Стоимостная оценка опциона по методу Блэка-Шанса

  • Вид работы:
    Контрольная работа
  • Предмет:
    Банковское дело
  • Язык:
    Русский
    ,
    Формат файла:
    MS Word
    41,87 Кб
  • Опубликовано:
    2012-06-21
Вы можете узнать стоимость помощи в написании студенческой работы.
Помощь в написании работы, которую точно примут!

Стоимостная оценка опциона по методу Блэка-Шанса

Содержание

1. Стоимостная оценка опциона по методу Блэка-Шоулза

. Депозитарная деятельность на РЦБ

Список используемой литературы

1. Стоимостная оценка опциона по методу Блэка-Шоулза

акция опцион премия депозитарный

Существуют различные подходы к оценке акций, в российской литературе выделяют, как правило, три подхода: затратный подход, сравнительный подход и доходный подход, каждый из которых содержит различные методы и алгоритмы оценки. В настоящее время на практике используют так называемый опционный подход оценки акций и активов, который основывается на использовании опционной модели Блэка-Шоулза (ОРМ).

Модели опционного ценообразования могут применяться для оценки любого вида актива или акции, если тот в свою очередь имеет опционные характеристики с некоторыми ограничениями. Ограничения на использование модели Блэка-Шоулза в оценке акций:

Базовый актив (акция), который лежит в основе опциона, не торгуется.

Цена акции меняется непрерывно, на рынке отсутствуют резкие скачки и колебания цен.

Дисперсия известна и не изменяется в течение всего срока действия опциона. Для краткосрочных опционов на торгуемые акции дисперсия постоянна, но применение долгосрочных опционов на акции нарушает это предположение.

Немедленное исполнение опциона. В опционных моделях исполнение опциона считается мгновенным, в реальности часто это предположение нарушается.

Модель основывается на следующих предположениях:

) по базисному активу колл опциона дивиденды не выплачиваются в течение всего срока действия опциона;

) нет трансакционных затрат, связанных с покупкой или продажей акции или опциона;

) краткосрочная безрисковая процентная ставка известна и является постоянной в течение всего срока действия опциона;

) любой покупатель ценной бумаги может получать ссуды по краткосрочной безрисковой ставке для оплаты любой части ее цены;

) короткая продажа разрешается без ограничений, при этом продавец получит немедленно всю наличную сумму за проданную без покрытия ценную бумагу по сегодняшней цене;

) колл опцион может быть исполнен только в момент истечения опциона;

) торговля ценными бумагами ведется непрерывно, и цена акции движется непрерывно и случайным образом.

Вывод ОРМ основывается на концепции безрискового хеджа: покупая акции и одновременно продавая колл опционы на акции, инвестор может конструировать безрисковую позицию, где прибыли по акциям будут точно компенсировать убытки по опционам, и наоборот.



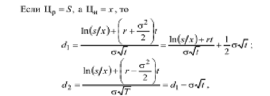
где N(d1 ), N(d2 ) - вероятности, показывающие, что нормированная нормальная переменная d будет меньше d1 и d2 соответственно


где σ - стандартное отклонение цены акции, которое берется в годовом исчислении в относительных единицах.

Как видно из приведенных выражений, модель Блэка-Шоулза учитывает следующие параметры: цену акции, цену исполнения, ставку без риска, стандартное отклонение курса акций, срок истечения контракта. В то же время она не принимает во внимание ожидаемую доходность по акциям.

Для вероятностной оценки цены опциона в модели Блэка-Шоулза используется не нормальное, а так называемое логонормальное распределение случайной величины. Это обусловлено следующими причинами:

во-первых, нормальное распределение описывается кривой, симметричной относительно ее центральной оси, т. е. может иметь как положительные, так и отрицательные значения, в то время как цена акции не может быть отрицательной;

во-вторых, нормальное распределение говорит о равной вероятности отклонения переменной как вверх, так и вниз, тогда как на практике, например, имеется инфляция, которая оказывает давление на цену в сторону ее повышения, а кривая логонормального распределения всегда положительна и имеет правостороннюю скошенность.

Важным параметром модели Блэка-Шоулза является стандартное отклонение цены акции. Оно задает меру возможного отклонения цены акции в расчете на год. Так, например, если цена акции составляет 100 р., а стандартное отклонение равно 10 %, то через год цена может находиться в пределах от 90 до 110 р. ( σ ± ) с вероятностью 68,3 %, в пределах от 80 до 120 р. (σ ± 2) с вероятностью 95,4 %, и в пределах от 70 до 130 р. ( ) 3 ( σ ± с вероятностью 99,7 %.

На практике значение стандартного отклонения рассчитывается на основе данных о котировальной цене акции за истекший период времени, как минимум за последний год, по следующей формуле:


где m - среднее значение случайной величины (цены акций);- число наблюдений;

х i - значение случайной величины в каждом наблюдении.

Среднее значение случайной величины определяется как


Модель Блэка-Шолеса используется для оценки цены опциона колл (европейского и американского).

Модель ОРМ определяет влияние пяти факторов на текущую стоимость опциона следующим образом:

) стоимость опциона возрастает с ростом цены акции, с меньшим темпом;

) если цена исполнения возрастает, то стоимость опциона снижается, но абсолютное изменение ее меньше;

) если период действия опциона возрастает, то возрастает и его стоимость;

) с увеличением вариации цены базисного актива стоимость опциона увеличивается.

2. Депозитарная деятельность на РЦБ


Депозитарная деятельность на РЦБ представляет собой комплекс мер по оказанию услуг, связанных с хранением сертификатов ценных бумаг и/или учету и переходу прав на ценные бумаги. Депозитарной деятельностью могут заниматься только юридические лица на основании лицензии, выдаваемой Федеральной комиссией по ценным бумагам.

Депозитарной деятельностью в России, признается профессиональная деятельность на рынке ценных бумаг в соответствии с ФЗ «О рынке ценных бумаг».

Лицо, осуществляющее депозитарную деятельность, именуется депозитарием.

Хранение сертификатов ценных бумаг, не сопровождающееся учетом и удостоверением прав клиентов (депонентов) на ценные бумаги, не является депозитарной деятельностью и осуществляется в соответствии с нормами гражданского законодательства Российской Федерации о хранении.

Депозитарий - это профессиональный участник, оказывающий услуги по хранению ценных бумаг и учету прав на ценные бумаги. Депозитарий осуществляет свою деятельность в интересах владельца ценных бумаг на основании депозитарного договора, заключенного с владельцем.

Другими словами, депозитарий ведет счета, на которых учитываются ценные бумаги, переданные ему клиентами на хранение, а также непосредственно хранит сертификаты этих ценных бумаг при их наличии.

Ведение счетов дает депозитарию возможность фиксировать (удостоверять) право собственности на ценные бумаги и учитывать те имущественные права, которые закреплены ими. Счета, предназначенные для учета ценных бумаг, называются «счета депо».

Депозитарии появились для ускорения расчетов на организованных рынках ценных бумаг. Первые депозитарные системы создавались для обслуживания фондовых бирж, где профессиональные участники рынка постоянно совершают сделки между собой и где требования к оперативности регистрации смены собственника и эффективности этой процедуры особенно высоки.

В России депозитарии рассматриваются как составной элемент учетной системы. Под учетной системой понимают совокупность институтов фондового рынка, которые ведут записи, удостоверяющие права клиентов на ценные бумаги.

В России и за рубежом необходимость учетной системы связывают с тем, что подавляющая часть оборота ценных бумаг происходит в бездокументарной форме. Поэтому должны быть институты, регистрирующие этот оборот и связанный с ним переход права собственности на ценные бумаги.

В России к таким институтам относят регистраторов и депозитарии.

Депозитарий выполняет достаточно много операций, но среди них можно выделить две основные.

Во-первых, депозитарий оказывает участникам рынка услуги по хранению сертификатов ценных бумаг. Этими услугами пользуются клиенты, которые владеют ценными бумагами, выпущенными в документарной форме. Чтобы не хранить бланки дома или в офисе, что чревато утратой ценных бумаг, инвестор передает их на хранение в депозитарий. Исторически современные депозитарии выросли из организаций, оказывающих услуги по хранению ценных бумаг.

Во-вторых, депозитарии предлагают услуги по учету прав на ценные бумаги. Эта функция является логическим продолжением предыдущей. Если инвестор продает ценные бумаги, то без услуг депозитария сделка выглядит следующим образом: инвестор забирает свои ценные бумаги из депозитария, передает их покупателю, который уплачивает денежные средства.

Однако операцию можно совершить по-иному, учитывая, что покупатель опять положит ценные бумаги на хранение в этот же депозитарий. В этом случае ценные бумаги из депозитария можно не забирать, а владелец ценных бумаг выдает депозитарию письменное указание переписать их на покупателя. Это существенно упрощает сделку и снижает риски, связанные с передачей ценных бумаг из рук в руки.

В полной мере функция учета прав на ценные бумаги стала использоваться при переходе на выпуск бездокументарных ценных бумаг. В этом случае инвестору в депозитарии открывается специальный счет, называемый «депо». Клиент, пользующийся услугами депозитария, называется депонентом.

На счете депо учитываются ценные бумаги депонента и производятся записи обо всех операциях, совершенных депонентом с ценными бумагами. То, что ценные бумаги (права на ценные бумаги) переданы на хранение депозитарию, подтверждается выпиской со счета депо. Сама по себе выписка не является ценной бумагой и не может служить предметом купли-продажи.

Взаимоотношения между депозитарием и депонентом регулируются договором, в котором должно быть отражено:

предмет договора;

порядок передачи депонентом ценных бумаг на хранение, а если бумаги выпущены в бездокументарной форме, то порядок передачи депонентом информации о правах на ценные бумаги;

порядок учета прав на ценные бумаги и процедура перерегистрации перехода прав на ценные бумаги от одного лица к другому;

размер и порядок оплаты услуг депозитария;

порядок представления отчетности депозитарием перед депонентом.

Передача ценных бумаг на хранение депозитарию не означает перехода к депозитарию прав собственности на эти ценные бумаги.

Главная задача депозитария - обеспечить сохранность ценных бумаг или прав на ценные бумаги и действовать исключительно в интересах депонента.

Депозитарий не имеет права распоряжаться ценными бумагами, управлять ими или совершать с ними какие-либо операции. В связи с тем, что находящиеся на хранении у депозитария ценные бумаги не являются его собственностью, на них не может быть обращено взыскание по его обязательствам.

На депозитарий возложено выполнение следующих функций:

хранение сертификатов ценных бумаг, если бумаги выпущены в документарной форме;

регистрация обременения ценных бумаг депонента какими-либо обязательствами (залог, ресурсное обеспечение и др.);

ведение счетов депо с отражением в них количества и вида ценных бумаг, всех операций, проведенных депонентом;

передача депоненту информации, полученной депозитарием от эмитента и реестродержателя;

проверка сертификатов ценных бумаг на подлинность;

инкассация и перевозка ценных бумаг.

Депозитарий может выполнять функции номинального держателя, т. е. держать бумаги от своего имени, не являясь владельцем ценных бумаг. В качестве номинального держателя депозитарий может осуществлять права, закрепленные ценной бумагой, только в случае получения соответствующих полномочий от их реального владельца.

Список используемой литературы


1.       Басовский Л.Е. Экономическая оценка инвестиций: Уч. пособие / Л.Е.Басовский, Е.Н.Басовская. - М.: Инфра-М, 2007. - 241с.

.        Бочарников А.П. Основы инвестиционной деятельности. Учебное пособие / А.П.Бочарников. - М.: Омега-Л, 2007. - 296 с.

.        Сергейчик С.И. Ценные бумаги: учебное пособие / С.И.Сергейчик. - Томск: Изд-во ТПУ, 2008. - 176 с.

Похожие работы на - Стоимостная оценка опциона по методу Блэка-Шанса

 

Не нашли материал для своей работы?
Поможем написать уникальную работу
Без плагиата!
Без нейросетей!