Возможность использования украинских фамилий в качестве квазигенетических маркёров
Возможность
использования украинских фамилий в качестве квазигенетических маркёров
РЕФЕРАТ
Работа изложена на страницах машинописного
текста, иллюстрирована 16-ю таблицами, 3-мя рисунками.
Ключевые слова: генетические маркёры,
квазигенетические маркёры, изонимия, случайный инбридинг, генофонд,
генетическое расстояние, этномаркёры.
Объектом данного исследования были списки
фамилий нескольких населённых пунктов Украины, полученные из тотальных списков
по результатам переписи населения 1996-ого года. Основная цель работы -
доказать возможность использования украинских фамилий в качестве
квазигенетических маркёров. Исследуемые списки упакованы в базы данных, которые
анализировались с помощью программы «Cronos», дальнейшие расчёты проводились в
программе Microsoft Office Excel 2007. Оценка данных проводилась путём расчёта
коэффициента случайного инбридинга, генетического расстояния и анализа с
использованием уже имеющихся этномаркёров.
Сравнение коэффициента инбридинга в
населённых пунктах разной величины подтвердило то, что он обратно
пропорционален величине населённого пункта, что подтверждает, что в небольших
населённых пунктах выше вероятность родственных браков. Значительной оказалась
корреляция между генетическими расстояниями по результатам частот белковых
локусов групп крови 
, 
, 
, R, r и фамилий между исследуемыми
населёнными пунктами, что подтверждает возможность использования фамилий в
качестве квазигенетических маркёров. По данным о распространённых фамилиях в
нескольких населённых пунктах приграничных областей с помощью этномаркёров
сделаны предположения о возможных миграциях.
АННОТАЦИЯ
Объект исследования - списки фамилий
нескольких населённых пунктов Украины. Основная цель работы - доказать
возможность использования украинских фамилий в качестве квазигенетических
маркёров. Исследуемые списки упакованы в базы данных, которые анализировались с
помощью программы «Cronos», дальнейшие расчёты проводились в программе Excel.
Сравнение коэффициента инбридинга в населённых пунктах разной величины
подтвердило то, что в небольших населённых пунктах выше вероятность родственных
браков. Значительной оказалась корреляция между генетическими расстояниями по
результатам частот белковых локусов групп крови 
, 
, 
, R, r и фамилий между исследуемыми
населёнными пунктами, что подтверждает возможность использования фамилий в
качестве квазигенетических маркёров.
АНОТАЦІЯ
Об’єкт дослідження - списки прізвищ декількох
населених пунктів України. Головна мета роботи - довести можливість
використання українських прізвищ як квазігенетичних маркерів. Дослідні списки
упаковані у бази даних, які аналізувались за допомогою програми «Cronos»,
подальші розрахунки проводились у програмі Excel. Порівняння коефіцієнту
інбридингу у населених пунктах різного розміру підтвердило те, що у невеликих
населених пунктах вище ймовірність споріднених шлюбів. Значною виявилася
кореляція між генетичними відстанями за результатами частот білкових локусів
груп крові 
, 
, 
, R, r та прізвищ серед дослідних
населених пунктів, що підтверджує ймовірність використання прізвищ як
квазігенетичних маркерів.
ABSTRACT
The lists of surnames of several
settlements of Ukraine are the objects of research. The main aim of this work
is to prove the possibility of using Ukrainian surnames as quasigenetic
markers. The lists that are under consideration had been packed in data bases
that were analyzed by means of “Cronos program”, further calculations carried
out in Excel. Inbreeding factor comparison in settlements of various sizes
confirmed that probability of related marriages is higher in small settlements.
According to the results of protein locuses frequencies of
, 
, 
, R, r blood groups and surnames
among settlements that were under considerations, genetic distance correlations
appeared to be substantial, that confirmed the possibility of using surnames as
quasigenetic markers.
ОГЛАВЛЕНИЕ
РЕФЕРАТ
АННОТАЦИЯ
ОГЛАВЛЕНИЕ
ВВЕДЕНИЕ
ГЛАВА 1. ОБЗОР ЛИТЕРАТУРЫ
.1 Использование фамилий как
квазигенетических маркёров
.2 Примеры применения методик с
использованием фамилий как квазигенетических маркёров для анализа популяции
.3. Разнообразие Y-хромосомы у
однофамильцев
.4 Становление украинских фамилий
.5 Лингвистическая характеристика и
этнические маркёры украинских фамилий
ГЛАВА 2. МАТЕРИАЛЫ И МЕТОДЫ
ГЛАВА 3. РЕЗУЛЬТАТЫ И ОБСУЖДЕНИЯ
ВЫВОДЫ
СПИСОК ИСПОЛЬЗОВАННОЙ ЛИТЕРАТУРЫ
ПРИЛОЖЕНИЯ
ВВЕДЕНИЕ
Актуальность темы. В последнее время
использование фамилий в качестве квазигенетических маркёров стало очень
актуальным в решении многих генетических вопросов [7]. Фамилии передаются по
мужской линии и по способу передачи представляют собой аналог Y-хромосомы.
Фамилии используются как квазигенетические маркёры с середины прошлого века, с
их помощью исследованы популяции в ряде европейских государств и России. С
использованием данного типа маркёров можно оценивать генетическую
дифференциацию популяции, строить карты распределения фамилий, оценивать
интенсивность миграционных потоков населения, вычислять степень инбредности
популяций, оценивать структуру подразделённой популяции. Отдельные исследования
на однофамильцах показывают высокий процент родственников среди них. Фамилии
являются общедоступным ресурсом, исследования, связанные с ними - незатратны,
однако исследования могут охватить популяции тотально.
Целью данной работы - протестировать возможность
использования украинских фамилий в качестве квазигенетических маркёров.
Для достижения этой цели предполагалось решить
следующие задачи:
. Используя частоты фамилий, рассчитать
коэффициент инбридинга в населённых пунктах с разной численностью населения.
2. Рассчитать генетические
расстояния между популяциями разных областей с использованием фамилий и
сравнить их с данными о частотах аллелей локусов 
, 
, 
, R, r.
. Используя этномаркёры фамилий,
оценить этноспецифические миграции.
Благодарность выражается сотрудникам
МГНЦ РАМН, которые любезно предоставили материал (базы данных) для данных
исследований.
ГЛАВА 1.
Обзор литературы
.1 Использование
фамилий как квазигенетических маркёров
Для изучения структуры генофонда населения и
факторов его микроэволюции используются генетические маркеры, т.е.
фенотипические признаки, генетическая природа которых хорошо и достоверно
известна [19, 20]. Считается, что путь от гена до признака для генетических
маркеров невелик, и по фенотипическим частотам в популяциях можно судить о
величинах генных частот, об их статике или динамике [6]. В популяционной
генетике широко используются полиморфные генетические маркеры - обладающие
двумя вариантами (аллелями), причем частота наиболее распространенного аллеля
должна быть меньше 0,95 (при 5% критерии полиморфизма) или же меньше 0,99 (при
1% критерии полиморфизма). Выделяют следующие типы генетических маркеров [19,
20, 4].
Классические генетические маркеры. Наиболее
распространенным способом оценки генетической дифференциации популяций является
подход, основанный на учете частот распределения классических генетических
маркеров. Маркеры этой группы находятся под строгим генетическим контролем и
генотипируются с использованием различных иммунологических методов, методов
электрофоретического, изоэлектрофоретического разделения и др. Они подразделяются
на биохимические [4, 13, 17, 16], иммунологические [20, 4], и физиологические
(вкусовая чувствительность, цветовая слепота, тип ушной серы и др.).
Альтернативные формы белков этих маркеров очень неравномерно распределены среди
различных этнических, расовых и территориальных групп народонаселения мира.
Материалы об их распределении среди народов Земного шара позволяют дать
адекватную характеристику генетических процессов, происходящих на популяционном
уровне, необходимую для рассмотрения проблем микроэволюции населения и
выявления роли инбридинга, генного дрейфа, миграций, метисации, скорости
мутационного процесса и эффектов отбора в эволюционном процессе [19, 20].
Молекулярно-генетические маркеры. Все ДНК
маркеры относительно популяционных исследований можно разделить на три группы:
маркеры митохондриальной ДНК, маркеры Y-хромосомы и аутосомные маркеры.
Основной особенностью полиморфизма митохондриальной ДНК является отсутствие
рекомбинаций и материнский тип наследования. Полиморфные маркеры Y-хромосомы имеют
отцовское наследование и 95% ее длины также представлено нерекомбинирующим
участком [20, 27], на котором к настоящему времени выявлено 20 генных семейств
историю материнской и отцовской частей популяции. Среди аутосомных маркеров
выделяют диаллельные и мультиаллельные. Диаллельные маркеры представлены
однонуклеотидными заменами и инсерционно-делеционным полиморфизмом. Диаллельные
маркеры сходны по своим свойствам с классическими маркерами, такими как
биохимические и некоторые иммунологические. Техника исследований маркеров ДНК
сводиться практически к одному методу - полимеразной цепной реакции. Данные по
полиморфизму ДНК применимы для оценок генетических расстояний, скорости
эволюции, ее адаптивных параметров, а также для оценки роли популяционно-генетических
факторов в распространенности ряда наследственных и часто встречающихся
заболеваний с наследственным предрасположением [20, 4, 8, 9].
«Квазигенетические» маркеры. В качестве
квазигенетических маркеров используются фамилии и ряд популяционно-демографических
характеристик (витальные статистики, параметры модели изоляции расстоянием
Малеко и др.) [9, 18, 11, 12, 21, 22 - 26]. Использование фамилий в качестве
аналогов генетических маркеров согласно работы [9] имеет следующие важные
преимущества. Во-первых, в отличие от генетических маркеров, данные о частотах
распространения фамилий могут быть собраны тотально (о всех жителях всех
субпопуляций рассматриваемой территории), что снимает все вопросы о
репрезентативности выборок и степени достоверности получаемых результатов.
Во-вторых, фамилии селективно-нейтральны по отношению к природной среде и
поэтому корректно оценивают дифференциацию генофонда. Использование фамилий в
качестве селективно нейтрального маркера может иметь информационную ценность,
равную лучшей кодоминантной генетической системе.
Фамилии позволяют определять уровень инбридинга
среди населения, оценивать генетические расстояния между популяциями, изучать
генетические соотношения между различными группами народонаселения, выявлять
действие таких эволюционных факторов, как дрейф генов и миграции, описывать
“генетический ландшафт” населения на основе геногеографических технологий [4].
Анализ «фонда фамилий» является важным
инструментом при изучении структуры генофонда населения. Передаваясь в чреде
поколений, фамилии начинают вести себя подобно генам. Причем они вторят тем
генам, которые современная генетика рассматривает как одни из самых
перспективных и информативных маркеров для изучения истории генофонда -
однородительским маркерам [4].
Фамилия - основная часть триединого полного
русского именования человека - является очень интересным словом, которое
расценивается и как памятник культурной истории народа, и как свидетельство
определенной эпохи, и как памятник языка, способный вбирать в себя явления,
актуальные для какого-либо исторического момента. Кроме того фамилии
традиционно используются в популяционной генетике как “квазигенетические
маркеры” [5, 21, 22].
Но, конечно же, как отмечает Балановская Е.В. и
др. [4], фамилии, даже называясь «квазигенетическими» маркерами, совсем не
похожи на обычные гены. Фамилии не подчинены суровым биологическим законам, а
следуют многозначным путям развития языка и культуры. Поэтому фамилии,
передаваясь из поколения в поколение, ведут себя очень свободно - столь часто и
прихотливо «мутируют», что прослеживать судьбу каждой из фамилий в отдельности
непросто. Более того, одни и те же фамилии могут возникать независимо в разных
точках пространства и времени, симулируя генетическое родство между исторически
несвязанными популяциями.
Есть у фамилий и весьма замечательное
достоинство, недоступное всем другим маркерам. По фамилиям можно изучить всю
популяцию целиком, а не только маленькую выборку из нее, как это приходится
делать по любым признакам генетики [4].
Важным аргументом в пользу использования фамилий
при изучении структуры генофонда населения, как отмечается в работе
Балановского О.П. и др. [5] является прямое сопоставление результатов,
полученных по двум типам маркеров: генетическим и квазигенетическим. Оценки межпопуляционной
изменчивости по генам и по фамилиям практически совпали (у адыгов; у литовцев;
у народов Приморья (удэге, нанайцев и др.); у армян; у алтайцев; у нивхов; у
эвенков) [5].
При использовании фамилий для описания
популяционно-генетических характеристик населения (методом оценки коэффициента
случайного инбридинга через изонимию) лежит ряд допущений [10], обобщенных и
детально рассмотренных в работе Е.В. Балановской и др. [3]:
. Фамилии должны наследоваться в длинном ряду
поколений - срок существования фамилий должен быть сопоставим со временем
существования подразделенной популяции. Как показано в работе [10] фамилии дают
хорошие результаты при изучении популяций, в которых фамилии употребляются не
менее 10 поколений, т.е. использование фамилий является традиционным.
. Предполагается, что происхождение фамилий
монофилетично - то есть у любых двух мужчин-однофамильцев имеется общий предок
[10]. При невыполнении этого условия оценки инбридинга будут занижаться:
отсутствие прочной традиции в передаче фамилий обычно приводит к большому
разнообразию фамилий (разные фамилии у членов одной семьи, легкий переход
прозвища или отчества в фамилию).
. Предполагается равное представительство полов
для каждой фамилии. В популяциях русского Севера, как показали работы А.А.
Ревазова наблюдалось преобладание вероятности для мужчин оказаться
промежуточным предком в изонимном браке, в связи с чем была предложена поправка
(коэффициент К=1/28 вместо К=1/4) на неравное представительство полов у
промежуточных предков [14, 18].
. Предполагается, что фамилии не “мутируют”, то
есть не изменяются с течением времени. Одной из причин, приводящей к “мутации”
фамилий, может быть искаженное произношение фамилии.
. “По умолчанию” предполагается, что
равновероятны миграции мужчин и женщин. Однако это условие не выполняется
практически ни в одной из исследуемых популяций: у всех народов в той или иной
степени сохраняются традиции брачных миграций. Поскольку фамилии передаются по
мужской линии, то миграции женщин не приводят к изменению частот фамилий.
Непроявившиеся в частотах фамилий миграции вносят значительный вклад в
изменение генофонда. В результате инбридинг, рассчитанный по фамилиям должен
быть, выше, чем “истинный инбридинг” - по аутосомным генам [5].
Корреляция между частотами фамилий и частотами
маркеров Y хромосомы оказалась очень высока r=0.6. Это означает, что по
фамилиям можно прогнозировать влияния генофондов друг на друга [28].
1.2 Примеры применения
методик с использованием фамилий как квазигенетических маркёров для анализа
популяции
Методику использования фамилий в качестве
аналога генетических маркеров предложили Дж.Ф.Кроу и А.П.Мэндж еще в 1965 году.
С тех пор фамилии для изучения генофонда широко применяли и зарубежные, и
отечественные генетики - Ю.Г.Рычков, А.А.Ревазов, Е.К.Гинтер, их последователи
и ученики. Оказалось, что у разных народов генетическое и "фамильное"
разнообразие очень близко друг к другу, поэтому фамилии - маркер вполне
адекватный [6].
Для того чтобы уверенно судить о приемлемости
использования фамилий в изучаемых русских популяциях в качестве генетического
маркера, точнее, «квазигенетического» маркера, Равазовым А.А. и соавт. [18]
были использованы два подхода. Во-первых, мы сравнивали генетические расстояния
между элементарными популяциями (деревнями), полученные из распределения генных
частот по локусам АВО, МN, Rh, Нр, Рtc, с квазигенетическими расстояниями,
полученными из частот фамилий с картиной обмена гамет между ними, полученной из
миграционных матриц. Для количественной оценки наблюдаемых закономерностей были
подсчитаны коэффициенты корреляций между элементами соответствующих матриц.
Действительно, генетические (маркерные) расстояния и квазигенетические
(фамильные) расстояния должны коррелировать положительно, если фамилии ведут
себя сходно с настоящими генетическими маркерами. Точно также квазигенетические
и настоящие генетические расстояния связаны обратной зависимостью с уровнем
обмена гаметами: чем больше обмен гаметами, тем меньше генетическое и
квазигенетическое расстояния. Во-вторых, обратившись к конкретным значениям
коэффициентов корреляций, можно видеть, что связь между фамилиями и миграциями
примерно вдвое сильнее, чем между фамилиями и маркерами; всего слабее связь
между генетическими маркерами и миграциями.
Вероятно, наилучшая связь между фамилиями и
миграциями есть, простой результат распространения фамилий по популяциям путем
брачных миграций. Если учесть, что скорость изменения картины обменов гаметами
в ряду поколений, вероятно, превышает скорость изменения генофонда популяции,
станет ясной слабая связь маркеров и миграций (фамилии в этом отношении более
подвижны, чем гены).
Главной причиной относительно слабой связи между
генетическими маркерами и фамилиями, на наш взгляд, является то обстоятельство,
что> фамилии, в отличие от генетических маркеров, не находятся под
унифицирующим давлением стабилизирующего отбора.
Обнаруженная достоверная корреляция
генетических, построенных та частотах генов и квазигенетических, построенных на
частотах фамилий, расстояний указывает, что фамилии могут заменять генетические
маркеры [18].
В настоящее время сбором и геногеографическим
анализом русских фамилий активно занимаются в лаборатории популяционной
генетики человека ГУ Медико-генетического научного центра РАМН. В первую
очередь нас интересует история формирования русского генофонда, и поэтому мы
исследовали распространение десятков тысяч русских фамилий. Хотя эта уникальная
работа еще не завершена - учитывая огромную площадь ареала, нужны многие годы
для кропотливого сбора данных, - некоторые итоги можно подвести и сейчас [6].
В одной из статей Балановской Е.В. и соавт. [7]
анализируется изменчивость "квазигенетических» маркеров - частот фамилий -
в пяти основных географических регионах исконного ареала русского народа.
Изучены Западный (Смоленская область), Центральный (Тверская), Восточный
(Костромская), Северный (Архангельская) и Южный (Белгородская, Курская,
Воронежская) регионы, отстоящие друг от друга в среднем на 1000 км. Хранение и
преобразование информации о распространении более 50 тысяч фамилий в сельском
населении 49 районов (942 тыс. человек) обеспечено базой данных
"Онома". По наиболее частым фамилиям выявлено сходство трех регионов
средней полосы (Западного, Центрального и Восточного) и ярко выраженное
своеобразие Южного региона. Число "общих" фамилий (встреченных во
всех пяти регионах) оказалось неожиданно велико - 257 фамилий. По данным о 14
тысячах частых фамилий создана карта пространственной изменчивости случайного
инбридинга: с юго-запада на восток возрастает уровень случайного инбридинга и,
соответственно, прогнозируемый груз наследственной патологии. Показана
перспективность геногеографии фамилий для исследований не только локальных
популяций, но и всего русского генофонда в целом [7].
В другой работе Балановской Е.В. и
соавт. [3] в качестве модельной подразделённой популяции рассмотрен генофонд
адыгов - автохтонного населения Северного Кавказа. Популяционная система адыгов
является иерархической и показатели случайного инбридинга изучены у каждого
уровня системы «этнос - племя - географическая группа аулов - аул». Частоты
фамилий собраны субтотально. Проанализированы данные о частотах 1340 фамилий в
61 ауле, представляющих все племена адыгов; исследованием охвачено около 60
тыс. человек. Оценки инбридинга через 
Райта и через коэффициент изонимии 
практически совпадают: для адыгов в
целом они составляют 
×
=2.13 и 
×
=2.09. При этом различия между
племенами по уровню инбридинга велики. Оценки инбридинга для аулов различаются
на два порядка. При анализе одних и тех же десяти аулов получено полное
совпадение инбридинга по квазигенетическим и классическим генным маркёрам [3].
1.3 Разнообразие
Y-хромосомы у однофамильцев
хромосома фамилия маркёр квазигенетический
Это направление рассматривает связь конкретной
фамилии и конкретной Y хромосомы. В рамках этого направления в настоящий момент
проводится большая часть работ по изучению связи фамилии и генотипа: фамилия
выступает как квазигенетический маркёр конкретной Y хромосомы.
В 2000 году Sykes и Irven исследовали гаплотипы
Y хромосомы носителей фамилии первого из авторов . Авторы ожидали, что фамилия
Sykes возникала многократно, поскольку происходит от диалектного Йоркширского
«ручей», «канава». К своему удивлению, они обнаружили, что у 43,8%
исследованных однофамильцев - один и тот же гаплотип Y хромосомы, причём
следующий по частоте гаплотип встречается в 4 раза реже. Это позволило авторам
оценить время жизни основателя гаплотипа и, что важнее для других исследователей
- долю «не-отцовства» (от англ. non-paternity - частоты получения фамилии не от
биологического отца, а точнее - Y хромосомы не от формального отца). Доля
«не-отцовства» составила 1,3% за поколение. Оценки этой же величины у других
авторов колеблются в основном от 2 до 5%.
Довольно смелые выводы делает другой автор (King
et al., 2006). С большим количеством оговорок и в предположении создания в
будущем (но пока лишь «умозрительной») базы данных о соответствующих друг другу
гаплотипах Y хромосомы и фамилиях, он предлагает ДНК тестирование для
определения возможной фамилии преступника, «оставившего ДНК» на месте
преступления. Автор предлагает использовать такой подход в качестве
дополнительных (хотя и не веских самих по себе) улик и сужения круга подозреваемых.
Для того чтобы предлагать такой метод, автор исследует корреляцию гаплотипов в
парах однофамильцев в Англии и показывает, что эта корреляция наличествует,
хотя и не очень высока. Он показывает на конкретных данных, что лица с редкими
фамилиями чаще оказываются родственниками по отцовской линии, чем лица с
частыми фамилиями.
Иногда мотивом для исследования однофамильцев
является «проверка мифа» - попытка найти следы древнего героического предка у
потомков фамилий, по легендам происходящих из его колена. Такова, например,
работа Moore с соавторами (Moore et al., 2006), в которой исследуются ирландцы
- народ, видимо, начавший использовать фамилии раньше других современных
европейских народов. Хотя работа в целом носит популяционный характер (сперва исследуются
случайные выборки из разных частей Ирландии), в ней исследуются представители
фамилий, по легендам происходящих от династии Ui Neill (буквально потомки
Найала). Оказалось, что 52.5% изученной выборки принадлежат одному гаплотипу,
который произошёл около 1730 (±670) лет назад. Неизвестно, как звали человека,
основавшего эту линию, но он имеет непосредственное отношение к происхождению
потомков Найала. Потомки этого колена, видимо, обладали социально определяемой
повышенной приспособленностью (способностью оставлять большее количество
потомков), а именно - родовитостью (которая определяется фамилией), и их
прирост в каждом поколении с 500 года н.э. составил -21% за поколение.
К этому же разделу «пофамильных исследований»
относятся и другие работы - например, McEvoy и Bradley (2006). Авторы исследуют
различия разнообразия гаплотипов у однофамильцев в зависимости от того, как
часто фамилии «мутировали» - возникали новые фамилии из старых. В Ирландии
одной из причин параллельного возникновения фамилий была англицизация ирландски
фамилий. Подводя итог этого направления исследований, можно сказать, что они
показали, каков приток «в фамилию» генов из других фамилий и какова
непосредственная связь между фамилией и гаплотипом Y хромосомы.
«Пофамильное» направление представляет большой
интерес и для частных лиц, интересующихся своей родословной 4].
Относительно недавно стартовал проект
"ОДНОФАМИЛЬЦЫ ИЛИ РОДСТВЕННИКИ? КОМПЛЕКСНОЕ ИССЛЕДОВАНИЕ РАЗНООБРАЗИЯ Y
ХРОМОСОМЫ И ФАМИЛИЙ В РУССКОМ ГЕНОФОНДЕ» (под. рук. Балановской Е.В.) [28]. В
этом проекте изучается связь фамилии и генетики: являются ли однофамильцы
родственниками? Какова история возникновения русских фамилий? Как связаны фонд
фамилий и генофонд? Проект финансирует Российский гуманитарный научный фонд. Целью
проекта "Однофамильцы или родственники?" является выяснить с помощью
генетики, как возникали и распространялись русские фамилии. Для этого
необходимо изучить Y хромосому у нескольких носителей одной и той же фамилии. Y
хромосома наследуется по мужской линии - от отца к сыну, как и фамилия.
Поэтому, если Y хромосомы у кого-то из однофамильцев окажутся одинаковыми, это
будет означать, что они являются родственниками, и как Y хромосома, так и
фамилия, получены ими от одного их общего предка. Те участники, Y хромосомы
которых отличаются друг от друга, родственниками не являются, и их предки
просто взяли себе когда-то одинаковые фамилии. Понятно, что далеко не все
фамилии восходят к одному родоначальнику. Но получить информацию об их
возникновении - и есть задача проекта [28].
1.4 Становление
украинских фамилий
Как отмечается в работе О.П. Балановского и др.
[5] в антропонимике (науке об именах и фамилиях) известны определенные
закономерности становления фамилий: их возникновение в определенных социальных
слоях, более раннее появление фамилий на экономически развитых территориях и
т.д., причем процесс “офамиливания” требует времени.
В специальной литературе термин “фамилия”
определяется как принятое сразу после рождения по наследству от отца или матери
официально закрепившееся за конкретным родом без изменений наследственное
название лица, которое при регистрации брака переходит от мужа к жене или
наоборот, и в официальной практике называния в обязательном порядке прилагается
к собственному имени и отчеству.
В русский язык слово “фамилия” вошло из
латинского языка без каких-либо существенных изменений и, по мнению М.Фасмера,
было заимствовано через польский язык.
Фамилии формируются в языке отдельного народа в
определенный период, среди разных социальных сословий, по различным причинам.
Происхождение каждой фамилии индивидуально и неповторимо. Однако есть в этой
индивидуальности и общее, присущее всем народам. Слова, которые использовались
в качестве фамилий, возникли в языке задолго до того, как были закреплены за
людьми. Уже в ХIV-ХV веках наследственную фамилию имела каждая зажиточная
семья. Основная же масса населения на протяжении долгого времени оставалась без
фамилий. Начало их закреплению положило духовенство, в частности киевский
митрополит Петро Могила, который в 1632 году поручил священникам вести метрики
рожденных, замужних, умерших.
В Европе наименования типа современных фамилий
пришли на смену семейным названиям римлян еще в ХІІ веке. Первым документом,
который регулировал фамилии в России, следует считать „Новый гражданский
кодекс” 1826 года. На территории западноукраинских областей, входивших в состав
Австрии, фамилии юридически были закреплены лишь декретом императора Иосифа II
от 1 ноября 1870 года, который обязывал каждого иметь фамилию.
Фамилии появились в те времена, когда люди
селились большими группами, занимались разными ремеслами, получали титулы,
звания и чины, торговали, странствовали; когда уже необходимо было знать не
только, кто это - сын или дочь, а и какой работой занимается человек, из какого
он рода, какое у него имущество, из какой он местности и т.п. Первоначально
наследственные семейные названия бытовали в среде высших слоев феодального
общества - князей, магнатов, собственников земельных владений. Только
представители общественной верхушки были носителями первых фамилий. Это
объясняется тем, что покупка и продажа имущества, деревень, другой
собственности, передача ее по наследству детям, родственникам, другие
юридические действия требовали соответствующего документального оформления.
Одного имени для этого было мало, так как могла возникнуть путаница, да и
потомкам было выгодно, чтобы фамилия подтверждала, что именно они есть
законными наследниками. Таким образом и возникли родовые наследственные
фамилии, которые закрепились за всеми общественными сословиями лишь на рубеже
ХVIII-ХIХ столетий.
В роли фамилий часто использовались наименования
на -ич, -ович, -евич, генетически восходящие к отчествам, например: Антон -
Антонич, Давыд - Давыдович, Лукаш - Лукашевич, Якуб - Якубович, Поп - Попович и
др. Ясно, что человек, носивший, например, фамилию Макаревич, был потомком
Макара, а Попович - сыном попа.
В разряд фамилий перешли также названия, которые
принадлежали к народным разговорным формам именования сыновей по отцу, в
частности два наиболее распространенных типа украинских фамилий с суффиксами
-енко и -ук (-юк), -чук. Например: Иваненко - маленький Иван, сын Ивана;
Ковальчук - сын кузнеца и ученик кузнеца.
От фамилий следует отличать прозвища (уличные
клички), которые живут и ныне в деревнях и селах. В отличие от фамилий, они не
оформлены никакими официальными документами. Большое количество настоящих
фамилий возникли именно из бывших прозвищ. Они есть своеобразной энциклопедией
народного быта, традиций, духовной культуры. В них ярко отразился национальный
характер украинца, его склонность к шутке, умение острить. Так появились
фамилии типа Безбородько, Бородай, Довгань, Горбаль, Шумило, Кривобок,
Длинношея, Щербань, Цикало, Нечистяк и многие другие.
Что касается происхождения славянских фамилий,
то они образовывались в первую очередь от имен и названий, указывающих на место
проживания и происхождения носителя, на ремесло, промысел, профессию, а также
на какие-то индивидуальные (физические или психологические) свойства человека.
Собственные имена - это древнейшие образования,
которые выделяли людей из себе подобных. Они охватывали и отражали
разнообразнейшие сферы тогдашней общественной жизни׃
социальную иерархию, основные промыслы и ремесла, психологические особенности и
моральные добродетели человека, индивидуальные черты его внешности, характера и
поведения, даже время и очередность появления того или другого ребенка в семье.
Поэтому такие имена очень напоминают прозвища (Жук, Лобан, Мороз, Середа,
Первак и др.). В период создания фамилий личными именами выступали как
церковно-христианские имена, которые вошли в быт восточных славян в связи с
внедрением христианства (например, греческого происхождения: Васильчук, Галина,
Демидович; латинского: Антонов, Герман, Максимчук; древнееврейского: Гаврилов,
Данилко, Захарченко, Иваненко; славянского: Богдан, Бориов, Ванда), так и
славянские имена, унаследованные еще с общеславянского периода (Бажа́н,
Ко́хан,
Людоми́р,
Миролю́бов,
На́йда).
Часть фамилий восходит к названиям различных
этнических групп, расселенных на определенных территориях (Болга́ров,
Гуцу́л,
Грузи́н,
Латышо́ва,
Молдава́нец,
Поляко́в,
Сябре́нко,
Чех и другие). Причиной возникновения таких фамилий была, очевидно, миграция
людей с одной этнической территории на другую. Но не всегда носитель такого
прозвища принадлежал к неукраинскому этносу. Достаточно было кому-нибудь
пуститься на некоторое время в странствование в другие края, чтобы по
возвращении получить от земляков соответствующее прозвище.
Фамилии, которые произошли от названий ремесел,
промыслов и профессий, дают богатый материал для исследования
государственно-административного устройства и экономической жизни страны
(промышленности, ремесел, торговли, сельского хозяйства и т.п.). Такие прозвища
легко передавались потомкам и становились фамилиями, так как и сама профессия
часто переходила из поколения в поколение. Это и названия воинских профессий и
занятий (Гуса́ров, Капра́лов,
Матросо́в,
Сотниче́нко,
Солда́тов),
и административных должностей (Директоре́нко,
Депута́т,
Коменда́нт,
Сена́торов,
Уря́дников),
и церковных должностей (Дъя́конов,
Паламарчу́к, Попо́вич);
и лиц, связанных с уходом за домашними животными (Козя́р,
Пса́рев,
Пастухо́ва,
Свинаре́нко),
с возделыванием волокна, ткачеством, шитьем одежды и обуви (Кравец, Кравчу́к,
Кожуха́рь,
Сапо́жник,
Шевченко); с оброботкой металлов, разных веществ и материалов (Стекольщиќов,
Шкляр, Гончар́енко, Дегтярев,
Золотаре́нко,
Ко́валь,
Кузнецо́в,
Котля́р),
дерева и изготовлением изделий из него (Бру́сник,
Бочка́рь,
Ка́дочников,
Пло́тников,
Сто́ляр),
с работой в сельском хозяйстве или переработкой продуктов сельского хозяйства
(Бортничу́к, Ко́сарева,
Олейник, Ора́ч, Пче́льников,
Па́холь),
с изготовлением продуктов питания и их про́дажей
(Бра́жник,
Вина́рский,
Мя́сников,
По́вар),
с охотой, рыболовством и лесным хозяйством (Лесни́к,
Охо́тник,
Рыбако́в),
с культурой и искусством (Кобзаре́нко,
Музыче́нко,
Скри́пник,
Труба́ч)
и другие.
Кроме того, значительная часть наших фамилий
восходит к древним славянским именам, которые появлялись на основе
суеверно-мистических представлений предков. В основах таких фамилий могут
отражаться различные названия предметов, понятий, животных, растений, которые
давались рожденному уже с переносным значением.
Таким образом, каждая фамилия имеет свою историю
и этимологию, свой смысловой корень, от которого она происходит. Но не следует
забывать, что фамилии давно утратили свою внутреннюю форму, так как они
передавались по наследству многим поколениям, отражая прозвище далекого предка.
Природа фамилий такова, что одни из них
происходили от общеизвестных слов, например, Ворона, Соколов, Петренко,
Беленький, а происхождение других может быть известно не многим. Среди
последних встречаются как фамилии славянского происхождения, так и
заимствованные из других языков. Большая часть иноязычных фамилий появилась в
результате миграционных процессов [15].
Для проведения популяционно-генетического
анализа населения, когда фамилия используется как аналог генов, знания о
смысловом содержании фамилий и её происхождении не нужны. Такой статистический
подход позволяет рассчитывать все показатели, которые можно рассчитать по
генам. Однако, чтобы обрисовать “фамильный портрет” генофонда, знания о
содержательной стороне и семантика фамилий необходимы. Применив такой подход в
генетике, который назван Балановской Е.В. и др., семантический и не имеет
аналогий в анализе генов показано, что различные регионы различаются по
способам образования фамилий, и каждый регион имеет свой “фамильный профиль”[4,
22, 26].
1.5 Лингвистическая
характеристика и этнические маркёры украинских фамилий
Распространение русских фамилий на территории
Украины объясняется историческими условиями, в которых она пребывала. Во
времена крепостного права русские крестьяне массово убегали от помещиков на
украинские земли, что способствовало проникновению фамилий россиян, особенно во
времена казачества. Известно, что более 300 лет русский язык доминировал над
украинским во всех сферах жизни. Уже со второй половины XVII века активно
происходил процесс руссификации, что отразилось и на формировании фамилий,
вследствие чего не только распространялись русские фамилии, но и подлежали
руссификации фамилии других народов, прежде всего украинского. Например:
Вопросов, Заяц, Никитин, Фомичов, Праздников, Хабаров, Пивнев, Волошкин, Пивнев.
Большинство фамилий на -ив, типа Сенив, Иванив, уступили место фамилиям на -ов,
-ев. Именно эти суффиксы в XVIII ст. образовывали около 2/3 всех русских
фамилий (Орехов, Петров, Тюленев и др.).
Среди фамилий украинцев встречается немало
фамилий тюркского происхождения, такие, как Абдулаєв, Баша, Бахметов, Джабиль,
Каракай, Мурга, Чаус. Отдельные фамилии - это взятые в готовом виде тюркские
слова, например, Шеремет - “человек львиной храбрости”. Характерно, что
тюркизмы стали употребляться в качестве фамилий на украинской территории в
основном с XIV-XVII ст. Это происходило в результате давних исторических
контактов тюркских народов с украинским, а отсюда - наследование тюркских
фамилий не только через брачные отношения, но и путем проникновения тюркской
лексики в поток украинской речи. Фамилии с тюркским корнем часто наделялись
русскими суффиксами, например: Акберов, Алиджанов, Ахмедшин, Бакарев,
Магомедов, Мустафин. Это явление объясняется взаимоотношениями российского
народа с тюркскими на протяжении долгого времени, начиная с Х века. Поздние
тюркские фамилии происходили от традиционных арабо-мусульманских имен (Мустафин
- Мустафа - “изысканный”; Рахман - Рахманов - “милосердный” и др.)
Источником разнообразных фамилий было и
многочисленное еврейское население западной части тогдашней Российской империи
- Польши, Белоруссии и Украины. Основная масса евреев, проживающих в XVIII веке
в городах Украины, занималась ремеслом, реже - торговлей и арендой.
Главенствующее положение в еврейских кагалах занимали богачи, которые держали
рядовых членов общин в изоляции и нетерпимости по отношению к людям другой
веры. Позже основное еврейское население стало массово переходить в
православную веру, но часть осталась иудеями. Это отразилось и на процессе
формирования фамилий евреев. Принятые в XVII-XIX ст. еврейские фамилии могли
содержать различные языковые элементы׃
древнееврейские, немецкие, идиш, из романских и славянских языков. Часто
затруднительно провести границу между элементами идиш и немецкими, так как
первые возникли на основе немецких диалектов, преимущественно рейнских, с
добавлением отдельных частей из других диалектов.
Новорожденным евреям давались в основном
библейские древнееврейские имена, которые часто (особенно женские) переводились
на идиш. В своем большинстве эти имена были приняты греческой православной
церковью, что способствовало распространению их у славян, которым эти имена
давались при крещении, например: Даниил - Данилкин, Иван - Иванов, Михаил -
Михайленко и др.). Но значительная часть библейских имен не вошла в
христианскую традицию׃
Арончик, Блюм, Дан, Зелик, Ребекка, Шлама и др. Одной из особенностей еврейских
фамилий есть то, что они часто образовывались от имен матери. Это явление
объясняется той важной ролью, которая по еврейским законам отводилась матери.
Например: Сарычев < Sara׃
Сара; Хавкунов < Hawa׃
Єва; Рохман < Rahel׃
Рахиль. Некоторые еврейские фамилии восходят к названиям профессий, связаных с
религиозными понятиями, например: Каган, Каганюк, Коганов < kohen -
“священник”.
Фамилии польского происхождения также
встречаються среди украинского населения. Например: Будзинский, Заремба,
Ржемовский, Поляквинский, Марценюк, Седлер и др. Как известно, много польских
помещиков проживало на территории Украины, где и украинизировались их фамилии,
при этом украинские фамилии тоже подвергались полонизации, ведь приобщение к
польской культуре в период польского господства в Украине считалось весьма
престижным. Происходил постоянный взаемообмен фамилиями между польскими и
украинскими этническими группами, что привело к тому, что теперь нелегко
отличать польские и украинские фамилии, особенно на -ский и -ович.
Первоначально фамилии на -ский принадлежали дворянам и образовывались от
названий их владений. Такое происхождение придавало подобным фамилиям оттенок
социального престижа. Фамилии на -ович/-евич первоначально указывали на знатное
происхождение: Драцевич, Карлович, Мцевич и др.
На территории Украины проживает немалая часть
населения с армянскими фамилиями. Это объясняется давними культурными
традициями армянского народа, который уже в IV ст. принял христианство, а также
социальной активностью армян, что часто занимали важные места в
культурно-экономической жизни нашей страны. От своих предков армянский народ
унаследовал существенные персидские и турецкие элементы. Почти все армянские
фамилии оканчиваются -ан (-ян), реже - на -анц/-янц (Аракелян, Мискарян,
Салкуцан, Кайтанджан, Мкртчан) и образовывались от известных христианских имен,
например: Габрилян, Георгиян, Макарян, Микитчан, Петросян, Сарисян). Отдельные
фамилии произошли от армянских имен, которые также могли даваться при крещении
(Ваган, Нерсиян, Хачатрян), и от армянских прозвищ (Айрапетян, Айропетян -
“покровитель, начальник”; Нагапетян - “патриарх, старейшина”).
Появление грузинских фамилий среди украинских
можна объяснить тем фактом, что в 40-х годах ХVIII века на юге бывшей России
были основаны грузинские поселения, выходцы из которых распространились и в
Украине. Хотя в грузинском языке и нет ударения, грузинские фамилии в Украине
имеют ударение, которое фиксируется в основном на предпоследнем слоге. Они
отличаются среди фамилий других народов своими конечными элементами -дзе и
-швили (Кутателадзе, Парлагашвили, Таврткиладзе, Цкипурашвили, Катенадзе,
Кобесашвили, Цуладзе и др.)., которые раньше имели свои значения׃ -дзе - “сын”; -швили - “рожденный”. Характерно, что -дзе
встречается в давних фамилиях, а -швили - более современного происхождения.
Распространению фамилий немецкого происхождения,
типа Бих, Визер, Гольцман, Фольц, Шульц и др., способствовали миграционные
процессы в XVIII-XIX ст. Еще в XIII-XIV веках интенсивно развивались
политические и торговые отношения украинцев с немецкими землями, а со второй
половины XIV ст. началась немецкая колонизация Галичины и Буковины. Вероятно,
тесные языковые контакты, которыми сопровождались эти процессы, активно
способствовали проникновению немецких фамилий в Украину [15].
При создании атласа «Влияние миграций окружающих
народов на русский генофонд по данным о фамилиях» [28], по «этническим
маркерам» фамилий были отобраны группы «этнических» фамилий. По суммарной
частоте «этнических» фамилий в разных русских популяциях были оценены
интенсивность и география влияние других народов (белорусов, украинцев, татар)
на русский генофонд 28].
На приведенном ниже рисунке (рис. 1) указаны
признаки («этномаркеры»), по которым были отфильтрованы украинские фамилии:
11670 фамилий. В них входят и «обрусевшие» украинские фамилии, которые к
украинским финалям добавили еще и русские окончания: в русском ареале ЧЕРНЕНКО
и КОВАЛЕНКО довольно быстро становятся ЧЕРНЕНКОВЫМИ и КОВАЛЕНКОВЫМИ, однако
фамилии хранят память о своем украинском происхождении [28].
|
Этномаркёры
фамилий
|
|
белорусские
|
русские
|
украинские
|
обще-славянские
|
татарские
|
|
-ич
-ич- -чык -чык- -ук -юк -еня -ец -енка -анка -ук- -юк- -еня- -ец- -енка-
-анка-
|
-ов
-ев -ин -ова -ева -ина -ово -аго -ых -их
|
-енкр
-енко- -онок -енок -онок- -енок- -онк- -енк- -чик -чук -чик- -чук- -щик -щук
-щик- -щук- -а -о
|
-ский
-цкий -ской -цкой -ски -ска -цки -цка -цкая -ская -ик
|
-баев
-беков -галеев -галиев -галимов -гулов -динов -льдеев -уллаев -уллин -улин
-уллов -улов али- аба- абду- абез- абра- аслан- аха- ахмед- ахмет- бай-
габдул- габра исмагул- карага- кура- кург- курз-
|
-рагимов
-рахимов -рахманов -рзянов -рунтаев -салимов -сарыгин -селимов -сламов
-солимов -сулимов -суров -тзанов -тзянов -тдинов -убеков -уллаев -уллин -улин
-уллов -улов -хаев -халиков -хаметов -ханов -хометов -худинов -шдхманов
|
Табл. 1. Этномаркеры, указывающие на
происхождение славянских фамилий (в т.ч. украинских).
ГЛАВА 2. Материалы и
методы
. Исследуемые населённые пункты.
Проанализировано распределение фамилий в трёх
регионах Украины, которые условно называются Западным, Восточным, Центральным,
данные представлены ниже в таблице 2.
Табл. 2. Исследуемые населённые пункты.
|
№
|
Область
|
Район
|
Населённый
пункт
|
Население,
чел.
|
Количество
фамилий
|
|
1.
|
Харьковская
|
Змиевской
|
с.
Лиман
|
5078
|
1116
|
|
2.
|
Харьковская
|
Изюм
|
с.
Пасека,
|
48
|
24
|
|
3.
|
Харьковская
|
Богодуховский
|
с.
Мерло,
|
593
|
154
|
|
4.
|
Житомирская
|
Володарск-Волынский
|
пос.
Володарск-Волынский
|
9434
|
1437
|
|
5.
|
Закарпатская
|
Ужгородский
|
с.
Среднее
|
4157
|
859
|
|
6.
|
Сумская
|
Недригайловский
|
пгт.
Недригайлов
|
6482
|
1108
|
|
7.
|
Запорожская
|
Бердянский
|
с.
Осипенко
|
4776
|
1217
|
Исходная информация - «тотальные» списки
населения сёл по результатам переписи населения 1996 года. Проанализированы
данные о фамилиях 2510 человек.
. Базы данных, программное обеспечение.
Хранение и преобразование информации обеспечено
программой «Cronos» (рис. 1), которая содержит базы данных с информацией о
переписи населения Украины 1996-ого года (52884414 записей о жителях 24
областей Украины и АРК).
Рис. 1. Окно простого запроса программы
«Cronos».
Подготовка списка фамилий по каждому населённому
пункту осуществлялась с помощью программы Microsoft Office Excel 2007 (рис. 2).
При этом женские формы фамилий менялись на мужские, исправлялись некоторые
грамматические ошибки, объединялись фамилии с одинаковым происхождением.
Рис. 2. Обработка данных в программе Microsoft
Office Excel 2007.
. Расчёт коэффициента случайного инбридинга.
Произведён расчёт случайного
инбридинга для каждого населённого пункта по частотам фамилий его населения.
Для этого использовались два показателя: 1) коэффициента изонимии 
(ожидаемая частота однофамильных
браков); 2) 
статистики Райта (хотя обычно
используется для расчета инбридинга по генным маркерам, здесь этот показатель
применен к данным о фамилиях). Случайная составляющая fr коэффициента изонимии,
предложенного Crow и Mange, оценивает ожидаемую частоту однофамильных браков в
предположении полной панмиксии (элементарная популяция без ассортативности
браков). При этом все составляющие коэффициента изонимии связаны:

,
где 
- тотальный инбридинг, определяемый
соотношением случайного и неслучайного инбридинга; fn - неслучайный инбридинг,
связанный с положительной или же отрицательной брачной ассортативностью
(соответствует F[S); fr - случайный инбридинг, связанный с подразделенностью
тотальной популяции, оценивает вклад j-той субпопуляции в дифференциацию
тотального генофонда [3].
Для любой популяции (j) можно
оценить величину случайного инбридинга по частотам фамилий следующим образом:

= I/4,
где I - ожидаемая частота изонимных
(однофамильных) браков в j-той популяции, т.е.
где 
- частота i-той фамилии в j-той
субпопуляции, а коэффициент 1/4 учитывает передачу фамилий лишь по мужской
линии [3].
. Расчёт частоты аллелей белковых
локусов 
, 
, 
R, r.
Закон Харди-Вайнберга гласит, что процесс
наследственной преемственности сам по себе не ведет к изменению частот аллелей
и (при случайном скрещивании) частот генотипов по определенному локусу. Более
того, при случайном скрещивании равновесные частоты генотипов по данному локусу
достигаются за одно поколение, если исходные частоты аллелей одинаковы у обоих полов.
Равновесные частоты генотипов задаются произведениями частот соответствующих
аллелей. Если имеются только два аллеля, А и а, с частотами р и q, то частоты
трех возможных генотипов выражаются уравнением:
(p+q)2 = p2 + 2рq + q2
А а АА Аа аа,
где буквам во второй строке, обозначающим аллели
и генотипы, соответствуют расположенные над ними частоты в первой строке.
Если имеются три аллеля, скажем А1, А2 и А3, с
частотами р, q и r, то частоты генотипов определяются следующим образом:
(p + q + r)2 = р2 + q2 + r2 + 2pq+ 2рr + 2qr
А1 А2 А3 А1А1 А2А2 А3А3 А1А2 А1А3 А2А3
Аналогичный прием возведения в квадрат
многочлена может быть использован для определения равновесных частот генотипов
при любом числе аллелей. Заметим, что сумма всех частот аллелей, так же как и
сумма всех частот генотипов, всегда должна быть равна 1. Если имеются только
два аллеля с частотами р и q, то р + q = 1, и, следовательно, р2 + 2рq + q2 =
(р + q)2 = 1; если же имеется три аллеля с частотами р, q и r, то р + q + r =
1, и, следовательно, также (р + q + r)2 =1 и т.д. [1].
. Расчёт генетических расстояний.
Для расчёта генетических расстояний
между популяциями с использованием фамилий и сравнения их с генетическими
расстояниями, рассчитанными по данным о частотах аллелей локусов 
, 
, 
R, r, использовались данные из
курсовой за 2010 год («Генотипическое и фенотипическое разнообразие населения
Украины по группам крови») (табл. 4). Генетические расстояния определялись по
[Nei, 1975]. Генетическое расстояние между двумя популяциями (i и j)
рассчитывалось по формуле:
где pai - частота аллеля a в популяции i, l -
общее число аллелей в локусах, по которым идет сравнение [2].
Расчет генетических расстояний проводился в
программе GDist (ЛПГЧ МГНЦ РАМН).
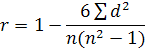
Для определения корреляции между расстояниями по
белковым локусам и фамилиям использовалась коэффициент ранговой корреляции
Спирмена - это непараметрический метод, который используется с целью
статистического изучения связи между явлениями. В этом случае определяется фактическая
степень параллелизма между двумя количественными рядами изучаемых признаков и
дается оценка тесноты установленной связи с помощью количественно выраженного
коэффициента.
Практический расчет коэффициента ранговой
корреляции Спирмена включает следующие этапы:
) Сопоставать каждому из признаков их порядковый
номер (ранг) по возрастанию (или убыванию).
) Определить разности рангов каждой пары
сопоставляемых значений.
) Возвести в квадрат каждую разность и
суммировать полученные результаты.
) Вычислить коэффициент корреляции рангов по
формуле:.
где - 
сумма квадратов разностей рангов, а
n - число парных наблюдений [2].
С помощью данных по этномаркёрам украинских
фамилий (табл. 1) [28] проведён лингвистический анализ суффиксов и окончаний
украинских фамилий, определено их возможное этническое происхождение,
составлены таблицы с перечнем самых частых фамилий исследуемых населённых
пунктов, с указанием их частоты встречаемости в популяции и возможного
происхождения (табл. 10 - 14).
ГЛАВА 3. Результаты и
обсуждения
Доказательство возможности использования фамилий
как квазигенетических маркёров на примере определения коэффициента случайного
инбридинга в населённых пунктах Харьковской области разного размера.
По результатам определения коэффициента
случайного инбридинга в населённых пунктах Харьковской области (как пример)
разного размера получены следующие результаты:
Табл. 3. Коэффициент случайного инбридинга
в населённых пунктах разного размера, 
- коэффициент случайного
инбридинга.
|
№
|
Населённый
пункт
|
Население,
чел.
|
Количество
фамилий
|

|
|
1.
|
с.
Пасека, Изюмский район
|
48
|
24
|
0,015190972
|
|
2.
|
с.
Мерло, Богодуховский район
|
593
|
154
|
0,006127559
|
|
3.
|
с.
Лиман, Змеевской район
|
5078
|
1116
|
0,00077885
|
Как видно из таблицы 3, коэффициент инбридинга
обратно пропорционален количеству населения каждого из населённых пунктов. Это
согласуется с фактом, что в небольших населённых пунктах большая вероятность
родственных браков, чем в населённых пунктах с большим количеством населения.
Таким образом, использование фамилий дает адекватные оценки частоты
близкородственных браков в популяции и могут быть использованы для описания
такой популяционно-генетической характеристики, как степень инбридинга.
Расчёт генетических расстояний.
Генетические расстояния между популяциями по
биохимическим маркерам.
В ходе работы были исследованы частоты групп
крови по системам АВ0 и Rh 4 популяций разных областей Украины (табл. 4).
Расчет частоты аллелей по 2 локусам - АВ0 и Rh представлен в таблице 5.
Табл. 4. Фенотипическая структура популяций по
группам крови по системе AB0 и Rh разных областей Украины, %
|
Регион
|
Частоты
фенотипов, %
|
|
I(0)
|
II(А)
|
III(В)
|
IV(АВ)
|
Rh
+
|
Rh
-
|
|
Житомирская
область, г. Володарск-Волынский
|
31±7,21
|
42±7,68
|
17±5,83
|
10±4,69
|
88±5.09
|
12±5.09
|
|
Закарпатская
область, с. Среднее
|
30±9,56
|
43±10,34
|
17±7,83
|
10±6,26
|
83±7.83
|
17±7.83
|
|
Запорожская
область, с. Осипенко
|
28±6,16
|
45±6,83
|
17±5,16
|
10±4,12
|
81±5.39
|
19±5.39
|
|
Сумская
область, пгт. Недригайлов
|
30±5,19
|
40±5,55
|
24±4,83
|
6±2,69
|
85±4.04
|
15±4.04
|
Табл. 5. Частоты аллелей локусов 
, 
, 
R, r в популяциях исследуемых
районов.
|
Область
|
Y*IА
|
Y*IВ
|
Y*i0
|
Y*R
|
Y*r
|
|
Житомирская
область, пос. Володарск-Волынский
|
0,3
|
0,15
|
0,55
|
0,655
|
0,345
|
|
Закарпатская
область, с. Среднее
|
0,32
|
0,13
|
0,55
|
0,832
|
0,168
|
|
Запорожская
область, с. Осипенко
|
0,22
|
0,12
|
0,66
|
0,655
|
0,345
|
|
Сумская
область, пгт. Недригайлов
|
0,27
|
0,13
|
0,58
|
0,61
|
0,39
|
Были вычислены генетические
расстояния между исследуемыми областями по белковым локусам 
, 
, 
R, r (табл. 6).
Табл. 6. Генетические расстояния
между исследуемыми областями по белковым локусам 
, 
, 
, R, r.
|
Область
|
Житомирская
область, г. Володарск-Волынский
|
Закарпатская
область, с. Середне
|
Запорожская
область, с. Осипенко
|
Сумская
область, г. Недригайлов
|
|
Житомирская
область, пос. Володарск-Волынский
|
0
|
0,02697
|
0,008839
|
0,00325
|
|
Закарпатская
область, с. Среднее
|
0,02697
|
0
|
0,038584
|
0,045734
|
|
Запорожская
область, с. Осипенко
|
0,008839
|
0,038584
|
0
|
0,005399
|
|
Сумская
область, пгт. Недригайлов
|
0,00325
|
0,045734
|
0,005399
|
0
|
Квазигенетические расстояния по частотам фамилий
В общем списке фамилий исследуемых населённых
пунктов были выделены фамилии, которые встречаются, как минимум, в двух пунктах
(табл. 7) чтобы рассчитать квазигенетическое расстояние между исследуемыми
населёнными пунктами попарно (табл.8).
Табл. 7. Пример части таблицы в программе
Microsoft Office Excel 2007, где приведены частоты фамилий в каждом из
населённых пунктов.
|
Области
|
Y*АКИМОВ
|
Y*АЛЕКСЕЕВ
|
Y*АЛЕКСЕЕНКО
|
Y*АНДРЕЕВ
|
Y*АНДРИЙЧУК
|
|
Житомирская
область, пос. Володарск-Волынский
|
0
|
0
|
0,000317999
|
0,000106
|
0,001483994
|
|
Закарпатская
область, с. Среднее
|
0
|
0
|
0
|
0,000481116
|
|
Запорожская
область, с. Осипенко
|
0,000628141
|
0,00020938
|
0,00041876
|
0
|
0,00041876
|
|
Сумская
область, пгт. Недригайлов
|
0,000154273
|
0,00138846
|
0
|
0,000154273
|
0
|
Табл. 8. Квазигенетические расстояния между
исследуемыми населёнными пунктами.
|
Области
|
Житомирская
область, г. Володарск-Волынский
|
Закарпатская
область, с. Середне
|
Запорожская
область, с. Осипенко
|
Сумская
область, г. Недригайлов
|
|
Житомирская
область, пос. Володарск-Волынский
|
0,00
|
2,37
|
2,04
|
1,63
|
|
Закарпатская
область, с. Среднее
|
2,37
|
0,00
|
2,87
|
2,55
|
|
Запорожская
область, с. Осипенко
|
2,04
|
2,87
|
0,00
|
1,36
|
|
Сумская
область, пгт. Недригайлов
|
1,63
|
2,55
|
1,36
|
0,00
|
Корреляция между генетическими и
квазигенетическими расстояниями между популяциями.
Сопоставили генетические и квазигенетические
расстояния для пар популяций (табл. 9).
Табл. 9. Генетические и квазигенетические
расстояния между исследуемыми населёнными пунктами.
|
№
|
Области
|
Группы
крови
|
Фамилии
|
|
1.
|
Житомирская
|
Сумская
|
0,00325
|
1,63
|
|
2.
|
Житомирская
|
Запорожская
|
0,008839
|
2,04
|
|
3.
|
Житомирская
|
Закарпатская
|
0,02697
|
2,37
|
|
4.
|
Сумская
|
Запорожская
|
0,005399
|
1,36
|
|
5.
|
Сумская
|
Закарпатская
|
0,045734
|
2,55
|
|
6.
|
Запорожская
|
Закарпатская
|
0,038584
|
2,87
|
Коэффициент корреляции Спирмена между
генетическими и квазигенетическими расстояниями составил r = 0,88 (р <
0,05), что свидетельствует о сильной корреляции этих показателей. То есть,
фамилии могут использоваться для расчетов межпопуляционных генетических
расстояний наряду с биохимическими маркерами.
Анализ самых распространённых фамилий в
населённых пунктах некоторых пограничных областей, и оценка возможных миграций
с использованием этномаркёров.
Используя данные по исследованным населённым
пунктам, полученные с помощью программы Microsoft Office Excel 2007, и таблицу
с этномаркёрами (табл. 1) сделаны таблицы (табл. 10 - 14) с самыми частыми
фамилиями исследуемых населённых пунктов, частоты этих фамилий и возможное их
происхождение, по результатам составлены диаграммы, отмеченные на карте Украины
(рис. 3).
Табл. 10. Происхождение фамилий,
распространённых в с. Лиман.
|
н/п
|
Население,
чел.
|
Количество
фамилий
|
Фамилии
|
Их
частота, %
|
Возможное
происхождение
|
|
с.
Лиман, Змеевской район, Харьковская область
|
5078
|
1116
|
КОСТЕНКО
|
1,45
|
украинское
|
|
|
|
КУЩ
|
1,18
|
украинское
|
|
|
|
СОЛОНИН
|
1,12
|
российское
|
|
|
|
ЮНОШЕВ
|
1,10
|
российское
|
|
|
|
КРАВЧЕНКО
|
0,96
|
украинское
|
|
|
|
ОЛЕЙНИК
|
0,93
|
общеславянское
|
|
|
|
ГОРОБЕЦ
|
0,85
|
украинское
|
|
|
|
РИЗВАН
|
0,85
|
татарское
|
|
|
|
КОВАЛЕНКО
|
0,81
|
украинское
|
|
|
|
СРИБНЫЙ
|
0,79
|
украинское
|
|
|
|
ЗУБЕНКО
|
0,75
|
украинское
|
|
|
|
ХРИСТОСОВ
|
0,75
|
российское
|
|
|
|
ШРАМКО
|
0,75
|
украинское
|
В данном населённом пункте преобладают фамилии
украинского происхождения (табл. 10), что согласуется с историей заселения
Слобожанщины, которая в 17-18 вв. активно заселялась переселенцами из
Правобережной Украины, то есть этническими украинцами. Присутствие русских
фамилий характерно для данного региона Украины, граничащего с южными районами
России (рис. 3).
Табл. 11. Происхождение фамилий,
распространённых в пос. Володарск-Волынский.
|
н/п
|
Население,
чел.
|
Количество
фамилий
|
Фамилии
|
Их
частота, %
|
Возможное
происхождение
|
|
пос.
Володарск-Волынский, Володарск-Волынский район, Житомирская область
|
9434
|
1437
|
ПАНЧЕНКО
|
2,41
|
украинское
|
|
|
|
КОВАЛЬЧУК
|
1,25
|
белорусское
|
|
|
|
МЕЛЬНИК
|
1,22
|
общеславянское
|
|
|
|
ЯКОВЕНКО
|
1,21
|
украинское
|
|
|
|
ТКАЧУК
|
1,09
|
белорусское
|
|
|
|
ОПАНАСЮК
|
1,07
|
белорусское
|
|
|
|
СИДОРЕНКО
|
1,07
|
украинское
|
|
|
|
ДЕМЬЯНЧУК
|
1,06
|
белорусское
|
|
|
|
ШАПИРЕНКО
|
1,06
|
украинское
|
|
|
|
ФЕДОРЕНКО
|
1,00
|
украинское
|
Преобладают украинские и белорусские фамилии.
Житомирская область находится на севере Украины, и значительную ее часть
занимает Полесье, граничит на севере с Белоруссией (рис. 3). Территориальной
близостью объясняется большое число фамилий с белорусским происхождением (табл.
11).
Табл. 12. Происхождение фамилий,
распространённых в
с. Среднее.
|
н/п
|
Население,
чел.
|
Количество
фамилий
|
Фамилии
|
Их
частота, %
|
Возможное
происхождение
|
|
с.
Среднее, Ужгородский район, Закарпатская область
|
4157
|
859
|
СУРМАЙ
|
2,41
|
австро-венгерское
|
|
|
|
СКАКАНДИЙ
|
1,27
|
австро-венгерское
|
|
|
|
СТЕГУН
|
1,27
|
австро-венгерское
|
|
|
|
САБОВЧИК
|
1,06
|
австро-венгерское
|
|
|
|
БАЛОГ
|
1,03
|
австро-венгерское
|
|
|
|
ВАРОДЫ
|
1,03
|
австро-венгерское
|
|
|
|
БОЙОК
|
1,01
|
австро-венгерское
|
|
|
|
ШТЕФАНЯК
|
1,01
|
австро-венгерское
|
|
|
|
ВЕЙГЕШИ
|
0,82
|
австро-венгерское
|
|
|
|
ОЛАГ
|
0,82
|
австро-венгерское
|
В Закарпатской области наиболее частые фамилии
имеют, предположительно, австро-венгерское происхождение (табл. 12). Данный факт
вполне согласуется с историей региона, который длительное время входил в состав
других европейских государств (рис. 3).
Табл. 13. Происхождение фамилий,
распространённых в пгт. Недригайлов.
|
н/п
|
Население,
чел.
|
Количество
фамилий
|
Фамилии
|
Их
частота, %
|
Возможное
происхождение
|
|
пгт.
Недригайлов, Недригайловский район, Сумская область
|
6482
|
1108
|
ГОРДИЕНКО
|
3,27
|
украинское
|
|
|
|
ТОКАРЕНКО
|
1,88
|
украинское
|
|
|
|
ОЛЕЙНИК
|
1,65
|
общеславянское
|
|
|
|
КОРЕНЕВ
|
1,27
|
российское
|
|
|
|
ЗАХАРЧЕНКО
|
1,08
|
украинское
|
|
|
|
ПИЛИПЕНКО
|
1,05
|
украинское
|
|
|
|
СОКРУТА
|
0,96
|
белорусское
|
|
|
|
СТРОКОЛИС
|
0,94
|
белорусское
|
|
|
|
ЛЫСЕНКО
|
0,91
|
украинское
|
|
|
|
ВЕРЕТИЛЬНИК
|
0,83
|
российское
|
Регион - на стыке Украины, Белоруссии и России
(рис. 3), что отражается в перечне наиболее частых фамилий (табл. 13).
Табл. 14. Происхождение фамилий,
распространённых в с. Осипенко.
|
н/п
|
Население,
чел.
|
Количество
фамилий
|
Фамилии
|
Их
частота, %
|
Возможное
происхождение
|
|
с.
Осипенко, Бердянский район, Запорожская область
|
4776
|
1217
|
СОЛОНСКИЙ
|
4,54
|
общеславянское
|
|
|
|
ЗУБКО
|
1,72
|
украинское
|
|
|
|
ГОЛОВАТЫЙ
|
1,51
|
украинское
(казацкая)
|
|
|
|
БЕЛОВОЛ
|
1,11
|
российское
|
|
|
|
ГАВЯЗ
|
1,01
|
украинское?
|
|
|
|
ПРОЦЕНКО
|
0,98
|
украинское
|
|
|
|
КОЛОМОЕЦ
|
0,94
|
белорусское
|
|
|
|
КАЛЬЧЕНКО
|
0,88
|
украинское
|
|
|
|
ПОГОРЕЛЫЙ
|
0,86
|
украинское
(казацкая)
|
|
|
|
МОСКАЛЕНКО
|
0,80
|
украинское
|
Село Осипенко - основной пункт расположения
азовского казачьего войска (с 18-19 вв.), вполне закономерно преобладание
украинских фамилий и присутствие среди них характерных казачьих фамилий (табл.
14, рис. 3).
Исходя из выше сказанного, фамилии объективно
отражают миграции населения, сопровождающиеся изменениями этнического состава
популяций. В связи с историко-политическими преобразованием территориального
состава Украины (рис. 3).
Рис. 3. Соотношение самых распространённых
фамилий в исследуемых областях по их происхождению.
ВЫВОДЫ
Украинские фамилии оказались эффективными
квазигенетическими маркерами:
. Коэффициенты случайного инбридинга,
рассчитанные на основании фамилий, обратно пропорциональны размерам популяций
исследуемых областей.
. Квазигенетические расстояния между
популяциями, рассчитанные на основании фамилий, сильно и положительно
коррелируют (r=0.88, p<0.05) с генетическими расстояниями, рассчитанными по
данным о биохимических маркерах (локусы АВ0 и Rh).
. Этническая принадлежность наиболее
распространенных фамилий объективно отражает исторические и приграничные
миграции населения.
СПИСОК ИСПОЛЬЗОВАННОЙ ЛИТЕРАТУРЫ
1.
Айала Ф., Кайгер Дж. Современная генетика т.3. - М.: Мир, 1988.
.
Атраментова Л. А., Утевская О. М. Статистические методы в биологии. Горловка,
2008.
.
Балановская, Е.В. Геногеографический анализ подразделенной популяции II.
География случайного инбридинга (по частотам фамилий у адыгов) / Е.В.
Балановская, Э.А. Почешхова, О.П. Балановский, Е.К. Гинтер // Генетика. - 2000.
- т.36, №8. - с. 1126-1139.
.
Балановская, Е.В. Русский генофонд на Русской равнине / Е.В. Балановская, О.П.
Балановский - М.: Луч, 2007. - 416 с.
.
Балановский, О.П. Русский генофонд. Геногеография фамилий / О.П. Балановский,
А.П. Бужилова, Е.В. Балановская // Генетика. - 2001. - т.37, №7. - с. 974-990.
6.
Балановская Е. В., Балановский О.П. Русь фамильная // Химия и жизнь. -2007. -
№7. / Электронный ресурс // <http://elementy.ru/lib/430497>
7.
Балановская, Е.В. “Фамильные портреты” пяти русских регионов / Е.В.
Балановская, Д.С. Соловьева, О.П. Балановский и др. // Мед. генетика. - 2005. -
№1. - с.2-10.
.
Гинтер, Е.К. Груз наследственных болезней у населения Республики Марий Эл /
Е.К. Гинтер, Р.А. Мамедова, И.С. Мошкина и др. // Генетика. - 1999 - т.35, №3.
- с. 385-391.
.
Ельчинова, Г.И. Медико-генетическое изучение населения Костромской области.
Сообщение VI. Параметры изоляции расстоянием в популяциях Буйского и
Шарьинского районов Костромской области / Г.И. Ельчинова, Г.М. Парадеева, А.А.
Ревазов и др. // Генетика. - 1988. - т.24, №7. - с. 1276-1281.
.
Ельчинова, Г.И. Подсчет инбридинга через повторяющиеся пары браков в популяциях
русского Нечерноземья / Г.И. Ельчинова, М.Ю. Кадошникова, Р.А. Мамедова, О.В.
Брусинцова // Генетика. - 1992. - т.28, №2. - с. 157-159.
.
Иванов, В.П. Популяционно-демографическая структура населения Курской области.
Миграционные процессы / В.П. Иванов, М.И. Чурносов, А.И. Кириленко // Генетика.
- 1997. - т. 33, №3. - с. 375-380.
.
Иванов, В.П. Распределение фамилий в сельских районах Курской области / В.П.
Иванов, М.И. Чурносов, А.И. Кириленко // Генетика. - 1998. - т.32, №8. - с.
1114-1119.
.
Иванов, В.П. Распределение фенотипов и генов систем АВО и Rhesus в популяции
Курской области / В.П. Иванов, М.И. Чурносов, А.И. Кириленко // Генетика. -
1998. - т.34, № 12. - с. 1686-1691.
.
Казаченко, Б.Н. Использование фамилий для изучения факторов динамики
популяционной структуры / Б.Н. Казаченко, А.А. Ревазов, Л.В. Тарлычева, В.А.
Лавровский // Генетика. - 1980. - т.16, №11. - с. 2049-2057.
15.
Корниенко И.А. Происхождение фамилий / Электронный ресурс //
<http://www.dag.com.ua>
.
Лепендина, И.Н. Генофонд населения Белгородской области. Изучение биохимических
маркеров генов в популяциях Украины, Белоруссии и положение белгородской
популяции в системе восточнославянского генофонда / И.Н. Лепендина, М.И.
Чурносов, Л.А. Артаментова, и др. // Генетика. - 2008. - т.44, № 4. - с.
548-569.
.
Лепендина, И.Н. Генофонд населения Белгородской области. Распределение
иммуно-биохимических маркеров генов / И.Н. Лепендина, Е.В. Балановская, М.И.
Чурносов // Генетика. - 2008. - т.44, № 4. - с. 543-557.
.
Ревазов, А.А. Пригодность русских фамилий в качестве “квазигенетического”
маркера / А.А. Ревазов, Г.М. Парадеева, Г.И. Русакова // Генетика. - 1986. -
т.22, №4. - с. 699-703.
.
Сорокина И.Н. Изучение структуры генофонда населения центральной России (по
данным антропономики) / Автореф. дисс. … докт. биол. наук. - М.: 2010. - 40 с.
.
Сорокина И.Н. Фамилии как квазигенетические маркёры при
популяционно-генетических исследованиях / И.Н. Сорокина, И.Н. Лепендина, Н.А.
Рудых, А.В. Верзилина, М.И. Чурносов; БелГУ // Научные ведомости БелГУ. Сер.
Медицина. Фармация. - 2010. - № 22, вып. 12. - с. 72-79.
.
Сорокина, И.Н. Генофонд населения Белгородской области. I. Дифференциация всех
районных популяций по данным антропонимики / И.Н. Сорокина, Е.В. Балановская,
М.И. Чурносов // Генетика. 2007. - т.43, №6. - с. 841-849.
.
Сорокина, И.Н Генофонд населения Белгородской области. II. “Фамильные портреты”
в группах районов с разным уровнем подразделенности и роль миграций в их
формировании / И.Н. Сорокина, М.И. Чурносов, Е.В. Балановская // Генетика,
2007. - т.43, №8. -
с.
1120-1128.
.
Сорокина, И.Н. Генофонд населения Белгородской области. Параметры модели
изоляции расстоянием Малеко / И.Н. Сорокина, Е.В. Балановская, М.И.Чурносов //
Генетика. - 2009. - т. 45, №3. - с. 383-389.
.
Сорокина, И.Н. Генофонд населения Белгородской области. Динамика индекса
эндогамии в районных популяциях / И.Н. Сорокина, М.И. Чурносов, Е.В.
Балановская // Генетика, 2008. - т.44, №8. - с. 1117-1125.
.
Сорокина, И.Н. Генофонд населения Белгородской области. Динамика генетических
соотношений популяций за последние 50 лет / И.Н. Сорокина, М.И. Чурносов, Е.В.
Балановская // Генетика. - 2009а - т. 45, №4. - с.555-563.
.
Сорокина, И.Н. Генофонд населения Белгородской области. Описание
“генетического” ландшафта 22 районных популяций / И.Н. Сорокина, М.И. Чурносов,
Е.В. Балановская // Генетика. - 2009б. - т. 45, № 5. - с.700-710.
.
Степанов, В.А. Гаплотипы двух диаллельных локусов Y-хромосомы у коренного и
пришлого населения Сибири / В.А. Степанов, В.П. Пузырев // Генетика. - 2000б. -
т.36, №1. - с. 87-92.
28.
Электронный ресурс // http://genofond.ru/