|
нагрузка, кН/м
|
|
|
|
Постоянная: вес
пола вес плиты
|
0,7∙1.53 2,73∙1,53
|
1.071 4,176
|
1.3 1.1
|
1.392 4,593
|
|
Временная: длительнодейст.;
кратковременная
|
7∙0,7∙1,53 7∙0,3∙1,53
|
7,497 3,213
|
1.2 1.2
|
8,9964 3,8556
|
|
Полная
|
|
q
= 15,957
|
|
q
= 18,837
|
Усилия от расчетных нагрузок:
Усилия от временных
нагрузок
Момент от веса плиты:
Конструктивный расчет:
1. Характеристики прочности бетона и
арматуры: В 25, А 600:
(МПа);
-
коэффициент условия работы бетона.
(МПа);
Расчетное сопротивление
бетона для предельных состоянии первой группы на растяжение:
(МПа);
(МПа);
Расчетное сопротивление
бетона для предельных состоянии второй группы на сжатие:
(МПа);
Расчетное сопротивление
бетона для предельных состоянии второй группы на растяжение:
(МПа);
Модуль упругости бетона:
(МПа);
Модуль упругости арматуры:
(МПа);
Расчетное сопротивление
арматуры для предельных состоянии 1 группы на растяжение:
(МПа)
Расчетное сопротивление
арматуры для предельных состоянии 2 группы на растяжение:
(МПа)
. Подсчет
:
(МПа)
. Назначаем
предварительное напряжение арматуры
:
(МПа)
2.3 Расчет прочности плиты,
нормального сечения к продольной оси, 1-й групп предельного состояния
а) Определяем положение
нейтральной оси, т.е.
:
Расчет как для
прямоугольного сечения
Вычисляем граничную
высоту сжатой зоны:
Относительная высота
сжатой зоны:
Высота сжатой зоны:
Условия выполняются,
нейтральная ось находится в полке.
Принимаем 2 Ш18 А600 c площадью
=5,09
(см
).
2.4 Расчет плиты по
предельным состояниям второй группы
Геометрические
характеристики:
Определяем площадь
приведенного сечения
,
Определяем статический
момент площади приведенного сечения относительно нижней грани ребра:
Определяем расстояние от
центра тяжести сечения
ap-защитный
слой бетона в конструктивной арматуре, принимаем 2 см
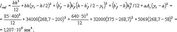
Момент инерции
приведенного сечения
Момент сопротивления
приведенного сечения по нижней зоне
Момент сопротивления
приведенного сечения по верхней зоне
Определяем расстояние от
верхней ядровой точки до центра
2.5 Потери
предварительного напряжения арматуры
Первые потери:
. Потери от релаксации
напряжения в арматуре:
;
плита прочность арматура
здание
Усилие обжатия:
Эксцентриситет усилия
обжатия относительно центра тяжести
Напряжения в бетоне при
обжатии (на уровне крайнего сжатого волокна);
(МПа)
. Потери от усадки:
(МПа)
Напряжение с учетом
усадки
=8,77 (МПа)
=-4,05 (МПа)
2. Потери ползучести:
Вторые потери:
(МПа);
Общие потери:
(МПа);
Напряжение в бетоне в
зависимости от напряжения в арматуре:
(МПа);
Усилия обжатия бетона с
учетом всех потерь
(МПа);
Тк
Усилие обжатия с учетом
полных потерь:
2.6
Расчет прочности плиты по сечению, наклонному продольной оси, первой группы
предельного состояния
Проверим
необходимость использования поперечной арматуры. Расчет железобетонных
элементов на действие поперечной силы для обеспечения прочности по наклонной
трещине должен производиться из условий:
) Qmax≤Qb,min,
Qmax≤φb1Rbtbh0,
где коэффициент φb1=0.3
Qb,min=0.3Rbtbh0
- условие выполняется,
расчет поперечной арматуры не выполняется, она устанавливается конструктивно в
соответствии с CП 52-101-2003 п 8.3.11
По технологическим
требованиям назначаем диаметр поперечных стержней из условий свариваемости для
сварных каркасов принимают не менее 6 (мм)
Принимаем
8Ш
А240 с
(МПа)
Примем шаг поперечной
арматуры:
в близи опор (1/4 l) шаг
будет равен:
в средней части плиты
шаг будет равен:
(CП 52-101-2003 п8.3.11 - следует предусматривать установку
поперечной арматуры с шагом не более 0,75h0 и не более 500 мм.)
3. Расчет ригеля
Таблица 3.1. Подсчет усилий в ригеле
|
Наименование
|
Подсчет
|
Нормативные кН/м
|
γf
|
Расчеты кН/м
|
|
Постоянные нагрузки
|
|
Вес пола
|
0,7·5,32
|
3,724
|
1,3
|
4,841
|
|
Вес плиты
|
25·0,1092·5,32
|
14,52
|
1,1
|
15,972
|
|
Вес ригеля
|
25·0,7·0,3
|
7,521
|
1,1
|
8,273
|
|
Итого: 29,086
|
|
Временные нагрузки
|
|
Временные
|
7·5,32
|
37,24
|
1,2
|
44,68
|
|
Итого: 73,766
|
(кН/м)
(кН/м)
Таблица 2.2. Изгибающие
моменты в равнопролетной неразрезной балке
|
x/l
|
Изгибающие моменты
|
Mmax
|
Mmin
|
|
|
Mg
|
Mp
|
|
|
|
|
|
макс (+)
|
мин (-)
|
|
|
|
0
|
0
|
0
|
0
|
0
|
0
|
|
0,1
|
+0,0325
|
0,0387
|
0,0062
|
86,53
|
28,82
|
|
0,2
|
+0,0550
|
0,0675
|
0,0125
|
149,03
|
46,19
|
|
0,3
|
+0,0675
|
0,0862
|
0,0187
|
187,22
|
52,39
|
|
0,4
|
+0,0700
|
0,0950
|
0,0250
|
201,34
|
47,11
|
|
0,5
|
+0,0625
|
0,0937
|
0,0312
|
191,2
|
30,66
|
|
0,6
|
+0,0450
|
0,0825
|
0,0375
|
154,76
|
2,72
|
|
0,7
|
+0,0175
|
0,0612
|
0,0437
|
98,48
|
-75,98
|
|
0,8
|
-0,0200
|
0,0300
|
0,0500
|
15,92
|
-86,89
|
|
0,85
|
-0,0425
|
0,0152
|
0,0577
|
-28,57
|
-122,28
|
|
0,9
|
-0,0675
|
0,0061
|
0,0736
|
-68,56
|
-171,022
|
|
0,95
|
-0,0950
|
0,0014
|
0,0964
|
-105,75
|
-231,47
|
|
1
|
-0,1250
|
0
|
0,1250
|
-141,5
|
-302,18
|
Таблица 2.3.
Поперечные силы в равнопролетной неразрезной балке
|
x/l
|
Поперечные силы
|
Qmax
|
Qmin
|
|
|
Qg
|
Qp
|
|
|
|
|
|
макс (+)
|
мин (-)
|
|
|
|
0
|
+0,375
|
0,4375
|
0,0625
|
152,05
|
53,03
|
|
0,1
|
+0,275
|
0,3437
|
0,0687
|
116,04
|
34,36
|
|
0,2
|
+0,175
|
0,2624
|
0,0874
|
82,5
|
13,22
|
|
0,3
|
+0,075
|
0,1932
|
0,1182
|
51,35
|
-10,33
|
|
0,4
|
-0, 025
|
0,1609
|
22,56
|
-36,23
|
|
0,5
|
-0,125
|
0,0898
|
0,2148
|
-4,01
|
-64,35
|
|
0,6
|
-0,225
|
0,0544
|
0,2794
|
-28,47
|
-94,59
|
|
0,7
|
-0,325
|
0,0287
|
0,3537
|
-50,94
|
-126,68
|
|
0,8
|
-0,425
|
0,0119
|
0,4369
|
-72,05
|
-160,67
|
|
0,9
|
-0,525
|
0,0027
|
0,5277
|
-91,02
|
-196,09
|
|
1
|
-0,625
|
0
|
0,6250
|
-109
|
-232,81
|
Характеристики прочности
бетона и арматуры: В 25, А400
Расчетное сопротивление
бетона для предельных состоянии первой группы на сжатие:
МПа;
-
коэффициент условия работы бетона.
(МПа);
Расчетное сопротивление
бетона для предельных состоянии первой группы на растяжение:
МПа;
(МПа);
Модуль упругости бетона:
(МПа);
Расчетное сопротивление
арматуры А400 для первой группы предельных состоянии на растяжение:
(МПа);
Модуль упругости
арматуры:
(МПа);
3.1
Расчет прочности ригеля, нормального сечения к продольной оси, первой группы
предельного состояния
Уточнение высоты
ригеля:
(кН·м)
принимаем h=0,6 (м)
Определяю по таблице
наибольший положительный момент
(кН·м)
Определяем положение
нейтральной оси, т.е.
:
Определяю высоту сжатой
зоны:
Принимаем h=700 (мм)
Вычисляем граничную
высоту сжатой зоны:
Сечение 2-2
=0,12<
R=0,52
Принимаем 2 Ш 20 А400, A
=6,28
(см
),
2 Ш 14 А400, A
=3,08
(см
),
Сечение 5-5
=0,19<
R=0,533
Принимаем 2 Ш 25А400 A
=9,82
(см2), 2 Ш 18А400, A
=5,09
(см2)
3.2 Расчет прочности
ригеля по сечению, наклонному продольной оси, 1-й группы предельного состояния
По технологическим
требованиям назначаем диаметр поперечных стержней из условий свариваемости для
сварных каркасов. (CП 52-101-2003 п 8.3.11)
Принимаем
12
Ш А240,
(МПа)
Примем шаг поперечной
арматуры
:
вблизи опор (1/4 lo) шаг
будет равен:
- принимаем 200 (мм)
в средней части
- принимаем 500 (мм)
Расчет по наклонному сечению
производят из условия
Условие выполняется
)
) Определяю
интенсивность хомутов
(kH/м2)
Ш12 Аsw=1,313>
0,25Rbt b
,2>70,87
Определяю поперечное усилие на
проекцию
Определяю длину
проекции наклонной трещины
Проверяю условие:

условие выполняется
, но не более 3h0=2,01, принимаем с=2,01
(кH)
Определяю усилие,
которое воспринимает бетон без учета арматуры
(кH)
,8<135<474,4
Проверяем прочность по
наклонной полосе между наклонными трещинами:
225<135,23+224,3
Условие выполняется
3.3 Построение эпюры
материалов
Момент в сечении
2-2:
Х(2Ш20+2Ш14)
М(2Ш20+2Ш14)
Х2Ш20
М2Ш20
Х2Ш14
М2Ш14
Х2Ш12
М2Ш12
Момент в сечении
5-5
Х(2Ш25+2Ш18)
М(2Ш25+2Ш18)
Х2Ш25
М2Ш25
Х2Ш18=
М2Ш18
Список литературы
1. СП 52-101-2003. Бетонные и железобетонные конструкции без
предварительного напряжения арматуры
2. СП 52-102-2004. Предварительно напряженные железобетонные
конструкции
3. «Проектирование и расчет железобетонных и каменных
конструкций». 2-е изд. Перераб. и дополн./ Н.Н. Попов, А.В. Забегаев. М.:
«Высшая школа»., 1989 г.
4. Методические указания к курсовому проекту «Проектирование
ребристого монолитного междуэтажного балочного перекрытия многоэтажного
промышленного здания» по дисциплине «Бетонные и железобетонные конструкции»/
Н.Н. Халап; ВолгГАСА. - Волгоград, 2003
5. «Железобетонные конструкции (расчет и конструирование)».
Улицкий И.И. Киев, 1972 г. 992 с.