Полимеры, содержащие 6-метилурацил и его производные
Квалификационная
работа
(дипломная
работа)
ЭЛЕКТИВНЫЙ
КУРС «ПОДГОТОВКА К ЕГЭ ПО МАТЕМАТИКЕ» КАК ОДНА ИЗ ФОРМ РАЗВИТИЯ ПРОДУКТИВНОГО
МЫШЛЕНИЯ
Студентка
Батяшова Анжелика Николаевна,
группа №682.
Оглавление
Введение
Глава 1. Роль продуктивного мышления при обучении математике
.1 Продуктивное мышление как понятие в психологии
.2 Особенности развития продуктивного мышления при подготовке
к ЕГЭ
Глава 2. Разработка элективного курса «Подготовка к ЕГЭ по
математике », обеспечивающего развитие продуктивного мышления
.1 Программа элективного курса «Подготовка к ЕГЭ по
математике»
.2 Дидактический материал к элективному курсу
.3 Организация и анализ результатов педагогического
исследования (определение уровня продуктивного мышления)
Заключение
Литература
Приложения
Введение
продуктивное мышление математика экзамен
В настоящее время под влиянием все возрастающих требований жизни заметно
возрос интерес к проблемам продуктивного мышления. Создатели первых вариантов
тестовых методик считали совершенно очевидной непосредственную связь «IQ» с
мышлением. Однако под влиянием многих исследований эта уверенность была
поколеблена (Галахер, Джексон, Торренс и др.). Оказалось, что дети с высоким
коэффициентом интеллекта далеко не всегда хорошо решают задачи, требующие
продуктивного мышления. В качестве показателей последнего выдвигаются
оригинальность мысли (как степень отклонения от привычных ответов), способность
найти новые, непривычные функции объекта или его частей, быстрота, плавность,
гибкость мысли, «восприимчивость» к проблеме и т. д.
Современная школа в условиях модернизации образования, перехода к
профильному обучению в старших классах нуждается в выработке стратегии и
тактики развития продуктивного мышления в процесс преподавания математики.
В последнее время у нас и за рубежом часто обсуждается вопрос о
недостатках традиционных программ преподавания математики в школе. Эти
программы не содержат основных принципов и понятий современной математической
науки, не обеспечивают должного развития продуктивного мышления учащихся, не
обладают преемственностью и цельностью по отношению к начальной, средней и
высшей школе. При их модернизации особое значение придают подведению
теоретико-множественного фундамента под школьный курс (эта тенденция отчетливо
проявляется и у нас, и за рубежом). Ее реализация в преподавании (особенно в
начальных классах) неизбежно ставит ряд трудных вопросов перед детской и
педагогической психологией и перед дидактикой, ибо сейчас почти нет
исследований, раскрывающих особенности развития продуктивного мышления ребенка
Построение математики как целостного учебного предмета - весьма сложная задача,
требующая приложения совместных усилий педагогов и математиков, психологов и
логиков. В связи с этим актуальный характер приобретает проблема поиска новых
подходов к построению системы школьного математического образования, которая
должна быть адекватной существующей обстановке, учитывать особенности
социокультурных изменений, происходящих в обществе, а также соответствовать
современным тенденциям развития образовательной политики страны. Важным
моментом решения этой общей задачи является выделение понятий, которые должны
вводиться в начальном курсе изучения математики. Они составляют фундамент для
построения всего учебного предмета. От исходных понятий, усвоенных детьми в
начальной школе, во многом зависит общая ориентировка в математической
действительности, развитие продуктивного мышления, предоставляет благоприятные
возможности для воспитания воли, трудолюбия, настойчивости в преодолении трудностей,
упорства в достижении целей, что в свою очередь существенно влияет на
последующее продвижение в этой области знаний. Важно при этом подчеркнуть, что
сегодня математика, как живая наука с многосторонними связями, оказывающая
существенное влияние на развитие других наук и практики, является базой
научно-технического прогресса и важной компонентой развития личности. Поэтому в
качестве одного из основополагающих принципов новой концепции в «математике для
всех» на первый план выдвинута идея приоритета развивающей функции обучения
математике. В соответствии с этим принципом центром методической системы
обучения математике становится не изучение основ математической науки как
таковой, а познание окружающего человека мира средствами математики и, как
следствие, к динамичной адаптации человека к этому миру, к социализации
личности.
Эффективность любого урока определяется не тем, что дает детям учитель, а
тем, что они в процессе обучения развивают продуктивное мышление. Учитель
выступает не как специалист, передающий ученикам новую информацию, а как
организатор процесса учения, руководитель самодеятельности учащихся,
оказывающий им нужную помощь и поддержку в процессе развития продуктивного
мышления. Это урок, на котором главным «работником» является ученик, учебная
деятельность которого объективно направлена на образование и развитие своей
личности, а главным мотивом является учебно-познавательный.
Задача учителя - организовать процесс обучения таким образом, чтобы
каждое усилие по овладению знаниями протекало в условиях развития продуктивного
мышления учащегося, формированию у них основных приёмов умственной
деятельности. Критерием деятельности учителя является конечный результат: дать
ученику не только набор знаний по предмету, а сформировать личность готовую к
продуктивной деятельности. Деятельность учащихся не ограничивается лишь
приобретением нового. Работа будет продуктивной, когда в ней проявляется
собственный замысел учащегося, ставятся новые задачи и самостоятельно решаются
при помощи приобретённых знаний.
Таким образом, цель исследования - разработать и апробировать
программу подготовки к ЕГЭ, способствующую развитию продуктивного мышления.
Объект исследования: процесс подготовки учащихся к ЕГЭ.
Предмет исследования: процесс развития продуктивного мышления при подготовке к ЕГЭ
по математике.
Гипотеза исследования: в основу исследования положено предположение, что
продуктивное мышление школьников можно развивать на занятиях математики при
подготовке к ЕГЭ.
Задачи исследования:
1) раскрыть сущность понятия «продуктивное мышление», его структуру и
критерии развития продуктивного мышления при подготовке ЕГЭ;
) выявить особенности разработки учебных программ;
) оценить результативность программы подготовки к ЕГЭ, способствующей
развитию продуктивного мышления.
Методы исследования:
анализ литературы;
педагогический эксперимент.
База исследования: исследование проходило на базе школы №6 г. Татарска.
Глава 1. Роль продуктивного мышления при обучении математике
.1 Продуктивное мышление как понятие в психологии
В процессе ощущения и восприятия человек познает окружающий мир в
результате непосредственного, чувственного его отражения, именно это понятие
трактуется как мышление. Мышление - процесс отражения в сознании человека
реальной действительности путём синтеза и анализа всех познавательных
процессов. На практике мышление как отдельный психический процесс не
существует, оно присутствует во всех познавательных процессах: в восприятии,
внимании, воображении, памяти, речи. Мышление это единый психический познавательный
процесс, но он реализуется с помощью ряда подпроцессов, каждый из которых
представляет собой самостоятельный и, в тоже время, интегрированный с другими
познавательными формами процесс. Высшие формы этих процессов обязательно
связаны с мышлением, и степень его участия определяет уровень их развития.
Ни одна закономерность не может быть воспринята непосредственно органами
чувств. Примером может служить любая сознательная деятельность человека; глядя
в окно мы можем определить по мокрой крыше или лужам, что был дождь; стоя на
светофоре, ожидаем зелёный свет, так как осознаём, что именно этот сигнал
служит побуждением к действию. В том и другом случае мы совершаем мыслительный
процесс, т.е. отражаем существенные связи между явлениями, сопоставляя факты. Для
познания недостаточно лишь заметить связь между явлениями, необходимо
установить, что эта связь является общим свойством вещей. На этой обобщенной
основе человек решает конкретные задачи [27].
Мышление даёт ответ на вопросы, которые невозможно получить путём
простейшего чувственного отражения. Благодаря мышлению человек правильно
ориентируется в окружающем мире, используя ранее полученные обобщения в новой,
конкретной обстановке. Деятельность человека разумна благодаря знанию законов,
взаимосвязей объективной действительности. Основной задачей, с которой
начинается мыслительный процесс является постановка задачи и определение путей
её решения. Для того чтобы в результате мыслительного процесса разрешить
задачу, нужно прийти к более адекватному познанию. К такому всё более
адекватному познанию своего предмета и разрешению стоящей перед ним задачи
мышление идет посредством многообразных операций, составляющих различные
взаимосвязанные и друг в друга переходящие стороны мыслительного процесса [1].
Установление всеобщих взаимосвязей, обобщение свойств однородной группы
явлений, понимание сущности конкретного явления как разновидности определенного
класса явлений - такова сущность человеческого мышления. В определение мышления
чаще всего включают следующие признаки:
. Психический процесс, который обеспечивает ориентировку субъекта в
межпредметных связях и отношениях, путём воздействия предметами друг на друга,
путём использования орудийных средств и средств измерения, путём включения в
организацию мышления знаков и символов.
. Процесс, исходно возникающий на основе практических действий и
непосредственно-чувственного познания.
. Процесс, по мере своего развития выходящий за пределы практических
действий.
. Процесс, результатом которого является обобщённое отражение
действительности на основе межпредметных связей и отношений.
. Процесс, всегда протекающий с опорой на имеющиеся знания.
. Исходит из живого созерцания, но не сводится к нему.
. Процесс, связан с практической деятельностью человека.
Все вышеуказанные пункты непосредственно связаны и более понятно
трактуются при рассмотрении таких структурных единиц как виды мышления [22].
Выделяют несколько видов мышления:
. Теоретическое - познание законов и правил. Пользуясь этим видом
мышления, человек в процессе решения задачи обращается к понятиям, готовым
знаниям, полученным другими людьми, как правило, сам не имея опыта в решении
данной задачи.
. Практическое - разработка средств к решению, постановка цели, создание
плана, схемы последовательности действий. Материалом, который использует
человек при практическом мышлении, являются не понятия, суждения и
умозаключения, а образы. Они извлекаются из памяти или творчески воссоздаются
воображением. В ходе решения мыслительных задач соответствующие образы мысленно
преобразуются так, чтобы человек в результате манипулирования ими смог
непосредственно усмотреть решение интересующей его задачи [11].
. Наглядно-действенное - основной задачей этого вида является восприятие
предметов и преобразование их в реальной действительности, правильные действия
с данными предметами направленные на решение задачи. Результатом является
создание какого-либо материального продукта. При воздействии предметов друг на
друга в ходе манипулятивной активности человек опирается на ряд универсальных операций:
практического анализа предметов и явлений (познание и использование физических
качеств предметов); практического синтеза (при переносе навыков). Такое
мышление ограничено индивидуальным сенсомоторным опытом и рамками ситуаций в
которых оно формируется и протекает.
. Наглядно-образное - при протекании этого вида мышления, человек
привязан к действительности, использует конкретные образы для решения возникшей
ситуации, а сами необходимые для мышления образы представлены в его
кратковременной и оперативной памяти. Характерно для проявления в сиюминутных
ситуациях, непосредственно в реальности, которой находится человек в данный
промежуток времени [24].
. Словесно-логическое - это вид мышления опосредованный знаками, из
которых непосредственно складываются понятия. Словесно-логическое мышление
осуществляется путем умозрительной логической связи конкретных предметов,
объектов, процессов и явлений со звуками, с языковыми звуками, со словами и
словосочетаниями, с понятиями, выраженными в языке в виде слов и знаков, и
обозначающими данные предметы и объекты. Здесь уместно заметить, что мышление
объективно связано не только с воображением, памятью, восприятием, но и с
речью, в которой мышление реализуется и с помощью которой оно осуществляется.
Направлено в основном на нахождение общих закономерностей в природе и
человеческом обществе. При таком виде мышления важно понять разницу, она
заключается в том, что человек воспринимает не образ, а буквенное отражение или
происходит звуковой контакт (речь); на основе данных видов восприятия человек
сопоставляет полученную информацию в образ, либо координирует свои дальнейшие
действия для решения задачи [22].
В психологии существует различная классификация видов мышления, поэтому
рассмотрим ещё несколько видов или как их классифицируют «основополагающие
типы» мышления.
. Аутистическое мышление - данный тип мышления направлен на
удовлетворение собственных интересов. Потребности в данном случае более
личностно ориентированы. Во многих отношениях аутистическое мышление противоположно
реалистическому. При аутистическом типе мышления актуальные, общепринятые
ассоциации тормозятся, как бы отодвигаются на второй план, личностные ориентиры
в свою очередь доминируют, в отдельных случаях преобладают аффекты. Таким
образом, личные интересы получают простор для ассоциаций, даже если порождают
логические несоответствия. Аутистическое мышление порождает иллюзии, а не
истины.
. Реалистическое мышление - правильно отражает действительность, делает
поведение человека в различных ситуациях разумным. Целью операций
реалистического мышления является создание правильной картины мира, нахождение
истины.
. Эгоцентрическое мышление - характеризуется как правило тем, что человек
не способен принять точку зрения не совпадающую с его «эго». Как правило,
логические принципы соблюдаются, но они не ведут к рациональному решению
задачи, противоречат общепринятым законам, не соответствуют временным
тенденциям. Такие люди воспринимают картину мира, как «всё зависит от моего
мнения и решения, причём другого как правило не дано». В отдельных ярко
выраженных случаях может привести к отклонениям: мания величия, раздвоение
личности (реже).
. Репродуктивное - специфику этого типа мышления можно охарактеризовать
как поиск и установление связей и отношений между готовыми продуктами
мыслительной деятельности, которые фиксированы в знаковой форме. Данный тип
предполагает интенсивную мыслительную деятельность. Часто встречается в
педагогической практике, когда знаковые формы, фиксирующие содержание и
отношение понятий даны и понятны для восприятия, а понимание и логическое
сопоставление отсутствует, в следствие различных личностных аспектов
непонимания [22].
Изложенные выше классификации мышления могут быть сформулированы в виде
ряда закономерностей мыслительного процесса.
основная функция процессов мышления - ориентировка субъекта в окружающем
мире посредством установления межпредметных связей и отношений, на основе
различных средств и способов.
процессы установления связей и отношений протекают на нескольких
взаимосвязанных уровнях основанных на логических сопоставлениях
наглядно-образного, словесно-логического, наглядно-образного или
наглядно-действенного мышления.
на каждом уровне мышления установление межпредметных связей и отношений
реализуется посредством ряда универсальных взаимосвязанных обратимых операций:
анализа и синтеза; обобщения и конкретизации. Такие операции могут объединяться
в функциональные схемы, психологические механизмы, обеспечивающие выполнение
мыслительных действий при решении различных задач.
Продуктивность как специфическая черта мышления достаточно четко
выступила в трудах представителей гештальт-психологии (М. Вертгеймер, К.
Дункер, В. Келлер, К. Коффка, Н. Майер и др.). Продуктивное мышление, по их
мнению, характеризуется тем, что возникает в проблемных ситуациях, а их
трансформация приводит к такому решению проблемы, в результате которого
появляется нечто новое, не содержащееся в фонде уже имеющихся знаний. Для
изучения мышления ими использовались проблемы, при решении которых у испытуемых
возникал конфликт между имеющимися знаниями и требованиями задачи, что
позволило получить богатый материал для характеристики мышления, выделить его
этапы, некоторые приемы решения проблем и т. д. [24].
Гештальтистами изучалось продуктивное мышление в весьма широком диапазоне
возрастов - от его зачатков у антропоидов до решения сложнейших проблем
крупными учеными. Однако в исследованиях мышления они были скованы рамками
структурной психологии, что снизило их эффективность Представители этой теории
недооценивали роль активности субъекта в решении проблемы, полагая, что оно
возникает в порядке инсайта, как результат переструктурирования, трансформации
самой проблемы, зависящей главным образом от специфики задачи, от ее структуры;
просто человек сначала видел данную ситуацию no-одному, а потом, внезапно,
вдруг увидел ее по-другому, причем так, что получил ключ к решению проблемы.
Выделив в качестве специфики мышления его продуктивный характер, сторонники
гештальт-теории резко противопоставили его репродуктивным процессам,
односторонне рассматривая репродукцию прошлого опыта как тормоз продуктивного
процесса, однако под влиянием собственных экспериментальных данных им все же
пришлось ограничить категоричность своих выводов и признать, что репродукция
может играть и положительную роль в продуктивном мышлении.
Бихевиоризм, укрепившийся в начале XX века, вернул психологию к
репродуктивной теории мышления, хотя исходил при этом из других оснований.
Бихевиористы (А. Вейс, Гунтер, Э. Газри, Б. Скиннер, Д. Уотсон и др.) выступили
с резкой критикой идеалистических представлений, столь характерных для
указанных выше теорий, и интроспекции как основного их метода. Эта критика
сочеталась с установкой на разработку точных методов изучения психики, на
объективность подхода к анализу психических явлений, что привлекло к
бихевиористам немало сторонников. Однако сами они подошли к решению проблемы
психики и тем самым и мышления с позиций механистического материализма. С их
точки зрения, в основе мышления лежит репродукция сформированных ранее моторных
навыков. Мышление не отличается принципиально от других форм поведения; оно
сводится к «субвокальным реакциям гортани», которыми субъект отвечает на
внешние раздражения. В основе мышления лежит репродукция сформированных ранее
моторных навыков, закрепленных благодаря тому, что они обеспечили лучшее
приспособление к среде [31].
Как об этом писал Э. Торндайк, фактически заложивший основы бихевиоризма,
мышление может быть сведено к элементарным связям С-Р («стимул-реакция») и
измерено чисто количественными методами. В учебном процессе такого рода связи
формируются или путем слепых, механических проб и ошибок, пли - при правильной
его постановке - на основе прямого подражания, действия по готовому образцу.
Последнее нашло свое практическое воплощение, в частности, в системе линейного
программирования, разработанной Б. Скиннером. Такое обучение может формировать
лишь репродуктивное мышление.
Односторонний подход к характеристике мышления проявляется и у других
известных зарубежных психологов, так или иначе касавшихся этой проблемы
(Вудвортс, Джедд, Броунелл и др.).
Такова очень сложная, противоречивая связь между продуктивными и
репродуктивными сторонами мыслительной деятельности.
В ряде исследований ставится задача раскрыть сам процесс продуктивного
мышления, источники его продуктивности. С качестве такого источника в работах,
проведенных под руководством С.Л. Рубинштейна (Л.И. Анцыферовой, Л.В.
Брушлинским, А.М. Матюшкиным, К.А. Славской, В.Н. Пушкиным и др.) выдвигается
особый вид анализа - «анализ через синтез». На основе такого анализа искомое
свойство объекта обнаруживается тогда, когда оказывается включенным в ту
систему связей и отношений, в которой он обладает этим свойством, а обнаружение
этого свойства вскрывает новый круг связей и отношений, с которыми в дальнейшем
он может быть соотнесен. Такова диалектика творческого познания
действительности [31].
Продуктивное, творческое мышление присуще не только взрослым,
осуществляющим объективно новые открытия, но и детям, делающим субъективные открытия
при решении новых задач, хотя уровень этого мышления, конечно, во втором случае
ниже (поэтому в отношении детей мы предпочитаем говорить о «продуктивном», а не
о «творческом» мышлении). Изучению этой стороны мыслительной деятельности
посвящено немало работ, исследующих процесс решения школьниками задач.
Н. А. Менчинская, анализируя решение арифметических задач, рисует
противоречивую взаимосвязь в этом процессе продуктивных и репродуктивных
моментов, зависимость их удельного веса от степени знакомости задач, но
подчеркивает, что как бы ни была знакома задача, мышление хотя и становится
привычным, но не превращается в акт памяти, и более того - установка на
припоминание мешает решению. В работах 3.И. Калмыковой специально изучался
вопрос о влиянии обучения, рассчитанного главным образом на развитие
репродуктивного мышления (при так называемом аналитическом методе анализа
задач, при «жестком» управлении этим процессом), на развитие продуктивного
мышления. Был сделан вывод о том, что развитие этой стороны мышления является
необходимым, но недостаточным условием для формирования продуктивного мышления.
Для этого требуется широкое использование проблемных ситуаций, специальное
развитие эвристических приемов и т. д.
В целом ряде исследований разрабатывается вопрос об оптимальных условиях
формирования рациональных приемов умственной деятельности как алгоритмического
типа, так и эвристических (Д.Н. Богоявленский, Р.Г. Граник, С.Ф. Жуйков, Е.Н.
Кабанова-Меллер, Ю.Н. Кулюткин, Л.Н. Ланда, Е.П. Машбиц, Л.М.Фридман и др.),
личностных параметров умственной деятельности (А.И. Липкина). Особое внимание
уделяется проблемному обучению (Т.В. Кудрявцев, А.М. Матюшкин, В. Оконь, И.Я.
Лернер и др.). Однако особенности развития и оптимальные пути формирования
продуктивного мышления изучены еще явно недостаточно [31].
1.2 Особенности развития продуктивного мышления при
подготовке к ЕГЭ
Своеобразие учебной деятельности каждого ребенка связано с целым рядом
его индивидуальных особенностей: спецификой мышления, памяти, внимания, темпом
деятельности, личностными особенностями, учебной мотивацией и т.д.
Анализ литературных данных, в том числе и результатов ранее проведенных
исследований, позволил наметить характеристику продуктивного мышления.
Мышление как процесс обобщенного и опосредованного познания
действительности всегда продуктивно, однако в нем в диалектически
противоречивом единстве сплетены его продуктивные и репродуктивные компоненты,
причем удельный вес их может быть различен. Там где удельный вес продуктивных
компонентов достаточно высок, говорят о собственно продуктивном или творческом
мышлении как особом виде мыслительной деятельности. В результате этого мышления
возникает нечто оригинальное, принципиально новое для субъекта, т. е. степень
новизны здесь высока. Условием возникновения этого вида мышления является
наличие проблемной ситуации, что приводит к возникновению потребности в
открытии новых знаний, стимулирующей высокую активность решающего проблему
субъекта.
Говоря о продуктивном следует отметить, что его самым характерным
признаком является открытие принципиально новых знаний в условиях
неопределенности, когда человек не знает признаков, существенных для решения
проблемы и не может их непосредственно вывести на основе уже имеющихся знаний.
Продуктивное мышление предполагает не только широкое использование уже
имеющихся знаний, но и преодоление «барьера прошлого опыта», отход от привычных
ходов мысли, разрешение противоречий между актуализированными знаниями и
требованиями проблемной ситуации. Это качество мышления обычно обозначают как
гибкость ума; ему противоположным качеством будет его инертность [29].
Для продуктивного решения проблем важно не только выделить требуемые
ситуацией существенные признаки, но и, удерживая в уме всю их совокупность,
действовать в соответствии с ними, не поддаваясь на провоцирующее влияние
внешних, случайных признаков анализируемых ситуаций; эту особенность
мыслительной деятельности мы обозначили как ее устойчивость; противоположным
свойством мышления будет его неустойчивость [24].
В основу программы подготовки к ЕГЭ должны быть положены следующие
концептуальные положения:
. Личностный подход, педагогика успеха, педагогика сотрудничества.
. Обучать математике значит обучать решению задач, а обучать решению
задач значит обучать умениям типизации и умениям решить типовые задачи.
. Индивидуализировать обучение «трудных» и «одаренных».
. Органическая связь индивидуальной и коллективной деятельности.
Характерной особенностью нашего времени является стремление многих
учителей перестроить учебный процесс, активизировать учащихся, заинтересовать
их, приучить их к самостоятельной работе.
Можно выделить следующие направления деятельности учителя на уроке:
. Уроки-лекции проводятся с целью изучения новой темы крупным блоком,
активизируют мышление школьников при изучении нового, экономят время для
дальнейшей творческой работы.
. Уроки решения ключевых задач по теме. Учитель (вместе с учащимися)
выделяет минимальное число задач, на которых реализуется изученная теория, учит
распознавать и решать ключевые задачи, после которых задается определенный
объем индивидуальной работы. Учащемуся для нормального изучения чего-либо надо
проделать самому огромный объем духовной и умственной работы.
. Уроки-консультации, на которых вопросы задают ученики, а отвечает на
них учитель.
. Зачетные уроки, на которых школьники докладывают решения задач, над
которыми они трудились дома. В идеале было бы замечательно, если все учащиеся
побывали у доски. Каждая самостоятельно решенная задача - это успех ученика,
который способствует воспитанию у него чувства собственного достоинства и
уверенности в своих силах.
. Уроки контроля и оценки знаний, умений и навыков, целью которых
является организация управления процессом усвоения, его коррекции [13].
Главными в обучении служат следующие два принципа.
. Принцип активного обучения
Учащиеся должны понять, что для усвоения научных истин одного
примитивного прилежания недостаточно, а нужны долгие, порой мучительные
размышления.
. Принцип дифференцированного обучения и оценки
Этот принцип реализуется довольно просто. Ведь предлагаются задачи разной
сложности - от типовых до трудных. И каждый учащийся волен выбирать для решения
те задачи, которые ему доступны.
Задача нахождения множества значений функции
Задачи, связанные с поиском множества значений функции, не находят, как
правило, должного развития в рамках школьного курса математики. Причем речь
идет не столько об основных элементарных функциях, сколько о композиции
основных элементарных функций [28].
Выделим две основные группы задач на нахождение множества значений
функции.
Нахождение множества значений непрерывной на отрезке функции сводится к
нахождению наименьшего fmin и наибольшего fmax ее
значений на заданном отрезке.
Эта задача, в свою очередь, решается по известной схеме:
вычисляем значения функции f(a) и f(b) на концах отрезка [a;b];
находим критические точки х1, х2, …,хk функции
f на интервале (a;b) и вычисляем значения f(x) в этих точках;
выбираем fmin = min{f(a), f(x1), …,f(xk),
f(b)} и fmax = max{f(a), f(x1), …,f(xk), f(b)}.
Нахождение множества значений сложной функции (композиции функций) на
произвольном множестве и, в частности, на естественной области определения.
Решение этих примеров предполагает знание основных свойств всех
элементарных функций, изучаемых в школьном курсе, и потому так любимы авторами
- составителями ЕГЭ.
Нахождение множества значений сложной функции удобно осуществлять в виде
многошаговой процедуры, на каждом шаге которой находится множество значений
некоторой элементарной функции. Например: Найдем множество значений функции
Пусть t = x2 + x - 2; p = 3 / t; y = 1 + p, имеем композицию
трех функций y = y(p(t(x))).
Найдем множество значений каждой из элементарных функций в порядке их
вложенности. При этом множество значений E(t) первой функции будет областью
определения D(p) функции p(t) (за исключением точек, в которых функция p(t) не
определена: х = -2 и х = 1). Аналогично E(p) ⊆ D(y).
Е(t) = [-9 / 4; +∞), с учетом области определения функции p = 3 /
t, D(p) = [-9 / 4; 0) ∪ (0; +∞). Функция p = 3 / t строго убывает на области
определения, поэтому E(p) = (-∞; -4 / 3] ∪ (0; +∞) = D(y). E(y) = (-∞;
-1 / 3] ∪ (1; +∞) [28].
Приведем основные свойства композиции функций.
Пусть сложная функция y = f(g(x)), x ∈ X, такова, что функция u = g(x) - непрерывна и строго
монотонна на промежутке Х, функция y = f(u), u ∈ U, U = g(X) - непрерывна и строго
монотонна на промежутке U. Тогда сложная функция y = f(g(x)), x ∈ X также будет непрерывной и
монотонной на Х, причем:
композиция двух строго возрастающих функций является строго возрастающей;
композиция двух строго убывающих функций является строго возрастающей;
композиция строго возрастающей и строго убывающей функций будет строго
убывающей функцией.
Множество значений композиции трех и более основных элементарных функций
находится аналогично в результате последовательного (в порядке вложенности)
анализа пар функций. Например: Найдем множество значений функции
Пусть t = x2 + 1 - убывающая при x ≤ 0, p = 1 / t -
убывающая, u = (2 / π)arcctg p - убывающая, v = log1 / 2 u -
убывающая, y = arctg v - возрастающая.
Поэтому композиция у = у(х), составленная из четырех убывающих и одной
возрастающей функции будет возрастающей.(t) = [1; +∞) = D(p). Функция p =
1 / t строго убывает на области определения, поэтому E(p) = (0; 1] = D(u).
Функция u = (2 / π)arcctg p строго убывает на области
определения, поэтому E(u) = [1 / 2; 1] = D(v).
Функция v = log1 / 2 u строго убывает на области определения, поэтому
E(v) = (0; 1] = D(y).
Функция y = arctg v строго возрастает на области определения, поэтому
E(у) = (0; π / 4]. [28].
Зачастую учителя, репетиторы и родители, помогающие своим детям
подготовиться к ЕГЭ, пытаются прорешать как можно больше вариантов предыдущих
лет. Такой путь неперспективен. Во-первых, варианты не повторяются. Во-вторых,
у школьника не формируется устойчивый общий способ деятельности с заданиями
соответствующих видов. В-третьих, у школьника появляется чувство растерянности
и полной безнадежности: заданий так много и все они такие разные. И каждый раз
нужно применять соответствующий подход. Естественно, запомнить все решения всех
заданий невозможно. Поэтому намного разумнее учить школьников общим
универсальным приемам и подходам к решению [18].
Сформулируем принципы построения методической подготовки к ЕГЭ.
Первый принцип - тематический. Разумнее выстраивать такую подготовку,
соблюдая правило - от простых типовых заданий до заданий части С. Система
развития логического мышления учащихся осуществляется с помощью системы
различных типов задач с нарастающей трудностью. Исследования показали, что
расположение однотипных задач группами особенно полезно, поскольку дает
возможность научиться логическим рассуждениям при решении задач и освоить
основные приемы их решения.
Второй принцип: переход к комплексным тестам разумен только в конце
подготовки (апрель-май), когда у школьника накоплен запас общих подходов к
основным типам заданий и есть опыт в их применении на заданиях любой степени
сложности.
Третий принцип: все тренировочные тесты следует проводить с жестким
ограничением времени. Занятия по подготовке к тестированию нужно стараться
всегда проводить в форсированном режиме с подчеркнутым акцентированием контроля
времени. Этот режим очень тяжел школьникам на первых порах, но, привыкнув к
этому, они затем чувствуют себя на ЕГЭ намного спокойнее и собраннее.
Четвертый принцип в шутливой форме звучит так: «Нормальные герои всегда
идут в обход!». Нужно учиться использовать наличный запас знаний, применяя
различные «хитрости» и «правдоподобные рассуждения» для получения ответа
наиболее простым и понятным способом [28].
Например: найти наименьшее значение функции f(x) = log1 / 3(9 - x2).
Можно, конечно, решать стандартным путем: найти производную и исследовать
ее. Но не сразу и вспомнишь формулу производной «полного логарифма».
Вместо того чтобы тратить время на попытки ее вспомнить, можно пойти
таким путем: в области допустимых значений логарифма 9 - x2 ≤ 9, значит,
9 - наибольшее значение выражения, стоящего под знаком логарифма. Поскольку в
основании логарифма 1 / 3 (функция убывающая), то наименьшее значение функции
получается при х = 0, f(0) = log1 / 39 = -2.
Таким образом, на выполнение задания уходит около 30 сек, а это - задание
части В.
Система работы при подготовке школьников к сдаче ЕГЭ
Опираясь на вышеизложенные принципы можно предложить следующую систему
работы при подготовке школьников к сдаче ЕГЭ по математике.
С учетом первого принципа все предлагаемые задания разбиты по следующим
темам:
. Функции.
. Преобразования выражений.
. Уравнения и неравенства.
. Системы уравнений и неравенств.
. Проценты. Прогрессии. Пропорции.
. Производная и первообразная.
В начале учебного года выпускники и их родители знакомятся с планом
подготовки к ЕГЭ [18].
Учащимся 11-х классов предлагаются тренировочные материалы по теме (часть
А) для самостоятельного решения дома в течении заданного срока (две-три
недели). Проводится ряд индивидуальных консультаций. При необходимости на
некоторых консультациях задания решаются на доске.
Проводится зачет по части А. Задания для зачета составлены из решенных
заданий части А.
Учащимся, успешно сдавшим зачет, предлагаются задания части В (тоже на
две-три недели). Учащиеся, не сдавшие зачет, продолжают получать консультации
по части А, остальные по части В.
На втором зачете каждый учащийся сдает тот материал, который ему
необходим.
Учащимся, претендующим на более глубокое знание математики, выдаются
задания части С, и следует еще один зачет.
К третьему, завершающему, зачету учащиеся оказываются дифференцированными
на три группы по уровню подготовленности.
Часть А - это базовый уровень, определенный образовательным стандартом.
Если ученик успешно достигает запланированного данным стандартом уровня знаний,
умений и навыков, то он и получает в соответствии с достигнутыми результатами
отметки. Если он претендует на более высокий уровень знаний (а это всегда выбор
самого учащегося), то справедливо оценивать его, исходя из более высоких
требований к знаниям, умениям и навыкам. Для учащихся со слабыми РУВ
предоставляется возможность пересдать зачет. На ту же работу ему дается в три
раза больше времени.
Возможность пересдачи зачета учит распоряжаться своим временем,
планировать работу (не успел сегодня, надо сделать завтра, но не позднее
оговоренного времени). Выпускник учится определять главное звено в цепи событий
на каждый конкретный момент времени. В процессе такой деятельности у него
вырабатывается склонность к систематичности, основательности в работе,
происходит присвоение таких черт характера, как умение планировать свое время,
быстро входить в работу, умение отдыхать в перерывах между делом,
концентрировать внимание, что немаловажно для формирования уверенности в
собственных силах [28].
Организованная таким образом работа создает ситуацию взаимопомощи,
взаимного обучения, обеспечивает возможность достижения результатов «неуспешными»
учениками, самореализации успешных школьников в качестве консультантов.
Глава 2. Разработка элективного курса «Подготовка по
математике к ЕГЭ», обеспечивающего развитие продуктивного мышления
.1 Программа элективного курса «Подготовка по математике к
ЕГЭ»
Пояснительная записка
Цели курса: развитие продуктивного мышления школьников при подготовке к
ЕГЭ.
Задачи курса:
обеспечение усвоения обучающимися наиболее общих приемов и способов
решения задач повышенного уровня сложности;
формирование и развитие у старшеклассников аналитического и логического
мышления при проектировании решения задачи;
развитие умений самостоятельно анализировать и решать задачи по образцу и
в незнакомой ситуации;
развитие продуктивного мышления, формирование опыта творческой
деятельности учащихся через исследовательскую деятельность при решении
нестандартных задач;
формирование навыка работы с научной литературой, различными источниками;
развитие коммуникативных и общеучебных навыков работы в группе,
самостоятельной работы, умений вести дискуссию, аргументировать ответы и т.д.
Основная задача обучения математике в школе заключается в обеспечении
прочного и сознательного овладения учащимися системой математических знаний и
умений, необходимых в повседневной жизни и трудовой деятельности каждому члену
современного общества, достаточных для изучения смежных дисциплин и продолжения
образования.
Каждый школьник в процессе обучения должен иметь возможность
подготовиться к продолжению образования в избранном им направлении. Это означает
получить полноценную математическую подготовку в гимназии, располагать объемом
знаний и умений, необходимым для обучения в Вузе. Особенности данного
элективного курса определяются особенностями вступительных экзаменов в Вузы.
Математика конкурсного экзамена представляет достаточно развитую дисциплину,
расположенную между школьной и вузовской математикой и частично - вне их.
Оставаясь формально в рамках школьной программы, она впитала в себя достаточно
много идей, не встречающихся или встречающихся редко и не акцентированных в
школьной математике. Единый государственный экзамен заменяет два экзамена -
выпускной за среднюю школу и вступительный в высшие учебные заведения, которые
проводятся с различными целями и соответственно имеют значительные различия в
содержании проверяемого учебного материала. В связи с этим при проведении ЕГЭ
достаточно полно проверяется овладение материалом курса алгебры и начал анализа
10 -11 классов, который контролируется на выпускном экзамене за среднюю школу,
а также владение материалом некоторых тем курсов алгебры основной школы и
геометрии основной и средней школы, которые традиционно контролируются на
вступительных экзаменах в вузы.
Опыт проведения ЕГЭ убедительно свидетельствует, что успеху на экзамене
помогает знакомство со структурой работы, содержанием и формой проверочных
заданий и с требованиями, предъявляемыми к их решению. Данный курс позволяет
выпускнику проверить свою подготовку по математике средней школы и оценить свои
возможности для дальнейшего обучения в выбранном вузе, а также приобрести опыт
рационального распределения времени, отведенного на выполнение работы.
Кроме того, использование при подготовке к ЕГЭ заданий повышенной
сложности и заданий, требующих от учащихся применить смекалку, взглянуть на
задание под другим углом, позволяет развивать продуктивное мышление школьников.
Основные требования к знаниям и умениям учащихся:
1. Выполнять (без калькулятора) действия над числами и числовыми
выражениями; преобразовывать буквенные выражения; переводить одни единицы
измерения в другие.
. Сравнивать числа и находить их приближенные значения (без
калькулятора); доказывать тождества и неравенства с буквенными выражениями.
. Решать уравнения, неравенства, системы (в том числе с параметрами) и
исследовать их решения.
. Исследовать функции; строить графики функций и графики множества точек
на координатной плоскости, заданные уравнениями и неравенствами.
. Пользоваться свойствами чисел, векторов, функций и их графиков,
свойствами арифметической и геометрической прогрессий.
. Пользоваться свойствами геометрических фигур, их характерных точек,
линий и частей, свойствами равенства, подобия и взаимного расположения фигур.
. Пользоваться соотношениями и формулами, содержащими модули, степени,
корни, логарифмические, тригонометрические выражения, величины углов, длины,
площади, объемы.
. Составлять уравнения, неравенства и находить значения величин, исходя
из условия задачи.
. Излагать и оформлять решения логически правильно, полно и
последовательно, с необходимыми пояснениями.
Учебно-тематический план
|
№ п/п
|
Наименование тем курса
|
Всего часов
|
В том числе
|
Форма контроля
|
|
|
|
|
лекция
|
практика
|
семинар
|
|
|
1
|
Преобразование
тригонометрических выражений
|
8
|
2
|
5
|
1
|
тест
|
|
2
|
Решение тригонометрических
уравнений
|
8
|
3
|
4
|
1
|
тест
|
|
3
|
Преобразование рациональных
и иррациональных выражений
|
9
|
3
|
4
|
2
|
тест
|
|
4
|
Решение рациональных
уравнений и неравенств
|
9
|
3
|
5
|
1
|
тест
|
|
5
|
Решение иррациональных
уравнений и неравенств
|
10
|
4
|
5
|
1
|
тест
|
|
6
|
Решение показательных и
логарифмических уравнений и неравенств
|
10
|
3
|
6
|
1
|
тест
|
|
7
|
Решение задач по всему
курсу. Итоговый контроль
|
4
|
|
4
|
|
тест
|
.2 Дидактический материал к элективному курсу
Тема 1. Преобразование тригонометрических выражений. (8 час.) Соотношения между
тригонометрическими функциями одного итого же аргумента. Формулы кратных
аргументов. Обратные тригонометрические функции.
Методы обучения: лекция, объяснение, выполнение тренировочных упражнений.
Формы контроля: проверка задач для самостоятельного решения; тестовая
работа.
Вычислите значение каждой из тригонометрических функций, если (1):
|
1 вариант
|
1. cos a = 5/13,
0 < a< p/2. 2. sin a = 0,6, sin b = - 0,28, 00 < a < 900 ,
1800 < b < 2700. Найдите cos (a + b). 3. sin a=5/13,
π/2< a< p. Найдите
sin 2a.
|
|
2 вариант
|
1. sin a = 0,8,
p/2 < a < p. 2. sin a = - 12/13, p < a < p. Найдите tg (a - ). 3.
sin a=5/13, π/2<
a< p. Найдите cos 2a.
|
|
3 вариант
|
4. cos a = -
3/5, 1800 < a < 2700. 5. sin a = 0,8, sin b = - 0,96, 00 < a <
900 , 00 < b < 900. Найдите sin (a - b). 6. sin a=5/13,
π/2< a< p. Найдите
ctg 2a.
|
|
4 вариант
|
1. sin a = 0,6,
00 < a < 900 2. tg a=3/4, π < a<
3π/2. Найдите sin 2a.
3. sin a=8/17,
cos b=4/5,a и b - углы первой четверти. Найдите cos (a + b).
|
|
5 вариант
|
1. sin a = -
0,6, 2700 < a < 3600. 2. tg a=3/4, π < a<
3π/2. Найдите cos 2a.
3. sin a=8/17,
cos b=4/5, a и b - углы первой четверти. Найдите sin (a + b).
|
|
6 вариант
|
1. tg a = 2,
1800 < a < 2700 . 2. tg a=3/4, π < a<
3π/2. Найдите tg 2a. 3.
sin a=8/17, cos b=4/5, a и b - углы первой четверти. Найдите cos (a - b).
|
|
7 вариант
|
1. ctg a = - 3,
2700 < a < 3600. 2. tg a=3/4, π < a<
3π/2. Найдите ctg 2a.
3. sin a=9/41,
cos b=-40/41. a - угол 2 четверти, b -
угол четвёртой четвери. Найдите
sin (a + b).
|
|
8 вариант
|
1.
sin a=4/5, π/2 < a< π. 2. cos a=-0,6, π < a<
3π/2. Найдите sin 2a.
3. cos a=0,6, sinb=- 0,28, 00 < a < 900 , 1800 < b < 2700.
Найдите cos (a + b).
|
|
9 вариант
|
1.
cos a = - 5/13, π < a< 3π/2. 2. cos a=-0,6, π < a<
3π/2. Найдите cos 2a.
3. cos a=0,6, sinb=- 0,28, 00 < a < 900 , 1800 < b < 2700.
Найдите sin (a - b).
|
|
10 вариант
|
1.
cos a = 15/17, 3π/2 < a< 2π. 2. cos a=-0,6, π < a<
3π/2. Найдите ctg 2a.
3. cos a=0,6, sinb=- 0,28, 00 < a < 900 , 1800 < b < 2700.
Найдите cos (a -b).
|
Тема 2. Решение тригонометрических уравнений. (8 час.) Формулы корней простейших
тригонометрических уравнений. Частные случаи решения простейших
тригонометрических уравнений. Отбор корней, принадлежащих промежутку. Способы
решения тригонометрических уравнений.
Методы обучения: лекция, объяснение, выполнение тренировочных упражнений.
Форма контроля: проверка задач для самостоятельного решения, тестовая
работа.
Уравнения, сводимые к алгебраическим.
Примеры :
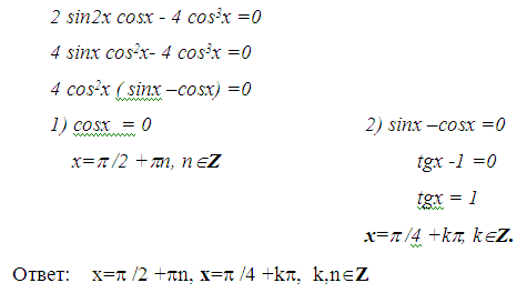
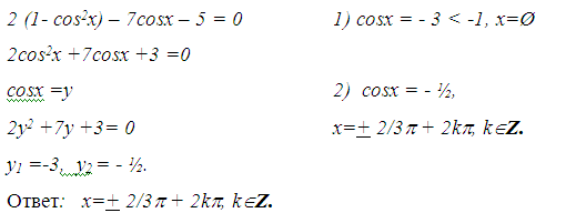
Решить уравнения
а) 2sin2x - 7cosx -
5 = 0
Решение.
б)
cos2x + 3sinx = 2.
Решение.
Однородные уравнения
Решить уравнения.
а) cos2x + sinx cosx = 0
В условии не указано, что cosx≠0, а потому делить уравнение на cos2x нельзя. Но можно
утверждать, что sinx ¹0, так как в противном случае cosx = 0, что невозможно одновременно.
Разделим обе части уравнения на sin2x, получим:
б) 4sin2x+2sin
х cosx = 3.
Решение.
Умножим правую часть уравнения на sin2x + cos2x.
Получим:
sin2 х + 2 sinx cos х =3 sin2x +cos2x,
sin2 х +2 sinx cos x - 3cos2x = 0.
Очевидно, что cos x ≠ 0. Разделим на cos2x, получим:
Уравнения, решаемые разложением на множители
Решить уравнения.
а) sin2x- sin х= 0.
Решение.
б)
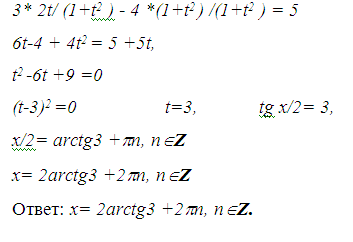
sin4x -cos2x = 0
Решение.
sin2x cos2x -cos2x = 0x (2 sin2x -cos2x) =0
) cos2x =0,
2x=p /2 +pn, nÎZ.=p /4 +n p /2, nÎZ
2) 2 sin2x -cos2x =0
tg2x -1 =0x=1/2
x= arctg1/2 + kp,k ÎZ.
x=1/2 arctg1/2 +kp /2, kÎZ.
Ответ:
x=p /4 +n p /2, x=1/2 arctg1/2 +kp /2, n,kÎZ.
Уравнения, решаемые с помощью формул сложения тригонометрических функций
Решить уравнения
а) sinx + sin3x =4 cos3x
Решение.
Уравнения, решаемые с помощью формул понижения степени
Решить уравнения.
а) 2 sin2x +cos4x = 0.
Решение.
б) sin2x
- sin22x + sin23x =1/2.
Решение.
Уравнения, решаемые с помощью формул понижения степени.
Решить уравнения.
а) 3sinx + 4 cosx = 2
Решение.
a =3, b= 4, c=2, a2
+ b2 =25, c2 =4, a2+b2 > c2, следовательно уравнение имеет решение.
sin (х +j) = 2,
sin (х +j) = 2/5, откуда получим
х +j = (-1) n arcsin
2/5 +pn, nÎZ
х =
(-1) n arcsin 2/5 +pn- j,nÎZ
j = arctg
4/ 3. По четырехзначной математической таблице найдем
arcsin 2/5 » 23 °35¢
j = arctg 4/ 3 » 53° 08¢
х =
(-1) n 23 °35¢+180°n- 53° 08¢,nÎZ
Ответ:х = (-1) n 23
°35¢+180°n- 53° 08¢,nÎZ
б) 3sinx - 4 cosx = 5
Решение.
a =3, b= - 4, c=5, 32 + 42 = 52,т.е. a2+b2
= c2 ,значит уравнение имеет решение.
Решить уравнения.
а) 4 arctg(х2 -3х -3 )-p = 0.
Решение.arctg(х2 -3х -3) =p/4
Так как значения арктангенса находятся в промежутке (-p/2 ; p/2 ), то в этом случае из равенства углов следует
равенство функций. Пользуясь сделанными замечаниями, получим:
х2 -3х -3 = 1
х2 -3х -4 = 0
т.е. х1= -1 и х2 =4.
Ответ:. х1= -1,х2 =4.
б) 6 arcsin (х2 -6х + 8,5) =p
Решение.arcsin (х2 -6х + 8,5) =p/6,
х2 -6х + 8,5=0,5
х2 -6х + 8=0, откуда х1=2 и х2= 4.
Ответ: х1=2,х2= 4.
Тема 3. Преобразование рациональных и иррациональных
выражений (9 час.)
Свойства степени с целым показателем. Разложение многочлена на множители.
Сокращение дроби. Сумма и разность дробей. Произведение и частное дробей.
Преобразование иррациональных выражений.
Методы обучения: лекция, объяснение, выполнение тренировочных упражнений.
Формы контроля: проверка задач для самостоятельного решения; тестовая
работа.
Исключение
иррациональности из числителя или знаменателя дробного выражения
Вычисление дробных выражений, содержащих радикалы, часто облегчается,
если предварительно «уничтожить иррациональность» в числителе или знаменателе,
то есть преобразовать дробь так, чтобы в числителе или знаменателе не
содержались радикалы.
В общем случае трудно указать универсальный способ нахождения
дополнительного множителя для произвольного иррационального выражения.
В таблице приведены дополнительные множители для некоторых простейших
иррациональных выражений, полученных с помощью формул сокращённого умножения.
|
(n - нечетное) x - y
|
|
|
Примеры
Исключить иррациональность в знаменатели дроби:
1)
; 2)
; 3)
; 4)
;
5)
.
Решение.
1)
=
;
)
=
;
)
=
;
)
=
;
)
=
Рассмотрим
более сложные примеры.
С
дробью вида
поступают так.
Умножают
знаменатель на
и получают
(
)(
) =
Затем
это выражение умножают на
Отсюда
видно, что дополнительным множителем для данной дроби может быть произведение
(
)(
).
Следовательно,
=
где
Аналогично
можно исключить иррациональность из знаменателей дробей вида
и
(
предлагается учащимся самостоятельно найти дополнительный множитель для данного
вида дробей)
Примеры.
Исключить
иррациональность в знаменателе дроби:
)
; 2)
.
Решение.
)
=
)
Обозначим
Умножим
числитель и знаменатель дроби на выражение (
),
получаем
=
В
результате обратной замены имеем
.
Если
знаменатель дроби - сумма четырёх квадратных корней
,причём ab = cd,
то исключить иррациональность из знаменателя дроби можно так:
=
,
где
Пример:
Ответ:
)
1) -2-
Преобразование
сложного корня (квадратного и кубического).
Выражение
вида
называют сложными квадратными корнями (радикалами).
Для
их преобразования пользуются формулой
;где
А>0, В>0 и
В
правильности этой формулы легко убедится, если возвести обе части формулы в
квадрат. Эта формула упрощает сложный радикал, если
- точный квадрат.
Например:
)
)
На
практике удобно пользоваться более простыми очевидными формулами:
где а≥0,
в≥0
Рассмотрим
примеры:
1) Упростить;
2)
Упростить;

3) Упростить;
Для
применения формулы представим данный корень в виде-
, тогда
Упражнения для самостоятельного решения:
Проверочная работа (На два варианта (а) и (б)).
Проверьте равенство.
а)
б)
Для
упрощения сложных кубических корней, можно подкоренное выражение представить в
виде куба двучленна. Например:
1)
)
Более
сложные примеры:
№1 Упростить выражение.
Решение:
№2 Упростить выражение.
Решение:
=
=
Ответ:
3.
Некоторые
приёмы упрощения иррациональных выражений.
1) Способ подстановки.
Данный метод значительно облегчает технику преобразований.
Рассмотрим примеры:
Пример №1
Упростить выражение.
Решение.
Положив
и
, получим
и
. Данное
выражение принимает вид
Далее
имеем
Делая
обратную замену - имеем
Ответ:
.
)
Для упрощения ряда алгебраических выражений бывает полезно упростить не сами
выражения, а их квадраты.
Пример
№1.
Упростить
Решение:
Пусть
А=
Область
определения данного выражения
Ясно, что
A>0 при x>2 A<0 при 1≤x<2
Далее
имеем
Откуда
А=1 при х >2 и А=-1 при 1≤ х<2
Ответ:
1 если х >2.,-1 если 1≤ х <2
Тема
4. Решение рациональных уравнений и неравенств. (9 час.) Линейное уравнение. Квадратное уравнение.
Неполные квадратные уравнения. Разложение квадратного трехчлена на множители.
Дробно-рациональное уравнение. Решение рациональных неравенств.
Методы
обучения: лекция, объяснение, выполнение тренировочных упражнений.
Форма
контроля: проверка задач для самостоятельного решения, тестовая работа.
Рациональные
уравнения
Определение.
Основные приемы решения рациональных уравнений. Понятие равносильности
преобразований уравнений.
Большое
количество ошибок при решении задач данного раздела связано с неравносильными
преобразованиями, следствием чего является приобретение или потеря решений.
Наиболее
простыми рациональными уравнениями являются линейные и квадратные уравнения. Их
решение можно записать в общем виде. Поэтому естественны попытки приводить
более сложные уравнения к более простым.
Пример
1. Решить уравнение x4+x2-6 =0.
Пример
2. Решить уравнение (x2+x-1)(x2+x+1) = 0.
Пример
3. Решить уравнение x(x+1)(x+2)(x+3) = -
¾.
Возвратные
уравнения.
Определение.
Методы решения. Применение теоремы Безу.
Уравнение
вида
anxn+an-1xn-1+…+a1x+a0 = 0
называется
возвратным, если его коэффициенты, стоящие на симметричных позициях, равны, то
есть если
an-k = an при k
= 0, 1,…, n.
Рассмотрим
возвратное уравнение четвертой степени вида
ax4+bx3+cx2+bx+a = 0,
где
a, b, c - некоторые числа, причем а ≠ 0. Его удобно
решать с помощью следующего алгоритма:
разделить
левую и правую части уравнения на х2. При этом не происходит потери
решения, так как х = 0 не является корнем исходного уравнения при а ≠ 0;
группировкой
привести полученное уравнение к виду
a(x2+1/x2)+b(x+1/x)+c =
0;
ввести
новую переменную t = x+1/x, тогда выполнено
t2 = x2+2+1/x2, то есть x2+1/x2 = t2-2;
в
новых переменных рассматриваемое уравнение является квадратным:
at2+bt+c-2a = 0;
-
решить его относительно t, возвратиться к исходной переменной.
Для
возвратных уравнений более высоких степеней вены следующие утверждения.
Возвратное
уравнение четной степени сводится к уравнению вдвое меньшей степени
подстановкой x+1/x = t.
Возвратное
уравнение нечетной степени обязательно имеет корень х = -1 и после деления
многочлена, стоящего в левой части этого уравнения, на двучлен х+1, приводится
к возвратному уравнению четной степени.
Теорема
о делении многочлена с остатком. Для любых двух многочленов P(x) и Q(x)
существуют единственные многочлены F(x) и R(x)
такие, что выполняются следующие условия
) P(x) = Q(x)*F(x)+R(x);
) степень многочлена R(x) меньше степени многочлена делителя.
Следствия из теоремы о делимости многочленов.
Следствие 1 (Теорема Безу). Если многочлен Р(х) разделить на двучлен
(х-а), то остатком от деления будет число, равное значению многочлена Р(х) при
х = а, т. е. Р(а):
P(x) = (x-a)Q(x)+P(a).
Следствие 2. Если число а является корнем многочлена Р(х), то многочлен
Р(х) делится на двучлен (х-а) нацело.
Следствие 3. Если многочлен Р(х) с целыми коэффициенты имеет целый
корень, то этот корень является делителем свободного члена.
Пример 1. Решить уравнение x4-5x3+6x2-x+1 = 0.
Пример 2. Решить уравнение x3-x2-9x-6 = 0.
Рациональные неравенства.
Определение. Повторение общих правил решения линейных и квадратичных
неравенств к решению более сложных неравенств. Графический метод решения, метод
интервалов. Использование применения равносильности неравенств. Детальное
рассмотрение частных ошибок при решении неравенств.
Для решения рациональных неравенств степеней, больших второй, и
дробно-рациональных неравенств лучше использовать метод интервалов. Идея метода
интервалов для решения неравенств вида Р(х) > 0, где Р(х) - заданный
многочлен, заключается в следующем. На числовой оси выделяются интервалы, на
которых функция, стоящая в левой части неравенства, имеет постоянный знак и
отмечаются точки, в которых рассматриваемое выражение равно нулю. На каждом из
получившихся интервалов ставят знак левой части на данном интервале и записывают
ответ.
Пример 1. Решить неравенство -x2-2x+3 > 0.
Пример 2. Решить неравенство (2x+1)4(2-x)(x-1)4(x-3)7(3x-2) < 0.
Пример 3. Решить неравенство (x2-11x2+39x-45)/(x+2) ≥ 0.
Пример 4. Решить неравенство 1/x < 2.
Уравнения с модулем.
Повторение свойств модуля и решение уравнений, содержащих неизвестную под
знаком абсолютной величины. Выявление типичных ошибок при решении уравнений с
модулем.
Уравнения вида |f(x)| = g(x) можно решать
двумя способами. Первый, стандартный, основан на раскрытии модуля, исходя из
его определения, и заключается в переходе к совокупности двух систем
Второй способ состоит в переходе от исходного уравнения к равносильной
системе
Первый способ рациональнее применять в случае сложного выражения для
функции g(x) и не очень сложного - для функции f(x); второй способ,
наоборот, удобнее использовать, если выражение для функции g(x) не сложно.
Пример 1. Решить уравнение |x+2| = 6-2x.
Пример 2. Решить уравнение |x2-2x-1| = 2x+2.
Пример 3. Решить уравнение |3x+4|+2|x-3| = 16.
Рациональные неравенства с модулем
Повторение свойств модуля и решение неравенств, содержащую неизвестную
под знаком абсолютной величины.
Решение неравенств с модулем строится аналогично решению соответствующих
уравнений. Лишь на этапе освобождения от модуля решается, естественно, не
уравнение, а неравенство.
Пример 1. Решить неравенство |x-4|+|x+1| < 7.
Пример 2. Решить неравенство |x2-2x| ≤ x-1.
Пример 3. Решить неравенство 2|x2-1| > x+1.
Заключительное занятие
Обобщение полученных знаний. Итоговое тестирование с целью проверки
прочности полученных знаний и умений.
Вариант 1 (вариант 2).
1. Решите уравнение 3x2-7x+4 = 0 (3x2-7x+6 = 0);
2. Решите неравенство 8x2+11x+4 > 0 (5x2+6x+2 > 0);
3. При каких значениях параметра а уравнение (a+4)x2+6x-1 = 0 ((a+2)x2-3x+1 =
0) имеет единственное решение?
4. При каких значениях параметра а уравнение a(a+3)x2+(2a+6)x-3a-9 = 0 имеет более одного корня? (При каких значениях
параметра а сумма квадратов корней уравнения 3x2+30x+a = 0 равна 40?)
5. При каких значениях параметра а уравнения х2-х+3а = 0 и ах2-х+3
= 0 (х2-3а3/2х+а2 = 0 и х2/а2-3√ах+а2
= 0) имеют хотя бы один общий корень?
6. Пусть х1 и х2 - корни уравнения 3х2-ах+2а-1
= 0. Вычислите х13+х23. (При каких
значениях параметра k уравнение x2+6x+k = 0 не имеет положительных корней?)
7. Решите уравнения: а) 1/х = (3-2х)/(х2+х-4); б) (х2-3х+2)/(3-х)
= 2-2х (а) 1-25/х2 = 24/х; б) (х2-7х+6)/(3х-18) = 0).
8. Решите уравнение |3х-1| = х+2 (х2+|х-1| = 1).
Тема 5. Решение иррациональных уравнений и неравенств. (10 час.) Иррациональные уравнения.
Метод равносильности. Иррациональные неравенства. Алгоритм решения неравенств
методом интервалов.
Методы обучения: лекция, объяснение, выполнение тренировочных упражнений.
Формы контроля: проверка задач для самостоятельного решения; тестовая
работа.
Определение. Иррациональным называется уравнение, содержащее неизвестное
под знаком радикала.
Например,
;
.
В
элементарной математике иррациональные уравнения рассматриваются в множестве
действительных чисел.
Сначала,
разберём наиболее часто применяемые методы решения иррациональных
алгебраических уравнений, так называемые стандартные методы.
К
ним отнесём два метода:
)
метод возведения обеих частей уравнения в одну и ту же степень;
)
метод введения новых переменных.
.Метод
возведения обеих частей уравнения в одну и ту же степень состоит в
следующем:
а)
преобразуют заданное иррациональное уравнение к виду
;
б)
возводят обе части полученного уравнения в n-ю степень:
;
в)
учитывая, что
получают уравнение f(x)=q(x);
г)
решают уравнение и делают проверку,так как возведение обеих частей уравнения
в
одну и ту же чётную степень может привести к появлению посторонних корней.
В
множестве действительных чисел возведение обеих уравнения в нечётную степень
приводит к равносильному уравнению и поэтому проверка не требуется.
Пример
№1. Решить уравнение
.
Решение:
Возведём обе части уравнения в шестую степень,
получим
Х-3=64, откуда Х=67.
Проверка.
Подставим 67 вместо Х в данное уравнение, получим
,
то есть 2=2 - верное равенство.
Ответ:
Х=67.
Иногда
удобнее решать иррациональные уравнения, используя равносильные переходы, то
есть
При
решении иррациональных уравнений следует иметь в виду, что не принадлежащие ОДЗ
значения неизвестного всегда посторонние для решаемого уравнения; их можно
отбросить без проверки по условию.
Примеры.
№1.
Решить уравнение
Решение:
;
;
;
Х1=
- 2 - не удовлетворяет условию х
.
Ответ:
х=3.
№2.
Решить уравнение
.
Решение:
;
; х=7.
Ответ:
х = 7.
№3.
Решить уравнение
Решение:
;
;
.
Ответ:
х1=3; х2= -2.
Более
сложные иррациональные уравнения, содержащие два или три знака радикала.
Общий
метод решения заключается в следующем:
Сначала
изолируют один радикал, затем обе части уравнения возводят в степень, потом
снова изолируют радикал и так далее. При возведении обеих частей уравнения в
одну и ту же степень ,получается уравнение, в общем случае не равносильное
данному, поэтому проверка найденных значений неизвестного по условию данного
уравнения обязательна, то есть является составной частью решения.
Пример
1.
Решить
уравнение
Решение:
Преобразуем уравнение к виду
Возведём
обе части уравнения в квадрат
,
Ещё
раз возведём обе части уравнения в квадрат, получим
,то есть
, откуда
Проверка:
1) при х=5 имеем
; 6=6. Х=5 - является корнем заданного уравнения.2)
при х=197 имеем
то есть х=197 -посторонний корень.
Ответ:
х=5.
.
Метод введения новых переменных
Другим
приёмом решения иррациональных уравнений является способ введения новых
переменных, относительно которых получается либо более простое иррациональное
уравнение, либо рациональное уравнение.
Пример1.
Решить
уравнение
Решение:
Обозначим
, тогда
, при этом
для всех х
R
.
Получим
По
теореме ,обратной теореме Виета
то есть
;
.
Обратная
замена
Устная проверка.
Ответ:
Графическое
решение уравнений
На
практике довольно часто оказывается полезным графический метод решения
уравнений. Он заключается в следующем:
для
решения уравнения f(x} = 0, надо построить график функции у = f(x) и
найти абсциссы точек пересечения графика с осью Х; эти абсциссы и являются
корнями уравнения.
Например,
надо решить уравнение
.
Часто
уравнение f(x)=0 заменяют равносильным g(x) =h(x),
затем строят графики функций у = g(x) и y=h(x) ( если это проще, чем построение графика функции у =
f(x) ) и находят абсциссы точек пересечения построенных графиков.
Так
уравнение
можно преобразовать к виду
и найти абсциссы точек пересечения этих графиков.
Пример.
Решить уравнение
Решение:
Построим в одной системе координат графики функций у=
и у=
у=
- график получается смещением графика функции у=
на единицы вправо вдоль оси ОХ. Графики функций
пересекаются в двух точках с абсциссами х1
(
проверкой следует убедиться в точности результатов)
Ответ:
х1=1; х2=4.
Надо
отметить, что графический метод даёт приближённые ответы. При необходимости
проверкой убеждаемся в точности полученных результатов.
Способ
сопряжённого умножения
В
основе рассматриваемого способа лежит формула:
Выражения
и
мы будем
называть сопряжёнными, Иногда использование этой формулы облегчает решение.
Пример1
Решить уравнение
Решение:
Домножим левую и правую часть уравнения на сумму радикалов, стоящих в левой
части. Получаем
Решим
второе уравнение методом введения новых переменных.
Пусть

тогда
Решая
уравнение
, получаем два корня
,
так как
, то
.
Выполняя
обратную замену, имеем х+3=
Х+3
=
, значит х =
Ответ:
х1=
.
Заметим,
что умножение на сумму радикалов в данном случае не приводит к появлению
посторонних корней - ведь область определения этой сумму та же, что исходного
уравнения, и она положительна, как сумма отрицательных слагаемых, не обращающихся,
очевидно в ноль одновременно.
Отметим
также, что решить уравнение «в лоб» довольно трудно - оно путём громоздких
вычислений сводится к уравнению четвёртой степени.
Пример
2
Решить
уравнение:
Решение.
Умножим обе части уравнения
на
сопряжённое левой части выражение, то есть на
,
так как
при х
, так как D<
0.
Получаем
Сложим
почленно уравнения
и
,получим 2
.
Проверка
) Х=
, то
То
есть х =
- корень уравнения
) Х=1,
то
1=1.
Х=1- корень уравнения.
Ответ:
Оригинальные
способы решения иррациональных уравнений
В
ряде случаев достаточно внимательно проанализировать область определения
уравнения, сравнить подкоренные выражения и решение оказывается совершенно
простым
Пример
1
Решить
уравнение:
Решение:
Обратим внимание на подкоренные выражения х-3 и 3-х. Оба этих выражения должны
быть неотрицательны, то есть
;
, значит х =3.
Проверка:
0+
+
Ответ:
х = 3.
Пример
2
Решить
уравнение:
Решение:
Так как разность между двумя радикалами равна 1, то 2х-3>2х-1, то есть
-3>-1, что неверно, а значит, уравнение корней не имеет.
Ответ:
решений нет.
Пример
3
Решить
уравнение:
.
Решение:
ОДЗ:
;
система
не имеет решений.
Ответ:
нет корней.
Пример
4
Решить
уравнение:
Решение:
ОДЗ х
, x-2<x+3 для всех х
R, значит
, то есть
то есть уравнение не имеет решений.
2.3
Организация и анализ результатов педагогического исследования
При
внедрении программы подготовки к ЕГЭ, способствующей развитию продуктивного
мышления, исследования включало изучение творческой мотивации и особенностей
учебно-познавательной деятельности старшеклассников, диагностику организации
процесса продуктивной умственной деятельности школьников методом наблюдения за
деятельностью учителя и учащихся в системе уроков.
Изучая
особенности продуктивного мышления старшеклассников, мы придерживались
смысловой теории мышления, выдвинутой и обоснованной О.К. Тихомировым. Он
отмечал, что главная особенность творческого мышления состоит в уровне
обобщения, характере используемых средств, их новизне для субъекта, степени активности
самого субъекта мышления [31]. При оценивании результатов тестирования
математических задач ЕГЭ характеристики продуктивного мышления беглость,
гибкость, оригинальность, выступили в роли критериев исследуемого процесса.
Испытуемыми были 30 учащихся старших классов школы № 6 г. Татарска во время
проведения занятий по программе подготовке к ЕГЭ.
Полученные
результаты представлены в Приложении 1 (таблица 1).
По результатам обследования при решении задач ЕГЭ из пунктов «В» у 5
школьников выявлен низкий уровень продуктивного мышления, у 21 человека -
средний, 4 школьника с высоким уровнем креативности.
Способность видеть проблему при решении задач неразрешимую с помощью
известных, стереотипных интеллектуальных действий использовалось в качестве
наиболее точного критерия умения мыслить продуктивно. Поэтому нас в первую
очередь интересовали ответы учащихся на ниже приведенные вопросы.
. Удавалось ли вам находить противоречия там, где другие их не видят?
Случалось ли вам прозорливо усматривать, самостоятельно выявлять и оригинально
ставить перед собой проблемы? Если ваш ответ положителен, назовите, пожалуйста,
проблемы.
. Над какими проблемами вы думаете: а) редко; б) часто; в) постоянно.
. Овладеваете ли вы сами умением мыслить, думать, догадываться, предвосхищать
и предвидеть нужные раскрывающиеся вам факты?
. Приходилось ли вам участвовать в порождении учебных задач?
. Наиболее характерные вопросы, задаваемые вами на уроках?
На первый вопрос отвечали все испытуемые учащиеся старших классов, и все
ответили - «нет».
Умение самостоятельно ставить вопросы, рождающиеся в процессе решения
математических задач по теме «Функции», потребность самостоятельного
исследования проблем, неразрешимых с помощью известных знаний и действий -
показатель наличия культуры мышления, отсутствие указанных умений и
потребностей свидетельствует об ее отсутствии. Ответы на другие вопросы также
вызвали у старшеклассников затруднения. Результаты опроса, анкетирования,
наблюдения за учащимися в процессе обучения приводят к выводу, что школьники в
процессе учебной деятельности решают в основном упрощенные по смысловому
содержанию математические задачи, которые могут решаться на сравнительно низких
уровнях продуктивного мышления. Но продуктивная природа умственного процесса
прежде всего проявляется в том, что сам этот процесс безгранично далеко выходит
за пределы стандартных ситуаций. Подавляющее большинство учебных задач,
стимулирующих продуктивную умственную деятельность, требует выявления новых
средств и способов решения в процессе самостоятельной познавательной
деятельности учащихся. Построение учебной деятельности школьников не
способствует максимальной мобилизации умственных возможностей обучаемых.
Наблюдения показали, что весьма часто в своей учебной работе школьники
оказываются не в состоянии не только углубляться в изучение поставленного к
задаче вопроса и цели ее, но даже мысленно сколько-нибудь отступать от
первоначально сформулированной цели, тогда как именно в умении мысленно
«отойти» от ее исходной постановки и таится часто наиболее правильное решение.
В подавляющем большинстве случаев учащиеся средней школы проявляют такую
беспомощность не по причине ограниченности своих умственных способностей, а
прежде всего потому, что сам подход учителей к обучению школьников, принцип
построения учебных задач в существующих сборниках и задачниках не стимулирует
продуктивную умственную деятельность учащихся. Сами вопросы и цели в задачах
строятся в таких категоричных формулировках, что учащиеся одну из частых
постановок вопроса принимают за единственно возможный вариант и в дальнейшем
при решении задачи ориентируются только на этот локально сформулированный
вопрос, даже не предполагая, что в данной учебной задаче могут быть другие
принципиально иные пути ее решения.
При анализе полученных результатов выявлен ряд общих существенных
характеристик обучения, независящих от уровня: а) предметного содержания
реализуемой учебной программы; б) качественной успеваемости обучающихся; в)
профессиональной компетенции учителя. К ним относятся:
. Преимущественное стимулирование одной психической функции - памяти,
которая доминирует над процессом мышления (до 90 % вопросов, предлагаемых
учителем на уроке, обращены к памяти учащихся). Сложные проблемные вопросы,
пробуждающие потребность в мысли, усиливающие мысленное принуждение,
используются редко и не всеми учителями.
. Школьники в процессе учебно-познавательной деятельности решают в
основном упрощенные по смысловому содержанию задачи, которые могут быть
выполнены на сравнительно низких уровнях умственных возможностей; учебный
процесс ориентирован преимущественно на репродуктивную умственную деятельность
учащихся.
. Содержание, формы, методы обучения в целом не ориентированы на
интенсивное развитие постепенно развивающейся интеллектуальной активности
школьников.
. Реальный педагогический процесс противоречит объективным законам
процесса познания. Знания учащимися усваиваются в «готовом виде», оставляя в
стороне сам процесс получения нового знания, полный сложностей и противоречий,
что не сообразуется с законами психического, в частности, умственного развития.
Условия обучения не стимулируют процесс продуктивного мышления школьников, а
скорее, тормозят его [3].
Проведенное исследование подтвердило недостаточную эффективность
существующей системы школьного обучения. Объективно возникающие в процессе
продуктивной деятельности школьников в основном преодолеваются логическим
путем, а психологический момент такого преодоления, существующий в единстве с
логическим, пока еще слабо учитывается. Тем самым тормозится умственное
развитие школьников в процессе обучения: познавательные барьеры в ходе обучения
не преодолеваются, а устойчиво воспроизводятся, при этом предпосылки к
высокопродуктивным умственным процессам не созревают.
Исследование особенностей развития продуктивного мышления школьников в
аспекте влияния на него различных условий обучения дало возможность установить
следующее. Традиционная система обучения не вполне благоприятна для детей с
более высоким темпом развития их продуктивного мышления. Относительно небольшие
требования к активной мыслительной деятельности тормозят темпы их развития.
Проанализировав исходное состояние развития продуктивного мышления
школьников, нами была разработана программа подготовки к ЕГЭ по математики,
способствующая развитию этого вида мышления.
Для получения достоверных результатов формирующего эксперимента была
проведена диагностика исходного состояния развития продуктивного мышления
школьников.
Данные, полученные в результате тестирования, свидетельствуют что по
итогам формирующего эксперимента, процент школьников с низким уровнем развития
продуктивного мышления небольшой - 16,5%, средний уровень развития
продуктивного мышления имеет подавляющее большинство школьников - 64%,
достаточный уровень был обнаружен у 6,5% школьников, высоким уровнем
продуктивного мышления обладают 13% участников эксперимента.
Проведя повторное обследование, мы получили следующие результаты (Прил.
1, таблица 2)
По результатам обследования у 5 школьников (16%) обнаружился высокий
уровень развития продуктивного мышления у 20 школьников (84%) средний уровень
развития продуктивного мышления.
На констатирующем этапе эксперимента было обнаружено пять школьников с
низким уровнем развития продуктивного мышления, что составило 16,5%; в
контрольном исследовании школьников с низким уровнем развития продуктивного
мышления не было. Повысился процент школьников, обладающих высоким уровнем
развития продуктивного мышления: с 13% до 16%. Процент школьников со средним
уровнем развития продуктивного мышления вырос: с 72% до 84%.
Также повторно было проведено тестирование на выявление чувствительности
к противоречиям по старым вопросам:
. Удавалось ли вам находить противоречия там, где другие их не видят?
Случалось ли вам прозорливо усматривать, самостоятельно выявлять и оригинально
ставить перед собой проблемы? Если ваш ответ положителен, назовите, пожалуйста,
проблемы.
. Над какими проблемами вы думаете: а) редко; б) часто; в) постоянно.
. Приходилось ли вам участвовать в порождении учебных задач?
. Наиболее характерные вопросы, задаваемые вами на уроках?
На первый вопрос «нет» ответило 14 старшеклассников, что на 53% меньше,
чем на формирующем этапе эксперимента.
У большинства старшеклассников не вызвали затруднений и ответы на другие
вопросы, что так же является показателем развития продуктивного мышления в
процессе занятий по подготовке к ЕГЭ.
Результаты опроса, анкетирования, наблюдения за учащимися в процессе
обучения показывают, что школьники научились решать усложнённые задачи, часть
школьников (3 человека - 10% учащихся) находила нестандартные решения задачи,
демонстрировала умения решать задачу несколькими способами.
Заключение
Подводя итоги всей работы, мы отмечаем, что проблему формирования
продуктивного мышления школьников можно решать на уроках математике. Развитие
продуктивного мышления сегодня не отдалённая цель, а реальная программа
воспитания и обучения. Важность этой программы обусловлена необходимостью
активизировать творческий потенциал личности, так как в современных условиях
многие жизненные ситуации требуют оригинальных подходов, нестандартных.
Каждый ребёнок рождается с врождёнными задатками, которые лишь во
взаимодействии с другими условиями могут оказаться включенными - в ходе жизни.
Проведённый теоретический анализ психолого-педагогической литературы по
проблеме исследования позволил установить, что вопросы развития продуктивного
мышления в определённой степени противоречивы и не позволяют однозначно
интерпретировать понятия, используемые в этой предметной области. Мнение
большинства специалистов едины в том, что креативное, творчески ориентированное
образование позволяет воспитывать нестандартно мыслящих людей, способных
грамотно решать проблемы, эффективно работать в самых разнообразных областях
деятельности независимо от формальной специальности.
Выбор критериев и показателей, характеризующих продуктивное (творческое)
мышление, позволил провести типизацию групп, соответствующих четырём уровням
развития творческого мышления: низкий, средний, достаточный, высокий.
После разработке программы подготовки к ЕГЭ по математике, направленной
на развитие продуктивного мышления, в контрольном исследовании зафиксированы
более высокие результаты по сравнению с результатами первого тестирования.
На констатирующем этапе эксперимента было обнаружено пять студентов с
низким уровнем развития продуктивного мышления, что составило 16,5%; в
контрольном исследовании школьников с низким уровнем развития продуктивного
мышления не было. Повысился процент школьников, обладающих высоким уровнем
развития продуктивного мышления: с 13% до 16%. Процент школьников со средним
уровнем развития продуктивного мышления вырос с 72% до 84%.
Таким образом, была получена положительная динамика всех уровней
продуктивного мышления школьников. Следовательно, разработанная программа
оказалась эффективной. Гипотеза о возможности развития продуктивного мышления
школьников при подготовке к ЕГЭ по математике подтвердилась. Цели и задачи,
поставленные при выполнении дипломной работы, достигнуты.
Список литературы
1. Аганисьян В. М. Психолого-дидактические основы творческого
взаимодействия преподавателя и обучающихся в процессе учебного диалога. - СПб.:
ЛОИРО, 1998. - С.133.
. Аганисьян В. М. Психолого-дидактические основы творческого
взаимодействия преподавателя и обучающихся в процессе учебного диалога. - СПб.:
ЛОИРО, 1998. - С.133.
. Атахов Р. Соотношение общих закономерностей мышления и
математического мышления. Вопросы психологии. - М.: 1995. - С.17.
. Башмаков М.И. Алгебра и начала анализа. - Дрофа, 1996. -
С.128.
. Бородуля И. Т. Тригонометрические уравнения и неравенства:
Кн. Для учителя. - М.: Просвещение, 1989. - С.239.
. Брушлинский А.В. Мышление и прогнозирование: Логико-психологический
анализ. - М., 1979. - С.240.
. Вертгеймер М. Продуктивное мышление. - М.: Прогресс, 1987.
- С.336.
. Готовимся к ЕГЭ по математике. Обобщающее повторение курса
алгебры и начал анализа / Под ред. Семенко Е. А., Васильева И. В., Канюка М. В.
Фоменко М. В.- Краснодар: Просвещение, 2005. - С.137.
. Грановская Р. М., Крижанская Ю. С. Творчество и преодоление
стереотипов. - Санкт-Петербург, ОМС, 1994. - С.192.
. Гройсман А. Л. Психология. Личность. Творчество. Регуляция
состояний. Ч. 3. - М., 1993. - С.119.
. Давыдов В.В. Теория развивающего обучения / В.В. Давыдов. -
М., 1996. - С.176.
. Дружинин В. Диагностика общих познавательных способностей.
// Когнитивное обучение: современное состояние и перспективы. - М..: Изд.
Институт психологии РАН, 1997. - С.296.
. Единый государственный экзамен: Математика:
2004-2005.Контр. измерит. матер./ Л.О.Денищева, Г.К.Безрукова, Е.М. Бойченко и
др.; под. Ред. Г.С.Ковалевой. - И-во образования и науки РФ. Федеральная служба
по надзору в сфере образования и науки.: Просвещение, 2005. - С.80.
. Задания для подготовки к ЕГЭ - 2010 / Семенко Е.А.,
Крупецкий С.Л., Фоменко Е. А., Ларкин Г. Н. - Краснодар: Просвещение - Юг,
2010. - С.136.
. Калмыкова З.И. Продуктивное мышление как основа
обучаемости. - М., 2001. - С.234.
. Кочагин В. В. ЕГЭ-2009. Математика. Тематические
тренировочные задания. - М.: Эксмо, 2008. - С.256.
. Краткий психологический словарь / Под общ. ред. А.В
Петровского, М.Г. Ярошевского. - Ростов н/Д.: Феникс, 1999. - С.81.
. Лаппо Л.Д. ЕГЭ. Математика. Практикум по выполнению типовых
тестовых заданий ЕГЭ: учебно-методическое пособие/ Л.Д. Лаппо, М.А. Попов, М.:
Издательство «Экзамен», 2007. - С.255.
. Людмилов Д. С. Некоторые вопросы проблемного обучения
математике. - Пермь, 1975. - С.115.
. Лютикас В.С. Факультативный курс по математике: Теория
вероятностей: Учеб. пособие для 9-11 кл. сред. шк. - 3-е изд. перераб. - М.:
Просвещение, 1990. - С.160.
. Макарычев Ю.Н. и др. Тригонометрия. - М. Просвещение, 2005
. Матюшкин А. М. Мышление, обучение, творчество. - М.: Изд-во
МПСИ, 2003. - С.387.
. Мочалов В. В., Сильвестров С. В. Уравнения и неравенства с
параметрами. - Чебоксары: Издательство Чувашского Университета., 2000. - С.144.
. Немов Р. С. Психология Учеб. для студентов высш. пед. учеб.
заведений В 3 кн. Кн. 1. Общие основы психологии. 3-е изд. - М. Гуманит. изд.
центр ВЛАДОС, 1997. - С.688.
. Пономарев Я. А. Психология творчества и педагогика. - М.,
1976. - С.302.
. Практическая психодиагностика. Методики и тесты / Ред-сост.
Д. Я. Райгородский - Самара: Бахрах, 1998.- С.234.
. Рубинштейн С. Л. Основы общей психологи. - СПб.: Питер,
2000. - С.712.
. Сергеев И. В. Отличник ЕГЭ. Математика. Решение сложных
задач. - М.: Интеллект-Центр, 2010. - С.80.
. Телегина Э.Д. Репродуктивные и продуктивные компоненты
мышления в педагогической деятельности. / Мышление и общение в практической
деятельности. - Ярославль, 1992. - С. 75-76.
. Теория и практика продуктивного обучения / под ред. М.И.
Башмакова. - М.: Народное образование, 2000. - С.6-14.
. Тихомиров, О.К. Психология мышления: учеб пособие для студ.
высш. учеб. заведений / О.К. Тихомиров. - 3-е изд., стер. - М.: Издательский
цент "Академия", 2002. - С.287.
. Туник Е. Е. Креативные тесты (адаптированный вариант). -
СПб., 2002. - С.48.
. Яковлева Е. Л. Психология развития творческого потенциала.
- М., 1997. - С.224
Приложение 1
Диагностика продуктивного мышления
Данная методика позволяет определить четыре уровня продуктивного
мышления: интерес к предмету (И); воображение (В); сложность (С) и творчество
(Т). Несмотря на ее адресованность юношескому возрасту, она не утрачивает своей
прогностичности и в зрелом возрасте.
Инструкция к тесту. Это задание поможет вам выяснить, каков у вас уровень
продуктивного мышления. Среди следующих коротких предложений вы найдете такие,
которые определенно подходят вам лучше, чем другие. Их следует отметить знаком
«Х» в колонке «В основном верно». Некоторые предложения подходят вам лишь
частично, их следует пометить знаком «Х» в колонке «Отчасти верно». Другие
утверждения не подойдут вам совсем, их нужно отметить знаком «Х» в колонке
«Нет». Те утверждения, относительно которых вы не можете прийти к решению,
нужно пометить знаком «Х» в колонке «Не могу решить».
Делайте пометки к каждому предложению и не задумывайтесь подолгу. Здесь
нет правильных или неправильных ответов. Отмечайте первое, что придет вам в
голову, читая предложение. Это задание не ограничено во времени, но работайте
как можно быстрее. Помните, что, давая ответы к каждому предложению, вы должны
отмечать то, что действительно чувствуете. Ставьте знак «Х» в ту колонку,
которая более всего подходит вам. На каждый вопрос выберите только один ответ.
Тестовый материал
. Если я не знаю правильного ответа, то попытаюсь догадаться о нем.
. Я люблю рассматривать предмет тщательно и подробно, чтобы обнаружить
детали, которых не видел раньше.
. Обычно я задаю вопросы, если чего-нибудь не знаю.
. Мне не нравится планировать дела заранее.
. Перед тем как играть в новую игру, я должен убедиться, что смогу
выиграть.
. Мне нравится представлять себе то, что мне нужно будет узнать или
сделать.
. Если что-то не удается с первого раза, я буду работать до тех пор, пока
не сделаю это.
. Я никогда не выберу игру, с которой другие незнакомы.
. Лучше я буду делать все как обычно, чем искать новые способы.
. Я люблю выяснять, так ли все на самом деле.
. Мне нравится заниматься чем-то новым.
. Я люблю заводить новых друзей.
. Мне нравится думать о том, чего со мной никогда не случалось.
. Обычно я не трачу время на мечты о том, что когда-нибудь стану известным
артистом, музыкантом, поэтом.
. Некоторые мои идеи так захватывают меня, что я забываю обо всем на
свете.
. Мне больше понравилось бы жить и работать на космической станции, чем
здесь, на Земле.
. Я нервничаю, если не знаю, что произойдет дальше.
. Я люблю то, что необычно.
. Я часто пытаюсь представить, о чем думают другие люди.
. Мне нравятся рассказы или телевизионные передачи о событиях,
случившихся в прошлом.
. Мне нравится обсуждать мои идеи в компании друзей.
. Я обычно сохраняю спокойствие, когда делаю что-то не так или ошибаюсь.
. Когда я вырасту, мне хотелось бы сделать или совершить что-то такое,
что никому не удавалось до меня.
. Я выбираю друзей, которые всегда делают все привычным способом.
. Многие существующие правила меня обычно не устраивают.
. Мне нравится решать даже такую проблему, которая не имеет правильного
ответа.
. Существует много вещей, с которыми мне хотелось бы
поэкспериментировать.
. Если я однажды нашел ответ на вопрос, я буду придерживаться его, а не
искать другие ответы.
. Я не люблю выступать перед группой.
. Когда я читаю или смотрю телевизор, я представляю себя кем-либо из
героев.
. Я люблю представлять себе, как жили люди 200 лет назад.
. Мне не нравится, когда мои друзья нерешительны.
. Я люблю исследовать старые чемоданы и коробки, чтобы просто посмотреть,
что в них может быть.
. Мне хотелось бы, чтобы мои родители и руководители делали все как
обычно и не менялись.
. Я доверяю свои чувствам, предчувствиям.
. Интересно предположить что-либо и проверить, прав ли я.
. Интересно браться за головоломки и игры, в которых необходимо
рассчитывать свои дальнейшие ходы.
. Меня интересуют механизмы, любопытно посмотреть, что у них внутри и как
они работают.
. Моим лучшим друзьям не нравятся глупые идеи.
. Я люблю выдумывать что-то новое, даже если это невозможно применить на
практике.
. Мне нравится, когда все вещи лежат на своих местах.
. Мне было бы интересно искать ответы на вопросы, которые возникнут в
будущем.
. Я люблю браться за новое, чтобы посмотреть, что из этого выйдет.
. Мне интереснее играть в любимые игры просто ради удовольствия, а не
ради выигрыша.
. Мне нравится размышлять о чем-то интересном, о том, что еще никому не
приходило в голову.
. Когда я вижу картину, на которой изображен кто-либо незнакомый мне, мне
интересно узнать, кто это.
. Я люблю листать книги и журналы для того, чтобы просто посмотреть, что
в них.
. Я думаю, что на большинство вопросов существует один правильный ответ.
. Я люблю задавать вопросы о таких вещах, о которых другие люди не
задумываются.
. У меня есть много интересных дел как на работе (учебном заведении), так
и дома.
Обработка данных теста
При оценке данных опросника используются четыре фактора, тесно
коррелирующие с уровнями продуктивного мышления. Они включают Интерес (И),
Воображение (В), Сложность (С) и Творчество (Т). Мы получаем четыре «сырых»
показателя по каждому фактору, а также общий суммарный показатель.
При обработке данных используется либо шаблон, который можно накладывать
на лист ответов теста, либо сопоставление ответов испытуемого с ключом в
обычной форме.
Ключ к тесту
Склонность к творчеству (ответы, оцениваемые в 2 балла)
положительные ответы: 1, 21, 25, 35, 36, 43, 44;
отрицательные ответы: 5, 8, 22, 29, 32, 34;
все ответы на данные вопросы в форме «может быть» оцениваются в 1 балл;
все ответы «не знаю» на данные вопросы оцениваются в -1 балл и вычитаются
из общей суммы.
Проявление интереса (ответы, оцениваемые в 2 балла)
положительные ответы: 2, 3, 11, 12, 19, 27, 33, 37, 38, 47, 49;
отрицательные ответы: 28;
все ответы «может быть» оцениваются в +1 балл, а ответы «не знаю» - в -1
балл.
Сложность (ответы, оцениваемые в 2 балла)
положительные ответы: 7, 15, 18, 26, 42, 50;
отрицательные : 4, 9, 10, 17, 24, 41, 48;
все ответы в форме «может быть» оцениваются в +1 балл, а ответы «не знаю»
- в -1 балл.
Воображение (ответы, оцениваемые в 2 балла)
положительные: 13, 16, 23, 30, 31, 40, 45, 46;
отрицательные: 14, 20, 39;
все ответы «может быть» оцениваются в +1 балл, а ответы «не знаю» - в -1
балл.
В данном случае определение каждого из четырех факторов продуктивного
мышления осуществляется на основе положительных и отрицательных ответов,
оцениваемых в 2 балла, частично совпадающих с ключом ( в форме «может быть»),
оцениваемых в 1 балл, и ответов «незнаю», оцениваемых в -1 балл.
Этот опросник разработан для того, чтобы оценить, в какой степени
способными на творчество (Т), интерес (И), обладающими воображением (В) и
предпочитающими сложные идеи (С) считают себя испытуемые. Из 50 пунктов 12
утверждений относятся к любознательности, 12 - к воображению, 13 - к
способности идти на риск, 13 утверждений - к фактору сложности.
Конечная количественная выраженность того или иного фактора определяется
путем суммирования всех ответов, совпадающих с ключом, и ответов «может быть»
(+1) и вычитания из этой суммы всех ответов «не знаю» (-1 балл).
Чем выше «сырая» оценка человека, испытывающего позитивные чувства по
отношению к себе, тем более творческой личностью, любознательной, с
воображением, способной пойти на риск и разобраться в сложных проблемах, он
является; все вышеописанные личностные факторы тесно связаны с творческими
способностями.
Могут быть получены оценки по каждому фактору теста в отдельности, а
также суммарная оценка. Оценки по факторам и суммарная оценка лучше
демонстрируют сильные (высокая «сырая» оценка) и слабые (низкая «сырая» оценка)
стороны.
Таблица 1
Результаты определения уровня продуктивного мышления
|
№ п/п
|
|
интерес
|
воображение
|
сложность
|
творчество
|
|
1
|
Миноченко Е. В.
|
21
|
20
|
20
|
20
|
|
2
|
Бигвава Т. З.
|
13
|
14
|
12
|
17
|
|
3
|
Тихонов А. И.
|
16
|
14
|
15
|
17
|
|
4
|
Моисеева В. Ю.
|
11
|
12
|
11
|
14
|
|
5
|
Чаплина Г. В.
|
20
|
22
|
22
|
21
|
|
6
|
Прохоров Е. А.
|
13
|
15
|
15
|
17
|
|
7
|
Крымский А. С.
|
11
|
10
|
10
|
15
|
|
8
|
Мякшина С. А.
|
17
|
18
|
19
|
15
|
|
9
|
Маковецкий А. И.
|
12
|
15
|
15
|
13
|
|
10
|
Леонтьева И. С.
|
19
|
18
|
15
|
18
|
|
11
|
Базев И. В.
|
22
|
20
|
18
|
21
|
|
12
|
Григоренко О. А.
|
15
|
17
|
14
|
13
|
|
13
|
Лепешинская С. В.
|
15
|
14
|
14
|
19
|
|
14
|
Русаков А. Н.
|
18
|
18
|
15
|
14
|
|
15
|
Шведова Н. К.
|
14
|
15
|
14
|
14
|
|
16
|
Буйнова О. А.
|
17
|
19
|
16
|
15
|
|
17
|
Кармелицина О. В.
|
13
|
15
|
15
|
18
|
|
18
|
Свинцова О. П.
|
19
|
17
|
15
|
13
|
|
19
|
Гвоздев В. И.
|
17
|
16
|
18
|
15
|
|
20
|
Бритова С. В.
|
21
|
19
|
18
|
15
|
|
21
|
Картуесова Н. И.
|
15
|
20
|
18
|
17
|
|
22
|
Пырьев С. Н.
|
18
|
15
|
14
|
15
|
|
23
|
Иванова К. С.
|
22
|
18
|
21
|
17
|
|
24
|
Колтунова О. А.
|
14
|
15
|
13
|
14
|
|
25
|
Ачекин С. Б.
|
14
|
18
|
17
|
15
|
|
26
|
Куцепин С. Г.
|
17
|
15
|
17
|
15
|
|
27
|
Колесникова Е. Н.
|
11
|
10
|
11
|
15
|
|
28
|
Чернов К. П.
|
13
|
15
|
13
|
13
|
|
29
|
Беланова Т. М.
|
18
|
22
|
21
|
17
|
|
30
|
Звонарёва А. А.
|
15
|
17
|
15
|
20
|
Таблица 2
Результаты повторной диагностики определения уровня продуктивного
мышления
|
№ п/пФ. И.
испытуемогоинтересвоображениесложностьтворчество
|
|
|
|
|
|
|
1
|
Миноченко Е. В.
|
21
|
23
|
21
|
20
|
|
2
|
Бигвава Т. З.
|
13
|
14
|
15
|
15
|
|
3
|
Тихонов А. И.
|
16
|
18
|
17
|
17
|
|
4
|
Моисеева В. Ю.
|
13
|
14
|
15
|
14
|
|
5
|
Чаплина Г. В.
|
22
|
24
|
22
|
21
|
|
6
|
15
|
17
|
15
|
17
|
|
7
|
Крымский А. С.
|
13
|
13
|
15
|
15
|
|
8
|
Мякшина С. А.
|
17
|
19
|
19
|
15
|
|
9
|
Маковецкий А. И.
|
15
|
18
|
18
|
15
|
|
10
|
Леонтьева И. С.
|
19
|
20
|
15
|
18
|
|
11
|
Базев И. В.
|
22
|
22
|
18
|
21
|
|
12
|
Григоренко О. А.
|
19
|
19
|
15
|
13
|
|
13
|
Лепешинская С. В.
|
17
|
17
|
15
|
19
|
|
14
|
Русаков А. Н.
|
21
|
20
|
17
|
14
|
|
15
|
Шведова Н. К.
|
17
|
19
|
17
|
14
|
|
16
|
Буйнова О. А.
|
17
|
20
|
16
|
15
|
|
17
|
Кармелицина О. В.
|
15
|
18
|
15
|
18
|
|
18
|
Свинцова О. П.
|
19
|
19
|
17
|
13
|
|
19
|
Гвоздев В. И.
|
17
|
19
|
18
|
15
|
|
20
|
Бритова С. В.
|
21
|
23
|
19
|
15
|
|
21
|
Картуесова Н. И.
|
18
|
20
|
18
|
17
|
|
22
|
Пырьев С. Н.
|
18
|
18
|
17
|
15
|
|
23
|
Иванова К. С.
|
22
|
21
|
21
|
19
|
|
24
|
Колтунова О. А.
|
16
|
18
|
16
|
14
|
|
25
|
Ачекин С. Б.
|
17
|
21
|
17
|
15
|
|
26
|
Куцепин С. Г.
|
17
|
17
|
17
|
15
|
|
27
|
Колесникова Е. Н.
|
15
|
17
|
15
|
15
|
|
28
|
Чернов К. П.
|
13
|
17
|
15
|
13
|
|
29
|
Беланова Т. М.
|
20
|
22
|
21
|
17
|
|
30
|
Звонарёва А. А.
|
15
|
19
|
15
|
20
|
Таблица 3
Уровни развития продуктивного мышления
|
I
|
12-16 баллов
|
|
II
|
17-20 баллов
|
|
III
|
21-23 балла
|