Проект телефонных услуг на базе мультисервисной транспортной сети
Министерство
связи и массовых коммуникаций
Федеральное
агентство связи
Сибирский
государственный университет телекоммуникаций и информатики кафедра АЭС
Курсовая
работа
по
курсу Пакетная телефония
тема:
Проект телефонных услуг на базе мультисервисной транспортной сети
Выполнил студент
группы АС-81
Полякевич А.С.
Проверил: Костюкович Н.Ф.
Новосибирск
2011
Оглавление
Введение
Задание
на курсовой проект
.
Обзорная часть
.1
Архитектура NGN
.1.1
Транспортный уровень
.1.2
Уровень управления коммутацией и обслуживанием вызова
.1.3
Уровень услуг и управления услугами
.2
Обзор технологий построения транспортных сетей
.2.1
Сравнение АТМ и IP
.3
Технологии сетей доступа
.3.1
Технология xDSL
.3.2
Технология ETTH
.3.3
Технология xPON
.4
Традиционные телефонные сети (TDM-телефония)
.4.1
Технологии пакетной телефонии
.4.1.1
Технология IP-телефонии на семейства протоколов H.323
.4.1.2
Технология IP-телефонии на базе SIP протокола
.4.1.3
Технология IP-телефонии на базе MGCP/H.248
.
Проектная часть
.1
Разработка структурной схемы для обеспечения телефонных услуг на базе заданной
технологии IP телефонии
.2
Расчет интенсивностей телефонной нагрузки
.2.1
Расчет возникающей местной нагрузки
.2.2
Распределение нагрузки по направлениям
.2.3
Расчет межстанционной нагрузки
.2.4
Расчет нагрузки
.3
Расчет интенсивности сигнальной нагрузки
.3.1
Расчет сигнальной нагрузки к SIP-серверу (протокол SIP
.3.2
Расчет пропускной способности сетевых интерфейсов для сигнальной нагрузки
.4
Расчет пропускной способности для речевой нагрузки в точках 39
концентрации
трафика
.4.1
.Расчет коэффициента избыточности
.4.2.
Определение расчетной нагрузки для речевой услуги
.4.3.
Расчет пропускной способности сетевых интерфейсов для речевой нагрузки2
.
Графическая часть
.1
Задание 2. (Графическое)
.3
Задание 3. (Графическое)
Заключение
Список
литературы
Введение
Изначально, для передачи различных типов информации, строились
отдельные (ведомственные) сети связи
<#"564052.files/image001.gif">
Задание 3. (Графическое) Изобразить в виде
диаграммы основные процедуры реализации услуг IP- телефонии для Вашего варианта
сети изображенной на рисунке. (Привести порядок обмена сообщениями).
1. Обзорная часть
1.1 Архитектура NGN
Концепция NGN, в первую очередь, характеризуется четким
разделением трех уровней соединения в соответствии с их функциональными
задачами: для коммутации и передачи речевой информации, используется
транспортный функциональный уровень, для передачи информации сигнализации -
уровень сигнализации, а предоставление услуг, отличных от базовых,
осуществляется со стороны уровня услуг. При этом между уровнями определены
интерфейсы, которые являются объектом стандартизации. Получив, подобную
независимость друг от друга уровни в дальнейшем могут развиваться
самостоятельно. Более того, с точки зрения административного деления сети может
ставиться вопрос о том, чтобы услуги различных уровней предоставлялись
различными операторами.
Второй особенностью архитектуры NGN является использование
универсальных технологий транспортной сети, базирующихся на технологиях
пакетной коммутации. В классических сетях предоставление услуг ТфОП
базировалась на технологии коммутации каналов, а предоставление услуг доступа к
сетям передачи данных предполагало либо формирование новой транспортной
структуры, либо неэффективное использование существующего транспорта сети с
коммутацией каналов. Тогда как в сетях NGN пакетные технологии, определенные
для передачи данных, используются для предоставления всех видов услуг.
Основная задача сетей нового поколения заключается в
обеспечении взаимодействия существующих и новых телекоммуникационных сетей.
Поддерживаемых единой инфраструктурой для передачи любого вида информации
(речи, данных, видео).
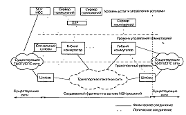
Уровневая архитектура приведена на рисунке 1.1.
Рисунок 1.1 - Трехуровневая модель NGN
По своей архитектуре NGN является трехуровневой и состоит из
следующих уровней:
транспортного уровня;
уровня управления коммутацией и передачи информации;
уровня услуг и управления услугами.
Задачей транспортного уровня является коммутация и
«прозрачная» передача информации пользователя.
Задачей уровня управления коммутацией и передачей являются
обработка информации сигнализации, маршрутизации я вызовов и управление
потоками.
Уровень управления услугами содержит функции управления
логикой услуг и приложений и представляет собой распределенную вычислительную
сеть, обеспечивающую:
предоставление инфокоммуникационных услуг;
управление услугами;
создание и внедрение новых услуг;
взаимодействие различных услуг.
.1.1 Транспортный уровень
Типовая структура транспортной сети представлена на рисунке
1.2.
Рисунок 1.2 - Структура транспортного уровня фрагмента NGN
Транспортный уровень сети NGN строится на основе пакетных
технологий передачи информации. Основными используемыми технологиями являются
ATM и IP.
Как правило в основу транспортного уровня мультисервисной
сети ложатся существующие сети АТМ или IP, т.е. сеть NGN может создаваться как
наложенная на существующие транспортные пакетные сети.
Сети, базирующиеся на технологии АТМ, имеющие встроенные
средства обеспечения качества обслуживания могут использоваться при создании
NGN практически без изменений. Использование в качестве транспортного уровня
NGN существующих сетей IP потребует реализации в них дополнительной функции
обеспечения качества обслуживания.
В случае если на маршрутизаторе/коммутаторе ATM/IP
реализуется функция коммутации под внешним управлением, то в них должна быть
реализована функция управления со стороны гибкого коммутатора с реализацией
протоколов H.248/MGCP (для IP) или BICC (для ATM).
.1.2 Уровень управления коммутацией и
обслуживанием вызова
Задачей уровня управления коммутацией и передачей является
управление установлением соединения в фрагменте NGN.
Функция установления соединения реализуется на уровне
элементов транспортной сети под внешним управлением оборудования гибкого
коммутатора. Исключением является АТС с функциями MGC, которые сами выполняют
коммутацию на уровне элемента транспортной сети.
В случае использования на сети нескольких гибких коммутаторов
они взаимодействуют по межузловым протоколам и обеспечивают совместное
управление установлением соединения.
Гибкий коммутатор должен осуществлять:
обработку всех видов сигнализации, используемых в его домене;
хранение и управление абонентскими данными пользователей,
подключаемых к его домену непосредственно или через оборудование шлюзов
доступа;
взаимодействие с серверами приложений для предоставления
расширенного списка услуг пользователями сети.
При установлении соединения оборудования гибкого коммутатора
осуществляет сигнальный обмен с функциональными элементами уровня управления
коммутацией. Такими элементами являются все шлюзы, терминальное мультисервисной
сети, оборудование других гибких коммутаторов и АТС с функциями контроллера
транспортных шлюзов. Для передачи информации сигнализации сети ТфОП через
пакетную сеть используются специальные протоколы.
На основании анализа принятой информации и решения о
последующее маршрутизации вызова оборудование гибкого коммутатора, используя
соответствующие протоколы, осуществляет сигнальный обмен по установлению
соединения с сетевым элементом назначения и управляет с использованием
протокола H.248 (для IP коммутации) или BICC (для АТМ коммутации) установлением
соединения для передачи пользовательской информации. При этом потоки
пользовательской информации не проходят через гибкий коммутатор, а замыкаются
на уровне транспортной сети.
Структура уровня управления коммутацией мультисервисной сети
представлена на рисунке 1.3.
Рисунок 1.3 - Структура уровня управления коммутацией
Терминальное оборудование пакетной сети взаимодействует с
оборудованием гибкого коммутатора с использованием протоколов SIP и H.323.
Пользовательская информация от терминального оборудования поступает гибкого
коммутатора.
Вся информация, связанная со статистикой работы
мультисервисной сети, учетом стоимости по направлениям и учетом стоимости для
пользователей, накапливается и обрабатывается на уровне гибкого коммутатора для
передачи в направлении соответствующих систем (АСР, ТОиЭ)
.1.3 Уровень услуг и управления услугами
Основной услугой, предоставляемой как в классической сети
связи, так и в мультисервисной сети, является передача информации между
пользователями сети. Использование пакетных технологий на уровне транспортной
сети позволяет обеспечить единые алгоритмы доставки информации для различных
видов связи.
Кроме услуг по доставке информации, в мультисервисных сетях
реализована возможность поддержки предоставления расширенных списков услуг.
Применительно к услуге телефонии, точкой предоставления
дополнительных услуг является оборудование гибкого коммутатора или оборудование
серверов и приложений.
Для пользователей, использующих терминалы мультимедиа (SIP и
H.323 TE), могут предоставляться различные виды мультимедийных услуг.
Реализация логики обслуживания вызова в ограниченном числе
селевых точек позволяет оптимизировать структуру доступа к услугам,
предоставляемым со стороны интеллектуальных сетей связи.
Использование пакетных технологий позволяет обеспечивать
совместное предоставление расширенного списка услуг вне зависимости от типа
доступа, используемого пользователем.
В мультесервисных сетях реализуется возможность предоставления
однотипных услуг с различными параметрами классов обслуживания (QoS).
Как правило, различные производители оборудования
мультерсивных сетей предлагают собственные наборы расширенных услуг связи, что
должно учитываться при выборе оборудования различных производителей.
Рассмотрение решения уровня услуг в общем анализе технологий
NGN связано с некоторыми трудностями.
Во-первых, важность услуг для современных систем связи трудно
переоценить. Правильность построения всей технологической инфраструктуры связи
предоставляется на уровне услуг. От того, насколько новые услуги будут
востребованы, насколько они будут популярны, зависят эффективность работы и
конкурентоспособность операторов связи.
Во-вторых, любой обзор, касающийся услуг связи, в большей или
меньшей степени пропитан определенным маркетинговым «шумом», который всегда
присутствует, когда речь идет о товарах массового потребления.
В-третьих, услуги связи находятся на перекрестке интересов
самых разных групп: технических специалистов, маркетологов, коммерческого
персонала и потребителей. У каждой из этих групп имеется свое представление об
услугах и свой взгляд на проблемы их предоставления.
Некоторые отличительные признаки новых услуг NGN:
количество услуг NGN чрезвычайно велико;
современные услуги интерактивны;
современные услуги персонализированы;
современные услуги создают демократичное поле поливариантных
решений;
время жизни услуги ограничено;
Приведем, некоторые услуги связанные с передачей
видеосигналов. Многие из них появились с появлением сетей IPTV и NGN. Для
традиционных сетей эти услуги были невозможны.
Video on Demand (VoD) - видео по запросу - запрос и просмотр
видеоконтента, фильмов, ТВ, передач и.т.д. в заданное пользователем время;
Network Personal Video Recorder (nPVR, PVR) - управляемая
пользователем цифровая запись контента на сетевой сервер или STB с целью
последующего индивидуального просмотра;
Remote Recordring Capabilities - возможность дистанционного
управления функциями VoD, PVR и другими с мобильного телефона, ПК и других
устройств;
Time Shifting - возможность отложенного просмотра ТВ передач
и замедленный просмотр в ходе передачи понравившегося фрагмента;
Instant Messaging - функция мгновенной передачи сообщений
между пользователями в целях интерактивного взаимодействия;
Voice over IP - организация речевого обмена в группах;
E-mail on TV - организация электронной почты без
использования ПК (на экране TV);
Unified Messaging - интеграция голосовых и текстовых
сообщений;
Caller ID - идентификация номера звонящего абонента и отображения
номера на экране ТВ;
Video Telephony - организация видеотелефонии,
видеоконференций между пользователями на сети;
Home Surveillance - организация дистанционного домашнего
видеонаблюдения.
Таким образом, современные услуги представляют собой
многообразный технологический мир, где действуют как традиционные для NGN
закономерности, так и свои законы, определяющие специфику развития всей системы
NGN.
.1.3.1 Концепция Triple Play
В основу концепции Triple Play, была положена идея о том, что
все современные услуги связи можно представить в виде объединения речи, данных,
видео. Триада этих услуг создает своего рода базис, по которому можно разложить
любую современную услугу. Первоначально для этого предполагалось использовать
одну инфраструктуру сетей доступа и единую транспортную сеть для всех возможных
услуг связи (рисунок 1.4,а).
Концепция Triple Play предлагает использовать для
предоставления всех указанных (на рисунке 1.4, б) услуг, единую инфраструктуру
мультисервисной сети NGN, включающую в транспортную сеть и сеть доступа.
Рисунок 1.4 - Модели инфраструктуры традиционных сетей и NGN
для предоставления услуг
В соответствии с этой концепцией предложено использовать
триаду как набор базовых услуг. Любая услуга, которая может быть реализована в
сети, происходит процедуру декомпозиции, то есть, разделена на три базовых
услуги. Затем три услуги поступают в сеть и передаются по линии клиент-сервер
или клиент-клиент. Для этого задействуются все три основных уровня, обеспечивающие
предоставление услуг (уровень доступа, уровень транспорта и уровень
управления). На приемной стороне три составляющих услуги объединяются, что
можно трактовать как процедуру композиции или восстановление услуги. В
результате клиент получает услугу в её планируемом виде. Композиция и
декомпозиция представлена на рисунке 1.5.
Рисунок 1.5 - Композиция и декомпозиция услуг в концепции
Triple Play
.1.3.2 Услуги передачи данных
В основе технологии передачи данных лежат связи типа
клиент-сервер и клиент-клиент. Второй тип соединения встречается довольно
редко.
В наиболее простой схеме услуги передачи данных должны быть
клиент, сервер и определенный протокол обмена данными между ними. Современные
резолюционные технологии в области персональных компьютеров привели к тому, что
клиент в данной схеме стал унифицированным и одинаковым для всех услуг. Сервер
должен иметь программное обеспечение, которое обрабатывает данные, полученные
через сеть по заданному протоколу. Таким образом, именно протокол обмена
данными между клиентом и сервером определяет процедуру предоставления услуги, а
полученные данные - содержимое услуги.
Рассмотрим, какие услуги передачи данных наиболее
распространены в настоящее время.
World Wide Web (Web) - наиболее распространенная служба
Интернета, связанная с доступом к его ресурсам (сайтам). В основе такой услуги
лежит использование протокола HTTP;
FTP. Данная услуга представляет собой удобный метод обмена
файлами;
E-mail. Услуга электронной почты представляет собой
многошаговую процедуру, использующую почтовый сервер. Обычно для обмена данными
по электронной почте используется протокол SMTP. В почтовой системе имеется
подсистема авторизации пользователей и различные функции доступа к ресурсу.
Управление - это обмен служебной информацией между узлами
связи. Для обмена данными используются специализированные протоколы, имеющие
высокий уровень приоритетности при передаче по сети, например протоколы Telnet
или SMNP.
В большинстве случаев доступ к ресурсам Интернета может
осуществляться через несколько промежуточных серверов. Например, процедура
доступа на Web-сайт всегда двухшаговая (рисунок 1.6). Когда кто-либо набирает
адрес Интернет-сайта, например www.pr-group.ru, то запрос с данными URL
попадает на один из множества серверов DNS, которые представляют собой базу
данных соответствия между URL и IP-адресами в Интернете. Если на этом сервере
нет данных о сайте, запрос транслируется на следующий сервер DNS и.т.д.
На рисунке 1.6 также показан обмен данными между клиентом
FTP-сайтом, который (при известном пользователю IP-адреса) может укладываться в
простую схему клиент-сервер.
Рисунок 1.6 - Пошаговый процесс загрузки страницы с Web-сайта
и прямой метод загрузки файла с FTP
Развитие технологии Интернет в современной электроники
привело к тому, что даже самая простая схема связи клиент-сервер стала иной.
Доступ к Интернет сайтам пользователи могут получать с помощью не только
компьютера, но и других бытовых устройств, имеющих экран. Изменился также
способ размещения сайтов. Вместо локальной информационной системы на базе
одного сервера современные сайты представляют собой информационный комплекс на
базе нескольких разделенных компонентов (рисунок 1.7).
Рисунок 1.7 - Изменение компонентов информационного обмена
данными в современном Интернете
В новых условиях, когда развивается мультимедийная технология
и интерактивные видеоуслуги, архитектура сайтов претерпела дальнейшую
декомпозицию. На рисунке 1.8 представлена современная распределенная
архитектура Интернет-ресурса.
Рисунок 1.8 - Современная распределенная архитектура
Интернет-ресурса
.1.3.3 Голосовые услуги VoIP
Следующая компонента триады услуг Triple Play это голосовые
услуги, которые в современной трактовке означают технологию передачи речи по
сети IP.
Конфигурация сетей VoIP может отличаться в сегментах
корпоративных сетей и в жилом секторе. Задачи, которые решает и в том и другом
случае технология VoIP, существенно отличаются, соответственно и отличаются
технологические решения.
Рисунок 1.9 - Структура современных сетей VoIP
Для сетей VoIP жилого сектора (рисунок 1.9, а) характерна
довольно простая конфигурация. Основной задачей таких сетей является связь
отдельного сегмента абонентской сети на основе NGN с ТфОП. Для решения этой
задачи сегмент VoIP разворачивается как отдельный технологический сегмент для
обеспечения внутреннего речевого обмена, а связь с ТфОП осуществляется через
одну точку подключения с шлюзами VoIP/ТфОП.
Для построения простых и смешанных корпоративных сетей VoIP
(рисунок 1.9, б и в) используют более разнообразные решения. Здесь задача VoIP
состоит в том, что обеспечить внутренней корпоративной связью абонентов
работающих на территории предприятия или в удаленных филиалах. VoIP в таком
случае оказывается составной частью корпоративной сети предприятия, тесно
взаимодействуют с транспортной сетью и строится как распределенная сеть.
Поскольку для построения корпоративной сети VoIP необходимо создать
разветвленную структуру, обычно используют технологию частных виртуальных сетей
(VPN) внутри транспортной сети NGN.
Рассмотрим теперь принципы преобразования речевых сигналов в
сети VoIP (рисунок 1.10). Речевое сообщение от абонента преобразуется несколько
раз. Вначале речевой аналоговый сигнал поступает на кодек, где преобразуется
несколько раз.
После преобразования цифровой поток разделяется на кадры VoIP
(дейтаграммы IP). Последней стадией преобразования речевого сигнала является
добавление специального потока служебных данных, который можно трактовать как
систему абонентской сигнализации.
Рисунок 1.10 - Последовательное преобразование сигнала в сети
VoIP
1.1.3.4 Услуга IP-TV
Рассмотрим структуру сети IP-TV. Услуга IP-TV базируется на
режиме «точка-многоточка».
В настоящее время существует три стандарта передачи цифрового
видеосигнала, которые используются в сетях IP-TV:
MPEG-1. Скорость передачи - 1,856 Мбит/с. Разрешение по
параметрам видео - 352*240/288.
MPEG-2. Скорость передачи - 9 или 4 Мбит/с для сетей ADSL 2+,
либо 19,2 Мбит/с в сетях HDTV. Разрешение по параметрам видео - 720*480,
720*576, 544*576.
MPEG-4. Переменная скорость - от 5 до 10 Мбит/с.
В современных сетях используются два последних формата,
причем перспективным считается MPEG-4, тогда как большая часть работающих в
настоящее время сетей пока использует MPEG-2. Преобразование аналогового
видеосигнала в сети IP-TV с использованием MPEG-2 представлено на рисунке 1.11.
Для технологии IP-TV базовым понятием является элементарный
поток (ES), которым может быть видеопоток, аудиосигнал или поток данных.
Следовательно, программа телевидения представляет собой комбинацию нескольких
ES (обычно, видео + аудио + управляющая информация + субтитры и.т.д.). Следует
отметить, что каждый ES представляет собой свой тип цифрового сигнала с
правилами кодирования и форматом MPEG.
Особое значение при передаче сигналов IP-TV имеет заголовок
пакетов .
Рисунок 1.11 - Последовательное преобразование сигналов в
сети IPTV
1.2 Обзор технологий построения транспортных сетей
Технология ATM - (асинхронный режим передачи) является
технологией универсальной транспортной сети, предназначенной для предоставления
услуг прозрачной передачи различных типов информации. При этом обеспечивается
достаточная пропускная способность для каждого из них и гарантируется
современная доставка чувствительных к задержкам типов трафика. В основе
технологии лежит передача данных в виде ячеек фиксированной длины для любого
типа трафика, скорости передачи и способа кадрирования. Длина ячейки составляет
53 байта, 48 из которых отводится под передачу пользовательской информации,
остальные 5 - под заголовок, используемый сетью для адресации, контроля ошибок
и управления сетью.
Протокол IP является протоколом сетевого уровня, не
ориентированным на соединение и предоставляющим данные для протоколов
транспортного уровня TCP (ориентированный на соединения) и UDP (не ориентированный
на соединения).
Протокол IP доставляет блоки данных (дейтаграммы) от одного
IP-адреса к другому. IP адрес является уникальным 32-битным идентификатором
сетевого интерфейса компьютера. В функции протокола IP входит определение
маршрута для каждой дейтаграммы, при необходимости сборка и разборка
дейтаграммы на фрагменты, а также отправка источнику дейтаграммы сообщения об
ошибке в случае невозможности доставки. Средства контроля корректности данных,
подтверждения их доставки, обеспечения правильного порядка следования
дейтаграмм, а также функции предварительного установления соединения между
компьютерами в IP-протоколе не предусмотрены.
При транспортировке IP-пакетов их порядок может нарушаться.
Для обеспечения требуемого качества обслуживания графика реального времени
необходимо сохранение порядка следования пакетов, а также минимизация задержки
пакетов и колебаний длительности задержек. Для обеспечения приемлемого
голосового потока время задержки должно составлять менее 300 - 600 мс.
1.2.1 Сравнение АТМ и IP
1) АТМ - сеть коммутации ячеек;- сеть коммутации пакетов.
Коммутация ячеек в АТМ является более простым и более
однородным процессом по сравнению с традиционной маршрутизацией, используемой в
IP-сетях. Поскольку ячейки АТМ всегда имеют одну и ту же длину, значительно
меньшую длины кадра IP они требуют меньшей буферизации. Кроме того они
предсказуемы, поскольку их заголовки всегда находятся на одном и том же месте.
В сетях IP маршрутизаторы должны использовать программное обеспечение для
правильной обработки ряда изменений в потоке передачи, в частности для
измерения длины пакета, для передачи пакетов в правильном порядке и для
пересборки пакетов. В результате коммутатор АТМ автоматически обнаруживает
заголовки ячеек, и их обработка происходит быстрее.
С другой стороны, поскольку длина пакета IP больше ячейки
АТМ, процент передаваемой полезной нагрузки в сети АТМ оказывается значительно
меньше, чем в IP, что снижает эффективность работы сети.
) АТМ - сеть с установлением соединения;- сеть без установлением
соединения.
Сети с установлением соединения также могут гарантировать
определенное качество обслуживания, поэтому они могут использоваться для
передачи различных видов трафика - звука, видео и данных - через одни и те же
коммутаторы. Кроме того, сети с установлением соединения могут лучше управлять
сетевым трафиком и предотвращать перегрузку сети, поскольку коммутаторы могут
просто сбрасывать те соединения, которые они не способны поддерживать.
) Возможность передачи данных разных типов по одному соединению
В АТМ все типы информации могут надежно передаваться через
единое сетевое подключение. АТМ использует концепцию категории обслуживания
между конечными пользователями АТМ и коммутаторами для того, чтобы получить
надежную службу передачи данных.
В сети IP для обеспечения качественной передачи различных
типов информации, а также для обеспечения различных категорий обслуживания
необходимо использовать дополнительные механизмы на более высоких уровнях.
) Возможность масштабирования сети
Теоретически расширение IP-сети ограничено разрядностью
IP-адреса. Максимальная скорость магистрали при использовании технологии
Gigabit Ethernet составляет 10Гбит/с. На практике обеспечение качества
обслуживания в сети IP требует создания управляемой сети с определенной пропускной
способностью и производительностью маршрутизаторов, что накладывает ограничения
на масштабируемость.
Существуют стандарты АТМ предусматривают скорости передачи
данных до 2,4Гбит/с. АТМ поддерживает единый способ передачи данных,
позволяющий связывать сети любых размеров и масштабировать их в будущем.
Масштабируемость сетей АТМ ограничивается производительностью коммутаторов и
возможностью управления сетью.
) Распространенность сети
Развертывание IP сетей осуществляется, прежде всего, для
передачи данных (а не мультисервисного трафика). Благодаря появлению сети
Интернет технология IP в настоящее время - наиболее распространенная и
быстроразвивающаяся технология сетей передачи данных. Это является основной
причной стремления разработчиков создать на базе IP-протокола мультисервисную
сеть.
Технология АТМ специально создавалась для того, чтобы служить
основой широкополосной мультисервисной сети: её распространения напрямую
связано со стремлением создать подобные сети.
) Стоимость сети
Цены на обрудование АТМ существенно выше цен на оборудование
IP. В тоже время качество предоставляемых услуг, предоставляемых АТМ сетью,
также существенно выше аналогичных показателей IP сетей. Применение же на сети
IP разнообразных средств повышения качества сервиса приводит к существенному
удорожанию строительства и эксплуатации сети.
Аналогичные рассуждения касаются и сложности протоколов
управления сетью. Протоколы маршрутизации АТМ значительно сложнее, чем в IP.
Однако внедрение механизмов резервирования полосы пропускания, многоуровневой
коммутации, дифференцированного обслуживания приводит к значительному
усложнению стека протоколов IP-сети и его простота перестает быть достоинством.
1.3 Технологии сетей доступа
.3.1 Технология xDSL
xDSL - (Digital Subscriber Line - цифровая абонентская линия)
семейство технологий (ADSL, ADSL2, ADSL 2+, SHDSL), позволяющих значительно
расширить пропускную способность абонентской линии местной телефонной сети
путем использования эффективных линейных кодов и адаптивных методов коррекции искажений
линии на основе современных достижений микроэлектроники и методов цифровой
обработки сигнала.
Технологии DSL поддерживают передачу голоса, высокоскоростную
передачу данных и видеосигналов. Многие технологии xDSL позволяют совмещать
высокоскоростную передачу данных и передачу голоса по одной и той же медной
паре.
Рисунок 1.12 - Структура сети построенной по технологии DSL
.3.2 Технология ETTH
ETTH - это способ постоянного подключения к интернету по
протоколу Fast Ethernet. Применение широкополосного доступа по технологии ETTH
позволяет потребителям подключаться к сети со скоростью 100 Мбит/c при
неизменном высоком качестве соединения. Подключение по технологии ETTH не
зависит от наличия телефонной линии. До каждого подключаемого здания
производится прокладка оптического кабеля, к которому в свою очередь
подключается домовой узел с дальнейшей разводкой непосредственно до абонента.
Подключившись к сети ETTH, пользователь получает единый
канал, оператора связи и единый счет за услуги.
Рисунок 1.13 - Структура сети построенной по технологии ETTH
.3.3 Технология xPON
xPON (Passive optical network) - технология пассивных
оптических сетей.
Рисунок 1.14 - Структура сети построенной по технологии PON
Распределительная сеть доступа PON основана на древовидной
волоконно-кабельной архитектуре с пассивными оптическими разветвителями на
узлах, представляет экономичный способ обеспечить широкополосную передачу
информации. При этом архитектура PON обладает необходимой эффективностью
наращивания узлов сети и пропускной способности, в зависимости от настоящих и
будущих потребностей абонентов.
Суть технологии и её привлекательность состоит в том, что
сеть строится с помощью пассивных делителей оптической мощности (сплиттеров),
не требующих электропитания и обслуживания (пассивная сеть).
Особенность: 100% оптический канал до дома/офиса клиента, что
позволяет не только увеличить качество сигнала, но и в десятки раз увеличить
скорость передачи (до 1Гбит/с). При подключении по технологии PON в
квартиру/офис абонента заводится оптический кабель и устанавливается оконечное
оборудование - оптический модем ONT.
1.4 Традиционные телефонные сети (TDM-телефония)
Коммутация на основе техники разделения частот
разрабатывалась в расчете на передачу непрерывных сигналов, представляющих
голос. При переходе к цифровой форме представления голоса была разработана
новая техника мультиплексирования, ориентирующая на дискретный характер
передаваемых данных. Эта техника носит название мультиплексирование с
разделением времени (TDM).
Аппаратура TDM-сетей - мультиплексоры, коммутаторы,
демультиплексоры - работает в режиме разделения времени, поочередно обслуживая
в течение цикла своей работы абонентские каналы. Цикл оборудования TDM равен
125 мкс, что соответствует период следования замера голосов в цифровом
абонентском канале. Это значит, что мультиплексор или коммутатор успевает
вовремя обслужить любой абонентский канал и передать его очередной замер далее
по сети.
1.4.1 Технологии пакетной телефонии
До недавнего времени сети с коммутацией каналов (телефонные
сети) и сети с коммутацией пакетов (IP-сети) существовали независимо друг от
друга и использовались для различных целей. Телефонные сети использовались для
передачи голосовой информации, а IP сети для передачи данных. Технология
IP-телефонии, объединяет эти сети.
Согласно принятому определению IP-телефония - это передача
речевого сигнала по сети с пакетной коммутацией в режиме реального времени.
.4.1.1 Технология IP-телефонии на семейства
протоколов H.323
H.323 - протокол передачи данных, а также передачи в реальном
времени аудио- и видеоинформации по сетям, поддерживающим пакетную коммутацию.
В число таких сетей входят сети, работающие по протоколу IP (интернет), местные
сети, поддерживающие обмен интернет - пакетами, производственные, городские и
региональные сети. H.323 может применяться в многополюсных
мультимедиа-коммуникациях. Предоставляет массу услуг для использования в
коммерческих, бизнес - и развлекательных приложениях. Значительно влияет на
совместимость мобильных мультимедиа приложений и услуг третьего поколения
беспроводных технологий. H.323 - основополагающий стандарт, где описывается,
каким образом чувствительный к задержке трафик, в частности голос и видео,
получает приоритет в локальных и глобальных сетях. Он состоит из ряда
рекомендаций по смежным техническим вопросам, таким, как качество речи,
контроль вызовов и спецификации привратников.
Преимущества:
Возможность существенного снижения затрат на междугородние и
международные телефонные переговоры.
Возможность передачи голосового трафика от головных офисов в
филиалы в единой информационной IP магистрали.
Смысл введения стандарта H.323 прост - он предлагает
протокол, с помощью которого коммуникационные программные продукты, созданные
различными производителями, могут работать совместно (то есть
взаимодействовать). Компания Intel внесла большой вклад в создание, развитие и
распространение технологии H.323.
Совместимые с H.323 приложения и поддерживающая их
инфраструктура Internet являются основой нового направления развития
коммуникационных возможностей, связанных с использованием ПК. Программное
обеспечение, разработанное Intel и другими компаниями на основе стандарта
H.323, впервые позволит нам без проблем, с помощью простого нажатия кнопки,
осуществлять обмен аудио- и видео- данными.
.4.1.2 Технология IP-телефонии на базе SIP
протокола
Session Initiation Protocol (SIP) - протокол инициализации
сеанса. Это означает, что протокол SIP предназначен для организации,
модификации и завершения сеансов связи: мультимедийных конференций, телефонных
соединений и распределения мультимедийной информации.
Протокол SIP разработан в недрах IETF (Internet Engineering
Task Force) - организации, занимающейся утверждением стандартов Интернета.
Спецификация протокола представлена в документе RFC 3261.
В основу протокола положены следующие принципы:
Масштабируемость сети;
Персональная мобильность пользователей;
Расширяемость протокола;
Интеграция в стек существующих протоколов Internet;
Взаимодействие с другими протоколами сигнализации
Масштабируемость сети
Характеризуется, в первую очередь, возможностью увеличения
количества элементов сети при её расширении.
Персональная мобильность пользователей.
Пользователи могут перемещаться без ограничений в пределах
сети, поэтому услуги связи должны предоставляться им в любом месте этой сети.
Пользователю присваивается уникальный идентификатор, а сеть предоставляет ему
услуги связи вне зависимости от того, где он находится. Для этого пользователь
с помощью специального сообщения информирует сеть о своих перемещениях.
Расширяемость протокола.
Характеризуется возможностью дополнения протокола новыми
функциями при введении новых услуг и его адаптации к работе с различными
приложениями.
Интеграция в стек существующих протоколов Интернет.
Протокол SIP является частью сложной архитектуры,
разработанной комитетом IETF. Эта архитектура включает в себя также протокол
резервирования ресурсов (Resource Reservation Protocol, RSVP; RFC 2205),
транспортный протокол реального времени (Real-Time Transport Protocol, RTP; RFC
1889), протокол передачи потоков в реальном времени (Real-Time Streaming
Protocol, RTSP; RFC 2326), протокол описания параметров связи (Session
Description Protocol, SDP; RFC 2327) и прочие. Однако функции протокола SIP не
зависят ни от одного из этих протоколов.
Взаимодействие с другими протоколами сигнализации
Протокол SIP может быть использован совместно с протоколом
Н.323. Возможно также взаимодействие протокола SIP с системами сигнализации
ТфОП - DSS1 и ОКС №7.
.4.1.3 Технология IP-телефонии на базе MGCP/H.248
Протокол MGCP представляет собой пример модели с
централизованным управлением вызовами. Основная идея технологии MGCP очень
проста. Она состоит в том, что управление сигнализацией (Call Control)
сосредоточено на центральном управляющем устройстве (Call Agent, CA) и
полностью отделено от медиа-потоков.
Основными компонентами сети по технологии MGCP являются:
Котроллер шлюзов - MGC;
Медиа-шлюзы (MGW);
Шлюзы сигнализации - SGW.
Протокол управления MGCP обеспечивает выполнение следующих
функции:
согласование вида модуляции (типов кодеков) сигнала между
шлюзами TGW;
обработку тонов DTMF, распознавание вида передаваемой
информации;
определение состояния оконечного оборудования;
установление соединения;
освобождение соединения;
изменение конфигурации соединения;
освобождение соединений «точка - несколько точек»;
контроль и диагностику соединений;
контроль и диагностику портов шлюзов TGW;
уведомление устройства управления шлюзами MGCоб освобождении
ресурсов шлюзов TGW.
В последствии MGC, MG, SG были объединены в устройство,
названное Softswitch (SSW) - гибкая система управлении коммутацией, имеющая в
отличие от АТС - территориально распределенную структуру.
.4.1.3.1 Концепция Softswitch
Три основные назначения Softswitch:
) Softswitch представляет собой устройство, непосредственно
связанное с сетью сигнализации и работающее на принципе объединения нескольких
элементов. Данные элементы могут быть локализованы или территориально разделены
по сети;
) Softswitch - это сетевая архитектура, которая включает в
себя MGC, MG, SG;
) Softswitch - это идеология построения системы управления в
сетях NGN.
Современная концепция Softswitch представлена на рисунке
1.15.
Рисунок 1.15 - Структура современного Softswitch
Как следует из рисунка, ядром Softswitch является один или
несколько управляющих элементов - контроллеров медиашлюзов MGC. Последний
выполняет роль координации всех остальных подсистем Softswitch.
Для присоединения к Softswitch сегментов современных
телефонных сетей на основе VoIP используются серверы. Поскольку в настоящее
время существует две технологии VoIP - SIP и H.323-серверы. Эти серверы
взаимодействуют с MGC по протоколам сигнализации SIP и H.323 соответственно.
Помимо новых сегментов VoIP, к Softswitch должны подключаться
сегменты традиционной сети, использующей ОКС№7. Для этого используют шлюз
сигнализации SG, взаимодействующий с MGC на основе протокола SIGTRAN.
Для присоединения сетей VoIP и сегментов традиционных сетей
TDM к Softswitch используются только сигнальные каналы.
Особняком от всех элементов системы стоит система биллинга
NGN, которая часто называется сервером ААА (Authentication, Authorization,
Accounting). В архитектуре Softswitch подсистема ААА взаимодействует с MGC по
протоколу RADIUS.
Отдельным уровнем в архитектуре Softswitch является уровень
приложений. Концепция этого уровня заимствована из интеллектуальных сетей (IN),
чем и обусловлено, что одно из приложений - подсистема SCP, которая
взаимодействует с MGC по протоколу INAP/SIGTRAN. Но в отличие от ТфОП, где IN
решала задачи предоставления ДВО телефонным абонентам, в NGN объем различных
услуг увеличивается на порядок. Это связано с тем, что абонентские устройства
NGN теперь более разнообразны.
Таким образом, Softswitch представляет собой сложную
архитектурную модель, включающую от нескольких до нескольких сотен устройств,
призванных выполнять функции управления всеми процессами в NGN.
телефония пропускная
способность
2. Проектная часть
.1 Разработка структурной схемы для обеспечения
телефонных услуг набазе заданной технологии IP телефонии
Рисунок 2.1 - Структурная схема проектируемой сети для
телефонных услуг
.2 Расчет интенсивностей телефонной нагрузки
.2.1 Расчет возникающей местной нагрузки
Рассчитаем возникающую нагрузку от терминалов каждого типа и
суммарную в каждом сайте.
Возникающая в сайте от k-той группы абонентов нагрузка
определяется, по формуле 2.1:
|
|
(2.1)
|
|
|
где
|
|
-
|
суммарная
местная нагрузка, Эрл
|
|
|
-
|
количество
источников нагрузки
|
|
|
-
|
Удельная
нагрузка от k-ого источника, Эрл
|
|
|
|
|
|
|
Возникающая от k-той группы абонентов нагрузка в сайте AGW-1:
от терминалов квартирного сектора:
от терминалов народно-хозяйственного сектора:
от факсимильных аппаратов гр. 2 и 3 (Fax):
- от офисных УПАТС (PBX), включенные по АЛ:
Итого, суммарная нагрузка, возникающая в сайте AGW-1 от всех
групп абонентов, рассчитывается по формуле 2.2:
|
|
(2.2)
|
Таблица 2.1 - Суммарная нагрузка от терминалов в сайте AGW-1
|
Тип источника
нагрузки
|
Емкость  Удельная местная нагрузка  Суммарная местная нагрузка  Удельная м/город. нагрузка  Суммарная м/город. нагрузка 
|
|
|
|
|
|
%
|
N
|
Эрл
|
Эрл
|
Эрл
|
Эрл
|
|
|
50
|
7500
|
0,02
|
165
|
0,002
|
16,5
|
|
|
25
|
3750
|
0,065
|
268,13
|
0,0065
|
26,81
|
|
Факс
|
5
|
750
|
0,17
|
140,25
|
0,017
|
14,03
|
|
УПАТС
|
20
|
3000
|
0,22
|
726
|
0,022
|
72,6
|
|
Итого по сайту
1 -  150001299,38129,94
|
|
|
|
|
|
Возникающая от k-той группы абонентов нагрузка в сайте AGW-2:
от терминалов квартирного сектора:
от терминалов народно-хозяйственного сектора:
от факсимильных аппаратов гр. 2 и 3 (Fax):
- от офисных УПАТС (PBX), включенные по АЛ:
Итого, суммарная нагрузка, возникающая в сайте AGW-2 от всех
групп абонентов, формуле 2.3.
|
|
(2.3)
|
Таблица 2.2 - Суммарная нагрузка от терминалов в сайте AGW-2
|
Тип источника
нагрузки
|
Емкость  Удельная местная нагрузка  Суммарная местная нагрузка  Удельная м/город. нагрузка  Суммарная м/город. нагрузка 
|
|
|
|
|
|
%
|
N
|
Эрл
|
Эрл
|
Эрл
|
|
|
50
|
750
|
0,02
|
16,5
|
0,002
|
1,65
|
|
|
25
|
375
|
0,065
|
26,81
|
0,0065
|
2,68
|
|
Факс
|
5
|
75
|
0,17
|
14,03
|
0,017
|
1,4
|
|
УПАТС
|
20
|
300
|
0,22
|
72,6
|
0,022
|
7,26
|
|
Итого по сайту
2 -  1500129,9412,99
|
|
|
|
|
|
В SIP-2 сайте, SIP-терминал может быть многофункциональным,
т.е. абонент с помощью такого терминала может создавать нагрузку не только
речевую, но и принимать/передавать факсы, видео и т.п.
Однако различные виды создаваемой нагрузки обслуживаются в
мультисервисной пакетной сети по-разному. Для них в мультисервисной пакетной
сети создаются отдельные виртуальные подсети, определяются разные классы
обслуживания, назначаются различные приоритеты.
В данном проекте мы будем рассматривать виртуальную подсеть
для пропуска речевой нагрузки от SIP-терминалов, полагая, что их количество
равномерно распределено между абонентами квартирного и народно-хозяйственного
секторов (по 50% от общей емкости сайта).
Возникающая от k-той группы абонентов нагрузка в сайте SIP-2:
от терминалов квартирного сектора:
от терминалов народно-хозяйственного сектора:
Итого, суммарная нагрузка, возникающая в сайте SIP-2 от всех
групп абонентов, рассчитывается по формуле (2.4)
|
|
(2.4)
|
Таблица 2.3 - Суммарная нагрузка от терминалов в сайте SIP-2
|
Тип источника
нагрузки
|
Емкость  Удельная местная нагрузка  Суммарная местная нагрузка  Удельная м/город. нагрузка  Суммарная м/город. нагрузка 
|
|
|
|
|
|
%
|
N
|
Эрл
|
Эрл
|
Эрл
|
Эрл
|
|
|
50
|
750
|
0,15
|
123,75
|
0,015
|
12,38
|
|
|
50
|
750
|
0,27
|
222,75
|
0,027
|
22,28
|
|
Итого по сайту
3 -  1500346,534,66
|
|
|
|
|
|
Суммарная нагрузка, в проектируемой сети, возникающая от
различных типов терминалов, рассчитывается по формуле 1.5.
|
|
(2.5)
|
Рассчитаем нагрузку на выходе коммутационных полей (КП) в
рассматриваемых сайтах учитывая снижение нагрузки на выходе КП за счет слушания
сигналов ответ станции и набор номера, по формуле 2.6.
|
|
(2.6)
|
|
где
|
|
-
|
суммарная
местная нагрузка, Эрл
|
|
|
-
|
коэффициент,
учитывающий снижение нагрузки на выходе коммутационного поля, за счет
слушания абонентом сигналов «Ответ станции» и длительности набора номера, 
|
|
|
|
|
|
Таблица 2.4 - Нагрузка на выходе коммутационных полей
|
n/n
|
Наименование
сайта
|
Возникающая в
сайте нагрузка,  Нагрузка на выход коммутационного поля, 
|
|
|
1
|
AGW-1
|
1299,38
|
1169,44
|
|
2
|
AGW-2
|
129,94
|
116,95
|
|
3
|
SIP-2
|
346,5
|
311,85
|
.2.2 Распределение нагрузки по направлениям
Далее местную суммарную возникающую нагрузку в каждом сайте,
распределим по следующим направлениям:
1) Нагрузка к ЦОВ (AЦОВ) - 3…7% от 
. Полагаем, что к ЦОВ распределяется 5% от местной нагрузки,
возникающей в каждом сайте, тогда нагрузка к ЦОВ определяется, по формуле 2.7.
|
|
(2.7)
|
|
где
|
|
-
|
нагрузка на
выходе коммутационных полей, Эрл
|
|
|
|
|
|
- исходящая нагрузка от сайта AGW-1 к ЦОВ:
- исходящая нагрузка от сайта AGW-2 к ЦОВ:
Исходящая нагрузка от сайта SIP-2 к ЦОВ. Полагаем, что
абоненты SIP-терминалов в той же мере пользуются услугами ЦОВ, что и аналоговые
абоненты, подключаемые по Z-интерфейсам к АТС-AGW.
исходящая нагрузка от сайта SIP-2 к ЦОВ:
2) Нагрузка, замыкаемая внутри данного сетевого узла
(внутристанционная) - 
Для расчета внутристанционной нагрузки определим весовые
коэффициенты, учитывающие тяготение нагрузки (интенсивность исходящей местной
абонентской нагрузки данного сайта в процентах от общей интенсивности
возникающей местной абонентской нагрузки сети), по формуле 2.8.
|
|
(2.8)
|
|
где
|
|
-
|
суммарная местная
нагрузка, Эрл
|
|
|
|
|
|
Далее по таблице (из РД45.120-2000 - Нормы, используемые при
расчете интенсивности исходящей и входящей нагрузки по различным направлениям
связи), определим долю (в %) внутристанционной нагрузки 
(процент интенсивности внутристанционной нагрузки от
интенсивности возникающей нагрузки сайта) и вычислим нагрузку, замыкаемую
внутри сайта 
(по формуле 2.9).
Значение 
- получаем путем интерполирования.
- доля исходящей местной абонентской нагрузки сайта AGW-1 в
процентах от общей интенсивности возникающей абонентской нагрузки сети:
|
|
(2.9)
|
|
где
|
|
-
|
нагрузка от
dial-up абонентов к модемному пулу ISP, Эрл
|
|
|
|
|
|
- доля исходящей местной абонентской нагрузки сайта AGW-2 в
процентах от общей интенсивности возникающей абонентской нагрузки сети:
доля исходящей местной абонентской нагрузки сайта SIP -2 в
процентах от общей интенсивности возникающей абонентской нагрузки сети:
.2.3 Расчет межстанционной нагрузки
Оставшаяся нагрузка Aj распределяется между
сайтами пропорционально абонентской емкости соответствующего сайта.
Распределим оставшуюся нагрузку между сайтами пропорционально
абонентской емкости соответствующего сайта.
Суммарное число абонентов во всех сайтах, определяется по
формуле 2.10.
|
|
(2.10)
|
|
где
|
|
-
|
число абонентов
сайта AGW-1
|
|
|
-
|
число абонентов
сайта AGW-2
|
|
|
-
|
число абонентов
сайта SIP-2
|
|
|
|
|
|
Рассчитаем межстанционную нагрузку по следующим формулам:
Таблица 2.5 - Межстанционная нагрузка между сайтами
|
№ сайта
|
Вх.
|
AGW-1
|
AGW-2
|
SIP-2
|
ISP
|
АМТС
|
ЦОВ
|
|
Исх.
|
|
|
|
|
|
|
|
1
|
AGW-1
|
|
|
|
-
|
129,94
|
|
|
2
|
AGW-2
|
|
|
|
-
|
12,99
|
|
|
3
|
SIP-2
|
|
|
|
-
|
34,66
|
|
2.2.4 Расчет междугородней нагрузки
Нагрузка в направлении от сайта AGW к АМТС создается от
абонентов квартирного и народно-хозяйственного секторов, а также от терминалов
типа факс и от офисных УПАТС.
Для расчета нагрузки к АМТС существуют методики, учитывающие
количество населения того города, в котором проектируются данные услуги. В
зависимости от численности этого населения предлагаются нормы удельной нагрузки
на ЗСЛ (к АМТС) и СЛМ (от АМТС). В целом эти нормы лежат в пределах 5…10% от
норм на местную удельную нагрузку, создаваемую абонентами.
В данном проекте, с целью упрощения расчетов полагаем, что от
сайта AGW к АМТС создается удельная нагрузка равная 10% от местной возникающей
удельной нагрузки. Результаты расчетов приведены в таблицах 2.1, 2.2.
Междугородная нагрузка, возникающая в сайтах SIP, может быть
пропущена как через узел АМТС традиционных телефонных операторов (с
преобразованием IP-TDM в шлюзах, расположенных на АМТС), так и непосредственно
по междугородной сети IP других операторов, без преобразования в TDM телефонный
трафик. В данном проекте, с целью упрощения полагаем, что вся междугородная
нагрузка, возникающая в сайтах SIP, пропускается в пакетном виде без
преобразования в TDM (по крайней мере - в пределах проектируемой сети). Для
организации пропуска этой нагрузки - создается отдельная виртуальная подсеть в
рамках общей мультисервисной сети оператора. По объемам этой нагрузки - также
полагаем, что междугородная удельная нагрузка равна 10% от местной возникающей
удельной нагрузки. Результаты расчетов приведены в таблице 2.3.
2.3 Расчет интенсивности сигнальной нагрузки
Вначале рассчитаем объем сигнальной нагрузки, которая
возникает при обслуживании речевых вызовов между SIP-терминалами и SIP-сервером.
На данном этапе в целях упрощения расчетов не будем учитывать
сигнальную нагрузку, возникающую при вызовах от SIP-терминалов к аналоговым
телефонным терминалам, включенным в Z-интерфейсы шлюзов и АТС, а также при
вызовах от аналоговых терминалов к SIP-терминалам.
.3.1 Расчет сигнальной нагрузки к SIP-серверу (протокол SIP)
При заданной удельной речевой нагрузке от одного SIP-терминала
величиной 
, от него поступает в среднем (формула 2.11)
|
|
(2.11)
|
|
где
|
|
-
|
удельная
речевая нагрузка, поступающая от SIP терминала, Эрл
|
|
|
-
|
число абонентов
сайта SIP-2
|
|
|
-
|
время разговора
для местных вызовов, 
|
|
|
|
|
|
Рассчитаем число вызовов, поступивших от терминалов сайта
SIP-2 в ЧНН, по формуле 2.12.
|
|
(2.12)
|
От 
SIP-терминалов сайта SIP-2 в ЧНН поступит:
Для обслуживания каждого вызова будем считать, что требуется
передать 18 сообщений, каждое длительностью 4096 бит (512 байт), следовательно:
Рассчитаем пропускную способность для сигнальной нагрузки по
формуле 2.13.
|
(2.13)
|
|
Данная пропускная способность рассчитана при допущении
равномерного и детерминированного поступления вызовов в течение часа. В этих
условиях, рассчитанную пропускную способность можно считать средней пропускной
способностью.
Реальная сигнальная нагрузка представляет собой случайный
процесс. При отсутствии достаточной статистики по протоколу SIP, будем считать,
что от смены аналогового терминала на SIP-терминал поведение речевых абонентов
не изменится, следовательно, характеристики распределения вызовов от аналоговых
абонентов и от SIP-терминалов идентичны. Идентичны также характеристики
сигнального трафика, создаваемого протоколом ISUP и протоколом SIP. По
характеристикам сигнальной нагрузки от протокола ISUP известно, что пачечность
(неравномерность) скорости поступления сообщений ISUP лежит в пределах
Кпач=2…3. Примем, что Кпач=2,5.
Рассчитаем пиковую скорость, при передаче ISUP или SIP
сообщений по формуле 2.14.
|
(2.14)
|
|
|
где
|
|
-
|
пропускная
способность для сигнальной нагрузки, бит/c
|
|
|
|
|
|
2.3.2 Расчет пропускной способности сетевых
интерфейсов для сигнальной нагрузки
Для обеспечения скорости передачи сигнальной информации 
, необходимо предусмотреть пропускную способность 
, которая рассчитывается по формуле 2.15.
|
|
(2.15)
|
Для обеспечения такой скорости передачи сигнальной информации,
необходимо предусмотреть пропускную способность 
, которая рассчитывается по формуле 2.16 и равна:
|
(2.16)
|
|
Так как SIP сообщения переносятся в единой мультисервисной
сети вместе с речевыми и другими пакетами, то для гарантирования качества
каждому виду трафика, необходимо в этой сети создать отдельные виртуальные
подсети со своими параметрами (пропускной способностью, классом качества,
уровнем приоритета).
В частности, согласно рекомендации ”Базовые основы QoS”,
сигнальная информация принадлежит классу AF31, где AF - гарантированная
доставка (Assured Forwarding, AFxy) - гарантирует минимальную полосу
пропускания и буферной памяти, 3 - класс (от 1 до 4), 1- минимальная
вероятность сброса.
В данном случае, для гарантии пропуска сигнальной нагрузки от
SIP-терминалов сайта SIP-2 в направлении SIP-Proxy, необходимо в Ethernet
интерфейсе создать следующие условия:
- Пиковая пропускная способность 
Класс качества в магистральной сети - AF31/PHB
Уровень приоритета - 3 (011) по полю ToS_IP-Pr или 01100000
.4 Расчет пропускной способности для речевой
нагрузки в точках концентрации трафика
В данном проекте выбор определен в задании (два типа кодеков
- G.711 и G.729).
.4.1.Расчет коэффициента избыточности
При формировании и передаче речевых пакетов, возникает
избыточность, вызванная добавлением к речевым кадрам протокольных заголовков.
Это приводит к тому, что пропускная способность, которую надо выделять на
уровне сетевого интерфейса, может значительно превосходить скорость работы
выбранного аудиокодека.
Рисунок 2.2 - Ступени добавления избыточной информации в
процессе формирования речевого IP-пакета
Рассчитаем коэффициенты избыточности пакетного речевого
трафика от различных шлюзов и SIP-терминалов.
Длина отрезка речи из n речевых кадров, вкладываемых в одну
IP-дейтаграмму, рассчитывается по формуле 2.17.
|
|
(2.17)
|
|
где
|
|
-
|
Количество
речевых кадров в одном IP-пакете
|
|
|
|
|
|
Общая длина IP-дейтаграммы, рассчитывается по формуле 2.18.
|
|
(2.18)
|
Доля полезной (речевой) информации в IP-дейтаграмме,
рассчитывается по формуле 2.19.
|
(2.19)
|
|
Доля служебной (протокольной) информации в IP-дейтаграмме,
рассчитывается по формуле 2.20.
|
(2.20)
|
|
Для кодека G.711
Для кодека G.729
.4.2 Определение расчетной нагрузки для речевой
услуги
Для расчета числа соединительных линий используется понятие
«расчетное значение нагрузки», которое учитывает колебания нагрузки в ЧНН.
Закон распределения нагрузки по отдельным ЧНН хорошо описывается нормальным
распределением. Если потребовать заданного качества обслуживания, то расчет
пропускной способности следует выполнять не по среднему значению, а по
расчетной интенсивности нагрузки, по формуле 2.21.
|
(2.21)
|
|
Учитывая, что для пуассоновской нагрузки (формула 2.22).
|
(2.22)
|
|
получим выражение для расчетной интенсивности нагрузки
(формула 2.23).
|
(2.23)
|
|
Значение аргумента функции Лапласа (коэффициента доверия)
определяется исходя из принятой доверительной вероятности.
Если значение доверительной вероятности принять равной 0,75, то 
. Таким образом, формула расчетной нагрузки имеет следующий вид
(формула 2.24).
|
(2.24)
|
|
Расчет производим по всем направлениям:
Таблица 2.6 - Расчетная нагрузка между сайтами для речевой
услуги
|
№ сайта
|
Вх.
|
AGW-1
|
AGW-2
|
SIP-2
|
ISP
|
АМТС
|
ЦОВ
|
|
Исх.
|
|
|
|
|
|
|
|
1
|
AGW-1
|
|
|
|
|
137,63
|
|
|
2
|
AGW-2
|
|
|
|
|
21,75
|

|
SIP-2
|
|
|
|
|
38,73
|
|
.4.3. Расчет пропускной способности сетевых
интерфейсов для речевой нагрузки
1. Для участков сети с традиционной TDM телефонией
Для участков сети с традиционной телефонией (TDM-КК) - пропускная
способность определяется числом соединительных линий (СЛ) соответствующего
интерфейса в точке концентрации - 
.
При расчете числа СЛ необходимо задать качество обслуживания
вызовов, которое в данном КП будем определять значением допустимых потерь.
Зададим следующие значения потерь:
При связи абонентов SIP-сайтов, TGW-сайтов и AGW-сайтов между
собой - Р = 0,005
При связи абонентов SIP-сайтов, TGW-сайтов и AGW-сайтов с
ЦОВ - Рцов
= 0,001
При связи абонентов SIP-сайтов, TGW-сайтов и AGW-сайтов с
АМТС - РАМТС = 0,001
Таблица 2.7 - Количество СЛ в точках концентрации
|
№ сайта
|
Вх.
|
AGW-1
|
AGW-2
|
SIP-2
|
ISP
|
АМТС
|
ЦОВ
|
|
Исх.
|
|
|
|
|
|
|
|
1
|
AGW-1
|
|
|
|
|
170
|
87
|
|
2
|
AGW-2
|
|
|
|
|
37
|
18
|
|
3
|
SIP-2
|
|
45
|
|
|
58
|
|
. Для участков сети с пакетными интерфейсами (IP-телефония)
Для участков с пакетной телефонией - пропускная способность
вначале также определяется числом соединительных линий соответствующего
интерфейса в точке концентрации - 
.
Однако под соединительной линией здесь понимается виртуальный
цифровой канал, пропускная способность (
, кбит/с) которого зависит от:
от типа используемого аудиокодека:
от используемого алгоритма обнаружения речевых пауз (VAD);
от коэффициента избыточности/эффективности стека протоколов
G.xxx//UDP/IP/Ethernet, который, в свою очередь зависит от числа речевых
кадров, помещаемых в IP.
Таким образом, требуемая пропускная способность сетевого
интерфейса для одной СЛ (одного виртуального цифрового канала), определяется по
формуле 2.25.
|
|
(2.25)
|
С учетом рассчитанного 
, определим требуемую пропускную способность, выделяемую в сетевом
интерфейсе для одной СЛ (одного виртуального цифрового канала):
при использовании аудиокодека G.711:
при использовании аудиокодека G.729:
Для определения требуемой пропускной способности сетевого
интерфейса для 
, рассчитанное число соединительных линий (
) пересчитывается в пропускную способность соответствующего
интерфейса (Мбит/с), с учетом класса обслуживания.
Для предоставления речевых услуг, в пакетной транспортной сети
могут использоваться два класса обслуживания:
. Не хуже чем в ТфОП.
При этом обычно используется более качественный аудиокодек G.711.
Для такого класса обслуживания на время сеанса выделяется постоянная полоса
пропускания.
В этом случае 
и пропускная способность, которую надо выделить в сетевом
интерфейс 
для 
определяется по формуле 2.26.
|
(2.26)
|
|
Результаты расчета по формуле сведем в таблицу 2.8
Таблица 2.8 - Пропускная способность, которую надо выделить в
сетевом интерфейсе (аудиокодек G.711)
|
№ сайта
|
Вх.
|
AGW-1 (кбит/с)
|
AGW-2 (кбит/с)
|
SIP-2 (кбит/с)
|
ISP
|
АМТС (кбит/с)
|
ЦОВ (кбит/с)
|
|
Исх.
|
|
|
|
|
|
|
|
1
|
AGW-1
|
|
|
|
|
12102,3
|
|
|
2
|
AGW-2
|
|
|
|
|
2634,03
|
|
|
3
|
SIP-2
|
|
3203.55
|
|
|
4129,02
|
|
Такой класс обслуживания характеризуется высоким качеством,
однако, эффективность использования выделенной пропускной способности низкая.
. Класс обслуживания с учетом неравномерности (пачечности)
речевого трафика, возникающей за счет использования детектора обслуживания
речи.
Такими детекторами оснащаются все современные аудиокодеки, в
которых используется сжатие речевой информации с использованием алгоритмов
кодирования формы сигнала (аудиокодек с предсказанием речи - G.729).
Коэффициент пачечности, измеряемый отношением пиковой скорости передачи к
средней скорости передачи, может достигать значений:
Использование такого
класса обслуживания несколько снижает качество передачи речи, однако при этом
достигается более эффективное использование выделенной пропускной способности
за счет использования эффекта статистического мультиплексирования в сетевом
пакетном узле (шлюзе или коммутаторе).
В этом случае 
и пропускная способность, которую надо выделить в сетевом
интерфейсе 
для 
, гибко разделяется между несколькими абонентами с учетом 
, рассчитывается по формуле 2.27 (
.
|
|
(2.27)
|
Результаты расчета по формуле сведем в таблицу 2.9
Таблица 2.9 - Пропускная способность, которую надо выделить в
сетевом интерфейсе (аудиокодек G.729)
|
№ сайта
|
Вх.
|
AGW-1 (кбит/с)
|
AGW-2 (кбит/с)
|
SIP-2 (кбит/с)
|
ISP
|
АМТС (кбит/с)
|
ЦОВ (кбит/с)
|
|
Исх.
|
|
|
|
|
|
|
|
1
|
AGW-1
|
|
|
|
|
7702,36
|
|
|
2
|
AGW-2
|
|
|
|
|
1676,4
|
|
|
3
|
SIP-2
|
|
2038,86
|
|
|
2627,87
|
|
Расчёт пропускной способности пакетных интерфейсов в точках
концентрации рассчитывается по формуле 2.28.
|
|
(2.28)
|
|
где
|
|
-
|
структурный
состав от емкости сайта (аудиокодек G.711)
|
|
|
-
|
структурный
состав от емкости сайта (аудиокодек G.729)
|
|
|
|
|
|
Число рассчитанных СЛ переводится в число трактов Е1 (для
участков с TDM-телефонией - АТС-TGW, АМТС-TGW, PBXЦОВ-MGW) или в
Мбит/с для участков с пакетной телефонией.
Определим число трактов Е1по формуле 2.29.
|
|
(2.29)
|
|
где
|
|
-
|
число
соединительных линий
|
|
|
|
|
|
Результаты расчетов по формуле сведем в таблицу 2.10
Таблица 2.10 - Пропускная способность пакетных интерфейсов в
точке концентрации
|
№ сайта
|
Вх.
|
AGW-1 (кбит/с)
|
AGW-2 (кбит/с)
|
SIP-2 (кбит/с)
|
ISP
|
АМТС (кбит/с)
|
ЦОВ (кбит/с)
|
|
Исх.
|
|
|
|
|
|
|
|
1
|
AGW-1
|
|
7610,48
|
7610,48
|
|
360E1
|
184E1
|
|
2
|
AGW-2
|
7610,48
|
|
2527,92
|
|
79E1
|
39E1
|
|
3
|
SIP-2
|
18964,19
|
2854,14
|
|
|
3678,66
|
2093,04
|
телефония пропускная способность
3. Графическая часть
.1 Задание 2. (Графическое)
Отобразить профили (стеки) протоколов в плоскости С и U от
терминала до терминала, согласно схемы, приведенной на рисунке в задании.
Описать назначение элементов данной схемы, а также назначение протоколов и
интерфейсов.
Рисунок 3.1 - Профили (стеки) протоколов плоскости С
Рисунок 3.2 - Профили (стеки) протоколов в плоскости Uтлф. -
предназначен для взаимодействия с традиционными телефонными сетями,
использующими сигнализацию ОКС 7;- сетевой коммутатор, устройство,
предназначенное для соединения нескольких узлов компьютерной сети в пределах
одного сегмента. Коммутатор работает только на канальном уровне OSI;- сетевое
устройство, на основании информации о топологии о сети и определенных правил,
принимающий решение о пересылке пакетов сетевого уровня между различными
сегментами сети;- шлюз сигнализации, обеспечивает доставку сигнальной
информации, поступающей со стороны ТфОП к устройству управления шлюзом и
перенос сигнальной информации в обратном направлении;
- контроллер шлюзов осуществляет управление деятельности
шлюзов в предположении, что шлюзы фиксируют события и докладывают о них;Server
- прокси-сервер, представляет интересы пользователя в сети. Он принимает
запросы, обрабатывает их, и в зависимости от типа адресов выполняет
определенные действия;- шлюз. Аппаратно-программный комплекс, обеспечивающий
обмен данными между сетями разных типов.
IP - Internet Protocol - межсетевой протокол <http://ru.wikipedia.org/wiki/%D0%A1%D0%B5%D1%82%D0%B5%D0%B2%D0%BE%D0%B9_%D0%BF%D1%80%D0%BE%D1%82%D0%BE%D0%BA%D0%BE%D0%BB>.
Относится к маршрутизируемым
<http://ru.wikipedia.org/wiki/%D0%9C%D0%B0%D1%80%D1%88%D1%80%D1%83%D1%82%D0%B8%D0%B7%D0%B0%D1%86%D0%B8%D1%8F>
протоколам сетевого уровня
<http://ru.wikipedia.org/wiki/%D0%9F%D1%80%D0%BE%D1%82%D0%BE%D0%BA%D0%BE%D0%BB%D1%8B_%D1%81%D0%B5%D1%82%D0%B5%D0%B2%D0%BE%D0%B3%D0%BE_%D1%83%D1%80%D0%BE%D0%B2%D0%BD%D1%8F>
семейства TCP/IP <http://ru.wikipedia.org/wiki/%D0%A1%D1%82%D0%B5%D0%BA_%D0%BF%D1%80%D0%BE%D1%82%D0%BE%D0%BA%D0%BE%D0%BB%D0%BE%D0%B2_TCP/IP>.
Протокол IP используется для негарантированной доставки данных, разделяемых на
так называемые пакеты
<http://ru.wikipedia.org/wiki/IP-%D0%BF%D0%B0%D0%BA%D0%B5%D1%82> от
одного узла сети
<http://ru.wikipedia.org/wiki/%D0%A3%D0%B7%D0%B5%D0%BB_%D1%81%D0%B5%D1%82%D0%B8>
к другому;(англ.
<http://ru.wikipedia.org/wiki/%D0%90%D0%BD%D0%B3%D0%BB%D0%B8%D0%B9%D1%81%D0%BA%D0%B8%D0%B9_%D1%8F%D0%B7%D1%8B%D0%BA>User
Datagram Protocol - протокол пользовательских дейтаграмм
<http://ru.wikipedia.org/wiki/%D0%94%D0%B5%D0%B9%D1%82%D0%B0%D0%B3%D1%80%D0%B0%D0%BC%D0%BC%D0%B0>)
- это транспортный протокол
<http://ru.wikipedia.org/wiki/%D0%A2%D1%80%D0%B0%D0%BD%D1%81%D0%BF%D0%BE%D1%80%D1%82%D0%BD%D1%8B%D0%B9_%D0%BF%D1%80%D0%BE%D1%82%D0%BE%D0%BA%D0%BE%D0%BB>
для передачи данных в сетях IP
<http://ru.wikipedia.org/wiki/%D0%A1%D1%82%D0%B5%D0%BA_%D0%BF%D1%80%D0%BE%D1%82%D0%BE%D0%BA%D0%BE%D0%BB%D0%BE%D0%B2_TCP/IP>
без установления соединения. Он является одним из самых простых протоколов
транспортного уровня
<http://ru.wikipedia.org/wiki/%D0%A2%D1%80%D0%B0%D0%BD%D1%81%D0%BF%D0%BE%D1%80%D1%82%D0%BD%D1%8B%D0%B9_%D1%83%D1%80%D0%BE%D0%B2%D0%B5%D0%BD%D1%8C>
модели OSI <http://ru.wikipedia.org/wiki/%D0%9C%D0%BE%D0%B4%D0%B5%D0%BB%D1%8C_OSI>;
Протокол RTP (англ.
<http://ru.wikipedia.org/wiki/%D0%90%D0%BD%D0%B3%D0%BB%D0%B8%D0%B9%D1%81%D0%BA%D0%B8%D0%B9_%D1%8F%D0%B7%D1%8B%D0%BA>Real-time
Transport Protocol) работает на транспортном уровне
<http://ru.wikipedia.org/wiki/%D0%A2%D1%80%D0%B0%D0%BD%D1%81%D0%BF%D0%BE%D1%80%D1%82%D0%BD%D1%8B%D0%B9_%D1%83%D1%80%D0%BE%D0%B2%D0%B5%D0%BD%D1%8C>
и используется при передаче трафика реального времени. Протокол RTP переносит в
своём заголовке данные, необходимые для восстановления голоса или
видеоизображения в приёмном узле, а также данные о типе кодирования информации
(JPEG <http://ru.wikipedia.org/wiki/JPEG>, MPEG
<http://ru.wikipedia.org/wiki/MPEG> и. т. п.);(англ.
<http://ru.wikipedia.org/wiki/%D0%90%D0%BD%D0%B3%D0%BB%D0%B8%D0%B9%D1%81%D0%BA%D0%B8%D0%B9_%D1%8F%D0%B7%D1%8B%D0%BA>
Session Initiation Protocol- протокол установления сеанса) - протокол передачи
данных
<http://ru.wikipedia.org/wiki/%D0%9F%D1%80%D0%BE%D1%82%D0%BE%D0%BA%D0%BE%D0%BB_%D0%BF%D0%B5%D1%80%D0%B5%D0%B4%D0%B0%D1%87%D0%B8_%D0%B4%D0%B0%D0%BD%D0%BD%D1%8B%D1%85>,
который описывает способ установления и завершения пользовательского
интернет-сеанса, включающего обмен мультимедийным
<http://ru.wikipedia.org/wiki/%D0%9C%D1%83%D0%BB%D1%8C%D1%82%D0%B8%D0%BC%D0%B5%D0%B4%D0%B8%D0%B0>
содержимым (видео-
<http://ru.wikipedia.org/wiki/%D0%92%D0%B8%D0%B4%D0%B5%D0%BE%D0%BA%D0%BE%D0%BD%D1%84%D0%B5%D1%80%D0%B5%D0%BD%D1%86%D0%B8%D1%8F>
и аудиоконференция
<http://ru.wikipedia.org/wiki/%D0%90%D1%83%D0%B4%D0%B8%D0%BE%D0%BA%D0%BE%D0%BD%D1%84%D0%B5%D1%80%D0%B5%D0%BD%D1%86%D0%B8%D1%8F>,
мгновенные сообщения
<http://ru.wikipedia.org/wiki/%D0%9C%D0%B3%D0%BD%D0%BE%D0%B2%D0%B5%D0%BD%D0%BD%D1%8B%D0%B5_%D1%81%D0%BE%D0%BE%D0%B1%D1%89%D0%B5%D0%BD%D0%B8%D1%8F>,
онлайн-игры <http://ru.wikipedia.org/wiki/%D0%9E%D0%BD%D0%BB%D0%B0%D0%B9%D0%BD-%D0%B8%D0%B3%D1%80%D1%8B>).
В модели взаимодействия открытых систем
<http://ru.wikipedia.org/wiki/%D0%A1%D0%B5%D1%82%D0%B5%D0%B2%D0%B0%D1%8F_%D0%BC%D0%BE%D0%B4%D0%B5%D0%BB%D1%8C_OSI>
SIP является сетевым протоколом <http://ru.wikipedia.org/wiki/%D0%A1%D0%B5%D1%82%D0%B5%D0%B2%D0%BE%D0%B9_%D0%BF%D1%80%D0%BE%D1%82%D0%BE%D0%BA%D0%BE%D0%BB>
прикладного уровня
<http://ru.wikipedia.org/wiki/%D0%9F%D1%80%D0%B8%D0%BA%D0%BB%D0%B0%D0%B4%D0%BD%D0%BE%D0%B9_%D1%83%D1%80%D0%BE%D0%B2%D0%B5%D0%BD%D1%8C>;-
пакетная
<http://ru.wikipedia.org/wiki/%D0%9F%D0%B0%D0%BA%D0%B5%D1%82_%28%D1%81%D0%B5%D1%82%D0%B5%D0%B2%D1%8B%D0%B5_%D1%82%D0%B5%D1%85%D0%BD%D0%BE%D0%BB%D0%BE%D0%B3%D0%B8%D0%B8%29>
технология передачи данных преимущественно локальных компьютерных сетей
<http://ru.wikipedia.org/wiki/%D0%9A%D0%BE%D0%BC%D0%BF%D1%8C%D1%8E%D1%82%D0%B5%D1%80%D0%BD%D0%B0%D1%8F_%D1%81%D0%B5%D1%82%D1%8C>.
Стандарты Ethernet определяют проводные соединения и электрические сигналы на
физическом уровне, формат кадров и протоколы управления доступом к среде- на
канальном уровне
<http://ru.wikipedia.org/wiki/%D0%9A%D0%B0%D0%BD%D0%B0%D0%BB%D1%8C%D0%BD%D1%8B%D0%B9_%D1%83%D1%80%D0%BE%D0%B2%D0%B5%D0%BD%D1%8C>
модели OSI <http://ru.wikipedia.org/wiki/%D0%9C%D0%BE%D0%B4%D0%B5%D0%BB%D1%8C_OSI>;
Fast Ethernet (100BASE-T) - набор стандартов передачи данных
в компьютерных сетях, со скоростью до 100 Мбит/с;Ethernet - стандарт
объединения компьютеров в вычислительную сеть со скоростью передачи данных 1
Гбит/с.
3.3 Задание 3. (Графическое)
Изобразить в виде диаграммы основные процедуры реализации
услуг IP- телефонии для Вашего варианта сети изображенной на рисунке в задании.
(Привести порядок обмена сообщениями).
Заключение
Переход к пакетным технологиям при модернизации и построении
новых сетей связи общего пользования (ССОП) стал настоятельно необходим.
Традиционные операторы связи приступили к перестройке своих сетей с ориентацией
на пакетную коммутацию и приданием им свойств мультисервисности.
В настоящее время проблема перехода от традиционных сетей с
коммутацией каналов к сетям с коммутацией пакетов (NGN) является одной из
наиболее актуальных для операторов связи. Перспективные разработки в области
IP-коммуникаций связаны с созданием комплексных решений, позволяющих при
развитии сетей следующего поколения сохранять существующие подключения и
обеспечить бесперебойную работу в любой сети телефонного доступа: на
инфраструктуре медных пар, по оптическим каналам, на беспроводной (WiMAX
<http://ru.wikipedia.org/wiki/WiMAX>, WiFi <http://ru.wikipedia.org/wiki/WiFi>)
и проводной (ETTH <http://ru.wikipedia.org/wiki/ETTH>, PLC
<http://ru.wikipedia.org/w/index.php?title=Power_Line_Communication&action=edit&redlink=1>
и. т.д.) сети. Согласно концепции «неразрушающего» перехода к NGN, подобные решения
должны позволять точечно переводить отдельные сегменты на новые технологии без
кардинальной смены всей структуры сети. В частности, решения для
«неразрушающего» перехода к NGN должны отвечать следующим требованиям:
- интеграция в существующую сеть оператора, поддержка не
только новой транспортной технологии, но и привычной модели управления;
полностью модульная архитектура с возможностями
географического распределения и резервирования;
возможность гибкого увеличения производительности путем
приобретения лицензий и добавления в систему серверов;
возможность внедрения новых видов услуг в минимальные сроки;
соответствие требованиям законодательства об архитектуре
сети.
Операторы заинтересованы в построении такой сети связи,
которая бы поддерживала непрерывный контроль процессов обработки вызовов
клиента и предоставления услуг по одним и тем же правилам, гарантирующим
запрошенный уровень качества обслуживания, независимо от способов
транспортировки данных и видов используемого оборудования.
Список литературы
1.
И.Г. Бакланов, NGN: принципы построения и организации /под. ред. Ю. Чернышова.
- М.: Эко-Трендз, 2008. - 400 с.
.
В.И. Битнер, Ц.Ц. Михайлова, Сети нового поколения - NGN. Учебное пособие для
вузов. - М.:Горячаяя линия - Телеком, 2011. - 226 с.
.
В.Г. Олифер, Н.А. Олифер, Компьютерные сети. Принципы, технологии, протоколы. -
СПб.: Питер, 2002. - 672 с.
.
Ю.В. Семенов, Проектирование сетей связи следующего поколения. - Спб.: Наука и
Техника, 2005 г. - 240 с.