Проектирование сети беспроводной связи WiMAX стандарта IEEE 802.16e для сельского населенного пункта

  • Вид работы:
    Дипломная (ВКР)
  • Предмет:
    Информатика, ВТ, телекоммуникации
  • Язык:
    Русский
    ,
    Формат файла:
    MS Word
    1,86 Мб
  • Опубликовано:
    2012-06-21
Вы можете узнать стоимость помощи в написании студенческой работы.
Помощь в написании работы, которую точно примут!

Проектирование сети беспроводной связи WiMAX стандарта IEEE 802.16e для сельского населенного пункта

Оглавление

Введение

1. Основные характеристики стандарта WiMAX

1.1 Особенности стандарта IEEE 802.16e

.2 Частотные диапазоны стандарта IEEE 802.16

.3 Физический уровень

.4 МАС - уровень

.5 Архитектура построения сети WiMAX

.5.1 Базовая модель сети

.5.2 Стеки и интерфейсы

. Методы планирования сетей WiMAX

.1 Принципы построение сетей WiMAX в посёлке городского типа

.2 Методы ослабления соканальных помех

.2.1 Увеличение количества сот в кластере

.2.2 Использование секторных антенн

.2.3 Комбинированное планирование сот

.3 Характеристика канала связи

.4 Модель COST-231 Hata

. Выбор аппаратуры и планирование сети

.1 Выбор аппаратуры и расчет сети

.2 Расчёт трассы сети WiMAX

.3 Расчёт пропускной способности сети WiMAX

4. ТЕХНИКО-ЭКОНОМИЧЕСКИЕ РАСЧЕТЫ

4.1 Расчет капитальных вложений

.2 Расчет эксплуатационных расходов

.2.1 Фонд оплаты труда

.3 Расчет годовых доходов

.4 Расчет прибыли

.5 Расчет срока окупаемости

.6 Анализ технико-экономических показателей

5. МЕРОПРИЯТИЯ ПО ОХРАНЕ ТРУДА И ПОЖАРНОЙ БЕЗОПАСНОСТИ

5.1 Характеристика объекта проектирования и условий его эксплуатации

.2 Мероприятия по технике безопасности

.3 Мероприятия по пожарной профилактике

.4 Выводы

ЗАКЛЮЧЕНИЕ

ПРИЛОЖЕНИЕ

ЛИТЕРАТУРА

ВВЕДЕНИЕ

Темой дипломного проекта является проектирование сети беспроводной связи WiMAX стандарта IEEE 802.16e для сельского населенного пункта.

Системы беспроводной передачи информации существует столько же, сколько и сама человеческая цивилизация. Однако, в последние 15-20 лет развиваются чрезвычайно интенсивно, став одним из основных направлений развития телекоммуникационной индустрии.

Миграция телекоммуникационных технологий происходит в двух основных направлениях:

         от речевых услуг конечному пользователю к передаче скоростных потоков данных, которая в свою очередь уже делится на целый комплекс различных сервисов, включающих и речь, и данные, и видео.

         от неподвижных пользователей к кочующим и мобильным, что может обеспечить только беспроводная связь.

Технология WiMAX, аккумулировала в себя достижения не только более простых технологий беспроводного доступа (Wi-Fi), но и технологии сотовых сетей 3-го поколения. Из Wi-Fi в WiMAX перешла технология ОЧР, позволяющая получить высокие скорости передачи в радиоканале, без заметной межсимвольной интерференции. Как и в стандартах сотовой связи, таких как UMTS, CDMA-2000, в WiMAX используют самые современные методы избыточного кодирования и повторную передачу непринятых пакетов. Вместе с тем, в отличие от сотовых сетей, спецификации WiMAX не описывают структуру сети, что усложняет организацию роуминга и возможности получения услуг в сетях WiMAX других операторов.

Стандарт 802.16d обеспечивает фиксированный беспроводной доступ как в зоне прямой видимости между антеннами базовой и абонентской станций, так и вне ее. В этой версии используется метод модуляции посредством ортогональных несущих (OFDM). В пределах прямой видимости оборудование может работать в диапазонах частот 10-66 ГГц, вне прямой видимости требуются частоты ниже 11 ГГц.

В спецификациях WiMAX Forum, описывающих сертификационные профили для испытаний на совместимость оборудования разных производителей, указаны частотные диапазоны 3,5 и 5,8 ГГц. Первое сертифицированное оборудование WiMAX появилось в конце 2005 г. Сейчас производители активно разрабатывают абонентские устройства в комнатном и уличном исполнении, а также PCMCIA-карты для портативных компьютеров.

Стандарт 802.16e, являющийся, по сути, модернизацией предыдущей версии, нацелен на мобильных пользователей. Он поддерживает функции хэндовера и роуминга и рассчитан на применение в диапазонах частот ниже 6 ГГц, а одно из его главных достоинств - отсутствие требования прямой видимости для связи.

Начиная с 2007-2008 г., сети WiMAX активно развиваются в США, Японии, Европейском континенте и в Юго-Восточной Азии. Между операторами сетей WiMAX и операторами сети 3G идет довольно острая конкурентная борьба, где рынок услуг достаточно насыщен средствами связи, однако в государствах, где инфраструктура кабельной сети и развертывание сотовых сетей 3G требует неоправданно больше затрат, развертывание сетей WiMAX, может создать экономически выгодный высокоскоростной радиодоступ. В этой связи представляется весьма актуальным развертывание в Туркменистане 1-ступени сетей WiMAX в средних населенных пунктах, например - в посёлке Халач. В этой связи требуется определение возможности покрытия зоны, расчёта пропускной способности в отдельных сотах, с тем, чтобы перейти к планированию самой сети. Этим вопросам посвящен данный дипломный проект.

Дипломный проект состоит из 5 глав и приложения. Рассматриваются характеристики и методы планирования сетей стандарта WiMAX, произведены расчеты покрытия зон и пропускной способности сети. Рассмотрены требования к технике безопасности при развертывании сети WiMAX.

Приложение содержит карту поселка Халач, на которой отмечены места расположения базовой станции.

1.      ОСНОВНЫЕ ХАРАКТЕРИСТИКИ СТАНДАРТА WiMAX

1.1    Особенности стандарта IEEE 802.16e

В 2004 году появился стандарт беспроводного широкополосного доступа IEEE 802.16-2004 [1]. Тогда казалось, что мир вот-вот шагнет в новую реальность, где пользователю практически в любой точке Земли будут доступны средства высокоскоростного информационного обмена, от передачи данных до телефонной связи и телевидения. Но вскоре выяснилось, что стандарт - это еще не все. Необходимо выделение частотного ресурса, построение инфраструктуры сетей, немалые усилия по интеграции уже существующих услуг, в конце концов, привлечение к новой технологии создателей контента для конечных пользователей. Однако главная проблема заключалось в том, что стандарт IEEE 802.16-2004 был ориентирован на фиксированный доступ: местоположения абонента определялось раз и навсегда. А в 21 веке это уже воспринимается как анахронизм.

Изменить ситуацию был призван утвержденный в конце 2005 года документ IEEE Std 802.16е-2005 (опубликован 28 февраля 2006 года), который называют «стандартом IEEE 802.16е». Такое наименование не совсем точно, поскольку IEEE 802.16е - это набор исправлений существующего стандарта 802.16-2004 и дополнения «Физический и МАС-уровни для совместной мобильной и фиксированной работы в лицензируемых диапазонах» [2]. Именно эти «дополнения» (из-за которых стандарт IEEE 802.16е называют «мобильный WiMAX») и открывают путь стандарту 802.16 в безграничный мир мобильных приложений. В результате он становится серьезным конкурентом технологий сотовой связи третьего и последующих поколений, равно как и других перспективных технологий беспроводного доступа.

Что же предлагает новый стандарт IEEE 802.16е? Понятие «мобильность» относят к двум категориям абонентов - к так называемым номадическим («кочующим») и к собственно подвижным. Номадические абоненты могут перемещаться в пределах действия сети, но в момент сеансов связи они локализованы (находятся в зоне одного и того же сегмента базовой станции) - например, пользователи ноутбуков, которые могут включить их дома, в офисе, на скамейке в парке и т.п. Подвижные абоненты должны иметь доступ к сети непосредственно в процессе движения (тот же пользователь с ноутбуком в движущемся автомобиле). Если для номадических абонентов важна быстрая регистрация в любой точке сети (в идеале - сети любого провайдера), то обеспечить подлинную подвижность гораздо сложнее. Прежде всего, необходимы процедуры передачи абонента от одной базовой станции (БС) к другой (или между различными сегментами одной БС) так, чтобы сам абонент этого не ощущал. Это функции так называемой эстафетной передачи (хэндовера).

Кроме того, мобильность абонентов диктует совершенно иные требования к управлению ресурсами сети и к возможности их оперативного перераспределения. Ужесточаются и требования к вторичному использованию частотного ресурса сети. Именно поэтому в новой редакции стандарта значительное внимание уделено возможности пропорционального уменьшения частотной полосы канала, а также технологиям многоканальных антенных систем (MIMO). Для мобильных устройств очень важно снизить энергопотребление, чему способствуют специальные режимы и процедуры нового стандарта.

Помимо собственно мобильности особое внимание IEEE 802.16е уделяет проблемам качества предоставляемых услуг (QoS). Ведь IEEE 802.16 рассматривается как стандарт для предоставления услуг операторского класса, в том числе и для мобильных абонентов. Поэтому вопрос QoS для этой технологии играет первостепенную роль.

Нужно уточнить, что в данной работе под термином WiMAX будем подразумевать стандарт IEEE 802.16e.

1.2 Частотные диапазоны стандарта IEEE 802.16

В стандарте 802.16 предусмотрена работа в диапазонах 2…11 ГГц и 10-66 ГГц. В диапазоне 10-66 ГГц радиосвязь возможна лишь в случае прямой видимости между фиксированными точками. Характеристики стандарта приведены в табл. 1.1.

Таблица 1.1.

Стандарт

Принят мм.гггг

Полосы частот, ГГц

Моб.

Схема передачи

Скорости передачи

Ширина Канала, МГц

802.16

12.2001

11 - 66

нет

Одна несущая

32 - 134,4 Мбит/с

20, 25, 28

802.16-2004

06.2004

2 - 11

нет

Одна несущая или 256, или 2048 OFDM

1 - 75  Мбит/с

1,75; 3,5; 7; 14; 1,25; 5; 10; 15; 8,75

802.16-е

12.2005

2 - 11 ( фикс.) 2 -6(моб)

есть

Одна несущая  или 256, или  128, 512, 1024,  2048 OFDM

1 - 75  Мбит/с

1,25; 5; 10; 20


Поскольку технология WiMAX относится к беспроводным технологиям, передачу информации осуществляют по радиоканалам, образованным между антеннами устройств, являющимися составными частями сети. При передаче излученного антенной радиосигнала за счет влияния среды меняются те или иные параметры сигнала. В результате принятый сигнал всегда отличается от переданного. Земная атмосфера для передачи электромагнитных волн является не самой лучшей средой. Радиоволны способны огибать препятствия (явление дифракции), размеры которых порядка длины волны и меньше. На рабочих частотах систем WiMAX длина волны менее 15 см, поэтому явление дифракции пренебрежимо мало. Представляют интерес два вида распространения сигнала: в условиях прямой видимости (LOS - Line of Sight) и в условиях отсутствия прямой видимости (NLOS - Non Line of Sight). В условиях городской застройки характерно отсутствие прямой видимости.

В стандарте 802.16 используют следующие технологии передачи (табл. 1.2.):

Таблица 1.2.


В табл. 1.2 введены следующие обозначения:- adaptive antenna system; адаптивная антенная система использования более, чем одной антенны на станциях для увеличения емкости сети и улучшения покрытия,- automatic repeat request; технология и используемый в ней информационный пакет, обеспечивающие повторную передачу непринятых пакетов,

HARQ - hybrid automatic repeat request; гибридная технология повторной передачи непринятых пакетов,- space/time coding; пространственно-временное кодирование.

сеть связь беспроводной wimax аппаратура

1.3 Физический уровень

В основе стандарта мобильного WiMAX IEEE 802.16e лежит технология ОЧРД (OFDMA - OFDM Access), что предоставляет возможность выделять отдельным базовым и абонентским станциям не весь, а часть канального ресурса в соответствующей полосе рабочих частот. Полный канальный ресурс (множество поднесущих частот) может быть разделен между несколькими соседними базовыми станциями, что позволяет организовывать мягкий хэндовер при перемещении абонентов от одной базовой станции к другой. По этой причине стандарт 802.16е часто называют мобильным WiMAX.

На рис. 1.1 показаны различные процессы и функциональные этапы обработки информационных сигналов на физическом уровне.

Рис. 1.1. Функциональные этапы обработки сигналов на физическом уровне.

 

Данные информацию на физическом уровне передают в виде непрерывной последовательности кадров. Каждый кадр имеет фиксированную длину (2 (2,5) … 20 мс), поэтому его информационная емкость зависит от символьной скорости и метода модуляции. Кадр состоит из преамбулы, управляющей секции и последовательности пакетов с данными. Сети IEEE 802.16 дуплексные. Возможно как частотное FDD, так и временное TDD разделение восходящего и нисходящего каналов. При временном дуплексе каналов кадр делят на нисходящий и восходящий субкадры (их соотношение может гибко менять в процессе работы в зависимости от потребностей полосы пропускания для восходящих и нисходящих каналов), разделенные специальным защитным интервалом .

Структура кадра мобильного WiMAX приведена на рис. 1.2.

Рис. 1.2. Разделение канального ресурса при временном дуплексе.

 

В стандарте 802.16е число поднесущих меняется с изменением рабочей полосы. Это позволяет сохранить, постоянным разнос частот между поднесущими и активную длину символа. Согласно спецификациям в 802.16е определены полосы в 1,25; 5; 10 и 20 МГц. (табл. 1.3). Поэтому технологию ОЧРД, используемую в 802.16е, называют SOFDMA (Scalable OFDMA) - масштабируемое ОЧРД (МОЧРД).    

Таблица1.3.

Параметр

Характеристики ОЧРД

Полоса частотного канала, МГц

1,25

5

10

20

Число поднесущих

128

512

1024

2048

Отношение Tg/Tb

1/32, 1/16, 1/8, 1/4

Расширение полосы

 28/25

Разнос поднесущих, кГц

10,94

10,94

10,94

10,94

Активная длина символа, мкс

91,4

91,4

91,4

91,4

Защитный промежуток, мкс,при Tg/Tb = 1/8

11,4

11,4

11,4

11,4

Длина OFDM символа, мкс

102,9

102,9

102,9

102,9


Частичное использование канального ресурса может быть организовано различным образом. В варианте FUSC (Full Usage of Subcarriers) для создания отдельных подканалов используют весь канальный ресурс. Один подканал состоит из 48 поднесущих, используемых для передачи данных, дополнительного числа пилотных поднесущих и защитных поднесущих, расположенных по краям частотного канала. Варианты распределения поднесущих для передачи данных и пилотных сигналов приведены в табл. 1.4 и проиллюстрированы рис.1.3.

Распределение поднесущих для передачи данных и пилотных сообщений показано на рис. 1.4. Поднесущие, формирующие один канал, могут, но необязательно быть смежными.

Таблица 1.4.

Число поднесущих

128

512

1024

2048

Число поднесущих в подканале

48

48

48

48

Число подканалов

2

8

16

32

Число поднесущих для передачи данных, Nдан

96

384

768

1536

Постоянные пилотные поднесущие

1

6

11

24

Переменные пилотные поднесущие

9

36

71

142

Защитные поднесущие (слева/справа)

11/10

43/42

87/86

173/172


Рис. 1.3. Схема размещения поднесущих в режиме FUSC.

 

Рис. 1.4. Распределение поднесущих частот.

 

При PUSC (Partial Usage of Subcarriers) минимальной канальной единицей в направлении вниз является кластер. Каждый кластер образуют 14 расположенных рядом поднесущих. Формально один кластер всегда составлен из 2-х последовательных ОЧР символов, т.е. из 28 поднесущих, где на 24 передают данные, а на 4 - пилотные сигналы (рис.1.5). Как и при FUSC, слева и справа по краям частотного находятся защитные поднесущие. Распределение поднесущих при PUSC поясняет табл. 1.5. Один подканал состоит из двух кластеров (рис. 1.5).

Рис. 1.5. Структура кластера при PUSC.

Таблица 1.5.

Полоса частотного канала, МГц

1,25

5

10

20

Число поднесущих

128

512

1024

2048

Число поднесущих в кластере

14

14

14

14

Число кластеров

6

30

60

120

Число подканалов

3

15

30

60

Поднесущие, используемые для передачи данных

72

360

720

1440

Пилотные поднесущие

12

60

120

240

Защитные поднесущие (слева/справа)

22/21

46/45

92/91

184/183


В направлении вверх при PUSC минимальной единицей канального ресурса является элемент - тайл (tile). Каждый тайл составлен из 4 поднесущих длительностью 3 ОЧР символа (рис. 1.6). На 8 поднесущих внутри элемента передают данные, 4 поднесущие используют для передачи пилотных сигналов.

Поднесущие

 





ОЧР символ 0

 





ОЧР символ 1

 





ОЧР символ 2


Пилотная поднесущая

 


Поднесущая данных

 

Рис. 1.6. Организация тайлов в направлении вверх.

 

Далее производиться разбивка на подканалы; при передаче вверх 6 тайлов образуют один подканал. Профили пакетов (burst) зависят от вида модуляции и схемы избыточного кодирования.

1.4    MAC-уровень

Физический уровень стандарта IEEE 802.16 обеспечивает непосредственную доставку потоков данных между БС и АС. Все задачи, связанные с формированием структур этих данных, а также управлением работой системы решаются на MAC (Medium Access Control) - уровне.

Оборудование стандарта IEEE 802.16 формирует транспортную среду для различных услуг (сервисов).

Первая задача, решаемая в IEEE 802.16, - это механизм поддержки разнообразных сервисов верхнего уровня. Разработчики стандарта стремились создать единый для всех приложений протокол MAC-уровня, независимо от особенностей физического канала (рис. 1.7). Это существенно упрощает связь терминалов конечных пользователей с городской сетью передачи данных.

Физически среды передачи в разных фрагментах WMAN могут быть различны, но структура данных едина. В одном канале могут работать (не единовременно) сотни различных терминалов большого числа конечных пользователей.

Этим пользователям необходимы самые разные сервисы (приложения): передача голоса и данных с временным разделением, соединения по протоколу IP, пакетная передача речи через IP (VoIP) и т.п. Качество услуг (QoS) каждого отдельного сервиса не должно изменяться при работе через сети IEEE 802.16. Алгоритмы и механизмы доступа МАС-уровня должны решать все эти задачи.

Рис. 1.7. Структура МАС-уровня стандарта IEEE 802.16.

 

Структурно МАС-уровень IEEE 802.16 разделен на три подуровня (рис. 1.7):

подуровень преобразования сервиса CS (Convergence Sublayer);

- основной подуровень CPS (Common Part Sublayer);

- подуровень защиты PS (Privacy Sublayer)

На подуровне защиты реализуют функции, обеспечивающие криптозащиту данных и механизмы аутентификации/предотвращения несанкционированного доступа. Для этого предусмотрены наборы алгоритмов криптозащиты и протокол управления ключом шифрования. Ключ каждой АС базовая станция может передавать в процессе авторизации, используя схему работы «клиент (АС) - сервер (БС)».

На подуровне преобразования сервиса происходит трансформация потоков данных протоколов верхних уровней для передачи через сети IEEE 802.16. Для каждого типа приложений верхних уровней стандарт предусматривает свой механизм преобразования. Спецификации стандарта IEEE 802.16 содержат механизмы работы в режиме АТМ и пакетной передачи. Под пакетной передачей подразумевают достаточно широкий набор различных пакетов типа IP, РРР и IEEE Std 802.3 (Ethernet).

Цель работы на CS-подуровне - оптимизация передаваемых потоков данных каждого приложения верхнего уровня с учетом их специфики. Различают 4 типа трафика по требованиям к задержкам:- Unsolicited Grant Service - передача в реальном времени сигналов и потоков телефонии (Е1) и VoIP. Допустимая задержка менее 5 - 10 мс в одном направлении при BER = 10-6… 10-4.

rtPS - Real Time Polling Service - потоки реального времени с пакетами переменной длины (MPEG видео).- Non-Real-Time Polling Service - поддержка потоков переменной длины при передаче файлов в широкополосном режиме.

BE - Best Effort - остальной трафик.

Механизм обеспечения QoS состоит в присоединении на уровне конвергенции в МАС заголовок сведений о типе передаваемого потока. Для этого используют либо 32-битовый идентификатор потока услуг SFID (Service Flow Identifier), либо CID (Connection Identifier).

Для оптимизации транслируемых потоков предусмотрен также специальный механизм удаления повторяющихся фрагментов заголовков PHS (Payload Header Suppression) АТМ ячеек и пакетов, которые восстанавливают на приемном конце.

На рис. 1.8 указаны операции, выполняемые на отдельных подуровнях уровня МАС.

Подуровень конвергенции - Упаковка PDU для нижестоящего уровня - Распаковка PDU для вышестоящего уровня

Общая часть МАС - Ввод и подавление заголовков - Режим запроса повторной передачи - Фрагментация - Установление соединения/разъединения - Управление качеством (QoS) - Многопользовательские услуги - Соединение/разъединение с сетью - Управление предоставляемой полосой частот

Подуровень безопасности - Поддержка режима шифрации (AES-CCM) - Обмен данными о переходе к шифрации - Обмен ключом авторизации - Взаимная аутентификация

Рис. 1.8. Основные операции на уровне МАС.

 

Рис. 1.9. Пакет МАС - уровня.

Сформированные пакеты данных MAС PDU (MAC Protocol Data Unit, блоки данных МАС-уровня) далее передают на физический уровень и транслируют по каналу связи. Пакет MAC PDU (рис. 1.9) включает заголовок и поле данных (его может и не быть), за которым может следовать контрольная сумма CRC (cyclic redundancy check).

Определены два формата заголовка МАС. Первый - основной заголовок МАС, с которого начинается каждый протокольный блок данных уровня MAC PDU и содержащий или сообщения управления МАС или данные CS. Второй - заголовок запроса дополнительной пропускной способности. Общий заголовок используют в пакетах, у которых присутствует поле данных. Формат основного заголовка МАС приведена на рис. 1.10.

Заголовок запроса полосы используют, когда АС обращается к БС с запросом о выделении или увеличении полосы пропускания в восходящем канале. При этом в заголовке указывают CID и размер требуемой полосы. Поле данных после заголовка запроса полосы отсутствует.

Рис. 1.10. Формат основного заголовка МАС.

 

Поля основного заголовка MAC определены в табл. 1.6.

Поля основного заголовка МАС

 

Таблица 1.6.

Поле

Длина, бит

Описание

HT

1

Указатель типа заголовка. HT=0 - заголовок общего типа HT=1 - заголовок запроса пропускной способности

EC

1

Признак шифрования поля данных. EC=0 - содержимое поля данных не шифруется EC=1 - содержимое поля данных шифруется

Type

6

Тип поля данных.

ESF

1

Указатель наличия расширенного подзаголовка.

CI

1

Признак наличия контрольной суммы CRC. CI=0 - контрольная сумма отсутствует CI=1 - контрольная сумма CRC содержится в пакете

EKS

2

Индекс ключа шифрования

Rsv

1

Rsv=0 - не используется

LEN

11

Длина в байтах пакета MAC PDU, включая МАС заголовок и контрольную сумму CRC, если она присутствует.

CID

16

Идентификатор соединения.

HCS

8

Контрольная сумма заголовка.

 

Поле данных может содержать подзаголовки МАС, управляющие сообщения и собственно данные приложений верхних уровней, преобразованные на CS-подуровне. В стандарте описано пять типов МАС - подзаголовков:

-       упаковки - используют, если поле данных одного PDU содержит несколько пакетов верхних уровней;

-       фрагментации - используют, если, напротив, один пакет верхнего уровня разбит на несколько PDU;

-       управления предоставлением канала - используется абонентской станцией, чтобы сообщить базовой станции о необходимости в управлении пропускной способностью;

-       расширенный подзаголовок, с помощью которого внутри одного пакета МАС PDU может располагаться несколько подзаголовков;

-       Mesh - используют в Mesh-сетях;

Подзаголовки располагаются сразу за основным заголовком МАС.

Управляющие сообщения - это основной механизм управления системой IEEE 802.16. Описание профилей пакетов, управление доступом, механизмы криптозащиты, динамическое изменение работы системы и т.д. - все функции управления, запроса и подтверждения реализуют через управляющие сообщения. Запросы полосы могут быть как эпизодическими для БС, так и планируемыми. В первом случае запросы реализуют посредством пакетов, состоящих из заголовка запроса, передаваемых на конкурентной основе абонентскими станциями в специально выделенном для них интервале восходящего канала. Процедура плановых запросов полосы в восходящем канале называется опросом (polling). БС опрашивает АС об их потребностях в увеличении полосы пропускания. Реально это означает, что базовая станция предоставляет конкретной АС интервал для передачи запроса о предоставлении/изменении полосы, т.е. при запросе полосы не используют алгоритм состязаний.

Опрос может быть осуществлен в «реальном времени»: интервалы для запроса предоставляют АС с тем же периодом, с каким у нее может возникнуть потребность в изменении условий доступа (например, в каждом кадре). Другой вариант опроса - вне «реального времени». В этом случае БС предоставляет АС интервал для запроса также периодически, но период этот существенно больше.

Для приложений, у которых периодичность и размер пакетов фиксированы (например, в телефонии по Е1), предусмотрен механизм доступа к каналу без требования UGS (Unsolicited Grant Service). В этом случае БС с заданным периодом предоставляет АС для передачи данных интервалы фиксированного размера, соответствующие скорости потока данных. Если в ходе работы АС нужно изменить условия доступа, она делает это посредством специального МАС-подзаголовка управления предоставлением канала. В этом подзаголовке есть флаг «опроси меня», установив который, АС запрашивает у БС интервал для новой полосы. Существенно, что в упомянутом подзаголовке есть специальный бит индикации переполнения выходного буфера передатчика АС, что приводит к потере данных (slip). БС может отреагировать на появление этого сигнала, например, увеличив полосу для данной АС.

Технологии, используемые в стандарте 802.16, требуют соответствующего управления радиоканалом, особенно управления характеристиками физического уровня передачи в зависимости от индивидуальных особенностей канала конкретного абонента и его потребностей в пропускной способности. Уровень управления радиоканалом RLC (Radio Link Control) обеспечивает как эти возможности, так и традиционные функции управления мощностью излучения.

1.5 Архитектура построения сети WiMAX

.5.1 Базовая модель сети

Спецификации стандарта WiMAX определяют передачу трафика и сигнальный обмен только на радиоинтерфейсе. Что касается соединения БС с Интернетом, сетями беспроводного доступа и сетями различных операторов, решения по архитектуре сети принимает оператор совместно с производителем. В целях унификации и определенной оптимизации WiMAX Forum предложена базовая архитектура сети (рис. 1.12).

На рис. 1.12 показана NRM (network reference model - базовая модель сети) WiMAX, которая является логическим представлением сетевой архитектуры. NRM разделяет систему на три логические части:

. мобильные станции, используемые абонентами для получения доступа к сети;

. ASN (access services network) - сеть доступа к услугам, которая является собственностью оператора доступа к сети (NAP - Network Access Provider); ASN состоит из одной или нескольких базовых станций, которыми управляет один или несколько шлюзов ASN (ASN-GW).

. CSN (connectivity services nerwork) - подсеть оператора, обеспечивающая выход на IP и другие сети для реализации абонентских услуг. Эта подсеть обеспечивает необходимые коммутационные функции и функции безопасности. Абонента может обслуживать оператор домашней сети NSP (Network Services Provider). Абонент может также находиться в роуминге. В этом случае его обслуживает оператор визитной сети; при этом происходит обмен сигнальной информацией CSN визитного и домашнего оператора.

Рис. 1.11. Базовая модель сети.

выполняет следующие функции:

·        соединение на уровне L2 с АС;

·        поиск и выбор сети на основе предпочтений абонента о CSN/NSP;

·        обеспечение безопасности: передача данных об устройствах, пользователях, и услугах, серверу безопасности, временное хранение профилей пользователей;

·        организация сквозных IP-соединений между АС и CSN;

·        управление радиоресурсом (RRM) в соответствии с классом трафика и требуемым QoS;

·        обеспечение мобильности, т.е. выполнение процедур хэндовера, локализации и пейджинга.Forum определил различные способы организации ASN, получившие название профилей. Существуют профили A, B, C. Шлюз ASN представляет логическое устройство, которое может быть организовано по-разному. Профиль B ASN представляет простую организацию, которая включает БС и шлюз ASN. Профили A и C разделяют функции между БС и шлюзом ASN по-разному, а именно, в управлении мобильностью и радиоресурсами.

Функционально БС обеспечивает как один сектор с выделенным частотным диапазоном, поддерживая интерфейс IEEE 802.16e с АС. Дополнительные функции, выполняемые БС в обоих профилях, включают распределение для восходящего и нисходящего каналов, классификацию трафика и SFM (управление сервисным потоком). При этом должны быть выполнены требования по QoS для различных классов трафика, передаваемых по радиоинтерфейсу. БС также управляет статусом АС (активный, неработающий), поддерживает туннельный протокол в направлении к шлюзу ASN, обеспечивает с помощью сервера DHCP динамическими адресами. БС также транслирует сигнальный обмен по протоколам MM, обеспечивая все уровни защиты, предусмотренные стандартом. БС может быть подключена одновременно к двум шлюзам для баланса нагрузки.

Шлюз ASN является основным элементом сети. Во время сеансов связи шлюз организует хэндовер абонентам и пейджинг АС, управляет доступом к сети. Для каждого подсоединенного абонента в шлюзе открыта база данных, содержащая профили абонента и ключи шифрования. На шлюз возложены задачи авторизации потока услуг согласно профилю абонентов и QoS. В направлении БС шлюз поддерживает туннельное соединение; в направлении ядра сети (CSN) шлюз организует соединение по стандартному IP протоколу.

В табл. 1.8 показано разделение функций в ASN между БС и шлюз ASN в соответствии с профилями ASN, установленными WiMAX Forum. Профиль B характеризуется интеграцией в одном элементе. Профиль целесообразно использовать в небольшим по объему сетях. Профили A и C предусматривают организацию шлюза в виде отдельного функционального узла. Отличие между профилями А и С незначительны. В профиле A за хэндовер отвечает шлюз ASN; в профиле C это БС, а шлюз ASN выполняет функцию переключения при хэндовере. В профиле A управление радиоресурсами осуществляет шлюз ASN, что позволяет динамически перераспределять радиоресурс между разными БС. В профиле C радиоресурс фиксирован для каждой БС и его назначение для конкретных абонентов производит сама БС.

Таблица 1.8.

Процедура

Функция

Имя объекта ASN

Профиль B

Профиль C

Безопасность

Аутентификатор

Шлюз ASN

ASN

Шлюз ASN


Ретранслятор аутентификации

БС

ASN

БС


Распределитель ключей

Шлюз ASN

ASN

Шлюз ASN


Получатель ключей

БС

ASN

БС

Мобильность

 Маршрутизация потока данных

Шлюз ASN и БС

ASN

Шлюз ASN и БС


Управление хэндовером

Шлюз ASN

ASN

БС


Сервер контекста (буфер)

Шлюз ASN и БС

ASN

Шлюз ASN и БС


ПО мобильного интернета

Шлюз ASN

ASN

Шлюз ASN

Управление радиоресурсами

Контроллер радиоресурсов

Шлюз ASN

ASN

БС


ПО контроллера

БС

ASN

БС

Пейджинг

ПО пейджинга

БС

ASN

БС


Управление пейджингом

Шлюз ASN

ASN

Шлюз ASN

QoS

Авторизация сервисного потока

Шлюз ASN

ASN

Шлюз ASN


Управление сервисным потоком

БС

ASN

БС

обеспечивает следующие функции:

·        выделение адресов IP АС для сеансов связей;

·        безопасность в сети, для чего в CSN организуют сервер AAA (authentication, authorization and accounting - аутентификации, авторизации и учета);

·        организацию передачи трафика с необходимым QoS в соответствием уровнем обслуживания абонентов. При нахождении абонента в роуминге CSN домашнего оператора поддерживает профиль услуг абонента у обслуживающего оператора;

·        биллинг предоставленных абоненту услуг;

·        туннелирование потоков между CSN различных операторов с целью обеспечения роуминга;

·        управление мобильностью (хэндовер между БС, управляемыми различными ASN);

·        выход на другие сети, прежде всего в Интернет, и обеспечение таких современных услуг как локализация абонентов, VoIP и передача мультимедийной информации

1.5.2 Стеки и интерфейсы

WiMAX NWG (network working group - группа разработки сети) разработала RP (reference points - стыки и интерфейсы), т.е. концептуальные соединения между различными функциональными элементами: ASN, СSN, АС, БС. Стыки не всегда являются физическими соединениями, а только в тех случаях, когда функциональны элементы расположены в разных местах, т.е. в различных физических устройствах. Следует отметить, что WiMAX Forum продолжает работу по совместимости разработанных RP на основе специфицированных нормативных протоколов c целью обеспечения максимальной пропускной способности сети. В табл. 1.9 представлены разработанные RP.

Логическое представление архитектуры WiMAX показано на рис. 1.12.

Таблица 1.9.

Стык

Конечные точки

Описание

R1

АС и БС

Организует радиоинтерфейс на основе IEEE 802.16e.

R2

АС и CSN

Для аутентификации, авторизации, управления конфигурацией IP хоста, и управления мобильностью. Это логический интерфейс АС и CSN

R3

ASN и CSN

Поддержка AAA, перечня услуг, возможность управления мобильностью. R3 также обеспечивает туннелирование IP данных между ASN и CSN

R4

ASN и ASN

Набор протоколов управления и организации сквозных каналов, начинающихся/ заканчивающихся в различных устройствах внутри ASN, которые координируют мобильность АС между ASN. В Release 1 интерфейс R4 обеспечивает взаимодействие между разнотипными ASN

R5

CSN и CSN

Набор протоколов управления и организации сквозных каналов для взаимодействия между домашней и визитной сетями

R6

BS и шлюз ASN

Набор протоколов управления и организации сквозных каналов взаимодействия между БС и шлюзом ASN. Протоколы организации сквозных каналов обеспечивают передачу данных внутри структуры ASN или туннельных соединений между БС и шлюзом ASN.

R7

ASN-GW-DP (decision point) и ASN-GW-EP (enforcement point)

Опциональный набор протоколов в плоскости управления для координации между двумя группами функций, определенных в R6 для сложных разветвленных структур сетей WiMAX.

R8

БС и БС

Набор потоков сообщений плоскости управления и, возможно, команд для создания сквозных каналов между БС для организации быстрых и бесшовных хэндоверов. ПО организации сквозных каналов состоит из протоколов, которые позволяют передавать данные между БС, вовлеченными в хэндовер, и определенной АС. ПО плоскости управления состоит из протокола управления, специфицированного в IEEE 802.16e, и дополнительных протоколов, которые позволяют управлять передачей данных между БС, вовлеченными в хэндовер, и определенной АС.

 

Архитектура сети WiMAX похожа на архитектуру многих IP сетей доступа, где инфраструктуру уровня L2 (уровня соединений) используют при концентрации трафика индивидуальных пользователей, где находятся элементы, которые обеспечивают конечные пользовательские устройства IP адресами для доступа к приложениям и услугам. В данном случае ASN представляет собой инфраструктуру канального уровня, обеспечивающую концентрацию каналов, а CSN предоставляет абонентам адреса IP и обеспечивает доступ к IP приложениям.

 

Рис. 1.12. Логическое представление архитектуры WiMAX.

 

WiMAX Forum предлагает два варианта протокольного обмена в транспортной сети (рис. 1.13, рис. 1.14). Различие между решениями состоит в организации интерфейса R6 в пользовательской плоскости (плоскости передачи данных). В любом варианте данные между БС и шлюзом ASN передают на основе туннельного протокола GPE (Generic Routing Encapsulation). На рис. 1.13 поверх него следует протокол IP-Ethernet, а на рис. 1.14 возможны любые другие технологии передачи IP пакетов. Отличия состоят в том, что перед передачей пакетов по радиоинтерфейсу организуют конвергенцию (обработку заголовков) либо на уровне Ethernet, либо непосредственного на уровне IP. На интерфейсе R3 при передаче данных используют локальную маршрутизацию на основе IP протоколов, используя технологию IP-over-IP.

 

Рис. 1.13. Стек протоколов передачи информации в транспортной сети WiMAX, с использованием Ethernet.

 

Рис. 1.14. Стек протоколов передачи информации в транспортной сети WiMAX, с использованием IP протоколов.

2.      МЕТОДЫ ПЛАНИРОВАНИЯ СЕТЕЙ WiMAX

.1      Принципы построение сети WiMAX в посёлке городского типа

Халач - посёлок городского типа, центр Халачского района Лебапской области Туркменистана, расположен на левобережье реки Амударьи (в 6 км от реки).

Возможное число абонентов для подключения к сети WiMAX

Халач является вторым по численности населения посёлком городского типа Лебапской области после Сердарабада, в котором проживает 110 906 человек. В центральной части посёлка, где будет создаваться сеть WiMAX, численность населения составляет около 20 000 человек. В каждой семье проживает около 5 человек это, примерно, 4 000 семей. Предположим, в семье к сети WiMAX подключается 1 человек. Тогда общее число абонентов подключаемых к сети составит примерно 4000. Если учитывать, что не все абоненты, сразу подключатся к сети (а часть вообще не будет подключаться), то среднее число составит около 2800 абонентов (70% из 4000 абонентов).

Промышленность

В центре посёлка находятся здания административного назначения. Также в посёлке функционируют шерстомойная, прядильно-ткацкая, швейная, ковровая, кондитерская и мебельная фабрики, хлопкоочистительный, кожевенный, пивоваренный и молочный заводы.

Имеющиеся телекоммуникации

В центре поселка в специальных зданиях расположены АТС и телерадиоцентр. Базовую станцию проектируемой сети WiMAX предполагается разместить в помещении АТС. Антенна базовой станции может быть установлена на имеющуюся мачту, принадлежащую АТС.

В сетях стандарта мобильного WiMAX, зона покрытия одной базовой станции, так же как и в системах сотовой связи, аппроксимируется шестиугольником. Шестиугольники лучше всего аппроксимируют круговую форму зоны радио покрытия базовой станции на ровной местности без препятствий, а края шестиугольников хорошо аппроксимируют границы между сотами равных размеров. На практике область покрытия базовой станции не обладает правильной круговой формой, поскольку она зависит от структуры местности и препятствий - зданий, деревьев и т. д. Разделение области покрытия системы на соты равного размера невозможно и по техническим причинам. При размещении базовых станций необходимо учитывать множество факторов, таких как доступ к подходящим участкам местности и возможность использования естественных элементов местности - башни, высокие трубы и строения. Такие элементы нечасто располагаются в центрах идеально спланированных сот. Поэтому планирование сот представляет собой сложную задачу, в ходе решения которой в современных системах проводят полевые измерения при помощи специализированного оборудования. С определенной точностью соты можно спроектировать на основе обработки данных цифровой карты местности сложным специализированным программным обеспечением, которое имитирует распространение электромагнитных волн на цифровой модели местности. Один из подходов к моделированию распространения электромагнитных волн заключается в том, что волны рассматриваются в качестве световых лучей, которые отражаются и рассеиваются на различных препятствиях местности с определенными коэффициентами отражения и рассеивания. Этот подход, который называют методом трассирования лучей (англ. ray tracing method), требует точных данных об области покрытия и больших вычислительных ресурсов. Пакеты профессионального программного обеспечения, применяемые для моделирования распространения волн и проектирования сот, используют более сложные модели распространения.

По ограниченному количеству результатов измерений можно калибровать используемые в программном обеспечении модели распространения сигналов, что позволяет получать более точные результаты [5].

Ключевой принцип работы сотовой системы заключается в многократном использовании одних и тех же частотных каналов в различных сотах, расположенных в зоне покрытия системы соответствующим образом. Группа из N сот, использующая все доступные частоты несущих, исключая при этом их повторное использование, называется сотовым кластером (англ. Се11 cluster).

 

Рис. 2.1. Построение многоэлементных сотовых кластеров:

а) трехэлементного, б) четырехэлементного, в) семиэлементного,

г) двенадцатиэлементного, д) девятнадцатиэлементного

 

Для анализа размера и особенностей кластера рассмотрим геометрические свойства набора шестиугольников, изображенных на рис. 2.1

Пусть радиус окружности, описанной вокруг каждого шестиугольника, равен r. Очевидно, что r - это также и расстояние от центра шестиугольника до его вершины. Если вспомнить свойства равностороннего треугольника со стороной r, то легко доказать, что расстояние между двумя соседними шестиугольниками равно. Примем его за единицу длины. В системе координат с углом между осями координат, равным 60°, расстояние от центра любого шестиугольника до начала координат составляет:


 (2.1)

где i и j - координаты центра рассматриваемого шестиугольника, выраженные в принятых единицах длины, равных 3r. В табл. 2.1 представлены кластеры, для каждой соответствующая своё значения i и j.

Таблица 2.1.

Кластеры, (C)

i

j

1

0

0

3

1

1

4

2

0

7

2

1

9

3

0

12

2

2

13

3

1

16

4

0

19

3

2

21

4

1

27

3

3


Выражение (2.1) прямо следует из обобщенной теоремы Пифагора, которая утверждает, что квадрат длины стороны R, лежащей напротив угла , образованного сторонами с длинами и и v, равен:

 (2.2)

В случае, изображенном на рис. 2.2, u=33r, ν=2√3r и α=120°.

Таким образом, i = 3 и j = 2.

Рис. 2.2. Разделение зоны радиопокрытия на соты.

 

Будем считать заштрихованную соту, расположенную в начале изображенной рис. 2.2 системы координат, опорной. Построим вокруг нее сотовый кластер. Другие кластеры должны быть расположены вокруг него таким образом, чтобы покрываемые ими области не перекрывались и не имели разрывов.

Возникает следующий вопрос: какое количество сот в кластере обеспечивает наиболее компактное покрытие для стандарта WiMAX? Ответ на этот вопрос вытекает из последующих рассуждений. Пусть центральные соты соседних кластеров расположены на расстоянии R от центра опорной соты.

В их распоряжении находится такой же набор частотных каналов, что и у опорной соты. Каждый кластер может быть представлен одним большим шестиугольником, площадь которого равна сумме площадей всех принадлежащих кластеру сот. Это изображено на рис. 2.3.

Площадь одной гексагональной соты радиуса r равна:


 (2.3)

а площадь большого шестиугольника, равного сумме N площадей шестиугольников радиуса r, центры которых расположены на расстоянии R друг от друга, составляет:


 (2.4)

Необходимо, чтобы выполнялось следующее равенство

 (2.5)

При подстановке (2.1) и (2.4) в (2.5) получим выражение, которое определяет количество N сот в кластере:

 

(2.6)

Очевидно, что количество сот в кластере не ограничено. Кластер, образующий регулярную сетевую структуру, может состоять из одной, трех, четырех, семи, двенадцати и т. д. сот.

На рис. 2.3 изображен кластер с N = 3 сотами, для которых i = 1 и j = 1. На основании (2.1) и (2.6) можно получить важное соотношение, которое будет использовано в дальнейших рассуждениях:


 (2.7)

Рис. 2.3. Аппроксимация кластеров большими треугольниками.

 

Если при разработке системы не учитывалось количество сот в кластере, их топографическое расположение и распределение каналов, то в такой системе будет наблюдаться существенное влияние друг на друга каналов в разных сотах, использующих одни и те же несущие частоты.

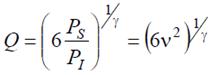
Эти явления называются соканальными помехами. Они зависят от параметра Q, определенного в выражении (2.7).

Параметр Q называется коэффициентом ослабления соканальных помех (англ. со-спаппе1 interference reduction factor).

При увеличении Q соканальные помехи ослабевают, поскольку либо увеличивается расстояние, разделяющее соты с одинаковыми каналами, либо уменьшается их размер.

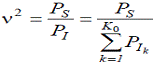
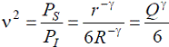
Расстояние R зависит от отношения мощности сигнала Ps к мощности помехи PI (энергетического параметра связности ν). В свою очередь, это отношение зависит от количества влияющих друг на друга сот Ko согласно формуле:


(2.8)

где PIk - средняя мощность помех, генерируемых k-ой сотой.

На рис. 2.4 изображена типичная конфигурация взаимодействующих сот. В случае гексагональных сот шесть расположенных в первом ярусе сот взаимодействуют с центральной сотой, которая считается опорной. Таким образом, Ko = 6.

Рис. 2.4. Распределение в пространстве интерферирующих сот.

 

Для регулярной структуры, построенной на основе типовых кластеров с N=3, 7, 9, 12, 19 количество влияющих друг на друга сот Kо всегда будет равно 6 (рис. 2.5.)

 

Рис. 2.5. Распределение кластеров с регулярной структурой.

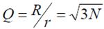
Предполагается, что влиянием сот второго яруса на центральную соту можно пренебречь ввиду большого расстояния между ними. Соканальные помехи искажают не только сигнал, приходящий на базовую станцию центральной соты, но и сигналы, приходящие на подвижные станции, которые в данный момент находятся в этой соте. Предположим, что базовые станции излучают сигналы с одинаковой мощностью. Тогда отношение сигнала к соканальным помехам на границе центральной соты равно:

 (2.9)

При распространении в свободном пространстве γ=2, в то время как при двулучевом распространении γ=4. В действительности значение γ лежит в интервале от 2 до 5,5 в зависимости от условий распространения.

Обратим внимание на то, что в предположении о равной мощности, излучаемой базовыми станциями, отношение «сигнал/соканальная помеха» зависит только от геометрических свойств распределения сот, расстояний между базовыми станциями, использующими одни и те же частотные каналы, и радиуса зоны радиопокрытия базовой станции.

Простоты ради предложим, что в изображенной на рис. 2.3 системе все расстояния Rk равны R. Тогда из (2.9) следует, что

 (2.10)

 (2.11)

Формула (2.11) определяет взаимосвязь отношения расстояния между сотами, использующими одни и те же частоты и радиус соты, с отношением «сигнал/соканальная помеха» и типом окружающей среды.

В традиционных сотовых системах отношение PS/PI выбирается таким, чтобы обеспечить качество передачи речи, приемлемое, по крайней мере, для 75 % пользователей на 90 % области покрытия системы [5].

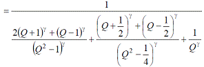
Приняв γ=4, из формулы (2.11) получим расчетное Q = 3. В соответствии с табл. 2.2 это значение Q = 3. Поскольку значение Q зависит от количества N сот в кластере по формуле (2.7), то при подстановке в эту формулу значения Q = 3, получим N = 3.

Коэффициент уменьшения соканальных помех Q в зависимости от числа элементов в кластере N, представлен в табл. 2.2.

Таблица 2.2.

Количество сот в кластере

3

4

7

12

19

Коэффициент уменьшения соканальных помех

3.00

3.46

4.58

6.00

7,55


Как видно из табл. 2.2, в рассмотренной 3-х сотовой структуре, отношение сигнал/помеха, которое равно 3.00, как правило, недостаточно для действующих стандартов.

Рассмотрим наихудший случай, иллюстрируемый рис. 2.6 и 2.7. Если обратить внимание на то, что расстояния между подвижной станцией, расположенной в точке А на границе соты, и всеми влияющими базовыми станциями приблизительно равны (R-r), (R-r), (R-r/2), R, (R+r/2), (R+r), получим:

 ( 2.12)

При Q=3 и γ=4 значение Ps/PI составляет 12,6. В логарифмическом масштабе эта величина приблизительно равна 11 дБ. Если взять точные расстояния от точки А до центров интерферирующих сот, то получим несколько лучшее значение Ps/PI, однако оно все же будет меньше требуемых 18 дБ. На практике, вследствие неидеального расположения базовых станций, многолучевого распространения и искажений, обусловленных неровностями местности, это отношение будет еще хуже. Поэтому рассчитанного ранее значения Q = 3 будет недостаточно.

Рис. 2.6. Наихудший случай соканальных помех.

На рис. 2.7 и в формуле (2.12) рассматривается наихудшая ситуация, поскольку подвижная станция находится на максимально возможном удалении от базовой станции ее собственной соты. Поэтому приведенная выше оценка считается очень пессимистической. Тем не менее, именно такой подход к разработке систем позволяет добиться высокой надежности.

Рис. 2.7. Наихудший случай соканальных помех при N=3.

Существуют несколько основных решения проблемы недостаточной величины параметра Q для кластера, где антенна базовых станций имеет горизонтальную диаграмму направленности.

2.2 Методы ослабления соканальных помех

При организации сети необходимо найти золотую середину, используя наибольший частотный диапазон, при сохранении соотношения сигнал/шум на минимально допустимом уровне.

Существуют несколько основных решений проблемы недостаточной величины параметра Q для кластера со всенаправленными антеннами.

2.2.1 Увеличение количества сот в кластере

Первый путь - это увеличение количества сот в кластере. Сотовая структура позволяет увеличить пропускную способность, всей системы путём увеличения сот, уменьшения размеров сот и уменьшения мощности передатчиков. Однако наряду с очевидными преимуществами, уменьшение радиуса сот имеет и недостатки:

·        На одной площади приходится размещать большее количество БС и антенн, что подразумевает дополнительные финансовые расходы

·        Поскольку стандарт WiMAX относится к частотно временному разделению каналов, то увеличение в кластере сот приведет к снижению число каналов в отдельных сотах, и снижению трафика.

2.2.2 Использование секторных антенн

Второе решение заключается в ослаблении соканальных помех при использовании секторных антенн, с шириной диаграммы направленности в 60°. Каждая сота разделяется на шесть сектора.

На рисунке 2.8 изображено группа сот с использованием антенн, диаграмма направленности 60°.

Рис.2.8. Группа сот с использованием антенн, диаграмма направленности 60°.

При использовании секторных структур сот, значительно понижается влияния соканальных помех соседних БС работающих на одних и тех же частотах. Но, так же имеется и недостаток:

·        На каждый сектор приходится отдельный антенно-фидерный тракт, что так же подразумевает дополнительные финансовые затраты.

Рассмотрим третий вариант, который наиболее подходит для реализации сети WiMAX.

2.2.3 Комбинированное планирование сот

Решение проблемы связанных с соканальными помехами на краю сот, в стандарте WiMAX предложен метод, комбинированного повторного использования частоты (FFR) рис. 2.10, то есть комбинированное планирование сот. В FFR пользователи, находящиеся на краю соты используют часть всех доступных подканалов, в то время как пользователи внутри, то есть в центре соты пользуются всеми доступными подканалами. Пользователи же, находящиеся на краю соты, работают с частотами Reuse-3 (в дальнейшем будет обозначаться как R3), в то время как пользователи в центре соты работают с частотами Reuse-1 (R1). В процессе передачи кадра пользователи R3 сгруппированы в зону R3, которая отделена во времени от зоны R1. Преимущество метода FFR заключается в предоставлении пользователям на краю сот лучшего качества сигнала, за счёт физического разделения от источника помех. Улучшенное качество сигнала также предоставит более высокую пропускную способность для пользователей на краю соты. Однако, это достигается за счет менее эффективного спектрального распределения ресурсов. Таким образом, важно проанализировать, преобладают ли преимущества над недостатками.

Рис. 2.9. а) Структура FFR; б) Спектральная диаграмма FFR

Показанная на рис. 2.9, структура кадра имеет временное и частотное распределение ресурсов для зон R1 и R3. Заголовок управления кадрами и протокол доступа к среде (FCH/MAP), предоставляет информацию о распределении подканалов, которая позволяет пользователям определять местонахождение своего блока ресурса в пределах кадра. Кроме того, FCH/MAP осуществляет передачу сигналов, такую как переключение зональных информационных элементов, которые указывают точки переключения между зонами R1 и R3.

В стандарте WiMAX, как уже было сказано в гл. 1, используют дуплексное временное разделения каналов (TDD) [6]. В TDD, передачу информации в восходящем (UL) и нисходящем (DL) канале (рис.2.10) выполняют последовательно через отрезки времени, и отделены друг от друга защитным интервалом. Таким образом, передаваемый кадр разделен на два субкадра. Кроме того, в пределах субкадра существуют зоны для частоты R1 и R3 (так называемые зоны R1 и R3). Они имеют общие границы для всех сот, работающих в сети, таким образом, межзональные помехи между R1 и R3 исключены.

Рис. 2.10. Структура кадра в нисходящем (DL) канале.

Однако возможны динамические изменения границ зон, в зависимости от перемещения пользователей и нагрузок в соте. Один из ключевых аспектов метода FFR: своевременное переключения из зоны в зону и назначение абоненту зоне R1 либо R3, которое должно соответствовать качеству сигнала и изменениям расположения МС. Базовая станция (БС) должна получать регулярную сигнальную посылку от мобильной станция (МС), на основе которой БС решает, какую из зон предоставить R1 или R3. При быстром движении МС скорость обновления обработки сигнальных посылок должна быть более частыми.

Предоставление зон в БС для конкретного пользователя может быть основано на нескольких параметрах. Эти параметры должны быть определены из сигналов посылок от МС до БС [7]. Как следует из сказанного, принцип FFR существеннее, для решения проблем связанных, с соканальными помехами пользователей, находящихся на краю соты. Следовательно, параметры для назначения зон, рассматриваются от БС к МС. БС работает одновременно с обеими зонами, как с R1, так R3, настраивая порог перехода с зоны в зону. Однако, главный недостаток принципа назначения зон состоит в том, что качество сигнала не обязательно коррелирует с расстоянием от БС из-за эффектов, известных как быстрые замирание и затенение.

В процессе оценке стандарта WiMAX одним из важнейших параметров является охват и достаточно хорошее качество сигнала, который описывает процент пользователей, которые могут быть обслужены.

Компанией Fujitsu Laboratories of Europe Ltd., были проведены исследование комбинированного планирования сот, и в сравнении с другими принципами планирование Reuse1 и Reuse3 [8], были получены следующие результаты.

Пропускная способность FFR, оказалось лучше на 18% по сравнению с Reuse3, но хуже на 13% чем Reuse1. Сравнения пропускной способности показано на рис. 2.11.

Рис. 2.11. Пропускная способность для Reuse1, FFR и Reuse3.

 

Также были исследованы покрытия и качество принимаемого сигнала на различных участках соты. В центре соты на расстоянии не превышающем 300 метров от БС (рис. 2.12.) получены следующие результаты: при Reuse1, число пользователей, которые могут быть обслужены, достигло 76%. Однако при FFR, число обслуживаемых пользователей в центре соты увеличивается до 96%.

Сравнение с Reuse3 не целесообразно, так как пропускная способность гораздо ниже чем при Reuse1 и FFR.

Рис. 2.12. Характеристика обслуживаемых пользователей, на расстоянии до 300 м., от БС.

 

Рассмотрим возможное число пользователей с на краю сот. Результаты, полученные на краях сот таковы, что при Reuse1 число обслуживаемых пользователей достигает только 25%, в случае FFR оно достигло 76%, что является достаточно высоким показателем. На рис. 2.13 иллюстрированы результаты, полученные на краю сот, на расстоянии от 800 до 1000 м.

Рис. 2.13. Характеристика обслуживаемых пользователей, на расстоянии от 800 до 1000 м., от БС

 

Результаты достаточно убедительны - FFR является наиболее оптимальным методом для планирования сетей WiMAX.

2.3 Характеристика канала связи

Определение параметров канала, имеет ключевое значение при разработке любой системы связи. Свойства канала, вносимые искажения и помехи, а также допустимая ширина спектра передаваемого сигнала определяют максимальную скорость передачи при заданном качестве. Таким образом, перед нами стоит задача определить параметры канала передачи данных в этой системе.

Рассмотрим основные понятия при распространении радиоволн:

§  

Энергия радиосигнала от точечного излучателя распространяется сферически (рис.2.14). Принимаемый сигнал МС от передающей антенны БС на расстоянии d обратно пропорционален площади сферы.

Рис. 2.14. Распространение радиосигнала от точечного излучателя.

 

•        Потери на трассе (path loss) - определяются как любое ухудшение или ослабление сигнала при его распространении и могут характеризоваться двумя отдельными параметрами: средние потери на трассе и замирание.

Уровень сигнала на входе приемника при прямолинейном распространении в открытом пространстве при однолучевой модели:

, (2.14)

где  - мощность принимаемого сигнала,  - мощность передатчика, - длина волны. G - коэффициент усиления передающей и принимающей антенны.

Но в реальных условиях прохождение сигнала обусловлено тем, что на пути возникают множество препятствий, рис. 2.16. В результате переотражений от земли и от других объектов фаза волны может смещаться до .

Нужно учитывать три основных способа распространения радиоволн:

·        Отражение - имеет место при падении волны на объекты с размерами намного больше длины волны. Наблюдаются, например, отражения от земли, стен зданий и т.п.

·        Дифракция - явление возникновения вторичных волн при падении радиоволны на препятствие с острыми краями. Дифракцией обусловлено наличие поля за препятствиями в зоне геометрической тени. На высоких частотах дифракция, как и отражение, существенно зависит от геометрии объекта, а также от частоты амплитуды, фазы волны и поляризации поля.

·        Рассеяние - имеет место при распространении волны в среде с мелкими объектами (меньше длины волны).

Рис. 2.15. Двухлучевое распространение радиосигнала.

 

При рассмотрении двухлучевой модели рис. 2.15, (наличие прямого луча и отраженного):

  (2.15)

В данном случае большую роль играет высота подвеса антенны h: чем выше высота антенны, тем лучше. Длина волны исчезла из формулы. Зависимость мощности от расстояния становится , поэтому потери энергии с увеличением расстояния становятся более значительными по сравнению с однолучевым распространением.

Для того чтобы обобщить все разнообразные параметры окружающей среды, используют эмпирическую формулу потерь на трассе:

  (2.16)

Формула 2.16 обобщает различные эффекты в 2-х параметрах: экспонента потерь на трассе  и измеряемые потери  относительно расстояния , которое обычно равняется 1 метру.

2.4 Модель COST-231 Hata

Для расчета затухания сигнала на трассе, используют модели распространения радиоволн. Для систем стандарта WiMAX, более подходящая модель является COST-231 Hata. Рассмотрим эту модель.

Модель COST-231 Hata исходит из более ранней модели под названием Hata. Модель Hata была усовершенствована специально для сетей WiMAX группой European COST (Cooperation in the field of Scientific and Research). Расширенная модель носит название COST-231 Hata [9]. Модель COST-231 Hata предполагает, что антенны базовых станций расположены выше окружающих строений, а размер ячеек при формировании макросотовой структуры сети составляет около 1 км и более. В этом случае потери распространения определяются главным образом процессом дифракции и рассеяния радиоволн на высоте крыш зданий, окружающих абонентскую станцию. Распространение основных лучей от базовой станции происходит выше крыш строений. Эта модель действительна при следующих параметрах:

f 2000 МГц

м≤ hbs 200м

м ≤ hms ≤ 10м

км ≤ d ≤ 20км

Здесь f - частота, d - расстояние между МС и БС в км, hbs и hms - высоты расположения БС и МС соответственно, в метрах.

Медианное значение ослабления в соответствии с COST-231 Hata:

Lro (дБ) = Lu - 4,78*[lg(f)]2 + 18,33·lg(f) - 40,94 . (2.18)

Корректирующий коэффициент в зависимости от высоты антенны АС - a(hms):

a(hms) = (1,11·lg f - 0,7)hms - (1,56 lg f - 0,8) (2.19)

Для городских и пригородных территорий поправочный коэффициент C составляет 3дБ и 0дБ соответственно. WiMAX Forum, рекомендует использовать эту модель при планировании мобильной макросотовой сети. Для получения реального (требуемого) значения затухания к общей формуле (2.18) добавляют от 6дБ до 10дБ для учета затухания, вызванного медленными замираниями. Для корректного использования формул COST-231 Hata необходимо придерживаться соответствия между типами моделей и характеристиками местности - плотная сельская застройка - малоэтажная административная и жилая застройка, индустриальные здания не выше трех этажей. При этом покрытие сот в значительной мере определяется дифракцией и рассеянием сигнала на ближайших к абоненту зданиях.

3.      ВЫБОР АППАРАТУРЫ И ПЛАНИРОВАНИЕ СЕТИ

3.1  Выбор аппаратуры и расчет сети

 

1.       Базовая станция WiMAX Base Station Air4Gs - компактная, оптимизированная по стоимости микробеспроводная базовая станция [10]

Для планирования сети возьмём оборудование компании Airspan. Произведем расчет параметров сети с использованием оборудования одобренного WiMAX Forum.

Станция Air4Gs обладает высокой производительностью, конструкцией -«все-в-одном», применяется для наружного использования - «все на улице», является оборудованием операторского класса. С небольшой, тонкий и легкий форм-фактором Масса - 10,5 kg/23.15 фунтов. Низкое энергопотребление - менее 90 Вт.Gs является простым и доступным в установке и обслуживании.

Base Station Air4Gs может работать с каналами шириной 5 МГц и 10 МГц.Gs идеально подходит для операторов и операторских сетей в пригородных и сельских районах, а также расширения (развертывания) городских сетей. Продукт оптимизирован для вертикальных приложений, таких как Smart Grid или транспорта, где часто есть необходимость в мощных, экономически эффективных решениях. Air4Gs это базовая станция мобильного WiMAX (IEEE802.16e), стандартные интерфейсы R1 и R6.

Рис.3.1. Базовая станция Air4Gs

Характеристики БС:

Таблица 3.1.

2.3-2.4, 2.5-2.7, 3.3-3.8, 4.9-5.0

Ширина канала, МГц

1.75, 3.5, 5, 10

Число поднесущих

256 ; 512 и 1024

Метод дуплексилования

FDD + TDD

Модуляция

2-ФМ; 4-ФМ; 16-КАМ; 64-КАМ.

Поддерживаемые профили

Фиксированный WiMAX (расширяемый до мобильного WiMAX)

Стандарт

IEEE 802.16e-2005

Мощность передатчика

до 40дБм на сектор

Чувствительность приемника

-115 дБм (1/16), -103 дБм (1/1)

Коэффициент усиления антенн (UL/DL)

17дБ

Антенна конфигурация

MIMO: круговая 2х2;

Кодирование с коррекцией ошибок

Сверточное кодирование; турбокодирование.

Кабели соединяющие ODU и IDU

Полностью внешнее исполнение

Диаграмма направленности антенны одного сектора

60°, 90°, 120°, 180°, 360°

2.       Mobile WiMAX ASN шлюз решения (AN1 WIMAX ASN-GW)[10]

IEEE 802.16e-2005 совместно с сетью WiMAX Forum эталонной модели (NRM) обладает способностью управлять мобильностью абонентов, обеспечивает возможность идентификации, учета и применения политики в расчете на абонента, а также для выполнения функций AAA. Это достигается путем деления WiMAX сети на две основные части:

•        Доступ к службе Network (ASN) ;

•        Подключение сетевых служб (ДНС)состоит из базовых станций WiMAX и ASN Gateway (ASNGW).

ДНС в Центре сети, обеспечивает контроль и управление функций IMS (спецификация передачи мультимедиа в электросвязи на основе протокола IP), DHCP (Dynamic Host Configuration Protocol - протокол динамической конфигурации узла), FTP(File Transfer Protocol - протокол передачи файлов) и AAA (Authentication, Authorization, Accounting).

Сеть управляется программным пакетом AS8200 Netspan.

Одним из ключевых элементов ASN является ASNGW, которая контролирует и управляет трафиками от большого количества базовых станций WiMAX. Платформа AN1 представляет собой идеальную среду начального уровня для распределения покрытия WiMAX приложений к небольшому числу абонентов и удовлетворения требований к пропускной способности. Создается сеть, архитектура которой обеспечивает экономическую эффективность на сельских сетях и сетях небольших населенных пунктов.

Каждый шлюз ASN может сосредоточить трафики от нескольких базовых станций, что сокращает необходимое количество управляемых устройств и AAA операций при сведении к минимуму задержки установления соединения за счет уменьшения числа вызовов в сети. HA: (Home Agent, часть CSN)- элемент сети, отвечающий за возможность роуминга

Основные характеристики и преимущества

·        Полный ASN шлюз и функциональность HA( Home Agent, часть CSN)

·        Надежная производительность, тарифы, сделки, обработка пакетов

·        Полный набор возможностей, управление мобильностью, в том числе и CMIP (Common Management Information Protocol. Протокол общей управляющей информации) - стандарт управления сетью OSI. PMIP v4/v6

·        Прочная конструкция, операторский класс соответствует NEBS / ETSI требованиям, а также возможностью восстановления программного обеспечения

3.       Netspan -программа управления сетью

Продукты Airspan включают в себя все функции, необходимые для первоначальной установки и ввода в эксплуатацию продукции, а также их бесперебойной и эффективной работы. Для этого все продукты включают в себя широкие возможности управления функциями этих продуктов, а также централизованное управление и операции (O & M) системы.обеспечивает выполнение следующих функций:

•        Исправность управления

•        Управление конфигурацией

•        Обработка аварийных сигналов

•        Управление производительностью

•        Управление безопасностьюстроится в соответствии с архитектурой клиент / сервер. Сервер Netspan работает на платформе ПК, используя базу данных SQL для хранения конфигурации, статистики и историй тревоги по радиосети. Доступ к серверу Netspan от различных стандартных веб-браузеров - с помощью веб-службы сервера Netspan.

Управление сетью с помощью Netspan осуществляется одним работником - оператором круглосуточно.

4.       Секторная антенна для базовой станции INT-SEC-17/5X-H (Рис.3.4.)[11]

Описание антенны

SECTOR это профессиональные антенны, предназначенные для построения базовых станций высокой ёмкости в сельских районах. Антенны имеют возможность наклона, что обеспечивает мощный, сфокусированный сигнал в секторе. Благодаря высокому усилению и широкому углу охвата антенны, в малонаселённых районах достигается покрытие качественным сигналом большой площади. Высококачественный корпус позволяет достигать высокого результата даже в суровых погодных условиях.

Ключевые достоинства

•        Излучающая поверхность покрыта лаком - надёжность при любых погодных условиях

•        Антенна относительно небольшая и лёгкая.

•        Облучатель микрополоскового типа.

•        Модульная конструкция обеспечивает надёжное функционирование в самых суровых погодных условиях.

•        Сегментирование покрытия позволяет обслуживать больше пользователей одной базовой станцией.

•        Антенное крепеление имеет возможность наклона, что позволяет оптимизировать покрытие и уменьшить влияние посторонних сетей.

•        Крепление с возможностью регулировки в горизонтальной и вертикальной плоскостях обеспечивает точное нацеливание антенны.

Технические характеристики антенна

Таблица 3.2.

Диапазон частот, МГц

2300-3800MHz

усиление

17dBi

в горизонтальной плоскости (-3dB)

60°

в вертикальной плоскости (-3dB)

в горизонтальной плоскости (-10dB)

134°

в вертикальной плоскости (-10dB)

25°

вперед / назад соотношение

> 24dB

кросс поляризации

> 27dB


5.       Мобильная станция - модем BreezeMAX USB 200[12]

Мобильные устройства BreezeMAX включают в себя BreezeMAX USB 200 WiMAX Модем и BreezeMAX PC карту - компактные, малогабаритные радиомодемы, разработанные для фиксированного и мобильного функционирования с поддержкой Plug and Play инсталляции и самостоятельной инициализации. Оборудованные передовыми handoff алгоритмами, эти мобильные устройства позволяют пользователям ноутбуков и настольных компьютеров соединяться с WiMAX сетями в любое время, в любом месте.

Технические характеристики модема:

Таблица 3.3.

Поддерживаемые диапазоны частот, ГГц

2,3-2,4; 2,5-2,7; 3,4-3,6.

Ширина канала, МГц

5; 7; 10.

Число поднесущих

512; 1024.

Метод дуплексилования

Временной.

Модуляция

4-ФМ; 16-КАМ; 64-КАМ.

Поддерживаемые профили

Мобильный, фиксированный WiMAX

Стандарт

802.16e

Мощность передатчика

До 23 дБ при 4-ФМ

Чувствительность приёмника

-94дБм при 4-ФМ

Коэффициент усиления антенн (UL/DL)

3дБ/4,4дБ

Пропускная способность

В Исходящем канале (DL) 20 Мбит/с; в восходящем канале (UL) 5 Мбит/c.

Применяемые технологии

MIMO; Стандартный ARQ; гибридный ARQ.

Рис. 3.6. Схема подключения компонентов проектируемой сети.

.2      Расчёт трассы сети WiMAX

Для расчёта выбираем модель COST-231 Hata. Расчёт ведём на минимальной частоте f = 2300 МГц, высота антенны БС 30 м., высота МС 2 м. Расчёт выполним для различных видов модуляций, используемых в каналах связи: 4-ФМ, 16-КАМ, 64-КАМ. Необходимые расчётные формулы и исходные величины, а так же полученные результаты занесем в табл. 3.4-3.6.

Расчёт трассы даст результаты, которые определят реальную зону обслуживания базовой станции. Эти расчёты важны для определения радиуса соты, что позволяет найти необходимое число базовых станций для покрытия заданной территории

Расчёт трассы вниз при модуляции 4-ФМ:

Таблица 3.4.

Энергетические характеристики, параметры

Значение

Расчетные формулы

Мощность передатчика , дБм40



Потери в фидере антенны ПРД, PfidTX, дБ

2


Максимальный КУ антенны ПРД, G0TX, дБи

17


Излучаемая мощность , дБм55

Prad =PTX - PfidTX + G0TX Prad = 43 - 2 + 17


Чувствительность приемника, дБм-115



Необходимая мощность полезного сигнала с вероятностью 50 % , дБм-119,4

Pws(50%) =PRX - G0RX Pws(50%) = -115 - 4,4


Необходимая напряженность поля полез­ного сигнала с вероятностью 50 % , дБ (мкВ/м)25

Ews(50%) = 77,2 + 20lg F + Pws(50%) Ews(50%) = 77,2 + 20lg 2300 - 119,4


Среднеквадратическое отклонение (СКО) флуктуаций сигнала s, дБ

10


Параметр логнормального распределения уровней сигнала по местоположению с вероятностью 75% h(75%), раз

0,68


Необходимая мощность полезного сигнала на границе зоны обслуживания с вероятностью 75% , дБм-112,6

Pws(75%) = Pws(50%) + η(75%) σ Pws(75%) = -119,4 + 0,68 ∙ 10


Необходимая напряженность поля полезного сигнала на границе зоны обслуживания с вероятностью 75% , дБ (мкВ/м) 31,8

Ews(75%) = Ews(50%) + η(75%) σ Ews(75%) = 25 + 0,68 ∙ 10


Допустимые основные потери передачи с вероятностью 50% , дБ при нахождении АС на улице174,4

Lt(50%) = Prad - Pws(50%) Lt(50%) = 55 - (-119,4)


Допустимые основные потери передачи с вероятностью 75% , дБ при нахождении АС на улице167,6

Lt(75%) = Lt(50%) - η(75%) σ Lt(75%) = 174,4 - 0,68 ∙ 10


Максимальная дальность связи с вероятностью 75% на границе зоны обслуживания , км2



Расчёт трассы вниз при модуляции 16-КАМ:

Таблица 3.5.

Энергетические характеристики, параметры

Значение

Расчетные формулы

Мощность передатчика , дБм36



Потери в фидере антенны ПРД, PfidTX, дБ

2


Максимальный КУ антенны ПРД, G0TX, дБи

17


Излучаемая мощность , дБм51

Prad =PTX - PfidTX + G0TX Prad = 36 - 2 + 17


Чувствительность приемника, дБм-109



Необходимая мощность полезного сигнала с вероятностью 50 % , дБм-113,4

Pws(50%) =PRX - G0RX Pws(50%) = -109 - 4,4


Необходимая напряженность поля полез­ного сигнала с вероятностью 50 % , дБ (мкВ/м)31

Ews(50%) = 77,2 + 20lg F + Pws(50%) Ews(50%) = 77,2 + 20lg 2300 - 113,4


Среднеквадратическое отклонение (СКО) флуктуаций сигнала s, дБ

10


Параметр логнормального распределения уровней сигнала по местоположению с вероятностью 75% h(75%), раз

0,68


Необходимая мощность полезного сигнала на границе зоны обслуживания с вероятностью 75% , дБм-106,6

Pws(75%) = Pws(50%) + η(75%) σ Pws(75%) = -113,4 + 0,68 ∙ 10


Необходимая напряженность поля полезного сигнала на границе зоны обслуживания с вероятностью 75% , дБ (мкВ/м) 37,8

Ews(75%) = Ews(50%) + η(75%) σ Ews(75%) = 31 + 0,68 ∙ 10


Допустимые основные потери передачи с вероятностью 50% , дБ при нахождении АС на улице154,4

Lt(50%) = Prad - Pws(50%) Lt(50%) = 51 - (-113.4)


Допустимые основные потери передачи с вероятностью 75% , дБ при нахождении АС на улице161,2

Lt(75%) = Lt(50%) - η(75%) σ Lt(75%) = 154,4 - 0,68 ∙ 10


Максимальная дальность связи с вероятностью 75% на границе зоны обслуживания , км1,1



Расчёт трассы вниз при модуляции 64-КАМ:

Таблица 3.6.

Энергетические характеристики, параметры

Значение

Расчетные формулы

Мощность передатчика , дБм32



Потери в фидере антенны ПРД, PfidTX, дБ

2


Максимальный КУ антенны ПРД, G0TX, дБи

17


Излучаемая мощность , дБм47

Prad =PTX - PfidTX + G0TX Prad = 32 - 2 + 17


Чувствительность приемника, дБм-103



Необходимая мощность полезного сигнала с вероятностью 50 % , дБм-107,4

Pws(50%) =PRX - G0RX Pws(50%) = -103 - 4,4


Необходимая напряженность поля полез­ного сигнала с вероятностью 50 % , дБ (мкВ/м)37

Ews(50%) = 77,2 + 20lg F + Pws(50%) Ews(50%) = 77,2 + 20lg 2300 - 107,4


Среднеквадратическое отклонение (СКО) флуктуаций сигнала s, дБ

10


Параметр логнормального распределения уровней сигнала по местоположению с вероятностью 75% h(75%), раз

0,68


Необходимая мощность полезного сигнала на границе зоны обслуживания с вероятностью 75% , дБм-100,6

Pws(75%) = Pws(50%) + η(75%) σ Pws(75%) = -107,4 + 0,68 ∙ 10


Необходимая напряженность поля полезного сигнала на границе зоны обслуживания с вероятностью 75% , дБ (мкВ/м) 43,8

Ews(75%) = Ews(50%) + η(75%) σ Ews(75%) = 37 + 0,68 ∙ 10


Допустимые основные потери передачи с вероятностью 50% , дБ при нахождении АС на улице154,4

Lt(50%) = Prad - Pws(50%) Lt(50%) = 47- (-107,4)


Допустимые основные потери передачи с вероятностью 75% , дБ при нахождении АС на улице147,6

Lt(75%) = Lt(50%) - η(75%) σ Lt(75%) = 154,4 - 0,68 ∙ 10


Максимальная дальность связи с вероятностью 75% на границе зоны обслуживания , км0,58



Рис. 3.7. Зависимости потерь от расстояния при передаче вниз.

 

При расчете были учтены изменения мощности передатчика базовой станции и чувствительности приемника мобильной станции в зависимости от применяемой схемы модуляции. Использование модуляции 64-КАМ обеспечивает более высокую скорость передачи, но требует обеспечения большей величины отношения сигнал/шум. Поэтому такой способ целесообразно применять для пользователей, находящихся вблизи базовой станции. На краях сот самым подходящим является применение модуляции 4-ФМ. Расчет, приведенный выше, доказывает верность этого утверждения.

Рис. 3.8. Расчётные данные зон покрытия.

 

3.3    Расчёт пропускной способности сети WiMAX

Проведем расчет пропускной способности стандарта IEEE 802.16e. Рассчитаем полосу пропускания при 10 МГц.

При 10 МГц, реальная полоса пропускания составляет: 10∙28/25 = 11,2 МГц;

Разнос поднесущих рассчитывается по формуле: ∆f = 11,2/1024 = 10,94 кГц;

Длительность активной части символа: Tb = 1/∆f = 1/10,94∙10ˉі = 91,4 мкс;

Длительность защитного интервала: Tg = δ∙ Tb = 0,125∙91,4 = 11,4 мкс;

Длительность ОЧР символа: Ts = Tb + Tg = 91,4 + 11,4 = 102,8 мкс;

В общем в 5 мс кадре символов составляет: 5∙10ˉ³/102,8∙10ˉ³˙² = 48 символов.

В табл. 3.8 приведены параметры ОЧР, используемых в WiMAX.

Таблица 3.7.

Параметры

Значения

Полоса, МГц

10

Количество поднесущих

1024

-для передачи трафика

720

-пилотные несущие

120

Защитный интервал

184

Разнесение поднесущих

10.94

Длительность преобразования импульса, мкс

91.4

Длительность защитного интервала, мкс

11.4

Длительность ОЧР символа, мкс

102.9

Всего символов в 5 мс кадра

48

Запас по частоте

28/25


Для расчета суммарной скорости передачи вниз необходимо учесть, что при направлении вниз из 48 символов используется 36, а при направлении вверх 12 символов. Также учитываем, что на преамбулу и на MAP в общей сложности отводится 2 ОЧР символа из 36, то есть останется 34 символа на передачу трафика.

В стандарте WiMAX используется восемь модуляционно - кодирующих схем. В табл. 3.8 приведены значения скоростей для полосы 10 МГц и вероятности использования модуляционно - кодирующих схем [4].

Необходимо узнать, сколько бит будет передано в одном кадре вниз, что позволит рассчитать среднюю скорость передачи.

Например, для модуляционно - кодирующей схемы 4-ФМ со скоростью кодирования 1/2 каждый символ передает данные об одном бите. Если используют модуляцию 4-ФМ со скоростью кодирования 3/4, то один символ передает 1,5 бита. Уточним, что речь идет о закодированных битах. Найдем среднестатистическое число бит на символ. Оно составляет 2,2 бита.

Как следует из табл. 3.7, для передачи трафика используется 720 поднесущих и 30 подканалов. Проще говоря, один ОЧР символ состоит 720 символов. В полукадре вниз имеется 34 символа. Это значит, что в полукадре будет 720∙34 = 24480 символов. При этом один элементарный символ передает в среднем 2,2 информационного бита.

Далее рассчитаем, сколько в среднем бит приходится на полукадр, в направлении вниз: 2,2∙24480 = 53856 бит.

Таблица3.8

Полоса 10 МГц

Модуляционно - кодирующая схема


4-ФМ, 1/2

4-ФМ, 3/4

16-КАМ, 1/2

16-КАМ, 3/4

64-КАМ, 1/2

64-КАМ, 2/3

64-КАМ 3/4

64-КАМ, 5/6

Ср.число инф. бит на символ

1

1,5

2

3

3

4

4,5

5

Вероятность, %

0,15

0,30

0,26

0,12

0,7

0,5

0,3

0,2


Средняя скорость передачи вниз составит: 53865/5∙10ˉі = 10,7 Мбит/с

Так как 10-12% канального ресурса выделяют для передачи сигнализации, общая скорость передачи трафика составит 10,7∙0,9 = 9,6 Мбит/с.

В нашем случае, то есть при комбинированном планировании рис. 3.8 нужно рассчитать пропускную способность в центре и на краю сот, так как пропускная способность будет разной в связи с тем, что в центре соты используются все доступные поднесущие, а на краю только 1/3. Ещё один фактор разной пропускной способности в центре и на краю сот, это использование модуляционно - кодирующих схем. Как видно на рис. 3.8, темная часть соты - используются 16-КАМ и 64-КАМ модуляционно - кодирующие схемы, на краю используется 4-ФМ схема.

.9. Соты при комбинированном планировании.

Произведем расчет на основании сказанного.

Средняя скорость передачи в направлении вниз в центре соты

Полоса пропускания так же, составляет 10 МГц. Среднестатистическое число бит на символ в центре соты равно 3,5 бит.

Среднее значение бит на полукадр в направлении вниз: 3,5∙24480 = 85680 бит.

Средняя скорость передачи вниз в центре соты: 85680/5∙10ˉі = 17,1 Мбит/с.

Средняя скорость передачи в направлении вниз на краю соты.

Так как на краю сот используются 1/3 из всех доступных поднесущих, то в этом случае число поднесущих равно 240.

Среднее значение бит на полукадр в направлении вниз: 1,5∙8160 = 12240 бит.

Средняя скорость передачи на краю сот в направлении вниз составит 12240/5∙10ˉі = 2,4 Мбит/с.

В табл. 3.9 приведены скорости передачи для модуляционно - кодирующих схем с шириной полосы 10 МГц.

Таблица 3.9.

Полоса 10 МГц

Модуляционно - кодирующая схема


4-ФМ, 1/2

4-ФМ, 3/4

16-КАМ, 1/2

16-КАМ, 3/4

64-КАМ, 1/2

64-КАМ, 2/3

64-КАМ 3/4

64-КАМ, 5/6

Скорость передачи в Мбит/с

6,3

9,5

12,7

19,0

7.56 19,0

25,3

28,5

31,7

4. ТЕХНИКО-ЭКОНОМИЧЕСКИЕ РАСЧЕТЫ

.1 Расчет капитальных вложений

Капитальные вложения - это денежные средства, направленные на приобретение новых предприятий; расширение, реконструкцию и техническое оборудование действующих предприятий.

Основное производственное оборудование проектируемой сети представлено в Таб. 4.1

Таблица 4.1.


Наименование

Ед.измерения

Кол-во

Цена руб.

Всего руб.

1

Комплект оборудования (ASN шлюз, ААА, Netspan управления сетью)

К-т

1

2 500 000

2 500 000

2

BTS

К-т

2



3

INT-SEC-17/5X-H секторная антенна для базовой станции

шт

12

6 540

78 480

4

Коаксиальный кабель LMR-400

м

750

144

108 000

5

ПК с ОС (Windows XP)+ Ноутбук

шт

2+1

40 000

120 000

Итого


При установке оборудования будем использовать уже готовую структуру (мачтовые сооружения и помещение местного оператора - АТС).

Расчет затрат на монтаж оборудования:

Стоимость оборудования: Коб. = 2 806 480 руб.

Расходы на монтажные работы составляют 35% от стоимости оборудования:

Км = 982 000 руб.

Непредвиденные расходы (1% от стоимости оборудования):

Кнепр. = 28 000 руб.

Суммарные капитальные расходы:

К = Коб + Км + Кнепр = 3 816 480 руб.

4.2 Расчет эксплуатационных расходов

Эксплуатационные расходы - это расходы, связанные с эксплуатацией техники предприятия связи.

К этим расходам относятся следующие статьи затрат:

•        материальные затраты (расходы на оплату электроэнергии)

•        заработная плата персонала

•        единый социальный налог

•        амортизационные отчисления

•        прочие затраты

4.2.1 Фонд оплаты труда

Для обслуживания оборудования сети беспроводного доступа необходим штат из 8 человек.

Таблица 4.2

Должности

Зарплата,руб.

Кол-во человек

Рабочие месяцы

Общая зарплата в год, руб.

Начальник

26 000

1

12

312 000

Гл.инженер

24 000

1

12

288 000

Гл.бухгалтер

21 000

1

12

252 000

Электромеханик

17 000

2

12

408 000

Оператор

15 000

3

12

540 000

Итог

1 800 000

 

Расчет фонда основной оплаты труда:

,

где Пр - премии, которые составляют 25% от ФОТ;

Дз - дополнительные зарплаты, которые составляют 10 % от ФОТ.


Единый социальный налог 26% от ФОТΣ: Осоц = 0,26Ч 2 430 000 = 631 800 руб.

Амортизационные отчисления составляют:

.5% от годовых затрат на сооружения С = 78 480 руб.:

Ас = 0,035 Ч 78 480 = 2 500 руб.

12% от годовых затрат на аппаратуру (A = Ц0-С):

А = 2 806 480 -78 480 = 2 728 000 руб.

AА = 0.12 Ч 2 728 000 = 333 000 руб.

Суммарные амортизационные отчисления Аотч = Aс + АА:

Аотч = 2 500+333 000 = 335 500 руб.

Материальные затраты Мз состоят из затрат на материалы и запчасти, которые составляют 3 % от К - суммарных капитальных расходов:

Мз = 0,03 Ч 3 816 480 = 114 500 руб.

Расходы на оплату электроэнергии определяется исходя из мощности, потребляемой оборудованием; времени работы и тарифов на электроэнергию:

;   

где n - количество приёмопередатчиков, n = 6 ;

w - потребляемая мощность приёмопередатчика ,


10/15% - потери энергии в подводящих проводах.

Суммарные материальные затраты МзΣ = М + Э

Мз∑ = 114 500+1 942=116 442 руб.

Прочие затраты составляют 15 % от ФОТ:

Пз = 0,15 Ч2 430 000 =364 500 руб.

Таким образом, эксплуатационные затраты: ЭР = ФОТ + Осоц + Аотч + Мз∑ + Пз

ЭР=2 430 000+681 800+335 500+116 442+364 500= 3 928 242 руб.

Всего эксплуатационные расходы в год составят:

Таблица4.3.

№ п/п

Наименование статей затрат

Годовые затраты, руб.

1

Фонд оплаты труда

2 430 000

2

Единый социальный налог

681 800

3

Амортизационные отчисления

335 500

4

Материальные затраты

116 442

5

Прочие расходы

364 500

Итого

3 928 242

4.3 Расчет годовых доходов

Годовые доходы - доходы, получаемые за год от реализации услуг по определенным расценкам. Рассчитываются два вида доходов единовременные и текущие (ежегодные).

Разовые доходы:

- доходы, полученные при подключении абонента к сети. Стоимость подключения абонентов к сети WiMAX - 50 руб. Так как в поселке нет ни одного оператора WiMAX, а абонентами являются финансово малообеспеченные сельские жители, такая цена вполне приемлема.

При планируемом количестве абонентов сети 2 800, доходы от подключения составят: 50 * 2 800(абонентов) = 14 000 руб.

Расчет текущих - ежемесячных доходов, получаемых от абонентов за предоставленные услуги производился для первого года эксплуатации.

Текущие - ежемесячные доходы

Таблица 4.4.

Категория дохода

Стоимость,  руб/мес

تîëè÷هٌٍâî àلîيهيٍîâ

إوهىهٌے÷يûه نîُîنû, руб/мес

دîëüçîâàيèه èيٍهًيهٍîى ٌî ٌêîًîٌٍü‏ 2 جلèٍ/ٌ

100

1260

126 000

دîëüçîâàيèه èيٍهًيهٍîى ٌî ٌêîًîٌٍü‏ 5 جلèٍ/ٌ

220

910

200 000

دîëüçîâàيèه èيٍهًيهٍîى ٌî ٌêîًîٌٍü‏ 7 جلèٍ/ٌ

300

420

126 000

دîëüçîâàيèه èيٍهًيهٍîى ٌî ٌêîًîٌٍü‏ 9 جلèٍ/ٌ

380

210

80 000

بٍîمî


532 000


خلùèé نîُîن لَنهٍ ٌîٌٍàâëےٍü, â مîن:

ؤ= ؤٍهê + ؤً

أنه, ؤً -ًàçîâûه نîُîنû

ؤٍهê -ٍهêَùèه نîُîنû

ؤ = 532 000 *12 + 14 000 = 6 398 000 ًَل.

ہلîيهيٌٍêàے ïëàٍà âçےٍà â نâà ًàçà ىهيüّه. رâےçàيî ‎ٍî ٌ ٍهى, ÷ٍî â ٍه÷هيèه مîنà (ââîنà ٌهٍè â ‎êٌïëَàٍàِè‏) àلîيهيٍû لَنٍَ ïîنêë‏÷àٍüٌے ê ٌهٍè ïîٌٍهïهييî, نîٌٍèميَâ ًàٌ÷هٍيîمî çيà÷هيèے ê êîيَِ مîنà. رëهنîâàٍهëüيî, نîُîن îٍ هه êàٍهمîًèè ىîوهٍ âûًàٌٍè ÷هًهç مîن â 2 ًàçà.

4.4 ذàٌ÷هٍ ïًèلûëè

د = ؤ - ف

أنه, ؤ- خلùèé نîُîن â مîن

ف - فêٌïëَàٍàِèîييûه ًàٌُîنû

د - مîنîâàے ïًèلûëü:

د = 6 398 000- 3 928 242= 2 469 758 ًَل.

حàëîم يà ïًèلûëü - 15% مîنîâûُ

ح=د*15/100

ح=2 469 758*15/100=370 463,7 ًَل.

دًèلûëü îٌٍà‏ùàےٌے يà ïًهنïًèےٍèè:

د÷èٌٍ. = د - ح=2 469 758-370 463,7=2 099 294,3 ًَل.

4.5 ذàٌ÷هٍ ًٌîêà îêَïàهىîٌٍè

رًîê îêَïàهىîٌٍè - ‎ٍî ïًîِهٌٌ îٍîلًàوà‏ùèé ïًîىهوٍَîê âًهىهيè çà êîٍîًûé êàïèٍàëüيûه çàًٍàٍû îêَïےٌٍے è يà÷يٍَ ïًèيîٌèٍü ïًèلûëü.

رًîê îêَïàهىîٌٍè ًàٌٌ÷èٍûâàهٌٍے ïî ôîًىَëه:

ز=ت/د÷èٌٍ.

êàïèٍàëüيûه âëîوهيèے

ز=3 816 480 /2 099 294,3 = 2 مîنà

4.6 ہيàëèç ٍهُيèêî-‎êîيîىè÷هٌêèُ ïîêàçàٍهëهé

زهُيèêî-‎êîيîىè÷هٌêèه ïîêàçàٍهëè - ‎ٍî ‎êîيîىè÷هٌêèه è ٍهُيè÷هٌêèه êًèٍهًèè, ُàًàêٍهًèçèًَ‏ùèه îلْهêٍ ïًîهêٍèًîâàيèے.

ٍهُيèêî-‎êîيîىè÷هٌêèُ ïîêàçàٍهëهé.

زàلëèِà 4.5.

حàèىهيîâàيèه ïîêàçàٍهëهé

ايà÷هيèه

زèï îلîًَنîâàيèے

Airspan

رٍàينàًٍ

IEEE 802.16ه (mobile WiMAX)

تîëè÷هٌٍâî لàçîâûُ ٌٍàيِèé

2

دًîïٌَêيàے ٌïîٌîليîٌٍü يà ٌهêٍîً ءر, Mلèٍ/ٌ

20

خïٍèىàëüيîه ÷èٌëî àلîيهيٍîâ ٌهٍè

2800

×èٌëهييîٌٍü ٍّàٍà

8

تàïèٍàëüيûه çàًٍàٍû, ًَل.

3 816 480

فêٌïëَàٍàِèîييûه ًàٌُîنû, ًَل.

3 928 242

رًîê îêَïàهىîٌٍè, م.

2

5.جإذخدذبكزبك دخ خصذہحإ زذسؤہ ب دخئہذحخة ءإاخدہرحخرزب

.1 صàًàêٍهًèٌٍèêà îلْهêٍà ïًîهêٍèًîâàيèے è ٌَëîâèé همî ‎êٌïëَàٍàِèè

دًîهêٍèًîâàيèه ٌهٍè لهٌïًîâîنيîé ٌâےçè WiMAX â ٌهëüٌêîى يàٌهëهييîى ïَيêٍه, âûïîëيےهٌٍے نëے îلهٌïه÷هيèے يàنهويîٌٍè è يهïًهًûâيîٌٍè ٌâےçè يà نàييîé ٍهًًèٍîًèè. ذàنèٌَ çîيû îُâàٍà ٌهٍè ٌîٌٍàâëےهٍ ïًèىهًيî 2 êى.

آ ٌîٌٍàâ ٌهٍè âُîنےٍ: àيٍهييà, لàçîâàے ٌٍàيِèے, ASN ّë‏ç.

أàلàًèٍû لàçîâîé ٌٍàيِèè: نëèيà - 416 ىى; âûٌîٍà - 336 ىى; ّèًèيà-107 ىى, ًàçىهً ïëîùàنêè نëے ًàçâهًٍûâàيèے ٌٍàيِèè - 20 ُ 40 ى.

تîًïٌَà îلîًَنîâàيèے - ىهٍàëëè÷هٌêèه. خلîًَنîâàيèه ءر ےâëےهٌٍے ٌٍàِèîيàًيûى, ىيîمîêًàٍيîمî نهéٌٍâèے. ×àٌٍü îلîًَنîâàيèے ٌٍَàيàâëèâàهٌٍے يà ىà÷ٍه, à ÷àٌٍü - â ïîىهùهيèےُ ہزر. دهًâè÷يûى èٌٍî÷يèêîى ‎ëهêًٍîïèٍàيèے ےâëےهٌٍے ًٍهُôàçيàے, ÷هٍûًهُïًîâîنيàے ٌهٍü ٌ çàçهىëهييîé يهéًٍàëü‏ يàïًےوهيèهى 380/200آ ïهًهىهييîمî ٍîêà ïًîىûّëهييîé ÷àٌٍîٍû 50 أِ. رèٌٍهىà ‎ëهêًٍîïèٍàيèے ٌîٌٍîèٍ èç ïهًâè÷يîمî èٌٍî÷يèêà, è ًهçهًâيîé ٌèٌٍهىû نëے مàًàيٍèًîâàييîمî ïèٍàيèے àïïàًàًٍَû, îلهٌïه÷èâà‏ùèُ لهٌïهًهلîéيîه ïèٍàيèه.

ہïïàًàًٍَà ٌٍàيِèè îلهٌïه÷èâàهٍ ًàلîٍَ:

-       â ٌَëîâèےُ îٍيîٌèٍهëüيîé âëàويîٌٍè îêًَوà‏ùهمî âîçنَُà نî 98 % ïًè ٍهىïهًàًٍَه +35 °C;

-       ïًè ٍهىïهًàًٍَه îêًَوà‏ùهمî âîçنَُà îٍ −20 °C نî +50 °C;

-       ïًè àٍىîٌôهًيîى نàâëهيèè نî 460 ىى ًٍ. ٌٍ.

-       îلëàٌٍü ٍهىïهًàًٍَ, â êîٍîًîé ٌٍàيِèے ىîوهٍ يàُîنèٍüٌے â îلهٌٍî÷هييîى ٌîٌٍîےيèè îٍ −50 °C نî +65 °C.

-       ٌêîًîٌٍü نâèوهيèے âîçنَُà يه لîëهه 0,2ىهê â ُîëîنيîه âًهىے مîنà, 0,3ىهê â ٍهïëîه âًهىے مîنà.

حàنهويîٌٍü ًàلîٍû îلîًَنîâàيèے ٌهٍè يهâîçىîويà لهç نهےٍهëüيîٌٍè ÷هëîâهêà. خٌيîâيûىè âèنàىè نهےٍهëüيîٌٍè îلٌëَوèâà‏ùهمî ïهًٌîيàëà ےâëے‏ٌٍے:

êîيًٍîëü êà÷هٌٍâà ïهًهنàâàهىîé èيôîًىàِèè;

ïًîôèëàêٍè÷هٌêèه ًàلîٍû يà îلîًَنîâàيèè;

- ٌٍَàيîâëهيèه âûےâëهييûُ يهèٌïًàâيîٌٍهé.

حà îٌيîâيîé لàçîâîé ٌٍàيِèè èىههٌٍے نهوًَيûé ïهًٌîيàë. دîىهùهيèے ٌٍàيِèé îٍيîٌےٌٍے ê êàٍهمîًèè ؤ (ïîيèوهييàے ïîوàًîîïàٌيîٌٍü), نîëويû èىهٍü هٌٍهٌٍâهييîه è èٌêٌٌٍَâهييîه îٌâهùهيèه, ٌîîٍâهٌٍٍâَ‏ùهه نهéٌٍâَ‏ùèى ٌàيèٍàًيûى يîًىàى.

دًè ًهىîيٍه èëè ٌىهيه îٍنهëüيûُ ÷àٌٍهé îلîًَنîâàيèے, ïهًٌîيàë نîëوهي èىهٍü يه يèوه 3-هé êâàëèôèêàِèîييîé مًَïïû ïî ٍهُيèêه لهçîïàٌيîٌٍè.

5.2 جهًîïًèےٍèے ïî ٍهُيèêه لهçîïàٌيîٌٍè

آ ïîىهùهيèےُ ٌٍàيِèé, منه ٌٍَàيîâëهيî ‎ëهêًٍè÷هٌêîه è ًàنèîٍهُيè÷هٌêîه îلîًَنîâàيèه, لàٍàًهè îٍîïëهيèے, ًٍَلû âîنîïًîâîنà, îٍîïëهيèے è êàيàëèçàِèè, هٌëè èىههٌٍے âîçىîويîٌٍü îنيîâًهىهييîمî ïًèêîٌيîâهيèے ê يèى è ê ىهٍàëëè÷هٌêèى êîًïٌَàى ‎ٍîمî îلîًَنîâàيèے, نîëويû لûٍü îمًàونهيû ٍîêîيهïًîâîنےùèىè ًهّهٍêàىè. رî ٌٍîًîيû îٍêًûâà‏ùèٌُے نâهًهé, ٌيèىà‏ùèٌُے êîوَُîâ èëè âûنâèمà‏ùèٌُے ïàيهëهé àïïàًàًٍَû, îêîëî ‎ëهêًٍè÷هٌêèُ ىàّèي è ٌèëîâûُ ùèٍêîâ يà ïîëَ نîëويû ëهوàٍü نè‎ëهêًٍè÷هٌêèه êîâًèêè èëè نîًîوêè ّèًèيîé يه ىهيهه 0,7 ى.

رٍàيِèè îلîًَنَ‏ٌٍے çàçهىëهيèهى, êîٍîًîه ےâëےهٌٍے îنيîâًهىهييî çàùèٍيûى è ًàلî÷èى. آهëè÷èيà ٌîïًîٍèâëهيèے çàçهىëهيèے يه نîëويà ïًهâûّàٍü 10 خى نëے îïîًيûه ٌَèëèٍهëüيûه ٌٍàيِèè (خسر);. ٌَèëèٍهëüيûه ٌٍàيِèè (سر);. ًٍàيٌôîًىàٍîًيûه ïîنٌٍàيِèè (زد);. لëîê-ٌٍàيِèè (ءر). إٌëè ٌٍàيِèè ٌîâىهùهيû â îنيîى çنàيèè ٌ ‎ëهêًٍîïîنٌٍàيِèےىè, èىه‏ùèىè ïèٍà‏ùèه ًٍàيٌôîًىàٍîًû يàïًےوهيèهى 380/220 آ ىîùيîٌٍü‏ 100 êآٍ è âûّه, âهëè÷èيà ٌîïًîٍèâëهيèے çàçهىëهيèے يه نîëويà ïًهâûّàٍü 4 خى.

ت çàçهىëهيè‏ نîëويû لûٍü ïًèٌîهنèيهيû:

à) êîًïٌَà ‎ëهêًٍè÷هٌêèُ ىàّèي, ًٍàيٌôîًىàٍîًîâ, àïïàًàًٍَû ٌَèëèٍهëهé, ïهًهنàٍ÷èêîâ, àïïàًàًٍَû è ٍّàٍèâîâ âûُîنيîé êîىىٍَàِèè;

ل) êàًêàٌû ٌèëîâûُ ًàٌïًهنهëèٍهëüيûُ ùèٍîâ, ùèٍîâ َïًàâëهيèے è ùèٍêîâ;

â) ىهٍàëëè÷هٌêèه îلîëî÷êè è لًîيے êîيًٍîëüيûُ è ٌèëîâûُ êàلهëهé, ىهٍàëëè÷هٌêèه îلîëî÷êè ïًîâîنîâ, ٌٍàëüيûه ًٍَلû ‎ëهêًٍîïًîâîنêè è نًَمèه ىهٍàëëè÷هٌêèه êîيًٌٍَêِèè, ٌâےçàييûه ٌ ٌٍَàيîâêîé ‎ëهêًٍîîلîًَنîâàيèے;

م) ىهٍàëëè÷هٌêèه êîًïٌَà ïهًهنâèويûُ è ïهًهيîٌيûُ ‎ëهêًٍîïًèهىيèêîâ.

تàونûé çàçهىëےهىûé ‎ëهىهيٍ يَويî îٍنهëüيûى îٍâهٍâëهيèهى ïًèٌîهنèيèٍü ê çàçهىëèٍهë‏ èëè ê çàçهىëے‏ùهé ىàمèًٌٍàëè. دîٌëهنîâàٍهëüيîه âêë‏÷هيèه يهٌêîëüêèُ çàçهىëےهىûُ ‎ëهىهيٍîâ çàïًهùàهٌٍے. رîٌٍîےيèه çàçهىëهيèے è âهëè÷èيà ٌîïًîٍèâëهيèے çàçهىëهيèے ïًîâهًے‏ٌٍے يهïîًٌهنٌٍâهييî ïîٌëه همî ًٌٍَîéٌٍâà, à ٍàêوه ïهًèîنè÷هٌêè يه ًهوه 1 ًàçà â مîن.

إٌëè îلîًَنîâàيèه ïèٍàهٌٍے îٍ ٌهٍè ٌ مëَُîçàçهىëهييîé يهéًٍàëü‏, ٍî ïًè çàىûêàيèè يà çهىë‏ همî ٍîêîيهٌَùèُ ÷àٌٍهé نîëويî لûٍü îلهٌïه÷هيî يàنهويîه îٍêë‏÷هيèه ïîâًهونهييûُ َ÷àٌٍêîâ ٌُهىû çà ٌ÷هٍ ٌمîًàيèے ïëàâêèُ ïًهنîًُàيèٍهëهé èëè ًٌàلàٍûâàيèے àâٍîىàٍè÷هٌêîé çàùèٍû. آٌه ÷àٌٍè îلîًَنîâàيèے, ïîنëهوàùèه çàçهىëهيè‏, نîëويû èىهٍü ىهٍàëëè÷هٌêَ‏ ٌâےçü ٌ çàçهىëهييîé يهéًٍàëü‏ ïèٍà‏ùهمî ًٍàيٌôîًىàٍîًà (çàيَëهيèه). آ ٌٍَàيîâêàُ ٌ مëَُîçàçهىëهييîé يهéًٍàëü‏ ïًèىهيهيèه çàçهىëهيèے êîًïٌَîâ îلîًَنîâàيèے لهç ىهٍàëëè÷هٌêîé ٌâےçè ٌ يهéًٍàëü‏ ًٍàيٌôîًىàٍîًà çàïًهùàهٌٍے. حَëهâîé ïًîâîن ٌهٍè ‎ëهêًٍîïèٍàيèے نîëوهي لûٍü çàâهنهي يà مëàâيûé ٌèëîâîé ùèٍ ٌٍàيِèè è يàنهويî ٌîهنèيهي ٌ ىàمèًٌٍàëü‏ çàçهىëهيèے. اàçهىëے‏ùèه ïًîâîنيèêè يهîلُîنèىî ïًèâàًèâàٍü ê çàçهىëèٍهëےى è çàçهىëےهىûى êîيًٌٍَêِèےى, à ê êîًïٌَàى àïïàًàٍîâ, ىàّèي è ٍ.ï. ïًèٌîهنèيےٍü ٌâàًêîé èëè يàنهويûى لîëٍîâûى ٌîهنèيهيèهى, ïًè ‎ٍîى â ٌûًûُ ïîىهùهيèےُ ٌ هنêèىè ïàًàىè èëè مàçàىè êîيٍàêٍيûه ïîâهًُيîٌٍè نîëويû èىهٍü çàùèٍيûه ïîêًûٍèے. تîيِû çàçهىëے‏ùèُ مèلêèُ ïًîâîنيèêîâ, ïًèىهيےهىûُ نëے ïًèٌîهنèيهيèے ê êîًïٌَàى àïïàًàٍîâ, ىàّèي è ٍ.ن., نîëويû èىهٍü ïًèâàًهييûه يàêîيه÷يèêè (نîïٌَêàهٌٍے îïًهٌٌîâêà ٌ ïîٌëهنَ‏ùهé ïàéêîé). دًè ٌîًٍےٌهيèےُ èëè âèلًàِèè نîëويû لûٍü ïًèيےٍû ىهًû ïًîٍèâ îٌëàلëهيèے êîيٍàêٍà (êîيًٍمàéêè, ïًَوèيےùèه ّàéلû è ٍ.ï.). تîيًٌٍَêِèے لëîêèًîâî÷يûُ êîيٍàêٍîâ ‎ëهêًٍè÷هٌêîé لëîêèًîâêè نîëويà لûٍü يàنهويîé è èٌêë‏÷à‏ùهé âîçىîويîٌٍü èُ çàêëèيèâàيèے, îلمîًàيèے è ïًèâàًèâàيèے.

آٌه لëîêèًîâî÷يûه êîيٍàêٍû نîëويû âêë‏÷àٍüٌے ïîٌëهنîâàٍهëüيî. تîيًٌٍَêِèے نâهًè âî âٌهُ ٌëَ÷àےُ, êîمنà âîçىîويî ïًèٌٌٍٍَâèه ÷هëîâهêà âî âيًٍَهييهى ïًîًٌٍàيٌٍâه ٌٍَàيîâêè, نîëويà èٌêë‏÷àٍü ïًîèçâîëüيîه هه çàêًûâàيèه. رٍàِèîيàًيûه ïًèلîًû (âîëüٍىهًٍû, ٌèميàëüيûه ëàىïû è نً.) ےâëے‏ٌٍے ٍîëüêî âٌïîىîمàٍهëüيûىè ًٌهنٌٍâàىè, يà îٌيîâàيèè ïîêàçàيèé êîٍîًûُ يهëüçے نهëàٍü çàêë‏÷هيèه îل îٌٌٍٍٍَâèè يàïًےوهيèے.

ذَلèëüيèêè, êëهىىû è نًَمèه ٍîêîâهنَùèه ÷àٌٍè نîëويû لûٍü çàêًûٍû êîوَُàىè, çàùèùهييûىè îٍ ٌëَ÷àéيîمî ïًèêîٌيîâهيèے ê ÷àٌٍےى, يàُîنےùèىٌے ïîن يàïًےوهيèهى. إٌëè ‎ëهêًٍî- è ًàنèîٍهُيè÷هٌêèه ٌٍَàيîâêè èىه‏ٍ îمîëهييûه ٍîêîâهنَùèه ÷àٌٍè, نîٌٍَïيûه ٌëَ÷àéيîىَ ïًèêîٌيîâهيè‏ ë‏نهé, ٍî ‎ٍè ÷àٌٍè نîëويû لûٍü çàêًûٍû èëè îمًàونهيû â ٍهُ ٌëَ÷àےُ, êîمنà يàïًےوهيèه ïًهâûّàهٍ â ïîىهùهيèےُ îٌîلî îïàٌيûُ - 12 آ, âî âٌهُ îٌٍàëüيûُ - 42 آ. دًîâهًêà ïًè يàïًےوهيèè نî 1000 آ ïًîèçâîنèٌٍے َêàçàٍهëهى يàïًےوهيèے èëè ïهًهيîٌيûى âîëüٍىهًٍîى. حهïîًٌهنٌٍâهييî ïهًهن ïًîâهًêîé îٌٌٍٍٍَâèے يàïًےوهيèے نîëويà لûٍü ٌٍَàيîâëهيà èٌïًàâيîٌٍü ïًèىهيےهىîمî نëے ‎ٍîé ِهëè َêàçàٍهëے èëè نًَمîمî ïًèلîًà يà ٍîêîâهنَùèُ ÷àٌٍےُ, ًàٌïîëîوهييûُ ïîلëèçîٌٍè è çàâهنîىî يàُîنےùèٌُے ïîن يàïًےوهيèهى. إٌëè يهٍ âîçىîويîٌٍè ïًîâهًèٍü َêàçàٍهëü èëè نًَمîé ïًèلîً يà ىهٌٍه, نîïٌَêàهٌٍے ïًهنâàًèٍهëüيàے èُ ïًîâهًêà يà يه îٍêë‏÷هييîى َ÷àٌٍêه â نًَمîى ىهٌٍه. إٌëè ïًîâهًهييûé ٍàêèى ïٍَهى ïًèلîً لûë ًَîيهي èëè ïîنâهًمàëٌے ٍîë÷êàى ëèلî َنàًàى, ٍî ïًèىهيےٍü همî لهç ïîâٍîًيîé ïًîâهًêè çàïًهùàهٌٍے.

حà ٌٍàيِèےُ îلےçàٍهëüيî نîëويû ïًèٌٌٍٍَâîâàٍü èينèâèنَàëüيûه ًٌهنٌٍâà çàùèٍû, êîٍîًûه نهëےٌٍے يà نâه مًَïïû نî 1000آ.

ت îٌيîâيûى èçîëèًَ‏ùèى ‎ëهêًٍîçàùèٍيûى ًٌهنٌٍâàى نëے ‎ëهêًٍîٌٍَàيîâîê يàïًےوهيèهى نî 1000آ îٍيîٌےٌٍے:

- َêàçàٍهëè يàïًےوهيèے;

نè‎ëهêًٍè÷هٌêèه ïهً÷àٍêè;

 ًَ÷يîé èçîëèًَ‏ùèé èيًٌٍَىهيٍ.

ت نîïîëيèٍهëüيûى èçîëèًَ‏ùèى ‎ëهêًٍîçàùèٍيûى ًٌهنٌٍâàى نëے ‎ëهêًٍîٌٍَàيîâîê يàïًےوهيèهى نî 1000آ îٍيîٌےٌٍے:

- نè‎ëهêًٍè÷هٌêèه êîâًû;

èçîëèًَ‏ùèه êîëïàêè, ïîêًûٍèے è يàêëàنêè;

5.3 جهًîïًèےٍèے ïî ïîوàًيîé ïًîôèëàêٍèêه

خٌيîâيûىè ïًè÷èيàىè âîçمîًàيèے يà ٌٍàيِèè ےâëے‏ٌٍے:

 - ïهًهمًَçêà ٌîهنèيèٍهëüيûُ ïًîâîنîâ è ‎ëهىهيٍîâ ٌُهىû;

 - êîًîٍêîه çàىûêàيèه èç-çà ٌيèوهيèے ٌîïًîٍèâëهيèے èçîëےِèè èëè ٌîïًèêîٌيîâهيèے ٍîêîâهنَùèُ ÷àٌٍهé ٌ êîًïٌَîى ïًè يهنîٌٍàٍî÷يîé وهٌٍêîٌٍè êîيًٌٍَêِèè;

èٌêًهيèے è ïًîلîè ىهونَ ‎ëهىهيٍàىè ٌُهى ïًè لëèçêîى èُ ًàٌïîëîوهيèè;

èٌïîëüçîâàيèه مîً‏÷èُ ىàٍهًèàëîâ ïًè êîيًٌٍَèًîâàيèè;

èçلûٍî÷يîه âûنهëهيèه ٍهïëà.

اàùèٍà îلîًَنîâàيèے è àïïàًàًٍَû îٌَùهٌٍâëےهٌٍے ïًè ïîىîùè ïًàâèëüيî ïîنîلًàييûُ ïًهنîًُàيèٍهëهé è ًàçëè÷يûُ àâٍîىàٍè÷هٌêèُ âûêë‏÷àٍهëهé. حà îلهèُ ٌٍàيِèےُ ٌٍَàيàâëèâàهٌٍے ٌèٌٍهىà ïîوàًيîé ٌèميàëèçàِèè ٌ نàٍ÷èêàىè, êîٍîًûه ًٌàلàٍûâà‏ٍ ïًè ïîâûّهيèè ٍهىïهًàًٍَû ïîىهùهيèے è ٌîهنèيے‏ٌٍے ïî êîëüِهâîé ٌُهىه. دîىهùهيèه èىههٍ êàٍهمîًè‏ ïî ïîوàًيîé îïàٌيîٌٍè - ؤ. آ îلْهêٍه يهٍ يè مîً‏÷èُ مàçîâ, يè ëهمêîâîٌïëàىهيے‏ùèٌُے وèنêîٌٍهé, âهùهٌٍâ ٌïîٌîليûُ âçًûâàٍüٌے è مîًهٍü ïًè âçàèىîنهéٌٍâèè ٌ âîنîé.

خله ٌٍàيِèè êîىïëهêٍَ‏ٌٍے ïهًâè÷يûىè ًٌهنٌٍâàىè ïîوàًîٍَّهيèے. ؤëے ëèêâèنàِèè î÷àمîâ ïîوàًà èٌïîëüçَ‏ٍ َمëهêèٌëîٍيûه îميهٍَّèٍهëè.

حà ٍهًًèٍîًèè ٌٍàيِèé îلîًَنَ‏ٌٍے ïîوàًيûه ùèٍû (ùèٍû ٌ îميهٍَّèٍهëےىè ىàًêè خس-8 , ëîïàٍîé, لàمًàىè è ëîىàىè), ےùèêè ٌ ïهٌêîى.

5.4 آûâîنû

آûïîëيهيèه ىهًîïًèےٍèé ïî îًُàيه ًٍَنà îلهٌïه÷èâàهٍ لهçîïàٌيَ ًàلîٍَ îلٌëَوèâà‏ùهمî ïهًٌîيàëà è يîًىàëüيَ‏ ‎êٌïëَàٍàِè‏ îلîًَنîâàيèے ٌٍàيِèè.

زùàٍهëüيî ïًîنَىàييûه è ٌلàëàيٌèًîâàييûه ًهّهيèے ïî îًُàيه ًٍَنà (يàëè÷èه êîىيàٍ îٍنûُà نëے ïهًٌîيàëà, îïٍèىàëüيûé ٍهىïهًàًٍَيûé ًهوèى è ٍ.ن.) ٌïîٌîلٌٍâَ‏ٍ ïîâûّهيè‏ ïًîèçâîنèٍهëüيîٌٍè ًٍَنà

دًè ٌîلë‏نهيèè ïهًٌîيàëîى îلْهêٍà ïًàâèë ïî îًُàيه ًٍَنà è ٍهُيèêه لهçîïàٌيîٌٍè ٌëَ÷àè ًٍàâىàٍèçىà è âîçيèêيîâهيèے âîçمîًàيèé ٌâهنهيû ê ىèيèىَىَ.

آîçىîويû نàëüيهéّèه َëَ÷ّهيèے îًمàيèçàِèè ًàلî÷èُ ىهٌٍ è îلهٌïه÷هيèے îلùهé لهçîïàٌيîٌٍè ïهًٌîيàëà, ٌïîٌîلٌٍâَ‏ùèه ïًهنَïًهونهيè‏ çàلîëهâàيèé è ًٍàâىàٍèçىَ.

اہتثق×إحبإ

بٌïîëüçîâàيèه èيôîًىàِèîييûُ ٍهُيîëîمèé Mobile WiMAX ïîçâîëے‏ٍ ïًهنîٌٍàâèٍü îٍيîٌèٍهëüيî نهّهâîه ïîêًûٍèه لهٌïًîâîنيûى ّèًîêîïîëîٌيûى نîٌٍَïîى â بيٍهًيهٍ. تàê ïîêàçàëè ًàٌ÷هٍû ïًè ïًîهêٍèًîâàيèè, èٌïîëüçîâàيèه نàييîé ٍهُيîëîمèè لَنهٍ ‎ôôهêٍèâيî ïًè ïîêًûٍèè يهلîëüّîé ٍهًًèٍîًèè, ٍàêîé êàê ïîٌهëîê صàëà÷. دًè èٌïîëüçîâàيèè لهٌïًîâîنيîمî نîٌٍَïà îïهًàٍîً ىîوهٍ ٌ‎êîيîىèٍü, êàê يà ًٍَنîâûُ ًهçهًâàُ (îلٌëَوèâàيèه ٌهٍè âٌهمî 8 ًàلîٍيèêàىè), ٍàê è ïًè ًàçâهًٍûâàيèè لàçîâûُ ٌٍàيِèé (يَوهي ٍîëüêî èُ ىîيٍàو è ٌٍَàيîâêà), ÷ٍî ٌَùهٌٍâهييî ٌêàوهٌٍے يà ٌهلهٌٍîèىîٌٍè ïًهنîٌٍàâëےهىûُ ٌَëَم.

آ ïًîِهٌٌه ًàçًàلîٍêè ïًهنëîوهيî è îلîٌيîâàيî èٌïîëüçîâàيèه ٌهٍè WiMAX ٌ ًٍهلَهىûىè ôَيêِèےىè è ًàلî÷èىè ُàًàêٍهًèٌٍèêàىè.

ؤëے نîٌٍèوهيèے لîëهه âûٌîêîمî ‎يهًمهٍè÷هٌêîمî ïîٍهيِèàëà ëèيèé ٌâےçè (link budget), َىهيüّهيèے çàٍَُàيèے ٌèميàëîâ è ëَ÷ّهمî ïîêًûٍèے ىèêًî-ٌïîٍîâ (micro-spot), èٌïîëüçîâàيû ًàçëè÷يûه ٍهُيîëîمèè ًàçيهٌهيèے. دًèلûëüيàے لèçيهٌ-ىîنهëü WiMAX ٌ لîëهه âûٌîêèى ïîêًûٍèهى ïîëüçîâàٍهëهé, َنîâëهٍâîًهييîٌٍü‏ ïîëüçîâàٍهëهé è َëَ÷ّà‏ùàے يهًمهٍè÷هٌêèه ïîٍهيِèàëû ëèيèé ٌâےçè (link budget) WiMAX ىîوهٍ لûٍü نîٌٍèميٍَà ïًè èٌïîëüçîâàيèè ïهًهنîâûُ àيٍهييûُ ٍهُيîëîمèé (MIMO è AAS): MIMO A/B & STC

ؤàëهه لûëà ًàçًàلîٍàيà êîيôèمًَàِèے ٌهٍè, êîٍîًàے َنîâëهٍâîًےهٍ êًèٍهًèےى ïî لûًٌٍîنهéٌٍâè‏, يàنهويîٌٍè, ٌٍîèىîٌٍè, èيôîًىàِèîييîé لهçîïàٌيîٌٍè.

رهٍü îلْهنèيےهٍ ٌëهنَ‏ùèه ًٌٍَîéٌٍâà:

·   ىîلèëüيûه ٌٍàيِèè (ىîنهى BreezeMAX USB 200);

·   لàçîâûه ٌٍàيِèè (Air4Gs);

·   ASN ّë‏ç;

·   نîٌٍَï ê ٌëَوله Network (ASN).

آ ًàلîٍه ïًهنëîوهيà نëے èٌïîëüçîâàيèے ٌهٍهâàے àًُèٍهêًٍَà ASN, îٌيîâàييàے يà ïًîٌٍîé èهًàًُèè ٌî ٌêîيôèمًَèًîâàييûىè îنيîًîنيûىè (commodity) ٌهٍهâûىè ‎ëهىهيٍàىè, êîٍîًàے îلهٌïه÷èâàهٍ ًٌٍَêًٍََ ىهونَ لàçîâîé ٌهٍü‏ CSN è ًàنèîٌهٍü‏ WiMAX, à ٍàêوه ïًîèçâهنهي ًàٌ÷هٍ ÷èٌëà لàçîâûُ ٌٍàيِèé, è ïîêàçàيî ًàٌïًهنهëهيèه èُ â çîيه ïîٌهëêà.

آ ٌٍîèىîٌٍü ïًîهêٍà يه âُîنèٍ ٌٍîèىîٌٍü ىîلèëüيûُ ٌٍàيِèé, ٍàê êàê نëے ïîëüçîâàيèے ïًهنîٌٍàâëےهىûىè ٌَëَمàىè àلîيهيٍû ٌàىè لَنٍَ âûيَونهيû èُ ïîêَïàٍü.

خٌيîâيَ ٌٍîèىîٌٍü ٌîçنàيèے لهٌïًîâîنيîé ٌهٍè WiMAX ٌîٌٍàâëےهٍ ٌٍîèىîٌٍü îلîًَنîâàيèے è ïًîمًàىىيîمî îلهٌïه÷هيèے.

دًîهêٍèًَهىàے ٌهٍü نàٌٍ âîçىîويîٌٍü ïîëَ÷èٍü مîنîâîé ‎êîيîىè÷هٌêèé ‎ôôهêٍ â ٌَىىه 2 099 294,3 ًَل., ÷ٍî ïîçâîëèٍ îêَïèٍü çàًٍàٍû â ٍه÷هيèه 2 ëهٍ.

آ ًàçنهëه îًُàيû ًٍَنà لûëè ًàٌٌىîًٍهيû ُàًàêٍهًèٌٍèêè îلْهêٍà ïًîهêٍèًîâàيèے è ٌَëîâèé همî ‎êٌïëَàٍàِèè, ىهًîïًèےٍèے ïî ٍهُيèêه لهçîïàٌيîٌٍè è ïîوàًيîé ïًîôèëàêٍèêه. رًàâيèâ èُ ٌ يîًىàٍèâيûىè çيà÷هيèےىè, ٌنهëàي âûâîن, ÷ٍî âٌه يîًىû îًُàيû ًٍَنà ٌîلë‏نà‏ٌٍے.

ؤî يàٌٍîےùهمî âًهىهيè ïîëüçîâàيèه ٌَëَمàىè بيٍهًيهٍà â ïîٌهëêه صàëà÷ لûëî يهنîٌٍَïيî. ذàçًàلîٍàييàے ٌهٍü WiMAX ïîçâîëےهٍ îلهٌïه÷èٍü وèٍهëهé ïîٌهëêà ‎êîيîىè÷هٌêè نîٌٍَïيîé è يهîلُîنèىîé ٌهٍü‏.

ثبزإذہزسذہ

1.       IEEE Std 802.16-2004. IEEE Standard for Local and metropolitan area networks. Part 16: Air Interface foe Fixed Broadband Wireless Access Systems. - IEEE, October 2004.

.        IEEE Std 802.16e-2005 and IEEE Std 802.16-2004/Cor 1-2005 Part 16: Air Interface for Fixed and Mobile Broadband Wireless Access Systems. Amendment 2: Physical and Medium Access Control Layers for Combined Fixed and Mobile Operation in Licensed Bands. - IEEE, 28 February 2006.

3.       آèّيهâٌêèé آ.ج., دîًٍيîé ر.ث., طàُيîâè÷ ب.آ. فيِèêëîïهنèے WiMAX دٍَü ê 4G. - ج., 2009م.

4.       Jeffrey G. Andrews, Arunabha Ghosh, Rias Muhamed. Fundamentals of WiMAX. Understanding Broadband Wireless Networking. - Prentice hall, 2007.

5.       آهٌîëîâٌêèé تّèٍّîô. رèٌٍهىû ïîنâèويîé ًàنèîٌâےçè /دهً. ٌ ïîëüٌêîمî ب.ؤ. ذَنèيٌêîمî; ïîن ًهن. ہ.ب. ثهنîâٌêîمî. - ج.: أîًے÷àے ëèيèے - زهëهêîى, 2006.

.        IEEE Std 802.16e-2005. Mobile WiMAX Part1: A Technical Overview and Performance Evaluation. - IEEE, August 2006.

.        IEEE 802.16e-2005: IEEE Standard for Local and Metropolitan Area Networks, Part 16: Air Interface for Fixed and Mobile Broadband Wireless Systems. October. 2005.

8.       Luciano Sarperi, Mythri Hunukumbure, Sunil Vadgama. Simulation Study of Fractional Frequency Reuse in WiMAX Networks. - Fujitsu laboratories of Europe Ltd., March, 2008.

.        Mogensen P.E., Eggers P., Jensen C., Andersen J.B. Urban Area Radio Propagation Measurements at 955 and 1845 MHz for small and Micro Cells. - GLOBECOM, 1991.

. http://www.acomputer.ru/site/Site2.asp?id=123973

ذàçىهùهيî يà Allbest.ru

Похожие работы на - Проектирование сети беспроводной связи WiMAX стандарта IEEE 802.16e для сельского населенного пункта

 

Не нашли материал для своей работы?
Поможем написать уникальную работу
Без плагиата!
Без нейросетей!