Низкоорбитальный СМКА связи, его СЭП и СОТР
«Низкоорбитальный
СМКА связи, его СЭП и СОТР»
Содержание
Принятые сокращения
Введение
. Анализ аналогов
.1 Выбор аналогов
.2 Обоснование выбора аналогов
. Согласование СЭП и СОТР с СМКА
.1 Анализ энергопотребляемой
аппаратуры
.2 Расчёт СЭП
.3 Расчёт тепловых нагрузок,
действующих на МКА
Список литературы
Приложение
Принятые сокращения
АБ - аккумуляторная
батарея;
АФУ -
антенно-фидерные устройства;
БКУ - бортовой
комплекс управления;
ДУ - двигательная
установка;
КА - космический
аппарат;
КДУ - комплексная
двигательная установка;
СБ - солнечные
батареи;
СЭП - система
энергопотребления;
ФЭП -
фотоэлектрический преобразователь.
Введение
Целью данного курсового
проектирования является проектирование спутника (МКА) с ограничением по массе -
не более 100 кг и объему - не более 1 
. Такие спутники относятся к типу
микроспутнков (масса от 10 до 100 кг). Назначение данного космического аппарата
- радиосвязь. Спутник радиосвязи - искусственный спутник Земли
<#"562839.files/image002.gif">
Конструктивно КА «Юбилейный» состоит из
негерметичного приборного отсека, образованного шестигранной рамой, на которой
смонтированы панели солнечной батареи, и тремя поперечными панелями - верхней,
средней и нижней. Бортовая аппаратура размещается как в приборном отсеке, так и
на наружной поверхности верхней панели.
На верхней панели, которая во время работы
спутника обращена в сторону Земли, расположены элементы систем ориентации -
магнитометр и поперечные штанги с балансирами, приемные и передающие антенны, а
также научная аппаратура: три датчика Земли, для получения данных об излучении
Земли в инфракрасном диапазоне длин волн и исследования
пространственно-временного излучения дневной и ночной атмосферы Земли в видимом
спектральном диапазоне. Часть электронной аппаратуры, требующий повышенной
защищенности от факторов космического пространства, находится на стороне
панели, обращенной вовнутрь приборного контейнера.
На средней панели установлена аппаратура ДОКА-Б,
в состав которой входит бортовой компьютер; приемная аппаратура, работающая на
частотах 145 МГц; передающая аппаратура, работающая на частотах 435 МГц,
аккумуляторная батарея, а так же бортовая аппаратура радионавигации. На нижнем
днище расположена магнитно-гравитационная система ориентации, в штатном режиме
обеспечивающая ориентацию продольной оси КА на Землю, антенна навигационной
аппаратуры, экспериментальный солнечный датчик ДПС и аппаратура РАДЭК,
предназначенная для проверки эффективности применения разработанных в СибГАУ
нанопокрытий для радиационной защиты электронных компонентов космических
аппаратов.
Панели солнечной батареи, смонтированные на
раме, изготовлены на базе трехкаскадного арсенида галлия. Они позволяют
обеспечивать электроэнергией бортовую аппаратуру КА на освещенной части орбиты.
Выбранная форма рамы обеспечивает необходимую величину эффективной площади
солнечных батареи при различном положении КА относительно Солнца. На теневых
участках орбиты аппаратуру электроэнергией обеспечивает никель-металгидридная
аккумуляторная батарея. Аккумуляторная батарея системы электропитания (СЭП) не
является отдельным агрегатом, ее элементы входят в состав приборного блока
питания и управления, в котором размещается вся автоматика СЭП, все это входит
в состав аппаратуры ДОКА-Б.
Особенностью КА «Юбилейный» является пассивная
система терморегулирования: требуемый температурных режим обеспечивается
нерегулируемым соотношением оптических коэффициентов на поверхностях элементов
конструкции объекта, теплоизолирующими элементами, электрообогревателями (ЭО) и
тепловыми трубками, которые обеспечивают тепловой режим аппаратуре ДОКА-Б.
) Спутник «LAPAN-TUBSAT».
Этот спутник был создан Берлинским
Техническим университетом по заказу Индонезийского космического агентства. Индонезийские
инженеры принимали участие в обучении и были активно включены в процесс
разработки и производства спутника. Миссия «LAPAN-TUBSAT»: наблюдение Земли
(сельское хозяйство, мониторинг стихийных бедствий), демонстрация
экспериментальных технологий (звездный датчик, механизм переориентации), а
также подготовка индонезийских инженеров. На спутнике установлена видеокамера,
результаты съемки которой можно посмотреть на сайте Берлинского университета
<#"562839.files/image003.gif">
Характеристики:
|
Габаритные
размеры, ЩхДхВ, мм
|
450х450х27
|
|
Масса,
кг
|
56
|
|
СЭП
|
4
панели СБ с кремниевыми элементами (по 35 элементов на каждой панели),
мощность каждой панели - 14 Вт 5 NiH2 аккумуляторных батарей, ёмкость аккумулятора
12 A*h и напряжение 11,5 В
|
|
Система
управления и ориентации
|
3-х
маховичная система 3-хосный лазерный гироскоп 3-осный датчик магнитного поля
звёздный датчик
|
3) Спутник «MAROC-TUBSAT».
«MAROC-TUBSAT»
является результатом сотрудничества Берлинского Технического университета с
Королевским центром Марокко. Данный спутник предназначен для наблюдения Земли.
Миссия: в первую очередь это подготовка
студентов ILR и
разработка новых систем управления положения КА в пространстве. Королевский
центр в Марокко также использует этот спутник в целях образования и проведения
экспериментов.
«MAROC-TUBSAT»
основан на платформе TUBSAT-C,
которая была разработана раньше DLR-TUBSAT,
но в отличии от него на борту присутствует фото- и видео камера.
Запуск состоялся 10 декабря 2001 года в России
ракетой «Зенит» на Солнечно-синхронную орбиту.
Характеристики:
|
Габаритные
размеры, ШхДхВ, мм
|
320х340х362
|
|
Масса,
кг
|
47
|
|
СЭП
|
4
панели СБ, 320х320, 34 ячейки на каждой панели, максимальная мощность - 14 Вт
4 NiH2 батареи, номинальное напряжение 10 В, сила тока 12 А
|
|
Система
управления и ориентации
|
3-осный
гироскоп Звёздный датчик 3-осный датчик магнитного поля
|
|
Система
обработки информации
|
Хранение,
прием, пересылка
|
.2 Обоснование выбора аналогов
На данный момент существует большое количество
космических аппаратов, относящихся к типу микроспутников. Все они имеют
различные характеристики, размеры и назначение. Поэтому выбор аналога был
основан исходя из следующих критериев:
. доступность информации о спутнике и о
его элементах;
. описание элементов, приборов и
аппаратуры;
. массогабаритные характеристики;
. энергопотребление аппаратуры;
. негерметичность платформы.
.
Согласование СЭП и СОТР с СМКА.
2.1 Анализ
энергопотребляемой аппаратуры
На космическом аппарате выделяют две системы
энергопотребления:
. служебные системы;
. целевая система.
) К целевой системе энергопотребления
относится целевая аппаратура. В результате поиска необходимого оборудования для
обеспечения голосовой связи был выбран ретранслятор Motorola
MRT2000, чьи
массогабаритные и энергетические характеристики удовлетворяют требованиям
данного проектного задания. Далее приведена таблица характеристик данного
ретранслятора.
Таблица характеристик ретранслятора Motorola
MRT2000:
|
Диапазон
частот
|
VHF:
136-174 МГц UHF: 403-470 МГц
|
|
Ширина
канала
|
12.5
/ 20.0 / 25.0 / 30.0 кГц
|
|
Количество
каналов
|
до
32
|
|
Мощность
передатчика
|
136-174
МГц: 1-40 Вт 403-470 МГц: 1-40 Вт опционально 100 Вт
|
|
Напряжение
питания
|
220
В переменного тока или 14.2 В постоянного тока с минусом на корпусе
|
|
Габариты
(В х Ш х Д), мм
|
483
х 419 х 133
|
|
Вес,
кг
|
19
|
|
Диапазон
рабочих температур
|
от
-30 оС до +60 оС
|
Данные габаритные размеры уменьшаются за счёт
снятия корпуса и не нужных элементов из конструкции ретранслятора.
Следовательно уменьшаются масса и энергозатраты на работу аппаратуры, таким
образом можно будет ставить несколько таких ретрансляторов для увеличения
количества каналов, но тогда встает вопрос о площади СБ и вырабатываемой ими
мощности.
Первоначально возьмем следующие данные:
. количество ретрансляторов: 2;
. потребляемая мощность: примерно 140 Вт;
. напряжение питания: постоянный ток,
14.2 В;
. вес: ≈ 20…25 кг;
. габариты: 300х300х10.
) Служебные системы. Для расчёта СЭП
необходимо знать потребляемую мощность всей аппаратуры, установленной на МКА.
Таким образом, к служебным системам можно отнести:
. системы ориентации и стабилизации:
.1. 3-хосный лазерный гироскоп;
.2. 3-х маховичная система стабилизации;
.3. солнечный датчик;
.4. комплексная двигательная установка
(КДУ);
. бортовой комплекс управления (БКУ);
. аппаратура регулирования и контроля;
. антенно-фидерные устройства.
Для того чтобы определить суммарную требуемую
мощность служебных систем необходимо рассмотреть каждую из них по отдельности.
) Начнём с системы ориентации и стабилизации. За
основу возьмем характеристики элементов системы МКА LAPAN-TUBSAT.
. 3-хосный лазерный гироскоп.
Максимальная потребляемая мощность 2 Вт.
2. 3-ч маховичная система
стабилизации RW-05. Масса 1
кг, потребляема мощность в стационарном режиме 1.5 Вт, при максимальной
нагрузке 9 Вт, напряжение 18-24 В, точность ±0.2 об/мин, габаритные размеры 
62х78.
. Солнечный датчик
S3 Smart Sun Sensor. Масса
330 г, потребляемая мощность 0.7 Вт, напряжение 5 В, диапазон рабочих
температур от -25 оС до +60 оС, точность 0.02 о, габаритные размеры 112х112х43
мм.
. Комплексная двигательная
установка.
2) В бортовой комплекс управления входят
бортовой радиокомплекс (БРК) и бортовой микрокомпьютер (БМК). Потребляемая
мощность в пределах 10 Вт и напряжение 14 В.
) К аппаратуре регулирования и контроля
относятся различные датчики: температур, угловой скорости, вольтметры, амперметры
и т.д. Суммарная потребляемая мощность не превышает 1 Вт, напряжение 14 В.
) К антенно-фидерным устройствам
относятся антенны для передачи телеметрической информации на наземный пункт
приема. Потребляемая мощность не более 10 Вт.
2.2 Расчёт СЭП
Для начала расчёта СЭП необходимо выбрать
солнечные батареи. При рассмотрении различных СБ выбор пал на следующие:
солнечные батареи организации ОАО «Сатурн» на основе GaAs
фотопреобразователей со следующими характеристиками:
|
Параметр
СБ
|
СБ
на основе GaAs ФП
|
|
Срок
активного существования, лет
|
15
|
|
КПД
при температуре 28 °C, %
|
28
|
|
Удельная
мощность, Вт/м2
|
|
|
Начало
САС
|
315
|
|
Конец
САС
|
247
|
|
Максимальная
мощность, Вт/м2
|
381
|
|
Удельная
масса, кг/м2
|
1.6
|
|
Толщина
ФЭП, мкм
|
150
± 20
|
Расчёт проводится в программе к Лабораторной
работе № 3: "Исследование влияния параметров системы электропитания на ее
массовые и габаритные характеристики" (см. Приложение 1).
При определении площади СБ и расчётной мощности
СБ необходимо учитывать их дезориентацию относительно Солнца и деградацию ФЭП.
Так как они будут крепиться к корпусу КА, то коэффициент освещенности СБ не
будет превышать 30-40%. Реальная зависимость потребляемой КА мощности от
времени имеет сложную форму, поэтому все расчёты ведутся по максимальной
загруженности систем, то есть все значения мощностей взяты по максимуму.
Для начала необходимо составить график
энергопотребления СМКА:
где Nср
- средняя потребляемая мощность за виток, N_s
- мощность, потребляемая целевой системой за виток, N_ss
- мощность, потребляемая служебными системами за виток.
где 
- плотность теплового потока,
идущего от Солнца, на орбитах Земли; 
- КПД ФЭП; 
- коэффициент заполнения площади
СБ; 
- коэффициент деградации ФЭП; 
- срок активного существования КА; 
- коэффициент освещенности СБ.
Формула для расчёта средней
мощности, полученной из графика, имеет вид:
Из условия равенства емкостей заряда
и разряда АБ найдем среднюю мощность СБ:
Приравнивая эти выражения, получим:
Далее получим площадь СБ:
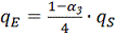
Масса СЭП складывается из нескольких
составляющих:
В результате расчётов были получены следующие
данные по СЭП:
. площадь СБ - 3.436 м2
. масса СБ - 5.5 кг
. масса АБ - 9.411 кг
. суммарная масса СЭП - 38.207 кг.
Вывод: на массу КА в значительной мере влияет
СЭП. Для увеличения эффективности СЭП нужно стремиться к уменьшению массы
энергопотребляемой аппаратуры за счёт применения более эффективных солнечных и
аккумуляторных батарей. Необходимо искать СБ и АБ с более высоким КПД и
меньшими массовыми характеристиками.
2.3 Расчёт
тепловых потоков, действующих на МКА
К общим задачам проектирование относят сброс
теплоты при помощи СОТР малой массы и размеров и поддержание диапазона
температур, необходимых для нормальной работы аппаратуры. Так как платформа не
герметична, то теплообмен будет осуществляться посредством теплопроводности
(передача теплоты от более нагретой части тела к менее нагретой) и излучения
(перенос теплоты от более нагретого тела к менее нагретому при помощи
электромагнитных волн).
Расчёт радиационного теплообменника начинается с
вычисления действующих тепловых потоков на МКА. Таких потоков четыре: поток
прямого солнечного излучения, отраженный от поверхности планеты солнечный
тепловой поток, поток собственного планетного излучения и поток от
тепловыделяемой аппаратуры. Суммарный тепловой поток вычисляется по следующей
формуле:
где 
- поток прямого солнечного
излучения, 
- отраженный от поверхности планеты
солнечный тепловой поток, 
- поток собственного планетного
излучения, 
- тепловая мощность, рассеиваемая
бортовой аппаратурой.
Общее выражение для поглощенного КА
внешнего теплового потока имеет следующий вид (для случая осредненных по
поверхности угловых коэффициентов):

,
где 
и 
- оптические характеристики
радиационной поверхности, 
, 
- плотности прямого солнечного и
собственного планетного излучений, 
- площадь миделевого сечения
радиационной поверхности по отношению к потоку прямого солнечного излучения, 
- площадь радиационной поверхности,

0,37 - среднее альбедо планеты
Земля, 
и 
- осредненные угловые коэффициенты.
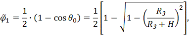
Угловыми коэффициентами 
и 
определяются доля падающего на
поверхность КА собственного планетного излучения (
) и доля отраженного от планеты
солнечного излучения (
). Осредненные значения угловых
коэффициентов имеют следующий вид:
где 
- угол между местной вертикалью и
направлением, касательным к земной поверхности (угол 2
является сечением телесного угла
обзора планеты); 
- зенитное расстояние Солнца (угол
между направлениями Земля - КА и Земля - Солнце), 
- угол освещенности плоскости
орбиты 
(угол между нормалью к плоскости
орбиты 
и направлением падающего солнечного
теплового потока 
s)
определяется из тригонометрического соотношения:

где 

- наклонение и долгота восходящего
узла орбиты; 
=23°27' - угол между плоскостью
эклиптики и плоскостью экватора; 
= 0,9856 N2I (N2I
- количество суток, отсчитываемых от 21 марта до текущего дня) - угол в
градусах, определяющий положение Солнца на эклиптике на текущий момент.
Тепловая мощность, рассеиваемая
бортовой аппаратурой, зависит от потребляемой электрической мощности 
и может быть определена как:
где 
- потребляемая электрическая
мощность i-го
источника тепловыделений; 
- коэффициент полезного действия
аппаратуры.
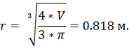
Для расчёта необходимо знать площади
граней МКА, поэтому предварительные габаритные размеры одной грани рассчитаем
исходя из полученной площади СБ:
Для начального анализа примем
площадь всех граней одинаковой и форма МКА - куб. Тогда длина каждой грани
будет равна 1.088 м, а объем:
Для упрощения возьмем вместо куба шар
того же объема с радиусом:
Тогда площадь круга:
Таким образом, были получено среднее
значение суммарного теплового потока, действующего на МКА (Приложение 1):
Список литературы:
низкоорбитальный
спутник связь
1. Никольский В.В. Основы
проектирования автоматических космических аппаратов. Учебник. С-Пб.: БГТУ
"Военмех", 2007. 230 с.
. Никольский В.В.
Проектирование космических аппаратов. Учебное пособие. С-Пб.: БГТУ
"Военмех", 2003. 121 с
. Королев С.И. Системы
обеспечения теплового режима космических аппаратов: учебное пособие. С.И.
Королев; Балт. гос. техн. ун-т. - СПб.,2006. - 100с.
4. Интернет-ресурс
Берлинского технического университета:
<#"562839.files/image061.gif">
Начальная оценка СЭП
Геометрические размеры МКА взяты следующими (с
учётом СБ): высота 100 см, ширина 50 см и длина 50 см. Площадь поверхности,
покрываемая СБ: 1*0.5*4*0.9 = 1.8 м2, где 0.9 - это коэффициент заполнения СБ
поверхности КА.
При рассмотрении различных солнечных батарей
выбор пал на следующие: СБ на основе GaAs
фотопреобразователях
со следующими характеристиками:
|
Параметр
СБ
|
СБ
на основе GaAs ФП
|
|
Срок
активного существования, лет
|
15
|
|
КПД
при температуре 28 °C, %
|
28
|
|
Удельная
мощность, Вт/м2
|
|
|
Начало
САС
|
315
|
|
Конец
САС
|
247
|
381
|
|
Удельная
масса, кг/м2
|
1.6
|
|
Толщина
ФЭП, мкм
|
150
± 20
|
Предварительные расчёты СЭП:
Дано:
САС: 10 лет,
- высота круговой орбиты: 1000 км,
- коэффициент освещенности: 0.5
мощность всех систем: примерно 80 Вт
КПД ФЭП: 0.28
коэффициент деградации ФЭП: 0.15
Полученные данные:
- площадь СБ: 2 м2
- средняя мощность электропотребления: 100 Вт
масса СБ: 3.2 кг
масса СЭП (без учёта аккумуляторных батарей): 5
кг
Ретранслятор
В результате поиска необходимого оборудования
для обеспечения голосовой связи был выбран ретранслятор Motorola
MRT2000, который по
своим массогабаритным характеристикам подходит для наших целей.
Таблица характеристик ретранслятора Motorola
MRT2000:
|
Диапазон
частот
|
VHF:
136-174 МГц UHF: 403-470 МГц
|
|
Ширина
канала
|
12.5
/ 20.0 / 25.0 / 30.0 кГц
|
|
Количество
каналов
|
до
32
|
|
Мощность
передатчика
|
136-174
МГц: 1-40 Вт 403-470 МГц: 1-40 Вт опционально 100 Вт
|
|
Напряжение
питания
|
220
В переменного тока или 14.2 В постоянного тока с минусом на корпусе
|
|
Габариты
(В х Ш х Д), мм
|
483
х 419 х 133
|
|
Вес,
кг
|
19
|
|
Диапазон
рабочих температур
|
от
-30 оС до +60 оС
|
Данные габаритные размеры уменьшаются за счёт
снятия корпуса. Следовательно уменьшается масса, таким образом можно будет
ставить несколько таких ретрансляторов для количества каналов, но тогда встает
вопрос о площади СБ и вырабатываемой ими мощности.