Разработка программно-аппаратной системы адаптивного аналого-цифрового преобразования сигналов звукового диапазона на базе однокристального микроконтроллера
Содержание
Введение
1. Постановка задачи
2. Обзор литературных источников по теме проекта
2.1 Источники
2.2 Сравнение АЦП различных типов
3. Системный анализ объекта проектирования
3.1 Принцип конечной цели
3.2 Принцип единства
3.3 Принцип связности
3.4 Принцип модульности
3.5 Принцип иерархии
3.6 Принцип функциональности
3.7 Принцип развития
3.8 Принцип сочетания централизации и децентрализации
3.9 Принцип учета неопределенности и случайностей
4. Вариантный анализ способов реализации системы
4.1 Построение иерархии
4.2 Построение матриц попарных суждений второго уровня
4.3 Вычисление вектора приоритетов для матрицы попарных сравнений
второго уровня
4.4 Анализ результатов этапа вычисления вектора приоритетов для
матрицы попарных сравнений второго уровня
4.5 Построение матриц попарных сравнений третьего уровня
4.5 Определение отношения согласованности матрицы парных суждений
второго уровня
4.6 Определение отношения согласованности матриц парных суждений
третьего уровня
4.7 Вычисление вектора глобальных приоритетов
4.8 Анализ результатов вычислений вектора глобальных приоритетов
4.9 Анализ согласованности всей иерархии
5. Описание структурной схемы системы
6. Описание алгоритма работы
7. Описание программного обеспечения
7.1 Описание алгоритма работы программы
7.2 Описание методов и переменных
8. Тестирование системы
9. Технико-экономическое обоснование системы
9.1 Маркетинговые исследования
9.1.1 Исследование программного продукта
9.1.2 Исследование рынка сбыта программного продукта (ПП)
9.1.3 Итоги маркетинговых исследований
9.2 Определение затрат на проектирование программного продукта
9.2.1 Вычисление себестоимости часа машинного времени
9.2.2 Формирование цены предложения разработчика
9.2.3 Расчёт капитальных затрат
9.2.4 Расчет эксплуатационных расходов пользователя
9.2.5 Оценка эффективности проектирования программного продукта
9.2.6 Выводы
10. Охрана труда
10.1 Анализ условий труда программиста
10.2 Требования к производственным помещениям
10.2.1 Освещение
10.2.2 Параметры микроклимата
10.2.3 Шум и вибрация
10.2.4 Электромагнитное и ионизирующее излучения
10.2.5 Эргономические требования к рабочему месту
10.2.6 Режим труда
10.3 Расчёт системы защитного заземления
11. Безопасность в чрезвычайных ситуациях. Выявление и оценка
радиационной обстановки в лаборатории при загрязнении радиоактивными веществами
после аварии на АЭС
11.1 Вводная часть
11.2 Расчетная часть
11.3 Мероприятия по защите сотрудников и учащихся университета
Заключение
Перечень ссылок
Приложения
Введение
Темой данного дипломного проекта является разработка системы
адаптивного аналого-цифрового преобразования (АЦП) на базе однокристального
микроконтроллера.
Проблема адаптивного аналого-цифрового преобразования в
настоящее время является актуальной. Адаптивное аналого-цифровое преобразование
требуется для возможности работы сервиса Voice over IP (VoIP) [1], используется в
звукозаписывающих студиях [2], применяется в мобильных и стационарных телефонах
и других областях электроники.
Системы, предназначенные для адаптивного аналого-цифрового
преобразования разрабатывались ранее, пример такой системы описан в [2]. Но
аналого-цифровой преобразователь, используемый в указанной системе не обладает
требуемой точностью преобразования и устройство обработки цифровых кодов не
выполняет требуемых функций.
Поэтому в данном дипломном проекте было решено разработать
новую систему на основе уже имеющихся методов адаптивного аналого-цифрового
преобразования.
аналоговое цифровое преобразование микроконтроллер
1.
Постановка задачи
Задачей данного дипломного проекта является разработка
программно-аппаратной системы адаптивного аналого-цифрового преобразования
сигналов звукового диапазона на базе однокристального микроконтроллера.
Обеспечить следующие возможности системы:
а) приём аналогового сигнала;
б) приведение параметров сигнала к диапазону АЦП;
в) аналого-цифровое преобразование сигнала;
г) адаптирование аналого-цифрового преобразования;
д) выдача цифровых кодов.
Формат входных данных: аналоговый сигнал в частотном
диапазоне 20Гц - 20кГц с амплитудой диапазоном 0-250мВ (диапазон выхода
линейного усилителя).
Формат выходных данных: файл с набором цифровых кодов,
характеризующих мгновенное значение напряжения в точках измерения и служебную
информацию о выбранном шаге квантования.
2.
Обзор литературных источников по теме проекта
2.1 Источники
Темой данного дипломного проекта является разработка системы,
предназначенной для обработки аналоговых звуковых сигналов на однокристальных
микроконтроллерах с помощью алгоритмов адаптивной аналого-цифровой обработки
сигналов. Упоминания об этой проблеме встречаются в технической литературе.
Научно-технические знания, необходимые для составления этого дипломного проекта
были найдены в перечисленных ниже источниках.
Статья [3] размещена на сайте рынка микроэлектроники. В этой
статье объясняется, что такое аналого-цифровые преобразователи, представлены
общие сведения об этих устройствах, описана процедура аналого-цифрового
преобразования, приведена классификация аналого-цифровых преобразователей.
В источнике [4] говорится о проблеме измерения показателей
качества электроэнергии, описываются преимущества аналого-цифровых
преобразователей с сигма-дельта архитектурой (сигма-дельта АЦП) над
аналого-цифровыми преобразователями других классов. Так же автор обосновывает
необходимость применения адаптивных методов аналого-цифровой обработки сигналов
и приводит результаты математического моделирования применения методов
адаптивной обработки результатов аналого-цифрового преобразования.
В источнике [5] описывается алгоритм адаптивной
обработки для сигма-дельта-АЦП на основе метода кодирования Лемпеля-Зива-Велча,
приводится блок-схема этого алгоритма, излагаются некоторые особенности работы
аналого-цифровых преобразователей с сигма-дельта архитектурой, показывается
результаты сравнительного анализа классического способа преобразования и
алгоритма, основанном на методе кодирования Лемпеля-Зива-Велча.
Источник [6] является справочным руководством по
однокристальным микроконтроллерам AVR семейства Mega фирмы Atmel. Рассмотрена архитектура
микроконтроллеров AVR, её особенности, приведены основные электрические параметры.
Подробно описано внутреннее устройство микроконтроллеров, системы команд,
периферии, а также способов программирования.
В статье [7] объясняются принципы работы каждого из классов АЦП.
2.2 Сравнение АЦП различных типов
Существует множество типов АЦП, однако в рамках дипломного
проекта принято решение ограничиться рассмотрением только следующих типов:
а) АЦП параллельного преобразования (прямого преобразования,
flash ADC);
б) АЦП последовательного приближения (SAR ADC);
в) cигма-дельта АЦП (АЦП с балансировкой заряда) [7].
Наибольшим быстродействием и самой низкой разрядностью
обладают АЦП прямого (параллельного) преобразования [7]. Например, АЦП
параллельного преобразования TLC5540 фирмы Texas Instruments обладает
быстродействием 40MSPS приаразрядностиавсегоа8бита [7].
Среднюю нишу в ряду разрядность-скорость занимают АЦП
последовательного приближения. Типичными значениями является разрядность 12-18
бит при частотеапреобразованияа100KSPS-1MSPSа [7].
Наибольшей точности достигают сигма-дельта АЦП, имеющие
разрядность до 24 бит включительно и скорость от единиц SPS до единиц KSPS [7].
О преимуществах и недостатках каждого типа АЦП подробно
рассказано в главе 4 данного дипломного проекта "Вариантный анализ
способов реализации системы".
3.
Системный анализ объекта проектирования
Системный анализ является научным методом познания, представляющим
собой последовательность действий по установлению структурных связей
<#"564151.files/image001.gif">
Рисунок 3.1 - Разрабатываемая система в виде "чёрного
ящика"
3.2 Принцип единства
На основании функций проектируемой системы, представленных
выше, в ней можно выделить следующие подсистемы [8]:
а) подсистема приёма входных данных;
б) подсистема аналого-цифрового преобразования;
в) подсистема управления;
г) подсистема адаптивного преобразования;
д) подсистема выдачи и сохранения результатов.
3.3 Принцип связности
Совокупность подсистем проектируемой программной системы и их
связей - данными, которыми эти подсистемы обмениваются друг с другом и с
внешней средой, - образует ее структуру [8]. Структура проектируемой системы:
Рисунок 3.2 - Структурная схема разрабатываемой системы
3.4 Принцип модульности
В проектируемой системе целесообразно выделить следующие
модули [8]:
а) модуль получения входного сигнала;
б) модуль анализа параметров входного сигнала;
в) модуль аналого-цифрового преобразования;
г) модуль для операций с результатами преобразования;
д) модуль управления
3.5 Принцип иерархии
Принцип иерархии может быть применён частично по отношению к
данной системе и проявляется в следующем: подсистема управления вырабатывает
управляющие воздействия для подсистемы адаптивного преобразования и подсистемы
выдачи результатов.
Рисунок 3.3 - Иллюстрация принципа иерархии
3.6 Принцип функциональности
Функции системы в целом рассмотрены в связи с принципом
конечной цели. Рассмотрим функции, входные и выходные данные выделенных
подсистем [9].
Функцией подсистемы приёма входных данных является приведение
в соответствие диапазона входного сигнала к диапазону аналого-цифрового
преобразователя.
Функцией подсистемы аналого-цифрового преобразования является
представление аналогового сигнала в цифровом виде для дальнейшей обработки.
Подсистема управления нужна для управления процессом
преобразования сигнала и передачи выходных кодов в подсистему выдачи и
сохранения результатов.
Подсистема адаптивного преобразования вычисляет частоту
дискретизации и сообщает её значение подсистеме аналого-цифрового
преобразования и с помощью подсистемы управления передаёт выходные коды в
подсистему выдачи и сохранения результатов.
Подсистема выдачи и сохранения результатов сохраняет цифровые
коды, полученные от подсистемы адаптивного преобразования.
3.7 Принцип развития
Проектируемая система может быть расширена следующими
способами [8]:
а) увеличение каналов поступления звуковых сигналов;
б) увеличение количества аналого-цифровых
преобразователей;
в) увеличение количества устройств для сохранения
результатов;
г) увеличение количества управляющих устройств.
д) внедрение в систему дополнительных интерфейсов для
связи с другими вычислительными устройствами;
е) установка датчиков для приёма других типов сигналов.
3.8 Принцип сочетания централизации и децентрализации
Во множестве выделенных подсистем можно выделить несколько
подмножеств (возможно пересекающихся), которые будут обладать достаточно
высокой степенью автономности от других подмножеств [8]. Примеры подсистем,
обладающих автономностью: а)
подсистема обработки параметров сигнала (регулируемый элемент в обратной связи
операционного усилителя - необходим для решения задачи масштабирования);
б) подсистема адаптивного преобразования (буферный регистр
для предварительного хранения результатов).
С другой стороны, все подсистемы можно реализовать в одном
исполняемом модуле, разрешая работу каждой из подсистем посредством подсистемы
управления.
3.9
Принцип учета неопределенности и случайностей
Проектируемая система должна предусматривать реакцию на
нестандартные ситуации. Учитываются способы обработки некорректных входных
данных, исключительных и аномальных ситуаций.
В случае если измеряемая величина оказывается вне диапазона
измерений (больше или меньше), то система должна выдавать сообщение об этой
ситуации, оставаясь работоспособной.
Также целесообразно предусмотреть в системе защиту от
напряжения обратной полярности (может иметь место в случае, если перепутать
линии “питание” и “общий”).
4.
Вариантный анализ способов реализации системы
На основании анализа постановки задачи и системного анализа
были сформированы три варианта реализации системы.
Реализация на базе АЦП с прямым способом преобразования;
Реализация на базе АЦП с последовательным способом
преобразования;
Реализация на базе АЦП с сигма-дельта архитектурой.
Для реализации задачи необходимо выбрать каким из трёх
способов будет реализована система. Для решения данной задачи требуется
провести вариантный анализ вариантов решения задачи. Для проведения вариантного
анализа воспользуемся методом анализа иерархий.
Для решения задачи методом анализа иерархий необходимо:
Описать проблему и определить необходимую информацию.
Построить иерархию, начиная с вершины (цели - с точки зрения
управления) через промежуточные уровни (критерии, по которым зависят
последующие уровни) к самому нижнему уровню, который является перечнем
альтернатив.
Построить множества матриц парных сравнений для каждого из нижних
уровней по одной матрице для каждого элемента, примыкающего сверху уровня. Этот
элемент называют направляемым по отношению к элементу, находящемуся на нижнем
уровне, т.к. элемент нижнего уровня влияет на расположенный выше элемент. В
полной простой иерархии любой элемент воздействует на каждый элемент
примыкающего сверху уровня. Элементы любого уровня сравниваются друг с другом
относительно их воздействия на направляемый элемент. Таким образом, получается
квадратная матрица суждений. Попарные сравнения проводятся в терминах
доминирования одного из элементов над другим. Эти суждения затем выражаются в
целых и дробных числах. Если элемент
доминирует над элементом
, то элемент
заполняется целым числом, а элемент
, заполняется обратным ему числом (т.е.
дробным). Если элемент
доминирует над элементом
, то элемент
заполняется целым числом, а элемент
, заполняется обратным ему числом (т.е.
дробным). Если элемент
имеет равное значение с элементом
, то элемент
и
заполняются единицей. Для получения каждой матрицы требуется
суждений. Численные значения приоритета,
используемые в данной дипломной работе, приведены в таблице 4.1.
Таблица 4.1 - Численные значения приоритета
|
Интенсивность
относительной важности
|
Определение
|
|
1
|
Равная
важность.
|
|
3
|
Умеренное
превосходство одного над другим.
|
|
5
|
Существенное
или сильное превосходство.
|
|
7
|
Значительное
превосходство.
|
|
9
|
Очень сильное
превосходство.
|
|
2, 4, 6, 8
|
Промежуточные
решения между двумя соседними суждениями.
|
|
Обратные
величины приведенных выше чисел.
|
Если при
сравнении одного вида деятельности с другим получено одно из вышеуказанных
чисел, то при сравнении второго вида деятельности с первым получается
обратная величина.
|
После проведения всех парных сравнений необходимо определить
согласованность с помощью индекса согласованности. И сравнивая с
соответствующими средними значениями для случайных элементов, получают отношение
согласованности.
Этапы 3 и 4 проводятся для всех уровней и групп в иерархии.
Реализуется иерархический синтез для взвешивания собственных
векторов весами критериев и вычисляется сумма по всем соответствующим
взвешенным компонентам собственных векторов уровня иерархии, лежащего ниже.
Согласованность всей иерархии найдём, перемножая каждый
индекс согласованности на приоритет соответствующего критерия и суммируя
полученные числа. Затем результат делится на выражение такого же типа, но со
случайным индексом согласованности, соответствующим размерам каждой взвешенной
приоритетами матрицы. Отношение согласованности будем считать допустимым, если
он не превышает 10 %. В противном случае качество суждений следует улучшить,
возможно, пересмотрев способ, следуя которому задаются вопросы при проведении
парных сравнений. Если и это не поможет улучшить согласованность, то задачу
следует более точно структурировать, т.е. сгруппировать аналогичные элементы
под более значащими критериями. При этом потребуется возврат к этапу 2.
При проведении обоснованных численных сравнений не следует
сравнивать более чем 7±2 элемента. Если их больше, чем 9, то нужно
объединять эти элементы в группы по 7 элементов и, сравнивая попарно, выбирать
элементы с максимальным весом в следующую группу.
В идеально согласованной матрице должны выполняться следующие
согласованности локальных приоритетов:
числовая (кардинальная) согласованность:
;
транзитивная согласованность:
.
Для проверки матриц третьего и второго уровней на согласованность
необходимо:
Вычислить сумма элементов
для j-го столбца матрицы суждений:
, (4.1)
где
- элемент матрицы суждений;
n - количество строк матрицы суждений.
Вычислить собственный вектор локальных приоритетов матрицы
суждений
:
(4.2)
где
- элемент матрицы суждений.
Вычислить сумму собственных векторов локальных приоритетов матрицы
суждений
:
(4.3)
Вычислить нормализованные компоненты векторов локальных
приоритетов
:
, (4.4)
Вычислить наибольшее собственное значение матрицы суждений:
(4.5)
При этом, всегда должно выполняться равенство:
(4.6)
Вычислить индекс согласованности (ИС):
(4.7)
Вычислить отношение согласованности (ОС):
, (4.8)
где СС - случайная согласованность (это ИС для обратно
симметричной матрицы размера n x n),
является табличным значением. Значения случайной согласованности для матриц
различных размерностей представлены в таблице 4.2.
Таблица 4.2 - Случайная согласованность для матриц различного
размера
|
Размерность
квадратной матрицы
|
1
|
2
|
3
|
4
|
5
|
6
|
7
|
8
|
9
|
10
|
|
СС
|
0
|
0
|
0.58
|
0.9
|
1.12
|
1.24
|
1.32
|
1.41
|
1.45
|
1.49
|
Если ОС > 10 %, то матрица считается несогласованной [9].
Вычисления будем производить с точностью до четвёртого знака.
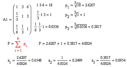
4.1 Построение иерархии
Определим три уровня: цель, критерии, альтернативы.
Цель: выбор способа реализации системы адаптивной обработки
звуковых сигналов.
Сформируем критерии, по которым будем оценивать варианты и
опишем их:
а) А1 - стоимость (стоимость реализации системы);
б) А2 - простота реализации (сложность реализации системы
данным способом);
в) А3 - быстродействие системы
г) А4 - точность преобразования (входной сигнал может быть
принят и обработан с разной степенью точности);
д) А5 - удобство эксплуатации (удобство эксплуатации системы
человеком);
Альтернативы (способы реализации системы) рассмотрены выше.
На основании приведённых выше можем приступить к решению задачи методом анализа
иерархий.
Используя приведённые выше рассуждения можно произвести
декомпозицию в трёхуровневую иерархию, которая приведена на рисунке 4.1.
Рисунок 4.1 - Трёхуровневая иерархия для решения задачи выбора
способа реализации системы
4.2 Построение матриц попарных суждений второго уровня
В нашем примере второй уровень иерархии содержит пять
критериев (матрица размером 5×5 представлена таблицей
4.3). Каким образом элементы матрицы получили свои значения [9]? Эксперту был
задан вопрос: "При выборе структуры АЦП какой критерий является более
значимым - Точность преобразования (А1) или Удобство эксплуатации (А2)?".
Был получен ответ "Точность преобразования". Затем эксперту был задан
вопрос: "Насколько важнее критерий А1 относительно критерия А2?".
Был получен ответ: "Незначительно важнее". В результате элементу
матрицы (A1, А2) присвоено значение 3, а элементу матрицы (A2, А1) -
обратное значение 1/3. Аналогично были проведены остальные попарные сравнения.
Общее число попарных сравнений, которые необходимо провести,
вычисляется по формуле
, (4.9)
где n - порядок матрицы.
N=5* (5-1) /2=10.
Таблица 4.3 - Матрица попарных сравнений второго уровня
|
№ критерия
|
А1
|
А2
|
А3
|
А4
|
А5
|
|
А1 Точность
преобразования
|
1
|
3
|
3
|
3
|
6
|
|
А2 Удобство
эксплуатации
|
1/3
|
1
|
3
|
3
|
5
|
|
А3 Стоимость
|
1/3
|
1/3
|
1
|
4
|
5
|
|
А4 Простота
реализации
|
1/3
|
1/3
|
1/4
|
1
|
4
|
4.3
Вычисление вектора приоритетов для матрицы попарных сравнений второго уровня
Из группы матриц попарных сравнений формируется набор
локальных приоритетов, которые выражают относительное влияние множества
элементов на элемент примыкающего сверху уровня. Находят относительную силу
(величину, ценность, желательность или вероятность каждого отдельного объекта)
через "решение" матриц, каждая из которых обладает обратно
симметричными свойствами. Для этого нужно вычислить множество собственных
векторов для каждой матрицы, а затем нормализовать результат к единице, получая
тем самым вектор приоритетов [9].
Вычисление оценки компонент собственного вектора можно
произвести различными способами, например, сначала вычислить геометрическое
среднее в каждой строке матрицы А по формуле (4.2):
Полученный по формуле (4.2) столбец чисел нормализуется делением
каждого числа
на сумму B (4.3) всех чисел столбца, в результате получаем значения
компонент вектора локальных приоритетов (4.4).
Так как числа
нормализуются делением каждого числа на сумму всех чисел, очевидно
(4.10)
Проведем вычисления компонент вектора локальных приоритетов для
нашего случая (вычисления выполнялись в системе MathCad версия 14)
Получили значения
с
по
. По формуле (4.3) вычислим B
Вычислим значения
по формуле (4.4)
Вектор х
Проверим результаты вычислений по контрольному соотношению (4.10)
Погрешность вычислений не должна превышать 0.1%.
Определим погрешность вычислений
Погрешности нет, значит, вычисления проведены верно.
4.4 Анализ результатов этапа вычисления вектора приоритетов для
матрицы попарных сравнений второго уровня
Полученные значения компонент
вектора локальных приоритетов критериев дают возможность
ранжировать критерии в соответствии с предпочтениями лица, принимающего решение
по убыванию полученных весов. Для рассматриваемого примера в таблице 4.3
критерии распределены в соответствии с "занятыми местами".
Таблица 4.4 - Численные оценки предпочтений критериев ЛПР
|
Критерий
|
Место
|
Вес
|
|
А1 Точность
преобразования
|
1
|
0.4734
|
|
А2 Удобство
эксплуатации
|
2
|
0.2611
|
|
А3 Стоимость
|
3
|
0.162
|
|
А4 Простота
реализации
|
4
|
0.0766
|
|
А5
Быстродействие
|
4
|
0.0269
|
Самым важным критерием оказался критерий А1 - "Точность
преобразования", который "отрывается" от ближайшего
"преследователя" - критерия А2 - "Удобство эксплуатации" на
(0,4734-0,2611) *100%=21,23%. Критерии А4 и А5 получили самые низкие и
пренебрежительно малые оценки - вес каждого из них составляет менее 10% от
суммарного веса всех критериев. Их рекомендуется исключить из списка
рассматриваемых критериев или объединить с другими критериями. Второе место
занял критерий А2 - "Удобство эксплуатации" с отрывом от критерия А3
- "Стоимость" на (0,2611-0,162) *100% = 9,91%. Критерий А3 -
"Стоимость" занял третье место и оторвался от критерия А4 -
"Простота реализации", занявшего четвёртое место, на (0,162-0,0766)
*100 = 8.54%. Критерий А5 - "Быстродействие" занял последнее пятое
место с отставанием от критерия А4 на (0,0766-0,0269) *100%=4,97%.
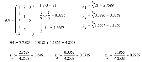
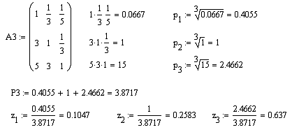
4.5 Построение матриц попарных сравнений третьего уровня
Для каждого критерия проводятся попарные сравнения альтернатив и
реализуется этап синтеза локальных приоритетов zj (j - номер
альтернативы,
, в нашем cлучае m=3).
В таблице 4.5 проведены попарные сравнения альтернатив по всем
критериям.
Обозначим вариант реализации системы на базе АЦП с сигма-дельта
архитектурой как альтернативу А, вариант реализации системы на базе АЦП с
последовательным способом преобразования как альтернативу Б, вариант реализации
системы на базе АЦП с прямым способом преобразования как альтернативу В.
Таблица 4.5 - Попарные сравнения альтернатив по всем критериям.
|
А1 - Точность
преобразования
|
А
|
Б
|
В
|
|
А2 - Удобство
эксплуатации
|
А
|
Б
|
В
|
|
А
|
1
|
3
|
6
|
|
А
|
1
|
6
|
1
|
|
Б
|
1/3
|
1
|
3
|
|
Б
|
1/6
|
1
|
1/6
|
|
В
|
1/6
|
1/3
|
1
|
|
В
|
1
|
6
|
1
|
|
|
|
|
А3 - Стоимость
|
А
|
Б
|
В
|
|
А4 - Простота
реализации
|
А
|
Б
|
В
|
|
А
|
1
|
1/3
|
1/5
|
|
А
|
1
|
7
|
3
|
3
|
1
|
1/3
|
|
Б
|
1/7
|
1
|
1/5
|
|
В
|
5
|
3
|
1
|
|
В
|
1/3
|
1/5
|
1
|
|
|
|
|
А5 -
Быстродействие
|
А
|
Б
|
В
|
|
|
А
|
1
|
5
|
1
|
|
|
Б
|
1/5
|
1
|
1/5
|
|
|
В
|
1
|
5
|
1
|
|
По формулам (4.2) - (4.4) вычислим векторы локальных приоритетов
для каждой матрицы, заменив идентификаторы B на P,
на
,
на
Матрица А1:
Проверим результат по контрольному соотношению (4.10) и определим
погрешность вычислений
Погрешность 0.01% не превышает допустимую погрешность 0.1%,
значит, вычисления выполнены верно.
Матрица А2:
Проверим результат по контрольному соотношению (4.10) и определим
погрешность вычислений
Погрешность 0.01% не превышает допустимую погрешность 0.1%,
значит, вычисления выполнены верно.
Матрица А3:
Проверим результат по контрольному соотношению (4.10) и определим
погрешность вычислений
Вычисления выполнены без погрешности.
Матрица А4:
Проверим результат по контрольному соотношению (4.10) и определим
погрешность вычислений
Погрешность 0.01% не превышает допустимую погрешность 0.1%,
значит, вычисления выполнены верно.
Матрица А5:
Проверим результат по контрольному соотношению (4.10) и определим
погрешность вычислений
Погрешность 0.01% не превышает допустимую погрешность 0.1%,
значит, вычисления выполнены верно.
Результаты расчётов сведены в таблицу 4.6
Таблица 4.6 - Результаты расчётов
|
А1
Точность преобразования
|
А
|
Б
|
В
|
Вектор приоритетов
|
|
А
|
1
|
3
|
6
|
0,6548
|
|
Б
|
1/3
|
1
|
3
|
0,2499
|
|
В
|
1/6
|
1/3
|
1
|
0,0954
|
|
А2
Удобство эксплуатации
|
А
|
Б
|
В
|
Вектор
приоритетов
|
|
А
|
1
|
6
|
1
|
0,4615
|
|
Б
|
1/6
|
1
|
1/6
|
0,0769
|
|
В
|
1
|
6
|
1
|
0,4615
|
|
А3
Стоимость
|
А
|
Б
|
В
|
Вектор
приоритетов
|
|
А
|
1
|
1/3
|
1/5
|
0,1047
|
|
Б
|
3
|
1
|
1/3
|
0,2583
|
|
В
|
5
|
3
|
1
|
0,6370
|
|
А4
Простота реализации
|
А
|
Б
|
В
|
Вектор
приоритетов
|
|
А
|
1
|
7
|
3
|
0,6491
|
|
Б
|
1/7
|
1
|
1/5
|
0,0719
|
|
В
|
1/3
|
5
|
1
|
0,2789
|
|
А5
Быстродействие
|
А
|
Б
|
В
|
Вектор
приоритетов
|
|
А
|
1
|
5
|
1
|
0,4545
|
|
Б
|
1/5
|
1
|
1/5
|
0,0909
|
|
В
|
1
|
5
|
1
|
0,4545
|
Будем считать, что значения компонент zj в означает, что по
критерию "Точность преобразования" альтернатива А заняла первое место
(z1=0,6548), альтернатива Б - второе место (z2=0,2499), альтернатива В - третье место (z2=0,0954). С учетом
полученных результатов для остальных матриц попарных сравнений третьего уровня
представим в таблице 3.7 суммарное количество первых, вторых и третьих, занятых
каждой альтернативой при вычислении значений компонент векторов локальных
приоритетов.
Таблица 4.7 - Суммарное количество первых, вторых и третьих
мест, занятых каждой из альтернатив
|
Место Альтернатива
|
1
|
2
|
3
|
|
АЦП с
сигма-дельта архитектурой
|
4
|
0
|
1
|
|
АЦП с
последовательным способом преобразования
|
0
|
2
|
3
|
|
АЦП с прямым
способом преобразования
|
1
|
2
|
2
|
Проанализировав количество мест, занятых каждой из
альтернативой, можно сделать вывод о превосходстве альтернативы "А"
над остальными альтернативами - она заняла на пять первых мест больше, чем
альтернатива "Б" и на три больше, чем альтернатива "В", при
том что у альтернативы "А" нет вторых мест и одно третье место.
Альтернатива А (АЦП с сигма-дельта архитектурой) получила
первые места по критериям "Точность преобразования", "Удобство
эксплуатации", "Стоимость" и "Простота реализации, третье
место по критерию "Быстродействие".
Альтернатива Б (АЦП с последовательным способом
преобразования) получила вторые места по критериям "Быстродействие",
"Точность преобразования", "Удобство эксплуатации", третьи
места по критериям "Стоимость", "Простота реализации"
Альтернатива В (АЦП с прямым способом преобразования)
получила первое место по критерию "Быстродействие", вторые места по
критериям "Стоимость" и "Простота реализации", третьи места
по критериям "Точность преобразования" и "Удобство
эксплуатации".
Хотя альтернатива А и превосходит альтернативы Б и В, делать
вывод о предпочтении той или иной альтернативы пока рано.
4.5 Определение отношения согласованности матрицы парных суждений
второго уровня
Подставим данные в формулы (4.5) - (4.8) и определим
отношение согласованности матрицы парных суждений второго уровня. Значение
случайной согласованности для матрицы пятого порядка равно 1,12 [9].
Матрица попарных сравнений второго уровня получилась не
идеально согласованной, но отношение согласованности является
удовлетворительным (1.5625%<10%).
4.6 Определение отношения согласованности матриц парных суждений
третьего уровня
Выполним расчёты, аналогичные пункту 4.6 для матриц парных
суждений третьего уровня. Значение случайной согласованности для матриц
третьего порядка составляет 0,58 [9]. Результаты вычислений сведены в таблицу
4.8.
Матрица А1
Матрица А2
Матрица А3
Матрица А4
Матрица А5
Таблица 4.8 - Значения отношений согласованности и индексов
согласованности матриц парных сравнений третьего уровня
|
Номер матрицы
|
|
1
|
2
|
3
|
4
|
5
|
|
|
ИС
|
0,0095
|
0,0003
|
0,0192
|
0,0321
|
0,0002
|
|
|
ОС
|
1,6379%
|
0,0517%
|
3,3103%
|
5,5345%
|
0,0345%
|
|
Таким образом, матрицы удовлетворительно согласованы, потому
что значения отношений согласованности не превышают 10% порога.
4.7 Вычисление вектора глобальных приоритетов
Для выявления составных, или глобальных, приоритетов способов
реализации системы локальные приоритеты альтернатив располагаются по отношению
к каждому критерию; каждый столбец векторов альтернатив умножается на приоритет
соответствующего критерия и результаты складываются вдоль каждой строки:
(4.11)
где j={A, Б, В} [9].
Исходные данные для вычисления вектора глобальных приоритетов
представлены в таблице 4.9.
Таблица 4.9 - Исходные данные для вычисления вектора
глобальных приоритетов
|
x1
(0,4734)
|
x2
(0,2611)
|
x3
(0,162)
|
x4
(0,0766)
|
x5
(0,0269)
|
|
0,65480,46150,10470,64910,4545
|
|
|
|
|
|
|
0,24990,07690,25830,07190,0909
|
|
|
|
|
|
|
0,09540,46150,63700,27890,4545
|
|
|
|
|
|
Подставим данные в формулу (4.11) и вычислим значение вектора
глобальных приоритетов для альтернативы А:
Для альтернативы Б:
Для альтернативы В:
Оценим погрешность вычислений по следующему соотношению:
(4.12)
Погрешности нет, значит, вычисления выполнены правильно.
Оценим вклад каждого критерия в полезность альтернативы.
Для вычисления
("вклада" i-го
критерия в значение функции полезности
) воспользуемся значениями промежуточных результатов в формуле
(4.11) и подставим их в формулу:
(4.13)
Результаты вычислений сведены в таблицу 4.10
Альтернатива А:
Альтернатива Б:
Альтернатива В:
Таблица 4.10 - Вклады критериев в функции полезности
|
Альтернативы
|
Критерии
|
|
А1
|
А2
|
А3
|
А4
|
А5
|
|
А
|
64,0496%
|
24,8967%
|
3,5124%
|
10,2686%
|
2,5207%
|
|
Б
|
62,8921%
|
10,6858%
|
22,2222%
|
2,924%
|
1,2759%
|
|
В
|
14,9421%
|
39,8347%
|
34,1157%
|
7,0744%
|
4,0331%
|
4.8
Анализ результатов вычислений вектора глобальных приоритетов
Наиболее предпочтительной оказалась альтернатива А (система
на базе АЦП с сигма-дельта архитектурой) с отрывом от ближайшего "преследователя"
- альтернативы В (система на базе АЦП с прямым способом преобразования) на
(0,5094-0,3025) *100%=20,69%. Этот отрыв считается существенным, поскольку он
превышает возможную погрешность метода анализа иерархий (10%). Второе место
заняла альтернатива В с отрывом от альтернативы Б (система на базе АЦП с
последовательным способом преобразования) на (0,3025-0,1881) *100%=11,44%. Этот
отрыв также существенный. Таким образом - альтернатива А - первое место,
альтернатива В - второе, альтернатива Б - третье место.
Наиболее значимые вклады в функцию полезности альтернативы А
внесли критерии А1 - "Точность преобразования" (64,0496%), А2 -
"Удобство эксплуатации" (24,8967%), А4 - "Простота
реализации" (10,2686%).
Наиболее значимые вклады в функцию полезности альтернативы Б
внесли критерии А1 - "Точность преобразования" (62,8921%), А3 -
"Стоимость" (22,2222%), А2 - "Удобство эксплуатации"
(10,6858%).
Наиболее значимые вклады в функцию полезности альтернативы В
внесли критерии А2 - "Удобство эксплуатации" (39,8347%), А3 -
"Стоимость" (34,1157%), А1 - "Точность преобразования".
Критерий А5 "Быстродействие" не оказал
существенного влияния на полезность ни одной из альтернатив.
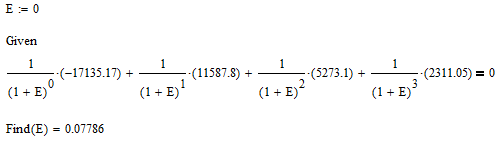
4.9 Анализ согласованности всей иерархии
Чтобы оценить согласованность всей иерархии, надо
воспользоваться следующей формулой:
ОСИерархии=
(4.14)
где xi - значение i-ой компоненты вектора локальных приоритетов
второго уровня,
ИСi - значение i-го индекса согласованности матриц попарных
сравнений третьего уровня;
СС (m) - значение случайной согласованности для
Согласно (4.14)
Иерархия не является идеально согласованной, поскольку значение
отношения согласованности отлично от 0, но согласованность иерархии считается
удовлетворительной, так как значение отношения согласованности не превысило
10%.
Оценим вклад каждой матрицы в несогласованность иерархии по
формуле
VKi=
(4.15)
где xi - значение i-ой компоненты вектора локальных приоритетов второго уровня,
ИСi - значение i-го индекса согласованности матриц попарных
сравнений третьего уровня;
Воспользуемся промежуточными результатами расчёта по формуле
(4.14):
Наибольшие вклады в несогласованность всей иерархии вносят матрицы
А1 (42,4528%), А3 (29,2453%), А4 (23,5849%).
5.
Описание структурной схемы системы
Структурная схема системы приведена на чертеже СевНТУ
7.091501.38. Э1
Подсистема приёма входных данных приводит в соответствие
диапазон входного сигнала к диапазону аналого-цифрового преобразователя.
Преобразование параметров входного сигнала для аналого-цифрового
преобразователя осуществляется посредством использования операционного
усилителя (в данной схеме будет использоваться усилитель MAX232). Для полноценной
работы АЦП со входом 5 В и источника сигнала с максимальным выходом 250 мВ
нужен усилитель с коэффициентом усиления равным 20.
Подсистема аналого-цифрового преобразования преобразует
аналоговый сигнал в дискретный код. Преобразование происходит в два этапа
(двухстадийное интегрирование). На первом этапе значение входного напряжения
преобразуется в ток (пропорциональный входному напряжению), который подаётся на
интегратор тока, заряд которого изначально равен нулю. Этот процесс длится в
течение времени TN, где T - период тактового генератора, N - константа (большое
целое число, определяет время накопления заряда). По прошествии этого времени
вход интегратора отключается от входа АЦП и подключается к генератору
стабильного тока. Полярность генератора такова, что он уменьшает заряд,
накопленный в интеграторе. Процесс разряда длится до тех пор, пока заряд в
интеграторе не уменьшится до нуля. Время разряда измеряется путём счёта
тактовых импульсов от момента начала разряда до достижения нулевого заряда на
интеграторе. Посчитанное количество тактовых импульсов и будет выходным кодом
АЦП. Фактически, принцип двухстадийного интегрирования позволяет напрямую
преобразовывать отношение двух аналоговых величин (входного и образцового тока)
в отношение числовых кодов практически без внесения дополнительных ошибок [3].
Подсистема управления вырабатывает управляющие воздействие
подсистемам адаптивного преобразования и выдачи и хранения результатов.
Подсистема управления реализована программно. Подсистема управления сообщает
аналого-цифровому преобразователю задержку, с которой необходимо принимать
значения входного сигнала в зависимости от частоты изменения амплитуды сигнала.
Подсистема адаптивного преобразования вычисляет задержку, с
которой аналого-цифровому преобразователю необходимо считывать данные входного
сигнала. Реализация вычисления задержки будет описана в пункте 6 данной работы
"Описание алгоритма работы".
Подсистема выдачи и сохранения результатов сохраняет цифровые
коды, полученные от подсистемы адаптивного преобразования. Выдача результатов
может осуществляется на LCD-дисплей или виртуальный терминал. Результаты
хранятся во flash-памяти микроконтроллера.
6.
Описание алгоритма работы
Алгоритм работы системы представлен на чертеже СевНТУ
7.091501.38.02
Функционирование системы начинается с подачи питания на
обозначенные на схеме входы, инициализации интерфейсов микроконтроллера и
устройств, подключённых к этим интерфейсам: АЦП, виртуальный терминал.
. Приём входного сигнала. Сигнал поступает с датчика или
другого источника на операционный усилитель. Операционный усилитель приводит
сигнал в соответствии требованиям АЦП.
. АЦП выполняет преобразование сигнала и передаёт микроконтроллеру
цифровые коды.
. Если это первый цикл работы системы, то микроконтроллер
сохраняет полученные коды во flash-памяти и отправляет их на вывод на виртуальный
терминал, к п.4. Если это не первый цикл работы системы, то микроконтроллер
сравнивает полученные коды с кодами, полученными на предыдущем цикле работы.
Если разница между значениями не превышает 0.15 В, то микроконтроллер уменьшает
частоту дискретизации входного сигнала (то есть, параметры сигнала не
изменились, и замеры будут происходить реже). Если коды не совпадают, то
микроконтроллер не изменяет задержку.
. Полученные коды от микроконтроллера выводятся для
отображения на виртуальный терминал.
. Конец.
7.
Описание программного обеспечения
Программа для системы адаптивного аналого-цифрового
преобразования была разработана на языке программирования высокого уровня С.
Программу можно было разработать также на таком языке программирования низкого
уровня, как Ассемблер. По сравнению с кодом программы, написанной на
высокоуровневом языке, код на Ассемблере короче. Преимущества Ассемблерного
кода очевидны: он быстрее исполняется и занимает меньше памяти в
программируемом устройстве. Но программирование на Ассемблере более трудоёмкий
процесс, так же программирование на Ассемблере требует куда более глубоких
знаний архитектуры и детального понимания принципа работы программируемого
устройства. Поскольку в нашем примере памяти устройства более чем достаточно
для хранения кода на высокоуровневом языке программирования, а быстродействие
программы является приемлемым, было решено использовать язык программирования
высокого уровня.
7.1 Описание алгоритма работы программы
1. Выполнить инициализацию интерфейсов SPI и UART.
. Если нажата кнопка "Стоп", то к п.9
. Побайтно считать данные из SPI.
. Преобразовать полученные данные из типа byte в тип int с помощью операций
поразрядного сдвига.
. Сохранить полученный результат.
. Если это первый раз, когда были получены данные, то к п.8
. Сравнить результат, полученный в пункте 5 с уже имеющимся
значением. Если значения равны, то установить первоначальное значение задержки
между измерениями и к п.8, если значения отличаются более чем на 0.15В, то
установить вдвое меньшее значение задержки между измерениями.
. Преобразовать результат в строку
. Вывести результат на виртуальный терминал с помощью
интерфейса UART и к п.2
. Конец
Программа состоит из одного файла-источника, который
называется "Project. c". Также подключаются следующие библиотеки:
а) Conversions - предназначена для преобразования типов данных;
б) C_Stdlib - содержит математические функции;
в) C_String - содержит функции для работы со строковыми типами данных;
г) SPI - содержит функции, необходимые для возможности
обмена информацией по параллельному интерфейсу;
д) UART - содержит функции, необходимые для возможности
обмена информацией с помощью универсального асинхронного приёмо-передатчика.
7.2 Описание методов и переменных
Описание переменных, содержащихся в файле-источнике приведено
в таблице 7.1
Таблица 7.1 - Описание переменных
|
Имя переменной
|
Тип
|
Назначение
|
|
voltage
|
char
[]
|
Побайтное
сохранение данных, считанных из SPI
|
|
buffer
|
short
|
Буфер для
считывания информации по SPI
|
|
i
|
int
|
Организация
цикла побайтного сохранения данных, считанных из SPI
|
|
v
|
int
|
Представление
данных, полученных по SPI в целочисленном
виде
|
|
resStorage
|
Хранение
текущего и промежуточного результата измерения
|
|
j
|
int
|
Индекс массива resStorage
|
|
d
|
char
|
Значение
задержки между измерениями (мс)
|
Описание методов
main () - не имеет параметров, ничего не возвращает (void) - метод,
предназначенный для запуска всех остальных процедур в бесконечном цикле;
SPI1_Init () - не имеет параметров, ничего не возвращает (void) - метод,
инициализирующий интерфейс SPI.
UART1_Init (long baud_rate) - параметр: скорость передачи информации
(бод/с), ничего не возвращает (void), предназначен для инициализации интерфейса UART.
SPI1_Read (short buffer) - параметр: буфер для считывания информации,
возвращает полученные данные, предназначен для считывания данных по интерфейсу SPI;
FloatToStr (float fnum, unsigned char *str); - параметры: число, которое нужно
преобразовать в строку, строка, в которую преобразовывается число, возвращает
3, если первый параметр не число, 2, если число больше бесконечности, 1, если
число меньше минус бесконечности, 0, если преобразование успешно, предназначен
для преобразования переменной типа float в строку.
UARTx_Write_Text (char * UART_text) - параметры: строка, которую нужно отправить с
помощью интерфейса UART, ничего не возвращает (void), предназначен для передачи текста по интерфейсу
UART;
delay (char d) - параметры: целое число, ничего не возвращает
(void), предназначен для
внесения задержки в выполнении программы.
Текст программы приведён в приложении А.
8.
Тестирование системы
Система моделировалась и тестировалась в Proteus. Для тестирования
подобных систем существуют такие среды как Multisim и Avr Studio, но Multisim не поддерживает
микроконтроллеры, а AVR Studio предназначена для микроконтроллеров AVR.
Тестируемая схема имеет следующий вид:
Рисунок 8.1 - Тестируемая схема в Proteus
Принципиальная схема приведена на чертеже СевНТУ 7.091501.38. Э3
В качестве источника входного сигнала используется потенциометр с
возможностью интерактивного изменения напряжения (имитация аналогового
сигнала). Также на схеме присутствуют:
а) АЦП с сигма-дельта архитектурой LTC2440 (диапазон измеряемых сигналов, определяемых опорным
напряжением равен - 5В - +5В);
б) однокристальный микроконтроллер PIC16F882;
в) преобразователь уровней для RS232 MAX232;
г) виртуальный терминал;
д) осциллограф;
е) кварцевый генератор;
ж) подтягивающий резистор R7 номиналом 10кОм;
з) конденсаторы;
и) операционный усилитель AD8571AS в дифференциальном включении с
коэффициентом усиления по напряжению Ku=20
поскольку диапазон входных сигналов - 250мВ - +250мВ;
к) резисторы R1-R6 - мостовая схема (R1=10кОм, R2=10кОм, R3=1кОм, R4=20кОм,
R5=20кОм, R6=1кОм)
л) светодиод.
Результат работы системы выводится на виртуальный терминал, также
уровни выходных и входных сигналов можно отследить на осциллографе.
Тест №1 - с помощью потенциометра установим напряжение 5В и нажмём
кнопку "Старт".
Результат измерения:
Рисунок 8.2 - Состояние виртуального терминала после выполнения
теста №1
Сигналы на осциллографе отображаются следующим способом (сверху
вниз): входной сигнал; земля; выходной сигнал; земля.
Шкала деления 1: 1 (одна клетка соответствует одному вольту).
Рисунок 8.3 - Осциллограмма теста №1
Результат соответствует ожиданиям
Тест №2 - с помощью потенциометра будем изменять напряжение от 0,5
В до 4,5В. Результат измерения:
Рисунок 8.3 - Состояние виртуального терминала после выполнения теста
№2
Рисунок 8.4 - Осциллограмма теста №2
Система корректно отобразила значение напряжения. Поскольку
напряжение изменялось вручную с помощью потенциометра, разница между значениями
сигнала получилась неодинаковой. Тест №3 -
выполним то же испытание, что и в тесте №2, но в нескольких случаях сделаем шаг
изменения меньше 0.15В. Система не должна реагировать на такие изменения
напряжения
Рисунок 8.5 - Состояние виртуального терминала после выполнения
теста №3
Рисунок 8.6 - Осциллограмма теста №3
По осциллограмме видно, что входной сигнал имеет участки с
изменением напряжения на менее чем 0.15В, система не отреагировала на эти
изменения. Результаты совпали с ожиданиями.
Тест №4 - подадим на вход сигнал, не соответствующий диапазону
АЦП, для этого установим значение входного напряжения, равное 10В. Значение
выхода "BUSY" АЦП должно установиться в
"1", и загореться светодиод. Это значит, что процесс преобразования
не осуществляется.
Рисунок 8.7 - Результат выполнения теста №4
Рисунок 8.8 - Осциллограмма теста №4
Система корректно отреагировала на неверное значение входного
сигнала.
9.
Технико-экономическое обоснование системы
9.1 Маркетинговые исследования
9.1.1 Исследование программного продукта
9.1.1.1 Назначение программного продукта
Разрабатываемый программный продукт предназначен для
управления системой обработки звуковых аналого-цифровых сигналов, построенной
на базе однокристального микроконтроллера, программируемого через порт USB компьютера.
9.1.1.2
Основные свойства программного продукта
Программа будет разработана на языке программирования
высокого уровня С.
Свойства, которыми обладает рассматриваемый программный
продукт, следующие:
а) приём входного сигнала;
б) аналого-цифровое преобразование;
в) адаптирование аналого-цифрового преобразования;
г) выдача цифровых кодов.
9.1.1.3
Требования к условиям эксплуатации
Данный ПП ориентирован на пользователей, от которых требуются
специальных знаний в сфере информационных технологий, в частности базовых
знаний о цифровых сигналах и методах их обработки.
Для эксплуатации данного программного продукта необходим
стенд, который разрабатывается совместно с этой программой.
9.1.1.4
Конкурентоспособность
Конкуренция - деятельность соперничества нескольких лиц в
достижении одной и той же цели. Конкурентоспособность товара - способность
товара соперничать с аналогичными товарами других предприятий.
Разрабатываемая программная система "прошивается" в
память микроконтроллера.
Поскольку разработка программного продукта преследует кроме
целей проектирования, еще и образовательные и исследовательские цели, наглядная
демонстрация цифровой обработки сигналов знания учащихся о цифровых сигналах и
методах их обработки.
9.1.1.5
Оценка рыночной направленности
Проведем оценку шансов и рисков проектируемого продукта по таблице:
Таблица 9.1 - Оценки шансов и рисков проектируемого продукта
В результате, сложив полученные баллы и определив
среднеарифметическую величину, в случае ее превышения значения 5, сделаем вывод
о рыночной направленности продукта.
, (9.1)
где
КЭ. ОЦ. - коэффициент экспертной оценки, представляющий
собой величину (среднеарифметическую) исследуемых показателей;
Бi - балл по i-ому показателю;
n - количество показателей.
,
Средняя экспертная оценка - 5.2.
Для повышения шансов ПП можно увеличить осведомлённость
потребителей (реклама, участие в конференциях).
9.1.2
Исследование рынка сбыта программного продукта (ПП)
9.1.2.1
Сегментация рынка
Процесс сегментирования - выбор сегмента рынка.
Сегментирование рынка - это разбивка рынка на четкие группы покупателей, для
каждой из которых могут потребоваться отдельные товары и комплексы маркетинга.
Принципы сегментации:
Географический (город, округ, плотность населения, климат);
Психографический (общественный класс, образ жизни, тип
личности);
Поведенческий (повод для покупки, статус пользователя,
интенсивность потребления, степень готовности покупателя восприятию товара,
отношению товару);
Демографический (возраст пол размер семьи, этап жизненного
цикла семьи, уровень доходов, род занятости, образования.
В данном случае был выбран поведенческий принцип сегментации
по статусу пользователя. Деление производилось по направленности работы
возможных потребителей (предприятий). Для внедрения выбраны следующие сегменты:
а) исследовательские организации;
б) учебные заведения.
В остальных сегментах потребители более требовательны к
качеству предлагаемого товара, используют высококачественное специализированное
оборудование или имеют сходные программные продукты.
Схематично разбиение можно показать следующим образом:
Рисунок 9.1 - Сегментация рынка
Также опишем цели приобретения программного продукта.
Учебные заведения - для студентов предполагается
использование данного программного продукта в качестве лабораторного практикума
для изучения основных особенностей работы микроконтроллеров, а также написанию
курсового проекта в рамках дисциплины "Проектирование микропроцессорных
систем".
Исследовательские организации - исследование различных
нестандартных ситуаций, возникающих при проектировании.
В качестве стратегии выбран дифференцированный маркетинг.
Наибольший упор делается на тех лиц или на те учреждения, которые проводят
исследования в микропроцессорных системах.
9.1.2.2
Анализ тенденции рынка
Настоящий программный продукт не является абсолютно новой,
уникальной разработкой. Рассматриваемый программный продукт является более
узконаправленным, но в то же время позволяет решать множество задач. Таким
образом, за счет отсутствия избыточности, система занимает немного памяти. Еще
один весомый фактор в пользу покупки именно этого программного продукта - это
цена, так как очень малое число предприятий и организаций имеют возможность
покупать крупные и многофункциональные системы. Это делает разработанный
программный продукт более конкурентоспособным на современном рынке.
9.1.2.3
Предпочтительный потребитель
Покупателем является либо учебное учреждение, предполагающее
использование данного программного продукта для проведения лабораторных занятий
своих студентов, либо предприятие, занимающееся проектированием и
исследованиями в области цифровой обработки сигналов, либо частное лицо,
которому потребовалась система для обработки звуковых сигналов.
9.1.2.4
Возможные причины финансовых неудач
Возможными причинами финансовых неудач могут стать следующие:
а) изменение тенденции рынка;
б) потребительская стоимость ПП будет ниже установленной;
в) низкая осведомленность потребителей;
г) переход к использованию другого семейства
микроконтроллеров;
9.1.3
Итоги маркетинговых исследований
В результате проведенных маркетинговых исследований
предлагаемого программного продукта были изучены все основные потребительские
свойства продукта:
а) универсальность системы;
б) гибкость системы;
в) высокое быстродействие системы.
Изучена конкурентоспособность товара, аналогичный товар
конкурента, определена рыночная направленность, определен портрет потребителя,
рассмотрен жизненный цикл рассматриваемого программного продукта.
Разработанный программный продукт имеет рыночную
направленность, потребитель - предприятие либо учебное учреждение, ограниченное
в средствах на приобретаемую продукцию, либо потребитель, предъявляющий
требования к качеству и цене программного продукта.
Также была проведена сегментация рынка в соответствии с
потенциальными потребителями: продукт предназначен для учебных учреждений, а
также для исследовательских организаций, которые занимаются исследованием в
области системного программного обеспечения.
В данном случае выбран поведенческий принцип сегментации, так
как он наиболее подходит для предлагаемого программного продукта.
9.2 Определение затрат на проектирование программного продукта
Затраты на проектирование продукта включают следующие
направления:
а) заработная плата проектировщиков (с отчислением на соц.
меры);
б) стоимость отладки программного обеспечения;
в) накладные расходы.
9.2.1
Вычисление трудоемкости
Трудоемкость проекта определяется, исходя из данных об
используемых функциях программного продукта. Определим эти функции для
рассматриваемой программной системы:
Таблица 9.2 - Функции программной системы
|
Наименование
(содержание) функции
|
Объем функций,
тыс. УМК
|
|
организация
ввода информации
|
0,670
|
|
контроль
преобразование операторов входного языка в команды другого организация
ввода/вывода информации в интерактивном режиме манипулирование данными
отладка программы в интерактивном режиме
|
2,100 3,850
2,700 7, 200 10,160
|
Определим общий объем разрабатываемого ПП (V0)
определяется по формуле:
, (9.2)
где Vi - объем i-ой функции ПП;- общее число функций
ПП.
p =5.
Согласно этой формуле, общий объем разрабатываемого программного
продукта:
V0 = 5.336
(тыс. УМК).
Затраты труда (Тр) на разработку программного продукта
определяются в зависимости от объема (Vо) и группы сложности
программного продукта по нормам времени в человеко-часах.
Определим эту величину для нашего программного продукта, считая,
что продукт следует отнести ко второй группе сложности. Таким образом, для V0 = 5.34 тыс. УМК:
Тр = 229,1
(человеко-дней).
Общая трудоемкость (ТО) для программного продукта
соответствующей группы сложности с учетом поправочного коэффициента сложности
программного продукта (Ксл) рассчитывается по формуле:
, (9.3)
В свою очередь коэффициент сложности ПС ВТ КСЛ
рассчитываем по формуле:
, (9.4)
где Ki - коэффициент, учитывающий уровень повышения
сложности по дополнительным характеристикам программного средства
вычислительной техники,- количество доп. характеристик программного средства
вычислительной системы.
Таким образом, получаем:
КСЛ = 1
ТО = 229,1 * 1 = 229,1 (человеко-дней).
Полученную общую трудоемкость (ТО) разработки
программного средства вычислительной техники разбиваем на соответствующе стадии
разработки. Трудоемкость каждой стадии разработки ПС ВТ (Тi)
определяем по формулам:
Т1 = LТЗ × КН × ТО - трудоемкость стадии
технического задания;
Т2 = LЭП × КН × ТО - трудоемкость стадии
эскизного проектирования;
Т3 = LТП × КН × ТО - трудоемкость стадии
технического проектирования;
Т4 = LРП × КН × ТО ∙ КТ -
трудоемкость стадии рабочего проектирования;
Т5 = LВН × КН × ТО - трудоемкость стадии
внедрения,
где L - удельный вес трудоемкости соответствующей стадии
разработки в общей трудоемкости.
КН - поправочный коэффициент, учитывающий степень новизны
программного продукта;
КТ - поправочный коэффициент, учитывающий степень
использования в разработке типовых (стандартных) программ программного
продукта.
Данный продукт является развитием определенного параметрического
ряда программных средств вычислительной техники (код В), которой при отсутствии
использования новой ЭВМ и новой ОС соответствует значение КН = 0,70. Значения коэффициентов удельных весов трудоемкости для каждой
стадии в общей трудоемкости разработки программного продукта представлены ниже
в таблице.
Таблица 9.3 - Коэффициенты удельных весов для каждой стадии в
трудоемкости разработки
|
Код стадии
|
Значение L
|
|
ТЗ
|
0,09
|
|
ЭП
|
0,07
|
|
ТП
|
0,07
|
|
РП
|
0,61
|
|
ВН
|
0,16
|
Таким образом, трудоемкость каждой стадии разработки
программного продукта (Тi): трудоемкость стадии технического задания:
Т1 = 0.09 × 0.7 × 229,1 = 14.43;
трудоемкость стадии эскизного проектирования:
Т2 = 0.07 × 0.7 × 229.1 = 11.23;
трудоемкость стадии технического проектирования:
Т3 = 0.07 × 0.7 × 229.1 = 11.23;
трудоемкость стадии рабочего проектирования:
Т4 = 0.61 × 0.7 ×0.9 × 229.1 = 88.04;
трудоемкость стадии внедрения:
Т5 = 0.16 × 0.7 × 229.1 = 25.66.
Уточненная общая трудоемкость ПС ВТ Тобщ (при
восьмичасовом рабочем дне) определяем по формуле:
, (9.5)
где Тi - трудоемкость разработки i-той стадии,- число
стадий разработки.
ТОБЩ = 14.43+11.23+11.23+88.04+25.66 = 150.59
(человек-дней).
Исходя из трудоемкости ТОБЩ и численности исполнителей,
рассчитываем срок разработки (CР):
, (9.6)
где Ф - фонд рабочего времени в месяц [дни],
Ч - численность разработчиков [чел].
Фонд рабочего времени в месяц составляет 21.8 д. /мес.,
численность исполнителей - 1 человек:
(месяцев).
9.2.1
Вычисление себестоимости часа машинного времени
Рассчитаем себестоимость часа машинного времени. Для расчета
себестоимости часа машинного времени необходимо составить смету годовых
эксплуатационных затрат. Для расчета годовых эксплуатационных затрат
воспользуемся данными, приведенными в таблице:
Таблица 9.4 - Эксплуатационные затраты
|
Основные
показатели
|
Усл. Об.
|
Ед. изм.
|
Значение
показателя
|
|
1. Стоимость
основного комплекта оборудования
|
С
|
грн.
|
4000
|
|
2. Потребляемая
мощность
|
W
|
кВТ/ч
|
0.3
|
|
3. Коэффициент
использования по мощности
|
Kи
|
|
0,7
|
|
4. Цена 1 кВт/ч
электроэнергии
|
Цэ
|
грн.
|
0,75
|
|
5. Номинальный
фонд времени работы ЭВМ
|
Fном
|
час
|
2004
|
|
6. Потери
времени на ремонт и профилактику (% от Fном)
|
Ппот
|
%
|
4
|
|
7. Коэффициент
годовых затрат на ремонт (от стоимости оборудования)
|
Кр
|
%
|
7
|
|
8. Коэффициент
сменности
|
Ксм
|
|
1
|
|
9. Норма
амортизационных отчислений на оборудование
|
Ноб
|
%
|
40
|
|
10. Норма
амортизационных отчислений на здания
|
Нзд
|
%
|
5
|
|
11. Балансовая
стоимость 1м2.
|
Сбал
|
грн.
|
8000
|
|
12. Общая
производственная площадь
|
S
|
кв. м.
|
4
|
|
13. Коэффициент
начислений на фонд оплаты труда
|
Кн
|
%
|
37.5
|
|
14. Коэффициент
накладных расходов (% от ФОТ)
|
Кнр
|
%
|
13
|
|
15. Коэффициент
материальных затрат (% от стоимости оборудования)
|
Кмз
|
%
|
7
|
|
16. Оклад разработчика
|
Окр
|
грн.
|
4000
|
Для того, чтобы определить сумму годовых эксплуатационных
затрат рассчитаем следующие показатели:
Расчет материальных затрат (Зм):
(грн.);
Расчет затрат на электроэнергию (ЗЭ):
ЗЭ = FНОМ × ЦЭ × W × КИ × КСМ =
= 2004 × 0.75 × 0.3 × 0.375 × 1 = 169 (грн.);
Расчет оплаты труда (ФОТ):
ФОТ = 11,8 × КСМ
× ОКР
= 11,8 × 1 × 4000 = 47200 (грн.);
Расчет отчислений от заработной платы (ОТЧ):
(грн.);
Расчет затрат на ремонт (ЗР):
(грн.);
Расчет накладных расходов (ЗН):
(грн.);
Расчет амортизационных отчислений на здания (АЗД):
(грн.);
на оборудование (АОБ):
(грн.).
Используя, полученные данные сформируем таблицу "Смета
годовых эксплуатационных затрат".
Таблица 9.5 - Смета годовых эксплуатационных затрат
|
Наименование
затрат
|
Формула расчета
|
Значение, грн.
|
|
Материальные
затраты
|
280.00
|
|
|
Затраты на
электроэнергию
|
ЗЭ
= FНОМ×ЦЭ×W×КИ×КСМ
|
169
|
|
Оплата труда
|
ФОТ = 12 × КСМ × ОКР
|
47200.00
|
|
Отчисления от
заработной платы
|
17700.00
|
|
|
Расчет затрат
на ремонт
|
280
|
|
|
Накладные
расходы
|
6136
|
|
|
Амортизационные
отчисления на здания
|
38.00
|
|
|
Амортизационные
отчисления на оборудование
|
1600.00
|
|
|
Итого 6865.00
|
|
Себестоимость часа машинного времени (СЧМВ)
рассчитывается по формуле:
, (9.7)
где
- сумма годовых эксплуатационных затрат
(грн.); FЭФ. ОБ. - годовой эффективный
фонд времени для оборудования.
Эффективный фонд времени для
оборудования определяется по формуле:
, (9.8)
где П - потери рабочего времени.
Допустимые потери рабочего времени для оборудования - П = 5% от FНОМ.
(час).
Тогда себестоимость часа машинного времени:
(грн.).
Далее проведем расчет сметы затрат.
Стоимость всех работ, выполняемых при разработке ПП, можно
разделить на две части:
а) стоимость работ по разработке и отладке программного
обеспечения, выполняемых с помощью вычислительной техники;
б) стоимость работ, производимых без применения вычислительной
техники.
Предварительно определим, сколько времени из общего срока
разработки (СР = 7.64 месяца) приходится на работы, выполняемые без
применения вычислительной техники (СРР) и с ее применением (СРМ).
Полагаем, что на работы, выполняемые без применения вычислительной
техники, приходится 35% общего времени разработки, т.е.
(мес.).
Соответственно
(мес.).
Далее рассчитаем затраты на проектирование программного продукта:
определение фонда оплаты труда проектировщиков (за работы,
выполняемые без применения ВТ): прямая
заработная плата разработчиков (ЗППРЯМАЯ) определяется по формуле:
(9.8),
где Ч - количество исполнителей данного проекта (чел.);
СРР - срок разработки без применения ВТ (мес.).
(грн.)
Кроме прямой заработной платы, в расчет включаем доплаты в размере
30% от прямой зарплаты. Тогда фонд основной зарплаты составит:
(грн.).
Накладные расходы:
Совокупность расходов на содержание помещений, на управление той
организацией, в которой выполняется проект, относим к накладным расходам (ЗНАКЛ):
(грн.)
Затраты на разработку ПП с применением ВТ:
Затраты на разработку ПП с применением ВТ (ЗПО)
определяются по формуле:
(9.10)
где СРМ - срок разработки ПП с использованием ВТ
(месяцев);ЭФ.М. - эффективный фонд рабочего времени за месяц;
СЧМВ - себестоимость часа машинного времени (грн.)
Эффективный фонд рабочего времени в месяц, полагая, что
номинальный фонд рабочего времени в месяц составляет:
(часов);
(час).
Тогда
(грн.)
Таблица 9.6 - Смета затрат на проектирование
|
Наименование
расходов
|
Сумма, грн.
|
|
Фонд оплаты
труда проектировщиков (с отчислениями на социальные мероприятия) за работу,
выполненную без применения вычислительной техники
|
13 936
|
|
Накладные
расходы
|
1 811.68
|
|
Затраты на
разработку ПП с применением вычислительной техники
|
2 742.49
|
|
Итого: Затраты
на проектирование (ЗПР)
|
18 490.17
|
Полученная сумма служит основанием для определения цены
предложения программного продукта.
9.2.2
Формирование цены предложения разработчика
Для формирования цены предложения разработчика необходимо
иметь представление об издержках на проектирование и реализацию программного
продукта, а также выручка от продаж.
Издержки представляют собой совокупность постоянных и
переменных издержек.
Общая величина переменных издержек (ИПЕР)
определяется по формуле:
(9.11)
где ИУД. ПЕР - удельные переменные издержки;-
количество проданных экземпляров программного продукта.
Величина удельных переменных издержек ИУД. ПЕР. включает
в себя затраты на комплект рабочей документации, на операции, связанные с
защитой программного продукта от копирования и другое. Полагаем, что величина ИУД.
ПЕР. = 100 (грн.).
Полные издержки (ИПОЛ) составят:
(9.12)
Выручка от реализации (В) определяется в зависимости от цены
продажи одного экземпляра программного продукта (Ц) и объема продаж:
(9.13)
Наклон графика изменения выручки зависит от уровня цены. В точке
безубыточности достигается равенство:
, то есть
.
Отсюда минимальный объем продаж составит (при известной цене):
(9.14)
или минимальная цена реализации (при известном N):
(9.15).
Пусть цена нашего программного продукта составит Ц = 1700 грн.
Величины постоянных и удельных переменных издержек были указаны выше. Тогда
минимальный объем продаж составит следующую величину:
(экземпляров).
Рисунок 9.2 - График зависимости издержек и выручки в зависимости
от количества произведенных экземпляров разработанного программного продукта
Из графика и расчета следует, что при цене, равной 1700 грн.
минимальный объем продаж составит 14 экземпляров.
9.2.3
Расчёт капитальных затрат
Капитальные вложения представляют собой для разработчика -
расходы на покупку (ЦTC), доставку (ЗTP) и монтаж (ЗM) технических средств, а
также на приобретение программного обеспечения (ЦПО), необходимого
для процесса создания программного продукта:
(9.16)
В данной работе примем следующие значения вышеописанных расходов:
ЦТС = 4000 (грн.);
ЗТР = 40 (грн.);
ЗМ = 0 (грн.);
ЦПО = 2200 (грн.).
Таким образом, КР = 4000 + 40 + 0 + 2200 = 6240 (грн.).
Для пользователя - расходы на приобретение данного программного
продукта (ЦПП), его доработку и адаптацию (ЗА), привязку
и освоение на конкретном объекте (ЗО), доукомплектование технических
средств на объекте управления (ЗД):
КП = ЦПП + ЗА + ЗО + ЗД
(грн.).
В данной работе примем следующие значения вышеописанных расходов:
ЦПП = 2000 (грн.);
ЗА = 100 (грн.);
ЗО = 50 (грн.);
ЗД = 150 (грн.).
Тогда:
КП =2000 + 100 +50 +150 = 2300 (грн.).
9.2.4
Расчет эксплуатационных расходов пользователя
К эксплуатационным расходам относим те расходы потребителя,
которые он несет при однократном обращении к ПП.
Эксплуатационные расходы определяются по формуле:
(9.17)
где
ЗОБР. ЭКСПЛ. - эксплуатационные затраты на одно
обращение к ПП (грн.);М - время одного обращения к ЭВМ (час);ПОД
- время на подготовку исходной информации (час/год);
ЗПОД - часовая зарплата персонала, занятого подготовкой
исходной информации (грн.);
КН - процент отчислений на социальные мероприятия;
ЦПП - цена программного продукта;
Т - планируемый срок службы продукта (лет);
ЦН - цена носителя (грн.);Н - количество
носителей, используемых за год;ОБР - количество обращений к ПП за
год.
Первое слагаемое в этой формуле отражает затраты на машинное
время, второе - материальные расходы, третье - заработную плату обслуживающего
персонала, занятого подготовкой исходной информации, а четвертое - амортизацию
программного продукта. Вычислим перечисленные показатели для
рассматриваемого программного продукта:
Затраты на машинное время:
ЗМВ = tМ × СЧМВ (9.18)
Полагаем, что tМ = 3 часов, тогда
ЗМВ = 3 × 3.57 = 10.71 (грн).
Материальные расходы:
(9.19)
Полагаем, что
ЦН = 1.50 грн. (стоимость одного "чистого"
диска - CD-R);Н
= 15 штук;ОБР = 210 (обращение происходить 4 раза в неделю),
тогда
(грн.)
Заработная плата обслуживающего персонала:
(9.20)
Полагаем, что tПОД = 105 час/год, так как необходимо
затратить 30 минут на подготовку исходной информации 4 раза в неделю.
Часовую зарплату оператора вычислим, согласно следующей формуле:
(9.21)
Полагаем, что Оклад = 600 грн., тогда
(грн.)
Таким образом, заработная плата обслуживающего персонала составит
следующую величину
(грн.)
Амортизация программного продукта:
(9.22)
Полагаем, что Т = 4 года, тогда
(грн.)
Полученные расчеты сводим в следующую таблицу:
Таблица 9.7 - Расходы
|
Направление
расходов
|
Сумма, грн.
|
|
Затраты на
машинное время
|
10.71
|
|
Материальные
расходы
|
0.11
|
|
Заработная
плата обслуживающего персонала с отчислениями на социальные мероприятия
|
2.34
|
|
Амортизация ПП
|
2.38
|
|
Итого:
|
15.54
|
Таким образом, при однократном обращении к ПП потребитель
несет следующие расходы: ЗОБР. ЭКСПЛ. = 15.54 (грн.)
9.2.5
Оценка эффективности проектирования программного продукта
Анализ эффективности проекта производится на основе
показателей, широко применяемых в мировой практике, а именно: интегрального
экономического эффекта за весь жизненный цикл продукта; периода возврата
капитальных вложений; внутренней нормы рентабельности.
Задачей экономической оценки является определение динамики
чистой текущей стоимости, то есть суммы, ежегодно возвращающейся в виде отдачи
от вложенных средств.
Поскольку возможно коммерческое использование продукта
потребителем (оказание платных услуг), то следует подвергнуть анализу затраты и
результаты, сложившиеся в организации-пользователе продукта.
Рассчитаем показатели экономической эффективности для
разрабатываемого программного продукта с точки зрения организации -
разработчика.
Для этого необходимо определить показатели чистого денежного
потока (ЧДП) за период реализации проекта по следующей формуле:
ЧДПt = Рt - (Кt + Иt),
(9.23)
где ЧДПt
- чистый денежный поток года t (грн.);
Рt - выручка от реализации работ и услуг в году t
(грн.);
Кt - капитальные вложения года t (грн.);
Иt - издержки года t (грн.).
Объем реализации работ (услуг) определяется как
Рt = Ц × Nt,
где
Ц - цена реализации одного изделия (пакета программ), (грн.);t
- годовой объем реализации изделий (пакетов программ), (шт.).
Полагая, что N12 =7, Р12 =7 × 1700 = 11 900 (грн.). К12 = Кр = 6240 (грн.).
Издержки представляют собой расходы по проектированию,
модернизации, продвижению программного продукта на рынке и др., таким образом,
издержки для организации разработчика можно рассчитать по следующей формуле:
Иt = ЗПРt + ИПЕРt + ИМАРКt, (9.24)
где
ЗПРt - затраты на проектирование года, t,
ИПЕРt - переменные издержки года, t,
ИМАРКt - затраты на продвижение программного
продукта на рынке года, t. Очевидно, что ЗПР12 = ЗПР = 18 490.17 (грн). Переменные издержки можно
вычислить по следующей формуле:
ИПЕРt = СПЕР × Nt, (9.25)
где
СПЕР - переменные издержки, СПЕР = 275
грн.
Таким образом, получаем ИПЕР12 = 275 × 7 = 1925 (грн.).
Издержки на продвижение программного продукта на рынке можно
вычислить по следующей формуле:
ИМАРКt = Рt × 0.2, (9.26)
Согласно этой формуле:
ИМАРК12 = 11 900 × 0.2 = 2 380 (грн.),
тогда И12 = 18 490.17 + 1 925+ 2 380 = 22 795.17
(грн.)
Тогда ЧДП12 = 11 900 - (6240 + 22
795.17) = - 17 135.17 (грн.)
Для 2013 года полагаем, что N13 = 12, тогда
Р13 = 1 700 × 12 = 20 400 (грн);
К13 = 0 (грн.); ЗПР13 = 0 (грн); ИПЕР13 = 275 × 12 =3 300 (грн);
ИМАРК13 = 20 400 × 0.2 = 4 080 (грн),
тогда И12 = 0 + 3 300 + 4 080 = 7 380 (грн.).
Таким образом, получаем ЧДП12 = 20 400 - (0 + 7
380) = 13 020 (грн.).
Для 2014 года полагаем, что N14 = 6, тогда
Р14 = 1 700 × 6 = 10 200 (грн);
К14 = 0 (грн.);
ЗПР14 = 0 (грн);
ИПЕР14 = 275 × 6 = 1 650 (грн);
ИМАРК14 = 10 200 × 0.2 = 2 040 (грн),
тогда И14 = 0 + 1 650 + 2 040 = 3 690 (грн.).
Таким образом, получаем ЧДП13 = 10 200 - (0 + 3
690) = 6 510 (грн.).
Для 2015 года полагаем, что N15 = 3, тогда
Р15 = 1 700 × 3 = 5 100 (грн);
К15 = 0 (грн.);
ЗПР15 = 0 (грн);
ИПЕР15 = 275 × 3= 825 (грн);
Имарк15 = 5 100 × 0.2 = 1 020 (грн),
тогда И14 = 0 + 825 + 1 020 = 1 845 (грн.)
Таким образом, получаем ЧДП14 = 5 100 - (0 + 1
845) = 3 255 (грн.).
Далее определим показатели чистой текущей стоимости за период
реализации проекта по следующей формуле:
ЧТСt = ЧДПt × αt,
Где ЧТСt - чистая текущая стоимость в году t (грн.);
ЧДПt - чистый денежный поток года t (грн.);
αt - коэффициент приведения
по фактору времени, рассчитываемый по следующей формуле:
, (9.27)
где
Е - норма доходности отложения денежных средства в конкретном
государстве в конкретную экономику или ставка дисконтирования [10]; tp - расчетный год;
t - текущий год. Полагаем, что Е = 12% = 0.12:
, тогда ЧТС12 = - 17135.17× 1 = - 17135.17 (грн.)
, тогда ЧТС13 = 13020 × 0.89 = 11587.8 (грн.)
, тогда ЧТС13 = 6510 × 0.81 = 5273.1 (грн.)
, тогда ЧТС14 = 3255 × 0.71 = 2311.05 (грн.)
Определим интегральный экономический эффект по формуле:
, (9.28)
где
Т - жизненный цикл проекта, лет.
Получаем: ЭИ = - 17135.17 + 11587.8 + 5273.1 + 2311.05 = 2036.78
(грн.).
Результаты расчета сведем в таблицу:
Таблица 9.8 - Расчет интегрального экономического эффекта
|
Показатели
|
Годы
|
|
2012
|
2013
|
2014
|
2015
|
|
Объем
реализации (шт.)
|
7
|
12
|
6
|
3
|
|
Объем
реализации (грн.)
|
11 900
|
20 400
|
10 200
|
5 100
|
|
Капитальные
вложения (грн.)
|
6240
|
0
|
0
|
0
|
|
Годовые
издержки (грн.)
|
22 795.17
|
7 380
|
3 690
|
1 845
|
|
Коэффициент
приведения по фактору времени
|
1
|
0.89
|
0.81
|
0.71
|
|
Чистый денежный
поток (грн.)
|
-17135.17
|
13 020
|
6 510
|
3 255
|
|
Чистая текущая
стоимость (грн.)
|
-17135.17
|
11 587.8
|
5 273.1
|
2 311.05
|
|
Чистая текущая
стоимость нарастающим итогом (грн.)
|
-17135.17
|
-5547.37
|
-274.27
|
2036.78
|
Рисунок 9.3 - Чистая текущая стоимость нарастающим итогом за
каждый год
По графику видно, что период окупаемости капитальных вложений
для данного программного продукта с точки зрения организации разработчика
составляет 3.5 года.
Далее определим внутреннюю норму рентабельности
рассматриваемого программного продукта. Метод определения внутренней нормы
рентабельности позволяет оценить эффективность капитальных вложений.
Внутренняя норма рентабельности соответствует такой ставке
коэффициента дисконтирования (Е), при котором интегральный экономический эффект
равен нулю:
ЭИ = 0 или
.
Решение уравнения в MathCad:
При решении этого уравнения относительно Е получаем, что Е =
0.0779 = 7.79%
Рисунок 9.4 - Зависимость интегрального экономического эффекта от
ставки дисконтирования Е.
Результаты расчета сведем в таблицу:
Таблица 9.9 - Показатели рентабельности проекта
|
Показатели
|
Единица
измерения
|
Величина
|
|
Интегральный
экономический эффект
|
грн.
|
2 036.78
|
|
Период
окупаемости капитальных вложений
|
лет
|
3.5
|
|
Внутренняя
норма рентабельности
|
%
|
7.79
|
9.2.6
Выводы
Программный продукт изготовляется одним человеком в течение
6,91 месяцев. Затраты на проектирование составят 18 490.17 грн. ПП будет
реализовываться по цене 1700 грн., предполагаемая чистая прибыль за период с
2012 по 2015 год составляет 2036.78 грн. Внутренняя норма рентабельности
данного программного продукта составляет 7.79%.
Исходя из этого, можно сказать, что вложения в разработку
данного программного продукта принесут доход, однако, они являются рисковыми.
10.
Охрана труда
10.1 Анализ условий труда программиста
Научно-технический прогресс внес серьезные изменения в
условия производственной деятельности работников умственного труда. Их труд
стал более интенсивным, напряженным, требующим значительных затрат умственной,
эмоциональной и физической энергии. Это потребовало комплексного решения
проблем эргономики, гигиены и организации труда, регламентации режимов труда и
отдыха.
В настоящее время компьютерная техника широко применяется во
всех областях деятельности человека. При работе с компьютером человек
подвергается воздействию ряда опасных и вредных производственных факторов:
электромагнитных полей (диапазон радиочастот: ВЧ, УВЧ и СВЧ), инфракрасного и
ионизирующего излучений, шума и вибрации, статического электричества и др.
[13].
Работа с компьютером характеризуется значительным умственным
напряжением и нервно-эмоциональной нагрузкой операторов, высокой напряженностью
зрительной работы и достаточно большой нагрузкой на мышцы рук при работе с
клавиатурой ЭВМ. Большое значение имеет рациональная конструкция и расположение
элементов рабочего места, что важно для поддержания оптимальной рабочей позы
человека-оператора.
В процессе работы с компьютером необходимо соблюдать правильный
режим труда и отдыха. В противном случае у персонала отмечаются значительное
напряжение зрительного аппарата с появлением жалоб на неудовлетворенность
работой, головные боли, раздражительность, нарушение сна, усталость и
болезненные ощущения в глазах, в пояснице, в области шеи и руках.
10.2
Требования к производственным помещениям
План помещения приведён на рисунке 10.1. При обустройстве
производственного помещения необходимо сделать так, чтобы следующие параметры
не выходили за пределы допустимых значений:
) освещённость;
) уровень шума и вибрации;
) параметры микроклимата;
) электромагнитное и ионизирующее излучение.
Также необходимо обеспечить выполнение эргономических
требований к рабочему месту и соблюдение режима труда.
Рисунок 10.1 - План помещения
10.2.1
Освещение
Правильно спроектированное и выполненное производственное
освещение улучшает условия зрительной работы, снижает утомляемость,
способствует повышению производительности труда, благотворно влияет на
производственную среду, оказывая положительное психологическое воздействие на
работающего, повышает безопасность труда и снижает травматизм.
Недостаточность освещения приводит к напряжению зрения,
ослабляет внимание, приводит к наступлению преждевременной утомленности.
Чрезмерно яркое освещение вызывает ослепление, раздражение и резь в глазах.
Неправильное направление света на рабочем месте может создавать резкие тени,
блики, дезориентировать работающего. Все эти причины могут привести к
несчастному случаю или профзаболеваниям, поэтому столь важен правильный расчет
освещенности.
Существует три вида освещения - естественное, искусственное и
совмещенное (естественное и искусственное вместе) [17].
Естественное освещение - освещение помещений дневным светом,
проникающим через световые проемы в наружных ограждающих конструкциях
помещений. Естественное освещение характеризуется тем, что меняется в широких
пределах в зависимости от времени дня, времени года, характера области и ряда
других факторов.
Искусственное освещение применяется при работе в темное время
суток и днем, когда не удается обеспечить нормированные значения коэффициента
естественного освещения (пасмурная погода, короткий световой день).
Освещение, при котором недостаточное по нормам естественное
освещение дополняется искусственным, называется совмещенным освещением.
Искусственное освещение подразделяется на рабочее, аварийное, эвакуационное,
охранное. Рабочее освещение, в свою очередь, может быть общим или
комбинированным. Общее - освещение, при котором светильники размещаются в
верхней зоне помещения равномерно или применительно к расположению
оборудования. Комбинированное - освещение, при котором к общему добавляется
местное освещение.
Согласно СНиП II-4-79 в помещений вычислительных центров
необходимо применить систему комбинированного освещения. При выполнении работ
категории высокой зрительной точности (наименьший размер объекта различения
0,3…0,5мм) величина коэффициента естественного освещения (КЕО) должна быть не
ниже 1,5%, а при зрительной работе средней точности (наименьший размер объекта
различения 0,5…1,0 мм) КЕО должен быть не ниже 1,0%. В качестве источников
искусственного освещения обычно используются люминесцентные лампы типа ЛБ или
ДРЛ, которые попарно объединяются в светильники, которые должны располагаться
над рабочими поверхностями равномерно [17].
Требования к освещенности в помещениях, где установлены
компьютеры, следующие: при выполнении зрительных работ высокой точности общая
освещенность должна составлять 300лк, а комбинированная - 750лк; аналогичные
требования при выполнении работ средней точности - 200 и 300лк соответственно.
Кроме того все поле зрения должно быть освещено достаточно
равномерно - это основное гигиеническое требование. Иными словами, степень
освещения помещения и яркость экрана компьютера должны быть примерно
одинаковыми, т.к. яркий свет в районе периферийного зрения значительно
увеличивает напряженность глаз и, как следствие, приводит к их быстрой
утомляемости.
10.2.2
Параметры микроклимата
Параметры микроклимата могут меняться в широких пределах, в
то время как необходимым условием жизнедеятельности человека является
поддержание постоянства температуры тела благодаря терморегуляции, т.е.
способности организма регулировать отдачу тепла в окружающую среду. Принцип
нормирования микроклимата - создание оптимальных условий для теплообмена тела
человека с окружающей средой.
Вычислительная техника является источником существенных
тепловыделений, что может привести к повышению температуры и снижению
относительной влажности помещении. В помещениях, где установлены компьютеры,
должны соблюдаться определенные параметры микроклимата. В санитарных нормах
СН-245-71 установлены величины параметров микроклимата, создающие комфортные
условия.
Эти нормы устанавливаются в зависимости от времени года,
характера трудового процесса и характера производственного помещения (см
таблицу 10.1) [13].
Объем помещений, в которых размещены работники вычислительных
центров, не должен быть меньше 20м3/человека с учетом максимального
числа одновременно работающих в смену. Нормы подачи свежего воздуха в
помещения, где расположены компьютеры, приведены в табл.10.2.
Таблица 10.1 - Параметры микроклимата для помещений, в
которых установлены компьютеры
|
Период года
|
Параметр
микроклимата
|
Величина
|
|
Холодный
|
Температура
воздуха в помещении
|
22 - 24 ̊ С
|
|
Относительная
влажность
|
40 - 60 %
|
|
Скорость
движения воздуха
|
до 0,1 м/с
|
|
Теплый
|
Температура
воздуха в помещении
|
23 - 25 ̊ С
|
|
Относительная
влажность
|
40 - 60 %
|
|
Скорость
движения воздуха
|
0,1 - 0,2 м/с
|
Объем помещений, в которых размещены работники вычислительных
центров, не должен быть меньше 20м3/человека с учетом максимального
числа одновременно работающих в смену. Нормы подачи свежего воздуха в
помещения, где расположены компьютеры, приведены в табл.10.2 [13].
Таблица 10.2 - Нормы подачи свежего воздуха в помещения, где
расположены компьютеры
|
Характеристика
помещения
|
Объёмный расход
подаваемого в помещение свежего воздуха, м3 на одного человека в
час
|
|
Объём до 20м3
на человека
|
Не менее 30
|
|
20-40м3 на
человека
|
Не менее 20
|
|
Более 40 м3
на человека
|
Естественная
вентиляция
|
10.2.3
Шум и вибрация
Шум ухудшает условия труда оказывая вредное действие на
организм человека. Работающие в условиях длительного шумового воздействия
испытывают раздражительность, головные боли, головокружение, снижение памяти,
повышенную утомляемость, понижение аппетита, боли в ушах и т.д. Такие нарушения
в работе ряда органов и систем организма человека могут вызвать негативные
изменения в эмоциональном состоянии человека вплоть до
стрессовых. Под воздействием шума снижается концентрация
внимания, нарушаются физиологические функции, появляется усталость в связи с
повышенными энергетическими затратами и нервно-психическим напряжением,
ухудшается речевая коммутация. Все это снижает работоспособность человека и его
производительность, качество и безопасность труда. Длительное воздействие
интенсивного шума (выше 80 дБ (А)) на слух человека приводит к его частичной
или полной потере [13].
В табл.11.3 указаны предельные уровни звука в зависимости от
категории тяжести и напряженности труда, являющиеся безопасными в отношении
сохранения здоровья и работоспособности.
Таблица 10.3 - Предельные уровни звука, дБ, на рабочих местах
|
Категория
напряженности труда
|
Категория
тяжести труда
|
|
I. Лёгкая
|
II. Средняя
|
III. Тяжёлая
|
IV. Очень тяжёлая
|
|
I. Мало напряжённый
|
80
|
80
|
75
|
75
|
|
II. Умеренно напряжённый
|
70
|
70
|
65
|
65
|
|
III. Напряжённый
|
60
|
60
|
-
|
-
|
|
IV. Очень напряжённый
|
50
|
50
|
|
|
Уровень шума на рабочем месте математиков-программистов и
операторов видеоматериалов не должен превышать 50дБА, а в залах обработки
информации на вычислительных машинах - 65дБА. Для снижения уровня шума стены и
потолок помещений, где установлены компьютеры, могут быть облицованы
звукопоглощающими материалами. Уровень вибрации в помещениях вычислительных
центров может быть снижен путем установка специальных виброизоляторов на
оборудование.
10.2.4
Электромагнитное и ионизирующее излучения
Большинство ученых считают, что как кратковременное, так и
длительное воздействие всех видов излучения от экрана монитора не опасно для
здоровья персонала, обслуживающего компьютеры. Однако исчерпывающих данных
относительно опасности воздействия излучения от мониторов на работающих с компьютерами не
существует и исследования в этом направлении продолжаются [13].
Допустимые значения параметров неионизирующих
электромагнитных излучений от монитора компьютера представлены в табл.10.4.
Максимальный уровень рентгеновского излучения на рабочем месте оператора
компьютера обычно не превышает 10мкбэр/ч, а интенсивность ультрафиолетового и
инфракрасного излучений от экрана монитора лежит в пределах 10 - 100мВт/м2.
Таблица 10.4 - Допустимые значения параметров неионизирующих
электромагнитных излучений (в соответствии с СанПиН 2.2.2.542-96)
|
Наименование
параметра
|
Допустимые
значения
|
|
Напряжённость
электрической составляющей электромагнитного поля на расстоянии 50см от
поверхности видеомонитора
|
10В/м
|
|
Напряженность
магнитной составляющей электромагнитного поля на расстоянии 50см от
поверхности видеомонитора
|
0,3А/м
|
|
Напряжённость
электростатического поля не должна превышать
|
|
|
для взрослых
пользователей
|
20кВ/м
|
|
для детей
дошкольных учреждений и учащихся средних специальных и высших учебных
заведений
|
15кВ/м
|
Для снижения воздействия этих видов излучения рекомендуется
применять мониторы с пониженным уровнем излучения (MPR-II, TCO-92, TCO-99),
устанавливать защитные экраны, а также соблюдать регламентированные режимы
труда и отдыха.
10.2.5
Эргономические требования к рабочему месту
Проектирование рабочих мест, снабженных видеотерминалами,
относится к числу важных проблем эргономического проектирования в области
вычислительной техники. Рабочее место и взаимное расположение всех его
элементов должно соответствовать антропометрическим, физическим и
психологическим требованиям. Большое значение имеет также характер работы. В
частности, при организации рабочего места программиста должны быть соблюдены
следующие основные условия: оптимальное размещение оборудования, входящего в
состав рабочего места и достаточное рабочее пространство, позволяющее
осуществлять все необходимые движения и перемещения.
Эргономическими аспектами проектирования видеотерминальных
рабочих мест, в частности, являются: высота рабочей поверхности, размеры
пространства для ног, требования к расположению документов на рабочем месте
(наличие и размеры подставки для документов, возможность различного размещения
документов, расстояние от глаз пользователя до экрана, документа, клавиатуры и
т.д.), характеристики рабочего кресла, требования к поверхности рабочего стола,
регулируемость элементов рабочего места [14].
Главными элементами рабочего места программиста являются стол
и кресло. Основным рабочим положением является положение сидя.
Рабочая поза сидя вызывает минимальное утомление
программиста. Рациональная планировка рабочего места предусматривает четкий
порядок и постоянство размещения предметов, средств труда и документации. То,
что требуется для выполнения работ чаще, расположено в зоне легкой досягаемости
рабочего пространства.
Для комфортной работы стол должен удовлетворять следующим
условиям [14]:
а) высота стола должна быть выбрана с учетом возможности
сидеть свободно, в удобной позе, при необходимости опираясь на подлокотники;
б) нижняя часть стола должна быть сконструирована так, чтобы
программист мог удобно сидеть, не был вынужден поджимать ноги;
в) поверхность стола должна обладать свойствами, исключающими
появление бликов в поле зрения программиста;
г) конструкция стола должна предусматривать наличие выдвижных
ящиков (не менее 3 для хранения документации, листингов, канцелярских
принадлежностей).
д) высота рабочей поверхности рекомендуется в пределах
680-760мм.
Высота поверхности, на которую устанавливается клавиатура,
должна быть около 650мм. Большое значение придается характеристикам рабочего
кресла. Так, рекомендуемая высота сиденья над уровнем пола находится в пределах
420-550мм. Поверхность сиденья мягкая, передний край закругленный, а угол
наклона спинки - регулируемый. Необходимо предусматривать при проектировании
возможность различного размещения документов: сбоку от видеотерминала, между
монитором и клавиатурой и т.п. Кроме того, в случаях, когда видеотерминал имеет
низкое качество изображения, например заметны мелькания, расстояние от глаз до
экрана делают больше (около 700мм), чем расстояние от глаза до документа
(300-450мм). Вообще при высоком качестве изображения на видеотерминале
расстояние от глаз пользователя до экрана, документа и клавиатуры может быть
равным.
Положение экрана определяется:
расстоянием считывания (0,6.0,7м);
углом считывания, направлением взгляда на 20° ниже
горизонтали к центру экрана, причем экран перпендикулярен этому направлению.
Должна также предусматриваться возможность регулирования экрана:
по высоте +3 см;
по наклону от - 10° до +20° относительно вертикали;
в левом и правом направлениях.
Создание благоприятных условий труда и правильное
эстетическое оформление рабочих мест на производстве имеет большое значение как
для облегчения труда, так и для повышения его привлекательности, положительно
влияющей на производительность труда.
10.2.6
Режим труда
При работе с персональным компьютером очень важную роль
играет соблюдение правильного режима труда и отдыха. В противном случае у
персонала отмечаются значительное напряжение зрительного аппарата с появлением
жалоб на неудовлетворенность работой, головные боли, раздражительность,
нарушение сна, усталость и болезненные ощущения в глазах, в пояснице, в области
шеи и руках [13].
В табл.10.5 представлены сведения о регламентированных
перерывах, которые необходимо делать при работе на компьютере, в зависимости от
продолжительности рабочей смены, видов и категорий трудовой деятельности с
ВДТ (видеодисплейный терминал) и ПЭВМ (в соответствии с
СанПиН 2.2.2 542-96 "Гигиенические требования к видеодисплейным
терминалам, персональным электронно-вычислительным машинам и организации
работ").
Таблица 10.5 - Время регламентированных перерывов при работе
на компьютере
Уровень
нагрузки за рабочую смену при видах работы с ВДТ
|
Суммарное время
регламентированных перерывов, мин
|
|
Группа А,
количество знаков
|
Группа Б,
количество знаков
|
Группа В, часов
|
При 8-часовой
смене
|
При 12-часовой
смене
|
|
I
|
до 20000
|
до 15000
|
I
|
30
|
70
|
|
II
|
до 40000
|
до 30000
|
II
|
50
|
90
|
|
III
|
до 60000
|
до 40000
|
III
|
70
|
120
|
Примечание. Время перерывов дано при соблюдении указанных
Санитарных правил и норм. При несоответствии фактических условий труда
требованиям Санитарных правил и норм время регламентированных перерывов следует
увеличить на 30%. В соответствии со СанПиН 2.2.2 546-96 все виды трудовой деятельности,
связанные с использованием компьютера, разделяются на три группы:
а) группа А: работа по считыванию информации с экрана ВДТ или
ПЭВМ с
предварительным запросом;
б) группа Б: работа по вводу информации;
в) группа В: творческая работа в режиме диалога с ЭВМ.
10.3 Расчёт системы защитного заземления
Заземлением называется преднамеренное электрическое
соединение металлических нетоковедущих частей, которые могут случайно оказаться
под напряжением, с заземляющим устройством.
Заземляющим устройством называется совокупность заземлителя и
заземляющих проводников, соединяющих заземляющие части электроустановки с
заземлителем. Заземление бывает выносным, сосредоточенным или контурным.
Заземление выполняется в виде нескольких вертикальных металлических стержневых
заземлителей, погружённых в землю на определённую глубину и соединённых между
собой горизонтальным электродом [16].
Задачей расчёта системы защитного заземления является
определение количества трубчатых заземлителей для определённого типа грунта.
Тип грунта - глина.
Количество заземлителей (n) рассчитывается по формуле
где Ro - сопротивление растекания одиночного трубчатого
заземлителя;
η - коэффициент
использования заземлителей;
Rдоп - допустимое сопротивление.
Сопротивление растекания одиночного трубчатого заземлителя
рассчитывается по формуле
где 
- удельное расчётное сопротивление грунта, Ом*м;
L - длина стержня, м;
d - диаметр стержня, м;
H - глубина погружения, м.
Длину стержня примем равной 3м, диаметр 0,05м, глубину погружения
2,3м.
Удельное расчётное сопротивление грунта вычисляется по формуле
где f - коэффициент сезонности;
r - удельное сопротивление грунта.
Коэффициент сезонности примем равным 1,7, удельное сопротивление
глины 40 Ом.
Подставим данные в формулы (10.1), (10.2) и выполним расчёт
Для коэффициента использования η=6 и допустимого сопротивления 4 Ом
количество заземлителей будет равно
Определим длину соединительной полосы по формуле
где n - количество заземлителей;
a - расстояние между заземлителями, м.
Примем а=3м
L=3* (8-1) =27 (м).
Рассчитаем сопротивление соединительной полосы
Рассчитаем результирующее сопротивление
Таким образом, в ходе выполнения расчётов было установлено, что
для глиняного грунта требуется 8 заземлительных стержней, при этом
результирующее сопротивление заземляющего устройства не превышает допустимого:
0,79Ом ≤ 4Ом.
11.
Безопасность в чрезвычайных ситуациях. Выявление и оценка радиационной
обстановки в лаборатории при загрязнении радиоактивными веществами после аварии
на АЭС
11.1 Вводная часть
Среди потенциально опасных производств особое место занимают
радиационно-опасные объекты (РОО). Они представляют собой особую опасность для
людей и окружающей среды и требуют постоянного контроля за их работой и
защитой. Особенностью является то, что человек может определить наличие
загрязнения среды только специальными приборами.
К радиационно-опасным объектам относятся:
) атомные электростанции (АЭС);
) предприятия по производству и переработке ядерного топлива;
) научно-исследовательские и проектные организации, связанные
с ядерными реакторами;
) ядерные энергетические установки на транспорте.
На территории Украины работают 4 атомных электростанций с 15
энергетическими ядерными реакторами, которые дают около 52% электроэнергии,
вырабатываемой в стране. Для проведения исследовательских работ функционируют 2
ядерных реактора. В Украине работают более 8 тысяч предприятий и организаций,
которые используют различные радиоактивные вещества, а также хранят и
перерабатывают радиоактивные отходы.
Развитие отечественной ядерной энергетики ведется на основе
строительства реакторов на тепловых нейтронах, позволяющих использовать в
качестве топлива слабообогащенный природный уран (U-238).
К таким реакторам относятся:
) реакторы большой мощности, канальные (РБМК-1000,
РБМК-1500), замедлителем в нем служит графит, а теплоносителем - кипящая вода,
циркулирующая снизу вверх по вертикальным каналам, проходящим через активную
зону. Он размещается в наземной шахте и содержит 192 т. слабообогащенной
двуокиси урана-238, а под ним находится железобетонный бункер для сбора
радиоактивных отходов при работе реактора;
) водоводяные энергетические реакторы (ВВЭР-600, ВВЭР-1000),
в которых вода служит одновременно теплоносителем и замедлителем.
При аварии на АЭС с выбросом радионуклидов необходимо быстро
выявить радиационную обстановку методом прогнозирования, а затем уточнить ее по
данным разведки.
Оценку радиационной обстановки произведем методом
прогнозирования.
При авариях на АЭС выделяются 5 зон радиоактивного
загрязнения. Зона радиационной опасности (М) - представляет собой участок
загрязненной местности, в пределах которой доза излучения на открытой местности
может составлять от 5 до 50 рад. в год. На внешней границе этой зоны уровень
радиации через 1 час после аварии составляет 0,014 рад/час.
Рисунок 11.1 - Зоны радиоактивного заражения
В пределах зоны "М" целесообразно ограничить
пребывание людей, не привлекаемых непосредственно к работам по ликвидации
последствий радиационной аварии.
При ликвидации аварии в зоне "М" и во всех других
зонах должны выполняться основные мероприятия: радиационный и дозиметрический
контроль, защита органов дыхания, профилактический прием йодсодержащих
препаратов, санитарная обработка людей, дезактивация обмундирования и техники.
Зона умеренного загрязнения (А) - представляет собой участок
загрязненной местности, в пределах которой доза излучения может составлять от
50 до 500 рад в год. На внешней границе этой зоны уровень радиации через 1 час
после аварии составляет 0,14 рад/час. Действия формирований в зоне
"А" необходимо осуществлять в защитной технике с обязательной защитой
органов дыхания.
В зоне сильного загрязнения (Б) - доза излучения составляет
от 500 до 1500 рад в год. На внешней границе этой зоны уровень радиации через 1
час после аварии составляет 1,4 рад/час. Действия формирований необходимо
осуществлять в защитной технике с размещением в защитных сооружениях.
В зоне опасного загрязнения (В) - доза излучения составляет
от 1500 до 5000 рад в год. На внешней границе этой зоны уровень радиации через
1 час после аварии составляет 4,2 рад/час. Действия формирований возможно
только в сильно защищенных объектах и технике. Время нахождения в зоне -
несколько часов.
В зоне чрезвычайного опасного загрязнения (Г) - доза
излучения может составлять больше 5000 рад в год. На внешней границе этой зоны
уровень радиации через 1 час после аварии составляет 14 рад/час. В зоне нельзя
находиться даже кратковременно.
Оценка радиационной обстановки при аварии на АЭС сводится к
определению методом прогноза доз излучения и выработке оптимальных режимов
деятельности людей при нахождении их в прогнозируемой зоне загрязнения.
При расчетах необходимо руководствоваться допустимой дозой
облучения, установленной для различных категорий населения, оказавшегося в зоне
радиоактивного загрязнения при аварии на АЭС:
а) население, рабочие и служащие, не привлекаемые в мирное
время к работе с радиоактивными веществами - 1 мЗв в год.
б) население, рабочие и служащие, персонал, привлекаемые в
мирное время к работе с радиоактивными веществами - 2 мЗв в год.
в) постоянно работающие с ионизирующим излучением - 20 мЗв в
год.
11.2 Расчетная часть
Расчетная часть выполнена по методике, изложенной в
методических указаниях [18] для следующих данных:
Таблица 11.1 - Исходные данные для решения задачи по оценке
обстановки при аварии на АЭС (тип реактора - РБМК-1000)
|
№ варианта
|
T аварии
|
TНАЧ. работы
|
Начало работы
после аварии
|
Продолжит. Т рАБ
|
Количество
авар. реакторов
|
Доля выброса
РВ, %
|
KОСЛ
|
Скорость ветра,
м/с
|
Rx, км
|
ДУСТ,
рад.
|
Облачность
|
|
18
|
14,00
|
16,00
|
2
|
12
|
1
|
50
|
5
|
5
|
40,0
|
1,0
|
4
|
По таблице 1 определяем категорию устойчивости атмосферы,
соответствующую погодным условиям и заданному времени суток. По условию:
облачность средняя (5б.), скорость приземного ветра V10 = 5 м/с. Согласно
таблице 1 категория устойчивости D (изотермия).
По таблице 2 определяем среднюю скорость ветра Vср в слое распространения
радиоактивного облака. Согласно таблицы для категории устойчивости D и скорость приземного
ветра V10 = 5 м/с средняя скорость ветра Vср = 5 м/с.
По таблице 4 для заданного типа ЯЭР (РБМК-1000), доли
выброшенных РВ (h = 50%) и Vср= 5 м/с определяем размеры прогнозируемых зон загрязнения
местности и наносим их в масштабе в виде правильных эллипсов.
Рисунок 11.2 - Зоны радиоактивного заражения с определённым
расстоянием
Исходя из заданного расстояния от объекта (Rх = 40 км.) до аварийного
реактора с учетом образующихся зон загрязнения устанавливаем, что объект
оказался на внешней границе зоны "Б".
По таблице 7 определяем время начала формирования следа
радиоактивного загрязнения (tф) после аварии (время начала выпадения радиоактивных осадков
на территории объекта).
Для Rх=40 км., категории устойчивости D и средней скорости ветра
Vср=5 м/с, tф=2 часа.
Следовательно, объект через tф = 2 часа после аварии
окажется в зоне загрязнения, что потребует дополнительных мер по защите рабочих
и служащих.
По таблице 10 для зоны загрязнения "Б" с учетом
времени начала работы после аварии (Тнач = 2 часа) и продолжительности работы
(Траб = 12 часов) определяем дозу облучения, которую получат рабочие и служащие
объекта при открытом расположении в середине зоны "Б". Согласно
таблице, Dзоны
=17,1 рад. Расчет дозы с учетом внутренней границы производим по формуле:
Д обл = Дзоны - для внешней границы зоны (11.1)
Косл х К зоны.
Кзоны для внешней границы зоны будет равен 1,7.
Для нашего примера:
Dзоны = 17,1рад, Косл = 5 (по исходным данным) Кзоны = 1,7.
Расчет показывает, что рабочие и учащиеся университета за 12 часов
работы в зоне "Б" могут получить установленную дозу (Dуст = 1 рад).
Используя данные таблицы 10 и формулу (11.1), определяем
допустимое время начала работы рабочих служащих объекта после аварии на АЭС при
условии получения дозы не более Dуст. = 1 рад
(по условию) по формуле:
Д’з = Дуст. х Косл. х Кз (11.2)
Таблица 11.2 - Расчетные данные
|
№ вар.
|
Категория
устойчивости атмосферы
|
Vср м/с
|
Зона, место в
зоне
|
tф
|
Dз
|
Dобл
|
D’з
|
Режимы Дано: 1)
Тнач; D’з 2) Траб; D’з Опред: 1) tраб? 2) tнач?
|
|
18
|
D
|
5
|
Б, внешняя
граница
|
2
|
17,1
|
2
|
8,5
|
при D’з= 5 рад и Tнач=2 ч → tраб=2,5 ч
Траб=12ч →tнач= 2 суток
|
Выводы:
Университет окажется на внешней границе зоны сильного
загрязнения (зона Б). Время начала формирования радиоактивного следа после
аварии составит tф=2часа
Согласно Dз = 8,5 рад и Траб = 12 часов по таблице 10 находим Тнач = 2
суток, т.е. можно начинать работу только через 2 суток после аварии на АЭС и
работать полную смену (Траб = 12 часов).
По исходным данным необходимо начать работу после аварии
через 2 часа (Тнач = 16 часов). Следовательно, по таблице 10 и времени Тнач=2
часа и рассчитанной дозе Dз = 8,5 рад с учетом Dуст = 1, находим продолжительность
работы Траб = 5 час.
Следовательно, рабочие и учащиеся университета, чтобы
получить дозу не выше установленной (1 рад), могут начинать работу в зоне
"Б" через 2 часа (Тнач) и выполнять ее 5 часов или при начале работы
через 2 суток могут работать только 12 часов.
11.3 Мероприятия по защите сотрудников и учащихся университета
1. После получения оповещения о движении радиоактивною
облака установить в университете непрерывное радиационное наблюдение с
переносными или стационарными дозиметрическими приборами.
2. При прохождении радиоактивного облака сотрудников
лаборатории укрыть в убежище или ПРУ.
. По данным разведки уточнить прогнозируемую
радиационную обстановку.
. При уровнях радиации (Р > 5 мР/ч) на открытой
местности сотрудники университета должны находиться в респираторах или
противогазах.
. Во избежание переоблучения сотрудникам офиса
необходимо организовать сменную работу (вахту) с учетом допустимой дозы.
. Для исключения заноса радиоактивных веществ внутрь
помещений необходимо загерметизировать их, а при наличии фильтровентиляционных
установок включить их в режиме "чистой вентиляции".
. После выпадения радиоактивных осадков и снижения
загрязненности территории произвести дезактивационные работы с последующим
контролем степени загрязненности.
. При больших уровнях загрязненности и невозможности
работы сотрудников необходимо эвакуировать в незагрязненные районы.
Заключение
В результате выполнения данного дипломного проекта была
спроектирована и разработана программно-аппаратная система адаптивного
аналого-цифрового преобразования на базе однокристального микроконтроллера. Был
проведён системный анализ данной системы. Система была рассмотрена в
соответствии с принципами системного подхода. С помощью метода анализа иерархий
было установлено, что предпочтительнее реализовать систему на базе
аналого-цифрового преобразователя с сигма-дельта архитектурой. Для
спроектированной схемы была разработана программа на языке программирования
высокого уровня С. Программа была успешно прошита в память микроконтроллера и
показала корректные результаты при выполнении всех тестовых примеров. Также
было выполнено технико-экономическое обоснование системы. Проведя экономические
расчёты, можно сделать вывод, что инвестирование в реализацию данной системы
может принести прибыль, однако вложения будут рисковыми. Также был проведён
анализ условий труда разработчика, определены требования к производственному
помещению. Была выполнена оценка радиационной обстановки в случае аварии на
атомной электростанции, были предложены мероприятия по защите сотрудников и
учащихся университета.
Перечень
ссылок
1. Технология
VoIP: самые популярные вопросы и ответы. - Режим доступа:
<http://www.thg.ru/network/voip_faq/index.html>, свободный - Загл. с
экрана. - 21.02.2012
. Методы преобразования
и передачи звуковых сигналов. - Режим доступа: http://noc. kspu.
kr.ua/Doc/Admin/stavropol/sound_24. htm
<http://noc.kspu.kr.ua/Doc/Admin/stavropol/sound_24.htm>, свободный -
Загл. с экрана. - 15.03.2012
.
Аналого-цифровые преобразователи. - Режим доступа: http://www.gaw.ru/html.
cgi/txt/doc/adc/ adc_1. htm, свободный - Загл. с экрана. - 15.03.2012
. Вопросы
повышения точности АЦП в системах контроля показателей качества электроэнергии
[Текст] / А.М. Иоффе [и др.] // Молодой ученый. - 2011. - №12. Т.1. - С.24-27.
- Режим доступа: <http://www.moluch.ru/archive/35/4034/>, свободный -
Загл. с экрана. - 15.03.2012
. Алгоритм
адаптивной обработки для сигма-дельта-АЦП на основе метода кодирования
Лемпеля-Зива-Велча [Текст] / К.Ю. Пискаев, В.С. Подшивалов // Молодой ученый. -
2011. - №9. - С.48-53. - Режим доступа:
<http://www.moluch.ru/archive/32/3642/>, свободный - Загл. с экрана. -
15.03.2012
.
Микроконтроллеры AVR семейства Mega. Руководство пользователя. - М.:
Издательский дом "Додэка-XXI", 2007. - 592.: ил. (Серия
"Программируемые системы") / А.В. Евстифеев.
.
Аналого-цифровое преобразование для начинающих. - Режим доступа:
<http://habrahabr.ru/blogs/easyelectronics/125029/>, свободный - Загл. с
экрана. - 15.03.2012
. Методические
указания „Процедура системного анализа при проектировании программных систем”
для студентов-дипломников дневной и заочной формы обучения специальности
7.091501/Сост. Сергеев Г.Г., Скатков А.В., Мащенко Е.Н. - Севастополь: Изд-во
СевНТУ, 2005. - 32c.
. Методические
указания к расчетно-графическому заданию на тему "Метод анализа
иерархий" по дисциплине "Теория оптимальных решений" для
студентов специальности 7.091501 "Компьютерные системы и сети"
дневной и заочной форм обучения. / Сост. Ю.Н. Щепин - Севастополь, Изд-во
СевНТУ, 2008. - 28 c.
. Методические
указания к выполнению курсовой работы по дисциплине "Основы менеджмента и
маркетинга" для студентов специальностей 8.091501, 8.091401, 8.080401 всех
форм обучения / Сост. Г.А. Раздобреева, Е.В. Коваль, Т.В. Кулешова, Л.И. Андреева.
- Севастополь: Изд-во СевНТУ, 2005. - 24с.
. Методические
указания к выполнению лабораторной работы "Исследование производственного
освещения" для студентов всех специальностей дневной и заочной форм
обучения / Сост.А. А. Никитин, Е.В. Добровольская - Севастополь: Изд-во СевНТУ,
2008. - 20с.
. Расчёт
количества светильников методом коэффициента использования - Режим доступа:
http://www.ltcompany.com/UserFiles/LT_Table. pdf
<http://www.ltcompany.com/UserFiles/LT_Table.pdf>, свободный - Загл. с
экрана. - 10.05.2012
. Безопасность
жизнедеятельности. /Под ред. Н.А. Белова - М.: Знание, 2000 - 364с.
. Основы
эргономики. /Зинченко В.П. - М.: МГУ, 1979. - 179с.
. Борьба с шумом
на производстве: Справочник / Е.Я. Юдин, Л.А. Борисов; Под общ. ред.Е.Я. Юдина
- М.: Машиностроение, 1985. - 400с., ил.
. Сборник
лабораторно-практических работ по курсу "Охрана труда" / Севастополь:
Изд-во СевНТУ, 1998. - 92с.
. Самгин Э.Б.
Освещение рабочих мест. - М.: МИРЭА, 1989. - 186с.
. Методические
указания к расчетно-графической работе "Выявление и оценка радиационной
обстановки на объекте при загрязнении радиоактивными веществами после аварии на
атомной электростанции " по дисциплине "Гражданская оборона" -
Севастополь: Изд-во СевНТУ, 2011. - 24с.
Приложения
Приложение
А. Текст программы
short buffer;
char voltage [4];i;v;result;resInVolts
[14];res;d=100;main ()
{_Init ();_Init (19200);(1)
{(i = 0; i < 4; i++)
{[i] = SPI1_Read (buffer);(i == 0) voltage [i]
&= 0x1F;
}= (
(voltage [0] & 0x1F) << 19) | (voltage [1] << 11) | (voltage
[2] << 3) | (voltage [3] >> 5);= (v / 0xFFFFFF) * 5;=round
(result,3);[j] =result;(abs (resStorage [1] - resStorage [0]) >0,15) {=50;
}{(result,
resInVolts);_Write_Text (resInVolts);_ms (d);=1; }
}
}