Измерение спектральных характеристик волоконных световодов с органическими красителями
Введение
Измерение температуры является одной из
важнейших и неотъемлемых составляющих многих технологических процессов. Однако
в областях техники с воздействием сильных электромагнитных полей, например, в
силовой энергетике [1-3] (силовые электрические машины, мощные трансформаторы,
усилители и т.д.), в системах с СВЧ-излучением (мощная радиопередающая
аппаратура, СВЧ-печи, медицинские устройства СВЧ-терапии) и др., осуществление
измерения температуры затруднительно и порой невозможно в связи с отсутствием
нужных измерительных устройств.
Традиционные устройства измерения температуры,
такие как термопары, термисторы, терморезисторы и т. д., в системах с
воздействием сильных электромагнитных полей могут быть применены только
совместно со сложными системами экранировки, так как возникают помехи,
связанные с взаимодействием металлических компонентов измерительных устройств с
сильными электромагнитными полями. Экранирующие системы зачастую невозможно
использовать по конструктивным и технологическим причинам. Основными
требованиями, предъявляемым к устройствам измерения температуры в системах с
воздействием сильных электромагнитных полей являются: отсутствие собственной
проводимости; простота и универсальность компонентов; малые размеры;
возможность проведения измерений на расстоянии.
Требованию отсутствия собственной проводимости
отвечают измерительные устройства, в основу которых положены оптические методы.
Среди оптических методов измерения температуры можно выделить две основные
группы - амплитудные и фазовые. Амплитудные измерительные устройства подходят
по требованиям по таким параметрам как простота, универсальность компонентов и
малым размерам. Принцип действия таких устройств основан на изменении мощности
оптического сигнала при изменении температуры окружающей среды. С целью
проведения дистанционных измерений наиболее удобно использовать
волоконно-оптические линии связи в качестве среды передачи оптических сигналов.
В основе современных волоконно-оптических
амплитудных методов измерения температуры лежат такие физические явления, как:
эффект изменения теплового излучения (оптическая пирометрия) [4, 5]; эффект
смещения края полосы поглощения света, проходящего через кристалл
полупроводника [4-8]; эффект температурного тушения флуоресценции [4-7]; эффект
изменения поглощения света в дисперсных средах (изооптическая термометрия) [9,
10]; различные эффекты изменения пропускания или отражения [4-7, 11].
На сегодняшний день существует очень мало
оптических устройств измерения температуры в системах с воздействием сильных
электромагнитных полей. В их состав входит дорогостоящая и сложная аппаратура
обработки и регистрации оптических сигналов, поэтому они не удовлетворяют
требованиям простоты и универсальности компонентов и не являются доступными.
Глава
1. Литературный обзор
1.1
Обоснование выбора оптических методов измерения температуры в условиях
воздействия сильных электромагнитных полей
В настоящее время существуют различные методы
измерения температуры, которые достаточно широко освещены в литературе,
например в [12, 13]. Температуру измеряют с помощью устройств, использующих
различные свойства жидкостей, газов и твердых тел. В табл. 1.1 приведены
наиболее распространенные устройства для измерения температуры и практические
пределы их применения. Анализ отечественных и зарубежных публикаций о методах
измерения температуры в устройствах в присутствии сильных электромагнитных
полей показал, что существующие неоптические методы не позволяют проводить
измерение температуры непосредственно сред, подвергаемых нагреву при
воздействии сильных электромагнитных полей. Например, разработанные фирмой Samsung
температурные датчики для бытовых микроволновых печей [14] на основе
термоэлектрических эффектов не регистрируют процесс нагрева продуктов в рабочей
камере печи, а лишь сигнализируют о перегреве элементов конструкции посредством
контроля температуры в отсеке воздухообмена печи. В условиях присутствия
сильных электромагнитных полей, в том числе и полей СВЧ диапазона, в
традиционных устройствах для измерения температуры на основе термопар,
термисторов, терморезисторов и других используются сложные системы
экранирования [15 - 17]. Основными причинами необходимости экранирования
являются следующие: нагревание металлических компонентов в высокочастотных
электромагнитных полях, опасность появления кратковременных высоковольтных
разрядов, а также опасность попадания искры через металлические провода на
легковоспламеняющиеся и взрывоопасные среды. Кроме того, металлические провода
сами влияют на нагрев среды. Так при СВЧ нагревании поля могут переотражаться
проводами, что вызывает перераспределение теплового поля. Кроме того,
вследствие высокой теплопроводности, металлические провода в точках измерения
создают значительное изменение температуры, что приводит к искажению данных измерения.
Способ измерения распределения теплового поля
нагрева электромагнитными полями СВЧ диапазона без необходимости экранирования
описан в [18]. Предлагается использовать систему преобразователей в виде
матрицы М х N
термочувствительных
непроводящих элементов из материала с углеродными добавками, размещенными на
диэлектрическом основании. Данную матрицу после СВЧ нагрева вынимают из СВЧ
камеры, помещают в термостат и совмещают с матрицей полупроводниковых
термодатчиков, идентичной матрице термочувствительных непроводящих элементов,
измеряют напряжения на выходах полупроводниковых термодатчиков,
пропорциональные температурам термочувствительных непроводящих элементов. Такая
система не обеспечивает регистрацию температуры в процессе технологического
цикла в режиме реального времени.
Решением проблем, связанных с возникновением
помех и наводок из-за присутствия металлических компонентов в традиционных
температурных датчиках при нагревании в сильных электромагнитных полях может
стать применение измерительных устройств на основе, оптических методов
измерения температуры. Требования проведения дистанционных измерений могут быть
выполнены при построении методов измерения с использованием
волоконно-оптических линий.
Таб. 1.1
Устройства для промышленных измерений температур
|
Термометрическое
свойство
|
Наименование
устройства
|
Диапазон
измеряемых температур, °С
|
Возможность
применения в условиях воздействия сильных электромагнитных полей
|
|
|
Нижний
предел
|
Верхний
предел
|
|
|
Тепловое
расширение
|
Жидкостные
стеклянные термометры
|
-200
|
1200
|
+
|
|
Изменение
давления
|
Манометрические
термометры
|
-160
|
600
|
-
|
|
Изменение
электрического сопротивления
|
Электрические
термометры сопротивления
|
-200
|
500
|
-
|
|
Полупроводниковые
термометры сопротивления (термисторы, терморезисторы)
|
-90
|
180
|
-
|
|
Термоэлектрические
эффект(термо-э.д.с.)
|
Термоэлектрические
термометры (термопары) стандартизованные
|
-50
|
1600
|
-
|
|
Термоэлектрические
термометры (термопары) специальные
|
1300
|
2500
|
-
|
|
Тепловое
излучение
|
Пирометры
(оптические, радиационные, фотоэлектрические, цветовые)
|
600
|
6000
|
+
|
1.2
Оптические методы измерения температуры
На сегодняшний день разработано большое
количество оптических устройств для измерения температуры на основе различных
физических эффектов [4 - 8]. По принципу действия все оптические методы измерений
делятся на четыре класса в соответствии с тем, какой из параметров
распространяющейся световой волны (Е0 ехр[ωt
+ φ])
используется для получения информации о регистрируемом физическом воздействии:
амплитуда электрического поля (Е),
фаза (φ), состояние и направление
поляризации электрического вектора Р
или частота (ω).
Наиболее распространенными оптическими методами измерения температуры являются
амплитудные и фазовые. К амплитудным методам измерения температуры, как уже
упоминалось выше, относятся: оптическая пирометрия, поглощение света
полупроводниками, температурное тушение флуоресценции, изменение оптических
потерь. К фазовым методам измерения температуры относится оптическая
интерферометрия.
Чтобы оценить названные оптические методы с
точки зрения возможности их использования для измерения температуры в условиях
воздействия сильных электромагнитных полей, рассмотрим их особенности и
проведем их сравнительный анализ.
1.3
Оптическая пирометрия
В настоящее время метод оптической пирометрии
является одним из наиболее развитых и используется в устройствах регистрации
температуры различных сред [19-21]. Метод оптической пирометрии положен в
основу многих приборов [22], например, оптических пирометров, сканирующих
пирометров, тепловизоров, анализаторов температурного поля и т.д. В основе
метода оптической пирометрии лежит свойство веществ при температуре Т > 0 К
вследствие тепловых колебаний атомов и молекул испускать тепловое излучение
[23]. Энергия теплового излучения Wλ
на длине волны λ, испускаемая
черным телом при температуре Т, выражается формулой Планка (в единицах Вт·м-3·ср-1)
Wλ
=
c1λ-5{exp[c2/(λT)]-1}-1,
(1.1)
где с1 и с2 - постоянные
коэффициенты.
Суммарная энергия излучения (Вт/м2)
получается путем интегрирования вышеприведенного выражения по всем длинам волн:
, (1.2)
где σ
= 5,7 ∙10-8 Вт · м-2∙К-4 -
постоянная Стефана-Больцмана.
Между λm
и Т существует зависимость, выражающая собой закон смешения Вина:
λm
Т = 2,9∙10-3 мК (1.3)
Таким образом, из формул (1.1) и (1.2) на
фиксированной длине волны λm
можно
определить температуру.
Особенностью метода оптической пирометрии
является необходимость выбора компонентов в зависимости от температурного
диапазона. Обычно для температур выше 600 0С в качестве детектора
применяются кремниевые элементы, а для температур ниже 600 °С - элементы на
основе германия, соединения PbS
и т.д. Диапазон прозрачности оптического волокна из кварцевого стекла 0,4 ...
2,0 мкм, поэтому область измеряемых температур для волоконно-оптического
измерителя излучения простирается примерно от +300 до +2000 0С.
Например, в работе [24] описан пирометрический волоконно-оптический датчик
температуры, предназначенный для измерения температуры внутри ядерных
реакторов. Авторами показано, что датчик имеет достаточно хорошую
чувствительность в температурном диапазоне от +250 до +800 °С. Для регистрации
более низких температур необходимо применение специальных источников и
приемников излучения, работающих в этой области длин волн, а также специальных
оптических волокон, прозрачных для инфракрасных лучей, с длиной волны 2 мкм и
более. Например, в волоконно-оптических пирометрических датчиках температуры,
выпускаемых фирмой Соnах,
США, используется сапфировое оптическое волокно.
В связи с вышесказанным можно сделать вывод о
том, что использование метода оптической пирометрии для измерения +300 0С
затруднительно.
1.4
Поглощение света полупроводниками
В основе метода температурного изменения
поглощения света полупроводниками лежит физическое явление смещения границы
полосы поглощения полупроводников λх
при изменении температуры окружающей среды Т [4-8].
Для света с более короткой длиной волны, поглощение усиливается, причем по мере
роста температуры Т граница полосы поглощения
отодвигается в сторону более длинных волн.
Проводившиеся исследования поведения полупроводников в сильных электромагнитных
полях [25] показали, что в полупроводниках носители зарядов взаимодействуют с
полями, в результате чего происходит нагревание полупроводников. При создании
устройств измерения температуры в условиях воздействия сильных электромагнитных
полей на основе этого метода является обязательным наличие системы экранировки
чувствительного элемента полупроводника.
1.5
Температурное тушение флуоресценции
Явление температурного тушения флуоресценции
обусловлено повышением частоты процессов столкновения, что сопровождается
дезактивацией возбужденных уровней путем безизлучательной колебательной
релаксации молекул и понижением квантового выхода флуоресценции [26, 27].
Различают внешнее и внутренне тушение
флуоресценции [26]. Внешнее тушение связано с рекомбинационным взаимодействием.
При этом доля переходов без излучения растет с увеличением температуры и
уменьшением, интенсивности возбуждения, причем на послесвечение тушители
оказывают большее действие, чем на свечение в процессе возбуждения. Роль
центров тушения могут играть и мелкие электронные ловушки. При понижении
температуры увеличивается время пребывания в них электронов, поэтому
увеличивается вероятность рекомбинации последних с дырками. При возбуждении
люминесценции излучением, поглощаемым основной решеткой люминофора, это
вызывает в низкотемпературной области падение квантового выхода при уменьшении
температуры. В результате на кривой I(T) (рис. 1.1) появляется
максимум.
Рис.1.1 Зависимость интенсивности люминесценции ZnS
- 1∙10-4 Ag,
Co - фосфора от
температуры при концентрации кобальта 1,8·10-6 [30]
Максимум возникает и в тех случаях, когда
конкурирующим центром является мелкая дырочная ловушка.
Помимо того, чем больше концентрация глубоких
центров тушения, тем больше число дырок успеет перейти к ним от центров
свечения за то время, пока электроны остаются на центрах тушения. Поэтому
температура, при которой начинается эффективное тушение той или иной полосы тем
ниже, чем; выше отношение концентрации центров тушения к
концентрации центров свечения. Доля безизлучательных переходов зависит также от
плотности возбуждения. Это объясняется тем, что с увеличением интенсивности
возбуждающего излучения скорость рекомбинации растет быстрее, чем скорость
освобождения дырок с ионизованных центров или захвата электронов глубокими
ловушками, играющими роль центров тушения. В результате эффект тушения
ослабляется. По этой причине интенсивность люминесценции возрастает не
пропорционально интенсивности возбуждения, имеет место так называемый
сверхлинейный рост интенсивности люминесценции. Это явление, наблюдаемое также
при наличии конкурирующего более «глубокого» центра свечения, является
признаком рекомбинационной люминесценции.
Наряду с внешним тушением люминесценции
существует также и внутреннее, происходящее внутри центра свечения. Модель
потенциальных кривых (рис.1.2) [26] дает объяснение явлению внутреннего
тушения.
Вследствие того, что потенциальная кривая
возбужденного состояния смещена по отношению к потенциальной кривой основного
состояния (правило Стокса-Ломмеля) и является обычно более пологой, возможно
пересечение этих двух кривых, так что, находясь в возбужденном состоянии,
система может принять такую же конфигурацию, какой она обладает в основном
состоянии при достаточно большой величине колебательной энергии.
Рис. 1.2 Модель потенциальных кривых
В этом случае происходит безизлучательный
переход из возбужденного в основное состояние. Избыток колебательной энергии
передается решетке основания люминофора. Согласно квантовой механике,
достаточно даже, чтобы кривые просто сблизились друг с другом в такой мере,
чтобы был возможен туннельный переход из одного состояния в другое.
В настоящее время существует два подхода к
регистрации температуры по спектрам флуоресценции - регистрация интенсивности
флуоресценции I
(Fluorescence
Intensity
Ratio - FIR)
[4, 7, 28 - 32] и регистрация длительности остаточной флуоресценции τ
(Fluorescence
Lifetime - FL)
[28, 33 - 42].
В работе [28] авторами был проведен
сравнительный анализ подходов FIR
и FL. Теоретически и
экспериментально было показано, что оба подхода позволяют получать монотонную
температурную зависимость флуоресценции. При этом было отмечено, что при низких
температурах температурная зависимость имеет значительную чувствительность при
измерениях по методу FIR,
в то время как остается постоянной при измерениях по методу FL,
т.е чувствительность близка к нулю. По мере увеличения температуры
чувствительность в обоих методах становится приблизительно одинаковой. Таким
образом, методы FIR
являются более универсальными.
В основе современного подхода FIR
лежит принцип двух длин волн [31], который заключается в нахождении значения
температуры путем вычисления отношения значений интенсивности флуоресценции,
измеренных на двух длинах волн. Такой способ регистрации позволяет производить
калибровку данных и значительно снижает влияние ошибок на результаты измерений.
1.6
Флуоресцирующие красители
Существуют волоконно-оптические кабели на основе
флуоресцирующих красителей «Родамин 6Ж» и «Родамин С».
Родамин G
(С28 H31
N2
O3
Cl)
представляет собой фиолетовые кристаллы,
растворимые в воде и спирте. Родамин 6G
нашел применение в микроскопии как краситель люминесцентной микроскопии
[43,44].
Родамин С
(С28 H31
N2
O3
Cl)
Представляет собой красно - фиолетовые
кристаллы. Температура плавления 210˚С (с разложением), растворим в воде,
спирте, ацетоне. Наиболее часто родамин С используют в ботанической цитологии,
гистологии, энтомологии, микроскопии в качестве красителя люминесцентной
микроскопии для прижизненного окрашивания нейтральных растительных жиров,
митохондрий, цитоплазмы.[43,44]
1.7
Механизм люминесценции
ЛЮМИНЕСЦЕНЦИЯ (от лат.
lumen, род. падеж luminis -свет и -escent - суффикс, означающий слабое
действие), свечение вещества, возникающее после поглощения им энергии
возбуждения. Представляет собой избыток над тепловым излучением
<#"563677.files/image006.gif">
Рис.1.4 Спектры люминесценции
1.8
Выводы и постановка задач работы
Анализируя представленные литературные данные,
можно сделать вывод, что в настоящее время осуществление измерения температуры
в условиях воздействия сильных электромагнитных полей является серьезной
проблемой.
В связи с этим целью дипломной работы
является: изучение спектральных характеристик полимерных оптических
волокон, активированных флуоресцирующими красителями при различных температурах
световода.
Для достижения указанной цели представляется
необходимым решить следующие задачи:
1. Исследовать спектральные характеристики
растворов красителей «Родамин 6Ж» и «Родамин С» в дистиллированной воде при
различных температурах.
2. Аппроксимировать спектры излучения
флуоресценции специальными функциями.
. Построить калибровочную зависимость
коэффициентов аппроксимации от температуры растворов.
. Исследовать спектральные характеристики
полимерных оптических волокон, активированных флуоресцирующими красителями при
различных температурах волокна.
. Построить калибровочную зависимость
коэффициентов аппроксимации от температуры волокна.
. Дать заключении о возможности создания
на основе полимерных световодов датчика температуры.
Глава
2. Методическая часть
.1
Методика определения спектральных характеристик полимерных оптических волокон,
активированных красителями, при различных температурах волокна
полимерные оптические волокно краситель
Для определения спектральных характеристик
полимерных оптических волокон (ПОВ) нами была разработана экспериментальная
установка, представленная на рис. 2.1. Установка состоит из следующих
элементов:
. Светодиод
. Емкость с водой
. Волоконно-оптический соединитель
. Высокочувствительный спектрофотометр
AvaSpec-2048
. Персональный компьютер
6. Полимерное оптическое волокно, активированное
красителем «Родамин 6Ж»
. Термометр
Рис. 2.1. Схема установки.
Накачка от светодиода (1) подается в полимерное
оптическое волокно, легированное красителем Родамин 6Ж (6). ПОВ закреплено
неподвижно в емкости с водой (2). Излучение из оптического волокна подается на
высокочувствительный спектрофотометр (4), который соединен с ПОВ по средством
волоконно-оптического соединителя (3). Затем сигнал со спектрофотометра
передается через USB
кабель на персональный компьютер (5). На экране ПК отображаются спектральные
зависимости. Данные записываются в файл Excel.
Температуру жидкости уменьшали от 70 до 20 0С посредством
естественного охлаждения. Регистрация температуры производилась термометром
(7). Измерения спектра производилось через каждые 2 - 3 0C.
2.1.1
Спектрофотометр AvaSpec-2048
Рис.2.2. Внешний вид AvaSpec-2048
AvaSpec-2048 - высокочувствительный
оптоволоконный спектрофотометр (рис. 2.2), который рекомендуется использовать
как спектрофотометр, фотоколориметр, радиометр, нефелометр, флуориметр, флюороскан
или люминометр для аналитических исследований с высокой фотометрической
чувствительностью в спектральном диапазоне 200-1100 нм и оптическим разрешением
от 0.04 нм. Спектрофотометр построен на базе AvaBench-75 платформы с
симметричной оптической скамьей Czerny-Turner и 2048 элементной CCD детекторной
матрицы. К основным оптическим элементам спектрофотометра относятся: входной
оптоволоконный SMA коннектор (стандартное исполнение), дифракционная решетка,
коллимирующее и фокусирующее зеркало. Возможность установки любой из 14 типов
дифракционных решеток с различными дисперсионными характеристиками, входной
оптической щели, цилиндрической колимирующей линзы для повышения
чувствительности, специальных покрытий детектора для достижения спектрального
диапазона измерений от 150 нм и подавления эффекта волн 2-го порядка позволяет
оптимизировать спектрофотометрическую платформу в соответствии с реальными
экспериментальными условиями. 2048 элементный профиль спектрального
распределения с CCD детекторной матрицы снимается микропроцессорно управляемой
электронной платой спектрофотометра и по USB/RS-232 интерфейсу передаётся в
персональный компьютер.
Спектрофотометр AvaSpec-2048 существует в двух
вариациях, в зависимости от используемого интерфейса USB. Для экспериментальной
части дипломной работы использовался AvaSpec-2048 USB2 на базе электронной
платформы AS-5216, который имеет аналогово-цифровой преобразователь 16 bit, 2
MHz и HD-26 коннектор. Версия USB2 отличается большим диапазоном времени
интеграции, более высокой скоростью получения и передачи данных, возможностью
измерений в триггерном режиме и синхронизации измерений. Функция сохранения
большого числа результатов измерений в оперативной памяти спектрометра
позволяет проводить измерения по всему спектру с очень высокой скоростью.
Скорость передачи экспериментальных данных с спектрофотометра существенно
повышена с помощью программного обеспечения AvaSoft путем сужения диапазона
регистрируемого спектрального распределения.
Техническая спецификация
1. оптическая платформа / скамья: симметричная
Crezy-Turner, фокальное расстояние 75 мм
. волновой диапазон измерений: 200 - 1100 нм,
зависит от типа решётки.
. оптическое разрешение спектрометра: 0.04 - 20
нм, зависит от конфигурации.
. рассеяный свет: < 0.1%
. чувствительность AvaLight-HAL, 8 µm кабель:
20000 единиц за 1 мс интеграционного периода.
. детектор: CCD линейная матрица, 2048 элемента.
. сигнал / шум: 200:1.
. аналого-цифровой преобразователь: 16 bit, 2
MHz.
. интеграционный период: 1.11 ms - 10 min.
. интерфейс: USB
2.0 high
speed, 480 Mbps,
RS-232, 115.200 bps.
. скорость получения данных с сохранением в
памяти спектрометра: 1.1 мс / измерение.
. скорость передачи данных: 1.8 мс/измерение.
. цифровой вход/выход: HD-26 коннектор, 2
аналоговый вход, 3 цифровой вход, 12 цифровой выход, триггерный режим,
синхронизация измерений
. источник питания: питание от USB, 350 mA или
внешнего источника SPU2 12VDC, 350 mA.
. габариты: 175 * 110 * 44 мм
2.2.
Методика подготовки растворов родамина для измерения спектров флюоресценции
Растворы родамина
подготавливались следующим образом: твердые компоненты отвешивались на
аналитических весах ВЛР-200 г (основные узлы которых представлены на рис. 2.3)
с точностью взвешивания до 0,05 мг. Погрешность измерения массы по
приборной шкале составляла не более 0,15 мг.
Навески «Родамина 6Ж» массой 25
мг помещались в стеклянную колбу и заливались 100 мл дистиллированной воды. 10
мл получившегося раствора переливали в другую колбу и добавляли еще 90 мл
дистиллированной воды, все хорошо размешивали до полного растворения
кристаллов.
Рис. 2.3. Основные рабочие узлы
аналитических весов ВЛР - 200 г :
1 - основание; 2 - арретиры; 3 - дужка с
подвеской; 4 - успокоитель колебаний коромысла; 5 - ручка регулирования
нулевого положения шкалы; 6 - рычаги; 7 - серьги; 8 - калибровочные гайки; 9 -
коромысло; 10 - регулировочные гайки; 11- опорная призма; 12 - стойка; 13 -
кожух; 14 - ручка встроенных гирь; 15 - ручка установки отсчета; 16 - экран;
17- ручки введения весов в рабочее положение;18 - установочные ножки;19 -
стрелка; 20 - объектив; 21 - оптическая шкала; 22 - ручка настройки четкости;
23 - конденсор; 24 - осветитель.
Таким образом, концентрации
полученных растворов составили 25 мг/100 мл и 2,5 мг/100 мл, что эквивалентно
концентрации Родамина 6Ж в световодах 250 мг/кг и 25 мг/кг. Аналогично получали
раствор «Родамина С» в дистиллированной воде.
.3
Методика измерения спектров излучения растворов Родамина в дистиллированной
воде
В качестве источника накачки растворов родамина
в дистиллированной воде использовалось излучение от лазерного модуля KLM-D532-5-5.
Основные параметры лазерного модуля KLM-D532-5-5:
1. Длина волны лазерного излучения, нм:
532
2. Расходимость светового пятна лазерного
излучения, мрад: 0,5
. Напряжение питания, В: 5
. Рабочий ток, мА :249
. Мощность лазерного излучения, мВт: 5,84
. Начальный диаметр пучка излучения, нм:
5.
Схемы измерения спектров излучения растворов
родамина 6Ж и родамина С (которые подготовлены по методике 2.2) представлены на
рис. 2.3. Спектрофотометром AvaSpec-2048 регистрировалось излучение
флуоресценции, испускаемое в обратном по отношению к излучению накачки
направлению, а также излучение, выходящее из оптической кюветы с раствором
красителя. Спектрофотометр был соединен с персональным компьютером (на экране
которого отображались спектральные зависимости) посредством USB
кабеля. Растворы красителей нагревали до температуры 50 0С.
Измерения спектров излучения флуоресценции производились в температурном
диапазоне от 20 до 50 0С через каждые 2-3 0С.
Глава
3. Экспериментальная часть
3.1
Спектральные характеристики растворов родамина
Спектральные характеристики флуоресцирующих
красителей хорошо известны. Спектры поглощения и флуоресценции, которые для
многих красителей (в том числе и для родамина) зеркально симметричны
относительно центральной длины волны обусловлены свойствами энергетических
уровней молекул красителя [46].
Однако, как было выявлено при анализе
литературных источников, спектр флуоресценции растворов красителей может
зависеть от концентрации красителя, температуры и других факторов. Поэтому нами
было проведено экспериментальное измерение спектров растворов родамина.
3.1.1
Объект исследования
В соответствии с целью и задачами работы (глава
1, раздел 1.8) в качестве объекта исследования использовались растворы
«Родамина 6Ж» и «Родамина С» (рис.3.1.) в дистиллированной воде, подготовленные
по методике описанной в главе 2, разделе 2.
Концентрация родамина в растворах составляла 25
мг/100 мл и 2,5 мг/100 мл. Красители «Родамин 6Ж» и «Родамин С» (рис.3.2.) были
получены нами из Технического центра полимерных оптических волокон(г. Тверь).
Родамин 6Ж представляет собой фиолетовые кристаллы, растворимые в воде и
спирте. Родамин С представляет собой красно - фиолетовые кристаллы растворимые
в воде, спирте, ацетоне.
Рис. 3.1. Растворы «Родамина С» (слева) и
«Родамина 6Ж» (справа) в дистиллированной воде
Рис. 3.2. Красители «Родамин 6Ж» и «Родамин С»
3.1.2
Исследование излучения флуоресценции, испускаемого в обратном по отношению к
излучению накачки направлении
Для решения указанной задачи в соответствии с
методикой, описанной в главе 2, раздел 2.3 были проведены экспериментальные
измерения спектров излучения флуоресценции, испускаемого в обратном по
отношению к излучению накачки направлении (рис.3.3.). Измерения проводились в
температурном диапазоне от 20 до 50 0С, каждые 1-2 0С.
Примеры полученных спектров приведены на рис. 3.4.- 3.7.
Рис. 3.3. Экспериментальные измерения спектров
излучения флуоресценции, испускаемого в обратном по отношению к излучению
накачки направлении.
Рис. 3.4. Спектральная зависимость излучения
флуоресценции, испускаемого в обратном направлении, раствора родамина 6Ж
(концентрация 25 мг/л) при различных температурах.
Рис. 3.5. Спектральная зависимость излучения
флуоресценции, испускаемого в обратном направлении, раствора родамина С
(концентрация 25 мг/л) при различных температурах
Пик в диапазоне длин волн от 530 до 535 нм, как
видно из графика, приведенного на рис.3.5 - это накачка. Пики в диапазоне длин
волн от 550 до 650 нм соответствуют флуоресценции красителя «Родамин С», что
хорошо соотносится с данными, описанными в литературных источниках.
Рис. 3.6. Спектральная зависимость излучения
флуоресценции, испускаемого в обратном направлении, раствора родамина 6Ж для
различных концентраций красителя (25 мг/л и 250 мг/л) при Т = 23 0С
Рис.3.7. Спектральная зависимость излучения
флуоресценции, испускаемого в обратном направлении, раствора родамина С для
различных концентраций красителя (25 мг/л и 250 мг/л) при Т = 23 0С
Исходя из особенностей условий проведения
эксперимента, а именно из-за отсутствия стационарного крепления лазера, судить
об изменении спектра излучения по изменению амплитуды сигнала нельзя. Поэтому
данный параметр не был принят во внимание при проведении анализа изменения
спектров в зависимости от температуры и концентрации красителя. Из
представленных графиков видно, что спектр излучения флуоресценции, испускаемого
в обратном накачке направлении, практически не зависит от концентрации
красителя и температуры раствора.
3.3.1
Исследование излучения флуоресценции, выходящего из оптической кюветы с
раствором красителя
Для решения указанной задачи в соответствии с
методикой, описанной в главе 2, раздел 2.3 были проведены экспериментальные
измерения спектров излучения флуоресценции, выходящего из оптической кюветы с
раствором красителя(рис.3.7.). Измерения проводились в температурном диапазоне
от 20 до 50 0С. Примеры полученных спектров приведены на
рис.3.8.-3.11.
Рис.3.7. Экспериментальные измерения спектров
излучения флуоресценции, выходящего из оптической кюветы с раствором красителя
Рис.3.8. Спектр излучения флуоресценции,
прошедшего измерительную кювету для раствора родамина 6Ж в дистиллированной
воде (концентрация 25 мг/л) при различных температурах
Рис. 3.9. Спектр излучения флуоресценции,
прошедшего измерительную кювету для раствора родамина С в дистиллированной воде
(концентрация 25 мг/л) при различных температурах
Рис. 3.10. Спектр излучения флуоресценции,
прошедшего измерительную кювету для раствора родамина в дистиллированной воде
соответствующий двум концентрациям 25 мг/л и 250 мг/л - для родамина С при Т =
23 0С
Рис.3.11. Спектр излучения флуоресценции,
прошедшего измерительную кювету для раствора родамина в дистиллированной воде
соответствующий двум концентрациям 25 мг/л и 250 мг/л - для родамина 6Ж при Т =
23 0С
Для того чтобы выяснить, как изменяется и
изменяется ли вообще спектр излучения, прошедшего измерительную кювету, нами на
одном графике были построены спектральные зависимости для излучения
флуоресценции, испускаемого в направлении, обратном излучению накачки (кривая
1, рис.3.12.) и излучения, прошедшего измерительную кювету (кривая 2,
рис.3.12.)
Рис. а.
Рис. б.
Рис.3.12. Спектры излучения флуоресценции: 1 -
испускаемого в направлении, обратном излучению накачки, 2 - прошедшего
измерительную кювету. а - для родамина 6Ж, б - для родамина С (концентрация 250
мг/л, Т = 23 ˚С).
Анализируя полученные графики, можно сделать
вывод, что спектр излучения флуоресценции, прошедшего измерительную кювету,
имеет смещение максимального значения в длинноволновую область. Это позволяет
заключить, что наблюдаемое изменение спектров излучения флуоресценции при
изменении концентраций родамина в указанном диапазоне, обусловлено не
изменением спектра флуоресценции, а самоабсорбцией излучения флуоресценции в
коротковолновой части спектра.
3.2
Аппроксимация спектров излучения флуоресценции растворов родамина
Полученные спектры флуоресценции растворов
красителей родамина С и родамина 6Ж при различных температурах были
аппроксимированы математическими функциями: функцией Гаусса, стандартной
функцией для аппроксимации импульсных сигналов, а также функциями:
(3.1)
(3.2),
где
- длина волны,
-
характерная длина волны спектрального распределения,
,
-
характерная спектральная длина фронта и спада спектральной характеристики,
-
коэффициент, связанный с интенсивностью излучения,
- функция
ошибок.
Примеры аппроксимации спектров
приведены на рис.3.13. - 3.14.
Рис.3.13. Спектры флуоресценции
излучения раствора родамина С (25 мг/л) до и после апроксимаци при Т=23˚С.
Рис.3.14. Спектры флуоресценции
излучения раствора родамина 6Ж (25 мг/л) до и после апроксимаци при Т=23˚С
Как видно из представленных
графиков, наилучшей аппроксимацией является аппроксимация спектра функцией 2.
Применение данных формул для аппроксимации спектров излучения флуоресценции в
дальнейшем может быть полезно с точки зрения упрощения расчета оптических
характеристик многих волоконно-оптических устройств, как например, лазеров на
красителях, накопителей солнечной энергии, датчиков температуры и др.
3.2.1
Температурные зависимости коэффициентов аппроксимации
Коэффициенты аппроксимации, входящие в формулы
3.1 и 3.2 были определены при помощи пакета программы Mathematica
5.1.
Полученные коэффициенты были сведены в таблицы.
Для примера ниже приведена таблица, в которую сведены коэффициенты
аппроксимации спектров излучения флуоресценции, испускаемого в направлении,
обратном излучению накачки, для раствора родамина С (таб. 3.1).
После систематизации полученных данных, при
помощи программы OriginPro
8.1 были построены графики зависимости коэффициентов аппроксимации от
температуры растворов. На рис.3.15 - 3.18 представлены примеры полученных
графиков.
Таблица 3.1
Коэффициенты аппроксимации спектров излучения
флуоресценции, испускаемого в направлении, обратном излучению накачки для
раствора родамина С
|
Коэффициенты
аппроксимации функции 1
|
Коэффициенты
аппроксимации функции 2
|
|
Т,˚С
|
I0
|
λ0
|
t1
|
t2
|
I0
|
λ0
|
t1
|
t2
|
|
23
|
41539
|
573,02
|
18,514
|
25,689
|
24819
|
567,25
|
11,425
|
45,977
|
|
26
|
38014
|
574,01
|
18,491
|
25,53
|
22811
|
568,25
|
11,728
|
45,514
|
|
28
|
39818
|
574,16
|
18,532
|
25,903
|
23766
|
568,34
|
11,491
|
46,501
|
|
30
|
33770
|
574,56
|
18,92
|
25,69
|
20059
|
568,61
|
11,613
|
46,359
|
|
32
|
44744
|
574,07
|
19,247
|
25,822
|
26661
|
568,06
|
11,991
|
46,409
|
|
35
|
26312
|
574,76
|
21,366
|
24,783
|
15203
|
568,09
|
12,173
|
45,998
|
|
40
|
33700
|
574,94
|
19,405
|
26,153
|
20047
|
568,89
|
11,983
|
47,115
|
|
43
|
36642
|
574,33
|
21,026
|
25,659
|
21410
|
567,81
|
12,316
|
47,063
|
|
45
|
33215
|
580,64
|
58,001
|
21,955
|
16258
|
567,99
|
12,652
|
46,349
|
|
48
|
20124
|
574,34
|
20,243
|
26,118
|
11980
|
568,12
|
12,673
|
46,99
|
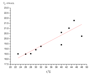
Рис. 3.15. Зависимость коэффициента
аппроксимации раствора родамина 6Ж λ0
от
температуры
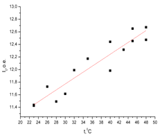
Рис.3.16 Зависимость коэффициента аппроксимации
раствора родамина 6Ж I0
от
температуры
Рис.3.18.Зависимость коэффициента аппроксимации
раствора родамина C
I0 от
температуры
Коэффициенты t1 ,t2 показали
слабую зависимость от температуры. Зависимость коэффициента λ0 от
температуры (несмотря на сравнительно маленькое его изменение, приблизительно
1,5 нм) близка к линейной. Таким образом, можно сделать вывод, что
использование аппроксимации спектров дает возможность построить калибровочную
зависимость, связывающую
и
температуру растворов красителя. На основании чего можно предположить, что
подобные температурные зависимости коэффициентов аппроксимации могут быть
получены и на твердых образцах, легированных красителем. Что впоследствии может
позволить создать на их основе температурный датчик.
Поэтому наши исследования были
продолжены на образцах волоконно-оптического кабеля, заказанного в Техническом
Центре полимерных оптических волокон(г. Тверь).
.3
Характеристики образцов ПОВ, легированных родамином 6Ж
Так же производились измерения спектров
флюоресценции в полимерных оптических волокнах, которые были изготовленны из
полиметилметакрилата (ПММА) с добавлением красителя «Родамин 6Ж». В качестве
материала ядра ПОВ использовался сополимер метилметакрилата с метилакрилатом
(далее ММА/МА) в соотношении 95%/5% с добавкой красителя соответственно 5, 25,
50мг/кг, а в качестве отражающей оболочки использовались полифторакрилаты. ПОВ
были получены методом экструзии при температуре 195- 2000 Ц.
Параметры сердцевины ПОВ: показатель преломления (ПП) - 1,4895, диаметр - 950
мкм, параметры отражающей оболочки: ПП - 1, 4201, толщина - 25 мкм. Были
изготовлены образцы ПОВ длиной до 100 м.
3.4
Исследование спектров флуоресценции ПОВ, активированных родамином 6Ж при
различных температурах волокна
Измерения спектров флюоресценции в ПОВ
проводились по методике, описанной в главе 2, раздел 2.1, на созданной в
условиях лаборатории установке.
Исследовались ПОВ с концентрацией красителя 25
мг/кг при накачке красителя от зеленого и желтого светодиода, а так же
полимерное оптическое волокно с содержание красителя 5 мг/кг при накачке от
зеленого светодиода.
Температура волокна изменялась в диапазоне от 70
до 20 ˚C.Измерения 2 - 3 ˚C.
Полученные спектры излучения флуоресценции в зависимости от температуры ПОВ
представлены на рис.3.18.
Рис. 3.18. Спектры излучения флуоресценции при
различных температурах ПОВ (концентрация красителя 25 мг/кг, накачка желтым
светодиодом)
Рис.3.19 Спектры излучения флуоресценции при
различных температурах ПОВ (концентрация красителя 25 мг/кг, накачка зеленым
светодиодом).
Рис.3.20 Спектры излучения флуоресценции при
различных температурах ПОВ (концентрация красителя 5 мг/кг, накачка зеленым
светодиодом).
Так же как и в растворах родамина полученные
спектры в волоконно-оптических световодах с красителем родами 6Ж были
аппроксимированы математическими функциями: функцией гаусса, стандартной
функцией для аппроксимации импульсных сигналов, а также функциям:
(1)
(2),
где
- длина волны,
-
характерная длина волны спектрального распределения,
,
-
характерная спектральная длина фронта и спада спектральной характеристики,
-
коэффициент, связанный с интенсивностью излучения,
- функция
ошибок.
Коэффициенты аппроксимации были
получены и обработаны аналогично как и описано в главе 3,раздел 2.1 для
коэффициентов аппроксимации в растворах с красителями родамин С и 6Ж.Полученные
данные представлены в таблице 3.1
Таблица 3.1
Коэффициенты аппроксимации для
полимерного оптического кабеля с добавлением красителя родамин 6Ж концентрацией
25 мг/кг при накачке зеленым светодиодом
|
Коэффициенты
аппроксимации функции 1
|
Коэффициенты
аппроксимации функции 2
|
|
Т,˚С
|
λ01
|
1t1
|
1t2
|
I02
|
λ02
|
2t1
|
2t2
|
|
62
|
34734
|
586,86
|
14,366
|
26,539
|
21368
|
582,36
|
7,8853
|
45,656
|
|
54
|
35472
|
586,64
|
14,381
|
26,578
|
21796
|
582,13
|
7,8113
|
45,778
|
|
51
|
35673
|
586,59
|
14,377
|
26,424
|
21849
|
582,05
|
7,7148
|
45,701
|
|
48
|
36004
|
586,54
|
14,344
|
26,359
|
22080
|
582,03
|
7,7386
|
45,524
|
|
47
|
35949
|
586,39
|
14,256
|
26,482
|
22086
|
581,91
|
7,6888
|
45,628
|
|
42
|
36198
|
586,25
|
14,211
|
26,427
|
22207
|
581,77
|
7,6039
|
45,622
|
|
41
|
36385
|
586,19
|
14,238
|
26,493
|
22353
|
581,71
|
7,6686
|
45,647
|
|
40
|
36607
|
586,18
|
14,239
|
26,348
|
22431
|
581,69
|
7,5836
|
45,545
|
|
38
|
36388
|
586,03
|
14,111
|
26,549
|
22336
|
581,57
|
7,4815
|
45,788
|
|
37
|
36529
|
586,11
|
14,214
|
26,396
|
22407
|
581,63
|
7,5948
|
45,563
|
|
35
|
36714
|
586,05
|
14,247
|
26,333
|
22488
|
581,55
|
7,5597
|
45,53
|
|
33
|
36728
|
585,94
|
14,169
|
26,434
|
22527
|
581,47
|
7,5285
|
45,644
|
|
32
|
36857
|
585,99
|
14,292
|
26,311
|
22540
|
581,46
|
7,5279
|
45,577
|
|
32
|
36639
|
585,85
|
14,135
|
26,557
|
22509
|
581,4
|
7,5106
|
45,754
|
|
31
|
36887
|
585,96
|
14,255
|
26,366
|
22611
|
581,47
|
7,5899
|
45,543
|
|
30
|
36797
|
585,81
|
14,028
|
26,429
|
22627
|
581,4
|
7,4999
|
45,497
|
|
30
|
36722
|
85,87
|
14,096
|
26,356
|
22538
|
581,43
|
7,501
|
45,476
|
|
29
|
36631
|
585,82
|
4,131
|
26,469
|
22510
|
581,38
|
7,5505
|
45,593
|
|
28
|
36682
|
585,81
|
14,123
|
26,403
|
22513
|
581,36
|
7,5053
|
45,554
|
|
27
|
36792
|
585,74
|
14,119
|
26,377
|
22562
|
581,29
|
7,4595
|
45,548
|
|
27
|
36817
|
585,77
|
14,158
|
26,384
|
22567
|
581,3
|
7,4809
|
45,588
|
Построены графики зависимости коэффициентов
аппроксимации от температуры (Рис.3.21- 3.23).
Рис.3.21. Зависимость коэффициента аппроксимации
λ0
от температуры
Рис.3.22 Зависимость коэффициента аппроксимации I
0
от температуры.
Рис.3.23 Зависимость аппроксимированного
коэффициента Io
от температуры
Коэффициенты t1 ,t2 показали
слабую зависимость от температуры. Как и предполагалось, построенные графики
показали, что коэффициенты аппроксимации зависят от температуры волокна.
Несмотря на сравнительно маленькое изменение параметра
-
приблизительно 1 нм, использование аппроксимации спектров дает возможность
построить калибровочную зависимость, связывающую
и температуру волокна,
соответственно, использовать волокно, активированное родамином в качестве
датчика температуры.
Полимерные волокна также могут
использоваться для изготовления оптических усилителей и источников излучения, в
частности, волоконных лазеров, для преобразования излучения люминофоров и
других целей. Одним из направлений, представляющим интерес для создания
волоконно-оптических датчиков, является разработка оптически активных ПОВ с
использованием органических красителей. Такой датчик может работать под
воздействием сильных электромагнитных полей.
3.5
Заключение и выводы по работе
РазвиваяH работы кафедры по изучению по
изучению спектральных характеристик образцов ПОВ, активированных
флуоресцирующими красителями (полученных нами из Технологического центра
полимерного волокна) в рамках дипломной работы были проведены исследования,
конечной целью которых является создание температурного датчика.
Такие датчики температуры будут способны
работать в условиях сильных электромагнитных полей. А так же обладать большой
помехоустойчивостью, точностью, высокой гибкостью, небольшими габаритными
размерами. Что позволит им быть конкурентоспособными.
В результате проведенных исследований можно
сделать следующие выводы:
). Получены спектральные зависимости излучения
флуоресценции растворов красителей «Родамин 6Ж» и «Родамин С» в
дистиллированной воде в зависимости от температуры. И выявлено, что изменение
спектров излучения флуоресценции при изменении концентраций родамина
обусловлено не изменением спектра флуоресценции, а самоабсорбцией излучения
флуоресценции в коротковолновой части спектра.
). Проведена аппроксимация спектров излучения
специальными функциями, что позволит в дальнейшем существенно упростить расчет
характеристик различных волоконно-оптических устройств.
). Исследованы спектральные зависимости
излучения флуоресценции ПОВ, активированных флуоресцирующими красителями в
зависимости от температуры световода.
). Построены зависимости коэффициентов
аппроксимации от температуры. И таким образом, получены калибровочные
зависимости коэффициентов аппроксимации от температуры. Показана возможность
создания на основе флуоресцирующего волокна температурного датчика.
Результаты проведенного исследования могут быть
так же полезны для создания таких волоконно-оптических устройств, как лазеры на
красителях, накопители солнечной энергии и др.
ГЛАВА
4. ЭКОНОМИЧЕСКАЯ ЧАСТЬ
4.1
Расчёт затрат на проведение исследовательской работы
Основной задачей дипломной работы является
измерение спектральных характеристик волоконных световодов и органических
красителей.
Для экономического обоснования рассчитаем
затраты, составляющие себестоимость.
Себестоимость складывается из следующих затрат:
|
Себестоимость
|
|
Материальные
ресурсы
|
Оплата
труда
|
Отчисления
на социальные нужды
|
Амортизационные
отчисления
|
Прочие
расходы
|
Таким образом в дипломной работе оцениваются
затраты на проведение исследовательской работы, которые состоят из:
З = ЗЗП + ЗМ + ЗА + ЗЭ
+ ЗОХ (4.1)
где:
ЗЗП
- прямая производственная зарплата,
ЗМ
- материальные затраты,
ЗА
- амортизация используемого оборудования,
ЗЭ
- затраты на электроэнергию,
ЗОХ
- общехозяйственные затраты на содержание лаборатории
4.2
Затраты на заработную плату
Представлены в табл. 4.1
Таблица 4.1
|
Наименование
должности
|
Количество
месяцев
|
Заработная
плата в месяц, руб.
|
Общая
заработная плата, руб.
|
|
Руководитель
|
4
|
20000
|
80000
|
|
Студент
|
4
|
-
|
-
|
|
Итого:
|
80000
|
С учетом страховых взносов имеем:
ЗЗП
= 80000.(1,34) = 107200 руб.
4.3
Расчёт материальных затрат
Материальные затраты включают в себя стоимость
всех материалов, использованных за время проведения дипломной работы.
Результаты расчёта представлены в таблице 4.2.
Таблица 4.2
|
Материал
|
Стоимость,
руб.
|
|
Бумага
для принтера
|
150
|
|
Картридж
|
500
|
|
Cветоводы с
красителем 5 м
|
1000
|
|
Родамин
6Ж особо чистый 1 кг.
|
12800
|
|
Родамин
В особо чистый 1кг.
|
10000
|
|
Бумага
для принтера
|
150
|
|
Картридж
|
500
|
|
Итого:
|
25100
|
ЗМ
= 25100 руб.
4.4 Расчёт затрат на амортизацию используемого
оборудования
Расчёт амортизационных отчислений ведётся по
формуле:
(4.2)
где:- первоначальная стоимость прибора, руб,
Т - время работы прибора над дипломным проектом,
мес.,
Т = 4мес.,
С - срок службы прибора, мес.
Результаты расчёта на амортизационные отчисления
приведены в таблице 4.3.
Таблица 4.3
|
Наименование прибора
|
k, руб
|
С, год
|
3А, руб
|
|
Ноутбук
|
20000
|
5
|
1333
|
|
Спектрофатометр AvaSpec - 2048
|
120000
|
10
|
4000
|
|
Принтер
|
3000
|
5
|
200
|
ЗА
= 5533руб.
4.5
Расчёт затрат на электроэнергию
Расчёт затрат на электроэнергию производится по
формуле:
(4.3)
где:
Р - мощность, потребляемая прибором, кВт.ч,
Тр - время работы прибора (время
потребления электроэнергии), час,ЭЛ - тариф на
электроэнергию (стоимость 1 кВт), руб,
ZЭЛ
= 2,3 руб.
Результаты расчёта на
электроэнергию представлены в таблице 4.4.
Таблица 4.4
|
Наименование
прибора
|
Р,
кВт·ч
|
Тр,
ч
|
Zэ,
руб
|
|
Ноутбук
|
0.2
|
300
|
138
|
|
Спектрофатометр AvaSpec - 2048
|
0.001
|
6
|
0,01
|
|
Принтер
|
0.1
|
8
|
1.84
|
|
Итого:
|
139,85
|
ZЭ
=
139,85 руб.
4.6
Расчёт общехозяйственных затрат
Общехозяйственные затраты считаются равными 20%
от ЗЗП.
ЗОХ
= ЗЗП ·0,2 = 21440 руб.
4.7
Итоговый расчёт затрат
Подставляя в (4.1) суммы, определённые в п. 4.2
- 4.6 получаем:
З
= 107200+2510+5533+139.85+21440=159312,85 руб.
В итоге, затраты на проведение дипломного
проекта составили 159312,85 рублей.
Выводы: было произведено исследование по
измерению спектральных характеристик волоконных световодов органических
красителей. Полученные результаты требуют более детального изучения и объяснения.
Поэтому пока невозможно дать количественное обоснование экономической
эффективности проделанной работы, но по распределению затрат можно сказать, что
расходы на заработную плату превысили прочие, это свидетельствует о высокой
трудоёмкости и низкой материальной затратности проводимого эксперимента.
ГЛАВА
5. ОХРАНА ТРУДА
При выполнении экспериментальной части данной
дипломной работы, состоящей из проведения лабораторных опытов: измерении
спектральных характеристик на компьютере, возникало воздействие опасных и
вредных факторов. Для обеспечения безопасности человека в лабораторных условиях
необходимо рассмотреть их влияние на работоспособность человека и привести
защитные меры.
5.1
Анализ и нормирование опасных и вредных факторов при работе на персональном
компьютере
Работа на персональном компьютере сопровождается
воздействием следующих вредных факторов:
Повышенное зрительное напряжение
Нервное напряжение
Костно-мышечное напряжение
Электромагнитные поля
Шум, выделение вредных веществ, тепловыделения, опасность
поражения электрическим током, риск возгорания.
Наличие большого числа разнообразных по
происхождению, интенсивности, воздействию факторов, влияющих на пользователя,
предполагает комплекс санитарно-гигиенических и организационно-технических
мероприятий, направленных на обеспечение безопасной и безвредной работы,
которая возможна лишь при соблюдении нормативных показателей среды, при
соответствии компьютера гигиеническому сертификату и при правильной организации
труда.
Для более детального рассмотрения выделим
воздействие вредного фактора связанного со значительными нагрузками на органы
зрения.
Повышенная нагрузка на зрение способствует
возникновению близорукости, приводит к переутомлению глаз, к мигрени и головной
боли, повышает раздражительность, нервное напряжение, может вызвать стресс.
Пользователь ВДТ утомляется из-за постоянного
мелькания, неустойчивости и нечеткости изображения на экране, из-за
необходимости частой переналадки глаз к освещенности дисплея и к общей
освещенности помещения. Неблагоприятно влияют на зрение разноудаленность
объектов различения, недостаточная контрастность изображения, плохое качество
исходного документа, используемого при работе в режиме ввода данных. Зрительное
напряжение усугубляется неравномерностью освещения рабочей поверхности и ее
окружения, появлением ярких пятен за счет отражения светового потока на
клавиатуре и экране.
Зрительный комфорт зависит, прежде всего, от
верно выбранных визуальных параметров прибора и светового климата рабочего
места. Как показали исследования, отдельные технические параметры дисплеев не
гарантируют ни комфортности работы человека, ни её эффективности. Значение
имеют лишь их оптимальные и допустимые сочетания, которые внесены в
Госстандарты России. [30]
Требования к основным визуальным
эргономическим параметрам
Основными визуальными эргономическими
параметрами являются: яркость изображения, внешняя освещенность экрана, угловой
размер знака. ГОСТ Р 50948-2001 [31] к ним относит также угол наблюдения
экрана. Требования к основным визуальным эргономическим параметрам приведены в
табл.5.1.Проблема обеспечения визуального комфорта при работе с дисплеем во
многом зависит от соблюдения указанных требований.
Некоторые требования к визуальным эргономическим
параметрам в соответствии с ГОСТ Р 50948-2001 представлены в таблице 5.1. [31]:
Таблица 5.1
|
Параметры
|
Допустимые
значения
|
|
Контрастность
деталей изображения и фона, не менее Для деталей изображения с размером один
пиксель, разделенных интервалом в один пиксель, не менее
|
3:1
1,5:1
|
|
Неравномерность
яркости элементов контура знака, не более
|
1,5:1
|
|
Неравномерность
яркости элементов знаков дискретных(матричных) экранов, %, в пределах
|
±20
|
|
Неравномерность
яркости рабочего поля экрана, %, в пределах
|
±20
|
|
Контрастность
соседних уровней кодирования яркостью, не менее
|
1,5:1
|
|
Относительная
ширина линии контура знака
|
От
1/6 до1/12 высоты прописной буквы
|
|
Остаточное
несведение цветов, мм, не более: - в центральном круге с диаметром, равным
длине вертикальной стороны рабочего поля - в пределах остальной части поля
|
0,3
0,5
|
|
Временная
нестабильность изображения (мелькание)
|
Не
должна быть зафиксирована
|
|
Отношение
яркости в зоне наблюдения (экран, лицевая панель, корпус дисплея, документы)
|
Не
более 10:1
|
|
Пространственная
нестабильность изображения (дрожание). Амплитуда смещения изображения при
частоте дрожания 0,5-30 Гц, мм, не более
|
2х10-4
l (где l-проектное
расстояние наблюдения, мм)
|
|
Угол
наклона линии наблюдения
|
Не
более 30o
ниже горизонтали
|
Оптимизация визуальных характеристик
дисплеев
Один из основных параметров монитора, влияющих
на зрительное напряжение - качество изображения на экране дисплея, которое
является результатом суммирования важнейших факторов, заложенных в конструкции
монитора. Качественный монитор должен обладать:
четкостью и резкостью изображения;
отсутствием мерцания изображения;
оптимальной яркостью монитора;
отсутствием бликов на экране дисплея.
Четкость и резкость изображения зависят в первую
очередь от разрешающей способности монитора, которая определяется числом
дискретных элементов изображения воспроизводимых монитором по горизонтали и
вертикали. Существуют следующие стандартные значения (в скобках приводятся
название стандарта для персональных компьютеров):
х480 (VGA);
800х600 (SVGA); 1024х768
(XGA); 1280х1024 (EVGA);
1600х1200 (не имеет обозначения). Чем выше разрешающая способность, тем точнее
и четче изображение на экране, тем легче оно для восприятия, тем меньше утомляет
зрительную систему.
Минимизация мерцания изображения достигается
путем увеличения частоты смены кадров, называемой также частотой вертикальной
развертки. Если эта частота достаточно велика, изображение кажется неизменным,
несмотря на то, что фактическая яркость любой точки изображения переменная
величина. Эффект стабильности изображения создаётся как результат
взаимодействия двух факторов: инерционности зрения человека и инерционности
монитора. Критическая частота, при которой изображение воспринимается как
неизменное для 95% операторов при средней яркости монитора, равна 76 Гц для
позитивного изображения (темные знаки на светлом фоне) и 67 Гц для негативного
изображения (светлые знаки на темном фоне). Специалисты по гигиене зрения
рекомендуют при негативном изображении частоту регенерации, равную 75 Гц, при
позитивном контрасте - 90 Гц. Следует понимать, что увеличение разрешающей
способности влечет за собой уменьшение частоты кадровой развертки, т.к. эти
параметры взаимосвязаны.
Качество изображения также зависит от яркости
самого монитора, которая в условиях внешнего освещения должна быть оптимальной.
Рекомендуемое специалистами значение яркости - 70 кд/м. Восприятию информации с
экрана монитора часто мешают блики, которые возникают от любого пучка света,
отраженного от экрана и попавшего на оболочку глаза. Допустимое значение
отражательной способности экрана в соответствии с СанПиН и стандартом - не
более 1%. Для уменьшения отражения используют темное или тонированное стекло со
специальной химической обработкой, применяют усовершенствованные конструкции
ЭЛТ с плоским и сверхплоским экраном, устанавливают защитные фильтры.
Жидкокристаллические мониторы
В настоящее время широкое применение нашли ЖК
мониторы. Потребляя значительно меньше энергии, чем их электронно-лучевые
аналоги, ЖК мониторы имеют и гораздо меньший по мощности и спектру букет
излучений, причем основная его часть приходится на видимый свет. У компьютеров
с ЖК-дисплеями есть и другие преимущества: плоская поверхность дисплея
позволяет избежать искривления линий, мерцание ЖК-дисплея значительно меньше,
чем у электронно-лучевой трубки, поэтому нагрузка на зрение пользователя тоже
ниже; ЖК мониторы удобно использовать в условиях высокой запыленности воздуха
или, наоборот, в помещениях с повышенными требованиями к чистоте, поскольку они
не накапливают вокруг себя пыль, которую усердно собирают ЭЛТ благодаря
электростатическому полю.
Требования к цветовым параметрам
дисплеев
Эти требования являются необязательными, а
рекомендуемыми, но их соблюдение позволяет повысить качество восприимчивости
информации и уменьшить зрительное напряжение.
Количество цветов, воспроизводимых на экране
дисплея, должно быть не менее:
для монохромных дисплеев - 2;
для многоцветных графических дисплеев - 16.
Значения координат цветности для белого цвета и
основных цветов (красного, зеленого, синего) устанавливают в нормативных
документах на многоцветный дисплей. Дня монохромных дисплеев рекомендуемые
цвета свечения желтый, зеленый, оранжевый, ахроматический (белый, серый).
Дня многоцветных дисплеев рекомендуется для
знаков и фона выбирать цвета с наиболее удаленными координатами цветности. Для
текстовых сообщений, тонкой графики и другой информации, требующей высокого
разрешения, не рекомендуется применять воспроизведение изображений на темном
фоне в цветах синего участка спектра. Цвета красного участка спектра
рекомендуется выбирать для привлечения внимания пользователя.
5.2
Анализ опасности поражения электрическим током при лабораторных испытаниях
Электрические испытания заключаются в снятии
величины емкости с помощью измерительного моста при переменном напряжении 220В
на частоте 50Гц.
Все случаи поражения человеком током в
результате электрического удара, т.е. прохождения тока через человека, являются
следствием его прикосновения не менее чем к двум точкам электрической цепи,
между которыми существует некоторое напряжение. Опасность такого прикосновения
зависит от ряда факторов: схемы включения человека в электрическую цепь,
напряжения цепи, схемы самой сети, режима её нейтрали, степени изоляции
токоведущих частей от земли, а также ёмкости токоведущих частей относительно
земли и т.д.
При работе на измерительной установке необходимо
соблюдать следующие правила:
запрещено оставлять установку без присмотра при
проведении каких-либо измерений;
проводить какие-либо переключения в схеме при
включенной установке;
люди, работающие на установке, должны пройти
вводный инструктаж, о чем должна быть сделана отметка в журнале по технике
безопасности, заверенная подписью. Необходимо знать приемы освобождения
человека, попавшего под действие электрического тока, а также знать правила
оказания первой медицинской помощи пострадавшим;
после окончания измерений необходимо выключить
все приборы из розетки и обесточить распределительный щит, выключив рубильник;
в случае возникновения аварийной ситуации
необходимо немедленно обесточить установку.
Все помещения согласно ПУЭ (правила устройства
электроустановок) делятся по степени поражения током на 3 класса:
без повышенной опасности;
с повышенной опасностью;
особо опасные.
Возможны следующие причины поражения
электрическим током:
плохое заземление или полное отсутствие
заземления измерительных приборов и элементов установки;
наличие доступных элементов установки,
находящихся под напряжением, которые могут привести к случайному прикосновению;
пользование электропроводкой с поврежденной
изоляцией.
Так как в процессе исследований возможно
одновременное прикосновение человека к металлоконструкциям зданий, имеющим
соединение с землей, технологическим аппаратам, механизмам, с одной стороны, и
к металлическим корпусам электрооборудования (открытым проводящим частям), с
другой, то лабораторию в соответствии с правилами необходимо отнести к
помещению с повышенной опасностью.
Для того чтобы предотвратить возможность
аварийной ситуации и попадание человека под напряжение при замыкании на корпус,
на приборах предусмотрено зануление - электрическое соединение металлических
нетоковедущих частей, которые могут оказаться под напряжением, с глухо
заземленной нейтралью в трехфазных сетях,
выполняемое в целях электробезопасности. Зануление применяется в сетях с
заземленной нейтралью напряжением до 1000В. Принцип действия зануления основан
на превращении замыкания на корпус в однофазное короткое замыкание между фазным
и нулевым защитным проводником, при котором протекает большой ток короткого
замыкания, обеспечивающий срабатывание защиты (автоматов, предохранителей и
т.п.), автоматически отключающей поврежденную установку от питающей сети.
К средствам защиты персонала от поражения
электрическим током относятся: диэлектрические перчатки, диэлектрические ковры.
В данной лаборатории все эти средства защиты имеются. Проверка их электрических
свойств производится в установленные сроки [32].
5.3.
Расчёт освещения
Недостаточность освещения также приводит к
напряжению зрения, ослабляет внимание, приводит к наступлению преждевременной
утомленности. Чрезмерно яркое освещение вызывает ослепление, раздражение и резь
в глазах. Неправильное направление света на рабочем месте может создавать
резкие тени, блики, дезориентировать работающего. Все эти причины могут
привести к несчастному случаю или профзаболеваниям, поэтому столь важен
правильный расчет освещенности. Искусственное освещение по экономическим и
санитарно-гигиеническим соображениям, а также по соображениям безопасности
труда должно обеспечивать надлежащую освещенность рабочих помещений. Нормы
искусственного освещения в нашей стране основаны на закономерностях,
определяющих оптимальные условия работоспособности органов зрения. В действующих
нормах СНиП 23-05-95 определены следующие нормируемые показатели: величина
минимальной освещенности, показатель ослеплености, глубина пульсации
освещенности. Рабочие места и объекты освещаются люминесцентными лампами - это
источник искусственного освещения, который преобразует электрическую энергию в
энергию видимых излучений, т.е. световую и относится к группе газоразрядных.
Лампы располагаются на достаточной высоте, что обеспечивает должную
освещенность.
Работа проводилась в лаборатории кафедры
“Электрическая изоляция, кабели и конденсаторы”. Согласно требованиям
СНиП-23-05-95 «Естественное и искусственное освещение», освещенность помещения
должна быть не менее 200 лк.
Расчет освещенности помещения проводится методом
коэффициента использования светового потока по формуле 5.1:
, (5.1)
где Fл
-световой
поток каждой из ламп, Лм;
E - нормируемая
наименьшая освещенность, E=200
лк;
S - площадь
помещения, м2;
K - коэффициент,
учитывающий старение ламп, напыление, загрязнение светильников;
Z - коэффициент
неравномерности освещения, отношение средней освещенности к минимальной (Z=1,1…1,2);
N - число
светильников;
- коэффициент использования
светового потока в зависимости от величины (i) и
коэффициентов отражения потолка и стен.[33]
Лаборатория освещается
люминесцентными светильниками типа ОДР-2
80.
Высота расположения светильника над
освещаемой поверхностью равна:

, (5.2)
где Н - общая высота помещения, м; c
- высота от потолка до нижней части светильника, м; р - высота от
пола до освещаемой поверхности, м.
H=3,5
мc=0,2 мp=1,3 м
Отсюда,
Hc=3,5-0,2-1,3=2 м
На следующем этапе расчета определяют показатель
помещения:

, (5.3)
где a
и b - соответственно
длина и ширина помещения, м.
Следовательно, i=1,9
По найденному показателю помещения i определяют
по таблице 5.2 коэффициент использования светового потока η
осветительной установки.
Таблица 5.2
|
Показатель
помещения
|
0,5
|
1
|
2
|
3
|
4
|
5
|
|
Коэффициент
использования η
|
0,22
|
0,37
|
0,48
|
0,54
|
0,59
|
0,61
|
Исходные данные для расчета:
а=
8 м=7
мc
=2 м=a*
b= 8*7=56 м2.
k =1,5 для помещения
с малым выделением пыли;
z=1,2;
h=0,48;
Для ламп типа ЛБ-80 FЛ=4960 лм;
N=8
шт
Полученная освещенность удовлетворяет
требованиям СНиП 23-05-95 «Естественное и Искусственное освещение» (200 лк).
5.3
Пожарная безопасность
Пожарная безопасность обеспечивается мерами
пожарной профилактики, которая включает комплекс мероприятий, необходимых для
предупреждения возникновения пожара или уменьшения его последствий и активной
пожарной защиты.
Категории помещений по взрывопожарной и
категории по пожарной опасности принимаются в соответствии с таблицей 5.4.
Определение категории пожарной безопасности помещений следует осуществлять
путем последовательной проверки принадлежности помещения к категориям от высшей
(А) к низшей (Д) [34].
Таблица 5.4
|
Категория
помещения
|
Характеристика
веществ и материалов, находящихся (обращающихся) в помещении
|
|
1
|
2
|
|
А
Повышенная взрывопожа-роопасность
|
Горючие
газы, легковоспламеняющиеся жидкости с температурой вспышки не более 28 °С в
таком количестве, что могут образовывать взрывоопасные парогазовоздушные
смеси, при воспламенении которых развивается расчетное избыточное давление
взрыва в помещении, превышающее 5 кПа, и (или) вещества и материалы,
способные взрываться и гореть при взаимодействии с водой, кислородом воздуха
или друг с другом, в таком количестве, что расчетное избыточное давление
взрыва в помещении превышает 5 кПа
|
|
Б
Взрывопожа-роопасность
|
Горючие
пыли или волокна, легковоспламеняющиеся жидкости с температурой вспышки более
28°С, горючие жидкости в таком количестве, что могут образовывать
взрывоопасные пылевоздушные или паровоздушные смеси, при воспламенении
которых развивается расчетное избыточное давление взрыва в помещении,
превышающее 5 кПа
|
|
В1
- В4 Пожаро- опасность
|
Горючие
и трудногорючие жидкости, твердые горючие и трудногорючие вещества и
материалы (в том числе пыли и волокна), вещества и материалы, способные при
взаимодействии с водой, кислородом воздуха или друг с другом только гореть
при условии, что помещения, в которых они имеются в наличии или обращаются,
не относятся к категориям А или Б
|
|
Г
Умеренная пожаро-опасность
|
Негорючие
вещества и материалы в горячем, раскаленном или расплавленном состоянии,
процесс обработки которых сопровождается выделением лучистой теплоты, искр и
пламени; горючие газы, жидкости и твердые вещества, которые сжигаются или
утилизируются в качестве топлива
|
|
Д
Пониженная пожаро-опасность
|
Негорючие
вещества и материалы в холодном состоянии
|
По степени пожарной безопасности лаборатория
относится к категории «В» - пожароопасная: горючие и трудногорючие жидкости,
твердые горючие и трудногорючие вещества и материалы (в том числе пыли и
волокна), а также вещества и материалы, способные при взаимодействии с водой,
кислородом воздуха или друг с другом только гореть, при условии, что помещения,
в которых они обращаются, не относятся к категориям А и Б. В помещении лаборатории
источниками пожара могут быть: нагревательные печи, тепловое проявление
электрической энергии, которое может проявиться в виде электрических искр и дуг
при коротком замыкании. Гореть может деревянная мебель, книги,
электропроводка.[35]
Пожар начинается тогда, когда температура
возгорания материала окажется ниже температуры источника тепла. Среди наиболее
частых причин возникновения пожара можно отметить следующие: невнимательность
человека, неисправность электрических установок или нагревательных приборов,
самовозгорание, молнии, большое число электроприборов, работающих от одной
розетки и т.д. Случаются и умышленные пожары.
Невнимательность, ставшая причиной пожара
проявляется в следующем:
курение в помещении и запрещенных местах;
чистка одежды быстроиспаряющимися веществами в
плохо проветриваемых помещениях или там, где есть огонь;
оставленные нагревательные или любые другие
приборы под напряжением;
бумага или абажуры, находящиеся слишком близко к
горячей лампочке.
Кроме того, пожар могут вызвать брошенные
окурки, использование огня любого типа (свеча, факел, бензиновая лампа) в
пожароопасных местах, переливание легковоспламеняющихся жидкостей по соседству
с источником тепла, складирование вместе различных материалов, которые при
соприкосновении самовозгораются. Самовозгорание возникает от сдавливания
воспламеняющегося материала.
Внутри помещения пожар распространяется через
двери, окна, лестницы, газо- и электропровода, а также через крышу, не считая
таких хорошо горящих вещей, как мебель, занавески, коврики и одежда. Почти все
пожары, исключая возникшие из-за взрывов, бывают вначале небольшими, их легко
затушить.
В случае возникновения пожара на
электроустановках необходимо:
обесточить установку;
вызвать и встретить пожарную команду по телефону
«01»;
немедленно приступить к тушению пожара
имеющимися средствами (песок, углекислотный огнетушитель).
Проходы между установками, ширина которых должна
быть не менее 1 м, обеспечивают быстрый вывод людей в случае пожара. Из средств
первичного пожаротушения на кафедре находится углекислотный огнетушитель
(ОУ-5). Также аудитория имеет автоматическую пожарную сигнализацию, которая
позволяет быстро среагировать в экстренных ситуациях и обеспечить эвакуацию
людей.
В помещении кафедры имеются инструкции по
технике безопасности, учитывающие также требования по пожарной безопасности,
для каждой установки и каждого прибора. [36]
Список
литературы:
1.
СВЧ-Энергетика. Т. 1. // Под ред. Э. Окресса; пер. с англ. В.Т. Алыбина и ЭЛ.
Пастрона под общ. ред. Э.Д. Шлифера. - М.: Мир, 1971. -464 с.
.
СВЧ-Энергетика. Т. 2. // Под ред. Э. Окресса; пер. с англ. В.Т. Алыбина и Э.Я.
Пастрона под общ. ред. Э.Д. Шлифера. - М.: Мир, 1971. - 272 с.
.
СВЧ-Энергетика. Т. 3./ Под ред. Э. Окресса. пер. с англ. В.Т. Алыбина и Э.Я.
Пастрона под общ. ред. Э.Д. Шлифера. - М.: Мир, 1971. - 248 с.
.
Волоконно-оптические датчики // Т. Окоси, К. Окамото, М. Оцу, X. Нисихара, К.
Кюма, К. Хататэ; под ред. Т. Окоси: пер; с япон. - JL:
Энергоатомиздат. Ленинград, отд-ние, 1990.-256 с.
.
Красюк Б.А., Корнеев Г.И. Оптические системы связи и световодные датчики.
Вопросы технологии. - М.: Радио и связь, 1985.- 192 с.
.
Бусурин В.И., Носов Ю.Р. Волоконно-оптические датчики; Физические основы,
вопросы расчета и применения. - М.: Энергоатомиздат, 1990. - 256 с.
.
Световодпые датчики/ Б.А. Красюк, О.Г. Семенов, А.Г. Шереметьев и др. - М.:
Машиностроение, 1990. - 256 с.
8.
Кушпа
К.,
Tai Sh., Sawada Т.
et al. Fiber-optic Instrument for Temperature Measurement // IEEE J. Quantum
Electron., 1982, v. QE-18, p. 676-680.
9.
Черпякова M.M.
Разработка метода изоопти чес кой термометрии; Основные термооптические
параметры изооптических термодатчиков: Автореферат диссертации на соискание
ученой степени кандидата технических наук. - Одесса, 1979.
.
Ю. Войцехов Ю.Р. Методы и аппаратура для измерения тепловых полей на основе
изооптического термопреобразования. Автореферат диссертации на соискание ученой
степени кандидата технических наук. - Одесса, 1983.
11.
US Patent 5,035,511. Distributed Fiber Optic Temperature Sensor Based on Time
Domain Transmission / Berthold J.W., 1991.
12.
Приборы для измерения температуры и их поверка // Под ред. А.Н. Гордова и Б.И.
Пилипчука. - М.: Изд-во машиностроительной литературы, 1955. -472 с.
.
Чистков С.Ф., Радун Д.В. Теплотехнические измерения и приборы. Учеб. пособие
для вузов. - М.: «Высшая школа», 1972. - 392 с.
.
US Patent
6,335,518. Microwave Oven with Temperature
Sensor Assembly / Dae- rae Kim et al. (Samsung Electronics Co, Ltd., Korea),
2002.
.
Гурвич A,M.
Введение
в
физическую
химию
кристаллофосфоров.
Учебное
пособие для ВТУЗов. - М.: «Высшая школа», 1971. - 336 с.
.
Левшин Л.В., Салецкий А.М. Оптические методы исследования молекулярных систем,
ч.1. Молекулярная спектроскопия.
- М.:
Изд-во
МГУ,
1994. - 320 с.
17.
Collins S.K., Baxter G.M., Wade S A., Sun Т.,
Grattan K.T.V., Zhang Z.Y., Palmer A.W. Comparison of Fluorescence-Based
Temperature Sensor Schemes: Theoretical Analysis and Experimental Validation //
Joum. of Appl. Phys., 1998,v. 84, No. 9, p. 4649-4654.
.
Wade S.A., Collins S.F., Baxter G.W.
Fluorescence Intensity Ratio Technique for Optical Fiber Point Temperature
Sensing // Journ. of Appl. Phys., 2003, v. 94, No. 8, p.4743 - 4756.
19.
Sidiroglou F., Wade S.A., Dragomir N.M., Baxter
G.W., Collins S.F. Effects of High-Temperature Heat Treatment on Nd -Doped
Optical* Fibers for Use in Fluorescence Intensity Ratio Based Temperature
Sensing // Rev. of Sci. Instrum.,v. 74, No. 7, p. 3524 - 3530.
20.
Kusama H., SoversOJ., YoshiokaT. // Jpn. J.
Appl. Phys., 1976, v. 15, No 12, p. 2349-3258.
21.
Maurice E., Monnom G., Dussardier B., Saissy A.,
Ostrowsky D.B., Baxter G.W. Erbium-Doped Silica Fibers for Intrinsic
Fiber-Optic Temperature Sensors // Appl. Opt, 1995, v. 34, No 34, p. 8019 -
8025.
22.
Kolodner P., Katzir A., Hartsough N. Noncontact
Surface Temperature Measurement During Re active-1 on Etching Using
Fluorescent. Polymer Films // Appl. Phys. Lett., 1983, v.42, p. 749-751.
23.
Sun Т.,
Grattan K.T.V., Sun W.M., Wade S.A., Powell B.D. Rare-Earth Doped Optical Fiber
Approach to an Alarm System for Fire and Heat Detection // Rev. of Sci.
Instrum., 2003,v. 74, No. 1, p. 250 - 255.
24.
Forsyth D.I., Sun Т.,
Grattan K.T.V., Wade S.A., Collins S.F. Characteristics of Doped Optical Fiber
for Fluorescence-Based Fiber Optic Temperature Systems // Rev. of Sci.
Instrum., 2003, v. 74, No. 12, p. 5212 - 5218.
25.
Simons A.J:, McClean I.P., Stevens R. Phosphors
for Remote Thermograph Sensing in Lower Themperature Ranges // Electron. Lett.,
1996, v. 32, No 3, p. 253 - 254.
26.
Bertrand
S., Jalocha A., Tribillon G., Bouazaoui М.,
Rouhet J. Optical Fiber Temperature Sensor in the Cryogenic Range // Opt. and
Laser Technol., 1996, v. 28, No 5, p. 363 - 366.
.
US Patent 5,332,316. Fiber Optic Systems for Sensing Temperatures and Other
Physical Variables / Kleinerman Marcos J, 1996.
28.
Liu Т.,
Fernando G.F., Zhang Z.Y., Grattan K.T.V. Simultaneous Strain and Temperature
Measurements in Composites Using Extrinsic Fabry-Perot Interferometric
Intrinsic Rare-Earth: Doped Fiber Sensors // Sensors and Actuators A, 2000, v.
80, p. 208 -215.
29.
Zhang Z.Y., Grattan K.T.V., Palmer A.W., Meggitt
B.T. Characteristics of a High- Temperature Fibre-Optic Sensor Probe // Sensors
and Actuators A, 1998, v. 64,p. 231-236.