-транзисторов с
изолированным затвором важной величиной является напряжение включения или
пороговое напряжение Uпop, при котором начинается сильная инверсия:
(32)
В выражениях (31), (32) 
- объемный потенциал.
Дифференциальная емкость
идеальной МДП-структуры:
(33)
где d - толщина
диэлектрического слоя; εD - относительная
диэлектрическая проницаемость диэлектрика [1].
2. Расчет необходимых
электрофизических характеристик полупроводниковой структуры
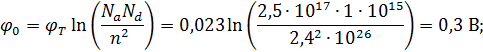
Задание №1
Электронно-дырочный переход
сформирован в кремнии таким образом, что удельные сопротивления электронной и
дырочной областей составляют величины ρniи ρpiсоответственно.
Исходные данные:
Удельные сопротивления
электронной области 
;
Удельные сопротивления
дырочной области 
;
Прямое напряжение 
;
Температура 
;
Коэффициент диффузии для
электронов кремния 
;
Коэффициент диффузии для
дырок кремния 
;
Собственная концентрация
носителей заряда 
;
Ширина запрещенной зоны 
.
) Величину контактной
разности потенциалов при комнатной температуре;
) и построить
энергетическую диаграмму р-n-перехода
в равновесном состоянии, а также при заданном значении величины прямого
напряжения U, В;
) и построить
теоретическую вольт-амперную характеристику (рассматривается движение всех
носителей заряда через р-n-ереход);
) Величину
дифференциального сопротивления р-n-перехода
при U; Т.
Решение:
1) Для определения контактной
разности потенциалов по формуле (5) необходимо найти концентрации электронов и
дырок по формулам (3) и (4). Для этого сначала находим подвижности электронов и
дырок из соотношения Эйнштейна и температурный потенциал:
2) Энергетическая
диаграмма р-п - перехода в равновесном состоянии представлена на рисунке 1, а,
а энергетическая диаграмма р-п - перехода при заданном значении величины
прямого напряжения 
- на рисунке 1, б [2].
Для состояния равновесия величина
искривления границ зон:
При наличии прямого напряжения:

а) б)
Рисунок 1 - Энергетическая диаграмма
р-n-перехода
(а - в равновесном состоянии; б -
при наличии прямого напряжения)
) Вольт-амперная характеристика
идеального р-n-перехода может быть описана выражением (6). Для этого рассчитаем
сначала ток насыщения по (9):
Таблица 1 - Таблица вольт-амперной
характеристики р-n-перехода
|
U, B
|
I, A
|
|
-1
|
|
|
-0,5
|
|
|
-0,1
|
|
|
0
|
0
|
|
0,1
|
|
|
0,5
|
|
|
1
|
|
Рисунок 2 - Вольт-амперная
характеристика р-n-перехода
) Величину дифференциального
сопротивления р-n-перехода можно
рассчитать по формуле (10):
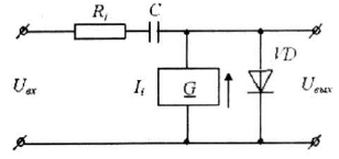
Задание №3
p-n-переход используется в
качестве переменного резистора в аттенюаторе, схема которого показана на
рисунке 3.
Рисунок 3 - Аттенюатор
Исходные данные:
Сопротивление 
;
Ток 
;
Концентрация носителей 
;
Обратное напряжение
смещения 
.
1) Вычислить величину
дифференциального сопротивления диода как функцию I. Смещение на диоде
задается источником постоянного тока I, а связь между
сигналами осуществляется через конденсатор емкостьюС, реактивное
сопротивление которого пренебрежимо мало по сравнению с сопротивлением
резистораR.
) Вычислите и постройте
зависимость ослабления сигнала по напряжению в децибелах [20 lg(Uвых/Uвх)] от величины тока I. Ток насыщения можно
взять равным I0 =1мкА.
) Вычислите емкость и толщину
обедненного слоя при обратном напряжении смещения Uобр, если изменение плотности заряда по обе стороны резкого p-n-перехода представляет собой
ступенчатую функцию, т.е. Na>Nd.
Принять εs=16, А=10-6 м2.
Решение:
) Дифференциальное
сопротивление диода как функция Iiизменяется в следующих пределах:
2) Зависимость ослабления
сигнала по напряжению от величины тока I можно рассмотреть в виде таблицы 1
и графика (рисунок. 4).
Таблица 2 - Зависимость ослабления
сигнала по напряжению от тока
|
I,
мА
|
0,05
|
0,1
|
0,15
|
0,2
|
0,25
|
0,35
|
0,4
|
0,45
|
0,5
|
|
20lg(Uвых/Uвх)
|
21,5
|
15,5
|
11,9
|
9,4
|
7,5
|
5,9
|
4,6
|
3,4
|
2,4
|
1,5
|
Рисунок 4 - График зависимости
ослабления сигнала по напряжению от величины тока
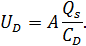
) Находим величину барьерной
емкости по формуле (11), а толщину обедненного слоя по формуле (12). Для начала
найдем φ0 по формуле (5):
По формуле (13):
4) Энергетическая диаграмма р-n-перехода при наличии обратного напряжения:
Рисунок 5 - Энергетическая диаграмма
р-n-перехода при наличии
обратного напряжения
Задание №3
Исходные данные:
Величина максимального
электрического поля в переходе 
;
Разность температур 
;
Концентрация носителей 
.
1) Определить во сколько раз
увеличивается обратный ток насыщения р-п-перехода, если температура
увеличивается:
- от 
до 
для германиевого диода;
от 
до 
для кремниевого диода.
p-n-переход изготовлен из легированного германия с концентрацией
акцепторной и донорной примесей соответственно Na
и Nd.
) Определите
толщину обедненного слоя, если при обратном смещении величина максимального
электрического поля в переходе равна ξm.
3) Рассчитать и построить
энергетическую диаграмму р-n-перехода в равновесном
состоянии, а также при напряжении, соответствующем величине ξm.
Решение:
1) Используя формулу (9) составим
отношение токов:
Для германиевого диода
Для кремниевого диода
Следовательно, обратный ток
насыщения р-n-перехода увеличивается в
1,49 и 1,37 раза для германиевого и кремниевого диода соответственно.
2) Толщину обедненного слоя
находим с помощью формулы (17):
3) Энергетическая диаграмма р-п -
перехода в равновесном состоянии совпадает с энергетической диаграммой из
задачи №1 (рисунок 1.а), при этом:
Для состояния равновесия величина
искривления границ зон:
Рисунок 6 - Энергетическая диаграмма
р-n-перехода в состоянии
равновесия
Задание №4
p-n-переход формируется
путем диффузии бора в кремний n-типа.
Исходные данные:
Удельное сопротивление 
;
Концентрация бора на
поверхности равна 
;
Известно, что на глубине

от поверхности
концентрация бора уменьшается в е раз;
Площадь поперечного
сечения р-n-перехода

;
Обратное смещение 
;
Прямое напряжение 
;
Величина максимального
электрического поля переход 
.
Определить:
) Концентрацию
основных и неосновных носителей заряда;
) Ширину р-n-перехода;
) Барьерную
емкость р-n-перехода;
) Ток диода при
прямом напряжении Uпр,
В;
) Напряжение
пробоя, предполагая, что он наступает при напряженности поля ξm, В/м;
Решение:
) Концентрация основных
носителей заряда (в данном случае электронов) рассчитывается по формуле (4):
Концентрацию дырок находим по
формуле (3):
) Так как по формуле (18):
Следовательно, ширину р-n-перехода находим по формуле:
) Барьерную емкость р-n-перехода находим по формуле (14):
) Ток диода при прямом
напряжении находим по формуле (6), где ток насыщения найден в задании №1.

А
5) Напряжение пробоя находим по
формуле (18):
4) Энергетическая диаграмма р-n-перехода при наличии обратного напряжения:
Рисунок 7-Энергетическая диаграмма р-n-перехода при наличии обратного напряжения
Задание №5
Контакт металл-полупроводник.
Рассчитать и построить ВАХ контакта металл-полупроводник на основекремния с
концентрацией примеси, равной N, при заданной температуре Т.
Исходные данные:
Температура 
;
Концентрация примеси 
;
Работа выхода электронов
из металла(W) 
;
Напряжение смещения 
.
При этом необходимо
определить:
) Контактную
разность потенциалов и высоту барьера Шоттки;
) Толщину
обедненного слоя полупроводника Wв
равновесном состоянии;
) Величину
диффузионной и дрейфовой составляющей скорости электронов при протекании тока
через контакт металл-полупроводник, на основе чего выбрать выражение для
расчета ВАХ;
) Барьерную
емкость контакта металл-полупроводник при обратном напряжении смещения Ucm;
) Оценить
вероятность туннелирования электронов с энергиейЕ, сквозь барьер при
заданном прямом напряжении смещения Uсм.
Площадь контакта металл-полупроводник считать 
.
Решение:
) Контактная
разность потенциалов найдена в задании №2: 
.Высоту барьера Шоттки
находим по формуле (20):
) Толщину обедненного слоя
полупроводника находим по формуле (23):
3) Дрейфовую
составляющую скорости электронов найдем по формуле:
, гдеЕ находится
из следующего соотношения
Коэффициенты диффузии найдем по
формулам:
Вольт-амперная
характеристика может быть описана следующим выражением 
, где 
- диффузионная
составляющая тока, а 
- дрейфовая
составляющая.
4) Барьерную емкость контакта
металл-полупроводник при обратном напряжении смещения находим по формуле (24):
5) Туннельный
пробой возникает, когда напряженность электрического поля в обедненном слое
возрастает настолько (
), что появляется
туннельный эффект - переход электронов сквозь потенциальный барьер без
изменения энергии. Туннэльный эффект наблюдается в узких переходах (порядка 
), то есть в переходах с
довольно высокой концентрацией примеси (более 
) [2]. В данном случае
вероятность туннелирования очень высокая, так как переход очень узкий 
и высокая концентрация
примеси 
.
Энергетическая диаграмма
контакта металл-полупроводник представлена на рисунке 6, где 
, а d - ширина барьера.
Рисунок 8 -
Энергетическая диаграмма контакта металл-полупроводник
Задание №6
Структура
металл-диэлектрик-полупроводник.
Исходные данные:
Тип затвора n+;
Толщина окисла 
;
Температура 
;
Концентрации примесей 
.
) В
МДП-транзисторе с кремниевым затвором рассчитать и построить зависимость
порогового напряжения как функции концентрации доноров Naв
подложке из кремния p-типа
проводимости. Диэлектрик - SiO2.
Считать МДП-структуру идеальной.
) Основываясь на
данных расчета, построить энергетическую диаграмму МДП-структуры в режиме
сильной инверсии при Nai, см-3.
) Рассчитать
величину дифференциальной емкости МДП-структуры в данном транзисторе в режимах
сильной инверсии и обогащения.
Решение:
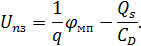
) Рассчитать зависимость
порогового напряжения как функции концентрации доноров Na можно по формуле
(32). Для этого сначала найдем напряжение плоских зон по формуле (29):
Зависимость порогового напряжения
как функции концентрации доноров Ndпокажем с помощью таблицы 3 и графика (рисунок 9).
Рисунок 9 - Зависимость порогового
напряжения от концентрации доноров
|
Nd, см-3
|
1013
|
1014
|
1015
|
1016
|
1017
|
|
Uпор, В
|
128,55
|
134,78
|
154,46
|
216,69
|
413,47
|
) Энергетическая диаграмма
МДП-структуры в режиме сильной инверсии представлена на рисунке 10. В «глубине»
полупроводника выполняется условие электрической нейтральности, поэтому там границы
зон горизонтальны (не искривлены). Искривление границ происходит в областях,
где имеется заряд из-за нарушения условия электрической нейтральности[2].
Рисунок 10 - Энергетическая
диаграмма МДП-структурыв режиме сильной инверсии
) Величину дифференциальной
емкости МДП-структуры можно рассчитать по формуле (33). Для этого посчитаем
максимальную толщину обедненного слоя в приповерхностной области МДП-структуры
по формуле (30):
3. Краткое описание
областей применения заданной полупроводниковой структуры в микроэлектронике и
методов ее формирования
Микроэлектроника - современное
направление электроники, включающее исследование, конструирование и
производство ИМС и РЭА на их основе.
Различные полупроводниковые
структуры (р-n-переход, контакт
металл-полупроводник, МДП) составляют основу полупроводниковых интегральных
микросхем. Такие ИМС представляют собой функциональные устройства,
изготовленные в кристалле полупроводника и содержащие соединенные между собой
активные и пассивные элементы (транзисторы, диоды, резисторы и конденсаторы).
Для изготовления полупроводниковых ИМС используются такие технологические процессы,
как окисление полупроводника, диффузия, ионное внедрение примесей в
полупроводник, эпитаксиальное наращивание, вакуумное напыление и др. [1].
Наиболее подробно рассмотрим
следующие вопросы: локальная эпитаксия, основные методы сборки интегральных микросхем,
методы герметизации ИМС в корпусах различного типа, методы контроля и испытаний
микросхем и виды подложек.
Локальная эпитаксия - процесс
наращивания монокристаллических слоев на монокристаллических подложках.
Методы эпитаксии:
) Эпитаксиальные слои
наращивают термовакуумным напылением в условиях сверхвысокого вакуума при
давлении 1,33 (10-7-10-8) Па. От испарителей пар вещества
распространяется прямолинейно, так как столкновение атомов отсутствует.
Испарение ведут из тиглей, которые нагревают лазерным лучом или прямым
пропусканием электронного потока;
) Наращивают эпитаксиальные
слои из парогазовой фазы так называемым «хлоридным методом». Метод основан на
использовании химического взаимодействия паров тетрахлорида кремния с чистым
водородом [3].
Методы сборки интегральных микросхем
Сборка компонентов состоит в подаче
их к месту установки, ориентации выводов относительно монтажных отверстий или
контактных площадок, сопряжение со сборочными элементами и фиксация в требуемом
положении.
Ручная сборка применяется, где в год
выпускается 15-20 тысяч схем партиями по 100 штук. На ручную сборку компоненты
целесообразно подавать формованными и уложенными технологической кассетой по
номиналу. Достоинством является возможность постоянного визуального контроля.
При механизированной сборке
применяют монтажный стол (пантограф), на котором укрепляют несколько схем и
магазин с компонентами.
На автоматических станках ЭРЭ
устанавливаются в определенную позицию с высокой прочностью и скоростью. Такая
сборка применяется в массовом и крупносерийном производстве [4].
Методы герметизации ИМС в корпусах
различного типа
Корпусная герметизация элементов,
содержащих интегральные схемы, и полупроводниковые элементы применяет следующие
методы сварки: электроконтактная, электролучевая, лазерная и холодная. При этом
стремятся исключить воздействие нагрева на ЭРЭ (кристаллы, переходы) и
достигают малой длительности сварки.
Заливка - это процесс заполнения
лаками или компаундами свободного пространства между изделием и специальной
съемной формой, которую отделяют от изделия.
Капсулирование применяется для
герметизации бескорпусных компонентов РЭА [4].
Методы испытаний микросхем
Испытание - неотъемлемая часть ТП
изготовления РПУ. По их результатам судят об эксплуатационной надежности изделия.
Изделия, изготавливаемые серийно,
подвергаются следующим видам испытаний:
1. Приемосдаточные испытания. Им
подвергаются при приеме готовых изделий на соответствие требованиям ТУ,
установленному образцу и КД.
. Периодические испытания. Их
проводят периодически в квартал, полугодие, год. Они выполняются для изделий,
которые находятся на хранении и подтверждают качество изделий.
. Типовые испытания - это
испытания, проводимые после внесения изменения в конструкцию или технологию
изготовления.
. Специальные испытания - это
испытания на надежность, воздействие солнечной радиации и радиоактивных
излучений.
Методы контроля микросхем:
1. Визуальный контроль заключается в
наружном осмотре;
2. Геометрический контроль
сводится к определению геометрических размеров изделий;
. Специальный контроль -
контроль в соответствии с разработанной программой;
. Электрический контроль
состоит из замеров токов, напряжений и параметров в соответствии с ТУ;
. Механический контроль
осуществляют путем приложения статических и динамических нагрузок с целью
проверки прочности соединений, креплений, а так же для контроля качества
материала [4].
Виды подложек микросхем
Конструктивной основой ИМС является
подложка из диэлектрического материала, на поверхности которой формируются
пленочные элементы и межэлементные соединения. В качестве подложек применяют
электровакуумные стекла, ситаллы, керамику, и ряд других. Стекло, обладая очень
гладкой поверхностью и хорошей адгезией с материалами, наносимыми на его
поверхность, вместе с тем имеет плохую теплопроводность и невысокую
механическую прочность. Керамика, обладая повышенной механической прочностью и
теплопроводностью, имеет сравнительно высокую шероховатость поверхности.
Поэтому она применяется в основном для толстопленочных ИМС. Наиболее широкое
применение для подложек находят ситалл и фотоситалл [3].
Заключение
В первой части ПЗ курсовой работы
мною были рассмотрены физические процессы в таких полупроводниковых структурах,
как: металл - диэлектрик - полупроводник, р-n-переход, контакт металл-полупроводник.
Во второй части ПЗ курсовой работы
выполнен расчет электрофизических характеристик полупроводниковых структур. Для
р-n-перехода рассчитаны:
величина контактной разности потенциалов φ0=0,62В; теоретическая
вольт-амперная характеристика; величина дифференциального сопротивления r=40·1026Ом;
барьерная емкость Сб=6,9 пф и толщину обедненного слоя W=1,4 мкм;
определены концентрации основных и неосновных носителей. Так же были рассчитаны
и построены энергетические зонные диаграммы р-п - переходов. Для структуры
металл-полупроводник рассчитаны: величина контактной разности потенциалов φ0=0,7В, высота барьера Шоттки φб=0,61, диффузионные и
дрейфовые составляющие скорости электронов, толщина обедненного слоя и
барьерная емкость. Для структур МДП и МП рассчитаны и построены энергетические
зонные диаграммы.
В третьей части ПЗ курсовой работы
мною были рассмотрены следующие вопросы: локальная эпитаксия, основные методы
сборки интегральных микросхем, методы герметизации ИМС в корпусах различного
типа, методы контроля и испытаний микросхем и виды подложек.
В целом полупроводниковые ИМС
являются одним из основных направлений развития микроэлектроники, так как они
позволяют создавать надежные, сравнительно дешевые и достаточно сложные в
функциональном отношении микроэлектронные устройства малых размеров [1].
Список используемых
источников
1. Макарчук, М.В. Физика полупроводников и диэлектриков:
методические указания на выполнение курсовой работы/ М.В. Макарчук. Тамбов:
ТГТУ, 2009.
. Бобровский, С.А. Электронные, квантовые приборы и
микроэлектроника: учеб. пособие для вузов/ Ю.Л. Бобровский, С.А. Корнилов, И.А.
Кратилов; под ред. Н.Д. Федорова. М.: Радио и связь, 1998.
. Петров, К.С. Радиоматериалы, радиокомпоненты и электроника:
учеб. пособие/ К.С. Петров. СПб.: Питер, 2006.
. Березин, А.С. Технология и конструирование интегральных
микросхем: учеб. пособие/ А.С. Березин, О.Р. Мочалкина. М.: Радио и связь,
1983.