Управление персоналом и технико-экономические показатели работы предприятия
Содержание
Введение
. Управление персоналом предприятия
.1 Система управления персоналом, его содержание, методы
управления персоналом
.2 Расчет потребности в персонале и планирование его
численности
.3 Наем, отбор и профессиональная подготовка персонала предприятия
. Расчет технико-экономических показателей работы предприятия
.1 Годовой фактический объем товарной и реализованной
продукции
.2 Стоимость основных фондов и амортизационных отчислений
.3 Расчет возможности выполнения планового задания
.4 Годовой норматив по производственным запасам основной
продукции предприятия
.5 Расчет выработки
.6 ФОТ и заработная плата
.7 Расчет себестоимости и отпускной цены
.8 Расчет прибыли и рентабельности
.9 Плановые и фактические показатели
Заключение
Список литературы
Введение
В современных условиях уже накоплен значительный багаж знаний, вобравший
в себя опыт лучших организаций, добившихся значительных успехов в деле
мобилизации персонала, - набор правил, принципов и технологий, которые могут
быть использованы руководителями, поставившими перед собой цель получить
максимальную отдачу от всех ресурсов, имеющихся в распоряжении организации.
Поэтому правила, принципы и технологии являются теми путеводными нитями,
которые позволяют обозначить дорогу в густом лесу проблем, стоящих перед
руководством любой организации.
Накануне 21 столетия любой деловой организации в большей степени зависит
от ее сотрудников. Отражением этого в области науки и образования служит бурное
развитие и широкое распространение знаний в области управления персоналом.
Актуальность темы работы возрастает, во-первых, с повышением роли
персонала в современном производстве принципиальными изменениями в содержание
труда, вызванные применением новых техники, технологий и методов
производственной деятельности. На изменение содержания труда существенно
повлиял начавшийся в середине 20 века процесс автоматизации производства. Он
отделил работника от предмета труда, поставив между ними сложную систему машин
и оборудования. Это освободило человека от большинства механических функций,
резко увеличило удельный вес задач по осмыслению от машин сигналов и другой
информации. Кроме того, автоматизация ослабила или вовсе устранила прямую связь
между интенсивностью труда и его производительностью, сделав ненужной характерную
для управления персоналом в тейлоровской модели функцию «максимального
выжимания пота». На первый план выдвинулись функции обеспечения непрерывности
работы системы агрегатов, обслуживания и налаживание оборудования.
Автоматизация и компьютеризация производства позволяет передавать технике не
только физические, но и сложные интеллектуальные операции, оставляя человеку
неалгоритмизируемые, т.е. наиболее творческие виды деятельности, связанные с
уникальными свойствами мозга и социализацией индивида.
Вторым фактором повышения роли персонала в современном обществе является
изменение возможностей контроля за сотрудниками и повышение значимости
самоконтроля и самодисциплины. Повышение роли самодисциплины и самоконтроля в
трудовом процессе изменяет соотношение различных методов мотивации работника,
повышает удельный вес более сложных технологий управления персоналом, по
сравнению с методом «награждение-наказание» по схеме «стимул-реакция»,
мотивации в управлении персоналом.
В-третьих, радикальное повышение роли персонала в производстве и
управление им выступают макроэкономические факторы и прежде всего изменение
ориентации и динамики спроса и направленного на его удовлетворение
производства; обострение конкуренции на мировом рынке; повышение значимости
качества продукции.
Четвертым, повышение роли в современном производстве, а также управления
им является изменение технологий организации труда на предприятии. К числу
таких изменений относится прежде всего более широкое использование коллективных
форм организации труда как в масштабах всей организации - на макроуровне, так и
во всех отдельных подразделениях - на микроуровне. Очевидно, что управление
высококвалифицированными, автономными работниками самостоятельно
обеспечивающими контроль за «тотальным» качеством продукции,- это нечто
принципиальное иное, нежели роль руководителя как надсмотрщика за подчиненными
на традиционной фабрике или конвейерной системе.
В-пятых, актуальность темы работы с повышением образовательного и
культурного уровня работника, рост его личностных запросов к трудовой
деятельности. В 90-х годах шло формирование нового, более зрелого типа
работника, который не довольствуется послушанием и обезличенным, механическим
трудовым усердием, а стремиться найти в трудовой деятельности смысл жизни, стать
активным соучастником или даже сохозяином производства.
Экспектациям (ожиданиям) работника нового типа, особенно молодежи, уже не
соответствуют простые, часто примитивные операции частичных рабочих в условиях
преимущественного авторитарного стиля руководства.
Объектом исследования является персонал организации, трудовые отношения и
поведение человека в организации.
Предметом исследования является управление персоналом как специфическая
сфера управления.
В соответствии с объектом и предметом исследования определены цели и
задачи:
1. Исследовать понятие и функции управления;
2. Изучить место категории «функции управления» в управленческом
процессе;
3. Проанализировать расчет потребности в персонале и планирование
его численности;
4. Описать процесс найма, отбора и профессиональной подготовки
персонала организации.
1. Управление персоналом предприятия
.1 Система управления персоналом, его содержание, методы управления
персоналом
Управление - целенаправленное воздействие, необходимое для согласования
совместной деятельности людей.
Основной задачей управления человеческими ресурсами является наиболее
эффективное использование способностей сотрудников в соответствии с целями
предприятия и общества. При этом должно быть обеспечено сохранение здоровья
каждого человечества и отношение конструктивного сотрудничества между членами
коллектива и различными социальными группами.
Управление человеческими ресурсами включает комплекс взаимосвязанных
видов деятельности:
1 определение потребности в рабочих,
инженерах, менеджерах различной квалификации исходя из стратегии деятельности
фирмы;
2 анализ рынка труда и управление
занятостью;
3 отбор и адаптация персонала;
4 планирование карьеры сотрудников
фирмы и их профессиональный и административный рост;
5 обеспечение рациональных условий
труда, в т.ч. и благоприятной для каждого человека социально-психологической
атмосферы;
6 организация производственных
процессов, анализ затрат и результатов труда, установление оптимальных
соотношений между количеством единиц оборудования и численностью персонала
различных групп;
7 управление производительностью труда;
8 разработка систем мотивации
эффективной деятельности;
9 обоснование структуры доходов,
степени их дифференциации и проектирование системы оплаты труда;
10организация
изобретательской и рационализаторской деятельности;
11участие в
проведении тарифных переговоров между работодателями и работополучателями;
12разработка и
осуществление социальной политики предприятия;
13профилактика и
ликвидация конфликтов.
Объем работ по каждой из этих функций зависит от:
1 размеров предприятия;
2 характеристик производимой продукции;
3 ситуации на рынке труда;
4 квалификации персонала;
5 степени автоматизации производства;
6 социально-психологической обстановки
на предприятии и за его пределами.
В промышленности России больше половины сотрудников служб управления
персоналом занимается нормированием и оплатой труда, в системах управления
человеческими ресурсами США большее число занимается отбором, адаптацией и
оценкой персонала.
В ходе развития деловых
организаций управление персоналом претерпевает
существенные изменения. Некоторые авторы выделяют два главных этапа в развитии управления персоналом: управление кадрами
и управление человеческими ресурсами (УЧР)
(хотя в данном случае между этими очень
близкими понятиями не будет проводиться особых
различий). В ходе эволюции производства глобальные технологические
и структурные изменения, повышение уровня конкуренции
и гибкости предприятий, а также децентрализация и приватизация
привели к перерастанию управления персоналом из кадровой
функции в управление человеческими ресурсами.
В общем плане эти два
этапа соответствуют индустриальной и постиндустриальной
стадиям развития общества. Однако и в постиндустриальном
обществе многие предприятия могут находиться на этапе управления кадрами, культивировать
соответствующие этому этапу организационные формы
(речь идет не о формах организации вообще, а об организационных
формах управления персоналом, например, делегировании),
методы и культуру управления персоналом. В чем же состоят
главные отличия управления человеческими ресурсами по сравнению с традиционной практикой деятельности «отдела кадров»?
Управление человеческими ресурсами исходит из того, что в мире
возрастающей глобальной конкуренции наиболее важными факторами национальной конкурентоспособности
являются не земля, капитал и природные ресурсы, как
считали приверженцы классической экономической теории, а высококвалифицированные
и мотивированные человеческие ресурсы, а также научная база.
Для управления
человеческими ресурсами характерно рассмотрение персонала как одного из важнейших
ресурсов организации, необходимого для достижения всех ее целей, в том числе стратегических.
Сотрудники - важнейшее достояние организации, которое надо сохранять, развивать
и использовать для успеха в конкурентной борьбе. От характера персонала
непосредственно зависят экономические и другие
возможности организации. Поэтому к персоналу необходим интегрированный подход с
точки зрения всей организации как системы. Интегрирование управления персоналом
в общую стратегию организации - важнейшее отличие управления человеческими
ресурсами от управления кадрами. При этом
любые управленческие решения должны учитывать человеческий аспект, т.е. возможности людей и влияние на персонал.
Управление человеческими ресурсами наиболее полно и широко используется в
коммерческом секторе. Компании, практикующие управление человеческими
ресурсами, как правило, отличаются более высокой эффективностью, близостью к рынку,
большей степенью удовлетворения потребностей потребителей. В таких организациях
лучше система мотивации и карьерные перспективы, меньше несчастных случаев,
прогулов, ниже текучесть персонала, выше удовлетворенность трудом.
В силу первостепенной
важности персонала управления человеческими ресурсами обычно входит в сферу компетенции
непосредственно президента компании или его первого заместителя. Высшая администрация
и линейные менеджеры всех уровней непосредственно участвуют в управлении персоналом,
прямо соединяя данную функцию со всей стратегией организации. Это означает, что
усилия руководителей, действующих в единстве со службой персонала,
сосредотачиваются на привлечении, отборе, продвижении, стимулировании, рациональном
использовании, развитии и сохранении в данной организации сотрудников, соответствующих
ее потребностям и стратегических целям.
Наиболее важными элементами
реального управления человеческими ресурсами являются: акцент на качество
привлечения, найма и развития сотрудников; применение коллективных, групповых методов
организации труда в целях формирования благоприятного климата для делегирования
компетенции и ответственности, а также сотрудничества работников. На основе эмпирических
исследований нескольких сот компаний, культивирующих управление человеческими
ресурсами, М. Альберт выделяет следующий перечень приоритетов их деятельности:
занятие руководящих должностей в первую очередь сотрудниками своей компании;
забота о качестве и гордость за достигнутые результаты;
- устранение статусного
разрыва между руководителями и подчиненными (ликвидация
различных привилегий: отдельных ресторанов, парковок и т.п. для руководителей);
обеспечение благоприятных условий труда и окружающей среды;
- поощрение открытого
делового общения, обоснованности и доказательности
решений, участия работников в принятии решений;
увязка увольнения с попытками найти сотруднику другую работу;
- обучение работе в
команде и формирование соответствующей культуры;
- участие работников
в прибыли компании (получение работниками определенной
доли прибыли компании);
повышение квалификации работников.
Обобщая вышесказанное,
можно отметить, что суть современного этапа в
управлении персоналом (УЧР) составляют:
) представление управления
человеческими ресурсами на высшем уровне руководства организацией;
2) его вовлечение в
определение стратегии и организационной
структуры компании;
3) участие всех линейных
руководителей в реализации единой политики и
решении задач в области управления персоналом;
) интеграция деятельности
менеджеров по персоналу и линейных руководителей, постоянное участие первых в качестве
советников вторых при решении вопросов, связанных с персоналом, во всех подразделениях
и на всех уровнях корпорации;
) системное, комплексное
решение вопросов управления персоналом и всех других стратегических задач на основе
единой программы деятельности организации.
Метод управления - это совокупность приемов и способов воздействия на
управляемый объект для достижения поставленных целей.
Характеризуя методы управления, необходимо раскрыть их направленность,
содержание и организационную форму.
Направленность методов управления ориентирована на систему (объект)
управления.
Содержание - это специфика приемов и способов воздействия.
Организационная форма - воздействие на конкретно сложившуюся ситуацию.
Это может быть прямое (непосредственное) или косвенное (постановка задачи и
создание стимулирующих условий) воздействие.
В практике управления, как правило, одновременно применяют различные
методы и их сочетание (комбинации), которые органически дополняют друг друга,
находятся в состоянии динамического равновесия.
Можно выделить следующие методы управления:
социальные и социально-психологические, применяемые с целью повышения
социальной активности людей;
экономические, обусловленные экономическими стимулами;
организационно-административные, основанные на прямых директивных
указаниях;
самоуправление как разновидность саморегулирования социальной системы.
В более общем виде все методы управляющего воздействия можно разделить на
две группы: основные и комплексные. К основным относятся такие, в которых четко
выделяется содержательный аспект по признаку соответствия методов управления
требованиям тех или иных объективных законов (например, социальных,
экономических, организационно-технических и др.). Сложными, или комплексными,
методами социального управления являются комбинации основных методов.
По содержанию методы социального управления отражают требования различных
объективных законов социального развития: экономических,
организационно-технических, демографических, социологических, психологических и
т.д.
Социальные методы управления связаны со способами достижения социальных
целей общества не только экономической, организационно-административной
мотивацией человеческого поведения, но и непосредственно: через постановку
социальных целей, повышение качества жизни, укрепление социальных организаций,
повышение социальной зрелости общества, его отдельных структур, и в первую
очередь управленцев. Будучи основными, социальные методы выступают и как
комплексные, но в этом комплексе в соответствии с требованиями объективных
закономерностей (возрастания роли социального) они во многом определяют
содержательный аспект управления и задают вектор развития всем другим методам
воздействия. Например, наряду с экономическим стимулированием сегодня широко
используется стимулирование творческим трудом, большей социальной
защищенностью, качеством социального воздействия, чувством социальной
сопричастности к делам фирмы и т.п.
Социальные методы включают широкий спектр методов социального
нормирования, социального регулирования, морального стимулирования и др. Методы
социального нормирования позволяют упорядочить социальные отношения между
социальными группами, коллективами и отдельными работниками путем введения
различных социальных норм. Социально-политические методы включают социальное
образование и привлечение работников к участию в социальном управлении. К
конкретным методам социального нормирования относятся правила внутреннего
трудового распорядка, правила внутрифирменного этикета, формы дисциплинарного
воздействия. Методы социального регулирования применяются для упорядочения
социальных отношений путем выявления и регулирования интересов и целей
различных коллективов, групп и индивидуумов. К этим методам относятся договоры,
взаимные обязательства, системы отбора, распределения и удовлетворения
социальных потребностей.
Социальные методы управления включают социально-психологические способы и
приемы воздействия на процесс формирования и развития коллектива, на процессы,
протекающие внутри него. Данные методы основаны на использовании
социально-психологического механизма, действующего в коллективе, в состав
которого входят формальные и неформальные группы, роль и статус личности,
система взаимоотношений, социальные потребности и другие
социально-психологические аспекты. Социально-психологические методы управления
прежде всего отличаются своей мотивационной характеристикой, определяющей
направление воздействия. Среди способов мотивации выделяют следующие: внушение,
убеждение, подражание, вовлечение, принуждение и понуждение, побуждение и др.
Психологические методы управления направлены на регулирование отношений
между людьми путем оптимального подбора и расстановки персонала. К ним
относятся методы комплектования малых групп, гуманизации труда,
профессионального отбора и обучения и др. Методы комплектования малых групп
позволяют определить оптимальные количественные и качественные отношения между
работниками с учетом психологической совместимости. К методам гуманизации труда
относятся использование психологического воздействия цвета, музыки, исключение
монотонности работы, расширение творческих процессов и т.д. Методы
профессионального отбора и обучения направлены на профессиональную ориентацию и
подготовку людей, которые по своим психологическим характеристикам наиболее
соответствуют требованиям выполняемой работы.
В целом к социальным и психологическим методам относятся способы
управляющего воздействия, опирающиеся на объективные законы социального
развития и законы психологии. Объектом воздействия здесь являются социальные и
психологические процессы на уровне населения, производственного коллектива или
его структурного звена, отдельного работника.
Экономические методы управления представляют собой способы достижения
экономических целей управления (средства) на основе реализации требований
экономических законов. Иными словами, под экономическими методами в современном
значении понимается экономический расчет, основанный на сознательном
использовании всей системы экономических законов и категорий рыночной
экономики.
Система экономического стимулирования есть совокупность разрабатываемых и
осуществляемых мероприятий, направленных на усиление заинтересованности
персонала и каждого работника и получении возможно высокой прибыли.
Экономическое стимулирование опирается на следующие основные принципы:
взаимосвязь и согласованность целей экономического стимулирования с
целями развития организации;
дифференциация экономического стимулирования, направленная на реализацию
необходимых изменений в структуре
производства;
сочетание экономического стимулирования с другими методами мотивации;
сочетание экономического стимулирования с экономическими санкциями,
предусматривающими материальную ответственность организаций и отдельных
работников.
Организационно-административные методы базируются на власти, дисциплине и
ответственности. Организационно-административное воздействие осуществляется в
следующих основных видах: прямое административное указание, которое имеет
обязательный характер, адресуется конкретным управляемым объектам или лицам,
воздействует на конкретно сложившуюся ситуацию;
установление правил, регулирующих деятельность подчиненных (нормативное
регулирование), выработка стандартных процедур административного воздействия;
разработка и внедрение рекомендаций по организации и совершенствованию
тех или иных процессов, подвергаемых организационно-административному
воздействию;
контроль и надзор за деятельностью организаций и отдельных работников.
Основной формой реализации и применения организационно-административных
методов управления является распорядительство и оперативное вмешательство в
процесс управления с целью координации усилий его участников для выполнения
поставленных перед ними задач.
В целом объективной основой использования организационно-административных
методов управления выступают организационные отношения, составляющие часть
механизма управления. Поскольку через их посредство реализуется одна из
важнейших функций управления - функция организации, задача
организационно-административной деятельности состоит в координации действий
подчиненных. Сколько бы справедливо не критиковали рычаги административного
управления, следует иметь в виду, что никакие экономические методы не смогут
существовать без организационно-административного воздействия, обеспечивающего
четкость, дисциплинированность и порядок работы. Важно определить оптимальное
сочетание, рациональное соотношение организационно-административных,
экономических и социальных методов.
Подход, согласно которому сфера воздействия экономических методов
расширяется только за счет вытеснения организационно-административных методов
управления, нельзя признать правомерным ни с научной, ни с практической точки
зрения. Организационно-административные методы в основном опираются на власть
руководителя, его права, присущую организации дисциплину и ответственность.
Однако административные методы не следует отождествлять с волевыми и
субъективными методами руководства, т.е. администрированием.
Организационно-административные методы оказывают прямое воздействие на
управляемый объект через приказы, распоряжения, оперативные указания,
отдаваемые письменно или устно, контроль за их выполнением, систему
административных средств поддержания трудовой дисциплины и т.д. Они призваны
обеспечить организационную четкость и дисциплину труда. Эти методы
регламентируются правовыми актами трудового и хозяйственного законодательства,
социального регулирования.
В рамках организации возможны следующие формы проявления
организационно-административных методов:
) обязательное предписание (приказ, запрет и т.п.);
) договорные методы (консультация, разрешение компромисса);
) рекомендации, пожелания (совет, разъяснение, предложение, общение и
т.п.).
Организационно-административные методы отличает от других четкая
адресность директив, обязательность выполнения распоряжений и указаний; их
невыполнение рассматривается как прямое нарушение исполнительской дисциплины и
влечет за собой определенные взыскания. Это - преимущественно методы
принуждения, которые сохраняют свое значение до тех пор, пока труд не
превратится в первую жизненную потребность.
Одной из главных задач современной системы управления является создание
наиболее благоприятных условий для реализации возможностей управляемой системы,
которые появляются благодаря использованию разных методов управляющего
воздействия, расширяющих права и ответственность разных субъектов
самоуправления.
1.2 Расчет потребности в персонале и планирование его численности
Процесс комплектования кадров включает несколько этапов:
Рисунок 1. - Процесс комплектования кадров
При комплектовании кадров обычно решаются следующие
задачи:
определение оптимальной численности исполнителей;
определение качественного состава и подбор кадров;
распределение по рабочим местам в соответствии с
профессионально-квалификационным уровнем персонала;
сохранение квалифицированных работников;
обеспечение продвижения по службе внутри организации;
Для определения степени укомплектованности предприятия
персоналом используют коэффициент комплектования кадров:
где
-
необходимое число рабочих мест;
-
численность работников во всех сменах.
Существует два подхода к определению списочного числа рабочих (исходя из
различных вариантов оценки):
Таблица 1
Рсп определяется учетом степени использования фонда рабочего
времени и явочной численности работников:
В данном случае Ря - явочное число
рабочих в сутки в планируемом периоде - определяется исходя из Ря в
смену и количества смен в сутки; Ря в смену - минимальное
количество рабочих, необходимое для выполнения планируемого задания по
производству продукции за смену; определяется по участкам, цехам, операциям
производственного процесса.
При определении Ря используются два
основных подхода:
а) через норму времени
б) через штучное время
где Nсм - производственное задание в смену (количество штук);
N выр.см. - норма выработки одного рабочего в смену;
Квп. пл. - коэффициент выполнения норм (плановый);
tшт - штучная норма выработки (штук в
час);
Тсм - продолжительность смены (фонд работы одного работника за
смену)
Ксс - коэффициент списочного состава, определяемый по формуле
Ксс
=
,
Где
Фн - номинальный фонд рабочего времени в данном периоде (в днях)
Ффакт
- фактическое число рабочих дней (по планируемому балансу рабочего дня)
.
Определяется с учетом невыходов по уважительным причинам:
Рсп=
Где
- общий расчетный намечаемый процент планируемых
невыходов на работу.
С
производственно-экономической точки зрения кадровое планирование представляет
собой оцениваемое с помощью чисто экономических и организационных критериев
соответствие между работником и его рабочим местом на определенном участке
труда.
Разнообразие
задач определяет тот факт, что все кадровое планирование можно поделить на
следующие его виды:
·
планирование
потребностей в персонале,
·
привлечения
(набора) персонала,
·
использование и
сокращения персонала,
·
обучения
персонала,
·
сохранения
кадрового состава,
·
расходов на
содержание персонала,
·
производительности.
Разумеется, все виды кадрового планирования тесно связаны друг с другом,
взаимно дополняют и корректируют мероприятия, предусмотренные в том или ином
плане. Планирование потребности в персонале включает:
Оценку наличного потенциала трудовых ресурсов;
Оценку будущих потребностей;
Разработку программ по развития персонала.
Конкретное определение потребности в персонале представляет собой расчет
необходимого числа работников по их количеству, квалификации, времени,
занятости и расстановке в соответствии с текущими и перспективными задачами
развития предприятия. Расчет производится на основе сравнения расчетной
потребности в рабочей силе и фактического состояния обеспеченности на
определенную дату и представляет собой информационную основу для принятия
управленческих решений в области привлечения персонала, его подготовки и
переподготовки.
Поскольку этот вид планирования был достаточно подробно рассмотрен выше,
не буду останавливаться на нем.
Осуществляется посредством разработки плана замещения штатных должностей.
Цель - по возможности целесообразное, то есть экономичное и справедливое
по отношению к человеку распределение потенциала рабочей силы между вакантными
рабочими местами. Реализация планирования использования кадров должна обеспечить
оптимальную степень удовлетворенности работополучателей своими рабочими местами
в том случае, если были учтены их способности, умения, требования и мотивация.
При определении места работы в процессе планирования использования кадров
наряду с учетом квалификационных признаков следует принимать во внимание также
психические и физические нагрузки на человека на том или ином рабочем месте, их
соответствие возможностям человека, принимаемого на работу. Посредством такой
конкретизации планирования использования рабочей силы можно будет избежать
завышения и занижения требований, профессиональных заболеваний, и др.
Таблица 2. - Действующие взаимосвязи в планировании потребности в
персонале
|
Факторы
|
Их влияние
|
Методы определения
|
|
1. Факторы, существующие
вне предприятия.
|
|
1.1.Изменение конъюнктуры
|
Сбытовые возможности
предприятия Себестоимость
|
Анализ тенденций, оценка
|
|
1.2.Изменение структуры
рынка
|
|
Анализ рынка
|
|
1.3.Конкурентные отношения
|
|
Анализ положения на рынке
|
|
1.4.Данные, определяемые
экономической политикой
|
|
Анализ экономических данных
и процессов
|
|
1.5.Тарифное соглашение
|
|
Прогноз последствий, анализ
принятых соглашений
|
|
2. Факторы, существующие на
предприятие (внутренние)
|
|
2.1.Запланированный объем
сбыта
|
Количественные и
качественные потребности в кадрах (новый спрос или пониженный спрос)
|
Принятие
предпринимательских решений в соответствии с оценкой факторов, перечисленных
в пункте 1.
|
|
2.2.Техника, технология,
организация производства и труда
|
Численность необходимого
персонала Объем и качество готовой продукции
|
Показатели на основе
эмпирических данных организационного характера и науки о труде
|
|
2.3.Текучесть кадров
|
Дополнительная потребность
в работниках для замены выбывших
|
Учет убытков
|
|
2.4.Простои
|
Нерациональное
использование персонала Сокращение объема производства
|
Определение доли текучести
кадров и простоев
|
|
2.5.Стратегия профсоюза
|
Кадровая политика
|
Переговоры
|
Особые проблемы в планировании использования кадров возникают при
обеспечении занятости таких групп работающих, как молодежь, пожилые работники и
люди с ограниченными физическими и психическими возможностями. Эти категории
работников особенно важно использовать в соответствии с их квалификацией и
возможностями.
Оно призвано использовать собственные производственные ресурсы работающих
без поиска новых высококвалифицированных кадров на внешнем рынке труда. Кроме
того, такое планирование создает условия для мобильности и саморегуляции
работника, ускоряет процесс адаптации к изменяющимся условиям производства.
Планирование обучения должно учитывать:
·
требуемое
количество учеников;
·
количество
существующих работников, нуждающихся в обучении или переобучении;
·
новые курсы или
расходы на существующие.
Это качественная составная часть кадрового планирования. Она включает в
себя все усилия предприятий по сохранению соответствующего уровня знаний у
трудового коллектива или же на повышение квалификационного уровня путем
дополнительной подготовки.
Планирование роста квалификации кадров имеет большое значение в процессе
осуществления производственных мероприятий, которые касаются персонала. С одной
стороны, оно позволяет использовать собственные резервы рабочей силы при
одновременно более высокой степени успеха, чем это смогли бы обеспечить поиски
новых кадров; с другой - дает отдельному работнику оптимальный шанс для
самореализации.
Оно призвано показать:
кого следует сократить, где и когда;
шаги, которые необходимо предпринять чтобы помочь сокращенным работникам
найти новую работу;
политику объявления о сокращения и выплаты выходных пособий;
программу консультирования с профсоюзами или ассоциациями работников.
Причинами высвобождения кадров могут быть явления организационного,
экономического или технологического плана. Штаты могут сокращаться, если
работников больше, чем это необходимо для новой рыночной ситуации. Причиной
сокращения штатов могут быть также несоответствие работников занимаемым
должностям, технический прогресс, уменьшающий затраты труда.
Планирование высвобождения персонала позволяет избежать передачи на
внешний рынок труда квалифицированных кадров и создание для этого персонала
социальных трудностей. Данное направление деятельности по управлению персоналом
до последнего времени практически не получило развития в отечественных
организациях.
Планирование работы с увольняющимися сотрудниками базируется на
классификации видов увольнений. Критерием классификации выступает степень
добровольности ухода работника из организации:
по инициативе работника, то есть по собственному желанию,
по инициативе работодателя или администрации,
в связи с выходом на пенсию.
Результаты исследования показывают, что высвобождение работников только в
том случае позволяет решить возникающие проблемы и дать ожидаемый эффект, если
на предприятиях заранее планировали проведение этой работы и минимизацию возможных
негативных последствий, связанных с высвобождением персонала.
Своевременные перемещения, переобучение, прекращение приема на работу в
условиях ухода людей на пенсию и так далее являются средствами осуществления
политики на внутрифирменном рынке труда в рамках планирования сокращения
персонала. Степень социальной напряженности при необходимости сокращения
персонала может быть значительно уменьшена за счет использования разнообразных
альтернативных решений. В качестве альтернативы сокращению штатов принято
рассматривать сокращение рабочего времени (неполный рабочий день и т д),
перевод на другую работу, стимулирование увольнения по собственному желанию.
Смягчить проблему сокращения штатов помогает стратегическое планирование
штатов, то есть проведение соответствующей политики привлечения подготовки,
ротации квалифицированных кадровое стратегическое планирование в этом случае
предусматривает проведение компенсационных мероприятий в соответствии с
резервом времени, что позволяет избегать более жестких мер по сокращению
штатов.
Увольнение из организации вследствие ухода на пенсию характеризуется
рядом отличий. Оно может быть заранее спрогнозировано с достаточной точностью
по времени. Это событие связано с существенными изменениями личной жизни.
Отношения организации к пожилым сотрудникам являются мерилом уровня культуры
управления и цивилизованности экономической системы.
Планирование потребности в персонале - одно из важнейших направлений
кадрового планирования, позволяющее установить на заданный период времени
качественный и количественный состав персонала.
Как видно из определения, следует различать качественную и количественную
потребность в персонале. Эти виды потребности в практике планирования
численности рассчитывают в единстве и взаимосвязи.
Планирование потребности в персонале включает следующие этапы:
обобщенный анализ различных видов планов организации, имеющих влияние на
кадровое обеспечение (например, планы производства и реализации, планы
инвестиций и т.п.);
анализ статистики по персоналу, включая информацию о его деловой оценке и
продвижении;
определение фактического состояния по количеству и качеству персонала на
планируемый период;
расчет качественной и количественной потребности в персонале на тот же
планируемый период;
сравнение данных, полученных на двух предыдущих этапах планирования;
планирование мер по покрытию потребности в персонале.
Качественная потребность, т.е. потребность по категориям, профессиям,
специальностям, уровню квалификационных требований к персоналу, рассчитывается
исходя из общей организационной структуры, а также организационных структур
подразделений; профессионально-квалификационного деления работ, зафиксированных
в производственно-технологической документации на рабочий процесс; требований к
должностям и рабочим местам, закрепленным в должностных инструкциях или
описаниях рабочих мест; штатного расписания организации и ее подразделений, где
фиксируется состав должностей; документации, регламентирующей различные
организационно-управленческие процессы с выделением требований по
профессионально-квалификационному составу исполнителей.
Расчет качественной потребности по профессиям, специальностям и т.п.
сопровождается одновременным расчетом количества персонала по каждому критерию
качественной потребности. Общая потребность в персонале находится суммированием
количественной потребности по отдельным качественным критериям.
Количественная потребность в персонале планируется посредством
определения его расчетной численности и ее сравнения с фактической
обеспеченностью на определенный плановый период. Можно выделить несколько
основных методов расчета количественной потребности в персонале.
Метод, основанный на использовании данных о времени трудового процесса.
Данные о времени процесса дают возможность рассчитать численность рабочих-сдельщиков
или рабочих-повременщиков, количество которых определяется непосредственно
трудоемкостью процесса. Для расчета следует пользоваться следующей типовой
зависимостью:
Численность
рабочих =
, где
Тн
- время, необходимое для выполнения производственной программы
Тпол
- полезный фонд рабочего времени
К
- Коэффициент пересчета явочной численности в списочную.
Количество рабочих мест может быть определено дифференцированно по
профессиональным видам работ, по квалификационной сложности работ при
соответствующем выделении исходных данных о времени изготовления изделия в
соответствии с качественными параметрами потребности в персонале.
В качестве разновидности рассматриваемого метода может быть представлен
подход для определения численности управленческого персонала с использованием
формулы Розенкранца, имеющей в общем случае следующий вид:
где Ч - численность управленческого персонала
определенной профессии, специальности, подразделения и т.п.; п - количество
видов управленческих функций, определяющих загрузку данной категории
специалистов; mi - среднее
количество определенных действий (расчетов, обработки заказов, переговоров и
т.п.) в рамках i-го вида
управленческих функций за установленный промежуток времени (например, за год); ti - время, необходимое для выполнения
единицы m в рамках i-го вида управленческих функций; Т - рабочее время
специалиста согласно трудовому договору (контракту) за соответствующий
промежуток календарного времени, принятый в расчетах; Кнрв -
коэффициент необходимого распределения времени; Кфвр - коэффициент
фактического распределения времени; tр - время на
различные функции, которые невозможно учесть в предварительных (плановых)
расчетах.
Метод расчета по рабочим местам и нормативам
численности.
Данный метод следует рассматривать как частный случай
использования метода норм обслуживания, так как и необходимое число работников
по числу рабочих мест, и нормативы численности устанавливают исходя из норм
обслуживания.
Численность работников по рабочим местам определяется
по формуле
Применяемый в расчетах по всем методам определения
численности коэффициент пересчета явочной численности в списочную позволяет
учесть вероятное отсутствие персонала на рабочих местах в течение планового
промежутка времени из-за болезни; очередного или дополнительного отпуска;
учебного отпуска; прочих уважительных причин.
Указанный коэффициент пересчета можно определить
исходя из баланса рабочего времени одного работника для планового календарного
промежутка времени через отношение числа фактических рабочих дней к общему
числу календарных рабочих дней.
Для расчета численности персонала можно использовать
также некоторые статистические методы. Их условно делят на две основные группы:
стохастические методы; методы экспертных оценок.
Стохастические методы расчета основываются на
анализе взаимосвязи между потребностью в персонале и другими переменными
величинами (например, объемом производства). При этом в расчет принимаются
данные за предшествующий период и предполагается, что потребность в будущем
будет развиваться по аналогичной зависимости. Как правило, для расчета
используются такие факторы, которые не требуют сложных математических действий,
но дают вполне приемлемые результаты.
Наиболее часто применяются следующие стохастические
методы: расчет числовых характеристик; регрессионный анализ; корреляционный
анализ.
Расчет числовых характеристик применяется, как
правило, в том случае, когда потребность в персонале в значительной мере
связана с каким-либо фактором и эта связь достаточно стабильна. Например, при
расчете численности ремонтного персонала используются следующие данные: объемы
производства за прошедший год; трудоемкость ремонта за этот период. На их
основе рассчитывается показатель трудоемкости ремонта на единицу выпуска
продукции, исходя из которого определяется объем ремонтных работ на плановый
период. Дальнейший порядок расчета выполняется по схеме метода, основанного на
данных о времени рабочего процесса.
Регрессионный анализ предполагает установление
линейной зависимости между численностью персонала и влияющими на нее факторами.
Общая формула выглядит следующим образом:
где Т - трудоемкость работ; а - постоянная величина; Ъ
- коэффициент регрессии; х - влияющий фактор.
Следует отметить, что математический аппарат
регрессионного анализа подробно рассматривается в учебной и научной литературе
по статистике, поэтому в данном учебнике он не приводится.
Корреляционный анализ устанавливает тесноту
связи между несколькими параметрами. Это может быть зависимость, определяющая
степень влияния какого-либо параметра (например, объема производства или услуг)
непосредственно на численность персонала. В ином случае это может быть
зависимость, определяющая тесноту связи одного или нескольких параметров с
другими параметрами, значительное влияние которых на численность персонала
установлено.
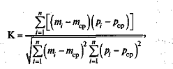
где тi, рi-
значения параметров (между которыми устанавливается теснота связи) по i-му измерению; тср, pср - средние арифметические значения
соответствующих параметров; n -
количество измерений параметров m и p (например, количество календарных
периодов времени, в течение которых производится учет значений параметров).
Математический аппарат корреляционного анализа (также
как и регрессионного) подробно проработан в учебной и научной литературе по
статистике.
Применение методов экспертных оценок производится с
использованием опыта специалистов и руководителей. Эти методы подразделяются на
простую и расширенную оценку, включающую как однократную, так и многократную
экспертную оценку.
При простой оценке потребность в персонале оценивается
руководителем соответствующей службы. Метод не требует каких-либо существенных
затрат, однако его недостаток состоит в том, что эта оценка достаточно
субъективна. Расширенная экспертная оценка проводится группой компетентных
работников (экспертов).
Приведенные методы позволяют определить общую
потребность в персонале. Однако более важной величиной для кадрового
планирования является фактическая потребность в персонале. Расчет фактической
потребности учитывает необходимость покрытия планового или внепланового выбытия
персонала, а также его плановое поступление. В качестве планового поступления
следует рассматривать возвращение сотрудников после обучения, службы в армии,
длительного отпуска и т.п.
К плановому выбытию персонала относятся сокращение
численности в связи с реорганизацией производства или услуг, реорганизацией
оргструктуры; направление сотрудников на обучение, стажировку и т.п.; призыв в армию;
выход на пенсию.
В этих случаях выбытие персонала можно с той или иной
точностью прогнозировать и заблаговременно принять меры по приему или
перестановке работников.
Большую сложность для планирования представляет
выбытие персонала по внеплановым причинам. К ним относятся увольнение по
собственному желанию; увольнение по инициативе администрации; длительная
болезнь сотрудника; дополнительные отпуска; внеплановый призыв в армию;
незапланированный уход на пенсию и т.д.
В этих случаях планирование выбытия кадров может
производиться на основе статистических данных о высвобождаемых по указанным
причинам сотрудниках за последние 3-5 лет.
Прогнозирование потребности в персонале строится на
основе анализа прогнозов спроса и предложения для определения перспективной
нехватки или избытка кадровых ресурсов. Главной задачей прогнозирования
является установление влияния тенденций развития рынка на изменение потребности
в персонале. Решение этой задачи позволяет организации заблаговременно
принимать и реализовывать решения, рассчитанные на перспективу (например, по
подбору или обучению персонала, ориентированного на изменение продукции или
услуг организации).
В теории прогнозирования разработаны различные методы,
которые могут быть применимы и для прогнозирования потребности в персонале. К
этим методам относятся: построение прогнозного дерева целей развития
организации, уровень задач которого предусматривает решение кадровых проблем;
экстраполяция, заключающаяся в установлении устойчивых зависимостей (пропорций)
между различными параметрами, которые влияют на потребность в персонале, и
перенос этих зависимостей на будущий период; экспертные оценки; факторный
анализ с использованием элементов корреляции и регрессионного анализа.
Прогнозирование потребности в персонале должно
осуществляться в тесном контакте со службами, непосредственно решающими вопросы
прогнозирования развития организации. К таким службам следует отнести отделы
планирования, маркетинга, развития систем управления и т.п.
1.3 Наем, отбор и профессиональная подготовка персонала предприятия
управление персонал заработный рентабельность
При комплектовании кадров обычно решаются следующие задачи: определение
оптимальной численности персонала.
Для определения степени укомплектованности предприятия персоналом используют
коэффициент комплектования кадров:
Ку.к.=
, где
-
необходимое число рабочих мест
-
численность работников во всех сменах
Ку.к.=
,
Таким
образом, можно сказать, что кадры полностью укомплектованы.
Порядок
определения полезного фонда времени одного работника.
Таблица
3. - Определение полезного фонда времени работы
|
Показатели
|
Всего
|
|
1. Календарный фонд
времени, дней
|
366
|
|
В том числе праздничных
|
8
|
|
Выходных
|
85
|
|
2. Номинальный фонд
времени, дней
|
273
|
|
3. Неявки, дней
|
31,2
|
|
В т.ч. отпуска
|
30
|
|
прогулы
|
0,7
|
|
простои
|
0,5
|
|
4. Число фактических
рабочих дней
|
241,8
|
|
5. Средняя плановая
численность рабочего дня, час
|
7,67
|
|
6. Потери в связи с
сокращением длительности рабочего дня, час
|
0,05
|
|
7. Средняя фактическая
продолжительность рабочего дня, час
|
7,62
|
|
8. Полезный фонд времени
работы, час
|
1842,5
|
Рсп определяется с учетом степени использования фонда
рабочего времени и явочной численности работников:
-
явочное число рабочих в сутки в планируемом периоде - определяется исходя из
в смену и количества смен в сутки;
в смену - минимальное количество рабочих, необходимое
для выполнения планируемого задания по производству продукции за смену;
определяется по участкам, цехам, операциям производственного процесса.
Определим
через норму времени:
=45
человек
=1,13
Таким
образом, рассчитаем Рсп:
=50,85
То
есть на производстве должно в смену работать 51 человек. Это меньше
существующего показателя на 3 человека.
Нормативами
охвачены следующие виды работ:
оформление документов при приеме на работу рабочих и
служащих;
оформление документов при увольнении рабочих и
служащих;
оформление и учет трудовых книжек;
оформление документов по учету движения кадров
составление статистической отчетности по учету личного
состава;
составление справок, участие в разработке планов и
другие работы, выполняемые работниками по комплектованию и учету кадров;
работы по табельному учету;
работы в бюро пропусков;
работы в военно-учетном столе;
работы, связанные с АСУП;
прочие работы.
Работы по комплектованию и учету кадров выполняет
инспектор по кадрам, по табельному учету - табельщик; протеков - дежурный бюро
пропусков, в военно-учетном столе инспектор ВУС.
Нормы времени на производство поддона кирпича:
Нвр=
Численность
работников, необходимая для выполнения работ по комплектованию и учету кадров
Ч:
Ч
=
человек
Нормативная
численность инспекторов по кадрам Ч:
Ч
=
человек
определение качественного состава и подбор кадров;
Количественная потребность в персонале планируется
посредством определения его расчетной численности и ее сравнения с фактической
обеспеченностью на определенный плановый период.
Для начала необходимо рассчитать потребность в рабочих
основного и вспомогательного производства. Для этого воспользуемся формулой
описанной выше.
Производственный процесс кирпича можно разделить на 3
части, и в соответствии с этим рассчитать потребность основного персонала
производства.
Потребность вспомогательного персонала, обслуживающего
производства примем на уровне 20% от основного.
первичная обработка глины;
изготовление кирпича на станочном оборудовании;
Охлаждение, упаковка и складирование кирпича.
Рассчитаем время, необходимое для выполнения производственной программы.
Первичная обработка глины и транспортировка ее до места переработки
рассчитывается также их производственной программы.
Для этого определим, что производственная программа составляет 693665280
кирпичей в год. Это соответствует 4 кг*693665280=2774661,12 т глины.
Оборудование, которое используется для транспортировки перевозит в час
28,5 т глины.
Для всей производственной программы необходимо: 97356,5 часов.
Полезный фонд рабочего времени = кол-во дней*кол-во
смен*длит смены
Полезный фонд рабочего времени = 280*2*8=4480 часа
К - коэффициент пересчета явочной численности в
списочную=0,92
Численность
рабочих =
=
=20 или 20 человек.
На втором этапе происходит непосредственно производство кирпичей.
В час 1 человек на станке выработает 1500 кирпичей. То есть время,
необходимое для выполнения производственной программы:
/3240= 214094 часов
К - коэффициент пересчета явочной численности в
списочную=0,92
Численность
рабочих =
=
=44 или 44 человека.
Можно сделать вывод, что кадры имеют полную укомплектованность по
потребности.
Далее рассчитаем потребность на завершающем этапе производства -
охлаждение, упаковка и складирование кирпича.
единица оборудования способна в час укомплектовать 13000 кирпичей, то
есть ей необходимо времени: 693665280/13000=53358,86 часа.
Численность
рабочих =
=
=11 или 11 человек.
Итого
рабочих основного производства = 20+44+11=75 человек.
В
соответствии с эти рабочих вспомогательного производства = 75*0,2=15 человек.
Итого
рабочих = 75+15=90 человек.
Руководители
производства должны (ИТР) составлять примерно соотношение 1/10, то есть на 1
руководителя должно приходиться 10 рабочих.
Рассчитаем
количество руководителей:
/10=9
человек.
Работники
административно-управленческого персонала (специалисту и служащие) составляют
около 20% от рабочих и работников производства. То есть численность АУП
составляет: 99*0,2=20 человек.
Итого
количество необходимого персонала должна составлять:
+22=119
человек.
Именно
такое количество работников существует в организации на нынешний момент
времени.
Однако,
в следующем году предприятие планирует снизить объем производства, так как в
условиях мирового финансового кризиса, множество строек заморожено и очень
резко упал спрос на продукцию в 2009 году. Конечно, все это непосредственно
сказывается на деятельности предприятия и, необходимо принять меры по кадровому
планированию на 2009 год.
Определим
планирование потребности в персонале по производительности труда:
С
=
= 95 человек
Рассчитаем
потребность в персонале по прибыли до уплату налогов:
С=
= 98 человек
Далее
произведем планирование потребности по нормам обслуживания:
Собс=
человека
Данный
показатель выше существующего, что говорит о том, что предприятию не хватает
вспомогательного персонала.
анализ
работы кадровой службы.
Сбор информации при отборе претендента в ОАО «КЕММА» включает в себя:
.анализ содержания работ;
.описание характера работы;
.требования к должности.
Составим смету затрат на поиск персонала:
1500 размещение информации в рекрутинговых агентствах;
1200 размещение информации в СМИ;
500 размещение информации в интернете.
Итого затраты на поиск персонала составляют 3200 рублей.
На предприятии ОАО «КЕММА» приводится следующая структура использования
информации при отборе претендента:
Рисунок 2. - Структура использования информации
Анализ содержания работ - процесс систематического и подробного
исследования содержания работы.
На основе анализа содержания работы в ОАО «КЕММА» составляется:
.Должностная инструкция, которая включает задачи, требуемые навыки,
ответственность, полномочия и т.д.;
.Состояние требований к тому типу исполнителя, который необходим для
выполнения работы;
.Устанавливается тот минимум требований, которым должен соответствовать
претендент;
.Следует найти человека, который будет удовлетворять этим критериям.
Рассмотрим следующий показатель: эффективности
кадровой политики:
Таблица 4. - Параметры оценки эффективности труда кадровой службы
|
Показатели и шкалы оценки
по этим показателям
|
Оценка в баллах
|
|
1 Степень сложности труда:
- существенно превышает должностную инструкцию; - несколько превышает
должностную инструкцию; - соответствует должностной инструкции; -
несколько ниже, чем требуется в должностной инструкции; -
существенно ниже, чем требуется в должностной инструкции.
|
5 4 3 2 1
|
|
2 Степень напряженности
труда: - большую часть времени работник дополнительно выполнял обязанности
временно отсутствующего сотрудника; - некоторую часть времени работник
дополнительно выполнял обязанности временно отсутствующего сотрудника - все
возложенные обязанности были выполнены работником в полном объеме; -
работнику оказывалась помощь в выполнении закрепленной за ним работы; -
значительная часть закрепленной за специалистом работы выполнялась его
сотрудниками.
|
5 4 3 2 1
|
|
3 Степень качества труда: -
на высоком уровне; - на хорошем уровне; - удовлетворительно; - ниже
среднего уровня; - неудовлетворительно.
|
5 4 3 2 1
|
|
4 Самообразование - на
высоком уровне; - на хорошем уровне; - удовлетворительно;
|
3 2 1
|
Далее дадим оценку подбора персонала.
Исходным этапом в процессе управления персоналом на предприятии ОАО
«КЕММА» является кадровое планирование, отбор и подбор персонала. От того, как
проведен набор, и какие люди отобраны для работы в ОАО «КЕММА», зависит вся
последующая деятельность в процессе управления человеческими ресурсами.
Функция отбора и подбора персонала возложена на
инспектора по кадрам.
При отборе персонала ОАО «КЕММА» имеет дело с людьми, которые стремятся
реализовать свои цели, выбирая ту или иную организацию.
Когда ОАО «КЕММА» необходимо принять на работу нового сотрудника,
возникает два вопроса:
где искать потенциальных работников (источники)
как известить заявителей об имеющихся вакансиях (методы)
Имеется два возможных источника найма: внутренний (из работников предприятия)
и внешний (из людей, до того никак не связанных с данным предприятием).
Инспектор по кадрам ОАО «КЕММА», который проводит собеседование, должен
контролировать ход интервью и сделать так, чтобы претендент говорил о том, о
чем хочет менеджер.
По данным предприятия ОАО «КЕММА» используется только внешний наем.
Отбор кадров на предприятии ОАО «КЕММА» осуществляется инспектором по
кадрам. На предприятии применяется методика, учета деловых и личностных
характеристик.
Цель: получить необходимую и достаточную информацию о кандидате и принять
решение о приглашении его на собеседование или отказе от него. Путем проведения
телефонных переговоров на данном этапе решаются следующие задачи:
выявление соответствия соискателей самым общим критериям (возраст,
образование, адекватность реагирования на вопросы т.д.);
формирование и организация группы соискателей (назначение времени
собеседования, передача и прием первичной информации).
При этом учитываются результаты работы на предыдущих этапах (критерии
отбора, условия отбора, требования к должности и пр.).
Полученные данные заносятся в лист телефонного интервью.
На их основе складывается первоначальное представление о соискателе и
принимается решение о приглашении его на собеседование.
Цель подбора: создать первичное представление о степени соответствия
соискателя критериям подбора на существующую вакансию. Подобрать кандидата для
замещения вакантной должности.
На данном этапе решаются следующие задачи:
выявление соответствия соискателя критериям соответствие должности
(требования к должности), профессиональной и мотивационной пригодности на
данную вакансию;
формирование группы соискателей соответствующих квалификационным
требованиям к должности, для проведения экспертной оценки знаний и навыков, изучения
личностных характеристик.
Данные задачи решаются путем:
заполнения соискателем внутрифирменной анкеты;
проведения структурированного интервью и наблюдения (диагностируются
мотивационные характеристики, эрудиция, внешние данные, уверенность, коммуникабельность,
адекватность реакций, представления о будущей работе и сотрудниках, ожидания,
необходимые навыки и т. п.);
определения соискателей, наиболее подходящих под разработанные на
предыдущих этапах критерии;
сбор и изучение независимой информации о кандидате службой ЭБ (проверка
рекомендаций по прежним местам работы, проверка по месту жительства, проверка
информации на предмет лояльности кандидата к предприятию и т.п.).
На данном этапе производится изучение и сличение требований,
предъявляемых к кандидату, для данной должности и результатов анкетирования
кандидатов на должность.
Таким образом, на предприятии можно выделить следующие основные проблемы:
высокая текучесть менеджеров;
низкое экономическое стимулирование персонала;
присутствие внутриорганизационных конфликтов.
В заключении главы хотелось бы отметить необходимость, значимость и
методичность кадрового планирования для любых организаций. Именно правильно
организованный процесс кадрового планирования помогает минимизировать и
оптимизировать затраты на наем и содержание персонала.
2. Расчет технико-экономических показателей работы предприятия
.1 Годовой фактический объем товарной и реализованной продукции
Таблица 5. - Данные для расчета годового фактического объема товарной и
реализованной
|
Наименование изделия, вида
работ
|
Годовой выпуск продукции, Q
шт.
|
Отпускная цена без НДС,
руб.
|
Выручка, т.р.
|
|
Изделие 1
|
41574,4
|
2300
|
95621,12
|
|
Изделие 2
|
19169,28
|
4100
|
78594,048
|
|
Изделие 3
|
33443,84
|
6550
|
219057,152
|
|
Изделие 4
|
29020,16
|
10450
|
303260,672
|
|
Полуфабрикат 1 своего
производства для реализации на сторону
|
4352
|
1200
|
5222,4
|
|
Полуфабрикат 2 своего
производства для реализации на сторону
|
3123,2
|
890
|
2779,648
|
|
Итого основной продукции
|
-
|
-
|
704535,04
|
|
Работы промышленного
характера на сторону
|
10496
|
3300
|
34636800
|
|
Работы для капитального
строительства
|
-
|
-
|
8048,64
|
|
Работы для своих работников
|
182,272
|
1720
|
313507,84
|
|
Услуги для своих работников
|
458,752
|
600
|
275251,2
|
|
Итого товарной продукции
|
|
|
35938142,7
|
|
Стоимость остатков на
начало года
|
|
|
15587,328
|
|
На конец года
|
|
|
22646,784
|
|
Итого реализованной
продукции
|
|
|
35931083,3
|
Выручка = Годовой выпуск * Отпускная цена
Итого реализовано продукции = Стоимость остатков на начало года + Итого
товарной продукции - Стоимость остатков на начало года
.2 Стоимость основных фондов и амортизационных отчислений
Таблица 6. - Данные для расчета стоимости основных фондов на конец года,
среднегодовой, структуры, амортизационных отчислений и показателей,
характеризующих их исполнение
|
Наименование группы
основных фондов
|
Стоимость, т.р.
|
Среднегодовая стоимость
|
Средняя норма амортизации
|
Сумма амортизации
|
|
На начало года
|
Структура, %
|
На конец года
|
Структура
|
|
|
За год
|
За месяц
|
|
1. Здания
|
255609,65
|
33,42
|
255609,65
|
32,08
|
255609,65
|
2,00
|
5112,19
|
426,02
|
|
2. Сооружения
|
54220,19
|
7,09
|
70047,13
|
8,79
|
62133,66
|
3,00
|
1864,01
|
155,33
|
|
3. Передаточные устройства
|
23237,22
|
3,04
|
23237,22
|
2,92
|
23237,22
|
4,00
|
929,49
|
77,46
|
|
4. Машины и оборудование
|
412851,40
|
53,99
|
425314,00
|
53,39
|
419082,70
|
-
|
-
|
-
|
|
А) силовые машины
|
42974,11
|
5,62
|
41010,07
|
5,15
|
41992,09
|
5,00
|
2099,60
|
174,97
|
|
В) рабочие машины
|
345804,39
|
45,22
|
360124,52
|
45,20
|
352964,45
|
10,00
|
35296,45
|
2941,37
|
|
С) измерительные устройства
|
3670,84
|
0,48
|
3670,84
|
0,46
|
3670,84
|
12,00
|
440,50
|
36,71
|
|
Д) вычислительная техника
|
5427,30
|
0,71
|
5533,80
|
0,69
|
5480,55
|
12,50
|
685,07
|
57,09
|
|
Е) прочее
|
14974,77
|
1,96
|
14974,77
|
1,88
|
14974,77
|
7,00
|
1048,23
|
87,35
|
|
5. Транспорт
|
15488,41
|
2,03
|
16521,01
|
2,07
|
16004,71
|
8,00
|
1280,38
|
106,70
|
|
6. инструмент
|
7745,54
|
1,01
|
9318,40
|
1,17
|
8531,97
|
50,00
|
4265,98
|
355,50
|
|
7. Инвентарь
|
5421,98
|
0,71
|
6865,82
|
0,86
|
6143,90
|
10,00
|
614,39
|
51,20
|
|
8. Итого
|
774574,39
|
101,29
|
806913,23
|
101,29
|
790743,81
|
|
53636,30
|
4469,69
|
Структура на начало = стоимость на начало / стоимость итого * 100%
Структура на конец = стоимость на конец / стоимость итого * 100%
Среднегодовая стоимость = (Стоимость на начало + стоимость на конец) / 2
Сумма амортизации за год = среднегодовая стоимость * средняя норма
амортизации
Сумма амортизации за месяц = Сумма амортизации за год/12
Таблица 7. - Данные ввода и выбытия основных фондов
|
Ввод
|
Выбытие
|
|
Вид основных фондов
|
Сумма, т.р.
|
Дата ввода
|
Вид основных фондов
|
Сумма, т.р.
|
Дата вывода
|
|
Склад
|
15826,944
|
17.май
|
|
|
|
|
Силовой трансформатор
|
819,2
|
14.апр
|
Электродвигатели
|
30,72
|
12.фев
|
|
Токарный станок
|
1126,4
|
01.янв
|
Токарные станки
|
2150,4
|
07.янв
|
|
Сверлильный станок
|
626,688
|
18.авг
|
Сверлильные станки
|
512
|
22.май
|
|
Обрабатывающий центр
|
5735,424
|
01.апр
|
Фрезерные станки
|
1843,2
|
01.мар
|
|
Обрабатывающий центр
|
8584,704
|
12.июл
|
|
|
|
|
ПК
|
229,376
|
ПК
|
122,88
|
25.апр
|
|
Грузовой автомобиль
|
2918,4
|
11.сен
|
Грузовой автомобиль
|
1843,2
|
01.дек
|
|
Легковой автомобиль
|
471,04
|
01.янв
|
|
|
|
|
Инструмент
|
3631,104
|
01.июл
|
Инструмент
|
2058,24
|
12.июн
|
|
Мягкий уголок, кресла,
столы
|
1904,64
|
23.мар
|
Столы, шкафы и др.
|
460,8
|
30.окт
|
Стоимость ОС на конец = Стоимость ОС на начало + Стоимость введенных -
Стоимость выбывших
2.3 Расчет возможности выполнения планового задания
План по изделия №1 = 46000*1,024= 47104 изделия.
Определим Фонд Рабочего Времени (ФРВ)
Фрв = количество смен * длительность 1 смены * количество отработанных
дней * Коэффициент затрат на переналадку и ремонт оборудования
ФРВ = 249(число рабочих дней в году)*8(длительность смены)*3(число
смен)*0,94(учет ППР)= 5617,44 часа
При таком количестве времени может быть произведено всем оборудованием:
М = Фрв*n/Нвр, где
n -
число машин
Фвр - фонд рабочего времени
Нвр - норма времени на изготовление одной детали
,44*31(число машин)/4,2*1,024(норма трудоемкости)
М= 40490, с учетом резерва выпуска М = 40490*1,2= 48588 изделий.
Предприятие сможет выполнить заказ только при учете резервного выпуска.
Коэффициент интегрального использования = Вфакт/Вплан
Кии=(5617-618)/5617=0,89
2.4 Годовой норматив по производственным запасам основной продукции
предприятия
Стоимость на единицу изделия = Норма расхода* Цена
Стоимость на годовой выпуск продукции = Стоимость на единицу изделия*
Годовой выпуск
Всего материальных затрат = Стоимость на годовой выпуск продукции проката
+ Стоимость на годовой выпуск продукции полуфабрикатов
Таблица 8. - Данные для расчета годового норматива по производственным
запасам основной продукции предприятия
|
Изделие
|
Годовой выпуск, шт.
|
Норма расхода проката на
ед. изд. кг
|
Цена за 1 т проката, т.р.
|
Стоимость на единицу
изделия, руб.
|
Стоимость на годовой выпуск
продукции, т.р.
|
|
|
|
|
проката
|
Покупных полуфабрикатов
|
проката
|
Покупных полуфабрикатов
|
Всего материальных затрат
|
|
№1
|
41574,4
|
32,1
|
16,8
|
539,28
|
147,456
|
22420,24
|
6130,39
|
28550,64
|
|
№2
|
19169,28
|
34
|
22,4
|
761,6
|
396,288
|
14599,32
|
7596,56
|
22195,88
|
|
№3
|
33443,84
|
77,4
|
16,8
|
1300,32
|
411,648
|
43487,69
|
13767,09
|
57254,78
|
|
№4
|
29020,16
|
117
|
20
|
2340
|
916,48
|
67907,17
|
26596,40
|
94503,57
|
|
П/ф№1
|
4352
|
15,8
|
16,8
|
265,44
|
56,32
|
1155,19
|
245,10
|
1400,30
|
|
П/ф№2
|
3123,2
|
9,7
|
20
|
194
|
65,536
|
605,90
|
204,68
|
810,58
|
|
Всего:
|
150175,53
|
54540,22
|
204715,75
|
Таблица 9
|
Вид материала
|
Стоимость МЗ на годовой
выпуск
|
Однодневный расход, т.р.
|
Норма запаса, дни
|
Норматив производственных
запасов
|
|
|
|
текущий
|
транспортный
|
страховой
|
всего
|
|
|
Формула
|
Смз
|
Р = Смз/360
|
|
|
50% от общего
|
|
Н = Р*Нз
|
|
Прокат
|
204715,75
|
568,65
|
10
|
2
|
5
|
17
|
9667,13
|
|
Покупные полуфабрикаты
|
54540,22
|
151,50
|
20
|
4
|
10
|
34
|
5151,02
|
|
Всего
|
|
|
|
|
|
|
14818,15
|
Таблица 10. - Расчет материалоемкости основных видов продукции
|
|
Изделие №1
|
Изделие №2
|
Изделие №3
|
Изделие №4
|
Полуфабрикат №1
|
Полуфабрикат №2
|
|
Затраты материалов, т.р.
|
28550,64
|
22195,88
|
57254,78
|
94503,57
|
1400,30
|
810,58
|
|
Выручка, т.р.
|
95621,12
|
78594,05
|
219057,15
|
303260,67
|
5222,40
|
2779,65
|
|
Материалоемкость
|
0,30
|
0,28
|
0,26
|
0,31
|
0,27
|
0,29
|
Материалоемкость = Затраты материальные / Выручка
Таблица 11. - Данные для расчета годовых средних величин:
производственных запасов, оборотных фондов, фондов обращения и нормируемых
оборотных средств
|
Наименование
|
Сумма, т.р.
|
ПЗ
|
Фобор
|
Фобр
|
Нос
|
|
Денежные средства в кассе и
на счетах в банках
|
13946,88
|
|
|
13946,88
|
|
|
Основные материалы (прокат)
|
150175,53
|
150175,5
|
150175,53
|
|
0
|
|
Покупные полуфабрикаты
|
54540,22
|
54540,22
|
54540,22
|
|
54540,22
|
|
Полуфабрикаты собственного
изготовления
|
1822,72
|
1822,72
|
1822,72
|
|
1822,72
|
|
Вспомогательные материалы
|
742,4
|
742,4
|
742,4
|
|
742,4
|
|
Топливо и горючее
|
690,176
|
690,176
|
690,176
|
|
690,176
|
|
Тара и упаковочные
материалы
|
645,12
|
645,12
|
645,12
|
|
645,12
|
|
Запасные части для ремонта
|
3036,16
|
3036,16
|
3036,16
|
|
3036,16
|
|
Незавершенное производство
|
26987,52
|
26987,52
|
26987,52
|
|
26987,52
|
|
Расходы будущих периодов
|
4218,88
|
|
4218,88
|
|
|
|
Готовая продукция на складе
|
15608,83
|
|
|
15608,832
|
15608,832
|
|
Дебиторская задолженность
|
2820,096
|
|
|
2820,096
|
|
|
Итого
|
275234,53
|
238639,8
|
242858,73
|
32375,808
|
104073,15
|
Таблица 12. - Расчет структуры по следующим элементам: оборотным фондам и
фондам обращения; нормируемым и ненормируемым оборотным средствам
|
|
Оборотные средства
|
В т.ч.
|
В т.ч.
|
|
|
Оборотные фонды
|
Фонды обращения
|
Нормируемые
|
Ненормируемые
|
|
Сумма, т.р.
|
275234,54
|
242858,73
|
32375,8
|
104073,15
|
171161,39
|
|
Структура, %
|
100
|
88,24
|
11,76
|
37,81
|
62,19
|
2.5 Расчет выработки
Таблица 13. - Данные для расчета плановой и фактической выработки
|
Детали изделия 1
|
Количество шт.
|
Норма трудоемкости на
деталь
|
Всего, нормо-час
|
|
план
|
факт
|
|
план
|
факт
|
|
1.1
|
3379,2
|
3694,592
|
0,5
|
1689,6
|
1847,296
|
|
1.2
|
6758,4
|
6942,72
|
0,26
|
1757,184
|
1805,1072
|
|
1.3
|
3379,2
|
4096
|
0,38
|
1284,096
|
1556,48
|
|
1.4
|
10226,7
|
10260,48
|
0,29
|
2965,743
|
2975,5392
|
|
1.5
|
3379,2
|
4147,2
|
0,63
|
2128,896
|
2612,736
|
|
Итого
|
9825,519
|
10797,1584
|
Всего нормо-час = Количество * Норма трудоемкости на деталь
Таблица 14. - Расчет выработки
|
Показатели
|
Формула
|
Численность, чел.
|
Выработка (нормо-час/чел)
|
|
|
|
План
|
Отчет
|
|
На 1 производственного
рабочего
|
Всего,
нормо-час/численность
|
26/27
|
377,9
|
399,9
|
|
На 1 работника
|
|
29/30
|
359,9
|
2.6 ФОТ и заработная плата
Таблица 15. - Данные для расчета заработной платы руководителей
|
Руководителя
|
Оклад, руб.
|
Отработано, час
|
Заработная плата, руб.
|
|
|
|
план
|
факт
|
|
Ст. мастер
|
12288
|
176
|
12288
|
12288
|
|
Мастер
|
10240
|
154
|
10240
|
8960
|
|
Мастер
|
10240
|
120
|
10240
|
6981,82
|
|
|
|
|
32768
|
28229,8
|
Таблица 16. - Данные для расчета заработной платы вспомогательных рабочих
|
Вспомогательные рабочие
|
Количество, чел.
|
ЧТС, руб.
|
Отработано смен
|
Формула для расчета
|
Заработная плата
|
|
|
|
|
|
план
|
факт
|
|
Наладчик 4-го разряда
|
2
|
37,376
|
20
|
З.пл.=Численность*ЧТС*Число
смен
|
13156,35
|
11960,32
|
|
Транспортировщик 2-го
разряда
|
3
|
26,8288
|
18
|
|
14165,60
|
11590,
|
|
Распределитель работ 3-го
разряда
|
1
|
32,3584
|
22
|
|
5695
|
5695
|
|
|
|
|
|
|
33017
|
29245
|
З.пл. = Численность * ЧТС * Число смен
Таблица 17. - Данные для расчета заработной платы основных рабочих
|
Детали
|
Количество, шт.
|
Расценка за единицу
|
Заработная плата, руб.
|
|
план
|
факт
|
Плановая
|
Прогрессивная
|
План
|
Факт
|
|
1.1
|
3336,3
|
3647,688
|
22
|
25,3
|
73398,6
|
92286,5064
|
|
1.2
|
6672,6
|
6854,58
|
11
|
12,65
|
73398,6
|
86710,437
|
|
1.3
|
3336,3
|
4044
|
17,5
|
20,125
|
58385,25
|
81385,5
|
|
1.4
|
10226,7
|
10130,22
|
13
|
14,95
|
132947,1
|
151446,789
|
|
1.5
|
3336,3
|
4094,55
|
28
|
32,2
|
93416,4
|
131844,51
|
|
Итого
|
431545,95
|
543673,7424
|
|
Формула для расчета
|
З. пл. = Количество*
Расценка
|
Таблица 18. - Расчет ФОТ
|
Оплата
|
Производственные рабочие
|
Вспомогательные рабочие
|
Руководители
|
|
план
|
факт
|
план
|
факт
|
план
|
факт
|
|
1. оплата по сдельным
расценкам
|
431546,0
|
543673,7
|
-
|
-
|
-
|
-
|
|
2. Повременная оплата по
ЧТС и окладам
|
-
|
-
|
33017,0
|
29245,4
|
32768,0
|
28229,8
|
|
3. Премия
|
45,0
|
45,0
|
30,0
|
25,0
|
50,0
|
40,0
|
|
Руб.
|
625741,6
|
788326,9
|
42922,1
|
36556,8
|
49152,0
|
39521,7
|
|
Формула для расчета
|
Оплата + премия
|
|
4. Надбавка по районному
коэффициенту
|
81346,4
|
102482,5
|
5579,9
|
4752,4
|
6389,8
|
5137,8
|
|
Формула для расчета
|
(Оплата + премия)*0,13
|
|
ИТОГО
|
707088,0
|
890809,4
|
48502,0
|
41309,2
|
55541,8
|
44659,6
|
Таблица 19. - Расчет средней заработной платы
|
Всего ФОТ
|
Численность
|
Средняя Зарплата
|
|
План
|
811131,8
|
35
|
23175
|
|
Факт
|
976778,2
|
36
|
27132,7
|
Средняя зарплата = всего ФОТ/численность
.7 Расчет себестоимости и отпускной цены
Таблица 20. - Расчет полной себестоимости и отпускной цены изделия 1
|
№
|
Статьи калькуляции
|
Сумма, руб.
|
Расчет таблицы
|
|
1
|
2
|
3
|
4
|
|
1.
|
Расчёт материальных затрат
|
|
|
1.1
|
Сырьё и материалы
|
Zсм
|
539,28
|
|
1.2
|
Возвратные отходы
|
Сво
|
64,7136
|
|
1.3
|
Покупные и комплектующие
изделия и полуфабрикаты
|
Zп/ф
|
147,456
|
|
1.4
|
Транспортно-заготовительные
расходы
|
ТЗР
|
65,21904
|
|
ИТОГО материальных затрат
|
МЗ
|
687,24
|
|
2.
|
Расчёт трудовых затрат
|
|
|
2.1
|
Основная зарплата
производственных рабочих, в т.ч.:
|
Зо
|
162,45
|
|
2.1.1
|
нормированная зарплата
|
Зн
|
108,66
|
|
2.1.2
|
премия
|
Пр
|
32,598
|
|
2.1.3
|
районный коэффициент
|
Рк
|
21,1887
|
|
2.2
|
Дополнительная зарплата
производственных рабочих
|
Зд
|
16,245
|
|
2.3
|
Единый социальный налог
|
Ео
|
46,46
|
|
ИТОГО трудовых затрат
|
ТЗ
|
225,155
|
|
Нормированная зарплата с
районным коэффициентом
|
Зку
|
108,66*1,15=125
|
|
3.
|
Цеховые расходы
|
ЦР
|
137,4549
|
|
4.
|
Расходы по содержанию и
эксплуатации оборудования
|
РСЭО
|
400
|
|
5.
|
Общезаводские расходы
|
ОЗР
|
212,5
|
|
6.
|
Прочие производственные
расходы
|
ППР
|
1,66
|
|
7.
|
Производственная
себестоимость
|
ПРС
|
1664
|
|
8.
|
Внепроизводственные расходы
|
ВнР
|
5
|
|
9.
|
Полная себестоимость
|
|
1669
|
|
10
|
Прибыль
|
П
|
667,6
|
|
11
|
Цена отпускная изделия
|
Цотп
|
2336,6
|
.8 Расчет прибыли и рентабельности
Таблица 21
|
Показатели
|
Формулы
|
Изделия
|
|
|
1
|
2
|
3
|
4
|
|
1. Плановый объем
|
Q
|
41574,4
|
19169,28
|
33443,84
|
29020,16
|
|
Структура номенклатуры
изделий
|
-
|
33,74
|
15,56
|
27,14
|
23,55
|
|
2. Оптовая цена
|
Р
|
2300
|
4100
|
6550
|
10450
|
|
3. Выручка от продаж, т.р.
|
Q*P
|
95621120
|
78594048
|
219057152
|
303260672
|
|
В целом по фирме
|
Σ
|
696532992
|
|
4. Себестоимость единицы,
Сед.
|
-
|
1669
|
3158,8352
|
4490,24
|
7618,9696
|
|
5. Общие издержки от
реализации изделий
|
ТС = Сед.*Q
|
69387673,6
|
60552596,42
|
150170868,1
|
221103716,8
|
|
6. Прибыль единицы изделия
Пед.
|
Пед = Р-Сед
|
631
|
941,1648
|
2059,76
|
2831,0304
|
|
7. Прибыль от продаж, Ппрд
|
Ппрд=Пед*Q
|
26233446,4
|
18041451,58
|
68886283,88
|
82156955,17
|
|
В целом по фирме
|
Σ
|
195318137
|
|
8. Структура прибыль от продаж,
%
|
|
13,43
|
9,24
|
35,27
|
42,06
|
|
9. Рентабельность издержек,
%, Rизд
|
Rизд = Ппрд/ТС*100%
|
29,79
|
45,87
|
37,16
|
|
В целом по фирме
|
Σ/4
|
37,66
|
|
10. Рентабельность продаж,
% Rпрд
|
Rпрд = Ппрд/В*100%
|
27,43
|
22,96
|
31,45
|
27,09
|
|
В целом по фирме
|
Σ/4
|
27,23
|
2.9 Плановые и фактические показатели
Для определения безубыточного объема продаж в стоимостном выражении
необходимо сумму постоянных затрат разделить на долю маржи покрытия в выручке:
Тб
=
,
где
Тб - точка безубыточности;
З
пост - постоянные затраты;
З
перем- переменные затраты.
Тб=116635,44/(1-37932274,69/95621120)=
193327 т.р.
Тб=128298,987/(1-46415650,41/98751180,8)=
242085,5653 т.р.
Таблица 22
|
Показатели
|
Изделие 1
|
|
отчет
|
план
|
|
1. Объем, шт. - Q
|
41574,4
|
47104
|
|
2. Оптовая цена, р. - Р
|
2300
|
2096,45
|
|
3. Выручка от продаж - В,
руб.
|
95621120
|
98751180,8
|
|
4. Себестоимость единицы,
р. - С ед.
|
1669
|
1802,52
|
|
5. Общие издержки от
реализации изделий, ТС, р.
|
69387673,6
|
84905902,08
|
|
6. Условно-переменные
затраты на ед. продукции, руб.
|
912,395
|
985,3866
|
|
7. Условно-переменные
затраты на весь выпуск, руб., VC
|
37932274,69
|
46415650,41
|
|
8. Условно-постоянные
затраты, млн. руб. FC
|
116635,44
|
128298,987
|
|
Точка критического объема
|
193327
|
242085,5653
|
Заключение
Переход к рыночным отношениям, приоритетность вопросов качества продукции
и обеспечение ее конкурентоспособности повысили значимость творческого
отношения к труду и высокого профессионализма. Это побуждает искать новые формы
управления, развивать потенциальные способности персонала, обеспечивать его
мотивацию к трудовому процессу. Управление человеческими ресурсами является
одним из важнейших направлений деятельности организации и считается основным
критерием ее экономического успеха, даже впереди совершенствования технического
процесса (по значимости). Можно иметь отличную технологию, но при этом
неквалифицированном персонале работа будет загублена. Таким образом, ключевой
составляющей бизнеса является управление кадрами, технология управления
персоналом.
Изменения, происходящие в современном производстве и связанные с резким
повышением значимости человеческого фактора, выдвинули управление персоналом на
передний план управленческой деятельности, стимулировали бурное развитие
научных исследований в этой области. Результатом усложнения и обогащения
деятельности по управлению персоналом и ее изучения явились разные трактовки
управления персоналом в современной литературе, которые рассмотрены во второй
главе. Все определения автор объединяет в несколько групп: мотивационные,
дескриптивные, теологические, дескриптивно-теологические дефицилии.
Для отражение целевой направленности важной сферы управления, в этой
главе рассматриваются понятия экономической, социальной и деловой
эффективности. Функции управления персоналом представляют собой основные
направления этого рода деятельности, ориентированные на удовлетворение
определенных потребностей на предприятии. Перечисленные функции (планирование
персонала, маркетинг персонала, подбор, оценка и развитие персонала, управление
конфликтами, мотивация персонала и др.) дают представление о содержании
управления персоналом как специфического вида управленческой деятельности и о
предмете науки «управление персоналом».
Функции управления персоналом осуществляются его субъектами -
должностными лицами и организациями, непосредственно занятыми этой
деятельностью. Субъектами управления персоналом являются: руководители всех
уровней; службы персонала (отделы кадров); органы трудовых коллективов: советы
трудовых коллективов, кружки качества, профсоюзы, женские организации,
ветеранов и т.п., действующие на предприятии. К внешним регулятором
деятельности по управлению персоналом относятся: государство и прежде всего те
его органы, которые принимают законы, регулируют сферу трудовых отношений;
ассоциации предпринимателей, вырабатывающие рекомендации в области управления,
в том числе управления персоналом; организации, занимающиеся вопросами труда, в
первую очередь, профсоюзы, собственники предприятий (как частные лица, так и
ассоциации), нередко устанавливающие особые правила в области управления
персоналом.
Управление персоналом как специфическая деятельность осуществляется с
помощью различных методов (способов) воздействия на сотрудников. Автор
рассматривает квалификацию методов, выделяя их в три основные группы:
административные, экономические, социально-психологические.
Список литературы
1. Беляцкий
Н.П., Велесько С.Е., Питер Ройш. Управление персоналом. - Мн.: Интерпрессервис,
Экоперспектива, 2002. - 352 с.
. Герчикова
И.Н. Менеджмент. Учебное пособие. - М.: ЮНИТИ., 2005 - С.21-23.
3. Гусов К.Н. Право социального обеспечения: Учебное пособие - М;
ИНФРА-М. 2005. 322 с.
4. Иванцевич
Дж.М., Лобанов А.А. Человеческие ресурсы управления, М.: Гардарики, 2003. С.
19-21.
5. Кабушкин
Н.Н. Основы кадрового менеджмента. - М.: ЮНИТИ, 2003. - 378 с.
. Кибалов
А.Я., Захаров Д.К. Формирование системы управления персонала на предприятии.
Учебник для студ-ов. - М.: Дело. - 2002. С.15-16
. Кравченко
А.И. Трудовые организации: структура организации, поведения. - М.: ЮристЪ,
2001. - 114 с.
. Маусов
Н. Менеджмент персонала - ключевое звено внутрифирменного управления //
Проблемы теории и практики управления. - 2006 - №6. - С.8-12.
. Травин
В.В. Основы кадрового менеджмента. - М.: Высшая школа, 2000. - 362 с.
. Травин
В.В., Дятлов В.А. Менеджмент персонала предприятия. 2-е изд. - М.: Финпресс,
2000. - 203 с.
11. Управление
персоналом в условиях социальной рыночной экономики / Под ред. Р. Марра, Г.
Шмидта, М.: Депо, 2003. С. 26-28