Управление операционной политикой организации
Управление
операционной политикой организации
1. Теоретические основы
операционной политики организации
1.1 Главная операционная функция организации
Главной операционной функцией называется
то главное, чем занимается организация. Потенциально ею может быть любая из
стадий бизнеса: академические исследования, конструкторские и проектные работы,
добыча сырья, снабжение и закупки, производство, сборка, сбыт, распределение
или оказание услуг.
Операционная функция включает те действия,
в результате которых производятся товары и услуги, поставляемые организацией во
внешнюю среду. Бизнес-процесс организации в целом представляет собой главную
операционную функцию (или главные операционные функции, если их несколько в
организации), использующую ресурсы на входе компании для их переработки в
конечный результат деятельности, представляющий ценность для потребителя.
Рис. 1. Главная операционная функция
организации
Организации на рынке отличает друг от друга характер
конкретных видов деятельности, входящих в главные операционные функции. Главная
операционная функция создает в процессе преобразования ресурсов на «входе»
добавленную стоимость для потребителя. В коммерческих организациях стоимость
продукции или услуги определяют ценой, которую клиенты готовы за нее заплатить.
Так как цель главной операционной функции
- предоставление клиенту товаров и услуг, удовлетворяющих его потребности,
именно она определяет возможность достижения выраженной компетентности и
конкурентоспособности организации на рынке. В качестве главных операционных
функций, таким образом, выделяют те виды деятельности, которые будут
выполняться организацией сравнимо или лучше, чем это делают конкуренты. Это и
обеспечит конкурентоспособность компании на рынке.
Реализация главной операционной функции
требует обеспечения материальными, информационными и человеческими ресурсами, а
также управляющим воздействием. Входы и выходы этого бизнес-процесса, таким
образом, для полноты описания бизнес-процесса должны быть дополнены еще двумя
блоками.
Рис. 2. Типовые элементы бизнес-процесса
.2 Операционная система предприятия
Бизнес можно рассматривать с различных
аспектов. Выделяют организационную систему управления предприятием, его
логистическую систему, информационную систему. Операционный менеджмент
позволяет выделить операционную систему бизнеса, состоящую их трех подсистем,
между которыми имеется однозначная связь.
Перерабатывающая подсистема операционной
системы включает подразделения и сотрудников, выполняющих главную операционную
функцию организации. В ее рамках производится переработка материальных,
информационных ресурсов или финансовых ресурсов в готовый продукт или услугу.
Управляющая и обеспечивающие подсистемы соответственно обеспечивают управление
и обеспечение деятельности перерабатывающей подсистемы.
Рис. 3. Операционная система организации
Типовая модель бизнес-процессов отражает
структуру операционной системы бизнеса (см. Рис. 2). Операционная система
классифицирует бизнес-процессы организации на основные (выполняемые в
перерабатывающей подсистеме операционной системы или главной операционной
функции), обеспечивающие или вспомогательные (выполняемые в обеспечивающей подсистеме)
и управляющие (выполняемые в управляющей подсистеме операционной системы
бизнеса) (табл. 1). Содержание этих групп бизнес-процессов соответствует
содержанию деятельности в соответствующих подсистемах операционной системы.
Таблица 1. Классификация бизнес-процессов
по подсистемам операционной системы организации
Главная операционная функция одной
организации в другой организации может быть отнесена к обеспечивающей
подсистеме операционной системы. Например, промышленное предприятие может
рассматривать в качестве главной операционной функции производство продукции.
Тогда сбыт продукции будет входить в обеспечивающую подсистему. Другой вариант:
главная операционная функция предприятия - продажа продукции. В этом случае
производство станет частью обеспечивающей подсистемы. Выбор главной
операционной функции основывается на стратегическом видении ключевой
компетенции организации и возможности усиления ее конкурентоспособности на
рынке.
Видение операционной системы бизнеса
позволяет поставить вопрос о необходимости развития процессного подхода к
управлению организацией.
.3 Функциональный и процессный подходы к управлению
Традиционно деятельность организации рассматривают через организационную структуру управления организацией. Соответствующий функциональный подход к управлению заключается в том, что деятельность организации представляется в виде набора функций, закрепленных за функциональными подразделениями. Для выполнения тех или иных бизнес-процессов в организации требуется отработать механизм реализации зафиксированных
за подразделениями функций.
Механизм
реализации функций нацеливает функциональные подразделения на выполнение своих
локальных целей, между которыми могут быть объективные противоречия. Персонал
концентрирует свое внимание в рамках отдельных структур. Возможно смещение
главных и обеспечивающих операционных функций и снижение эффективности
деятельности.
Основными
недостатками функционального подхода к управлению организацией, вытекающими из
отсутствия нацеленности на конечный результат, признаны высокие накладные
расходы, длительные сроки выработки управленческих решений, риск потери
клиентов.
Процессный
подход к управлению игнорирует организационную структуру управления
организацией со свойственным ей закреплением функций за отдельными
подразделениями. При процессном подходе организация воспринимается
руководителями и сотрудниками как деятельность, состоящая из бизнес-процессов,
нацеленных на получение конечного результата. Организация воспринимается как сеть
бизнес-процессов, представляющая собой совокупность взаимосвязанных и
взаимодействующих бизнес-процессов, включающих все функции, выполняемые в
подразделениях организации. В то время как функциональная структура бизнеса
определяет возможности предприятия, устанавливая, что следует делать,
процессная структура (в операционной системе бизнеса) описывает конкретную
технологию выполнения поставленных целей и задач, отвечая на вопрос, как это
следует делать.
а.
Принципы процессного подхода к управлению
Процессный
подход основан на следующих принципах:
.
Деятельность компании рассматривается как совокупность бизнес-процессов.
.
Выполнение бизнес-процессов подлежит обязательной регламентации или формальному
описанию.
.
У каждого бизнес-процесса есть внутренний или внешний клиент и владелец (лицо,
отвечающее за результат бизнес-процесса).
.
Каждый бизнес-процесс характеризуется ключевыми показателями, описывающими его
исполнение, результат или влияние на итог деятельности организации в целом.
Принципы
процессного подхода к управлению определяют основные правила, руководствуясь
которыми можно организовать эффективное функционирование бизнеса, нацеленное на
конечный результат. Первый принцип определяет видение деятельности компании как
совокупности бизнес-процессов. Именно он определяет новую культуру восприятия
организации при процессном подходе.
Второй
принцип процессного подхода, требующий обязательной регламентации
бизнес-процессов, опирается на то, что регламент - это документ, описывающий
последовательность операций, ответственность, порядок взаимодействия
исполнителей, порядок принятия решений по улучшению бизнес-процесса.
Выделение
бизнес-процесса всегда связано с выявлением клиента или потребителя результата
процесса, имеющего для него определенную стоимость. Кроме клиента каждый
бизнес-процесс имеет владельца - должностное лицо, которое имеет в своем
распоряжении необходимые ресурсы, управляет ходом бизнес-процесса и несет
ответственность за результаты и эффективность бизнес-процесса. Владелец
бизнес-процесса является должностным лицом, формальным лидером, поэтому он
имеет необходимые полномочия, располагает требуемыми для реализации процесса
ресурсами, управляет ходом бизнес-процесса и несет ответственность за его
результат.
б.
Преимущества процессного подхода к управлению
При
обсуждении содержания процессного подхода к управлению очевидны его неоспоримые
преимущества по сравнению с функциональным подходом. К основным преимуществам
процессного подхода можно отнести:
а)
нацеленность на удовлетворение требований клиента;
б)
освобождение руководства от рутины оперативного управления;
в)
возможность выявления узких мест и резервов работы;
г)
создание эталонов последовательности действий персонала;
д)
появление возможности «тиражирования» бизнеса - открытия новых бизнес-площадок
на основе формализованных бизнес-процессов;
е)
реализация принципа постоянного совершенствования деятельности.
Эти
преимущества гарантируют высокую результативность деятельности организации,
управление которой имеет выраженный процессно-ориентированный характер.
Процессно-ориентированное
управление позволяет качественно изменить деятельность организации на
операционном, межфункциональном и межорганизационном уровнях ее интеграции.
Функциональная интеграция перестает быть при этом источником сложно разрешаемых
межфункциональных конфликтов. Операционный уровень интеграции получает новое
видение благодаря сети бизнес-процессов организации и позволяет:
а)
более эффективно разграничить полномочия и ответственность персонала;
б)
развить эффективную систему делегирования полномочий;
в)
обеспечить стандартизацию требований к исполнителям;
г)
минимизировать риск зависимости от отдельного исполнителя;
д)
снизить нагрузки руководителей;
е)
сократить издержки;
ж)
повысить эффективность управления персоналом;
з)
выявить источники сокращения издержек и времени на исполнение бизнес-процессов;
и)
снизить время принятия управленческих решений.
Как
следствие, повышается управляемость организации, снижаются влияние
человеческого фактора и себестоимость продукции и услуг. Все это приводит к
изменению качества самой организации и формированию процессно-ориентированной
организации, в которой весь коллектив является осознанным участником
непрерывного процесса деятельности, связанного с конечным результатом
производства продукции или оказания услуг.
Развитие
процессного подхода к управлению получило широкий резонанс. Как показывает
результат рейтинга Fortune1000, фактически все ведущие организации мира имеют
характер процессно-ориентированных организаций.
Исходя
из понимания того, какие бизнес-процессы выполняются в организации, можно
построить эффективную организационную структуру управления ими. В случае если
организационная структура сложилась традиционно, в анализе ее качества может
помочь операционная система бизнеса.
1.4 Политика интеграции операционных функций
При
выборе главной операционной функции организация может остановиться на своих
компетенциях, связанных с несколькими операционными функциями.
Политика
интеграции главных операционных функций, как и политика специализации на одной
из них (см. п. 1.2.5), имеет как преимущества, так и недостатки. К ее
неоспоримым преимуществам следует отнести:
)
централизованный контроль;
)
возможность повышения надежности системы;
)
снижение затрат на привлечение контрагентов и субподрядчиков.
Основной
недостаток политики интеграции операционных функций - опасность развития
громоздкой и малоэффективной с точки зрения управления организации. Это
является прежде всего следствием типичного для этого случая централизованного
контроля.
Снижение
затрат на привлечение контрагентов и субподрядчиков расширяет обеспечивающую
подсистему операционной системы, что, как и первое преимущество, приводит к
снижению управляемости организацией, распылению сил, их отвлечению от
операционной функции, связанной с основным результатом деятельности
организации.
1.5
Политика специализации на операционной функции
В
противовес недостаткам политики интеграции операционных функций имеются
серьезные преимущества специализации на одной сфере компетенции и передачи по
контракту иных операционных функций другим исполнителям. Фокусировка усилий
позволяет организации избежать рассеивания внимания на периферийные задачи и
пользоваться главной компетенцией своих контрагентов.
Политика
специализации на операционной функции исторически стала применяться позже, чем
политика интеграции операционных функций. Ее развитие привело к появлению
аутсорсинга в бизнесе. Теоретически все функции организации управляющей и
обеспечивающей подсистем операционной системы, за исключением главной
операционной (перерабатывающей подсистемы), могут быть переданы на сторону. При
принятии такого решения могут быть рассмотрены следующие факторы:
•
имеющиеся производственные мощности;
•
специальные знания и собственные компетенции;
•
развитие системы управления качеством в организации; характеристики спроса,
необходимые для выпуска продукции или оплаты услуг;
•
возможность экономии затрат.
Основные
преимущества политики специализации на главной операционной функции можно
сформулировать следующим образом:
)
сокращение усилий на выполнение периферийных задач;
)
привлечение контрагентов и субподрядчиков в сфере их главной компетенции;
)
повышение рациональности и эффективности руководства.
Эти
преимущества порождают риск, связанный с возможностью нарушения контрагентами
своих обязательств. Тем не менее именно политика специализации на операционной
функции является превалирующей в организациях - лидерах современного бизнеса.
2.
Практическая часть
.1
Производственный процесс и его организация
Длительность производственного процесса, то есть календарный
период времени, в течение которого выполняется производственный процесс,
называется производственным циклом. Основу производственного цикла составляет
технологический цикл, который в свою очередь состоит из операционных циклов.
Операционный цикл, т. е. продолжительность обработки партии деталей (мин) на
одной (данной) операции процесса равен:
(1),
где n - размер партии деталей, шт.;шт -
штучно-калькуляционная норма времени на операцию, мин;- число рабочих мест на
операции.
Сочетание во времени выполнения операционных циклов существенно
влияет на производственный цикл и определяет порядок передачи деталей (партий)
в процессе. Возможны 3 вида сочетания операционных циклов (видов движения
предметов труда по операциям процесса):
1. последовательный,
2. параллельный,
. параллельно-последовательный.
Последовательный вид движения, когда вся обрабатываемая
партия деталей полностью передается на последующую операцию после полного
окончания всех работ на предыдущей. При этом длительность технологического
процесса (мин) определяется суммой операционных циклов
(2),
где m - число операций в процессе.
Длительность производственного цикла (календарные дни) включает
дополнительно межоперационные перерывы (
) и время естественных процессов (
)
(3),
где S - число смен;- продолжительность смены, мин;- коэффициент
для перевода рабочих дней в календарные (при 252 рабочих днях в году f =252/365
= 0,69, при 260 днях - f = 260/365 = 0,71).
Параллельный вид движения, когда небольшие транспортные партии р
или отдельные штуки (р=1) деталей запускаются на последующую операцию сразу
после обработки их на предыдущей операции, независимо от всей партии. Полностью
загружена в этом случае наиболее трудоемкая операция с самым длительным
операционным циклом, менее трудоемкие имеют перерывы.
Длительность технологического цикла (мин) при параллельном виде
движения определяется:
(4),
где р- количество деталей в транспортной партии (пачке), шт;
(n-p)
- цикл операции с максимальной
продолжительностью, мин.
Длительность производственного цикла (календарные дни) примет вид
(5).
Параллельно-последовательный вид движения, при котором следующая
операция начинается до полного окончания работы на предыдущей операции и
осуществляется без перерывов в изготовлении партии деталей. При этом имеет место
частичное совмещение времени выполнения смежных операционных циклов. Передача
изготовляемых деталей с предыдущей на последующую операцию производится не
целыми партиями, а частями, транспортными партиями р(пачками) или поштучно
(р=1).
Длительность технологического цикла (мин) будет соответственно
меньше, чем при последовательном виде движения на величину совмещения
операционных циклов
(6),
где 
- сумма коротких операционных циклов из каждой пары смежных
операций.
Длительность производственного цикла (календарные дни) при
параллельно- последовательном виде движения примет вид:
(7)
2.2
Исходные данные для практического задания
А) одинаковая часть
n = 1000 шт. (количество изделий в партии)
m = 5 (количество технологических операций)
NPМi = 1 (количество рабочих
мест по i -ой операции)
tмо = 20 (среднее время на межоперационное
перемещение, мин.)
S = 2 (количество рабочих смен в сутки)
Tрс = 8 час (длительность рабочей смены, час.)
p = (размер передаточной партии, кратно n)
Тнр = 01.06.06. (время начала работ)
Б) переменная часть
Номер по списку - 31
Σ Σ(t/Nрм)i = № *10+30 = 31*10+30 = 340 (i - от
1 до 5)
в) Дополнительные обозначения:
ti - длительность операции;
К = 0,7 - коэффициент перевода рабочих дней в календарные;
(t/Nрм)max - наибольшая
продолжительность операции;- номер пары соседней операции (j от 1 до m-1);
(t/Nрм)jкор - короткая операция в j-ой
паре.
Тор - дата окончания работ.
2.3
Расчетная часть
) предварительные расчеты
Σ Σ(t/Nрм)i = № *10+30 = 31*10+30 = 340 (i - от
1 до 5)
Таблица 1
tшт,
мин
|
Nрм
|
Tшт/
Nрм
|
|
|
1
|
70
|
1
|
70
|
(Tшт/
Nрм) max
|
|
2
|
69
|
1
|
69
|
|
|
3
|
68
|
1
|
68
|
|
|
4
|
67
|
1
|
67
|
(Tшт/
Nрм) кор
|
|
5
|
66
|
1
|
66
|
(Tшт/
Nрм) кор
|
|
Всего
|
340
|
1
|
tΣ = 340
|
|
) рассчитываем производственные циклы для трех видов движения
предметов труда
А) последовательное движение предметов труда
Тцпосл =
1000*340 + (5-1)*20 = 340080 мин.
В рабочих днях:
Тцпосл =
[1/(60*S*Tpс)]Тцпосл (мин) = 340080/(60*2*8) = 354,3 дней
В календарных днях:
Тцпосл = 354,3/0,7 = 506 календарных дней
Б) параллельное движение предметов труда
р должно быть кратно n:
р = 1/5 n = 200 шт.
По таблице 1 (Tшт/ Nрм) max =
70 мин
Тогда:
Тцпар =
200*340 + (1000-200) * 70+ (5-1)*20 = 124080 мин.
В рабочих днях:
Тцпар =
[1/(60*S*Tpс)]Тцпар(мин) = 124080/(60*2*8) = 129,25 дней
В календарных днях:
Тцпар = 129,25/0,7 = 185 календарных дней
В) смешанное движение предметов труда
Самая короткая операция (Tшт/ Nрм) кор
= 66 мин.
Наиболее короткий операционный цикл из двух смежных операций
(по таблице 1) равен 133 мин.
+2 = 66+77 = 133 мин.
Тогда:
Тцсм =
1000*340 - (1000-200) 2* 133 + (5-1)*20 = 127280 мин.
В рабочих днях:
Тцсм =
[1/(60*S*Tpс)]Тцпар(мин) = 127280/(60*2*8) = 132,6 дней
В календарных днях:
Тцсм
= 132,6/0,7 = 190
календарных дня.
Сравним длительность
производственного цикла по видам движения (Таблица 2)
Таблица 2. Длительность производственного цикла по видам
движения
|
Длительность
производственного цикла
|
Тцпосл.
|
Тцпар.
|
Тцсм.
|
|
В минутах
|
340080
|
124080
|
127280
|
|
В днях
|
354,3
|
129,25
|
|
В календарных
днях
|
506
|
185
|
190
|
При параллельном виде движения обеспечивается самый короткий
производственный цикл.
Применение параллельного и смешанного видов движения
предметов труда дает возможность сократить продолжительность производственного
процесса.
. Оси координат для каждого вида движения
Таблица 3
|
№ операции
|
tшт,
мин
|
Время на
технологический цикл, мин
|
|
|
последовательное
|
параллельное
|
смешанное
|
|
1
|
70
|
70000
|
70000
|
70000
|
|
2
|
69
|
69000
|
69000
|
69000
|
|
3
|
68
|
68000
|
68000
|
68000
|
|
4
|
67
|
67000
|
67000
|
67000
|
|
5
|
66
|
66000
|
66000
|
66000
|
|
Всего
|
340
|
340000
|
124000
|
127200
|
Масштаб по горизонтальной оси:
А) для последовательного движения - 1: 20000
Б) для параллельного движения - 1: 6000
В) параллельно-последовательного - 1:6000
Рисунок 2.1. Оси ординат для последовательного вида движения
предметов труда
Рисунок 2.2. Оси ординат для параллельного и смешанного видов
движения
. Графики для каждого вида движения
А) Тцпосл = 1000*340 + (5-1)*20 = 340080 мин.
Таблица 4
|
№ операции
|
tшт,
мин
|
Время на
операцию, мин
|
tмо,
мин
|
Начало
операции, мин.
|
|
1
|
70
|
70000
|
|
0
|
|
2
|
69
|
69000
|
+20
|
70020
|
|
3
|
68000
|
+20
|
139040
|
|
4
|
67
|
67000
|
+20
|
207060
|
|
5
|
66
|
66000
|
+20
|
274080
|
|
Всего
|
340
|
340000
|
Окончание
|
340080
|
Рисунок 2.3. График движения предметов труда при
последовательном цикле
Б) Расчет параллельного вида движения
Длительность цикла = 124080 мин.
Партия 200 шт. р = 1/5 n
Таблица 5. Длительность партии
|
№ Операции
|
Партия 1
|
Партия 2
|
Партия 3
|
Партия 4
|
Партия 5
|
|
Тн
|
Тк
|
Тн
|
Тк
|
Тн
|
Тк
|
Тн
|
Тк
|
Тн
|
Тк
|
|
5 Тшт =
66
|
54880
|
68080
|
68080
|
81280
|
81280
|
94480
|
94480
|
107680
|
107680
|
120880
|
|
4 Тшт =
67
|
41460
|
54860
|
54860
|
68260
|
68260
|
81660
|
81660
|
95060
|
95060
|
108460
|
|
3 Тшт =
68
|
27840
|
41440
|
41440
|
55040
|
55040
|
68640
|
68640
|
82240
|
95840
|
|
2 Тшт =
69
|
14020
|
27820
|
27820
|
41620
|
41620
|
55420
|
55420
|
69220
|
69220
|
83020
|
|
1 Тшт =
70
|
0
|
14000
|
14000
|
28000
|
28000
|
42000
|
42000
|
56000
|
56000
|
70000
|
124080 - 120880 = 3200мин.
Так как каждая последующая операция короче предыдущей, то
наступает момент, когда детали с предыдущей операции будут запаздывать на
следующую.
На второй операции это начинается уже со 2 партии и достигает
к концу обработки запаздывание на 69220 - 70000= -780 мин.
Поэтому вторую операцию необходимо начать на 780 минут позже.
Запаздывание деталей со второй операции на третью начинаются
уже также со второй партии и к концу операции запаздывание составляет также 780
мин.: 82240- 83020 = - 780 мин.
То же самое происходит и на четвертой и на пятой операции.
Поэтому лучше рассчитывать данные графика с времени окончания
последней операции.
Рисунок 2.4. График параллельного вида движения
Б) Расчет параллельно-последовательного вида движения
Параллельно-последовательный вид движения, при котором
следующая операция начинается до полного окончания работы на предыдущей
операции и осуществляется без перерывов в изготовлении партии деталей. При этом
имеет место частичное совмещение времени выполнения смежных операционных
циклов. Передача изготовляемых деталей с предыдущей на последующую операцию
производится не целыми партиями, а частями, транспортными партиями р(пачками)
или поштучно (р=1).
Рассчитаем суммарное совмещение:
Тцсм =
1000*340 - (1000-200) 2* 133 + (5-1)*20 = 127280 мин.
(1000-200) 2* 133 =212800 мин.
Или:
- 127280 =212800 мин.
4. Дата окончания работ
Тор = Тнр + Тц
Дата начала работ 1 июня 2006 года
Таблица 6
|
Тцпосл.
|
Тцпар.
|
Тцсм.
|
|
Дата начала
работ
|
01.06.06
|
01.06.06
|
01.06.06
|
|
Длительность в
календарных днях
|
506
|
185
|
190
|
|
Дата окончания
работ
|
19.10.2007
|
02.12.2006
|
07.12.2006
|
5. Влияние факторов на время технологического цикла
А) фактор n
Таблица 7
|
n =
|
1000
|
800
|
600
|
400
|
200
|
|
1
|
3
|
4
|
5
|
6
|
|
Тцпосл
, мин
|
340080
|
272080
|
204080
|
136080
|
68080
|
|
Тцпар,
мин
|
124080
|
110080
|
96080
|
82080
|
-
|
|
Тцсм,
мин
|
127280
|
112480
|
97680
|
82880
|
|
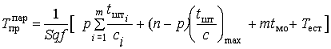
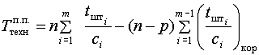
1) Тцпосл = 1000*340 + (5-1)*20 = 590080 мин.
заменяем на 800, 600, 400, 200
) Тцпар = 200*340 + (1000-200) * 70 + (5-1)*20 =
124080мин.
Тцпар =
200*340 + (800-200) * 70 + (5-1)*20 = 110080мин.
Тцпар =
200*340 + (600-200) * 70 + (5-1)*20 = 96080мин.
Тцпар =
200*340 + (400-200) * 70 + (5-1)*20 = 82080мин.
) Тцсм = 1000*340 - (1000-200) 2* 133 + (5-1)*20 = 127280
мин.
Тцсм =
800*340 - (800-200) 2* 133 + (5-1)*20 = 112480мин.
Тцсм =
600*340 - (600-200) 2* 133 + (5-1)*20 = 97680 мин.
Тцсм =
400*340 - (400-200) 2* 133 + (5-1)*20 = 82880 мин.
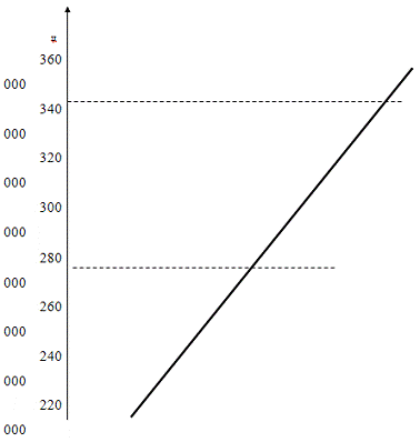
Рисунок 2.5 График зависимости Тц от n
Из графика 2.5. видно, что с увеличением количества изделий в
последовательном движении продолжительность Тц также вырастает.
Зависимость прямо пропорциональная. При параллельном и
смешанном движении при увеличении n линия на графике растет более медленно.
Т.е. n больше всего влияет на последовательное движение предметов труда и
меньше всего влияет на параллельное движение.
Б) влияние фактора р
1) Тцпар = 100*340 + (1000-100) * 70 + (5-1)*20 = 63080мин.
Тцпар =
250*340 + (1000-250) * 70 + (5-1)*20 = 137580мин.
) Тцсм = 1000*340 - (1000-200) 2* 133 + (5-1)*20 =127280
мин.
Тцсм =
1000*340 - (1000-250) 2* 133 + (5-1)*20 = 140580мин.
Тцсм =
1000*340 - (1000-100) 2* 133 + (5-1)*20 = 100680 мин.
Таблица 8
|
р =
|
100
|
200
|
250
|
|
1
|
2
|
3
|
4
|
|
Тцпар,
мин
|
63080
|
124080
|
137580
|
|
Тцсм,
мин
|
100680
|
127280
|
140580
|
Рисунок 2.7. График зависимости Тц от р
Данные расчетов (Таблица 8) и график (Рисунок 2.7)
показывают, что с увеличением размера партии увеличивается и продолжительность
производственного цикла Тц, как при параллельном, так и смешанном
движении. Следовательно, лучше обрабатывать более мелкими партиями.
В) определяем влияние продолжительности самой длинной
операции
Тцпар =
100*340 + (1000-200) * 70 + (5-1)*20 = 124080 мин.
Пусть (tшт/ Nрм) max = 70 /2
= 35 мин
Тцпар =
100*340 + (1000-200) * 35 + (5-1)*20 = 62080 мин.
Тогда длительность цикла сократиться на величину:
- 62080= 62000 мин
Рассмотрим вариант, когда при сокращении самой длинной
операции сократиться и суммарное штучное время: 340-35 = 305:
Δ Тцпосл = 340080 - 305080 = 35000 мин
2) Тцпар = 100*305 + (1000-200) * 35 + (5-1)*20 = 58580
мин.
Δ Тцпар = 124080- 58580 = 65500
мин.
Тцсм =
1000*305 - (1000-200) 2* 133 + (5-1)*20 = 92280 мин.
Δ Тцсм = 127280- 92280 = 35000
мин.
Таблица 9. Сравнение результатов влияния (tшт/ Nрм)
max на разные виды движения предметов труда
|
Движение
|
Тц, мин
Исходный вариант
|
Тц при
(tшт/ Nрм) max /2
|
Δ Тц
мин
|
|
Тцпосл
|
340080
|
305080
|
35000
|
|
Тцпар
|
124080
|
58580
|
65500
|
|
Тцсм
|
127280
|
92280
|
35000
|
Итак, наибольшее влияние на сокращение производственного
цикла при сокращении времени максимальной операции наблюдается при параллельном
движении.
Д) определим влияние фактора численности операций (m) на
продолжительность производственного процесса при параллельном движении, когда
операции синхронизированы, т.е. ťi = (ti /m).
) mопт =√ [(n-р)*tΣ] /tмо = √[(1000-200)*340/5] /20 = 11,7
если tмо/2 = 10, тогдаопт =√
[(n-р)*tΣ] /tмо = √(800*340/5)/10
= 23,3
если tмо/4 = 5, тогдаопт =√
[(n-р)*tΣ] /tмо = √(800*340/5)/5
= 46,6
Таблица 10. Влияние фактора численности операций (m) на
продолжительность производственного процесса при параллельном движении
|
tмо
|
20
|
10
|
5
|
|
mопт
|
11,7
|
23,3
|
46,6
|
Отсюда следует, что при сокращении числа операций, следует
увеличивать межоперационное время.
Список
использованной литературы
операционный политика управление организация
1.Губарь
С.Н. Организация производства. Учебно-методическое пособие для студентов
специальности Э.01.03.00 «Экономика и управление на предприятии». - Минск,
2004.
.Друкер
Питер. Ф. Задачи менеджмента в XXI веке. - М.: ИНФРА-М, 2000.
.Карминский
А.М., Оленев Н.И., Примак А.Г., Фалько С.Г. Контроллинг в бизнесе.
Методологические и практические основы построения контроллинга в организациях.
- М.: Финансы и статистика, 1998. - 256 с
.Мескон
М., Альберт М., Хедуори Ф. Основы менеджмента/ пер.с англ. //Общая редакция и
вступительная статья доктора экономических наук Л. И. Евенко - М.: «Дело»,
1997.
.Орлов
А.И. Менеджмент: Учебник. М.: Знание, 1999 - электронный учебник.
.Охезина
Г.М. Организация производственной деятельности. Методические указания к
проведению практических занятий для студентов экономических и технических
специальностей всех форм обучения. - Нижний Новгород, Нижегородский
государственный технический университет, 2002.
.Производственный
менеджмент. Учебник для вузов//Под ред. проф. Ильенковой С. Д.- М.: ЮНИТИ-ДАНА,
2000.
.Фолльмут
Х. Контроллинг от А до Я: Пер. с нем. - М.: Финансы и статистика, 1998.
.Хан
Д. Планирование и контроль: концепция контроллинга / Пер. с нем. - М.: Финансы
и статистика, 1997. - 800 с.