Аппаратура цифровой радиосвязи в нелицензируемой полосе частот

  • Вид работы:
    Курсовая работа (т)
  • Предмет:
    Информатика, ВТ, телекоммуникации
  • Язык:
    Русский
    ,
    Формат файла:
    MS Word
    157,91 Кб
  • Опубликовано:
    2012-06-29
Вы можете узнать стоимость помощи в написании студенческой работы.
Помощь в написании работы, которую точно примут!

Аппаратура цифровой радиосвязи в нелицензируемой полосе частот

Кафедра ПММ






Курсовая работа

Тема «Аппаратура цифровой радиосвязи в нелицензируемой полосе частот»

Содержание

Задание на курсовую работу

Введение

. Основные определения

. Расчет рыночной стоимости радиомодема МЕТА

.1 Выбор коэффициентов

.2 Расчет величины затрат

. Сравнение радиомодемов МЕТА, Риф Файндер-801, ГАММА методом анализа иерархии

.1 Понятие о методе анализа иерархий

.2 Построение иерархии

.3 Расчет матриц сравнения и приоритетов

Заключение

Библиография

Задание на курсовую работу

Оценить конкурентоспособность радиомодема МЕТА, сравнив его с аппаратурой «Риф Файндер - 801» и «ГАММА» методом анализа иерархий (МАИ).

Введение

Аппаратура цифровой радиосвязи предназначена для решения широкого круга задач беспроводной связи (дистанционного управления, телеметрии, сигнализации и оповещения) на небольших территориях. Она находит применение в инженерных системах жилых микрорайонов, в системах пожарной и охранной сигнализации, в производственно-технологических сетях связи, в системах сбора данных и мониторинга. Аппаратура должна работать в полосе частот 433,92 Мгц ±0,2% с мощностью передатчика 10 мВт. Такая аппаратура включена в перечни радиоэлектронных средств не требующих разрешения на приобретение и использование на территории России, что будет способствовать ее распространению. Аппаратура отличается от аналогов возможностью перестройки по частоте, возможностью выбора скорости передачи в эфире, высокой чувствительностью избирательностью и помехозащищенностью приемника. Высокая помехозащищенность достигается применением новых цифровых методов формирования и обработки сигнала. В ходе осуществления проекта предполагается реализовать эффективные методы передачи, кодирования и синхронизации, а также сетевые протоколы, обеспечивающие надежную доставку сообщений в условиях интенсивных электромагнитных помех.

1. Основные определения

Изобретение - новое устройство, способ, вещество, а также применение известного ранее устройства, способа, вещества по новому назначению.

Конкурентоспособность - способность товара отвечать требованиям данного рынка в данный период времени.

Лицензия - предоставление организациям и лицам права использования защищенным патентами изобретений, технологий, технической и коммерческой информации.

Патент - документ, свидетельство, выдаваемое изобретателю и удостоверяющее его авторство и исключительное право на использование этого объекта принадлежит определенному лицу, то другое лицо не вправе использовать запатентованный объект без разрешения автора патента.

Ноу-хау - техническая, коммерческая информация, составляющая секрет производства. Эта информация подлежит защите от незаконного использования третьими при следующих условиях:

наличие действительной или потенциальной коммерческой ценности в силу неизвестности ее третьим лицам;

исключение свободного доступа на законном основании;

принятие надлежащих мер к охране ее конфиденциальности.

Интеллектуальная собственность как объект оценки - исключительное право гражданина или юридического лица на результаты интеллектуальной деятельности и приравненные к ним средства индивидуализации продукции, выполняемых работ или услуг.

Объектами интеллектуальной собственности (ОИС) являются права, относящиеся к авторским и смежным правам: литературные, художественные и научные произведения; исполнительская деятельность артистов, звукозаписи, радио- и телевизионные передачи, - и права на объекты промышленной собственности (ОПС): изобретение во всех областях человеческой деятельности; научные открытия; промышленные образцы; товарные знаки, знаки обслуживания; фирменные наименования и коммерческие обозначения; защита против недобросовестной конкуренции, а также все другие права, относящиеся к интеллектуальной деятельности в производственной, научной, литературной и художественных областях.

Оценка стоимости ОИС - процесс определения полезности результатов интеллектуальной деятельности и приравненных к ним средств индивидуализации юридического лица, индивидуализации продукции, выполняемых работ или услуг в денежном выражении.

Рыночная стоимость ОИС - расчетная величина, равная денежной сумме, по которой продавец, имеющий полную информацию о стоимости имущества и не обязанный его продавать, согласен был бы продать его, а покупатель, имеющий полную информацию о стоимости имущества и не обязанный его приобрести, согласен был бы приобрести.

2. Расчет рыночной стоимости радиомодема МЕТА

Рыночная стоимость определяется по следующей упрощенной формуле:

Ци = (Ср + Сп + См) * К1 * К2 * К3 * К4 * К5;

Где:

Ср - затраты на создание объекта;

Сп - затраты на обеспечение правовой охраны (т.к. данный объект по совокупности является «ноу-хау», патентная и правовая защита не планируется). Следовательно, принимаем Сп = 0;

См - затраты на маркетинговые исследования;

Так как маркетинговые исследования не проводились и не планируются, то См =0

К1 - коэффициент технико-экономической значимости объекта;

К2 - коэффициент промышленной готовности объекта;

К3 - коэффициент надежности оцениваемого объекта;

К4 - коэффициент морального старения оцениваемого объекта;

К5 - коэффициент амортизации стоимости оцениваемого объекта на момент расчета.

Но прежде чем приступить к расчету рыночной стоимости, необходимо найти (выбрать) коэффициенты К1 ,K2,K3,K 4,К5 и рассчитать затраты Ср.

.1 Выбор коэффициентов

цифровой радиосвязь синхронизация иерархия

Выбор коэффициентов К1, K2, K3, K4, К5 приводится в методическом пособии. Нужно просто воспользоваться готовыми таблицами, приведенными в [1] для конкретных вариантов.

Коэффициент технико-экономической значимости (К1), я выбираю равным 1,05. Так как изобретение вариантное по отношению к основному (радиомодем).

При оценке объекта интеллектуальной собственности необходимо учитывать степень готовности объекта к использованию или степень разработанности. Так как, данное устройство (радиомодем МЕТА) находится в стадии опытно-конструкторской разработки (ОКР), то коэффициент промышленной готовности (К2) я выбирал равным 0,75.

Значение коэффициента надежности правовой охраны (К3), я выбирал равным 1,0. Потому, что объект не является новшеством и правовой защите не подлежит.

Коэффициент морального старения (К4) в данном случае равен 1,0. Так как темпы роста нового направления достаточно высоки (точка F на рис. 2.1).

Рис. 2.1 Определение коэффициента морального старения [1]

Так как будет продаваться новый объект интеллектуальной собственности (ОИС) - радиомодем, который не был в эксплуатации и не имеет износа, то коэффициент амортизации К5 я выбирал равным 1,0.

2.2 Расчет величины затрат

Для расчета величины затрат на создание объекта (Ср), необходимо учесть все затраты на создание одного радиомодема МЕТА. Это затраты на закупку комплектующих (в данном случае радиоматериалов), заработную плату, амортизационные отчисления, затраты на электроэнергию и т.д. В результате Ср сводится к сумме всех выше перечисленных затрат.

Т.к. мне неизвестны некоторые необходимые параметры комплектующих, я старался выбирать самые дешевые, дабы снизить себестоимость нашего модема Приведем таблицу с ценами на комплектующие радиомодема МЕТА.

Таблица 4.2.1 Цены на комплектующие радиомодема МЕТА

№ п/п

Наименование компонента

Количество, шт.

Цена за 1 шт., руб.

Всего, руб.

1

Подстроечные (типа NR-50-1) конденсаторы электролитические

33,00

0,58

19,14

2

Резисторы постоянные непроволочные углеродистые CF-0.125 1.1 5%

17,00

0,06

1,02

3

Катушка индуктивности SOLEN S20

3,00

273.47

820,41

4

Чип бусинка BLM18HG102SN1D

1,00

0,85

0,85

5

Диод выпрямительный единичный 2Д213А

1,00

0,01

0,01

6

Микросхема 1

1,00

695,61

695,61

7

Микросхема 2

1,00

915,35

915,35

8

Микросхема 3

3,00

546,13

1638,39

9

Резонатор кварцевый SAW R433A

1,00

48,00

48,00

10

Вилка PLS40-G

1,00

9,20

9,20

11

Печатная плата CAPLIA, разведённая

74,00

110,00

110,00

12

Гнездо SMB-JR

1,00

60,00

60,00


Итого:



4317,98


Все данные о ценах взяты мной в интернете: [6 - 11]

Найдем затраты на комплектующие в единицу продукции (т.е. сколько необходимо затратить денег на материалы чтобы собрать 1 модем).

Сk =  [1]

Где

Сk - затраты на комплектующие;

Кi - количество компонента (шт.);

Сi - цена одной единицы комплектующей (руб.).

Ck = 33*0,58 + 17*0,06 + 3*273,47 + 1*0,85 + 1*0,001 + 1*915,35 + 1*695,61 + 3*546,13 + 1*48,00+ 1*9,20+1*110,00+1*60,00;

Сk = 4317,98 руб.

Приведем таблицу заработной платой работников, связанных с созданием радиомодема.

Таблица 4.2.2 Заработная плата работников, связанных с разработкой и созданием радиомодема МЕТА

№ п/п

Должность/категория исполнителя

Средняя заработная плата, руб.

Затраты времени, дн.

1

Ведущий инженер

12000,0

14,0

2

Конструктор

10000,0

46,0

3

Инженер - электроник

9000,0

44,0

4

Документатор

6000,0

1,0

5

Программист

11000,0

23,0

6

Слесарь-сборщик

8000,0

3,0

7

Инженер

10000,0

12,0


Затраты на заработную плату:

Спр =  [2]

Где

К - коэффициент, учитывающий отчисления с заработной платы (единый социальный налог и отчисления в Пенсионный фонд РФ), руб. К = 1,263;

Зi - среднемесячная заработная плата исполнителя, руб.;

m - количество рабочих дней в месяце, дн. (m=22 дн.);

tj - время затрачиваемое разработчиком на создание ОИС, на отладку и адаптацию ОИС к условиям производства, дн.;

Спр = (12000/22*14 + 10000/22*46 + 9000/22*44 + 6000/22 + 11000/22*23 ++ 8000/22*3 + 10000/22*12)*1,263;

Спр = 81922,78 руб.

Кроме того необходимо учесть следующие затраты:

ü  затраты на электроэнергию 8000,00 руб.;

ü  затраты по работам, выполняемым сторонними организациями 30500,00 руб.;

ü  амортизационные отчисления 9810,00 руб.

Зная все затраты, можно вычислить общую величину затрат (Cp) на разработку одного радиомодема «МЕТА». Она определяется как сумма всех затрат.

Ср = Сk + Спр + 30500,00 + 9810,00 + 8000,00;

Ср = 4317,98 + 81922,78 + 30500,00 + 9810,00 + 8000,00 = 134550,76 руб.

Вычислим себестоимость:

С = Ср1* К2* К3* К4* К5 = 134550,76 *1,05*0,75*1*1*1 = 105958,72 руб.

Т.к. компания выпускающая радиомодем МЕТА не является монопольным предприятием, то государство не имеет право регулировать (и не регулирует) цены на изделие этой компании, следовательно, изготовитель может поставить любую цену на свое изделие.

Учитывая себестоимость нашего радиомодема и рыночные цены на аналогичные продукты (радиомодемы) я пришел к выводу, что рыночная цена радиомодема МЕТА должна составлять 118% от себестоимости.

Рыночная цена радиомодема МЕТА:

Ци = С*1,18 = 105958,72*1,18 = 125031,29 руб.

3 Сравнение радиомодемов МЕТА, Риф Файндер-801, ГАММА методом анализа иерархий

.1 Понятие о методе анализа иерархий

В настоящее время существует множество информационных технологий, позволяющих предельно облегчить жизнь и помочь в решении проблем, связанных с процессами принятия решений в различных предметных областях. В частности, очень распространены сейчас системы поддержки принятия решений на основе Метода Анализа Иерархий, разработанного американским ученым Т. Саати.

Метод анализа иерархий является систематической процедурой для иерархического представления элементов, определяющих суть любой проблемы. Метод состоит в декомпозиции проблемы на все более простые составляющие части и дальнейшей обработке последовательности суждений лица, принимающего решение (ЛПР), по парным сравнениям. В результате может быть выражена относительная степень (интенсивность) взаимодействия элементов в иерархии. Эти суждения затем выражаются численно. Метод анализа иерархий включает процедуры синтеза множественных суждений, получения приоритетных критериев и нахождения альтернативных решений. Полученные таким образом значения являются оценками в шкале отношений и соответствуют так называемым жестким оценкам.

Решение проблемы это и есть процесс поэтапного установления приоритетов. На первом этапе выделяются наиболее важные элементы проблемы, на втором - наилучший способ проверки наблюдений, испытания и оценки элементов; следующим этапом может быть выработка способа применения решения и оценка его качества. Весь процесс подвергается проверке и переосмысливанию до тех пор, пока не будет уверенности, что процесс охватил все важные характеристики, необходимые для представления решения проблемы.

Если допустить, что интуиция и субъективные оценки являются основным исходным материалом, на основании которого индивидуум получает ясное представление о своих творческих возможностях, то суждения о превосходстве одного элемента над другим и интенсивность этих суждений можно использовать для выражения внутренних чувств и склонностей. Суждения расширяют рамки общения, укрупняя кластеры и элементы, имеющиеся в иерархии по определенной проблеме.

Такой подход к решению проблемы выбора исходит из естественной способности людей думать логически и творчески, определять события и устанавливать отношения между ними. Что в свою очередь дает представление о принципе идентичности и декомпозиции, принципах дискриминации, сравнительного суждения и синтезирования.

3.2 Построение иерархии

Для построения иерархии необходимо определится с количеством критериев и альтернатив.

Обозначим общую цель - «Радиомодем», который находится на первом (высшем) уровне. На втором уровне находятся пять критериев, уточняющих цель. Это следующие критерии:

Рабочая частота;

Мощность передатчика;

Скорость передачи;

Чувствительность;

Помехозащищенность.

На третьем (нижнем) уровне, находятся три радиомодема, которые должны быть оценены по отношению к критериям второго уровня. Обозначим их как альтернативы:

META;

Риф Файндер-801;

ГАММА.

Для того чтобы сравнить модемы между собой по конкретному критерию, мне потребуются технические характеристики модемов, данные которых были взяты мной в Интернете: [4] и [5].

Таблица 5.2 Основные технические характеристики радиомодемов

Характеристика (критерий)

META

Риф Файндер-801

ГАММА

Рабочая частота

Перестраиваемая

Фиксированная

Перестраиваемая

Мощность, мВт

10

10

10

Скорость передачи, бит/с

9600

1200

9600

Чувствительность

Высокая

Высокая

Низкая

Помехозащищенность

Высокая

Низкая

Низкая


Построим иерархию с учетом введенных обозначений, Рисунок. 5.2.

Рисунок. 5.2 Графическое представление иерархии.

.3 Расчет матриц сравнения и приоритетов

Для проведения субъективных парных сравнений разработана шкала, приведенная в таблице 5.3.1. Данной шкалой я воспользуюсь дальше для заполнения матрицы критериев и матрицы альтернатив.

Таблица 5.3.1 Шкала относительной важности

Важность

Определение

1

Равная важность

2

Промежуточное решение между соседними

3

Умеренное превосходство

4

Промежуточное решение между соседними

5

Существенное превосходство

6

Промежуточное решение между соседними

7

Значительное превосходство

8

Промежуточное решение между соседними

9

Очень сильное превосходство


Используя таблицу 5.2, заполняем матрицу попарных сравнений для уровня 2. Для этого необходимо заполнить строки матрицы соответствующими значениями важности, при сравнении критериев на втором уровне.

Для каждого последующего уровня иерархии строятся дополнительные матрицы. Для сравнения радиомодема вопросы, которые следует задавать при сравнении двух критериев на втором уровне, будут такого рода, который из двух сравниваемых критериев считается более важным (например, частота по отношению к чувствительности) и насколько он более важен именно по отношению к цели «радиомодем»? Аналогично на третьем уровне следует спросить, какой из сравниваемых альтернатив предпочтительнее и насколько он более желателен по отношению к определенному критерию (например, критерию 1) второго уровня, по которому производится сравнение?

По соглашению сравнивается относительная важность левых элементов матрицы с элементами наверху. Поэтому если элемент слева важнее, чем элемент наверху, то в клетку заносится положительное целое число от 1 до 9, в противном случае - обратное число (дробь).


Относительная важность любого элемента, сравниваемого с самим собой, равна 1; поэтому диагональ матрицы (элементы от левого верхнего угла до нижнего правого) содержит только единицы. Наконец, обратными величинами заполняют симметричные клетки, т. е. если элемент А воспринимается как «слегка более важный» (3 на шкале), относительно элемента Б, то считаем, что элемент Б «слегка менее важен» (1/3 на шкале) относительно элемента А.

Таблица 5.3.2 Матрица попарных сравнении уровня 2

Критерий №

1

2

3

4

5

Вектор приоритетов

1

1

1/2

1/2

1/3

1/5

0,0735

2

2

1

1/2

1/3

1/2

0,1164

3

2

2

1

1/3

1/3

0,1417

4

3

3

3

1

1/3

0,2586

5

5

2

3

3

1

0,4098


По данным вычислений, самым значимым критерием, оказался критерий 5 (помехозащищенность).

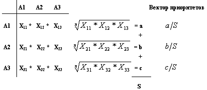
Вектор приоритетов вычисляется следующим образом: элементы каждой строки перемножаются, и затем извлекается корень n-й степени, где n- число элементов (в данном случае n=5). Полученный столбец нормализуется делением каждого числа на сумму всех чисел.


Оценить степень согласованности, позволяет индекс согласованности (ИС). Он определяется следующим образом: суммируется каждый столбец суждений, затем сумма первого столбца умножается на величину вектора приоритетов матрицы и т.д. Полученные числа суммируются, получая наибольшее собственное значение матрицы суждений . Тогда:

ИС=,

где n - число элементов, а

Отношение согласованности (ОС) можно найти по следующей формуле:

ОС=,

и ОC < 10…20%.

В результате вычислений программы «PRIMEN», получились следующие значения:

=5,341

ИС=0,085

ОС=0,076

Теперь заполняем матрицы альтернатив (матрицы попарных сравнений уровня 3).

Эти матрицы заполняются по аналогичному принципу, что и матрица попарных сравнений уровня 2. Только теперь мы сравниваем альтернативы (радиомодемы) по основным пяти критериям обозначенными выше.

Таблица 5.3.3 Сравнение радиомодемов по критерию 1 (рабочая частота)

Критерий 1

Альтернатива 1

Альтернатива 2

Альтернатива 3

Вектор приоритетов

Альтернатива 1

1

7

2

0,5736

Альтернатива 2

1/7

1

1/7

0,0650

Альтернатива 3

1/2

7

1

0,3614


=3,0536;

ИС=0,0268

В результате сравнения радиомодемов, по критерию 1 (по рабочей частоте), получилось, что по локальным приоритетам «Мета» и «ГАММА» оказались больше, чем у «Риф Файндер - 801», следовательно, по данному критерию они лучше.

Таблица 5.3.3 Сравнение радиомодемов по критерию 2 (мощность передатчика)

Критерий 2

Альтернатива 1

Альтернатива 2

Альтернатива 3

Вектор приоритетов

Альтернатива 1

1

1

1

0,3333

Альтернатива 2

1

1

1

0,3333

Альтернатива 3

1

1

1

0,3333


=3;

ИС=0

ОС=0

При сравнении радиомодемов, по критерию 2, мы выяснили, что локальные приоритеты модемов одинаковые. Т.к. мощность всех трех передатчиков одинакова.

Таблица 5.3.4 Сравнение радиомодемов по критерию 3 (скорость передачи)

Критерий 3

Альтернатива 1

Альтернатива 2

Альтернатива 3

Вектор приоритетов

Альтернатива 1

1

7

2

0,5736

Альтернатива 2

1/7

1

1/7

0,0650

Альтернатива 3

1/2

7

1

0,3614


=3,0536;

ИС=0,0268

ОС=0,0462

В результате сравнения радиомодемов, по критерию 3, локальный приоритет радиомодемов «Мета» и «ГАММА» больше чем у «Риф Файндер - 801», следовательно, по данному критерию они выигрывают.

Таблица 5.3.5 Сравнение радиомодемов по критерию 4(чувствительность)

Критерий 4

Альтернатива 1

Альтернатива 2

Альтернатива 3

Вектор приоритетов

Альтернатива 1

1

1/2

7

0,3614

Альтернатива 2

2

1

7

0,5736

Альтернатива 3

1/7

1/7

1

0,0650


=3,0536;

ИС=0,0268

ОС=0,0462

В результате сравнения радиомодемов, по критерию 4, локальный приоритет радиомодемов «Мета» и «Риф Файндер - 801» больше чем у «ГАММА», следовательно, по данному критерию они выигрывают.

Таблица 5.3.6 Сравнение радиомодемов по критерию 5 (Помехозащищенность)

Критерий 5

Альтернатива 1

Альтернатива 2

Альтернатива 3

Вектор приоритетов

Альтернатива 1

1

7

7

0,7732

Альтернатива 2

1/7

1

1/2

0,0877

Альтернатива 3

1/7

2

1

0,1392


=3,0536;

ИС=0,0268

ОС=0,0462

В результате сравнения по данному критерию, локальный приоритет больше у радиомодема «МЕТА».

Результирующая матрица выглядит следующим образом:

Таблица 5.3.7 Матрица глобальных приоритетов


Критерий 1 (0,073)

Критерий 2 (0,116)

Критерий 3 (0,142)

Критерий 4 (0,259)

Критерий 5 (0,410)

Глобальные приоритеты

Альтернатива 1

0,5736

0,3333

0,5736

0,3614

0,7732

0,5725

Альтернатива 2

0,0650

0,3333

0,0650

0,5736

0,0877

0,2371

Альтернатива 3

0,3614

0,3333

0,3614

0,0650

0,1392

0,1904


Согласованность всей иерархии можно найти следующим образом; необходимо перемножить каждый индекс согласованности на приоритет соответствующего критерия и просуммировать полученные числа. Результат делится на выражение такого же типа, только со случайным индексом согласованности:

СИ=,

где ИС=ИС1*К1+ИС2*К2+…+ИСn*Кn

В результате:

ИС=0,0237

СС=0,58

СИ=4,08 % < 10…20%

Следовательно, результаты анализа следует считать верными, так как СИ<10…20%.

По результатам анализа установлено, что радиомодем «МЕТА», является конкурентоспособным. Он преимущественно выигрывает по техническим характеристикам у своих прямых конкурентов: «ГАММА» и «Риф Файндер - 801».

Все вышеприведенные расчеты произведены с помощью программы “PRIMEN”, разработанной в СибГАТИ.

Заключение

Задача данной курсовой работы состояла в определении конкурентоспособности радиомодема «МЕТА» по сравнению с двумя заданными. Мной были определены затраты как на отдельные аспекты разработки радиомодема, так и конечная (рыночная) стоимость нашего модема. Наш радиомодем отличается немалой стоимостью и неплохими характеристиками по сравнению с конкурентами.

Методом иерархий установлено, что радиомодем МЕТА все же выигрывает по своим параметрам у прямых конкурентов по следующим приоритетам.

По локальным приоритетам:

)        по критерию 1(частота) преимущество у радиомодемов «МЕТА» и «ГАММА», так как у данных модемов частота переменная (перестраиваемая);

)        мощность передатчика у радиомодемов одинаковая, следовательно, приоритет у всех трех одинаковый, так как мощность равна 10мВт;

)        скорость передачи у радиомодемов «МЕТА» и «ГАММА» одинаковая, следовательно, они имеют преимущество по отношению к модему «Риф Файндер - 801»;

)        чувствительность у радиомодемов «МЕТА» и «Риф Файндер - 801» одинаковая, следовательно, они имеют преимущество пред модемом «ГАММА»;

)        помехозащищенность у радиомодема «МЕТА» выше, чем у «ГАММА» и «Риф Файндер - 801».

Что же касается глобальных приоритетов, то по пяти критериям сравнения радиомодема «МЕТА» значительно превосходит конкурентов, с которыми производилось сравнение.

Библиография

1.       Н.С. Кичайкина, Е.И Чернышевская. Оценка стоимости объектов интеллектуальной собственности. Методические рекомендации/ СибГУТИ: Новосибирск, 2002. - 40с.

2.       Метод анализа иерархий [Электронный ресурс]. - Режим доступа: <http://www.hostobzor.ru/manual/mai.php>

.        Абакаров А.Ш., Сушков Ю.А. Диалоговая система поддержки принятия рациональных решений [Электронный ресурс]. - Режим доступа: <http://msk.treko.ru/show_article_763>

.        Радиосистемы [Электронный ресурс]. - Режим доступа: <http://www.radiosystem.ru/product.php?page=1>

.        Альтоника [Электронный ресурс]. - Режим доступа: <http://www.altonika.ru/detail.php?id=274>

.        Чип и Дип [Электронный ресурс]. - Режим доступа: http://www.chipdip.ru/

.        Радиопост. Чип бусинка BLM18HG102SN1D [Электронный ресурс]. - Режим доступа: <http://www.radiopost.ru/catalog/item/262605>

.        Аудиомания. Катушка индуктивности SOLEN S20 [Электронный ресурс]. - Режим доступа: http://www.audiomania.ru/shop/goods-2029.html

.        Печатная плата [Электронный ресурс]. - Режим доступа: <http://www.einfo.ru/>

.        Гнездо SMB-JR [Электронный ресурс]. - Режим доступа: <http://www.impulsi.ru/tov2xls.php?id=37323534>

.        Промснабэлектро. [Электронный ресурс]. - Режим доступа: <http://www.prom-electro.ru/index.php?categoryID=4%204%2011&Itemid=65535>

Похожие работы на - Аппаратура цифровой радиосвязи в нелицензируемой полосе частот

 

Не нашли материал для своей работы?
Поможем написать уникальную работу
Без плагиата!
Без нейросетей!