Абсорбция с4-олефинов отработанной серной кислотой процесса алкилирования
Содержание
Введение
1. Формула
Грина и её доказательство
2. Формула Грина в векторной форме.
3. Вывод формулы Грина из формулы Стокса
4. Применение формулы Грина
Заключение
Список использованной литературы:
Введение
Джордж Грин (George Green, 1793 - 1841) - английский математик и физик, самостоятельно
изучил математику и лишь в 1837 окончил Кембриджский университет. Он ввел
понятие и термин “потенциала”, Опираясь на найденное им соотношение между
интегралом по объему и интегралом по поверхности, ограничивающей этот объем
(формула Грина), развил теорию электричества и магнетизма. Простейшая из них
связывает двойной интеграл по области
с криволинейным интегралом по
границе области. Эта формула была известна еще Л. Эйлеру (1771 г.).
Актуальность исследования: в ходе
выполнения курсовой работы, могу отметить, что формула Грина применяется в
решении разных задач, не только в математике, но и физике. К сожалению, в
учебном курсе формуле Грина отводится не много времени.
Проблема исследования: применение
формулы Грина к решению задач.
Объект исследования: Формула Грина.
Предмет исследования: задачи решаемые с помощью формулы Грина.
Цель курсовой работы: ознакомится
с теоретическими сведениями по теме «Формула Грина», рассмотреть её применение
в решение задач на примерах.
Основные задачи исследования:
1. Выполнить анализ литературы по теме
исследования.
2. Выделить основные теоретические
понятия, используемые в работе.
. Привести теоремы и их доказательства по
данной теме.
. Подобрать и решить задачи по данной
теме.
Для решения поставленных задач были использованы
следующие методы исследования:
. Анализ учебной литературы по данной
теме.
. Обобщение материала, найденного по теме
исследования.
Практическая значимость Практическая
значимость данной курсовой работы определяется тем, что подобранный материал
может быть использован при изучении и применении формулы Грина.
Курсовая работа состоит из введения, 4
параграфов, списка задач, заключения и списка используемой литературы.
В списке используемой литературы - 6
наименований.
1.
Формула Грина и её доказательство
Определение
1. Ориентация контура
называется положительной,
если при обходе (соответствующего возрастанию параметра) контура
,
область
остается
слева (такой обход обычно называется обходом контура против часовой стрелки), в
противном случае - отрицательным.
Будем обозначать положительно
ориентированный контур
+,
а отрицательно ориентированный -
-.
Формулу Грина докажем для
простых областей
.
Определение 2.
Плоская область G называется
простой относительно оси Оу, если её граница Г состоит из графиков двух
непрерывных на
функций
,
и,
может быть, двух отрезков прямых
.
Формулировка:
Пусть C - положительно
ориентированная кусочно-гладкая замкнутая кривая на плоскости, а D -
область, ограниченная кривой C. Если функции
<#"56361.files/image009.gif">,
, то
На символе интеграла часто рисуют
окружность, чтобы подчеркнуть, что кривая С замкнута.
Доказательство:
Формулу Грина докажем для простых
областей D.
Пусть область D -
криволинейная трапеция (область, цилиндрическая в направлении OY):
Для кривой C, ограничивающей
область D зададим направление обхода по часовой стрелке.
Тогда:
Заметим, что оба полученных
интеграла можно заменить криволинейными интегралами:
Интеграл по C1
берётся со знаком "минус", так как согласно ориентации контура C
направление обхода данной части - от b до a.
Криволинейные интегралы по C2
и C4 будут равны нулю, так как
:
Заменим в (1) интегралы согласно (2)
и (3), а также прибавим (4) и (5), равные нулю и поэтому не влияющие на
значение выражения:
Так как обход по часовой стрелке при
правой ориентации плоскости является отрицательным направлением, то сумма
интегралов в правой части является криволинейным интегралом по замкнутой кривой
C в отрицательном направлении:
Аналогично доказывается формула:
если в качестве области D
взять область, правильную в направлении OX.
Складывая (6) и (7), получим:
Если
,
то формула Грина принимает вид
где S − это площадь области R,
ограниченной контуром C.
2.
Формула Грина в векторной форме
Формулу Грина можно записать также в векторной
форме. Для этого введем понятия ротора векторного поля.
Пусть векторное поле описывается функцией

Ротором
или вихрем векторного поля
называется
вектор, обозначаемый
или
и
равный
Формула Грина в векторной форме записывается в
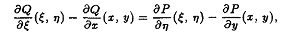
виде
Заметим, что формула Грина вытекает
из "теоремы Стокса <#"56361.files/image033.gif"> -
дифференцируемое векторное поле
<#"56361.files/image034.gif"> равна
потоку
<#"56361.files/image035.gif">
или в координатной записи:
Вывод из теоремы Стокса:
Рассмотрим дифференциальную форму
<#"56361.files/image038.gif">.
Тогда, используя свойство
дифференциала дифференциальной формы
:
Отсюда, используя теорему Стокса:
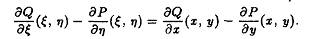
Вывод формулы Грина из формулы
Стокса:
Определяя дифференциальную форму
<#"56361.files/image043.gif">, найдём её
внешний дифференциал
<#"56361.files/image044.gif">
Принимая во внимание, что
и
:
Отсюда используя теорему Стокса:
4.
Применение формулы Грина
Задача 1.
Применяя формулу Грина, вычислить следующий
криволинейный интеграл:
где С - пробегаемый в положительном направлении
контур, ограничивающий область D
= {(x,y)
0<x<π,
0<y<sinx.}
Решение:
По формуле Грина, имею:
Задача 2.
На сколько отличаются друг от друга
криволинейные интегралы
где AmB
-
отрезок прямой, соединяющий точки А=(1, 1) и В=(2, 6), AnB
- дуга параболы с вертикальной осью, проходящей через те же точки А, В и
начало координат? формула грин
криволинейный интеграл
Решение:
Уравнение параболы, проходящей через начало
координат и точки А, В, имеет вид
а
разность I2
̴ I1
является
криволинейным интегралом по замкнутому контуру AnBmA,
ограничивающему область
и пробегаемому в положительном
направлении, в силу чего можем применить формулу Грина:
Следовательно, I1
- I2=2.
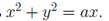
Задача 3.
Вычислить криволинейный интеграл
где AmO
- верхняя полуокружность, заданная уравнением x2+y2=ax,
пробегаемая от точки А (а, 0) до точки О (0, 0).
Решение:
На сегменте [0, а] подынтегральное выражение
равно нулю, поэтому интеграл кривой AmO
равен интегралу по замкнутому контуру AmOА,
состоящему из кривой AmO
и сегмента [0, а], ограничивающему область D
=
в силу чего могу применить
формулу Грина:
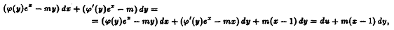
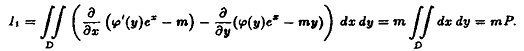
Задача 4.
Вычислить криволинейный интеграл
где φ(у)
и φ́(у) -
непрерывные функции и AmB
- произвольный путь, соединяющий точки А(х1, у1) и В(х2,
у2), но ограничивающий вместе с отрезком АВ площадь AmBA
фигуру D, площадь которой
равна данной величине Р.
Решение:
Интеграл по кривой AmB
представлю в виде суммы интегралов по замкнутому контуру AmBA
и по отрезку АВ.
Интеграл I1
вычислим, применив формулу Грина:
Для вычисления интеграла I2
преобразуем
подынтегральное выражение к виду
где du
- полный дифференциал некоторой функции. Следовательно,
где первый интеграл в правой части этого
равенства не зависит от выбора пути интегрирования, соединяющего точки А и В.
Таким образом,
На отрезке АВ выполняется равенство
в силу чего имеем
Складывая полученные значения интегралов,
окончательно найдём:
Задача 5.
для любого замкнутого контура γ
не
зависит от постоянных α и β.
Решение:
Если функции P
и Q удовлетворяют
поставленному условию, то должно выполнятся равенство
для любого замкнутого контура γ,
в
силу чего имеем
где
Для того, чтобы криволинейный интеграл I1
по любому замкнутому контуру γ был
равен нулю, необходимо и достаточно, чтобы в односвязной области, ограниченной
этим контуром, и на самом контуре выполнялось равенство
(которое
следует из формулы Грина). Обозначив
получим
написанное условие в виде
откуда имеем равенство
Левая часть этого равенства не зависит от ζ
и
η,
поскольку
правая его часть зависит только от х и у, следовательно,
Из условия
получаем
равенство
справедливо лишь в том случае,
когда
дважды непрерывно дифференцируемые функции.
Окончательно находим:
Задача 6.
Вычислить
где γ - простой
замкнутый контур, не проходящий через начало координат, пробегаемый в
положительном направлении.
Решение:
Если контур γ не
окружает начало координат, то применив формулу Грина, получу:
Если контур γ окружает
начало координат, то применять формулу Грина нельзя, поскольку область D
в этом случае неодносвязна. В этом случае будем вычислять интеграл I
непосредственно.
Обозначу через w
дифференциальное
выражение под знаком интеграла I.
Покажем, что интеграл
не зависит от выбора кривой γ,
окружающий
начало координат.
Пусть γ1
и γ2
- произвольные непересекающиеся замкнутые гладкие или кусочно-гладкие контуры,
окружающие начало координат и ограничивающие простую область
При
положительной ориентации границы
области
D направления обхода
кривых γ1
и γ2
будут
противоположны
Двухсвязная простая область D
не содержит особой точки подынтегрального выражения w,
поэтому, согласно формуле Грина, имею:
откуда следует равенство
показывающее, что интеграл I
не зависит от выбора замкнутой кривой γ, окружающей
начало координат. Взяв окружность
получим:
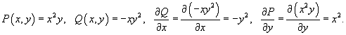
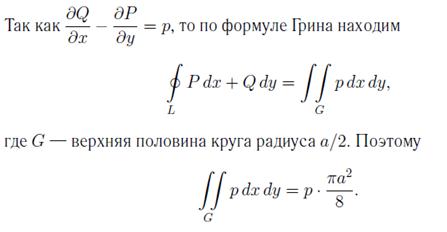
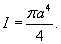
Задача 7.
Найти с помощью формулы Грина площадь,
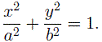
ограниченную эллипсом
Решение:
Воспользуемся формулой (следствие из формулы
Грина)
и стандартной параметризацией эллипса
Г =
Задача 8.
Вычислить криволинейный интеграл
Где Г - верхняя полуокружность
Решение:
Обозначим
дополним
контур Г до замкнутого контура L
отреком оси Ох, соединяющим концы полуокружности О(0, 0) и А(а, 0). Тогда
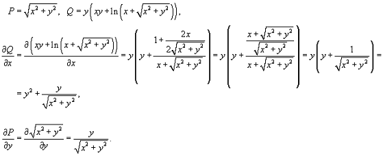
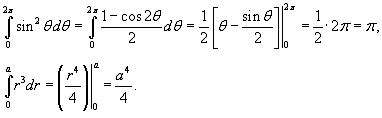
Задача 9.
Используя формулу Грина, вычислить интеграл
.
Кривая C представляет собой окружность
,
обход которой производится против часовой стрелки.
Решение.
Запишем компоненты векторного поля и их
производные:
Тогда
где R − круг радиуса a с
центром в начале координат. Переходя к полярным координатам, находим искомый
интеграл:
Задача
10.
Используя формулу Грина, найти
интеграл
, где кривая C представляет собой эллипс
Решение.

Очевидно, здесь
Следовательно,
Поскольку двойной интеграл
численно равен площади эллипса
, то интеграл равен
Задача
11.
Вычислить интеграл
с помощью формулы Грина. Контур интегрирования C
представляет собой окружность
.
Решение.
Компоненты векторного поля и их
частные производные равны
Тогда по формуле Грина получаем
Для вычисления двойного интеграла
удобно перейти к полярным координатам.
Здесь
Таким образом, интеграл равен
Заключение
В данной курсовой работе я рассмотрела формулу
Грина и смежные понятия, мною были подобраны и разобраны упражнения по данной
теме. Подводя итог курсовой работы можно сказать, что поставленная цель
достигнута.
При выполнении данной курсовой работы были
решены, поставлены задачи и выполнено следующее:
. Выполнен анализ литературы по теме
исследования.
. Выделены основные теоретические
понятия, используемые в работе.
. Изучены основные способы решения задач.
. Подобраны и решены задачи по данной
теме.
Список
литературы
1. Демидович Б.П. сборник задач и
упражнений по математическому анализу: Учеб.пособие. - 13-е изд., испр. - М.:
Изд-во Моск. Ун-та, ЧеРо, 1997. - 624с.
2. Запорожец Г. И. Руководство
к решению задач по математическому анализу. - М.: Высшая школа, 1966.
. Зорич В. А. Математический
анализ. Часть II. М.: Наука, 1984. 640 с.
. Камынин Л. И. Курс
математического анализа (в двух томах). М.: Издательство Московского
Университета, 2001.
5. Картан
А.
<http://ru.wikipedia.org/wiki/%D0%9A%D0%B0%D1%80%D1%82%D0%B0%D0%BD,_%D0%90%D0%BD%D1%80%D0%B8>
Дифференциальное исчисление. Дифференциальные формы. - М.: Мир, 1971.
. Кудрявцев
Л.Д. Краткий курс математического анализа. Т.1. Дифференциальное и интегральное
исчисления функций одной переменной. Ряды. Учебник. - 3-е изд., перераб. - М.:
ФИЗМАТЛИТ, 2005. - 400 с.
. Фихтенгольц
Г.М. Курс дифференциального и интегрального исчисления, т.III. М., Наука,
1956.- 656 стр. с ил.