Прогнозирование расчетным способом показателей безотказности РЭУ
СОДЕРЖАНИЕ
Введение
1.
Постановка задачи
1.1
Обоснование оцениваемых показателей надежности печатного узла
.2 Анализ
задания на проектирование
2.
Выбор элементов печатного узла
2.1 Уточнение
параметров элементов
.2
Обоснование типа и типоразмера соединителя 6Р-100В
.3 Выбор
типов и типоразмеров элементов каскада
3.
Методика прогназирования расчётным способом показателей безотказности РЭУ
3.1 Метод
расчета показателей безотказности РЭУ
.2 Модели
прогнозирования эксплуатационной интенсивности отказов элементов
4.
Оценка показателей безотказности печатного узла
4.1 Уточнение
исходных данных, используемых для прогнозирования эксплуатационной
безотказности элементов
.2
Определение коэффициента электрической нагрузки для активного элемента
(конденсатор)
.3 Расчет
параметров безотказности элементов РЭУ
.4 Определяем
показатели безотказности РЭУ
5.
Анализ результатов решения
Заключение
Список
использованых источников
ПриложениЕ
ВВЕДЕНИЕ
Усилители переменного напряжения являются наиболее распространенным типом
электронных усилителей на дискретных элементах. Он выполняется на основе
низкочастотного усилителя. Усилитель переменного напряжения отличается от УНЧ
специальной формой частотной характеристики (большая полоса пропускания, наклон
частотной характеристики в полосе пропускания и т.д.), большей стабильностью
коэффициента усиления, меньшей величиной нагрузочного сопротивления. Все эти
требования выполняются при использовании глубокой частотно зависимой обратной
связи.
Усилитель, которому предстоит иметь дело только с переменными сигналами,
с разделительными конденсаторами, как на входе, так и на выходе, может работать
с одним источником питания, а не с двумя, как потребовалось бы в противном
случае.
Эти усилители предназначены для исследования , настройки и испытания
систем и приборов, используемых в радиоэлектронике, связи, вычислительной и
измерительной технике. приборостроении, акустике для работы с измерительными
конденсаторными микрофонами. Режим работы - усилительный, а характер тока,
протекающий через элементы - переменный. [7]
1. ПОСТАНОВКА ЗАДАЧИ
1.1 Обоснование оцениваемых показателей надежности печатного
узла
Целью данного курсового проекта является проведение прогнозирования
расчетным способом показателей безотказности РЭУ с учётом электрического режима,
условий эксплуатации, конструкторско-технологических и других особенностей
элементов, полученных расчётным способом. Сформировать и закрепить навыки,
применяемые для решения задач, связанных с аналитическим и экспериментальным
исследованием конструкций, технологий и надёжности РЭС.
В результате необходимо определить следующее:
)среднее время безотказной работы;
)вероятность безотказной работы за время;
)гамма-процентную наработку до отказа.
Для решения поставленной задачи необходимо следующее:
)законы распределения времени до отказа каждого элемента РЭУ;
)заданное время безотказной работы РЭУ;
)значение гамма.
1.2. Анализ задания на проектирование
Исходными данными для выполнения расчетов, согласно заданию на курсовое
проектирование, являются:
) Рассматриваемое электронное устройство - печатный узел (электронный
модуль), включающий определённое количество однотипных каскадов, электрически
не соединённые между собой, кроме цепей питания и общего провода;
) Возможность восстановления работоспособного состояния электронного
устройства после его отказа - восстанавливаемое изделие;
) Электрическая схема каскадов;
) Количество однотипных каскадов - 35;
) Информация о параметрах элементов;
) Вид электрического монтажа - двусторонний печатный;
) Количество сквозных металлизированных отверстий на печатной плате 32%
от общего числа отверстий;
) Для цепей питания, входных и выходных сигналов каскадов предусмотреть
соединитель;
)Условия эксплуатации по ГОСТ 15150-69 УХЛ2;
) Вид приёмки элементов - приёмка ОТК (приёмка «1»);
) Перегрев в нагретой зоне печатного узла ∆tз = 20◦С; средний перегрев воздуха в РЭУ ∆tв = 17◦С;
) Заданное время работы, указанное заказчиком tр=1000 ч;
Анализ исходных данных представлен в таблице 1.1.
Таблица 1.1 - Анализ
исходных данных
|
Элементы каскада
|
Данные необх. для расчёта
|
Данные явно указанные в задании
|
Данные отсутствующие в задании
|
Данные, которые будут найдены в процессе анализа и расчёта
печатного узла
|
|
Конденсаторы С1,С2
|
+
|
-
|
Параметры конденсаторов С1,С2 резисторов микросхемы соединителя ; коэффициент приёмки,
соответствующие приёмке «1»; эксплуатационные интенсивности отказов
элементов; конкретные условия эксплуатации элементов для УХЛ 2.Поправочные
коэффициенты
|
|
|
Микросхема
|
|
-
|
|
|
|
Резисторы
|
|
-
|
|
|
|
Соединитель
|
|
-
|
|
|
|
Соединения пайкой
|
|
-
|
|
|
|
Плата со сквозными металлизированными отверстиями
|
|
-
|
|
|
|
Напряжение питания
|
|
+
|
|
|
|
Рабочая частота
|
|
+
|
|
|
Определению подлежат показатели P(tр), T0, Tγ при γ=99%.
Исходных данных достаточно для решения поставленной задачи.
Все исходные данные необходимы и достаточны для решения поставленной
задачи.
На рисунке 1 представлена принципиальная схема усилителя переменного
напряжения с однополярным источником питания:
Рис.1 Принципиальная схема усилителя переменного напряжения с
однополярным источником питания
усилитель
эксплуатационный конденсатор электрический
2. ВЫБОР ЭЛЕМЕНТОВ ПЕЧАТНОГО
УЗЛА
2.1 Уточнение параметров элементов
В таблице 2.1 приведены значения параметров элементов.
Таблица 2.1
|
Обозначение
|
Номинал и допуск
|
Примечание
|
|
C1,С2
|
|
-
|
|
R1
|
|
-
|
|
R2
|
|
-
|
|
R3
|
|
-
|
|
Uпит
|
|
-
|
|
f
|
-
|
100…20000 Гц
|
Параметры ИМС К140УД12 [5]:
Таблица 2.2
|
№
|
Параметр
|
Значение
|
|
1
|
Напряжение питания
|
15 В
|
|
2
|
Максимальное выходное напряжение
|
не менее 10 В
|
|
3
|
Напряжение смещения
|
не более 6 мВ
|
|
4
|
Входной ток
|
не более 30 мкАне более 190 мкА
|
|
5
|
Разность входных токов
|
не более 6 нА
|
|
6
|
Ток потребления
|
не более 30 мкАне более 190 мкА
|
|
7
|
Коэффициент усиления напряжения
|
не менее 50000 не менее 25000
|
|
8
|
Максимальная скорость нарастания выходного напряжения
|
не менее 0,01 В/мкс не менее 0,1 В/мкс
|
|
9
|
Коэффициент ослабления синфазных входных напряжений
|
не менее 70 дБ
|
|
10
|
Средний температурный дрейф напряжения смещения
|
7мкВ/°C 3 мкВ/°C
|
В таблице 2.3 сведены предельно допустимые режимы работы операционного
усилителя:
Таблица 2.3
|
№
|
Параметр
|
Значение
|
|
1
|
Напряжение питания
|
(3...16,5) В
|
|
2
|
Входное синфазное напряжение
|
не более 10 В
|
|
3
|
Входное дифференциальное напряжение
|
20 В
|
|
4
|
Сопротивление нагрузки
|
не менее 5 кОм
|
|
5
|
Емкость нагрузки
|
не более 100 пФ
|
|
6
|
Температура окружающей среды
|
-60...+85 ° C
|
.2 Обоснование типа и типоразмера соединителя 6Р-100В
Соединители электрические низкочастотные прямоугольные для печатного и
объемного монтажа типа 6P
врубного сочленения без фиксации и с фиксацией сочлененного положения по ТУ
ИЮ0.364.030 предназначены для работы в электрических цепях постоянного,
переменного частотой до 3МГц и импульсивного токов. Вид климатического
исполнения УХЛ 2 ГОСТ 15150-69.
Технические требования к соединителю 6Р-100В сведены в таблицу 2.4 [6]:
Таблица 2.4
|
Параметр
|
Значение
|
|
Сила электрического тока на каждый контакт при его
равномерной нагрузке, А
|
2
|
|
Напряжение, В (ампл.)
|
250
|
|
Сопротивление контактов, мОм
|
15
|
|
Сопротивление изоляции, МОм
|
1000
|
|
Емкость между любыми контактами, пФ
|
6
|
|
Прочность изоляции, В
|
500
|
|
Усилие расчленения контактов с контрольным калибром, Н
|
0,15
|
|
Усилие расчленения блочных соединителей, Н
|
150
|
|
Рабочий диапазон температур,
|
-60…115
|
|
Наработка, ч
|
1500
|
|
Число сочленений-расчленений
|
500
|
|
Минимальный срок сохраняемости соединителя, лет
|
25
|
.3 Выбор типов и типоразмеров элементов каскада
Исходя из анализа полученной электрической схемы, выбрали необходимые
типы и типоразмеры элементов РЭУ. Параметры элементов получили из ГОСТов на эти
элементы.
Делительные резисторы R1,R2 и делительные конденсаторы С1,С2
нужно взять с высоким значением сопротивления и соответственно емкости, для
того чтобы не нагружать входное напряжение, заземление и операционный
усилитель. Для нормальной работы схемы можно выбирать операционный усилитель с
коэффициентом усилия равным 100. [4]
3. МЕТОДИКА ПРОГНОЗИРОВАНИЯ
РАСЧЕТНЫМ СПОСОБОМ ПОКАЗАТЕЛЕЙ БЕЗОТКАЗНОСТИ РЭУ
3.1 Метод расчета показателей безотказности РЭУ
При подсчёте значения суммарной интенсивности отказов РЭУ с учётом
электрического режима и условий эксплуатации, используется выражение [1]:
, (3.1)
где
- среднегрупповое значение интенсивности отказов элементов j-й группы, найденное с использованием
справочников, j = 1,...,k;
- количество элементов в j-й группе, j =
1,...,k; k - число сформированных групп однотипных элементов.
- обобщенный эксплуатационный
коэффициент, выбираемый по таблице в зависимости от условий его эксплуатации. С
использованием гипотезы об экспоненциальном законе надёжности подсчитывают
другие показатели надёжности.
, (3.2)
Вероятность безотказной работы за заданное время
(3.3)
Гамма-процентная наработка до отказа
определяется, как решение уравнения
(3.4)
В случае экспоненциального распределения времени до отказа
(3.5)
3.2 Модели прогнозирования эксплуатационной интенсивности
отказов элементов
В таблице 3.1 приведены формулы расчета интенсивности отказов [1]:
Таблица 3.1 - Формулы для расчета интенсивности отказов.
|
Класс элементов
|
Вид математической модели
|
|
Интегральные микросхемы, работающие в облегченных
электрических режимах
|
|
|
Резисторы постоянные металлодиэлектрические
|
|
|
Соединитель (розетка)
|
|
|
Платы со сквозными металлизированными отверстиями (пайки
отверстий)
|
|
|
Соединения, в том числе пайкой
|
|
|
Конденсатор оксидно-электролитический алюминиевый
|
|
В таблице 3.2 приведены пояснения величин, входящих в математические
модели [1]:
Таблица 3.2 - Пояснения величин (параметров), входящие в математические
модели.
|
Параметр
|
Пояснения
|
|
Составляющие, входящие в модели для всех видов элементов
|
|
|
Базовая интенсивность отказов элементов данной группы (или
конкретного типа), отвечающая температуре окружающей среды +25 ºС и номинальной электрической
нагрузке, т.е. значению коэффициента электрической нагрузке = 1.
|
|
|
Коэффициент режима работы, зависящий от электрической
нагрузки (коэффициента ) и температуры корпуса элемента.
|
|
|
Коэффициент, зависящий от температуры корпуса элемента
(компонента)
|
|
|
Коэффициент эксплуатации, зависящий от жесткости условий
эксплуатации РЭУ
|
|
|
Коэффициент приемки, учитывающий степень жесткости
требований к контролю качества и правила приемки элементов (компонентов РЭУ)
в условиях производства
|
|
Составляющие, входящие в модели интегральных микросхем
(ИМС)
|
|
|
Коэффициент, учитывающий количество элементов в ИМС или бит
(для ИМС памяти)
|
|
|
Коэффициент, учитывающий тип корпуса
|
|
|
Коэффициент, учитывающий напряжение питания для КМОП ИМС
|
|
Составляющие, входящие в модели для конденсаторов
|
|
|
Коэффициент, зависящий от значения номинальной емкости.
|
|
Составляющие, входящие в модели для резисторов
|
|
|
Коэффициент, зависящий от значения номинального
сопротивления
|
|
|
Коэффициент, зависящий от значения номинального мощности
(для металлодиэлектрических резисторов)
|
|
|
Коэффициент, зависящий от назначения допуска на
сопротивление (для металлодиэлектрических резисторов)
|
|
Составляющие, входящие в модели для изделий коммутации и
соединителей
|
|
|
Коэффициент, зависящий от количества задействованных
контактов
|
|
|
Коэффициент, зависящий от количества сочленений-расчленений
n (соединители)
|
|
Составляющие, входящие в модели для печатных плат с
металлизированными сквозными отверстиями
|
|
|
Базовая интенсивность отказов межсоединений в зависимости
от технологии
|
|
|
Коэффициент, учитывающий количество слоев n в плате
|
|
|
Количество сквозных отверстий, пропаянных способом ”пайка
волной”
|
|
|
Количество сквозных отверстий, пропаянных ручным способом
|
4. ОЦЕНКА ПОКАЗАТЕЛЕЙ
БЕЗОТКАЗНОСТИ ПЕЧАТНОГО УЗЛА
4.1 Уточнение исходных данных, используемых для
прогнозирования эксплуатационной безотказности элементов
Уточненный расчет показателей безотказности функционального модуля,
выполненного с использованием печатного монтажа. Печатная плата двухслойная с
металлизированными сквозными отверстиями. Общее количество отверстий на
печатной плате 1012, из них металлизацию имеют 324 отверстий. Электрическое
соединение модуля с РЭУ, в составе которого он будет функционировать,
осуществляется посредством соединителя типа СНП101. Уровень качества
элементов(компонентов), используемых в модуле, соответствует приеме “1” -
приемке ОТК. Модуль предназначен для эксплуатации в составе подвижной
аппаратуры категории исполнения УХЛ 2 по ГОСТ 15150-69. Заданное время работы,
указанное заказчиком, составляет
. Интересующие показатели
безотказности -
,
и
при
= 95%.
Уточненные данные в таблице 4.1 и 4.2 взяты из источника [1] и [3]:
Таблица 4.1 - Уточненные характеристики элементов РЭУ.
|
Элемент
|
|
|
|
|
Кол-во
|
|
ИМС
|
0,028
|
1,5
|
5,5
|
0,35
|
1
|
|
Конденсатор оксидно-электролитический алюминиевый
|
0,173
|
1,5
|
5
|
0,048
|
3
|
|
Резисторы постоянные металлодиэлектрические
|
0,044
|
1,5
|
3
|
0,5
|
4
|
|
Соединитель (розетка)
|
0,0041
|
1,3
|
2,5
|
0,5
|
1
|
|
МО на печатной плате
|
|
1,7
|
5
|
-
|
324
|
|
Соединения пайкой волной
|
|
1,7
|
5
|
-
|
688
|
В таблице 4.2 сведены уточненные типоразмеры элементов РЭУ:
Таблица 4.2 - Уточненные типоразмеры элементов РЭУ.
|
Элемент, компонент
|
Позиционное обозначение
|
Тип
|
Функциональное назначение
|
Количество
|
Примечание
|
Предельная рабочая температура
|
|
ИМС
|
DA1
|
К140УД12
|
прецизионный предварительный усилитель
|
1
|
42 элемента
|
|
|
Конденсаторы
|
C1,С2
|
К50-15
|
Алюминиевый оксидно-электролитический
|
2
|
|
|
|
Резисторы
|
R1,R3
|
С2-33Н
|
постоянные непроволочные
|
2
|
|
|
|
Резистор
|
R2
|
С2-33Н
|
постоянный непроволочный
|
|
|
|
Соединитель
|
XS1
|
6P-100B
|
электрический низкочастотный прямоугольный для печатного и
объемного монтажа
|
1
|
100 контактов, за время
|
|
|
МО, пропаянные волной
|
-
|
-
|
-
|
324
|
Количество отверстий
|
-
|
|
Соединения пайкой волной
|
-
|
-
|
-
|
688
|
Дополнительно к МО пропаянных волной
|
-
|
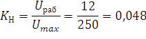
4.2 Определение коэффициента электрической нагрузки для
активного элемента (конденсатор)
Для расчета коэффициента электрической нагрузки учитываются наиболее
влияющие на надежность элемента факторы. Для конденсатора таковым фактором
является напряжение. Для остальных же элементов выбираем рекомендуемые
коэффициенты электрической нагрузки из диапазона [0,2…0,6].
Расчет
для конденсатора:
т.к входное напряжение в нашем усилителе равняется 12 В, то из этого
следует что оно будет максимально падающим на конденсатор. Из технических
условий на конденсатор, находим предельно допустимое рабочее напряжение: 250 В
[4]. Из этого следует что:
В таблице 4.3 сведены значения коэффициента нагрузки всех элементов:
Таблица 4.3 - Значения коэффициента нагрузки элементов РЭУ
|
Элемент
|
С1
|
С2
|
R1
|
R2
|
R3
|
DA1
|
XS1
|
|
|
0,048
|
0,048
|
0,4
|
0,4
|
0,4
|
0,35
|
0.5
|
4.3 Расчет параметров безотказности элементов РЭУ
Определим максимальную температуру элементов в составе РЭУ. Для учета
влияния температуры на эксплуатационную интенсивность отказов элементов
принято во внимание верхнее значение
предельной рабочей температуры (
), соответствующее РЭУ исполнения УХЛ 2 по ГОСТ 15150-69, и
возможное увеличение предельной рабочей температуры на значение
за счет нагрева (солнечными лучами)
РЭУ и, следовательно, модуля в составе РЭУ (см.п.5.4 ГОСТ 15150-69).
Предельная рабочая температура
теплонагруженных элементов (ИМС,
мощные резисторы) определена как:
где
- перегрев в нагретой зоне печатного узла.
Предельная рабочая температура
нетеплонагруженных элементов
(конденсаторов, слабонагруженных резисторов, соединитель) подсчитана как:
где
- средний перегрев воздуха внутри конструкций РЭУ.
Рассчитаем поправочные коэффициенты моделей эксплуатационной
интенсивности отказов и полученные результаты занесем в таблицу 4.4:
Для интегральных микросхем
вычисляется по формуле:
(4.1)
Для резистора
вычисляется
по формуле:
(4.2)
Для конденсаторов
вычисляется по формуле:
(4.3)
Для соединителя
вычисляется
по формуле:
(4.4)
Коэффициенты берутся из учебного пособия «Расчет показателей надежности
радиоэлектронных средств».
Таблица 4.4 - Таблица поправочных коэффициентов к элементам РЭУ.
|
Позиционное обозначение
|
Кол-о
|
|
|
Вид математической модели расчета
|
Значение поправочного коэффициента
|
|
|
|
|
|
|
|
|
|
|
|
|
|
|
|
|
|
|
|
DA1
|
1
|
0,35
|
0,028
|
|
1,235
|
0,662
|
|
1
|
3
|
|
|
|
|
|
|
1,5
|
5,5
|
|
R1
|
1
|
0,4
|
0,044
|
|
|
0,490
|
|
|
|
|
1
|
0,7
|
1
|
|
|
1,5
|
3
|
|
|
1
|
0,4
|
0,044
|
|
|
0,585
|
|
|
|
|
2
|
0,7
|
1
|
|
|
1,5
|
3
|
|
|
2
|
0,4
|
0,044
|
|
|
0,595
|
|
|
|
|
2
|
0,7
|
1
|
|
|
1,5
|
3
|
|
|
2
|
0,048
|
0,173
|
|
|
0,241
|
|
|
|
0,351
|
|
|
|
|
|
1,5
|
5
|
|
|
1
|
0,5
|
0,0041
|
|
|
2,2
|
|
|
|
|
|
|
|
24,14
|
0,4
|
1,3
|
2,5
|
|
ПЧс МО
|
-324
|
-
|
|
См. табл. 3.2.1
|
|
|
4,111
|
|
|
|
|
|
|
|
|
1,7
|
5
|
|
СПВ
|
6 688
|
-
|
|
|
|
|
4,111
|
|
|
|
|
|
|
|
|
1,7
|
5
|
|
Наименование и позиционное обозначение элемента
|
Модель прогнозирования
|
Математическое выражение поправочного коэффициента
|
Значения величин
|
Значения найденных величин
|
|
|
Интегральная микросхема DA1
|
|
см. табл. 5.3 [1]
|
0,028
|
-
|
|
|
|
см. табл. 5.4 [1]
|
|
0,634 0,35
|
|
|
|
см. табл. 5.5 [1]
|
1
|
-
|
|
|
|
см. табл. 5.6 [1]
|
3
|
-
|
|
|
|
|
|
4
|
|
|
|
см. табл. 5.22 [1]
|
1,5
|
-
|
|
|
|
см. табл. 5.23 [1]
|
5,5
|
-
|
|
|
Конденсаторы C1, C2
|
|
см. табл. 5.3 [1]
|
0,173
|
-
|
|
|
|
см. табл. 5.11 [1]
|
4,09 3 5,9
|
0,2732 0,048
|
|
|
|
см. табл. 4.2
|
|
|
|
|
|
см. табл. 5.22 [1]
|
1,5
|
-
|
|
|
|
см. табл. 5.23 [1]
|
5
|
-
|
|
|
Резисторы R1,R2,R3
|
|
см. табл. 5.3 [1]
|
0,044
|
-
|
|
|
|
|
0,507
|
0,5857 = 0,4
|
|
|
Наименование и позиционное обозначение элемента
|
Модель прогнозирования
|
Математическое выражение поправочного коэффициента
|
Значения величин
|
Значения найденных величин
|
|
|
|
см. табл. 5.13 [1]
|
0,886 9,278 1
|
|
|
|
|
см. табл. 5.15 [1]
|
2
|
-
|
|
|
|
см. табл. 5.14 [1]
|
0,7
|
-
|
|
|
|
см. приложения
|
1
|
-
|
|
|
|
см. табл. 5.22 [1]
|
1,5
|
-
|
|
|
|
см. табл. 5.23 [1]
|
3
|
-
|
|
Соединитель XS1
|
|
см. табл. 5.3 [1]
|
|
-
|
|
|
|
см. табл. 4.1
|
|
2,131
|
|
|
|
|
|
24,30
|
|
|
|
|
|
0,4018
|
|
|
|
см. табл. 5.22 [1]
|
1,3
|
-
|
|
|
|
см. табл. 5.23 [1]
|
2,5
|
-
|
|
Печатная плата с МО
|
|
см. табл. 5.3 [1]
|
|
-
|
|
|
|
|
|
-
|
|
|
|
|
|
-
|
|
|
|
|
1
|
-
|
|
|
|
|
|
|
|
|
|
см. табл. 5.22 [1]
|
1,7
|
-
|
|
|
|
см. табл. 5.23 [1]
|
5
|
-
|
|
Соединения пайкой волной
|
|
см. табл. 5.3 [1]
|
|
-
|
|
|
|
|
|
|
|
|
|
см. табл. 5.22 [1]
|
1,7
|
-
|
|
|
|
см. табл. 5.23 [1]
|
5
|
-
|
|
|
|
|
|
|
|
|
|
|
|
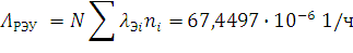
Определяем суммарную эксплуатационную интенсивность отказов РЭУ:
где
- i-я
группа идентичных элементов, N -
количество каскадов.
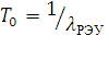
.4 Определяем показатели безотказности РЭУ
Показатели безотказности РЭУ определяем используя экспоненциальный закон надежности:
) Наработка на отказ:
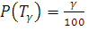
) Вероятность безотказной работы за время
:
) Гамма-процентная наработка до отказа при γ
= 99 %:
5. АНАЛИЗ РЕЗУЛЬТАТОВ РЕШЕНИЯ
В результате вычислений получили следующие результаты:
Вероятность безотказной работы за время
=
;
Наработка на отказ
=
ч;
Гамма-процентная наработка до отказа при
= 99 %
=
ч.
Следовательно, вероятность безотказной работы каскада за заданное время
часов равняется
=
. Это означает, что 94,271 %
исследуемых устройств должны работать безотказно в течении
часов работы.
Наработка на отказ равняется
часов. Это значит, что N устройств
будут в среднем иметь наработку до отказа, равную
часов.
Гамма-процентная наработка до отказа при
= 99% равняется
=
часа. Это означает, что у 99%
исследуемых устройств в течение суммарной наработки, равной
часа, отказ не возникнет.
В целом, проанализировав полученные результаты можно сделать вывод, что
исследуемый РЭУ обладает достаточно высокими временем безотказной работы,
вероятностью безотказной работы за 1000 часов и гамма-процентной наработкой до
отказа при
= 99%. Так что его использование приемлемо при
проектирование сложных и сложных для ремонта устройств. Большой срок службы
оказывает значительную экономическую эффективность за счет редкого ремонта и
уменьшения технического обслуживания РЭУ.
ЗАКЛЮЧЕНИЕ
В ходе курсовой работы был сделан расчет показателей надежности РЭУ
расчетным способом. Были получены данные о таких характеристиках как наработка
на отказ, гамма-процентная наработка до отказа. По результатам вычислений
определено, что данное РЭУ, состоящее из 35 однотипных каскадов является
долговечным и надежным. Параллельное соединение каскадов позволяет своевременно
обнаружить поломку и исправить её, таким образом улучшая
экономически-эксплуатационные и ремонтные характеристики.
СПИСОК ИСПОЛЬЗОВАННЫХ ИСТОЧНИКОВ
1. Боровиков
С.М. Расчёт показателей надёжности радиоэлектронных средств: учеб.-метод.
пособие / С. М. Боровиков, И. Н. Цырельчук, Ф. Д. Троян; под ред. С. М.
Боровикова. - Минск: БГУИР, 2010. - 68 с.
. Достанко
А.П Разработка технологической документации на технологические процессы:
учеб.-метод. Пособие. /А.П. Достанко.
. Боровиков
С.М. Теоретические основы конструирования, технологии и надежности:
учеб.-метод. пособие / С. М. Боровиков, Т.В Малышева под ред. С. М. Боровикова.
- Минск: БГУИР, 2004. - 55 с.: ил.
. Першин В.Т.
Основы радиоэлектроники : учеб.-метод. пособие / Першин В.Т. . -
Минск:Выш.шк.,2006.-399 с.: ил.
5.
<#"564048.files/image179.gif">
|
1. Интегральные микросхемы (ИМС)
|
|
Полупроводниковые цифровые: логические, арифметические,
микропроцессоры и микропроцессорные комплекты, регистры сдвига и др.
оперативные запоминающие устройства (ОЗУ) постоянные запоминающие устройства
(ПЗУ, ППЗУ, РПЗУ)
|
0,023 0,030 0,018
|
|
Полупроводниковые аналоговые
|
0,028
|
|
Гибридные ИМС
|
0,043
|
|
2. Полупроводниковые приборы (ППП)
|
|
Диоды выпрямительные
|
0,091
|
|
Столбы (мосты) выпрямительные
|
0,21
|
|
Диоды импульсные
|
0,025
|
|
Варикапы подстроечные
|
0,022
|
|
Стабилитроны
|
0,0041
|
|
Транзисторы биполярные кремниевые, кроме СВЧ
|
0,044
|
|
Транзисторы полевые: кремниевые арсенидогаллиевые
|
0,065
0,578
|
|
Тиристоры кремниевые
|
0,2
|
|
Диоды СВЧ: кремниевые (кроме умножительных и настроечных)
кремниевые умножительные и настроечные арсенидогаллиевые
|
0,162 1,61 0,21
|
|
Транзисторы СВЧ малой и средней мощности
|
0,064
|
|
Транзисторы СВЧ большой мощности
|
0,18
|
|
Фотодиоды на основе кремния
|
0,185
|
|
Фототранзисторы
|
0,15
|
|
Фоторезисторы на основе PbS
|
1,8
|
|
Диоды излучающие инфракрасного и видимого диапазона
(светодиоды)
|
0,034
|
|
Оптопары диодные, транзисторные
|
0,051
|
|
Оптопары тиристорные, резисторные, микросхемы
оптоэлектронные
|
0,19
|
|
4. Знакосинтезирующие индикаторы
|
|
Индикаторы полупроводниковые: буквенно-цифровые дисплеи с
диодной матрицей
|
0,42 0,21
|
|
Индикаторы вакуумные люминесцентные: цифровые
буквенно-цифровые Индикаторы вакуумные накаливаемые цифровые Индикаторы
газоразрядные: цифровые буквенно-цифровые Индикаторы жидкокристаллические
цифровые многоразрядные
|
0,83 0,69 0,31 0,79 2,25 0,88
|
|
5. Конденсаторы
|
|
слюдяные керамические бумажные и металлобумажные с
органическим синтетическим диэлектриком электролитические алюминиевые
|
0,04 0,022 0,019 0,028 0,173
|
|
6. Резисторы
|
|
Резисторы постоянные непроволочные: металлодиэлектрические,
металлизированные композиционные Группа элементов
|
0,044
0,034
|
|
Резисторы переменные: непроволочные проволочные
Терморезисторы
|
0,179 0,183 0,007
|
|
7. Элементы коммутации
|
|
Переключатели галетные Тумблеры Кнопки, кнопочные
переключатели Микропереключатели Переключатели на базе герконов Контакты
магнитоуправляемые: замыкающего типа переключающего типа
|
0,058 / 0,0027 (1/вкл.) 0,1 / 0,0064 (1/вкл.) 0,16 / 0,009
(1/вкл.) 0,045/0,0019 (1/вкл.) 0,13 / 0,005 (1/вкл.) 0,0007 (1/сраб.) 0,018
(1/сраб.)
|
|
8. Соединители (разъёмы)
|
|
низкочастотные прямоугольные для печатного монтажа
низкочастотные для объёмного монтажа радиочастотные с полиэтиленовой
изоляцией
|
0,0041 0,0104 0,015
|
|
9. Прочие элементы и компоненты
|
|
Трансформаторы: питания преобразователей напряжения
согласующие, импульсные и др.
|
0,0035 0,0072 0,0019
|
|
Электронно-лучевые трубки: осциллографические, индикаторные
кинескопы монохромные кинескопы цветные
|
1,67 1,1 13,17
|
|
Дроссели
|
0,033
|
|
Катушки индуктивности
|
0,01
|
|
Реле электромагнитные общего назначения
|
0,0304 (1/ком.)
|
|
Пьезоэлектрические приборы (кварцевые резонаторы, датчики,
фильтры)
|
0,026
|
|
Линии задержки
|
0,04
|
|
Предохранители
|
0,011
|
|
Держатели предохранителей
|
0,003
|
|
Индикаторные электрические лампочки при минимальной
продолжительности горения Тmin , указываемой в ТУ: при переменном
напряжении до 12 В при постоянном напряжении до 12 В при переменном
напряжении 200…240 В
|
1,8 5,4 77,8
|
|
Соединения (значения базовой интенсивности отказов): ручная
пайка без накрутки ручная пайка с накруткой пайка волной обжимка (опрессовка)
клеммный блок (узел)
|
0,0013 0,00007 0,000069 0,00012 0,062
|
|
Пайки сквозных металлизированных отверстий в платах с
металлизированными отверстиями (значения базовой интенсивности отказов в
зависимости от технологии межсоединений): печатный монтаж монтаж дискретными
проводниками
|
0,000017 0,00011
|
|
Кабели, шнуры, провода монтажные (значения базовой
интенсивности отказов): кабели (провода) радиочастотные коаксиальные провода
монтажные низковольтные обычной теплостойкости шнуры питания гибкие с
резиновой изоляцией (без вилок питания)
|
0,00127 (1/м) 0,0577 (1/м) 0,037 (1/м)
|
Таблица 5.4. Коэффициенты моделей для различных групп ИМС.
|
Группа ИМС
|
A
|
S
|
B
|
|
1. Полупроводниковые цифровые (логические, арифметические,
микропроцессоры, регистры сдвига и др.)
|
0,336
|
0,288
|
0,021
|
|
2. Оперативные запоминающие устройства (ОЗУ)
|
0,468
|
0,168
|
0,021
|
|
3. Постоянные запоминающие устройства (ПЗУ) и
программируемые ПЗУ (ППЗУ)
|
0,963
|
0,128
|
0,021
|
|
4. Перепрограммируемые ПЗУ (РПЗУ)
|
1,113
|
0,128
|
0,021
|
|
5. Аналоговые ИМС
|
0,478
|
0,253
|
0,023
|
|
6. Гибридные интегральные ИМС
|
0,796
|
0,120
|
0,024
|
Таблица 5.5. Значения коэффициента Ккорп.
|
Корпус
|
Ккорп
|
Корпус
|
Ккорп
|
|
Все корпуса, кроме пластмассовых (полимерных)
|
1,0
|
Пластмассовые (полимерные)
|
3,0
|
Таблица 5.6. Значения коэффициента КV в зависимости от
максимальных значений напряжения питания.
|
Технология
|
Значение КV для напряжения источника питания, В
|
|
до 10
|
> 10 до 12,6
|
> 12,6 до 15
|
|
КМОП
|
1,0
|
3,0
|
10,0
|
|
Прочие виды технологий
|
1,0
|
Таблица 5.11. Константы модели коэффициента Кр для
конденсаторов.
|
Группа конденсаторов
|
А
|
В
|
Nт
|
G
|
Ns
|
Н
|
|
Керамические, стеклокерамическне. подстроенные с твёрдым
диэлектриком
|
5,909-10 -7
|
14,3
|
398
|
1
|
0,3
|
3
|
|
Слюдяные
|
9,885-10 -8
|
16
|
358
|
1
|
0,4
|
3
|
|
С органическим синтетическим диэлектриком
|
9,259-10 -3
|
2,5
|
358
|
18
|
0,4
|
5
|
|
Бумажные и металлобумажные
|
9,58310 -3
|
2.5
|
358
|
18
|
0,4
|
5
|
|
Оксидно-электролитические алюминиевые
|
3,59-10 -2
|
4,09
|
358
|
5,9
|
0,55
|
3
|
Таблица 5.12. Модели для подсчета коэффициента Кс для
конденсаторов.
|
Группа конденсаторов
|
Модель
|
Примечание
|
|
Тонкопленочные с неорганическим диэлектриком
|
Кс=1
|
|
|
Керамические и стеклокерамические
|
Кс=0,4С0,12
|
С в пФ
|
|
Слюдяные
|
Кс=0,4С0,14
|
С в пФ
|
|
Бумажные и металлобумажные
|
Кс=С0,05
|
С в мкФ
|
|
С органическим синтетическим диэлектриком
|
Кс=С0,05
|
С в мкФ
|
|
Оксидно-электролитические алюминиевые
|
Кс=0,2С0,23
|
С в мкФ
|
Таблица 5.13. Постоянные коэффициенты модели Кр для
резисторов.
|
Группа резисторов
|
А
|
В
|
Nт
|
G
|
Ns
|
J
|
Н
|
|
Резисторы постоянные:
|
|
мсталлодиэлектрические, металлизированные
|
0,260
|
0,5078
|
343
|
9,278
|
0,878
|
1
|
0,886
|
|
композиционные пленочные
|
0,06
|
1,616
|
328
|
2,746
|
0,622
|
1,198
|
0,770
|
|
композиционные объемные
|
0,093
|
2,194
|
358
|
2,019
|
1,245
|
1,2
|
1,362
|
|
Резисторы неременные:
|
|
|
|
|
|
|
|
|
непроволочные керметные
|
0,399
|
1,5419
|
343
|
9,8965
|
3.1668
|
1,3071
|
0,6012
|
|
композиционные объёмные, потенциометры
|
0,655
|
0,693
|
373
|
7.223
|
2,895
|
1
|
1,335
|
|
проволочные
|
0,202
|
1,14
|
343
|
21,7
|
0,529
|
1
|
0,599
|
Таблица 5.14. Значения коэффициента Км для
металлодиэлектрических резисторов.
|
Мощность, Вт
|
Км
|
Мощность, Вт
|
Км
|
Мощность, Вт
|
Км
|
|
0,062-0,5
|
0,7
|
1-3
|
1,5
|
5-10
|
4,5
|
Таблица 5.15. Значения коэффициента КR для резисторов.
|
Диапазон сопротивлении
|
KR
|
Диапазон сопротивлений
|
KR
|
Диапазон сопротивлении
|
KR
|
|
Резисторы постоянные непроволочные: мсталлодиэлектрическис
|
|
< I кОм
|
1,0
|
> 1 кОм< 100 кОм
|
0,7
|
> 100кОм< 1 МОм
|
2.0
|
|
углеродистые
|
|
< 100 кОм
|
0,5
|
> 100кОм< 1 МОм
|
2,7
|
> 1 МОм
|
0,7
|
|
Резисторы переменные: неироволочные кермстные
|
|
> 10Ом< 100 Ом
|
1,6
|
> 100 Ом < 330 Ом
|
1,4
|
>330Ом
|
1,0
|
|
проволочные
|
|
< 1 к()м
|
1.9
|
> 1 кОм < ЮкОм
|
0.5
|
> 10к()м< 100 кОм
|
0.9
|
Значения коэффициента КΔ в зависимости от допуска на
сопротивление резистора: 2 - при допуске ±0,5 %, 1 - при допуске ±1, ±2, ±5,
±10 % и более.
Таблица 5.22. Значения коэффициента Кэ.
|
Класс (группа элементов)
|
Группа аппаратуры в зависимости от условий эксплуатации
|
|
Зр
|
Зчр
|
| Зов
|
Зпн
|
Зм
|
Змд
|
Бск
|
|
1. ИМС
|
1
|
1,2
|
1,5
|
1.7
|
2
|
3
|
3,5
|
|
2. ППП, включай оптоэлектронные:
|
|
|
|
|
|
|
|
|
диоды, кроме диодов СВЧ
|
1
|
1,2
|
1,5
|
2
|
3
|
4
|
4
|
|
стабилитроны, ограничители напряжения
|
1
|
1,2
|
1.7
|
2.5
|
4
|
5
|
5
|
|
диоды СВЧ
|
1
|
1,2
|
1.3
|
1.5
|
2
|
2
|
3
|
|
транзисторы биполярные, кроме СВЧ
|
1
|
1,2
|
1.5
|
2
|
4
|
5
|
1
|
|
транзисторы биполярные СВЧ
|
1
|
1,2
|
2
|
2.5
|
4
|
5
|
5
|
|
транзисторы полевые, тиристоры
|
1
|
1,2
|
1.3
|
1.5
|
1.7
|
2
|
3
|
|
излучатели полупроводниковые (свегодиоды), оптонары
|
1
|
1.1
|
1.5
|
2
|
2.5
|
6
|
|
фотодиоды, фоторезисторы, фототранзисторы
|
1
|
1,1
|
1-5
|
2
|
3
|
4
|
6
|
|
3. Знакосннзезируюшие индика юры (вакуумные люминесцентные,
вакуумные накаливаемые, газоразрядные, полупроводниковые)
|
1
|
1.1
|
1.3
|
1.5
|
2
|
2,5
|
6
|
|
4. Пьезоэлектрические приборы, электромеханические филыры
|
1
|
1.1
|
1,3
|
1,5
|
1,7
|
2
|
2
|
|
5. Резисторы:
|
|
|
|
|
|
|
|
|
постоянные непроводочные
|
1
|
1,2
|
1.5
|
2
|
3
|
5
|
6
|
|
постоянные проволочные и фольговые
|
1
|
1,2
|
1.5
|
2
|
3
|
5
|
10
|
|
неременные ненроволочные
|
1
|
1,5
|
2
|
2.5
|
4
|
6
|
8
|
|
неременные проволочные
|
1
|
1,5
|
2
|
2.5
|
4
|
5
|
5
|
|
резисторные микросхемы, сборки
|
1
|
1,2
|
1.5
|
2
|
3
|
5
|
6
|
|
терморезисторы
|
1
|
1.2
|
1.5
|
2
|
3
|
5
|
6
|
|
6. Конденсаторы:
|
|
|
|
|
|
|
|
|
керамические, стеклянные, слюдяные, тонко-плёночные с
неорганическим диэлектриком
|
1
|
1.1
|
1,3
|
1.5
|
3
|
5
|
4
|
|
оксидно-электролитические
|
1
|
1-2
|
1.5
|
2
|
3
|
5
|
5
|
|
оксидно-пористые
|
1
|
1,2
|
1.5
|
2
|
3
|
5
|
6
|
|
подстроечные
|
1
|
1,5
|
2
|
2,5
|
4
|
6
|
5
|
|
7. Трансформаторы
|
1
|
1,3
|
1.6
|
2
|
3
|
5
|
10
|
|
8. Дроссели, катушки индуктивности
|
1
|
1.3
|
1.6
|
2
|
3
|
5
|
10
|
|
9. Линии задержки
|
1
|
1.3
|
1
|
3
|
3
|
5
|
10
|
|
10. Коммутационные изделия:
|
|
|
|
|
|
|
|
|
11. Соединители низкочастотные
|
1
|
1,2
|
1,3
|
1.5
|
2
|
3
|
3
|
|
12. Соединители радиочастотные
|
1
|
1,2
|
1.3
|
1.5
|
2
|
3
|
3
|
|
13. Реле:
|
|
|
|
|
|
|
|
|
электромагнитные средней мощности и слаботочные
|
1
|
1.5
|
2.5
|
4
|
5
|
6
|
8
|
|
реле и автоматы защиты, выключатели и пс-рсключатели
автоматические и т.н.
|
1
|
1,1
|
1,3
|
1.5
|
1.7
|
2
|
4
|
|
14. Электрические кабели, шнуры, провода
|
1
|
1
|
1,2
|
1.5
|
2
|
3
|
7
|
|
15. Соединении (пайка, сварка, скрутка и т.д.)
|
1
|
1,2
|
1.7
|
2
|
3
|
4
|
5
|
|
16. Панки ни платах с металлизированными отверстиями
|
1
|
1,2
|
1.7
|
2
|
3
|
4
|
5
|
|
17. Установочные изделия (предохранители, держатели
предохранителей)
|
1
|
1,2
|
1.7
|
2
|
4
|
8
|
9
|
|
18. Прочие элементы:
|
|
|
|
|
|
|
|
|
электронно-лучевые трубки
|
1
|
1
|
1.3
|
1.5
|
1.7
|
2
|
4
|
|
индикаторные лампочки
|
1
|
1.2
|
2
|
3
|
3,5
|
4.5
|
6
|
Таблица 5.23. Значение коэффициента Кп.
|
Класс (группа) элементов
|
Значения Кп для видов приемки:
|
|
неизвестный вид приёмки (уровень качества)
|
отк
|
«5» (ВП, ОВП)
|
«7» (ОСМ)
|
«9» (ОС)
|
|
|
«1»
|
«3»
|
|
|
|
|
|
пластмассовые корпуса)
|
-
|
|
|
|
|
|
1. ИМС
|
10
|
|
5,5
|
3,1
|
1
|
0,5
|
0.3
|
|
2. ППП, включая оптозлектронные:
|
|
|
диоды НЧ (общего назначения, переключательные,
выпрямительные, стабилитроны и др.)
|
10
|
8
|
5,5
|
2.4
|
1
|
0,7
|
0,35
|
|
диоды СВЧ, кроме диодов Шоттки
|
50
|
50
|
25
|
5
|
1
|
0,6
|
0,6
|
|
диоды СВЧ Шоттки
|
|
|
2,5
|
1,8
|
1
|
0.5
|
0.5
|
|
транзисторы: биполярные. Si полевые, однопереходные
|
10
|
8
|
5,5
|
2,4
|
1
|
0,7
|
0,35
|
|
транзисторы СВЧ биполярные и полевые, включая
арсенидогаллне-вые
|
10
|
-
|
5
|
2
|
1
|
0,5
|
0,35
|
|
транзисторы: НЧ малошумящие, ВЧ (f > 400 МГц), Si
полевые
|
10
|
-
|
5
|
2
|
1
|
0,5
|
0,35
|
|
тиристоры Si
|
10
|
8
|
5,5
|
2,4
|
1
|
0,7
|
0,2
|
|
онтозлектронные ППП
|
10
|
8
|
5,5
|
2,4
|
1
|
0,7
|
0,6
|
|
3. Зиакосинтезирующие индикаторы:
|
|
|
полупроводниковые
|
10
|
8
|
5,5
|
2,4
|
1
|
0,7
|
0,6
|
|
люминесцентные
|
4
|
-
|
2
|
1,5
|
1
|
-
|
-
|
|
накаливаемые
|
5
|
-
|
3
|
2
|
1
|
-
|
-
|
|
газоразрядные
|
4
|
-
|
2
|
1,5
|
1
|
0,8
|
0,8
|
|
жидкокристаллические цифровые
|
10
|
-
|
5,5
|
3
|
1
|
-
|
-
|
|
4. Пьезоэлектрические приборы: кварцевые резонаторы прочие
приборы
|
10
|
-
|
9 4
|
3 2
|
1
|
0,7
|
0,7
|
|
5. Резисторы:
|
|
|
переменные непроволочные, композиционные и пленочные
|
-
|
5
|
3
|
1
|
0,8
|
0,8
|
|
потенциометры непроволочные
|
10
|
-
|
5
|
3
|
1
|
-
|
-
|
|
остальные постоянные и переменные резисторы
|
10
|
-
|
3
|
2
|
1
|
0,5
|
0,3
|
|
6. Конденсаторы
|
10
|
-
|
5
|
3
|
1
|
0,5
|
0,3
|
|
7. Трансформаторы:
|
|
|
питания
|
30
|
-
|
20
|
10
|
1
|
0,5
|
0,2
|
|
ВЧ (радиочастотные)
|
20
|
-
|
10
|
5
|
1
|
0,5
|
0,2
|
|
НЧ, звуковые
|
10
|
-
|
5
|
3
|
1
|
0,4
|
0,2
|
|
импульсные
|
10
|
-
|
4
|
2
|
1
|
0,3
|
0,2
|
|
8. Дроссели, катушки индуктивности:
|
|
|
|
|
1
|
|
|
|
все дроссели, кроме питания
|
10
|
|
5
|
3
|
1
|
0,5
|
0.2
|
|
дроссели питания
|
20
|
|
10
|
5
|
1
|
0,5
|
0.2
|
|
катушки индуктивности
|
10
|
-
|
5
|
3
|
1
|
0,5
|
0,2
|
|
|
|
|
|
|
|
|
|
9. Линии задержки
|
5
|
-
|
4
|
2,1
|
1
|
0,5
|
0,2
|
|
|
|
|
|
|
|
|
|