Модернизация зеркальной антенны гигагерцевого диапазона

  • Вид работы:
    Дипломная (ВКР)
  • Предмет:
    Информатика, ВТ, телекоммуникации
  • Язык:
    Русский
    ,
    Формат файла:
    MS Word
    4,05 Мб
  • Опубликовано:
    2012-07-18
Вы можете узнать стоимость помощи в написании студенческой работы.
Помощь в написании работы, которую точно примут!

Модернизация зеркальной антенны гигагерцевого диапазона

Аннотация

В настоящее время зеркальные антенны являются наиболее распространёнными остронаправленными антеннами в дециметровом и особенно в сантиметровом диапазоне. Главным образом используются зеркала параболической формы поверхности - параболоид вращения и параболический цилиндр. Их широкое применение в самых разнообразных радиосистемах объясняется простотой конструкции, возможностью получения разнообразных видов Д.Н., высоким КПД, малой шумовой температурой, хорошими диапазонными свойствами и т.д. В радиолокационных применениях зеркальные антенны позволяют легко получить равносигнальную зону, допускают одновременное формирование нескольких Д.Н. общим зеркалом (в том числе суммарных и разностных). Некоторые типы зеркальных антенн могут обеспечивать достаточно быстрое качание луча в значительном угловом секторе. Зеркальные антенны являются наиболее распространённым типом антенн в космической связи и радиоастрономии, и именно с помощью зеркальных антенн удаётся создавать гигантские антенные сооружения с эффективной поверхностью раскрыва, измеряемой тысячами квадратных метров.

В настоящее время экспериментальные установки позволяют исследовать значительную часть составляющих космической погоды на основе регистрации потока космических лучей, напряженности геомагнитного поля, зондирования ионосферы с Земли. Однако активность Солнца, определяющая в целом состояние космической погоды, поведение интегрального содержания ионосферы, измеряемого с помощью приема сигналов навигационных спутников, а также эмиссии ночного неба в различных спектральных диапазонах остаются пока не включенными в область экспериментальных исследований. Этот пробел предполагается закрыть, организовав наблюдения радиоизлучения Солнца на модернизированной установке ТНА-57М, наблюдения ночного неба на оптической камере и наблюдения полного электронного содержания ионосферы на модернизированной установке по приему сигналов навигационных спутников "Парус" и "Цикада".

 


Содержание

Введение

1. Обоснование выбора направлений исследований

1.1 Разработка технических требований по модернизации оптических и радиотехнических средств радиополигона "орбита"

1.2 Технические характеристики антенны ТНА-57М

2. Общие сведения о радиометрах и шумах

.1 Шумы приемника

.2 Предел чувствительности, обусловленный флуктуациями

3. Общее описание системы ТНА-57 , находящейся на радиополигоне "ОРБИТА"

4. Радиометры для мониторинга солнечной активности на двух частотах

.1 Облучатель антенны ТНА - 57

.2 Радиометры модуляционные РМ-10, РМ-30 на фиксированные частоты 1 и 3 ГГц

4.3 Проведение наладочных испытаний

5. Расчет основных конструктивных элементов антеннны Коссегрена

6. Экономический расчет

.1 Определение цены программного продукта

6.2 Расчет затрат на материалы, покупные изделия, полуфабрикаты

.3 Затраты на оплату машинного времени

7. Расчет надежности установки

.1 Понятие надежности радиоэлектронной аппаратуры

.2 Показатели надежности РЭА

.3 Расчет показателей надежности проектируемого устройства

8. Охрана безопасности и жизнедеятельности

.1 Общие требования безопасности

.2 Анализ опасных и вредных факторов

.3 Требования к организации работы

Заключение

Список литературы

Приложения

 


Введение


Антенна - устройство для излучения и приёма радиоволн (разновидности электромагнитного излучения). Антенна является конвертором электрического тока радиочастотного диапазона в электромагнитное излучение и наоборот.

Форма, размеры и конструкция антенн разнообразны и зависят от длины излучаемых или принимаемых волн и назначения антенны. Применяются антенны в виде отрезка провода, комбинаций из таких отрезков, отражающих металлических зеркал различной конфигурации, полостей с металлическими стенками, в которых вырезаны щели (щелевая антенна), спиралей из металлических проводов и другие.

Основные типы антенн

·              Апертурные антенны

o     рупорные антенны

o     щелевые антенны

o     зеркальные антенны

o     линзовые антенны

·              Антенны бегущей волны

o     диэлектрические стержневые антенны

o     спиральные антенны

o     импедансные антенны

o     антенны вытекающей волны

o     антенны "волновой канал"

·              Фазированные антенные решетки

o     пассивные(с одним передающим/приемным устройством на антенну)

o     активные(с одним передающим/приемным устройством на каждый модуль антенны)

·        Спутниковые антенны

o     Офсетные антенны

o     Прямофокусные антенны

Характеристики антенны. Каждая антенна как пассивное линейное устройство может работать в режимах передачи и приема. В обоих режимах антенна характеризуется направленными, поляризационными, фазовыми свойствами и входным импедансом. К основным характеристикам и параметрам, описывающим эти свойства, относятся:

·              Полоса пропускания

·              поляризация

·              входной импеданс и коэффициент стоячей волны

·              диаграмма направленности (ДН)

·              коэффициент направленного действия (КНД)

·              эквивалентная изотропно излучаемая мощность (ЭИИМ)

·              коэффициент усиления антенны (КУ)

·              фазовая диаграмма (ФД)

·              коэффициент полезного действия (КПД)

·              шумовая температура антенны (ТА)

Зеркальными антеннами называют антенны, у которых поле в раскрыве формируется в результате отражения электромагнитной волны от металлической поверхности специального рефлектора (зеркала). Источником электромагнитной волны обычно служит какая-нибудь небольшая элементарная антенна, называемая в этом случае облучателем зеркала или просто облучателем. Зеркало и облучатель являются основными элементами зеркальной антенны.

Зеркало обычно изготовляется из алюминиевых сплавов. Иногда для уменьшения парусности зеркало делается не сплошным, а решетчатым. Поверхности зеркала придается форма, обеспечивающая формирование нужной диаграммы направленности. Наиболее распространенными являются зеркала в виде параболоида вращения, усеченного параболоида, параболического цилиндра или цилиндра специального профиля. Облучатель помещается в фокусе параболоида или вдоль фокальной линии цилиндрического зеркала. Соответственно для параболоида облучатель должен быть точечным, для цилиндра - линейным. Наряду с однозеркальными антеннами применяются и двухзеркальные.

Зеркальные параболические антенны применяются в различных диапазонах волн: от оптического до коротковолнового, особенно широко в сантиметровом и дециметровом диапазонах. Эти антенны отличаются конструктивной простотой, возможностью получения различных ДН, хорошими диапазонными свойствами и т.д. Существуют различные типы зеркальных антенн: параболические зеркала (параболоид, усечённый параболоид и параболический цилиндр), сферические зеркала, плоские и угловые зеркала, зеркальные антенны специальной формы, двух- и многозеркальные антенны, зеркально-рупорные антенны. Зеркальная параболическая антенна состоит из металлической поверхности, выполненной в виде параболоида вращения и небольшой слабонаправленной антенны - облучателя, установленной в фокусе параболоида и облучающей внутреннюю поверхность последнего. Параболическая поверхность образуется в результате вращения параболы с фокусом в точке F вокруг оси Z.

Целью работы является создание станции контроля космического пространства на радиополигоне "Орбита", включающей в себя системы приема радиосигналов космических источников (естественных и искусственных), потока радиоизлучения Солнца, а также оптические установки регистрации эмиссии ночного неба.

Актуальность модернизации радиотехнических и оптических средств радиополигона "Орбита", включающих в себя системы приема радиосигналов космических источников, потока радиоизлучения Солнца, а также оптические установки регистрации эмиссии ночного неба определяется необходимостью создания экспериментальной базы для контроля космического пространства и мониторинга параметров космической погоды. В дальнейшем станцию контроля космического пространства предполагается использовать для приема геофизической информации с борта национальных искусственных спутников Земли и для решения широкого круга прикладных и фундаментальных задач, стоящих перед Республикой Казахстан.

Научно-технический уровень (новизна): модернизация технических средств радиополигона "Орбита" позволит обеспечивать Центр диагоностики и прогноза геофизической обстановки данными для эффективного прогноза параметров космической погоды на основе наблюдения космического пространства приборами, расположенными на Земле и на борту космических аппаратов.

Связь данной работы с другими научно-исследовательскими работами. Наиболее полномасштабно работы по контролю космического пространства для целей мониторинга космической погоды развиваются в США. Основные работы проводятся, контролируются и финансируются Национальным аэрокосмическим агентством (НАСА). Европейское космическое агентство (ESA) не имеет своей службы контроля космического пространства. Оно использует поступающие сведения от других организаций, осуществляет информационное взаимодействие различных наблюдательных пунктов Европы. В России, в частности, в Научно-исследовательском радиофизическом институте (Нижний Новгород) проводятся наблюдения за Солнцем в широком частотном диапазоне. В Йоркском университете (Канада) ведутся интенсивные исследования эмиссии ночного неба.

 


1. Обоснование выбора направлений исследований


Космическая погода включает условия на Солнце, в солнечном ветре, магнитосфере, ионосфере и термосфере Земли, которые неблагоприятным образом влияют на космические и наземные технологические системы. Влияние процессов, происходящих на Солнце, на околоземное космическое пространство исследовалось в последние десятилетия, однако наше понимание физических процессов, управляющих этой сложной системой космической погоды, еще далеко недостаточно. В то же время происходит экспоненциальный рост количества космических систем и эти системы подвержены сбоям в работе или даже полному выходу из строя под воздействием неблагоприятной космической погоды. За время с момента запуска первого искусственного спутника Земли зафиксированы сотни сбоев в работе аппаратуры на борту спутников. Повышенная радиация опасна также и для космонавтов. Риск в работе космонавтов и сбоев в работе аппаратуры может быть уменьшен, если бы существовали надежные количественные краткосрочные и среднесрочные прогнозы космической погоды.

В настоящее время экспериментальные установки позволяют исследовать значительную часть составляющих космической погоды на основе регистрации потока космических лучей, напряженности геомагнитного поля, зондирования ионосферы с Земли. Однако активность Солнца, определяющая в целом состояние космической погоды, поведение интегрального содержания ионосферы, измеряемого с помощью приема сигналов навигационных спутников, а также эмиссии ночного неба в различных спектральных диапазонах остаются пока не включенными в область экспериментальных исследований. Этот пробел предполагается закрыть, организовав наблюдения радиоизлучения Солнца на модернизированной установке ТНА-57М, наблюдения ночного неба на оптической камере и наблюдения полного электронного содержания ионосферы на модернизированной установке по приему сигналов навигационных спутников "Парус" и "Цикада".

Выбор потока радиоизлучения Солнца в качестве параметра, позволяющего осуществлять краткосрочный и среднесрочный прогноз космической погоды, определился в результате анализа последних публикаций, посвященных разнообразным солнечным прогностическим параметрам. Оказалась, что всплески радиоизлучения Солнца в различных диапазонах волн, обусловленные прохождением релятивистских электронов через различные слои солнечной атмосферы, могут служить предикторами возмущений в окрестности Земли, благодаря разности скоростей электромагнитной и корпускулярной эмиссии Солнца. Нетепловое радиоизлучение Солнца обусловлено плазменным и синхротронным механизмами генерации волн и состоит из радиовсплесков различных типов. Регистрация радиоизлучения Солнца на фиксированных разнесенных частотах (1 ГГц и 3 ГГц) позволяет уверенно регистрировать и идентифицировать (определяя скорость дрейфа частоты) радиовсплески III типа. Поскольку всплески III типа происходят на начальной фазе солнечной хромосферной вспышки, то информация о ее начале окажется в распоряжении специалистов примерно через 7 мин после её начала - время прохождения радиоволн от Солнца до Земли. По интенсивности радиовсплеска и величине скорости дрейфа его частоты можно сделать прогностическую оценку балла вспышки и, тем самым, спрогнозировать время прихода к Земле потока плазмы, инжектированного из активной вспышечной области. Этот интервал времени лежит в пределах от 17 до 48 часов. Поток плазмы, достигнув окрестности Земли, вызывает магнитосферную бурю, приводящую к нежелательным последствиям для космической, авиационной и даже наземной техники.

Наиболее сильным поражающим действием (опасным, например, для здоровья космонавтов на борту орбитальной станции) обладает поток релятивистских протонов, испущенных солнечной хромосферной вспышкой. Существует тесная корреляция между всплесками типа IV и всплесками космических лучей (в основном протонов). Можно утверждать, что вероятность появления всплеска космических лучей после хромосферной вспышки наиболее высока в тех случаях, когда вспышка имеет балл 3 или 3+ и сопровождается всплеском радиоизлучения типа IV со значительной плотностью потока. Таким образом, всплески радиоизлучения могут служить в качестве индекса активности Солнца.

Геоэффективные события на Солнце приводят к нагреву и разбуханию атмосферы, вызывая тем самым значительные возмущения спутниковых орбит. Иногда эти эффекты бывают настолько значительными, что могут приводить к преждевременному сходу с орбиты космических аппаратов из-за не предусмотренного возрастания торможения спутника, как это случилось, например, с КА "Skylab" в 1979г. Поэтому принципиально важно иметь предупреждения заранее о предстоящих изменениях плотности атмосферы, чтобы можно было рассчитать их воздействие на космические аппараты. Space Shuttle также чувствителен к изменениям атмосферного торможения. Рассчитываемая траектория его возвращения на Землю в значительной мере зависит от плотности атмосферы, и ошибки в расчетах могут привести к возникновению опасности для корабля и космонавтов. Плотность и температура атмосферы на высотах полета низкоорбитальных КА может контролироваться камерами наблюдения ночного неба. Учитывая, что российская космическая программа предусматривает создание корабля многоразового использования, наблюдения на оптической камере приобретают исключительное значение.

Необходимость изучения поведения интегрального содержания ионосферы, измеряемого с помощью приема сигналов навигационных спутников "Парус" и "Цикада", во многом определяется запросами потребителей. В последние годы наиболее актуальной прикладной задачей ионосферной науки является задача построения в реальном масштабе времени ионосферных климатологических моделей, необходимых многочисленным военным и гражданским пользователям, использующим радиотехнические системы, качество работы которых определяется параметрами земной ионосферы. Эти системы включают системы дальней связи на коротких радиоволнах, а также спутниковые системы радиосвязи и навигации. Несмотря на стремительное развитие спутниковой радиосвязи, радиосвязь на коротких волнах остается актуальной для передачи сообщений на большие расстояния и, особенно, для связи с абонентами, расположенными в высоких широтах Земли. Недавние эксперименты показали, что коротковолновая радиосвязь c частотно- или пространственно- разнесенным приемом характеризуется 100% эффективностью.

Для обеспечения в реальном масштабе времени высокоточными пространственными координатами многочисленных военных и гражданских потребителей в США и России были введены в эксплуатацию глобальные спутниковые навигационные системы GPS и ГЛОННАС. Пространственно-временная изменчивость ионосферы приводит к изменениям фазового набега радиосигналов, распространяющихся через ионосферу и соответственно к ошибкам в определении координат. За счет использования двух рабочих частот и соответствующего программного обеспечения удается избавиться от ионосферной ошибки, однако при этом стоимость GPS приемника резко возрастает. Альтернативный путь устранения ионосферной ошибки состоит в измерении параметров ионосферы и их передачи в реальном масштабе времени потребителям для коррекции ионосферной ошибки (показаний местоположения). Существует масса потребителей, особенно в гражданской авиации, готовых воспользоваться более дешевым способом определения координат с помощью одночастотного приемника спутниковых сигналов, дополненного устройством коррекции ионосферной ошибки.

Таким образом, научная и прикладная значимость проекта определяется прогностическими возможностями модернизируемого комплекса, позволяющими обеспечить применение космических средств в интересах экономики, обороны, национальной безопасности Казахстана путем осуществления краткосрочного и среднесрочного прогноза космической погоды.

 

.1 Разработка технических требований по модернизации оптических и радиотехнических средств радиополигона "орбита"


В результате модернизации радиополигона "Орбита", расположенного на высоте 2800м в районе Большого Алма-атинского озера, ряд радиофизических и оптических инструментов будет задействован для регулярных наблюдений ближнего космоса, при этом предусматривается накопление, предварительная обработка и передача данных в региональный Центр данных и выход в Интернет. Модернизация инструментов в рамках настоящего проекта предусматривает различные виды и объемы работ, в зависимости от состояния инструментов, уровня автоматизации наблюдений, проводящихся на их основе, и возможностей первичной обработки получаемой информации.

Устройство ТНА-57 М требует:

а) восстановления работоспособности в полуавтоматическом режиме;

б) автоматизации управления для программного слежения за космическими источниками и Солнцем;

в) включения рабочей станции, обслуживающей антенну ТНА - 57 М, в локальную, синхронизируемую по времени сеть;

Система приема радиоизлучения Солнца требует:

монтажа облучателей, фидерной системы и приемников радиоизлучения Солнца; - юстировки антенны ТНА-57М и отработки функционирования комплекса.

включения рабочей станции, обслуживающей приемники радиоизлучения, в локальную, синхронизируемую по времени сеть;

реализации возможности передачи данных, получаемых на установке, в региональный Центр данных и выхода в Интернет.

Приемник сигналов навигационных спутников "Парус" и "Цикада", оптические устройства (MORTI, фотометр) и монтируемая на радиополигоне "Орбита" в рамках проекта "Пространственное и энергетическое распределение оптических явлений в атмосфере" дополнительная оптическая камера наблюдения за свечением ночного неба "SATI" требуют:

-              включения рабочих станций, обслуживающих перечисленные устройства, в локальную, синхронизируемую по времени сеть;

-              реализации возможности передачи данных, получаемых на установках, в региональный Центр данных и выхода в Интернет.

1.2 Технические характеристики антенны ТНА-57М


Антенна ТНА - 57М представляет собой параболоид диаметром 12м с фокусным расстоянием 3 м. Это короткофокусная антенна с фокусом, находящимся на срезе зеркала. Для нормального ее облучения по уровню -3 дБ в однозеркальном варианте требуется облучатель с достаточно широкой диаграммой направленности. Возможно использование этой антенны и в двухзеркальном варианте.

1.       Антенна установлена на опорно-поворотном устройстве (ОПУ) азимутально-угломестного типа.

Одной из функций антенны ТНА-57М является наблюдение за потоком радиоизлучения Солнца на частотах 1 и 3 ГГц.

Радиометр в радиоастрономии, радиотехническое устройство для измерения мощности излучения малой интенсивности в диапазоне радиоволн (длины волн от 0,1 мм до 1000 м). Применяется в качестве приёмного устройства радиотелескопов, а также в радиотеплолокации для составления тепловых карт поверхности Земли. Мощность излучения, попадающего на вход - Р. с антенны, принято выражать т. н. эквивалентной температурой излучения Т, определяемой с помощью закона Рэлея - Джинса: р = kTf (k = 1,38*10-23 вт/гц*град - постоянная Больцмана, f - ширина полосы принимаемых частот). В этом случае чувствительность Р., т. е. минимальное изменение входной температуры ЛГ, которое может быть зафиксировано инструментом, определяется выражением:

,

где τ - время накопления сигнала; Тш - т. н. эквивалентная температура входных шумов, характеризующая уровень собственных шумов радиометрна.; α - коэффициент порядка единицы, зависящий от схемы радиометра. Параметр  часто называют радиометрическим выигрышем, радиометра. позволяет регистрировать сигналы, в q раз меньшие его собственных шумов. Наиболее распространена модуляционная схема радиометра (Рисунок 1). В этой схеме приёмник с помощью переключателя (модулятора) периодически подключается к антенне и к её эквиваленту, в качестве которого может служить, например, небольшая антенна, направленная в "холодную" область неба либо согласованная нагрузка при известной температуре. Таким путём исключается постоянная составляющая шумов и выделяется полезный сигнал, который после усиления, детектирования и преобразования в числовой код подаётся в компьютер. Схема радиометра строится обычно на основе приёмника супергетеродинного типа или прямого усиления. Типичные параметры радиометра:

Тш = 100 K, ∆f = 108 гц, τ = 1 сек, α =  ;

при этом чувствительность ∆T = 1,4*10-2К. При охлаждении входных усилителей радиометров до температуры жидкого гелия можно достичь Тш ≈ 20 K и при∆f = 109 гц получить ∆T≈ 10-3 K.

Дальнейшее снижение Тш для системы радиотелескоп - радиометр, а соответственно, и ∆T ограничивается на поверхности Земли шумовым излучением неба (атмосферного и космического происхождения), составляющим в минимуме на сантиметровых волнах около 10 K.

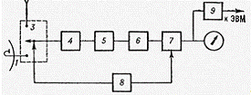
Рисунок 2 -Блок-схема модуляционного радиометра: 1 - антенна; 2 - эквивалент антенны; 3 - модулятор; 4 - усилитель высокой частоты; 5 - детектор; 6 - усилитель низкой частоты; 7 - синхронный детектор; 8 - генератор опорного напряжения; 9 - преобразователь "аналог-код".

В нашем случае было решено использовать схему приемников с прямым усилением.

В таблице 1 представлены основные технические характеристики приемников.

Таблица 1 - Основные технические характеристики приемников.

Рабочая частота РМ-30

1 ГГц

полоса частот

10 МГц

Частота модуляции

980 Гц

чувствительность

0,8К



. Общие сведения о радиометрах и шумах

Приемник предназначен для того, чтобы преобразовывать доставляемые к нему от антенны малые сигналы в сигналы, способные воздействовать на выходной прибор. В случае солнечного и космического радиоизлучения это преобразование включает в себя высокую степень усиления и сложные изменения в форме колебаний и их спектре.

Эти изменения показаны на рис. 2. Приходящий сигнал (см. рис. 2, а) состоит из шума с широким спектром. Из этого шума выделяются составляющие в узкой полосе частот шириной ∆f с центральной частотой fо. После этого сигнал состоит, как показано на рис.2, b1, из модулированного шумом колебания с частотой fо. Если принять, что первоначальный спектр сигнала в полосе приема плоский, то эта шумовая модуляция должна иметь рэлеевское распределение амплитуд, а скорость изменения амплитуд зависит от ширины полосы пропускания приемника.

Некоторое усиление может достигаться на частоте сигнала fо, однако обычно применяются супергетеродинные приемники, в которых большая часть усиления или все усиление происходит на более низкой частоте, называемой промежуточной частотой (IF). Сигнал, преобразованный на промежуточную частоту, показан на рис. 2,b2г. Затем этот сигнал выпрямляется с тем, чтобы получить однонаправленный результирующий процесс (рис. 2, с), повторяющий форму огибающей процесса (рис. 2,б). Выпрямитель является сложным нелинейным устройством, и его выходное напряжение не связано, вообще говоря, простыми соотношениями с входным напряжением. Следовательно, для того чтобы установить энергетическую значимость данного показания выходного прибора, лучше полагаться на калибровку. Грубо говоря, спектр процесса, указанного на рис. 2, с, содержит все частоты от нуля до ~ ∆f.

Далее сигнал (рис. 2, с) сглаживается, отчасти элементами схемы и отчасти выходным прибором с общей постоянной времени т, причем τ>>1/∆f. Результат сглаживания (рис. 2,d) является, таким образом, относительно постоянной величиной, регистрируемой выходным прибором.

Если желательно наблюдать малые изменения выходных показаний, которые недостаточно заметны на простой записи тока детектора, то можно применить дальнейшее усиление (усиление постоянного тока). Обычно усиливается разница между напряжением на выходе детектора и подходящим стабильным опорным напряжением. Однако, величина применяемого усиления имеет серьезные ограничения

Рис. 2. Изменение формы колебаний и спектра шумового сигнала при прохождении через приемник. Шумы, генерируемые самим приемником, не показаны.

В дополнение к сигналам, показанным на рис. 2, следует рассмотреть шумы приемника, возникающие в его лампах и сопротивлениях. Так как шумы приемника и космические или солнечные шумы некогерентны, то их мощности аддитивны, и желательный сигнал может быть обнаружен только по вызываемому им возрастанию среднего уровня (рис. 2d). В обычной радиотехнической практике общеупотребительны сигналы, значительно превышающие уровень шумов, хотя в некоторых применениях используются сигналы, находящиеся несколько ниже этого уровня. От радиоастрономических приемников может потребоваться работа с гораздо меньшими входными мощностями. Действительно, исследуемый сигнал обычно составляет только малую долю собственных шумов приемника. В таком случае колебания (рис. 2,б, с и d) определяются почти полностью шумами самого приемника.

Конструкции радиоастрономических приемников, хотя они и предназначены для необычных целей, очень похожи на конструкции стандартных радиолокационных приемников. Для частот, превышающих 500 Мгц, применяются супергетеродинные приемники с кристаллическими смесителями без усиления на частоте сигнала. На более низких частотах смесителю обычно предшествуют один или два каскада усиления на частоте сигнала. Усилитель промежуточной частоты, обычно работающий на частоте 30 Мгц, второй детектор и измерительная схема могут быть одинаковыми для всех частот.

.1 Шумы приемника

Чувствительность приемника ограничена не невозможностью получить большее усиление, а электрическими шумами, генерируемыми в его лампах и сопротивлениях. Задача уменьшения этих шумов является основной в радиотехнике.

Качество приемника по отношению к генерации внутренних шумов описывается одним из двух параметров - "коэффициентом шумов" N или "шумовой температурой" Тд. Эти понятия могут применяться к приемникам, в которых нет перегрузки или каких-либо иных нелинейностей в усилении, т. е. имеется какой-то определенный коэффициент усиления. Мы определяем g как производную выходной мощности Р по входной мощности р, т. е. g = dP/dp, и будем понимать под Р мощность, доставляемую к детектору, а под р - номинальную мощность на клеммах антенны.

Предполагается, что приемник подключен к антенне, с которой он работает, или к устройству с таким же полным сопротивлением. Для данной входной мощности р выходная мощность больше, чем gp, вследствие наличия шумов, генерируемых в приемнике, т. е. можно записать, что Р = g(p + pR ), где pR-пересчитанная ко входу мощность собственных шумов приемника, которая просто прибавляется к р в силу своей некогерентности с сигналом. Как коэффициент шумов, так и шумовая температура являются важными мерами величины р на языке теплового возбуждения. Температура шумов приемника Тп является прямой мерой, получаемой из записи


где k - постоянная Больцмана (равная 1,37 • 10-23 дж/град) и ∆f- эквивалентная шумовая полоса пропускания приемника. Так, определяемая шумовая температура является просто эффективной температурой некоторой антенны, которая дала бы уровень шумов, равный возбужденным в приемнике.

Фактор шумов связывает рR с величиной номинальной мощности на выходе антенны, находящейся при температуре окружающей среды Т0. В этом случае Коэффициент шумов N определяется следующим отношением:


что может быть записано как


Так как в вопросе о выборе той или иной конкретной температуры окружающей среды, входящей в определение, нет единогласия (общеупотребительны как 290°, так и 300° К), то величина Т0 должна указываться вместе с N.

Представление о порядках величины дает следующий пример: для типичного приемника ∆f= 1 Мгц и N=10 при То = 300° К.Тогда = 4,10-'" вт и = 2700°К.

Так как N главным образом зависит от входных каскадов, то уместно указать основные соображения об их конструкции. Зачастую приемник с чувствительностью, не отвечающей предъявляемым требованиям, может быть существенно улучшен при небольших модификациях входных каскадов. Мы рассмотрим сначала диапазон метровых волн, где применяется усиление на частоте сигнала. Важным является выбор малошумящей первой лампы и соответствующих согласующих устройств. Первая лампа может быть либо пентодом, либо триодом с заземленной сеткой. Их достоинства определяются двумя факторами: генерацией минимальных шумов и способностью лампы дать высокое усиление. Последнее в случае обычных схем с заземленными катодами в значительной степени зависит от наличия высокого входного сопротивления, так что в цепи сетки может быть применен повышающий трансформатор. На высоких частотах величина входного сопротивления в основном ограничивается входной проводимостью лампы. Эта проводимость обусловлена паразитной индуктивностью катодного ввода. Указанные факторы обычно описываются понятиями эквивалентного шумового сопротивления и электронного входного сопротивления Ri, отнесенными к сетке лампы. На рис.12 показана зависимость N от величины отношения Req/ri для двух различных настроек входа приемника. В первом случае полные сопротивления приемника и генератора согласованы (Nm), что является условием оптимальной передачи к приемнику мощности сигнала, но не совпадает с условием оптимума для коэффициента шумов, так как дальнейшей регулировкой можно уменьшить шумы без соответствующего ослабления сигнала. Коэффициент шумов является наименьшим, когда входное сопротивление трансформируется к величине, превышающей выходное сопротивление генератора (например, антенны) в отношении, указанном на рис. 12, где показан также коэффициент шумов N0 для этого оптимального случая. Согласующие элементы сами по себе должны быть, конечно, возможно менее поглощающими. Триодам с заземленной сеткой отдается предпочтение на тех частотах, на которых входная проводимость обычных усилителей чрезмерно велика (на волнах короче 3 м). Эквивалентное шумовое сопротивление триодов меньше, чем пентодов, вследствие отсутствия шумов, вызванных статистическим характером деления электронов между анодом и экраном в пентоде. В усилителях на триодах с заземленной сеткой входной сигнал подается на катод, а выходной снимается с анода. Нестабильность не наблюдается, так как в этом случае сетка, действуя как заземленный экран, сводит до очень малой Величины внутреннюю емкость анод-катод. Благодаря катодному включению входное сопротивление усилителя имеет величину порядка характеристического сопротивления коаксиального кабеля.


В диапазоне сантиметровых волн "бесшумное" усиление все еще практически не реализуемо, и в текущей практике промежуточную частоту. Усилитель промежуточной частоты в соответствии с сделанными ранее замечаниями должен быть рассчитан для получения оптимальной мощности на промежуточной частоте.

Рис. 3. Усредненные значения коэффициента шумов хороших приемников в широком диапазоне длин волн.

Практически преобразование всегда сопровождается потерями. Кроме того, кристалл под воздействием местного гетеродина генерирует шумы, более интенсивные, чем тепловые шумы эквивалентного сопротивления, находящегося при температуре окружающей среды. Для указания величины этих двух эффектов служат соответственно понятия к. п. д. преобразования Т10 и отношения избыточных шумов к тепловым N„. Коэффициент шумов N всего приемника дается тогда выражением


где NIF- фактор шумов усилителя промежуточной частоты. Приближенные значения этих параметров для кремниевых кристаллов на волнах, длина которых превышает 3 см, соответствуют величинам η ≈  и Ne ≈2, что при использовании усилителя промежуточной частоты с ≈ 2, дает N ≈ 13. Существует, однако, устойчивое ухудшение коэффициента шумов с уменьшением длины волны. На рис. 3 показаны величины N, которые можно получить без чрезмерных трудностей в диапазоне от 10 -и до 1 см. При желании эти данные могут быть улучшены на несколько децибел.

2.2 Предел чувствительности, обусловленный флуктуациями

Если бы напряжение шумов на выходе приемника было бы абсолютно стабильным, то отсутствовал бы теоретический предел чувствительности, необходимой для измерения внешнего шума. Например, можно было бы путем усиления значительно увеличить разницу между выходным напряжением и напряжением подходящего постоянного источника сравнения. Возможности таких ухищрений ограничены флуктуациями на выходе приемника.

Рис. 4. Уменьшение флуктуаций па выходе приемника при увеличении стабильности питающих напряжений.

а -нестабилнзированные высокое напряжение п напряжение накала; б - высокое напряжение стабилизировано, а напряжение накала нестабилнзировано; с - стабилизированное высокое напряжение, нити накала питаются от батарей. Флуктуации на записи а типичны для Питания от сети. Дрейф в случае с вызван изменением ЭДС батарей и может быть исключен при более тщательной стабилизации. Остаточные извивы и зазубринки в с величины ~ Ю-3 не могут быть подавлены.

Во-первых, имеются флуктуации, обусловленные изменениями коэффициента усиления приемника. Эти изменения возникают вследствие нестабильности питающих напряжений. В случае приемников с сетевым питанием значительное ослабление флуктуаций достигается стабилизацией как анодного напряжения, так и напряжения накала. С другой стороны, батареи обеспечивают питание, свободное от более быстрых флуктуаций, но для них весьма характерен медленный уход. Из рис. 4, где показано влияние этих факторов, видно, что при правильном выборе питания, флуктуации на выходе приемника могут быть уменьшены более чем в 1000 раз. Другой путь исключения медленных изменений был разработан Дайком (1946), применившим дифференциальный метод. В этом методе производится быстрое (например, с частотой 30 гц) попеременное переключение входа приемника между антенной и сопротивлением (или холостой опорной антенной). Это сопротивление имеет температуру окружающей среды, величина его должна быть равна полному сопротивлению рабочей антенны. Синхронно с этим переключением производится также переключение выхода приемника между двумя интегрирующими цепями, включенными навстречу друг другу и питающими измерительный прибор с нулем посередине. При этом прибор показывает разницу между сигналами, поступающими от антенны и сопротивления. Так как шумы приемника не влияют на показания прибора, то система устойчива к изменениям усиления ). Блок- схема системы показана на рис. 5.

Рис 5. Блок схема радиометра.

На практике обычно вместо низкочастотного выходного переключения используется "фазочувствительный детектор" или "фазочувствительный выпрямитель". Если напряжение на выходе приемника, когда вход подключен к антенне, отличается от напряжения в моменты подключения ко входу резистивной нагрузки, то выходное напряжение содержит гармоническую составляющую на частоте переключения. Фаза этой составляющей будет равна 0 или 180° в зависимости от того, будет или не будет наибольшим напряжение на выходе приемника, когда его вход подключен к антенне. Напряжение с выхода второго Детектора приемника усиливаемся резонансным усилителем, настроенным на частоту переключения, а затем выпрямляется фазочув- ствительным детектором. К последнему одновременно поступают неизвестный сигнал и большое опорное напряжение частоты переключения. Свойства фазочувствительного детектора таковы {см. работу Фаррона (1946)], что постоянный ток на его выходе пропорционален той составляющей сигнала, частота которой совпадает с частотой переключения и которая оказывается в фазе с опорным напряжением. Если сигнал оказывается в противофазе, то выходное напряжение отрицательно. Таким образом, напряжение на выходе фазочувствительного детектора является мерой величины, на которую изменяется напряжение на выходе приемника, когда его вход переключается от антенны на сопротивление.

Дальнейшим развитием методики Дайка явилось введение Райлом и Вонбергом (1948) в радиоастрономическую технику методов автоматического регулирования. Они заменили эталонное сопротивление, находящееся при температуре окружающей среды, диодным шум-генератором. В этом методе постоянный ток накала диода, определяющий шумовой выход, автоматически регулируется так, чтобы поддерживать на нуле напряжение на выходе приемника. Как мера принимаемой мощности регистрируется анодный ток диода. Этим способом достигается независимость записей от флуктуаций усиления приемника.

Но ни одна подобная методика не может полностью подавить выходные флуктуации в силу случайного характера самих шумов приемника. Грубая оценка остаточных флуктуаций может быть получена при предположении, что напряжение на выходе детектора является суммой большого, числа независимых случайных слагаемых. Если ширина полосы пропускания приемника равна ∆f гц, то можно считать, что в секунду поступает примерно ∆f эффективно независимых слагаемых. Они усредняются в течение интервала времени, определяемого постоянной времени т выходного прибора и связанных с ним цепей. В течение того интервала времени поступает τ∆f независимых слагаемых, поэтому вероятное среднее квадратичное отклонение составляет (1/τ ∆f/)1/2 от среднего выходного уровня.

Дайк (1946) впервые определил величину этого предела чувствительности, имеющегося у приемников всех типов. Кроме фи- шческого объяснения, подобного приведенному выше, он дал следующее выражение, применимое к его приемной системе:


Здесь  -среднее квадратичное значение относительной флуктуации на выходе, выраженное через эквивалентную температуру антенны, и N - коэффициент шумов приемника. Численно, если ∆f =1 Мгц и τ=1 сек, то = 10-3, и для системы приемника Дайка, если N = 10 и= 300° К,

= 2° К.

Пропорциональность относительных флуктуации величине показывает, что они могут быть уменьшены и, следовательно, предельная чувствительность увеличена при применении более широких полос пропускания или больших постоянных времени. Верхний предел для полосы пропускания приемника определяется техническими трудностями, возникающими при получении полос, превышающих 10-20 Мгц. Однако во многих приемниках необходимы более узкие полосы. Например, спектр многих солнечных возмущений ограничен полосами шириной в несколько мегагерц, а линия излучения водорода - несколькими десятками килогерц. Аналогично величина выходной постоянной времени иногда ограниченна скоростью изменения исследуемых явлений. Для тех случаев, когда ограничения этого типа отсутствуют, были разработаны цепи с постоянными времени ~ 1 мин. Целесообразно отметить, что результаты, получаемые при больших постоянных времени, могут быть достигнуты путем графического усреднения записей, полученных при малых постоянных времени. Такой способ имеет то дополнительное преимущество, что могут быть распознаны и удалены мимолетные, скоротечные помехи типа возникающих благодаря случающимся время от времени атмосферным разрядам. Недостатком этого метода является трудоемкость обработки. Однако при подходящей скорости записи средние величины с достаточной степенью точности могут быть оценены на глаз.

Из физических соображений о причинах возникновения внутренних флуктуаций видно также, что в методе Дайка наряду с уменьшением инструментальных флуктуаций происходит как бы удвоение внутренних флуктуаций. Дело в том, что в системе Дайка приемник подключен к антенне в течение половины всего рабочего времени. Следовательно, относительные флуктуации при измерении шумов, поступающих от антенны, должны быть в раз больше, чем для случая постоянного включения. Эти же соображения приложимы к измерению шумов эталонного сопротивления. Поэтому в окончательный результат, являющийся разностью двух величин, каждая из которых флуктуирует случайным образом, входит добавочный множитель .

При наблюдениях широко использовались методы как быстрого переключения, так и непосредственного измерения, причем не было заметной разницы в чувствительностях, достигаемых при различных методах. Возможно, это объясняется тем, что авторы, применявшие непосредственное измерение, вынуждены были добиваться значительно более высокой степени стабилизации источников питания. Однако, по-видимому, при одинаковой тщательности выполнения системы с быстрым переключением могут дать большую чувствительность. С другой стороны быстрое переключение привносит трудности для контроля на слух за работой приемника. Основные открытия в истории радиоастрономии, такие, как открытие радиозвезд или различных составляющих радиоизлучения Солнца, были сделаны на основе прямых измерений, возможно, по причине большой гибкости этого метода. Исключением является открытие линии излучения водорода на частоте 1420 Мгц, обязанное применением измененной схемы Дайка. Возможно, что будущие открытия будут зависеть от повышения чувствительности и точности измерений и что значение балансных методов будет все возрастать.

Основные параметры измерительного блока:

-        Диапазон частот 1 ГГц.

-    Собственный шум измерительного блока, пересчитанный ко входу, 760К.

-        Аттенюатор широкополосного тракта 0-22 дБ с шагом 2 дБ.

         Аттенюатор НЧ узкополосного модуляционного тракта 1,8,32,128 раз.

         Разрядность АЦП 11+разряд знака.

         Диапазон входных напряжений АЦП (-5...+5)В.

         Частоты модуляции 1012 и 980 Гц.

         Модулирующий сигнал на ВЧ - блок - меандр, лог "0", лог "1".

         Время интегрирования 0,5 с.

 


3. Общее описание системы ТНА-57 , находящейся на радиополигоне "ОРБИТА"


Радиополигон "Орбита", и, в частности, радиотелескоп на базе антенны ТНА -57М, не функционировал с 1987 г. Естественно, что при долгом простое любая техника стареет не только физически, но и морально. Согласно плана восстановления и реконструкции радиотелескопа все работы были разделены на два этапа. Первый этап - восстановление работы имеющегося привода антенны в первоначальном варианте. Этот этап необходим для проверки работоспособности всех узлов привода, находящихся непосредственно на опорно-поворотном устройстве (ОПУ). Без нормальной работы всех остальных частей привода такая проверка не возможна. В силу этого после ремонтных работ самом здании и демонтажа той части оборудования, которая располагается в аппаратном зале и агрегатной, все узлы старого привода должны были заново смонтированы, проверена их работа и сняты основные характеристики. Электромеханический привод таких антенн как ТНА-57М представляет собой сложное электромеханическое устройство , отдельные части которого расположены в различных местах здания, и опорно-поворотне устройство (ОПУ). Исполнительные двигатели постоянного тока с силовыми редукторами и тахогенераторами азимута и угла места, а также приборные редуктора азимута и угла места расположены непосредственно на ОПУ. Электромашинные усилители (ЭМУ), генератор 427 Гц и вся сильноточная пусковая аппаратура и входной щит электропитания расположены в агрегатной. Пульт управления ПНС-Б2 (рисунок 6), стойки усиления по азимуту ЭПС-1 и углу места ЭПС-2 (рисунок 7) и еще один щит электропитания стоек усиления и пульта управления находятся в аппаратном зале. Все узлы привода коммутируются между собой кабельными соединениями, разводка которых идет через распределительные ящики (РЯ) и коммутационные ящики (ЯС).

Управление наведением антенны ТНА-57М осуществляется с пульта управления ПНС-2Б с помощью стоек управления ЭПС-1 (управление по азимуту) и ЭПС-2 (управление по углу места).

Индикация положения во всех режимах наведения осуществляется с помощью сельсинов- датчиков БД-501Б, расположенных в приборных редукторах опорно-поворотного устройства, и включенных по индикаторной схеме с сельсинами-приемниками типа ДПС-500, которые установлены на пульте управления и отображают положение антенны по азимуту и углу места. Сельсины-датчики соединены с исполнительными осями антенны передаточными отношениями 1:1 (грубый отсчет) и 1:30 (точный отсчет). Цена деления шкал, установленных на осях сельсинов приемников, соответствует:

-        по грубому отсчету 2 градуса;

-        по точному отсчету 2 угловые минуты.

Состав стойки у правления антенной по азимуту ЭПС-1 состоит из:

-        блока RC элементов (Э-101);

-        фазового дискриминатора и аналогового усилителя (Э-102);

-        магнитного усилителя (Э-103);

         источника питания стойки (Э-104).

Состав стойки управления антенной по углу места ЭПС-2 состоит из:

         блока RC элементов (Э-201);

-        фазового дискриминатора и аналогового усилителя (Э-102)

         магнитного усилителя (Э-203);

         источника питания стойки (Э-104).

Рисунок 6 - фотография пульта управления.

Рисунок 7 - Фотография стойки управления.

Управление вращением антенны осуществляется поворотом ручек-указателей угла поворота антенны по углу места и азимуту, размещенных на пульте управления ПНС-2Б.

Устройство управления антенной представляет собой замкнутую систему непрерывного действия. Основу устройства составляют сельсины. Датчиком является сельсин, установленный в помещении, а приемником - сельсин, установленный на антенне. Ротор сельсина-датчика слегка затормаживается любым фрикционным устройством, а на оси ротора укрепляется ручка управления, совмещенная с указателем координаты. Оба сельсина работают в трансформаторном режиме (рисунок 8).

Рисунок 8 - Схема работы сельсинов.

Амплитуда и фаза, величины которых пропорциональны разнице положения роторов сельсинов, снимаются с роторной обмотки сельсина-приемника и подается на один вход фазового дискриминатора (рисунок 9).

На второй вход фазового дискриминатора подается опорное напряжение питающей сети. Разница фаз напряжения на роторе сельсина приемника и напряжения питающей сети, пропорциональная углу и знаку рассогласования, преобразуется в фазовом дискриминаторе в постоянное напряжение, величина которого пропорциональна величине рассогласования, а полярность напряжения - пропорциональна знаку рассогласования. Иными словами - при вращении ручки управления вправо на выходе дискриминатора появится напряжение одного знака, при вращении ручки влево - другого знака. Величина напряжения будет тем больше, чем на больший угол будет повернута ручка управления.

Рисунок 9 - Принципиальная схема фазового дискриминатора.

Если это напряжение усилить и подать в соответствующей полярности на двигатель постоянного тока, то антенна придет во вращение, причем направление вращения будет соответствовать кратчайшему направлению до искомого азимута или угла места, и будет продолжаться до тех пор, пока антенна не займет положение, соответствующее углу поворота ручки управления. В этом случае рассогласование уменьшится, фазы на входе дискриминатора будут равны, а на выходе дискриминатора потенциал будет равен "нулю". Напряжение с фазового дискриминатора пропорциональное величине рассогласования подается на аналоговый усилитель, который нагружен на управляющую обмотку трехфазного магнитного усилителя, рабочие обмотки которого включены последовательно с обмоткой возбуждения электромашинного усилителя. Такое включение рабочих обмоток позволяет рассматривать магнитный усилитель как три дросселя с регулируемым сопротивлением (рисунок 10). Сопротивление регулируемого дросселя по переменному току зависит от величины магнитного потока протекающего через сердечник. Следовательно, изменяя величину магнитного потока, можно изменять падение напряжения на дросселе. Последнее приводит к тому, что изменяется величина напряжения приложенного к обмотке возбуждения электромашинного усилителя и изменяется величина напряжения на его выходе. Это напряжение подается на два электродвигателя постоянного тока, включенных последовательно, которые обеспечивают вращение антенны ТНА-57М.

Вращение антенны ТНА-57М по азимуту обеспечивается двумя электроприводами ДПМ-11 для малой скорости (0,3 градуса в секунду) и двумя электроприводами ДПМ-31 для большой скорости (9 градусов в секунду). Вращение антенны по углу места обеспечиваются двумя электроприводами ДПМ-11 для малой скорости (0,3 градуса в секунду) и двумя электроприводами ДПМ-21 для большой скорости (9 градусов в секунду).

Рисунок 10 - Принципиальная схема магнитного усилителя.

 


4. Радиометры для мониторинга солнечной активности на двух частотах

 

.1 Облучатель антенны ТНА-57М


Облучатель для зеркальной антенны на фиксированные частоты 1 и 3 ГГц предназначен для проведения регулярных наблюдений радиоизлучения Солнца в комплексе с радиометрами РМ-10 и РМ-30. В рабочем положении выходные разъемы облучателя с помощью соединительных кабелей подключаются к входным разъемам радиометров.

Облучатель для зеркальной антенны (рисунки 11а,б и 12) представляет из себя рупорную антенну на две рабочие частоты, конструктивные параметры которой рассчитаны так, чтобы диаграммы направленности на рабочих частотах создавали оптимальное распределение поля по раскрыву антенны ТНА-57. Для установки в фокусе приемной антенны облучатель снабжен системой крепления в виде круглого фланца на металлических шпильках.

Рисунок 11а -Чертеж облучателя (вид со стороны раскрыва)

Рисунок 11б - Чертеж облучателя

Рисунок 12 - Фото облучателя в фокусе антенны ТНА-57

Основные технические характеристики:

Верхняя рабочая частота

3 ГГц

полоса частот

200 МГц

Нижняя рабочая частота

1 ГГц

полоса частот

10 МГц

Возбуждение

дипольное

Выходной импеданс трактов

50 Ом

Диаметр внутреннего волновода на частоту 3 ГГц

70 мм

Диаметр внешнего волновода на частоту 1 ГГц

146 мм

Длина с крепежным кронштейном

360 мм

Размер экрана

300 мм



Двухчастотный облучатель конструктивно представляет собой два соосных круглых волновода, работающих в частотных диапазонах 1 и 3 ГГц, и возбуждаемых взаимно-перпендикулярными полуволновыми диполями.

Для работы на двух круговых поляризациях на каждой частоте применены симметрирующие устройства (квадратурные мосты) (рисунки 13а, 13б а также рисунки 14 и 15), смонтированные со стороны, противоположной раскрыву.

Рисунок 13а. Чертеж печатной платы квадратурного моста на частоту 3 ГГц.

Рисунок 13б - Чертеж печатной платы квадратурного моста на частоту 1 ГГц.

Рисунок 14 - Фото согласующего устройства (квадратурный мост) на частоту 3 ГГц

Рисунок 15 - Фото согласующего устройства (квадратурный мост) на частоту 1 ГГц

Для правильной работы разнесенных усов диполей на линейных поляризациях на частоте 1 ГГц применены трансформаторы сопротивлений (рисунки 16а, б), смонтированные со стороны, противоположной раскрыву, перед симметрирующим устройством .

Рисунок 16а - Чертеж печатной платы трансформатора сопротивлений на частоту 1 ГГц

Рисунок 16б - Фото трансформатора сопротивлений на частоту 1 ГГц

Настройка облучателя на рабочие частоты проводилась с помощью измерителей КСВН Р2-78 и Р4-37 в полном комплекте с трансформаторами сопротивлений и симметрирующими устройствами.

 

4.2 Радиометры модуляционные РМ-10, РМ-30 на фиксированные частоты 1 и 3 ГГц


Радиометры модуляционные РМ-10, РМ-30 на фиксированные частоты 1 и 3 ГГц предназначены для проведения регулярных наблюдений радиоизлучения Солнца с автоматической регистрацией сигналов, поступающих с выходных каскадов на блоки системы регистрации, и записи результатов измерений на жесткий диск персонального компьютера.

В состав изделия входят:

·   высокочастотный блок радиометра РМ-10 (рисчунки 17а, 17б);

·   высокочастотный блок радиометра РМ-30 (рисунки 18а, 18б);

·   совмещенный блок питания, низкочастотных субблоков радиометров и индикации с комплектом соединительных кабелей;

·   система регистрации на базе двухканального электронного самописца PCS 500 (фирма Velleman) (Рисунок 19б).

Рисунок 17а - Фото высокочастотного блока радиометра РМ-10

Функциональные схемы высокочастотных блоков радиометров РМ-10, 30 приведены на рисунках 17б, 18в. Параметры отдельных элементов следующие: а) прямые потери вентилей менее 1 дБ, обратные - более 28 дБ; б) коэффициент шума МШУ менее 2 дБ; в) суммарный коэффициент усиления селективных усилителей - 56 дБ.

Основные технические характеристики

Рабочий диапазон РМ-10

3 ГГц

полоса частот

2700-3100 МГц

чувствительность

0,05 К

постоянная времени радиометров

1 сек

Рабочая частота РМ-30

1 ГГц

полоса частот

10 МГц

чувствительность

0,8 К




Рисунок 18а - Фото высокочастотного блока радиометра РМ-30

Рисунок 18б - Фото высокочастотного блока РМ-30 в термостабилизированном корпусе с общим соединительным кабелем

Рисунок 18в - Функциональная схема СВЧ-части радиометра 30 см диапазона (РМ-30).

Рисунок 19а - Фото совмещенного блока индикации и управления

Рисунок 19б - Фото электронного самописца PCS-500 системы регистрации

Радиометры РМ-10 и РМ-30 состоят из ВЧ-блоков и совмещенных в одном корпусе НЧ-блоков с пультами управления, соединяемых многожильным кабелем, длиной 30 метров.

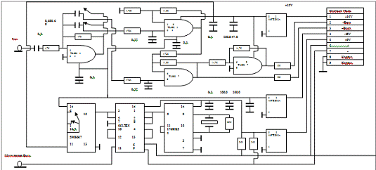
Рисунок 20 а - Функциональная схема НЧ-части радиометров

Функциональная схема низкочастотной части радиометров РМ-10, 30 приведена на рисунке 20 а, принципиальная схема панели управления блоков низкой частоты приведена на рисунке 20б.

В таблицах 1-3 приведены схемы распайки соединительных кабелей радиометров и блока управления. Основные технические характеристики:

. Центральные частоты: 1 и 2.8 ГГц.

. Полоса пропускания - 11 % в диапазоне 3 ГГц и 1% в диапазоне 1 ГГц.

. Входной импеданс тракта - 50 Ом.

. Флуктуационный порог чувствительности - 0,05 К (3 ГГц) и 0.8 К (1 ГГц) при постоянной времени 1 сек.

. Коэффициент усиления по СВЧ- тракту - около 50 дБ.

. Коэффициент внеполосного затухания не хуже 30 дБ.

. Нестабильность коэффициента усиления - менее 1%.

. Общая термостабилизация: температура ВЧ-блока 38°±0°,3.

Выходные устройства радиометров осуществляют обработку сигнала после квадратичного детектора: усиление, синхронную фильтрацию, синхронное детектирование, предварительное аналоговое интегрирование, генерацию опорного сигнала с возможностью управления усилением, фазой опорного сигнала.

Устройство управления радиометрами осуществляет дистанционное управление модуляцией, усилением, фазой опорного сигнала, калибровкой и является источником питания (напряжение питания - 220 В).

В таблицах 1-3 приведены схема распайки соединительных кабелей радиометров и блока управления.

радиотехнический приемник антенна модуляционный

Таблица 1.- Блок - схема соединений РМ-30

Таблица 2. - Схема распайки кабелей блока управления

Таблица 3. - Схема распайки соединительного кабеля в фокальном боксе

4.3 Проведение наладочных испытаний


Была проведена установка облучателя и радиометров на антенне ТНА-57 и осуществлены наладочные испытания оборудования согласно спецификациям контрактов. Общая блок-схема измерительно-вычислительного комплекса показана на рисунке 21.

Высокочастотные блоки радиометров РМ-10,30 вместе с трансформаторами сопротивлений Тр-30 и согласующими устройствами (квадратурными мостами для преобразования линейных поляризаций в круговые) смонтированы в термостабилизированном боксе (рисунок 22), установлены в фокальной области антенны и подключены к соответствующим выходным разъемам двухчастотного облучателя (рисунок 23.).

Рисунок 21 - Общая блок-схема измерительно-вычислительного комплекса

Рисунок 22 - Фото компоновки элементов термостабилизированного фокального бокса

Рисунок 23 - Фото облучателя и термостабилизированного фокального бокса в рабочем положении

Измерения параметров антенны на двух рабочих частотах проводились по радиоизлучению Солнца, дискретных радиоисточников Кассиопея А и Лебедь А и собственному излучению атмосферы.

Коэффициент полезного действия антенны, измеренный по собственному излучению атмосферы на двух рабочих частотах, равнялся 0.8 с погрешностью 10%. Однако для расширения динамического диапазона измерений радиоизлучения Солнца в тракты облучателя были установлены аттенюаторы 3 db на частоте 1 ГГц и 6 db на частоте 3 ГГц.

Диаграммы направленности (ДН) антенны на уровне половинной мощности, измеренные по радиоизлучению источников Кассиопея А, Лебедь А и Солнца (с учетом протяженности источника), составили 33.8±0.8 угл. минуты на частоте 3 ГГц и 108 угл. минут на частоте 1 ГГц с максимальным разбросом около 10 угл. минут, определяемой наличием помех. На рисунках 24, 25 приведены примеры записи сигналов при прохождении Солнца через диаграммы направленности антенны. На частоте 1 ГГц видна импульсная помеха, эпизодически возникавшая во время всей серии испытаний.

Рисунок 24 - Прохождение Солнца через диаграмму направленности антенны (частота 3 ГГц)

Рисунок 25 - Прохождение Солнца через диаграмму направленности антенны (частота 1 ГГц)

На рисунках 26, 27 приведены примеры записи ДН по радиоисточникам Лебедь А и Кассиопея А на частоте 3 ГГц.

Полученные значения ширины ДН на частоте 3 ГГц близки к теоретическому значению, рассчитанному по соотношению , что указывает на оптимальный характер облучения зеркала. Значения ширины ДН на частоте 1 ГГц, измеренной по Солнцу, несколько превышают теоретические оценки, что указывает на некоторое недооблучение зеркала и, соответственно, низкий уровень бокового излучения.

Рисунок 26 - Пример записи диаграммы направленности антенны ТНА-57 по источнику Лебедь А.

Рисунок 27 - Последовательная запись двух диаграмм направленности антенны ТНА-57 по источнику Кассиопея А.

Оценка эффективной площади антенны, выполненная по величине сигнала от радиоисточников от Кассиопеи А и Лебедь А (рисунки 28, 29), дает значения около 67 м2 , коэффициент использования поверхности (КИП) около 0.6 на частоте 3 ГГц и около 60 м2, коэффициент использования поверхности (КИП) 0,55 на частоте 1 ГГц.

Рисунок 28 - Запись приращения сигнала от радиоисточника Кассиопея А относительно опорной области (аттенюатор 6 дб в приемном тракте).

Рисунок 29 - Запись приращения сигнала от радиоисточника Лебедь А относительно опорной области (аттенюатор 6 дБ в приемном тракте).

По данным всей серии измерений можно сделать следующие выводы.

. Параметры двухчастотного облучателя и радиометров РМ-10 и РМ-30 соответствуют условиям контрактов и обеспечивают длительные исследования характеристик радиоизлучения Солнца.

. На частоте 1 ГГц наблюдается достаточно сложная помеховая обстановка. Кроме эпизодических импульсных помех, слабо влияющих на результаты измерения, наблюдается фоновое излучение, зависящее от азимута и высоты антенны, по интенсивности сравнимое с излучением Солнца. На рисунке 30 приведен пример зависимости изменения интенсивности фонового излучения при повороте антенны по азимуту в секторе 1600-2700 (угол места около 50).

Рисунок 30 - Зависимость интенсивности помехи на частоте 1 ГГц от положения антенны по азимуту.

Данное помеховое излучение стабильно по интенсивности и при неподвижной антенне изменяет только уровень принимаемого сигнала, что может приводить к ограничению динамического диапазона при приеме излучения Солнца. Тем не менее, постоянство помехи позволяет проводить требуемые измерения радиоизлучения Солнца после проведения калибровочных измерений - записи изменения уровня помех, выполненной по траектории движения Солнца, и вычитании ее из измеренных данных по Солнцу при последующей обработке.

. Периодически возникает помеха со сложным спектральным составом с максимумом на нескольких частотах в диапазоне 300-900 кГц, которую можно характеризовать как сетевую наводку, не зависящую от усиления входных каскадов радиометров. На частоте 3 ГГц она имеет стабильный по интенсивности характер, ухудшая чувствительность примерно в 2-5 раз, что слабо влияет на измерения радиоизлучения Солнца. Характер влияния данной помехи на результаты измерений на частоте 1 ГГц оценивается в комплексе с вышеуказанными помехами.

. При измерениях разъюстировки антенны по координатам получено, что поправки координат составляют около +1.70 по азимуту и -0.40 по углу места, что указывает на неточную угловую привязку лимбов антенны.

Из данной главы следует отметит что усилитель первого каскада изначально стоял в фокусе с возбудителем, для увеличения соотношения сигнал- Шум, но так как возбудитель стоял в фокусе резко менялась температура , и соответственно менялся шум, выдаваемый усилителем, что приводило к ошибкам измерения , для устранения этого недостатка было решено переделать антенну орбиты в одно зеркальном варианте, на антенну в двухзеркальном варианте , антенну по схеме кассегрена. Для этого нужно было произвести расчет и изготовить дополнительный отражатель. В антенне кассегрена облучатель , было решено поместить в центральном отверстии большого зеркала антенны, что позволяет улучшить термоизоляцию усилителя и что в последствии привело к повышению стабильности температуры.

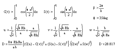
. Расчёт основных конструктивных элементов антенны коссегрена. Расчёт размера рефлекторов, фокусных расстояний, угловых размеров

Перед началом расчётов основных конструктивных параметров зеркал двух зеркальной антенны по схеме Кассегрена рассмотрим рисунок 2.1., на котором показаны основные параметры зеркал.

Рис. 2.1. Эквивалентный параболоид.

На рисунке 2.1.: e - эксцентриситет гиперболического зеркала; y0 - угол раскрыва большого зеркала (или параболоида); j0 - угол зрения на малое зеркало (или угол раскрыва эквивалентного параболоида); f - фокусное расстояние большого зеркала (или параболоида); fЭ - фокусное расстояние эквивалентного параболоида; rj - расстояние до второго фокуса гиперболоида; ry - расстояние до первого фокуса гиперболоида; D - диаметр раскрыва большого зеркала (или параболоида); d - диаметр раскрыва малого зеркала (или гиперболоида).

Эксцентриситет гиперболического зеркала определяется соотношением:

 (2.1.)

И поскольку для нашей антенны выбраны j0 =15°, а y0 0=90°, то значение эксценнтриситета e=1,303.

С учётом того, что нам заданы: ширина диаграммы направленности по уровню (-3дБ), т.е. Dq -3дБ =1,5° и уровень боковых лепестков d =-23 дБ, рассчитаем диаметр большого зеркала D воспользовавшись соотношением:

 (2.2.) - где lс в длина волны в свободном пространстве.

 (2.3.) - где С - скорость света 3×108 м/с, а F - заданная рабочая частота антенны 1 ГГц.

Таким образом, получаем расчётное значение диаметра раскрыва большого зеркала: D=12900,023мм.


 (2.4.)

Используя это значение, можно определить соотношение между диаметрами большого и малого зеркал:


Затем найти диаметр малого зеркала:

 (2.5.)

Фокус малого зеркала следует вычислить по формуле:

,

фокус малого зеркала.  мм.

Затем рассчитаем фокус эквивалентного параболоида fЭ по формуле:

 (2.6.)

Найдём ry и rj по формулам:

409,9мм. (2.7.)

2800,42мм. (2.8.)

Профиль сечения зеркал z(x) определяется для большого зеркала из уравнения параболоида вращения в прямоугольной системе координат (x, y, z), имеющего вид:

 (2.9.)

а для малого зеркала из уравнения гиперболоида вращения:

 (2.10.)

Здесь:

; ; c=a×e

Выбор и расчет параметров облучателя

Облучатель антенны существенно влияет на характеристики антенной системы в целом. Выбор и проектирование облучателей зеркальных антенн в общем случае определяется следующими соображениями:

1. ДН облучателя должна обеспечивать соответствующее распределение поля по апертуре с необходимым уменьшением поля на краю зеркала и иметь небольшой уровень боковых лепестков.

2. Облучатель должен создавать минимальное затенение апертуры, так как затенение апертуры увеличивает уровень боковых лепестков и уменьшает КНД.

3. Облучатель должен иметь фазовый центр.

4. Облучатель должен иметь требуемую диапазонность.

5. Облучатель должен обеспечивать работу при заданной величине мощности.

6. Облучатель позволяет одной антенной одновременно осуществлять две функции: передачу и прием, двойную передачу, прием и передачу сигналов ортогональных поляризаций.

В качестве двухзеркальных антенн в подавляющем большинстве случаев используются рупоры и их модификации. Широкое распространение рупорных облучателей объясняется простотой их конструкции, хорошими характеристиками по входному сопротивлению, поляризации и допустимой мощности, осесимметричная диаграмма направленности. Ему присущи и недостатки: отсутствие фазового центра, большое затенение раскрыва.

В качестве облучателя возьмем пирамидальный рупор. Задавшись размерами раскрыва,  и , а также значением фазовой ошибки на краю рупора, и в плоскости Е и Н соответственно, рассчитаем геометрические характеристики рупора.

, , , .

Рассчитаем волновое число k через длину волны λ:

 ,

Волновое число рассчитаем по формуле:

,


, длина рупора в плоскости Е. м.

, длина рупора в плоскости Н. м.

, координата фазового центра отсчитываемая от центра раскрыва в плоскости Е. м.

, координата фазового центра отсчитываемая от центра раскрыва в плоскости Н. м.

Соотношения необходимые для расчета параметров рупора , .

Установлено, что конструкция получается оптимальной с точки зрения затенения (минимальное затенение), если равны размеры теней, отбрасываемых раскрывом облучателя и вспомогательным зеркалом. Условие минимального затенения записывается в виде . Проверим выполняется ли условие затенения.

, .

Зная геометрические размеры облучателя рассчитаем его электрические характеристики. Рассчитаем КНД.


 и  - интегралы Френеля.

Зная КНД можно рассчитать КИП.


Рассчитаем диаграмму направленности рупора. При этом необходимо чтобы главный лепесток ДН рупора точно влез в угол . Значение ДН при угле  дает облучение краев большого зеркала, а это определяет УБЛ. Поэтому при угле  необходимо добиваться меньшего значения ДН. В плоскости Е равномерное амплитудное распределение и квадратичное фазовое. Для поля создаваемого антенной, при квадратичном изменении фазы в общем случае напряженность:


В результате интегрирования получаем для плоскости Е следующие формулы.


Рисунок 1. Диаграмма направленности рупора в плоскости Е рассчитанная в программе MathCAD 7.

Значение ДН рупора при угле равно 0.079.

В плоскости Н косинусоидальное амплитудное распределение и квадратичное фазовое. Взяв интеграл предполагая такие распределения получим формулы для расчета в плоскости Н.


Рисунок 2. Диаграмма направленности рупора в плоскости Н рассчитанная в программе MathCAD 7

Значение ДН рупора при угле  равно 0.103.

Для обеспечения заданного вида поляризации поля (линейная горизонтальная) расположим рупор так, чтобы вектор  был направлен горизонтально. АФТ возбуждается волной поэтому такое положение вектора обеспечивается, если рупор расположить так, чтобы широкие стенки рупора располагались вертикально. На рисунке 3 изображена структура волны  в раскрыве рупора.

Рисунок 3

Найдем значения оптимальных длин рупора в плоскостях E и H:

,

.

6. Экономический расчет

.1 Определение цены программного продукта

Необходимо рассчитать стоимость разработки учебно-методического комплекса для изучения принципов действия зеркальных антенн.

Как любой продукт, данная разработка представляет собой весьма специфический товар с множеством присущих им особенностей. Многие их особенности проявляются и в методах сложности расчетов цены на них. На разработку методических указаний средней сложности обычно требуется весьма незначительные средства. Однако, при этом он может дать экономический эффект, значительно превышающий эффект от использования достаточно дорогостоящих систем, в данном случае физической модели.

Следует подчеркнуть, что у пособий подобного типа практически отсутствует процесс физического старения и износа. Для них основные затраты приходятся на разработку образца, тогда как процесс тиражирования представляет собой, обычно, сравнительно недорогую и несложную процедуру копирования магнитных носителей и сопровождающей документации. Таким образом, этот товар не обладает, по сути, рыночной стоимостью, формируемой на базе общественно необходимых затрат труда.

Величину затрат на разработку данного продукта произведем на основе метода калькуляций. В этом случае себестоимость (затраты на создание) продукта Зспп определяются расчетом по отдельным статьям расходов и их последующим суммированием

Зспп = Зозп + Здзпматмв + Знр,(5.1)

где Зозп - основная заработная плата разработчикам;

Здзп - дополнительная заработная плата разработчикам;

Змат - затраты на материалы, покупные изделия, полуфабрикаты;

Змв - затраты на оплату машинного времени;

Знр - накладные расходы.

Рассмотрим затраты по отдельным статьям расходов.

.2 Расчет затрат на материалы, покупные изделия, полуфабрикаты

К этой статье относиться стоимость материалов, покупных изделий, полуфабрикатов и других материальных ценностей, расходуемых непосредственно в процессе разработки программного обеспечения. В стоимость материальных затрат включаются транспортные расходы (10% от прейскурантной цены).

Расчет статьи "материалы, покупные изделия, полуфабрикаты" приводится в таблице 5.2.

Таблица 5.2 - Материалы, покупные изделия, полуфабрикаты

Наименование товара

Единицы измерения

Количество

Цена за единицу, тг.

Суммарные затраты, тг.

CD-R

шт.

1

160

160

Бумага для печати

лист

100

2

200

Плакаты

лист

6

500

3000

Итого Змат = 3360 тг.


6.3 Затраты на оплату машинного времени

Данные затраты определяются путем умножения фактического времени составления методических указаний на tэвм на цену машино-часа арендного времени Счас

Змвспп= Счас∙ tэвм.  (5.3)

Фактически время разработки вычисляется по формуле

tэвм = tи+ tраз. (5.4)

Подставим найденные раннее значения затрат на составление программы, на ее отладку, на подготовку документов в (5.4)

tэвм = 88+ 44 =132 ч.

Цену часа работы машины определим из выражения

Счас= Зэвмэвм, (5.5)

где Зэвм - полные затраты на эксплуатацию ЭВМ в течение года;

Тэвм - действительный годовой фонд времени ЭВМ в течение года, час/год.

Рассчитаем годовой фонд времени работы IBM-совместимого компьютера из выражения

Тэвм= Тсм∙ (Nгод- Nпр)- Nнед∙ Тпрост, (5.6)

где Тсм - продолжительность смены, принимаем Тсм=8 часов;

Nгод - количество дней в году Nгод =365 дней;

Nпр - количество праздничных и выходных дней в году Nпр =112 дней;

Nнед количество недель в году Nнед =52;

Тсм - время простоя в профилактических работах определяется как еженедельная профилактика по 4 часа.

Тэвм= 8(365-112)- 52∙4=1816 ч.

Полные затраты на эксплуатацию ЭВМ определяются по формуле

Зэвм = Зам + Зэл + Зтпр, (5.7)

где Зам - годовые издержки на амортизацию, тг/год;

Зэл - годовые издержки на электроэнергию, потребляемую компьютером, тг/год;

Зтпр - затраты на текущий и профилактический компьютера, тг/год.

Сумму годовых амортизационных отчислений определяется по формуле

Зам бал∙Нам, (5.8)

где Сбал - балансная стоимость компьютера, тг;

Нам - норма амортизации, принимаем 12,2 %.

Зам =45000∙0,122=5490 тг/год.

Балансовая стоимость ПЭВМ включает отпускную цену, расходы на транспортировку, монтаж оборудования и его наладку:

Стоимость электроэнергии, потребляемой за год компьютером, определяется по формуле

Зэл = Рэл∙Тэвм∙Сэл,  (5.9)

где Рэл - суммарная мощность ЭВМ, кВт;

Сэл - стосимость 1 кВт∙ч электроэнергии;

Зэл = 0,5∙1816∙5,16 =4685,28 тг.

Затраты на текущий и профилактический ремонт принимаются равными 5% от стоимости ЭВМ

Зтпр = 0,05∙ 45000=2250 тг.

Таким образом полные затраты на эксплуатацию ЭВМ согласно формуле (5.6) в течение года составят

Зэвм = 5490 + 4686 +2250 =12426 тг.

Тогда цена машино-часа арендуемого времени согласно (5.5) составит

Счас = 12426/ 1816=6,84 тг/час.

Затраты на оплату машинного времени составят

Змвспп= Счас∙ tэвм,  (5.10)

Змвспп= 6,84 ∙ 132 =902,88 тг.

. Расчет надежности установки

.1 Понятие надежности радиоэлектронной аппаратуры

Надежность является важнейшим показателем качества радиоэлектронной аппаратуры (РЭА). Безотказное функционирование РЭА в течение определенного интервала времени в одних случаях определяет успешность выполнения задачи, в других - качество работы, готовность к выполнению задач, экономические затраты.

Надежность - способность устройства выполнять требуемые функции в заданных режимах и условиях применения, технического обслуживания, ремонта, хранения и транспортирования. Надежность - сложное свойство РЭА, которое в зависимости от назначения объекта, условий его применения состоит из сочетания свойств - безотказности, долговечности, ремонтопригодности и сохраняемости (ГОСТ 27002-83).

Безотказность есть свойство объекта непрерывно сохранять работоспособное состояние в течение некоторого времени или некоторой наработки. Наработка - это продолжительность или объем работы объекта.

Работоспособное состояние объекта такое, при котором значения всех параметров, характеризующих способность выполнять заданные функции, соответствуют требованиям нормативно-технической и конструкторской документации. Противоположное ему неработоспособное состояние - это то, при котором значение хотя бы одного параметра, характеризующего способность выполнять заданные функции, не соответствует требованиям нормативно-технической документации. Случайное событие, заключающееся в нарушении работоспособного состояния с переходов в неработоспособное, есть отказ. Обратный переход (возврат) к работоспособному состоянию есть восстановление.

Долговечность - это свойство объекта сохранять работоспособность до наступления предельного состояния при установленной системе технического обслуживания и ремонта. Предельное состояние - это состояние объекта, при котором его дальнейшее применение по назначению не допустимо или нецелесообразно либо восстановление его исправного или работоспособного состояния невозможно.

Как следует из определения, достижение предельного состояния может происходить в условиях, когда допустимо, выполняя ремонт, вернуть изделие в работоспособное состояния и продлить его срок службы. Тогда достижение предельного состояния еще не определяет долговечность.

Сохраняемость - это свойство объекта сохранять значения показателей безотказности, долговечности и ремонтопригодности в течение и после хранения и транспортирования.

Ремонтопригодность - это свойство объекта, заключающееся в

приспособленности к предупреждению и обнаружению причин возникновения отказов, повреждений и поддержанию и восстановлению работоспособного состояния путем про ведения технического обслуживания и ремонтов. Техническое обслуживание есть комплекс операций по поддержанию работоспособности (или исправности) изделия при использовании по назначению в течении срока службы РЭА, ожидании, хранении и транспортировании. Под ожиданием понимается нахождение РЭА в состоянии готовности к использованию по назначению. Под транспортированием - перемещение (не "своим" ходом) от места погрузки до момента выгрузки. Под хранением пребывание РЭА в нерабочем состоянии в приспособленных для этого помещениях. Ремонт - это комплекс операций по восстановлению работоспособности (исправности) и восстановлению ресурса изделия.

По мере развития РЭА роль надежности как оценки качества аппаратуры возрастает, так как усложняются выполняемые аппаратурой функции, увеличивается количество элементов. Это усложнение приводит к возрастанию количества отказов и времени восстановления.

Надежность РЭА - понятие комплексное. Оно определяется принципом действия, схемой, конструкцией, технологией изготовления и условиями эксплуатации, а также надежностью элементной базы.

.2 Показатели надежности РЭА

Показатель надежности - это количественная характеристика одного или нескольких свойств, составляющих надежность объекта. Различают единичные показатели, когда характеризуется одно из свойств и комплексные показатели, характеризующие совместно несколько свойств, составляющих надежность объекта.

Количественно надежность РЭА оценивается по следующим критериям:

вероятность безотказной работы в течение определенного времени P(t);

среднее время до первого отказа Тср;

интенсивность отказов l(t);

функция готовности Кг(t);

коэффициент готовности Кг.

Критерии надежности можно разделить на две группы:

критерии, характеризующие надежность невосстанавливаемых изделий;

критерии, характеризующие надежность восстанавливаемых изделий.

Невосстанавливаемыми называются такие изделия, которые в процессе выполнения своих функций не допускают ремонта. Если происходит отказ такого изделия, то выполняемая задача будет сорвана и ее выполнение будет необходимо начинать вновь после устранения отказа, если это возможно.

Восстанавливаемыми называют изделия, которые в процессе выполнения своих функций допускают ремонт. Если происходит отказ такого изделия, то прекращение функционирования изделия происходит только на период устранения отказа.

В соответствии с вышеизложенным в данном проекте необходимо рассчитать надежность восстанавливаемого изделия. На этапе технического проектирования расчет целесообразно проводить по известным характеристикам элементов расчета (резисторы, конденсаторы, микросхемы и т.д.). Весьма удобной характеристикой надежности изделия является интенсивность отказов, так как она позволяет достаточно просто вычислить количественные показатели надежности простейших элементов, из которых состоит изделие.

Интенсивностью отказов называется отношение числа отказавших элементов в единицу времени к среднему числу элементов, исправно работающих в данный отрезок времени.

Интенсивность отказов изделия, состоящего из N элементов, определяется по формуле:

 (6.1)

где li - интенсивность отказов i-гo элемента с учетом всех воздействующих факторов.

Интенсивность отказов показывает, какая доля всех элементов данного типа в среднем выходит из строя за один час работы.

.3 Расчет показателей надежности проектируемого устройства

Элементы изделия находятся в различных режимах работы, значительно отличающихся от номинальной величины. Это влияет на надежность как изделия в целом, так и отдельных его составных частей. Поэтому для расчета надежности необходимо знать данные о коэффициенте нагрузки КН отдельных элементов и о зависимости интенсивности отказов элементов от их электрической нагрузки и температуры окружающей среды:

 (6.2)

При разработке и изготовлении элементов предусматриваются определенные, так называемые "нормальные" условия работы, которые приводятся в нормативно-технической документации (ГОСТ, ТУ): температура, относительная влажность, электрический режим, механические нагрузки и т.д.

Интенсивность отказов элементов в нормальных условиях эксплуатации называется нормальной интенсивностью отказов и обозначается lоi.

Интенсивность отказов элементов при эксплуатации в реальных условиях определяется по формуле:

 (6.3)

где Ai - поправочный коэффициент интенсивности отказов, учитывающий влияние температуры окружающей среды (Т,°С), и электрической нагрузки (Кн):

 (6.4)

где Ki, - поправочный коэффициент интенсивности отказов, учитывающий воздействие, главным образом, механических нагрузок (i) и относительную влажность окружающей среды ( g ):

Ki = f(g,j)

Значения поправочных коэффициентов Ai приведены в таблице 6.1. Так как эксплуатацию устройства предполагается производить в условиях лаборатории, Т.е. нормальных, поправочный коэффициент Ki = 1.

Значения коэффициента Ai, коэффициента нагрузки КН и температуры Т, а также рассчитанные по вышеприведенным формулам показатели надежности проектируемого устройства приведены в табл. 6.1

Среднее время безотказной работы или наработки на отказ определяется как:

 (6.5)

Таким образом:

Тср =1/(168,454*10-6)= 5936,3 часов » 1 год

Разрабатываемая установка относится к классу ремонтно-пригодных, поэтому она характеризуется такими критериями, как время восстановления, коэффициент готовности и коэффициент простоя.

Интенсивность отказов и средняя наработка на отказ характеризуют надежность изделия и не учитывают времени, требуемого на его восстановление. Поэтому необходимо рассчитать такие показатели, как время восстановления схемы и коэффициент готовности Кг.

Время восстановления складывается из времени отыскания неисправности t1=1,5ч, времени настройки t2=0,1 ч, и времени проверки t3=0,3ч.

Тв= 1,5+ 0,1+ 0,3=1,9 часа.

Интенсивность восстановления (m):

m=1/TB(6.6)

получим:

Кг=1/1,9=0,52

Коэффициент простоя рассчитывается по формуле:

Кпр=l/(l+m)(6.7)

Кпр=168,454* 10-6/(168,454-6+0,52)=0,0002

Вероятность безотказной работы в течении времени t определяется соотношением:

Р=ехр(-t/Tср) (6.8)

Составим таблицу зависимости безотказной работы от времени (см. табл. 6.2)

Таблица 6.2 - Зависимость безотказной работы от времени

t

0

10

100

1000

10000

100000

1000000

P(t)

1

0,999

0,988

0,885

0,294

0,0000004

0



. Охрана безопасности и жизнедеятельности

В данном разделе дипломного проекта приводится анализ условий труда в производственном помещении. Этой части дипломного проекта нужно уделить особенное внимание, т.к. при не соблюдении норм, установленных законодательством, возможно нарушение работоспособности и жизнедеятельности рабочих. Поэтому, мы должны определить опасные и вредные производственные факторы, а также степень их опасности на рабочем месте. Так как в работе речь идет о лабораторных установках, здесь рассмотрены общие и частные случаи поведения при проведении лабораторных испытаний.

.1 Общие требования безопасности

а) Ремонт и обслуживание аппаратуры радиосвязи проводится в порядке текущей эксплуатации.

б) Персонал лаборатории, выполняющий работы по эксплуатации аппаратуры, а также студенты проводящие эксперименты:

·   Выполнять правила внутреннего трудового распорядка.

·        Соблюдать инструкцию о мерах пожарной безопасности.

·        Выполнять только ту работу, которая определена настоящей инструкцией.

·        За невыполнение данной инструкции виновные привлекаются к ответственности согласно Правилам внутреннего трудового распорядка или взысканиям, определенным трудовым Кодексом Республики Казахстан.

.2 Анализ опасных и вредных факторов

К основным вредным и опасным факторам, что влияют на людей работающих в лаборатории можно отнести:

·      Плохая освещенность рабочей зоны;

·        Повышенные уровни электромагнитных излучений;

·        Опасность поражения электрическим током;

·        Неудовлетворительные параметры микроклимата рабочей зоны;

·        Повышенный уровень шума на рабочем месте;

· Повышенная напряженность электрического поля на рабочем месте;

·        Влияние мониторов персональных компьютеров.

8.3 Требования к организации работы

а) При работе в лаборатории кроме настоящих Правил следует руководствоваться и другими действующими правилами по охране труда и техники безопасности.

б) Ответственность за выполнение настоящих Правил возлагается на заведующего лабораторией и руководителя лабораторных исследований.

в) Организация работы по охране труда возлагается на заведующего (руководителя) лабораторией, а по отдельным участкам - на их руководителей.

г) Проведение инструктажа должно быть зарегистрировано в специальном журнале.

д) Помещения лаборатории можно использовать только по их прямому назначению, проведение в них каких - либо других работ не разрешается.

е) Поверхности стен и потолков должны быть гладкими, допускающими легкую очистку их от пыли или "мокрую" уборку помещений.

ж) Полы в лабораторных помещениях покрываются линолеумом или релином.

з) Помещения лаборатории должны освещаться непосредственно прямым естественным светом. Электрическая часть осветительных установок должна удовлетворять требованиям действующих Правил устройства электроустановок (ПУЭ).

и) При эксплуатации приборов и аппаратов необходимо строго руководствоваться правилами (инструкциями), изложенными в техническом паспорте, прилагаемом к приборам и оборудованию заводом - изготовителем.

к) Металлические корпуса всех электроприборов должны быть обязательно заземлены.

л) Регулярно необходимо проверяться исправность электроприборов и электрооборудования. Работа на неисправных электроприборах и электрооборудовании запрещается.

м) При прекращении подачи электрического тока необходимо выключить все электроприборы.

н) При несчастных случаях пострадавший сам (или свидетель происшествия) обязан немедленно сообщить об этом руководству лаборатории.

о) Персонал должен быть обучен оказанию пострадавшим необходимой первой помощи при несчастных случаях. В аптечке первой помощи всегда должны иметься соответствующие медикаменты и перевязочные средства.

п) Помещение лаборатории должно быть просторным и светлым.

р) Лаборатория должна быть снабжена необходимыми приборами и оборудованием.

с) В каждой лаборатории должна быть хорошая вентиляция.

Заключение

В данной работе был изучен материал по данным космической погоды, солнечной активности,а так же отмечена актуальность и связь данной работы с другими научно -исслендовательскими работами.

В результате модернизации полигона отбита был задействован ряд радиофизических и оптических инструментов, для регулярных наблюдений ближнего космоса, при этом предусматривалось предварительная обработка и передача данных в региональный центр данных через интернет.

В ходе данной работы была разработана зеркальная антенна по схеме коссегрена, а так же приемник - радиометр солнечной активности.

По данным всей серии измерений можно сделать следующие выводы.

. Параметры антенны и облучателя и радиометров РМ-10 и РМ-30 соответствуют расчетам и обеспечивают исследование характеристик радиоизлучения Солнца.

. На частоте 1 ГГц не наблюдается сложной помеховой обстановки, после добавления в зеркальную антенну малого зеркала.

Список литературы


. Фрадин А.З. "Антенно-фидерные устройства" - М.: Связь, 1977.-440 с.

. Кочержевский Г.Н., Ерохин Г.А., Козырев Н.Д. "Антенно-фидерные устройства" - М.: Радио и связь, 1989. - 352 с.

. Лавров А. С., Резников Г. Б. "Антенно-фидерные устройства. Учебное пособие для вузов" - М.: Советское радио, 1974. - 368 с.

. Фальковский О.И. "Техническая электродинамика" -М.: Связь, 1978. - 430 с. Справочник по специальным функциям / Под ред. М.Абрамович и И.Стиган. - М. - Л.: Энергия, 1966.- 648 с.

. Фрадин А.З. "Методические указания по проектированию антенно-фидерных устройств" ЛЭИС.- Л.,1986. -68с.

. Фрадин А.З." Антенны сверхвысоких частот" - М.: Советское радио, 1957. - 648 с.

. Воскресенский Д.И. "Антенны и устройства СВЧ" -М.: Советское радио, 1972.- 320 с.

. Айзенберг Г.З., Белоусов С.П. и др. "Коротковолновые антенны" -М.: Радио и связь, 1985. -536 с.

. Айзенберг Г. З., Ямпольский В. Г., Терешин О. Н., "Антенны УКВ." - М.: Связь, 1971. В 2-х частях.

. Драбкин А.Л., Коренберг Е.Б., Меркулов С.Е. / Антенны. 2ое издание. Москва "Радио и связь" 1995. -130с.

. Наймушин М.П., Панченко Б.А., Шабунин С.Н, "Проектирование антенных систем СВЧ" - М.: Связь 1993 год 48 с.

. Драбкин А.Л., Зузенко В.Л., Кислов А.Г., "Антенно-фидерные устройства." - М.: Сов. радио, 1974. 536 стр.

. Жук М.С., Молочков Ю.Б., "Проектирование антенно-фидерных устройств" - М.: Энергия, 1996 год 648 с.

. Сазонов Д.М., "Антенны и устройства СВЧ: Учебник для радиотехнических специальных вузов" М.: Высш. шк., 1988. - 432 с.: ил. ISBN 5-06-001149-6.

. Барканов Н.А., Бердычевский Б.Е., Верхопятницкий П.Д. и др "Справочник конструктора РЭА: Компоненты, механизмы, надёжность"..;- М.: Радио и связь, 1985 - 384 с., ил. Впер.: 2р. 40000 экз.

. Лавров А. С., Резников Г. Б. "Антенно-фидерные устройства. Учебное пособие для вузов." - М.: Советское радио, 1974. - 368 с.

. Зузенко В. А., Кислов А. Г., Цыган Н. Я. "Расчет и проектирование антенн" - Л.: ЛВИКА, 1969.

. Хмель В. Ф. "Антенны и устройства СВЧ. Сборник задач" - М.: Издательское объединение "Вища школа",1976. - 216 с.

19. Долуханов М.П. "Распространение радиоволн." - М.: Связь, 1972.

Приложение 1

Сокращения

МОН РК - Министерство образования и науки Республики Казахстан,

ИСЗ -искусственный спутник Земли,

КВ - короткие волны

ПЭС - полное электронное содержание,

НЧ -низкочастотная (фильтрация),

КВ -высокочастотная (фильтрация),

МГц -мегагерц (ед. измерения),

НАСА- Национальное аэрокосмическое агентство США,

ЕСА -Европейское космическое агентство,

КА -космический аппарат,

ДПМ -двигатель постоянного тока маршевый,

ОПУ -опорно-поворотное устройство,

СКВТ -синус-косинусный вращающийся трансформатор.

Приложение 2

Информация об использованных микросхемах

Микросхема К176ИЕ5

Представляет собой 15-разрядный двоичный счётчик - генератор секундных импульсов. Микросхема К176ИЕ5 была разработана специально для работы в схемах электронных часов, но находит применение и в других устройствах.

К выводам 9 и 10 подключается кварцевый резонатор частотой f. Типовая частота 32768Гц (215 Гц). Возможно подключение резонатора 16384Гц или внешнего источника импульсов. На буферных выходах 11 и 12 присутствует тактовая частота f.

На выводе 1 формирется частота f/28 (64Гц). При соединении выводов 1 и 2 на вход второго счётчика подается частота f/28, а на его выходах формируются импульсы: вывод 4 - f/214 (2Гц) , вывод 5 - f/215(1Гц). Вывод 3 - установка счётчика в "0".

Условное обозначение:

Микросхема К561ЛЕ5

Ввыпускается в пластмассовом корпусе с двухрядным расположением 14 штыревых выводов.


Для микросхем серий К561 и 564 гарантируется работоспособность при напряжении питания от 3 до 15 В, для КР1561 - от 3 до 18 В. Диапазон рабочих температур микросхем серий К561 от -45 до +85 'С. Аналог К561ЛЕ5 - CD4001A.

В составе К561ЛЕ5 четыре логических элемента "2ИЛИ-HЕ".

К561ЛЕ5 цоколевка


Напряжение питания подается на вывод 14, общий провод подключается к выводу 7.

Таблица истинности


TL082

Сдвоенный операционный усилитель от STMicroelectronics с входными дифференциальными каскадами на полевых транзисторах. Выпускается в корпусах DIP8, SO8 и TSSOP8.

Uпит= +-18 В

Pрасс= 680 мВт

Fmax= 4МГц

Похожие работы на - Модернизация зеркальной антенны гигагерцевого диапазона

 

Не нашли материал для своей работы?
Поможем написать уникальную работу
Без плагиата!
Без нейросетей!