Развитие страхового рынка в России
ВВЕДЕНИЕ
Выбранную Россией рыночную модель трудно
представить себе без разветвленной финансово-устойчивой системы страхования.
Между тем страхование в нашей стране стало еще
механизмом, обеспечивающим безопасность общества в условиях становления
рыночных отношений. Если на начальном этапе страхование не было востребовано
обществом, то сегодня в Российской Федерации уже появляются признаки того, что
страхование становится важнейшим сегментом рыночных экономических отношений.
Страховой институт обеспечивает безопасность, стабильность, социальные гарантии
в обществе посредством механизма финансовой защиты.
Данная тема достаточно актуальна в современных
условиях, т.к. многовековой опыт развития страхования убедительно доказал, что
он является мощным фактором положительного воздействия на экономику.
Страхование - это стратегический сектор
экономики.
Еще в период рабовладельческого строя владельцы
имущества и рабов использовали страхование как способ защиты их от уничтожения
силами природы, утраты в связи с грабежами и другими непредвиденными событиями.
На этой почве закономерно возникла идея
объединения заинтересованных лиц по возмещению материального (имущественного)
ущерба путем его солидарной раскладки между участниками объединения.
Действительно, если бы каждый владелец имущества намеревался возмещать ущерб за
свой счет, то он вынужден был бы создавать материальные резервы, по величине
равные имеющемуся имуществу, что очень невыгодно.
Жизненный опыт показывает, что, хотя
непредвиденные и стихийные бедствия носят случайный и неравномерный характер,
число пострадавших всегда меньше числа заинтересованных лиц или хозяйств. При
таких условиях солидарная раскладка возможного ущерба между заинтересованными
владельцами имущества существенно сглаживает последствия стихийных бедствий и
случайностей. Чем больше заинтересованных лиц или хозяйств участвует в
раскладке ущерба, тем меньшая доля средств приходится на каждого участника. Так
возникло страхование, сущность которого состоит в замкнутой раскладке
возможного ущерба между заинтересованными лицами.
Наиболее примитивной формой раскладки ущерба
было натуральное страхование. По мере развития товарно-денежных отношений,
натуральное страхование уступило место страхованию в денежной форме. Раскладка
ущерба в денежной форме значительно расширила и упростила возможности
страхования. Страхование превратилось во всеобщее универсальное средство по
защите имущественных интересов физических и юридических лиц при наступлении
определенных событий (страховых случаев) за счет денежных фондов, формируемых и
уплачиваемых ими страховых взносов (премий, платежей).
страхование рынок фонд
1. ОБЩАЯ ЧАСТЬ
.1 Сущность страхования и основные его виды
.1.1 Понятие страхования
Страхование - одна из сфер финансовой системы.
Страхование связано с распределением совокупного общественного продукта и части
национальных богатств. Для страхования в то же время характерны экономические
отношения только по перераспределению доходов и накоплений, связанных с
возмещением материальных и иных потерь.
Страхование - это совокупность особых замкнутых
перераспределительных отношений между его участниками по поводу формирования за
счет взносов страховых фондов, предназначенных для возмещения материального и
иного ущерба предприятиям, организациям и физическим лицам.
Субъекты страхования - страхователь и
страховщик. Страховщик - организация, осуществляющая страхование, имеющая на
это лицензию, к ней предъявляются определенные требования (объем уставного
капитала, не имеют права заниматься торговой и производственной деятельностью).
Страхователь - юридическое или физическое лицо, заключающее договор страхования
и вносящее страховые взносы.
.1.2 Страховой рынок
Как таковой рынок представляет собой систему
экономических отношений, возникающих в процессе купли-продажи товаров, в рамках
которого формируется спрос, предложение и цена на них. Любой рынок товаров и
услуг подчинен действию двух объективно существующих экономических законов -
закона стоимости и закона спроса и предложения.
1.1.3 Формы страхования: добровольное и
обязательное
Представляют определенный интерес основные
направления деятельности компаний. В последнее время структура операций
российских страховщиков выглядит следующим образом: обязательные виды
страхования, а это, главным образом, обязательное медицинское страхование,
составили 28% всех поступлений; наибольший удельный вес занимает добровольное
личное страхование - 53% поступлений; на долю страхования имущества и
ответственности приходится около 19% всех операций.
.1.3.1 Добровольное страхование
Личное страхование.
По количеству страховых возмещений среди
отраслей страхования личное страхование является самым крупным после
социального. Личное страхование делится на 2 подотрасли: страхование жизни и
страхование от несчастных случаев.
Основные случаи страхования жизни:
на дожитие;
на случай смерти (выплачивается родственникам
(выгодополучателям);
на случай смерти и потери здоровья;
смешанное страхование (риски всех вышеназванных
видов страхования). Выплата возмещений осуществляется при дожитии, смерти и
потери трудоспособности;
страхование ренты - на дожитие, по наступлении
оговоренного времени компания выплачивает регулярно страховые выплаты в течение
определенного времени, в т.ч. могут быть пожизненные (дополнительное пенсионное
страхование);
страхование детей (страхователь одно лицо,
застрахованный - ребенок - другое лицо) на случай смерти, потери здоровья,
дожития до совершеннолетия (18 л);
свадебное страхование - страхование детей.
Случай - договор бракосочетания. Сейчас этот вид - до окончания жизни.
.1.3.2 Обязательное страхование
Современный этап развития обязательного
страхования в России (с 1991 г.) характеризуется рядом специфических черт,
отражающих особенности социально-экономических условий. Прежде всего, в
нормотворческом процессе отразилась особенность переходного периода, когда
происходит всплеск нормотворчества вообще и в сфере обязательного страхования в
частности.
Известно, что цель страхования - защита
имущественных интересов физических и юридических лиц, для этого аккумулируются
их денежные средства (премии) у специального субъекта (страховщика) с
последующей страховой выплатой при наступлении оговоренного страхового случая.
Таким образом, происходит объединение определенных групп субъектов со схожими
целями и интересами, и посредником в этом весьма важном общественном процессе
выступает страховщик. В обязательном страховании именно государство в лице тех
или иных его органов способно присущими только ему специфическими способами
максимально объединить население, чтобы имущественные интересы граждан и
юридических лиц были эффективно защищены страхованием.
Принцип обязательности (императивности)
страхования тех или иных объектов позволяет применять при страховании
экономически обоснованные методы государственного регулирования. На этой общей
основе действуют в разных случаях и дополнительные специальные факторы,
способствующие развитию принципа обязательности в той или иной отрасли
страхового дела. Так, например, в страховании автогражданской ответственности
принцип обязательности играет еще и важную социальную роль. Обязательное
страхование имущества предприятий проводится с целью охраны имущественных
интересов общества, связанных с процессом воспроизводства в целом.
.2 Теоретические основы страхового рынка РФ
.2.1 Сущность и функции страхового рынка
Страховой рынок представляет собой совокупность
экономических отношений по купле-продаже страховой услуги, выражающихся в
защите имущественных интересов физических и юридических лиц при наступлении
страховых случаев за счет денежных средств (взносов, премий) страхователей.
Обязательным условием существования страхового
рынка является наличие потребностей (спроса) на страховые услуги и
страховщиков, способных удовлетворить эти потребности. Первостепенными
экономическими законами функционирования страхового рынка являются закон
стоимости, закон спроса и предложения.
Объективной основой развития страхового рынка
является возникающая в процессе воспроизводства потребность обеспечения
бесперебойности этого процесса, выражающая в оказании денежной помощи
пострадавшим в случае наступления непредвиденных неблагоприятных событий.
Принципы функционирования страхового рынка
определяются общими условиями развития и состояния экономики. Одним из
основополагающих является принцип демонополизации страхового дела. Реализация
этого принципа означает, что страховую деятельность на рынке могут осуществлять
любые страховые компании независимо от формы их собственности.
Важным принципом формирования и развития
страхового рынка является конкуренция страховых организаций по представлению
страховых услуг, привлечению страхователей и мобилизации денежных средств в
страховые фонды.
.2.2 Участники страхового рынка
Страховой рынок - это сфера специфических
экономических отношений, складывающихся между страхователями (застрахованными
лицами, выгодоприобретателями), нуждающимися в силу возможного случайного
наступления неблагоприятных для их материальных, нематериальных ценностей
(благ) событий в страховой защите имущественных интересов, и страховщиками,
обеспечивающими ее за счет использования ими в этих целях страховых фондов,
формируемых из уплачиваемых страхователями денежных взносов (страховых премий).
В соответствии с Законом РФ «Об организации
страхового дела в Российской Федерации» участниками страхового рынка являются:
страхователи, застрахованные лица,
выгодоприобретатели;
страховые организации;
общества взаимного страхования;
страховые агенты;
страховые брокеры;
страховые актуарии;
федеральный орган исполнительной власти, к
компетенции которого относится осуществление функций по контролю и надзору в
сфере страховой деятельности;
объединения субъектов страхового дела, в том
числе саморегулируемые организации.
Одна сторона (субъект) - это страховая
организация (государственная, акционерная или частная), которую называют
страховщиком. Страховщик вырабатывает условия страхования (в частности,
обязуется возместить страхователю ущерб при страховом событии) и предлагает их
своим клиентам - юридическим и физическим лицам. Другая сторона (субъект)
страхового экономического отношения - это юридические или физические лица,
называемые страхователями.
.3 Особенности функционирования страхового рынка
в РФ
.3.1 Особенности развития страхового рынка в РФ
Начавшаяся в 1914 г. Первая мировая война и
последовавшие за ней крупнейшие экономические и политические потрясения в
российском обществе привели к глубочайшему финансово-экономическому и
политическому кризису. Падение покупательской способности рубля обесценивало
страховые суммы заключенных договоров, страховые платежи. После октябрьской
революции 1917 года началась национализация страхового дела. На фоне этих
событий предпринимались попытки переправить капиталы страховых компаний за
границу. 23 марта 1918 г. был подписан Декрет Совета Народных Комиссаров «Об
установлении государственного контроля над всеми видами страхования, кроме
социального». На первом этапе социалистических преобразований страхового дела
по-прежнему сохранялась коммерческая основа старых организационных форм
страхования. Однако гражданская война и иностранная военная интервенция
потребовали принятия чрезвычайных мер во всех областях хозяйственной
деятельности. Они ускорили национализацию страхового дела. В ноябре 1918 г.
Совнарком принял Декрет «Об организации страхового дела в Российской
Республике», которым была закреплена государственная монополия на страхование
во всех видах и формах. В условиях, когда деньги почти полностью утратили свое
значение как форма накоплений и сбережений, а также как платежное средство о
развитии страхового рынка не могло быть и речи. В декабре 1920 г. было отменено
государственное имущественное страхование в связи с тем, что оно потеряло
всякую экономическую целесообразность. После победы в гражданской войне в 1921
г. государство предприняло меры по возобновлению страхования в России, при
неизменной позиции об обязательности государственной монополии в данной
деятельности. При Народном комиссариате финансов создается главное управление
Госстраха - государственной страховой организации, монополизировавшей весь
страховой рынок России. На протяжении многих десятилетий страхование в России
оставалось в исключительном ведении государства.
До конца 80-х годов операции по страхованию в
стране выполняли две государственные страховые организации - Госстрах СССР
(Государственная страховая организация) и Ингосстрах СССР (Государственная
страховая организация по операциям с иностранными страховщиками).
С принятием Закона СССР от 26 мая 1988 г. «О
кооперации в СССР», в соответствии с которым кооперативам и их союзам
разрешалось создавать кооперативные страховые организации, определять порядок,
виды и условия страхования в стране стали создаваться страховые коммерческие
организации и акционерные общества. Этим Законом было положено начало созданию
в стране страхового рынка.
В 1991 г. были приняты законы РСФСР «О
медицинском страховании» и «О налогообложении доходов от страховой
деятельности», а в 1992 г. закон РФ «О страховании», который заложил новую
правовую основу страхования.
.3.2 Проблемы и современные тенденции
функционирования страхового рынка Российской Федерации
Рассматривая современное состояние российского
страхового рынка, следует отметить, что отечественный рынок можно определить в
большей мере как перспективный, или потенциальный. Существуют разные мнения в
оценках его емкости или охвата страхованием рисковой составляющей отечественной
экономики. В одних источниках указывается, что в нашей стране застраховано
всего 7% возможных рисков, традиционно подлежащих страхованию в развитых
странах. В других - высказывают предположение о застрахованных 10% всех
производственных фондов нашей страны и на этом основании делают вывод о
потенциальной возможности восьми-девятикратного роста поступлений премий, даже
при сохранении прежней глубины страхования (текущих страховых покрытий и
страховых сумм).
Об уровне развития российского страхового рынка
можно судить по величине доли страховых услуг в валовом внутреннем продукте
(ВВП) страны. В экономически развитых странах этот показатель составляет 8-12%.
Во времена существования монополии «Госстраха» доля страховых услуг в ВВП
доходила до 3%. В настоящее время эта доля достигает чуть более 1,5%.
Экономические кризисы и реформы крайне отрицательно отразились на состоянии
страхового рынка в России.
Для иллюстрации состояния современного
отечественного страхового рынка приведем значения ключевого макроэкономического
индикатора развития страхового рынка - доли совокупной страховой премии в
валовом внутреннем продукте (показатель глубины рынка) за последние годы.
Показатель глубины рынка (отношение совокупной страховой премии к ВВП), в
большинстве стран Центральной и Восточной Европы составляет около 3% ВВП. В
Болгарии, Румынии и странах Балтии этот показатель в 2005 г. находился в
интервале 1,5- 2,0% ВВП. В Словении и Чехии он превышал 4% (в Словении - 5,23%,
в Чехии - 4,48%) и приближался к уровню стран с развитой рыночной экономикой. В
России этот показатель, рассчитываемый на основе официальной отчетности, в 2005
г. был равен 3,25%, а в 2006 г. - только 2,81% .
Первое полугодие 2007г. характеризуется дальнейшим
замедлением темпов роста российского страхового рынка: если в 2005 г., по
данным Федеральной службы страхового надзора, прирост объема собранной премии
(без обязательного медицинского страхования) составил 44%, то в 2006 г. - уже
9%, а по итогам первого полугодия 2007 г. - лишь 4,4%.
Эксперты выделяют две причины замедления
развития рынка. Первая - продолжающееся сокращение «налоговых» схем в
страховании жизни (именно в этом виде страхования зафиксирован наибольший спад
объема премий - на 45,4% по России в целом). Вторая причина замедления темпов
роста рынка заключается в том, что обязательное страхование гражданской
ответственности владельцев транспортных средств ОСАГО исчерпало свой потенциал
в качестве катализатора, прежде всего потому, что расти этому рынку более
некуда: практически все реально используемые автомашины (по данным Российского
союза автостраховщиков, свыше 90%) уже застрахованы. Кроме того, система
«бонус-малус» в условиях дефицита достоверной информации об истории каждого
страхователя работает пока только в сторону уменьшения размера премий .
В настоящее время в связи с введением ОСАГО
ситуация существенно изменилась. По результатам анализа тематических сообщений
СМИ по итогам 2006 г., можно говорить примерно о 50-60%-ном общем охвате этим
видом страхования (преимущественно физических лиц). Если же говорить о
суммарном охвате страховой защитой организаций и граждан по всему спектру
рисков, то показатель остается в пределах от 15 до 25%.
Вместе с тем потребность в страховании
возрастает. Объективно этому способствует курс на удвоение ВВП и повышение
благосостояния населения за счет двукратного снижения количества бедных
россиян. В целом все это будет способствовать преодолению большей частью
населения и организаций порога «страховой бедности».
Специалисты и эксперты Всероссийского союза
страховщиков (ВСС) к потенциальным страхователям относят не только
состоятельных и обеспеченных граждан (примерно 5% населения), но и
среднеобеспеченных граждан, которых, по их оценкам, примерно 30-35% населения
России.
Страховой рынок - достаточно емкий потребитель
квалифицированных трудовых ресурсов. Рынок труда в российской страховой отрасли
формировался стихийно. В странах со сложившимися рыночными отношениями в сфере
страхования занято около 1% трудоспособного населения, в России этот показатель
пока ниже 3%.
.4.1 Страховые фонды, формы их организации
Страхование представляет собой экономические
отношения, возникающие в связи с формированием целевых фондов денежных средств,
создаваемых для защиты имущественных интересов населения в частной и
хозяйственной жизни от стихийных бедствий и других непредвиденных чрезвычайных
событий, сопровождающихся ущербами.
Страховой фонд представляет собой резерв
материальных или денежных средств, предназначенный для возмещения ущербов.
Денежная форма более предпочтительна в силу своей универсальности. Источниками
формирования страхового фонда являются платежи населения, предприятий,
организаций, взимаемые на обязательной или добровольной основе. Создание
целевых денежных фондов для страхования, управление ими и их распределение
представляют собой часть системы финансовых отношений.
Фонды самострахования создаются на предприятиях
и в домашних хозяйствах на добровольной основе. Исключение составляют
акционерные общества, для которых закон предписывает создание резервных фондов
в размере уставного капитала.
Экономическое содержание страхования - это
совокупность особых перераспределительных отношений по поводу формирования за счет
денежных взносов участников целевых страховых фондов и их использования для
возмещения ущерба и оказания помощи участникам страхования при наступлении
страхового случая.
.4.2 Страхование как часть системы финансовых
отношений
Страхование представляет собой часть системы
финансовых отношений общества, так как связано оно с формированием и
использованием страховых денежных фондов, обеспечивающих потребности
общественного воспроизводства. Предоставление страховой защиты - это вид
финансовых услуг, которые производят и продают страховые организации. Вместе с
тем страхование имеет ряд особенностей, отличающих его от других элементов
финансовой системы, а именно:
а) страховые фонды образуются в основном на базе
перераспределения денежных доходов и накоплений, образующихся в процессе
первичного распределения национального дохода. Поэтому страхование зависит от
тенденций экономического развития и состояния экономической конъюнктуры;
б) для страхования характерна замкнутая
раскладка ущерба в рамках создаваемого страхового фонда. Средства данного
страхового фонда расходуются для компенсации ущербов только его участников.
Страхование основано на предпосылке, что число страхователей, попавших в
страховой случай, существенно меньше, чем общее число участников фонда. При
этом страхователь имеет право на страховую выплату только при условии
наступления страхового случая;
в) страхование предусматривает перераспределение
или выравнивание ущербов по территории и во времени. Распределение ущербов
неравномерно в территориальном аспекте, что расширяет финансовые возможности
страхования в компенсации наступающих ущербов. Неравномерность наступления
ущербов во времени порождает необходимость резервирования части страховых
взносов для возмещения чрезвычайных ущербов в неблагоприятные годы.
Для успешного выравнивания рисков страховые
организации значительное внимание уделяют обоснованию размеров страховых
взносов, называемых страховыми премиями, уплачиваемых страхователями. Размер
страховой премии определяется с учетом вероятности наступления ущерба и его
предполагаемого размера. Используются такие инструменты выравнивания рисков,
как страховые надбавки, скидки при калькуляции премий, схемы совместного
страхования и перестрахования.
Страхование выступает, с одной стороны,
средством защиты бизнеса и благосостояния людей, а с другой - видом
деятельности, приносящим доход.
.4.3 Функции страхования
Функции страхования можно рассматривать на
микроэкономическом и макроэкономическом уровнях. На микроэкономическом уровне
это функции: рисковая, сберегательно-накопительная, облегчения финансирования,
предупредительная и возможности концентрации внимания на нестрахуемых рисках.
Рисковая функция состоит в том, что страхователь
через страхование перекладывает финансовые последствия определенных рисков на
страховую организацию.
Сберегательно-накопительная функция страхования
выполняет важную социальную роль, обеспечивая сохранение здоровья и накопление
средств для поддержания приемлемого уровня жизни при утрате трудоспособности.
Функция облегчения финансирования имеет
несколько аспектов. Во-первых, страхователь при наступлении страхового случая
получает средства, компенсирующие понесенный им ущерб на условиях,
предусмотренных в договоре страхования. Во-вторых, страховые взносы предприятие
может в определенной мере включать в издержки, т.е. в цену своих товаров или
услуг. В-третьих, страхование имущества и ответственности является, как
правило, необходимым условием для получения кредитов.
Предупредительная функция страхования состоит в
том, что при заключении договора страхования андеррайтер страховой организации
проводит оценку риска и предлагает систему мер предупредительного характера,
позволяющих контролировать уровень риска на объекте страхования.
1.5 Приоритетные направления развития страхового
рынка
Для преодоления негативных процессов в
экономике, связанных с мировым финансовым кризисом, который набрал оборотов в
начале осени 2008 года, руководство страны разработало алгоритм и
инструментарий, а также утвердило план антикризисных мер.
В программе антикризисных мер правительства на
2009 год о страховании упоминается только два раза: в рамках банкротства
небанковских организаций и реформирования ОМС. Поэтому при подготовке изменений
в антикризисную программу разрешено руководствоваться стратегией страхового
дела, разработанной Минфином.
Стратегия развития страхования в Российской
Федерации на 2008 - 2012 годы разработана в целях определения приоритетных
направлений развития страховой отрасли на среднесрочную перспективу и путей их
реализации.
Основная цель проекта:
определение перспективных направлений этой
сферы;
государственных мер, направленных на укрепление
роли и места страхования в системе финансовых отношений;
совершенствование ее законодательной базы.
Для достижения поставленной цели необходимо
решить ряд задач. Это:
укрепление стабильности и надежности
национальной страховой индустрии;
придание импульса развитию личного страхования;
создание развитой инфраструктуры страховой
отрасли;
замена экстенсивного пути развития страховой
отрасли на интенсивный;
активизация внедрения новых страховых продуктов,
улучшение качества страховых услуг и расширение их перечня;
совершенствование форм и методов страхового
надзора за деятельностью субъектов страхового дела;
развитие системы взаимного страхования;
обеспечение гарантий защищенности внесенных
гражданами страховых премий по договорам страхования и их прав на получение
страховых выплат;
выработка государственной политики в сфере
страхования, в том числе в подходах к осуществлению видов страхования в
обязательной форме, повышение его эффективности;
более четкое определение круга участников
страхового рынка, сферы их деятельности, прав и обязанностей;
подготовка и повышение квалификации специалистов
в сфере страхования;
содействие внедрению современных технологий в
области информатизации и автоматизации страхового дела;
повышение страховой культуры и финансовой
грамотности участников страхового рынка;
обеспечение стимулирующего налогового режима для
потенциальных страхователей;
формирование институтов досудебной защиты прав
страхователей, поддержка обществ страхователей;
По мнению аналитиков рейтингового агентства
"Эксперт РА", мировой финансовый кризис окажет на российский
страховой рынок, помимо снижения спроса на страхование, четыре специфических
эффекта.
. Эффект кумуляции рисков. На падающем рынке
произойдет кумуляция рыночных, кредитных, страховых и институциональных рисков
страховых компаний, что приведет к целой череде банкротств среди российских
страховщиков.
. Эффект обратной пирамиды. В 2007-2008 годах -
в период бума автострахования - собственниками многих страховщиков была
установлена стратегия быстрого наращивания страхового портфеля за счет демпинга
с целью последующей продажи компании.
. Эффект бедного собственника. Кризис окажет значительное
влияние на положение страховых компаний, которые являются частью финансовых или
промышленных групп, испытывающих финансовые затруднения. ФПГ, стремясь
поправить свое положение, будут избавляться от непрофильных активов, то есть
страховых компаний.
. Эффект возврата "схем". Чтобы
выжить, в качестве антикризисной меры некоторые страховые компании могут вновь
вернуться к более доходным операциям по "неклассическому" страхованию
или увеличить их долю в своих страховых портфелях.
2 СПЕЦИАЛЬНАЯ ЧАСТЬ
Задача №1.
. Определите рост производительности труда %.
Определим рост производительности труда ПТ:
до внедрения мероприятия
после внедрения мероприятия
Рост производительности труда:
. Определим снижение трудоемкости.
Трудоемкость - величина, обратная
производительности труда ( выработке В).
Трудоемкость до внедрения мероприятия:
Трудоемкость после внедрения мероприятия:
Снижение трудоемкости:
∆Т= Т1 - Т0 = 0,769
- 1 = -0,231 ( )
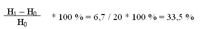
Темп снижения трудоемкости:
. Определим экономию:
а) от сокращения потерь материалов общий объем
кирпичной кладки 4000 м3. Норма расхода кирпича на 1 м3
кирпичной кладки 0,4 тыс. шт. или 400 шт.
На общий объем кирпичной кладки 4000 м3
ушло кирпича:
,4 * 4000 = 1600 (тыс. шт.)
Стоимость 1 тыс. шт. кирпича - 1000 руб.
Стоимость всего кирпича на 4000 м3 кладки:
1000 руб./шт. * 1600 шт. = 1600000 руб.
Экономия от сокращения потерь кирпича:
,75 * 1/100 * 1600000 = 12000 руб.
Норма расхода раствора на 1 м3
кирпичной кладки 0,25 м3.
На общий объем кирпичной кладки 4000 м3
ушло раствора:
,25 * 4000 = 1000 (м3 )
Сокращение потерь раствора - 3%.
Стоимость 1 м3 раствора - 300 руб.
Стоимость всего раствора, использованного в 4000
м3 кладки:
руб./м3 * 1000 м3 = 300000
руб.
Экономия от сокращения потерь раствора:
* 1/100 * 300000 = 9000 руб.
Общая экономия от сокращения потерь кирпича и
раствора составила:
+ 9000 = 21000 (руб.)
б) Экономия от сокращения расходов на заработную
плату рабочих по подаче материалов.
Сокращение расходов на заработную плату рабочих
по подаче материалов составило:
руб. на подачу 1 тыс. шт. кирпича
руб. на подачу 1 м3 раствора
Экономия на подаче кирпича составила:
* 1600 = 1440 ( тыс. руб.)
Экономия на подаче раствора составила:
* 1000 = 880 ( тыс. руб.)
Обща экономия от сокращения расходов на зарплату
рабочих от подачи материалов составила:
тыс. руб. + 880 тыс. руб. = 2320 тыс. руб.
в) Экономия от отчислений на государственное
социальное страхование составила:
Отчисления на государственное социальное
страхование - 39,5%.
Экономия на зарплате - 2320 тыс. руб.
,5 * 1/100 * 2320 = 916,4 тыс. руб.
Итого, общая экономия составила:
тыс. руб. + 2320 тыс. руб. + 916,4 тыс. руб. =
3257,4 (тыс. руб.)
. Определим экономию или перерасход средств на
механизацию.
Определим количество смен, потребовавшееся
бригаде, численностью 20 человек, выполнить объем кирпичной кладки 4000 м3.
Производительность труда после внедрения
мероприятия составила:
,3 м3 на чел./ смену.
В смену бригада из 20 человек возведет кирпичную
кладку в объеме:
Для возведения кирпичной кладки в объеме 4000 м3
потребуется этой бригаде количество смен:
/ 26 = 154 (см.).
Расходы на механизацию в смену:
до внедрения мероприятия - 2 тыс. руб.
после внедрения мероприятия - 2,5 тыс. руб.
Рост расходов на механизацию после внедрения
мероприятия составил в смену:
,5 тыс. руб. - 2,0 тыс. руб. = 0,5 тыс. руб.
Всего расходы на механизацию после внедрения
мероприятия увеличились на: 500 руб./смену * 154 смен = 77 тыс. руб.
Общая экономия после внедрения мероприятия
составила:
,4 ттыс. Руб. - 77 тыс. руб. = 3180,4 тыс. руб.
Таким образом, в результате внедрения
организационно-технического мероприятия уменьшилась стоимость
строительно-монтажных работ на 3180,4 тыс. руб.
Задача №2.
Экономическая оценка
производственно-хозяйственной деятельности предприятия после внедрения
организационно-технического мероприятия.
. Определим показатели использования основных
производственных фондов (ОПФ)
а) фондоотдача (Ф0 ):
где В - годовая выручка (реализация продукции за
год);
Ф - среднегодовая стоимость ОПФ.
В базисный год:
Ф0 баз = 200 тыс. руб. /
50 тыс. руб. = 4,0
В текущем году:
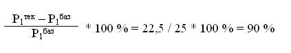
Ф0тек = 250 / 60 = 4,17
Абсолютный прирост Ф0тек -
Ф0баз = 4,17 - 4,0 = 0,17
Темп прироста:
б) фондоемкость (Фе ):
В базисном году Фебаз = 50
/ 200 = 1 / 4 = 0,25
В текущем году Фетек = 60
/ 250 = 0,24
Абсолютный прирост:
Фетек - Фебаз
= 0,24 - 0,25 = - 0,01
Темп прироста:

Коэффициент фондовооруженности ( КФ.в):
где Ф - среднегодовая стоимость ОПФ;
Чр - численность рабочих.
Для базового года:
КФ.вбаз = 50 тыс. руб. /
15 чел. = 3,33 тыс. руб. / чел.
Для текущего года:
КФ.втек = 60 / 13 = 4,62
тыс. руб. / чел.
Абсолютный прирост:
КФ.втек - КФ.вбаз
= 4,62 - 3,33 = 1,29 ( тыс. руб. / чел.)
Темп прироста: 1,29 / 3,33 * 100 % = 38,5 %
. Производительность труда ( П ):
где В - выручка от реализации продукции;
Чр - численность рабочих.
Для базового года:
П0 = 200 тыс. руб. / 15 чел. = 13, 3
тыс. руб. / чел.
Для текущего года:
П1 = 250 тыс. руб. / 13 чел. = 19,2
тыс. руб. / чел.
Абсолютный прирост:
П1 - П0 = 19,2 - 13,3 =
5,9 (тыс. руб. / чел.)
Темп прироста:
. Показатели использования оборотных средств.
а) Коэффициент оборачиваемости оборотных средств
(Коб ):
где В - выручка от реализации продукции;
О - средний размер оборотных средств.
Для базового года:
Коббаз = 200 тыс. руб. /
70 тыс. руб. = 2,86
Для текущего года:
Кобтек = 250 тыс. руб. /
60 тыс. руб. = 4,17
Абсолютный прирост : Кобтек
- Коббаз = 4,15 - 2,86 = 1,31
Темп прироста:
б) Коэффициент закрепления оборотных средств (Кз
):
Для базового года:
Кзбаз = 70 тыс. руб. / 200
тыс. руб. = 0,35
Для текущего года:
Кзтек = 60 тыс. руб. / 250
тыс. руб. = 0,24
Абсолютный прирост: Кзтек
- Кзбаз = 0,24 - 0,35 = - 0,11
Темп прироста:
в) Длительность одного оборота в днях (Д ):
где Т - продолжительность периода ( Т=360 дней).
Для базового года:
Д0 = 360 дней / 2,86 = 126 дней
Для текущего года:
Д1 = 360 дней / 4,17 = 86 дней
Абсолютный прирост: Д1 - Д0
= 86 - 126 = - 40 (дней)
Темп прироста:
г) Среднесуточный оборот капитала (р ):
Для базового года:
р0 = 200 тыс. руб. / 360 дней = 0,556
тыс. руб. / день
Для текущего года:
р1 = 250 тыс. руб. / 360 дней = 0,694
тыс. руб. / день
Абсолютный прирост: р1 - р0
= 0,694 - 0,556 = 0,138 (тыс. руб.)
Темп прироста:
. Себестоимость продукции и ее удельный вес в
стоимости реализованной продукции.
а) Себестоимость продукции ( С ):
С = В - ПР, (9)
где ПР - прибыль от реализации продукции.
Для базового года: С0 = 200 тыс. руб.
- 30 тыс. руб. = 170 тыс. руб.
Для текущего года: С1 = 250 тыс. руб.
- 57 тыс. руб. = 193 тыс. руб.
Абсолютный прирост: С1 - С0
= 193 тыс. руб. - 170 тыс. руб. = 23 тыс. руб.
б) Удельный вес себестоимости в стоимости
продукции
:
Для базового года:
Для текущего года:
Абсолютный прирост: 77,2 % - 85 % = - 7,8 %
Темп прироста: - 7,8 / 85 * 100 % = - 9,2 %
. Показатели рентабельности (Р ):
а) Рентабельность производства общая:
где ПР - прибыль от реализации продукции;
Ф - стоимость ОПФ;
О - средний размер оборотных средств.
Для базисного года:
Р1баз = 30 тыс. руб. / (
50 тыс. руб. + 70 тыс. руб. ) * 100 % = 25 %
Для текущего года:
Р1тек = 57 тыс. руб. / (
60 тыс. руб. + 60 тыс. руб. ) * 100 % = 47,5 %
Абсолютный прирост: Р1тек
- Р1баз = 47,5 % - 25 % = 22,5 %
Темп прироста:
б) Рентабельность продукции (Р2 ):
где В - выручка от реализации продукции.
Для базисного года:
Р2баз = 30 тыс. руб. / 200
тыс. руб. * 100 % = 15 %
Для текущего года:
Р2тек = 57 тыс. руб. / 250
тыс. руб. * 100 % = 22,8 %
Абсолютный прирост: Р2тек
- Р2баз = 22,8 % - 15 % = 7,8 %
Темп прироста:
. Определение показателей амортизации.
а) Норма амортизации ( Н ):
где Фn
-
первоначальная стоимость основных производственных фондов ( ОПФ );
Т - нормативный срок службы данного вида
основных производственных фондов.
Принимаем:
где А - амортизация;
Фn
-
стоимость ОПФ.
Для базисного года:
Н0 = 10 тыс. руб. / 50 тыс. руб. *
100 % = 20 %
Для текущего года:
Н1 = 16 тыс. руб. / 60 тыс. руб. *
100 % = 26,7 %
Абсолютный прирост:
Н1 - Н0 = 26,7 % - 20 5 =
6,7 %
Темп прироста:
б) Удельный вес амортизации в себестоимости
продукции ( * 100% )
где С - себестоимость;
А - амортизация.
Для базисного года:
А = 10 тыс. руб., С = 170 тыс. руб.
Для текущего года:
Абсолютный прирост: 8,3 % - 5,9 % = 2, 4%
Темп прироста: 2,4 % / 5,9 % * 100 % = 40,7 %
. Норма амортизации и срок службы внедренного в
производство оборудования.
Прирост амортизации в текущем году составил: 16
тыс. руб. - 10 тыс. руб. = 6 тыс. руб.
Этот прирост составила амортизация капитальных
вложений на внедрение организационно-технического мероприятия, которые равны 20
тыс. руб.
а) Норма амортизации внедренного в производство
оборудования:
Н= 6 тыс. руб. / 20 тыс. руб. * 100 % = 30 %
б) Срок его службы:
Т= 20 тыс. руб. / 6 тыс. руб. = 3,33 года
. Экономическая эффективность от внедрения
организационно-технического мероприятия.
Экономический эффект от внедрения
организационно-технического мероприятия, прежде всего отражает увеличение
прибыли от реализации продукции в отчетном году на 27 тыс. руб. по сравнению с
базтсным годом.
Экономическую эффективность от внедрения
мероприятия можно оценить по рентабельности капитальных вложений на внедрение
мероприятия в сумме 20 тыс. руб.
Рентабельность дополнительных вложений
составила:
Для оценки эффективности
производственно-хозяйственной деятельности предприятия после внедрения
организационно-технического мероприятия представлены показатели в таблице 1.
Таблица 1. Показатели эффективности
хозяйственной деятельности предприятия после внедрения
организационно-технического мероприятия и другие показатели.
|
Показатели
|
Базисный
год
|
Отчетный
год
|
Абсолютный
прирост (Отчетный - базисный)
|
Темп
прироста, %
|
|
1.
Показатели использования основных производственных фондов
|
|
1.
Фондоотдача
|
4,0
|
4,17
|
0,17
|
4,2
|
|
2.
Фондоемкость
|
0,25
|
0,24
|
-
0,01
|
-
4,0
|
|
3.
Фондовооруженность труда, тыс. руб. / чел.
|
3,33
|
4,62
|
1,29
|
38,5
|
|
2.
Производительность труда
|
|
Выработка,
тыс. руб. / чел.
|
13,
|
19,2
|
5,90
|
44,2
|
|
3.
Показатели использования оборотных средств
|
|
1.
Коэффициент оборачиваемости оборотных средств
|
2,86
|
4,17
|
1,31
|
45,7
|
|
2.
Коэффициент закрепления оборотных средств
|
0,35
|
0,24
|
-
0,11
|
-
31,4
|
|
3.
Длительность одного оборота в днях
|
126
|
86
|
-
40,0
|
-
31,5
|
|
4.
Среднесуточный оборот капитала, тыс. руб. / день
|
0,556
|
0,694
|
0,138
|
24,9
|
|
4.
Себестоимость продукции и ее удельный вес в стоимости реализованной продукции
|
|
1.
Себестоимость продукции, тыс. руб.
|
170
|
193
|
23,0
|
13,5
|
|
2.
Удельный вес себестоимости в стоимости реализованной продукции, %
|
85,0
|
77,2
|
-
7,8
|
-
9,2
|
|
5.
Показатели рентабельности
|
|
1.
Рентабельность производства общая, %
|
25,0
|
47,5
|
22,5
|
90,0
|
|
2.
Рентабельность продукции, %
|
15,0
|
22,8
|
52,0
|
|
6.
Амортизация
|
|
1.
Норма амортизации, %
|
20,0
|
26,7
|
6,7
|
33,5
|
|
2.
Удельный вес амортизации в себестоимости продукции, %
|
5,9
|
8,3
|
2,4
|
40,7
|
Рост фондоотдачи (4,2 %) и снижения фондоемкости
( на 4,0 %) свидетельствуют об улучшению использования основных
производственных фондов. Выросла производительность труда на 44,2 %. Эффект
ускорения оборачиваемости оборотных средств на 45,7% выражается в уменьшении
потребности в денежных средствах в связи с улучшением их использования.
Снижение удельного веса себестоимости в стоимости реализованной продукции ( на
9,2 %) увеличивает прибыль от реализации продукции. Рост рентабельности
производства ( на 90%) и рентабельности продукции ( на 52%) свидетельствуют об
улучшении экономической эффективности хозяйственной деятельности предприятия
после внедрения организационно-технических мероприятий.
ЗАКЛЮЧЕНИЕ
Подводя итог курсовой работы, можно сделать
следующие выводы: страховой рынок представляет собой сферу денежных отношений,
где объектом купли-продажи является специфический товар - страховая услуга,
формируются предложение и спрос на него.
Первостепенными экономическими законами
функционирования страхового рынка являются закон стоимости, закон спроса и
предложения.
Экономическая сущность страхования состоит в
формировании страховщиком страхового фонда за счет страховых взносов
страхователей, предназначенного для страховых выплат страхователям при
наступлении страховых случаев, оговоренных в договоре.
Основными участниками страховых отношений
являются: страхователи, страховщики и посредники.
Последние годы в России можно определить как
период экономической и политической стабилизации в обществе. Социальным
следствием и результатом этого стало формирование российского среднего класса
со всеми присущими ему поведенческими особенностями. Рост доходов сформировал
платежеспособный спрос, представитель среднего класса наделён собственностью в
ее многочисленных проявлениях, изменилась структура его расходов. По мере
дальнейшего роста благосостояния удовлетворяются все первоочередные
потребности, возникает желание защитить появившуюся собственность, свой
жизненный уклад. А преодолев порог «страховой бедности», представитель среднего
класса уже имеет возможность оплатить страховую защиту.
Состояние российского страхового рынка
характеризуется несколькими основными тенденциями.
.Существенные изменения в структуре страховой
деятельности
.Начало процессов капитализации на страховом
рынке
.Тенденции концентрации капитала и раздела рынка
.Присутствие иностранного капитала.
.Перестрахование
Основными задачами развития страхового дела
являются:
формирование законодательной базы рынка
страховых услуг;
развитие обязательного и добровольного видов
страхования;
создание эффективного механизма государственного
регулирования и надзора за страховой деятельностью;
стимулирование перевода сбережений населения в
долгосрочные инвестиции с использованием механизмов долгосрочного страхования
жизни;
поэтапная интеграция национальной системы
страхования с международным страховым рынком.
СПИСОК ЛИТЕРАТУРЫ
1.Гарькуша
В.Н., Сербиновский Б.Ю. Страховое дело: Учебное пособие - Ростов-на-Дону:
Феникс, 2008 - 476с.
.Гвозденко
А.А. Страхование: учеб. - М.: ТК Велби, Изд-во Проспект,2006. - 464 с.
.Голодова
Ж .Г. Финансы и кредит: учебное пособие для вузов. - М.: инфра-М, 2009. - 448с.
.Грищенко
Н.Б. Основы страховой деятельности: Учебное пособие. Барнаул: Изд-во Алт.
ун-та, 2001. 274 с
.Коломин
Е. Страхование как экономическая категория. // Финансовая газета. - 2007. -
№35. - С. 10
.Комлева
Н.В. «Страховой рынок в 2009 году»// «Аудитор, № 11, 2009 г.
.Купцов
М.М. Денежное обращение, финансы, кредит и налоговая система.: Учебное пособие
2-е изд. - М.: Риор, 2009 - 121с.
.Лайков
А. Ю. «Актуальные задачи российского страхового бизнеса в условиях кризиса»//
«Финансы», № 11, 2009 г.
.Марчук
А. «Тенденции развития страхового рынка в современной России» // «Страховое
дело», №9, 2009 г.
.Мурина
Н.Н., Роговская А.А. Страховое дело: Учебное пособие - М.: ИВЦ Минфина, 2005 -
246с.
.Никулина
Н.Н., Березина С.В. Страхование: теория и практика. М.: ЮНИТИ, 2008 г.