Константы скорости реакции бензофеноноксида с кетонами и дикетонами

  • Вид работы:
    Статья
  • Предмет:
    Биология
  • Язык:
    Русский
    ,
    Формат файла:
    MS Word
    16,09 kb
  • Опубликовано:
    2009-01-12
Вы можете узнать стоимость помощи в написании студенческой работы.
Помощь в написании работы, которую точно примут!

Константы скорости реакции бензофеноноксида с кетонами и дикетонами

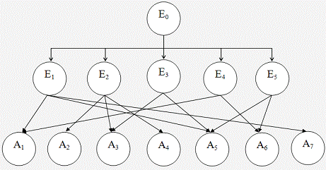
Иерархия:

Рис.

глобальный вектор матрица альтернатива

Таблица. Даны матрицы:


Решение.

Определение глобального вектора приоритета альтернатив по данным матрицам.

Таблица. Найдем собственные вектора матриц



A1

A5

A7

Y

W

E1-

A1

1

4

2

2

0.5198


A5

1/4

1

1/7

0.3294

0.0856


A7

1/2

7

1

1.5183

0.3946



S=3.8477

∑=1


Таблица



A2

A3

A4

Y

W

E2-

A2

1

1/7

1/5

0.3057

0.0751


A3

7

1

2

2.4101

0.5917


A4

5

1/2

1

1.3572

0.3332



S=4.0731

∑=1


Таблица



A3

A5

Y

W

E3-

A3

1

1/2

0.7071

0.3333


A5

2

1

1.4142

0.6667





S=2.1213

∑=1


Таблица

A1A6YW






E4-

A1

1

1/3

0.5774

0.2500


A6

3

1

1.7321

0.7500





S=2.3095

∑=1


Таблица



A5

A6

Y

W

E5-

A5

1

¼

0.5

0.1827


A6

4

1

2.2361

0.8173



S=2.7361

∑=1




Таблица



E1

E2

E3

E4

E5

Y

W


E1

1

1/4

1/8

1/7

2

0.3892

0.0603


E2

4

1

1/7

4

8

1.7883

0.2770

E0-

E3

5

7

1

1/6

¼

1.2387

0.1919


E4

8

1/4

6

1

9

2.5509

0.3951


E5

1/2

1/8

4

1/9

1

0.4884

0.0756



S=6.4555

∑=1


Собственный вектор матрицы Е0-вектор X

Таблица. Составим матрицу L;



E1

E2

E3

E4

E5


E1

3/12

0

0

0

0

[L]=

E2

0

3/12

0

0

0


E3

0

0

2/12

0

0


E4

0

0

0

2/12

0


E5

0

0

0

0

2/12


/12=0.2500

2/12=0.3333

На основе матрицы В с учетом экспертных оценок (собственных векторов матриц парных сравнений для критериев) получим матрицу А:

Таблица



E1

E2

E3

E4

E5


A1

0.5198

0

0

0.2500

0


A2

0

0.0751

0

0

0

[A]=

A3

0

0.5917

0.3333

0

0


A4

0

0.3332

0

0

0


A5

0.0856

0

0.6667

0

0.1827


A6

0

0

0

0.7500

0.8173


A7

0.3946

0

0

0

0


Найдем результирующий вектор приоритетов альтернатив, используя формулу: W=[A]*[S]*[L]*X*[B’]. На матрицу [S] не умножаем, т.к. матрица [A] получена не методом копирования и не методом стандартов.

Перемножим матрицы [A] и [L]

(A*L)ik = Ai1 × L1k + Ai2 × L2k + ... +Ain × Lnk,

т. е. находится сумма произведений элементов i - ой строки матрицы А на соответствующие элементы j - ого столбца матрицы L.

Таблица



E1

E2

E3

E4

E5


A1

0.1300

0

0

0.0833

0


A2

0

0.0188

0

0

0

[A]*[L]=

A3

0

0.1479

0.1111

0

0


A4

0

0.0833

0

0

0


A5

0.0214

0

0.2222

0

0.0609


A6

0

0

0

0.2500

0.2724


A7

0.0987

0

0

0

0


Таблица. Умножим полученную матрицу на вектор Х:


A1

0.0408


A2

0.0052


A3

0.0623

[A]*[L]*X=

A4

0.0231


A5

0.0485


A6

0.1194


A7

0.0060


Sum=0.3053


Составим диагональную матрицу [B’], где элементы равны 1/Sum, где Sum - сумма элементов, полученного ранее вектора [A]*[L]*X.

Таблица


3.2755

0

0

0

0

0



0

3.2755

0

0

0

0

0


0

0

3.2755

0

0

0

0

[B’]=

0

0

0


0

0


0

0

0

0

3.2755

0

0


0

0

0

0

0

3.2755

0


0

0

0

0

0

0

3.2755


Таблица. Умножим [A]*[L]*X на матрицу [B’]


A1

0.1336


A2

0.0170


A3

0.2041

WA

A4

0.0757


A5

0.1589


A6

0.3911


A7

0.0197


Таблица. После сортировки полученного вектора получим:

A6

0.3911

A3

0.2041

A5

0.1589

A1

0.1336

A4

0.0757

A7

0.0197

A2

0.0170


Проверка матриц парных сравнений на согласованность. Проверяем каждую матрицу на согласованность:

Матрицы Е3, Е4, Е5 на согласованность проверять не нужно, т.к. их размерность 2х2.


Таблица



E1

E2

E3

E4

E5

Y

W


E1

1

1/4

1/8

1/7

2

0.3892

0.0603


E2

4

1

1/7

4

8

1.7883

0.2770

E0-

E3

5

7

1

1/6

¼

1.2387

0.1919


E4

8

1/4

6

1

9

2.5509

0.3951


E5

1/2

1/8

4

1/9

1

0.4884

0.0756


18.5

8.625

11.2679

5.5873

20.25

S=6.4555

∑=1


Таблица

λ

CI

CR

9.4066

1.1017

0.927


Таблица. Матрица E0 - не согласована



A1

A2

A3

Y

W


A1

1

4

2

2

0.5198

E1-

A2

1/4

1

1/7

0.3294

0.0860


A3

1/2

7

1

1.5183

0.3946


1.75

12

3.1429

S=3.8476

∑=1


Таблица.

λ

CI

CR

3.1770

0.0885

0.1341


Таблица. Матрица Е1 - согласована



A1

A3

A5

Y

W


A1

1

1/7

1/5

0.3057

0.0751

E2-

A3

7

1

2

2.4101

0.5917


A5

5

1/2

1

1.3572

0.3332


13

1.6429

3.2

S=4.0731

∑=1


Таблица

λ

CI

CR

3.0143

0.0071

0.0108



Матрица Е2- согласована. Подберем значения, при которых матрицы будут согласованы

Таблица.



E1

E2

E3

E4

E5

Y

W


E1

1

1/4

1/8

1/7

1/2

0.2950

0.1149


E2

1/2

1

1/7

2

1

0.6777

0.2640

E0-

E3

1/8

7

1

1/6

1/4

0.5923

0.2308


E4

2

1/2

1/4

1

1/7

0.5135

0.2001


E5

1/2

1/8

4

1/9

1

0.4884

0.1903


4.1250

8.8750

5.5179

3.5873

2.8929

S=2.5669

∑=1


Таблица

λ

CI

CR

5.3584

0.0896

0.0754


Матрица Е0 - согласована

Расчет глобального вектора приоритетов альтернатив с условием согласованности матриц парных сравнений.

Матрицу А и матрицу [A]*[L] не пересчитываем, т.к. значения в них остались прежними, а матрицу [A]*[L]*X пересчитаем, т.к. изменились значения матрицы E0

Таблица



E1

E2

E3

E4

E5


A1

0.5198

0

0

0.2500

0


A2

0

0.0751

0

0

0

[A]=

A3

0

0.5917

0.3333

0

0


A4

0

0.3332

0

0

0


A5

0.0856

0

0.6667

0

0.1827


A6

0

0

0

0.7500

0.8173


A7

0.3946

0

0

0

0



Таблица. Умножение матриц:



E1

E2

E3

E4

E5


A1

0.1300

0

0

0.0833

0


A2

0

0.0188

0

0

0

[A]*[L]=

A3

0

0.1479

0.1111

0

0


A4

0

0.0833

0

0

0


A5

0.0214

0

0.2222

0

0.0609

0

0

0

0.2500

0.2724


A7

0.0987

0

0

0

0


Таблица


A1

0.0316


A2

0.0050


A3

0.0647

[A]*[L]*X=

A4

0.0220


A5

0.0653


A6

0.1019


A7

0.0113


Sum=0.3018


Таблица


3.3135

0

0

0

0

0



0

3.3135

0

0

0

0

0


0

0

3.3135

0

0

0

0

[B’]=

0

0

0

3.3135


0

0


0

0

0

0

3.3135

0

0


0

0

0

0

0

3.3135

0


0

0

0

0

0

0

3.3135


Таблица.


A1

0.1047


A2

0.0166


A3

0.2144

WA

A4

0.0729


A5

0.2164


A6

0.3376


A7

0.0374


Отсортируем полученный вектор по убыванию

Таблица

A6

0.3376

A5

0.2164

A3

0.2144

A1

0.1047

A4

0.0729

A7

0.0374

A2

0.0166


Сравнение и вывод

Полученные отсортированные вектора:

До проверки согласованности. После проверки согласованности

Таблица

A60.3911


A3

0.2041

A5

0.1589

A1

0.1336

A4

0.0757

A7

0.0197

A2

0.0170

A6

0.3376

A5

0.2164

A3

0.2144

A1

0.1047

A4

0.0729

A7

0.0374

A2

0.0166


Вывод: в итоговой ранжировке пять альтернатив сохранили свои позиции после согласования матрицы E0. Наилучшая альтернатива не изменилась.

Похожие работы на - Константы скорости реакции бензофеноноксида с кетонами и дикетонами

 

Не нашли материал для своей работы?
Поможем написать уникальную работу
Без плагиата!
Без нейросетей!