Структура инновационного менеджмента

  • Вид работы:
    Курсовая работа (т)
  • Предмет:
    Менеджмент
  • Язык:
    Русский
    ,
    Формат файла:
    MS Word
    562,19 Кб
  • Опубликовано:
    2012-05-10
Вы можете узнать стоимость помощи в написании студенческой работы.
Помощь в написании работы, которую точно примут!

Структура инновационного менеджмента

Содержание

ВВЕДЕНИЕ

РАЗДЕЛ 1. ТЕОРЕТИКО-МЕТОДОЛОГИЧЕСКИЕ ОСНОВЫ СИСТЕМЫ ИННОВАЦИОННОГО МЕНЕДЖМЕНТА

.1 Сущность инноваций и новшеств

.2 Классификация инноваций

РАЗДЕЛ 2. СТРУКТУРА И СОДЕРЖАНИЕ СИСТЕМЫ ИННОВАЦИОННОГО МЕНЕДЖМЕНТА ОРГАНИЗАЦИИ

.1 Сущность процесса управления инновационной деятельностью

.2 Оценка влияния размера предприятий на их инновационную деятельность

РАЗДЕЛ 3. СТРУКТУРА СИСТЕМЫ ИННОВАЦИОННОГО МЕНЕДЖМЕНТА НА ПРИМЕРЕ ПРЕДПРИЯТИЯ ООО “SNEHA”

.1 Организационно - экономическая характеристика предприятия

.2 Политика управления инновациями на предприятии ООО “SNEHA”

ЗАКЛЮЧЕНИЕ

СПИСОК ЛИТЕРАТУРЫ

ВВЕДЕНИЕ


Успех в разработке и внедрении инноваций напоминает составление пазла. Каждый из фрагментов по отдельности виден четко и ясно, но сложить целостную картину отнюдь не легко.

Руководитель компании должен понимать, как расположить отдельные фрагменты, подходящие друг к другу по форме и рисунку, чтобы создать единое целое и пробудить силу, стимулирующую тотальные инновации.

Самая трудная цель - систематически внедряя инновации, от проекта к проекту обеспечивать стабильно высокие результаты. Большинству компаний это оказывается не под силу.

Многим удается время от времени успешно внедрять отдельные инновационные разработки, но поддерживать постоянное внедрение инноваций и получать высокую отдачу от них очень трудно.

Подход к внедрению инноваций зависит от конкретной ситуации.

Актуальность

Инновации необходимы в любой экономической обстановке. Даже экономический спад необходимо использовать как отличный повод для пересмотра направлений инвестиций в инновационные разработки. Кризис побуждает искать новые возможности для роста.

Цель

Цель данной работы - сформулировать представления о структуре системы инновационной политики на конкретном предприятии ООО “SNEHA”

Задачи

1.      Раскрыть теоретико-методологические основы инноваций;

2.      Отразить структуру и содержание системы инновационного менеджмента;

.        На примере предприятия ООО “SNEHA” определить необходимость внедрение системы инновационного менеджмента

Новизна выбранной темы

Исследование направлено на систематизацию накопленных знаний по выбранной тематике. Результатом систематизации знаний по данной теме является детальный анализ структуры инновационного менеджмента на примере предприятия ООО “SNEHA”

Научное и практическое применение

Несмотря на продолжающийся в течение пяти последних лет рост экономики и промышленности, его "качество" не отвечает поставленным задачам.

Во-первых, складывающиеся темпы роста не обеспечивают удвоения внутреннего валового продукта (ВВП) в ближайшие десять лет.

Во-вторых, в структуре производства и экспорта преобладает продукция низкой степени передела, в основном топливно-сырьевых отраслей.

В-третьих, не удается достичь качественных сдвигов в повышении конкурентоспособности продукции большинства не сырьевых отраслей промышленности.

В настоящее время сфера научно-технической и инновационной деятельности в России характеризуется следующими основными показателями:

В 2010 г. разработку и освоение инноваций осуществляли около 10 % промышленных предприятий, причем только три отрасли демонстрируют показатели инновационной активности, превышающие среднюю по промышленности величину: металлургия (19,9 %), химическая промышленности (22,5%), машиностроение (18,4%).

В других отраслях инновационная активность значительно ниже. В электроэнергетике - 5,1 %, в лёгкой промышленности - 3,2 %, в деревообрабатывающей, целлюлозно-бумажной промышленности и полиграфии 4,5 %. Для сравнения в США средний показатель инновационной активности - около 30 %.

Наибольшую долю в затратах на инновации российских предприятий составляло приобретение машин и оборудования (62 %). В то же время на приобретение новых технологий расходовалось только 18,3 % всех средств, затрачиваемых на инновации. Из них на приобретение патентов и лицензий - 10,5 %. При этом, велика доля закупок иностранного устаревшего оборудования.

Такая тенденция усугубляет проблемы конкурентоспособности отраслей.

Структура работы

Работа состоит из трёх тематических разделов.

Первый раздел работы посвящён теоретико-методическим аспектам системы инновационного менеджмента. В разделе представлена классификация и сущность инноваций.

Второй раздел работы посвящён непосредственно самой структуре и содержанию системы инновационного менеджмента организации.

Третий раздел работы носит практический характер. В разделе проанализирована структура системы инновационного менеджмента на примере предприятия ООО “SNEHA”

 

РАЗДЕЛ 1. ТЕОРЕТИКО-МЕТОДОЛОГИЧЕСКИЕ ОСНОВЫ СИСТЕМЫ ИННОВАЦИОННОГО МЕНЕДЖМЕНТА

 

.1 Сущность инноваций и новшеств


В соответствии с Руководством Фраскати (документ принят ОЭСР в 1993 г. в итальянском городе Фраскати), инновация определяется как конечный результат инновационной деятельности, получивший воплощение в виде нового или усовершенствованного продукта, внедренного на рынке, нового или усовершенствованного технологического процесса, используемого в практической деятельности, либо в новом подходе к социальным услугам.

В словаре «Научно-технический прогресс» инновация (нововведение) означает результат творческой деятельности, направленной на разработку, создание и распространение новых видов изделий, технологий, внедрение новых организационных форм и т. д. П.Н. Завлин, А.К. Казанцев, Л.Э. Миндели и др., авторы справочного пособия «Инновационный менеджмент», считают, что инновация - использование в той или иной сфере общества результатов интеллектуальной (научно-технической) деятельности, направленных на совершенствование процесса деятельности или его результатов.

Установление конкретного круга аспектов, характеризующих сущность любого понятия, является исходным моментом для формулирования целей, структуры и объема дальнейших исследований. Поэтому автор данной курсовой работы уделяет такое внимание исследованию сущности базового понятия «инновация», которое должно отвечать ряду требований.

Во-первых, считаю целесообразным разграничить понятия «новшество» и «инновация». Новшество - оформленный результат фундаментальных, прикладных исследований, разработок или экспериментальных работ в какой-либо сфере деятельности по повышению ее эффективности.

Новшества могут оформляться в виде: открытий; изобретений; патентов; товарных знаков; рационализаторских предложений; документации на новый или усовершенствованный продукт, технологию, управленческий или производственный процесс; организационной, производственной или другой структуры; ноу-хау; понятий; научных подходов или принципов; документа (стандарта, рекомендаций, методики, инструкции и т. п.); результатов маркетинговых исследований и т. д. Вложение инвестиций в разработку новшества - половина дела.

Главное - внедрить новшество, превратить новшество в форму инновации, т. е. завершить инновационную деятельность и получить положительный результат, затем продолжить диффузию инновации.

Для разработки новшества необходимо провести маркетинговые исследования, НИОКР, организационно-технологическую подготовку производства, производство и оформить результаты.

Инновация - конечный результат внедрения новшества с целью изменения объекта управления и получения экономического, социального, экологического, научно-технического или другого вида эффекта.

Во-вторых, новшества могут разрабатываться как для собственных нужд (для внедрения в собственном производстве либо для накопления), так и для продажи. На «входе» фирмы как системы будут новшества их продавцов, которые могут сразу внедряться, переходя в форму инноваций, либо просто накапливаться, дожидаясь своего часа для внедрения. На «выходе» фирмы будут только новшества как товары.

В-третьих, неправомерно в понятие «инновация» включать разработку инновации, ее создание, внедрение и диффузию. Эти этапы относятся к инновационной деятельности как процессу, результатом которого могут быть новшества или инновации.

Схема превращения новшеств в инновации и основную продукцию фирмы показана на рис. 1.1.

Рис. 1.1. Схема превращения новшеств в инновации и основную продукцию фирмы

Условные обозначения:

НП - новшества покупные; НПН - новшества покупные для накопления;

НПП - то же на продажу; НПИ - то же в инновации; НСИ - новшества собственного производства (разработки), реализуемые в инновациях; НСП - то же на продажу; НСН - то же для накопления; ИПН - инновации покупных новшеств; ИСН - инновации собственных новшеств; ОП - основная продукция фирмы.

Новшества могут быть покупными или собственной разработки, предназначенными для накопления, продажи или внедрения в выпускаемую фирмой продукцию (выполняемую услугу), т. е. превращения в форму инновации.

На современном этапе технологической революции фирмы стремятся увеличивать удельный вес новшеств, реализованных в инновациях, что позволяет им повышать уровень монополизма в данной сфере и диктовать покупателям и конкурентам свою политику.

Благосостояние общества определяется не массой факторов производства и не объемом инвестиций, а эффективностью инновационной деятельности, дающей конечный положительный результат.

Новшества могут разрабатываться по любой проблеме на любой стадии жизненного цикла товара (НИОКР и т. д.).

Процесс, по стратегическому маркетингу, НИОКР, организационно-технологической подготовке производства, производству и оформлению новшеств, их внедрению (или превращению в инновацию) и распространению в другие сферы (диффузия) называется инновационной деятельностью.

Можно выделить следующие структурные источники экономического развития страны:

) развитие на основе факторов производства;

) развитие на основе инвестиций;

) развитие на основе инновационной деятельности.

Каждая страна одновременно использует все источники развития.

Благосостояние общества определяется не массой факторов производства и не объемом инвестиций, а эффективностью инновационной деятельности, дающей конечный положительный результат.

Новшества могут разрабатываться по любой проблеме на любой стадии жизненного цикла товара (стратегический маркетинг, НИОКР и т. д.).

Конкурентоспособность и эффективность экономики определяются структурой источников. Если для функционирования и развития народного хозяйства страны, приобретения потребительских товаров используется в основном валюта от экспорта природных ресурсов, то уровень экономического развития такой страны будет низким.

Направление развития на основе инвестиций характеризуется вложениями капитала не в повышение конкурентоспособности отдельных отраслей страны, а в их простое воспроизводство. В российской экономике в настоящее время инвестиций не хватает даже на простое воспроизводство, вследствие этого растет удельный вес изношенных основных фондов, повышается их аварийность.

Экономическая политика страны, ориентированная на международные кредиты, бесперспективна, так как кредиты надо возвращать, и с большими процентами.

Приоритет должен быть отдан не развитию страны на основе факторов производства и инвестиций, а развитию на основе активизации инновационной деятельности в области базовых наукоемких отраслей народного хозяйства, являющихся двигателями развития экономики.

Факторы производства и инвестиции являются средствами научно обоснованной инновационной деятельности, а не ее целью.

По приблизительной оценке, экономики развитых стран в конце XX-начале XXI вв. будут иметь тенденции развития, указанные в табл. 1.1.

Таблица 1.1. Тенденции в экономике в конце XX-начале XXI вв.

Xарактеристика

Конец XX в.

Начало XXI в.

1. Стратегия развития общества

Технократизм, накопление капитала в различных формах, повышение качества жизни

Полицентризм, антроцентризм, вложение средств в развитие интеллекта

2. Идеология

Роль и место личности определены системой

Раскрепощение человеческих возможностей, гуманитаризм, гармоничное развитие личности

3. Приоритеты

Государственного регулирования экономики.

Повышение конкурентоспособности страны, развитие инновационной деятельности

4. Информационные технологии

На основе микроэлектроники, спутниковой связи, Интернет

На основе: новых носителей информации DVD; трехмерной оптико-электронной памяти, Интернет-2

5. Жизненный и воспроизводственный циклы товара

2-5 лет (по компьютерам - 1 год)

Сокращение до двух раз

6. Тип конкуренции

Приоритет чистой конкуренции

Развитие гиперконкуренции

7. Технологии производства

Преимущественно дискретные процессы на основе ГПС и т. п.

Непрерывные процессы на основе микроэлектроники, биотехнологии, генной инженерии с использованием экстремальных условий в замкнутых безотходных циклах автоматизированного производства


1.2 Классификация инноваций


В литературе рассмотрен ряд классификаций. Рассмотрим некоторые из них. Коллектив ученых под руководством С.Д. Ильенковой предлагает следующую классификацию инноваций в зависимости от технологических параметров:

) по новизне:

ü  новые для отрасли в мире;

ü  новые для отрасли в стране;

ü  новые для предприятия;

) по месту на предприятии:

ü  инновации на входе;

ü  инновации на выходе;

ü  инновации системной структуры;

 3) от глубины вносимых изменений:

ü  радикальные (базовые);

ü  улучшающие;

ü  модификационные;

4) по сфере деятельности

ü  технологические;

ü  производственные;

ü  экономические;

ü  торговые;

ü  социальные;

ü  в области управления

Таблица.1.2.Классификация новшеств и инноваций

Признак классификации

Виды инноваций

1. Уровень новизны инновации

1.1. Радикальные (внедрение открытий, изобретений, патентов) 1.2. Ординарные (ноу-хау, рационализаторские предложения и т. д.)

2. Стадия жизненного цикла товара (ЖЦТ), на которой внедряется инновация или разрабатывается новшество

2.1. Инновации, внедряемые на стадии стратегического маркетинга 2.2.ТожеНИОКР 2.3. Организационно-технологическая подготовка производства 2.4. Производство (включая тактический маркетинг) 2.5. Сервис, осуществляемый изготовителем или специализированной организацией

3. Масштаб новизны инновации (новшества)

3.1. Инновации (новшества), новые в мировом масштабе (открытия, изобретения, патенты) 3.2. Новые в стране 3.3. Новые в отрасли

4. Отрасль народного хозяйства, где внедряется инновация

4.1. Новшества и инновации, созданные (внедренные) в сфере науки 4.2. То же в сфере образования 4.3. В социальной сфере (культура, искусство, здравоохранение и т. д.) 4.4. В материальном производстве (промышленность, строительство, сельское хозяйство и т. д.)

6. Частота применения инновации

6.1. Разовые 6.2. Повторяющиеся (диффузия)

7. Форма новшества - Основы инновации

7.1. Открытия, изобретения, патенты 7.2. Рационализаторские предложения 7.3. Ноу-хау 7.4. Товарные знаки, торговые марки, эмблемы 7.5. Новые документы, описывающие технологические, производственные, управленческие процессы, конструкции, структуры, методы и т. п.

8. Вид эффекта, полученного в результате внедрения инновации

8.1. Научно-технический 8.2. Социальный 8.3. Экологический 8.4. Экономический (коммерческий) 8.5. Интегральный

9. Подсистема Системы инновационного менеджмента

9.1. Подсистема научного сопровождения 9.2. Целевая подсистема 9.3. Обеспечивающая подсистема


Основными критериями классификации инноваций должны быть, на мой взгляд, следующие:

) комплексность набора учитываемых классификационных признаков для анализа и кодирования;

) возможность количественного (качественного) определения критерия;

) научная новизна и практическая ценность предлагаемого признака классификации.

Более подробно, классификация новшеств и инноваций приведена в табл.1.2.

Приведенная классификация охватывает, на мой взгляд, все аспекты инновационной деятельности.

Выводы

Новшество - оформленный результат фундаментальных, прикладных исследований, разработок или экспериментальных работ в какой-либо сфере деятельности по повышению ее эффективности.

Новшества могут оформляться в виде: открытий; изобретений; патентов; товарных знаков; рационализаторских предложений; документации на новый или усовершенствованный продукт, технологию, управленческий или производственный процесс; организационной, производственной или другой структуры; ноу-хау; понятий; научных подходов или принципов; документа (стандарта, рекомендаций, методики, инструкции и т. п.); результатов маркетинговых исследований и т. д. Вложение инвестиций в разработку новшества - половина дела.

Главное - внедрить новшество, превратить новшество в форму инновации, т. е. завершить инновационную деятельность и получить положительный результат, затем продолжить диффузию инновации.

Для разработки новшества необходимо провести маркетинговые исследования, НИОКР, организационно-технологическую подготовку производства, производство и оформить результаты.

Инновация - конечный результат внедрения новшества с целью изменения объекта управления и получения экономического, социального, экологического, научно-технического или другого вида эффекта.

РАЗДЕЛ 2. СТРУКТУРА И СОДЕРЖАНИЕ СИСТЕМЫ ИННОВАЦИОННОГО МЕНЕДЖМЕНТА ОРГАНИЗАЦИИ

 

.1 Сущность процесса управления инновационной деятельностью


Для организации процесса управления инновационной деятельностью необходимо четко сформулировать цель управления (реализация идеи, решение проблемы и т. д.), оценить свои возможности, сильные и слабые стороны, методы управления, разработать организационную и производственную структуры и решить ряд других вопросов.

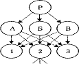
На мой взгляд, главным из них является построение структуры системы инновационного менеджмента, которая представлена на рис. 2.1.

Рассмотрим содержание компонентов системы.

«Выход» системы

Анализ системы начинается с ее «выхода» - выпускаемых фирмой товаров (продукции, услуг, новшеств и т. п.).

Главное требование к «выходу» - обеспечение конкурентоспособности товаров на внешнем (внутреннем) рынке и достижение за счет этого прибыльности функционирования фирмы.

Рис.2.1.Структура инновационного менеджмента

Условные обозначения:

.1 - экономические законы и законы организации; 1.2 - научные подходы и принципы менеджмента; 1.3 - методы менеджмента; 2.1 - формирование портфеля новшеств; 2.2 - формирование портфеля инноваций; 3.1 - правовое обеспечение; 3.2 - методическое обеспечение; 3.3 - ресурсное обеспечение;

.4 - информационное обеспечение; 4.1 - стратегический маркетинг; 4.2- НИОКР по новшествам и инновациям; 4.3 - организационно технологическая подготовка производства новшеств и внедрения инноваций; 4.4 - производство новшеств; 4.5 - сервис инноваций; 5.1 - управление персоналом; 5.2 - разработка управленческого решения; 5.3 - координация выполнения инновационных проектов.

Основным условием обеспечения потенциальной конкурентоспособности «выхода» системы является высокое качество стратегических маркетинговых исследований.

Затраты на последующих стадиях жизненного цикла товара растут высокими темпами.

Например, затраты на НИОКР в десятки раз больше затрат на стратегический маркетинг.

Приоритетной стратегией поведения фирм в условиях жесткой конкуренции должна стать стратегия повышения качества товаров и экономии ресурсов у их потребителей.

Логическая цепочка экономии следующая: повышение качества стратегического маркетинга; обеспечение конкурентоспособности выпускаемых объектов; снижение совокупных затрат за жизненный цикл объектов на единицу их полезного эффекта (отдачи) за счет повышения качества и экономии эксплуатационных затрат.

Отсюда вывод: для повышения качества «выхода» системы необходимо сначала повышать качество стратегического маркетинга, обоснованность нормативов конкурентоспособности будущих товаров.

«Вход» системы

К «входу» системы относится все, что получает фирма для производства товаров: сырье, материалы, комплектующие изделия, энергия, информация, новое оборудование, кадры, документы.

Задача органов управления сводится к обеспечению конкурентоспособного «входа» путем проведения маркетинговых исследований и отбора наиболее конкурентоспособных поставщиков.

Если «вход» будет неконкурентоспособным, то система не может обеспечить конкурентоспособность «выхода».

Обратная связь

К компонентам «обратной связи» системы менеджмента относятся требования, рекламации клиентов, новая информация потребителей товаров фирмы, возникшие в связи с неудовлетворительным качеством товаров, новыми достижениями научно-технического прогресса, инновациями и другими факторами.

Потребители могут иметь обратную связь как с фирмой - поставщиком основного товара, так и с поставщиками («входом») фирмы.

Внешняя среда системы

К компонентам внешней среды фирмы относятся макросреда, инфраструктура и микросреда, оказывающие прямое или косвенное влияние на конкурентоспособность, эффективность и устойчивость работы фирмы.

Макросреда характеризуется международными, политическими, экономическими, социально-демографическими, правовыми, экологическими, природно-климатическими, научно-техническими, культурными факторами.

Некоторые факторы макросреды оказываю прямое влияние на функционирование фирмы (например, налоговая, таможенная, финансово-кредитная системы страны), другие - косвенное (например, параметры технического развития, экосистемы, правовой системы и др.).

В принципе, чем выше конкурентоспособность страны, тем выше конкурентоспособных фирм.

Мезосфера (инфраструктура) региона характеризуется системой следующих его отраслей: рыночная инфраструктура региона; мониторинг окружающей природной среды; здравоохранение; наука и образование; культура; торговля; общественное питание; транспорт и связь; промышленность; строительство; жилищно-коммунальное хозяйство; бытовое обслуживание населения; пригородное сельское хозяйство.

Некоторые отрасли региона оказывают прямое влияние на функционирование фирмы (налоговая система, законодательная система и др.), а другие - косвенное.

К факторам микросреды фирмы мы относим: непосредственных конкурентов фирмы по выпускаемым ею товарам; всех конкурентов поставщиков («входа»); маркетинговых посредников фирмы по «входу» и «выходу» системы; контактные аудитории (общество потребителей, контролирующие органы, профсоюзы, пресса и т. п.).

Чем выше конкуренция по «входу» и «выходу» системы, тем выше будет конкурентоспособность выпускаемых фирмой товаров.

Упрощенная схема влияния микросреды фирмы на ее функционирование показана на рис.2.2.

Из схемы видно, что из внешней среды на фирму «давят» контактные аудитории.

Конкуренты поставщиков фирмы «выталкивают» из данного сегмента непосредственных поставщиков, с которыми фирма заключила контракты, и они относятся в данный момент к ее «входу».

Рис.2.2. Влияние микросреды фирмы на её функционирование

Конкуренты фирмы по выпускаемым ею товарам тоже «выталкивают» ее из данных сегментов, т. е. оказывают сопротивление (поэтому стрелки направлены против хода).

Маркетинговые посредники но «входу» и «выходу» фирмы оказывают ей содействие (помогают) в реализации поставленных целей.

«Выход», «вход» обратная связь и внешняя среда относятся к окружению фирмы.

К внутренней среде фирмы относятся подсистемы научного сопровождения, целевая, обеспечивающая, управляемая и управляющая, которые в совокупности составляют систему инновационного менеджмента (см. рис. 2.1).

Подсистема научного сопровождения состоит из следующих компонентов: экономические законы и законы организации, научные подходы к инновационному менеджменту, функции и методы менеджмента.

К научным подходам к менеджменту относятся: системный, маркетинговый, функциональный, воспроизводственный, нормативный, комплексный, интеграционный, динамический, процессный, количественный, административный, поведенческий, ситуационный и др.

К функциям менеджмента относятся следующие: стратегический маркетинг, планирование, организация процессов, учет и контроль, мотивация, регулирование.

Глубина проработки проблем инновационного менеджмента и обоснованность управленческого решения определяются количеством и качеством применяемых научных подходов, принципов и методов менеджмента.

Чем проще процесс разработки и реализации управленческого решения, тем выше неопределенность (поле допуска) его результатов.

Поэтому объективные законы конкуренции и экономии времени требуют увеличения затрат на повышение качества стратегических решений на ранних стадиях жизненного цикла товаров ради многократной экономии на последующих стадиях.

Ведущие фирмы мира («Сони», «Самсунг», «Электролюкс», и др.) в настоящее время идут по пути повышения конкурентоспособности принимаемых решений, документов, товаров, увеличения затрат на стратегический маркетинг, инновации, НИОКР.

Целевая подсистема системы инновационного менеджмента состоит из двух компонентов: формирование портфеля новшеств; формирование портфеля инноваций.

Портфель новшеств должен наполняться преимущественно своими наукоемкими разработками, изобретениями, патентами, эффективными ноу-хау и другими радикальными новшествами.

Новшества могут быть, с одной стороны, как покупными, так и собственной разработки, с другой - накапливаться в собственном фонде, внедряться (т. е. переходить в инновацию) в собственном производстве, либо продаваться.

Портфель инноваций представляет собой стратегический план внедрения новшеств покупных и собственной разработки. Обоснованность параметров целевой подсистемы определяет эффективность дальнейшего функционирования фирмы.

После анализа окружения фирмы и формирования целевой подсистемы определяются параметры обеспечивающей подсистемы, т. е. количество, качество, сроки поставок, поставщики сырья, материалов, комплектующих изделий и т. п., необходимые для решения задач целевой подсистемы.

Для достижения конкурентоспособного «выхода» системы необходимо найти конкурентоспособных поставщиков ее «входа».

На основе неконкурентоспособных компонентов «входа» при любом уровне техники, технологии и организации процессов невозможно произвести конкурентоспособный товар.

Управляемая подсистема системы инновационного менеджмента состоит из конкретных компонентов по созданию новшеств и внедрению инноваций по стадиям их жизненного цикла: стратегический маркетинг; НИОКР; организационно-технологическая подготовка производства новшеств и внедрения инноваций; производство новшеств; сервис инноваций.

Последняя, управляющая подсистема, является важнейшей, так как эта подсистема несет ответственность за все происходящее в системе менеджмента. Компонентами подсистемы являются управление персоналом, разработка управленческого решения, координация выполнения инновационных проектов.

Эти компоненты определяют качество всех остальных подсистем системы инновационного менеджмента.

Структура инновационной организации представляет собой сочетание производственной и организационной структур.

Производственная структура организации - совокупность основных, вспомогательных и обслуживающих подразделений организации, обеспечивающих переработку «входа» системы в ее «выход» -готовый продукт, новшество и т. п.

Организационная структура - совокупность отделов и служб, занимающихся построением и координацией функционирования системы инновационного менеджмента, разработкой и реализацией управленческих решений по выполнению бизнес-плана, инновационного проекта.

Характер построения подразделений, их количество определяются такими формами организации производства, как специализация, концентрация, кооперирование, комбинирование.

В зависимости от формы специализации производственные подразделения предприятия организуют по технологическому (выполнение отдельной операции или вида работ), предметному (изготовление отдельного вида продукции или ее составной части) и смешанному (предметно-технологическому) принципу.

Основными факторами, определяющими тип, сложность и иерархичность (количество уровней управления) организационной структуры предприятия, являются: масштаб производства и объем продаж; номенклатура выпускаемой продукции; сложность и уровень унификации продукции; уровень специализации, концентрации, комбинирования и кооперирования производства; степень развития инфраструктуры региона; международная интегрированность предприятия (фирмы, организации) и др.

Структура И.О. в зависимости от рассмотренных факторов может быть линейной, функциональной, линейно-функциональной, матричной (штабной), бригадной, дивизиональной либо проблемно-целевой.

Первые шесть типов структур рассмотрены в табл. 2.1.

Таблица 2.1. Типы структуры организации

Тип структуры

Особенности структуры

Линейная Планирование работы и контроль их выполнения осуществляется по вертикали от руководителя (нулевой уровень) к производственным подразделениям (1,2,3 и т. д.), выполняющим управленческие функции

Функциональная Планирование работ и контроль их выполнения осуществляются функциональными подразделениями (А, Б, В и т. д.). Работы выполняются производственными подразделениями (1, 2, 3) по каждой функции

Линейно - функциональная Планирование работ осуществляют Функциональные подразделения (А, Б, В), выполняют работы производственные подразделения (1,2,3). Все подчиняются руководителю

Матричная (штабная) К линейно-функциональной структуре добавляются генеральные конструкторы или менеджеры по проектам (1,11,1П и т. д.), которые отвечают за конкурентоспособность объектов. Точки в пересечениях линий показывают открытость любых связей по вертикали и горизонтали

Бригадная На предприятии (в организации) формируются комплексные бригады из 10-15 человек, куда входят конструкторы, технологи, экономисты, рабочие и другие для выполнения отдельных работ и изготовления составных частей продукции

Дивизионная Этот тип структуры приемлем для многономенклатурных концернов, подразделяющихся на производства (дивизионы) по типам продукции. Функциональные подразделения имеются как у производств, так и у концерна в целом (АК, БК, В К и т. д.)

 


Проблемно-целевая структура предлагается впервые, поэтому она рассмотрена отдельно.

Каждый из перечисленных типов структур имеет свои недостатки и преимущества. Для выбора (проектирования) конкретной структуры конкретного предприятия (организации) необходимо выполнить глубокий анализ факторов, влияющих на структуру, которые были рассмотрены в начале данного вопроса.

К факторам дальнейшего развития структуры предприятия относятся следующие:

ü  развитие специализации и кооперирования производства;

ü  автоматизацию управления;

ü  применение к проектированию структуры и к функционированию системы менеджмента совокупности научных подходов;

ü  соблюдение принципов рациональной организации производственных процессов (пропорциональность, прямо точность и др.);

Основные принципы формирования проблемно-целевой структуры предприятия:

1)      целевой подход, т. е. формирование структуры на основе дерева целей предприятия;

2)      комплексность в определении количества заместителей руководителя предприятия (1-й уровень дерева целей);

)        ориентация на проблемы, т. е. формирование подразделений для решения конкретной проблемы или выполнения конкретных функций в целом по предприятию (2-й уровень дерева целей);

)        ориентация на конкретные товары или рынки при построении структур подразделений по отдельным товарам или рынкам, формирование финансового плана предприятия (на 3-м уровне дерева целей);

Рассмотрим проблемно-целевую структуру предприятия на рис.2.3.

Рис.2.3.Проблемно - целевая структура предприятия

Условные обозначения:

А - направление формирования заданий (для всех подцелей);

Б - направление выполнения заданий;

МТ - маркетологи или менеджеры по конкретным товарам - координаторы решения проблем по достижению их конкурентоспособности; I, II, III - уровни иерархии

На втором уровне структуры, представленной на рис. 2.3 могут быть следующие отделы и цехи: 1.1 - исследования и сегментации рынка; 1.2 - формирования стратегии фирмы; 1.3 - рекламы; 1.4 -стимулирования продвижения товара; 2.1 - научных исследований 2.2 - главного конструктора; 2.3 - главного технолога; 2.4 - главного механика; 2.5 - главного энергетика; 2.6 - организационно-технического развития производства; 3.1 - плановый; 3.2 - финансовый; 3.3 -ресурсосбережения; 3.4 - организации труда и заработной платы; 4.1- материально-технического обеспечения производства; 4.2 -складское хозяйство; 4.3 - транспортное хозяйство; 4.4 - оперативного управления производством; 4.5 - сбыта продукции; 4.6 - производственные цеха; 5.1 - управления персоналом; 5.2 - социального развития коллектива; 5.3 - техники безопасности; 5.4 - охраны окружающей природной среды.

На третьем уровне структуры создаются при необходимости бюро или группы в отделах по отдельным проблемам, функциям, товарам или рынкам.

Например, в отделе 1.1 можно создать соответствующие бюро или группы по отдельным товарам или рынкам (в зависимости от номенклатуры товаров и размеров рынков).

Отделу 1.2 можно поручить выполнение следующих вопросов: изучение конкурентных преимуществ предприятия; изучение конкурентоспособности товаров конкурентов; изучение механизма действия закона конкуренции по различным товарам; прогнозирование нормативов конкурентоспособности товаров и предприятия; разработку и контроль реализации стратегии предприятия; политику цен; политику ресурсосбережения; техническая политика. По аналогии формируются и другие отделы.

Количество отделов, цехов и других подразделений, их структура и численность зависят от объема продаж, номенклатуры, сложности и масштаба выпускаемой продукции, уровня специализации, кооперирования, концентрации, комбинирования производства и других факторов.

Минимальная численность управленческого аппарата предприятия -4 человека: первый руководитель, главный бухгалтер, технический директор и коммерческий директор.

Максимальное количество отделов крупной компании может достигать 30 с общей численностью управленческого персонала до 500 человек (кроме персонала цехов).

Предлагаемая проблемно-целевая структура управления, впитывает в себя все преимущества ранее рассмотренные структур и одновременно не имеет очевидных недостатков.

Проблемно-целевая структура обеспечивает глубокую специализацию работников, выполняющих конкретную цель (задачу, задание) дерева целей, состыкована со структурой системы менеджмента, проста в построении и функционировании, имеет орган, координирующий решение проблем по достижению конкурентоспособности товаров, адаптивна к изменениям.

Таким образом, структура определяется: количеством и глубиной соблюдаемых принципов и требований к формированию; структурой дерева целей; содержанием положений об отделах и должностных инструкций.

 

2.2 Оценка влияния размера предприятий на их инновационную деятельность


Исходя из опыта экономически развитых стран, можно с уверенностью сказать, что внедрение достижений научной мысли в сферу практического использования осуществляется разнонаправленными усилиями множества предприятий и фирм.

Причем роль промышленного предприятия в реализации инновационных процессов в зависимости от его размеров, далеко не однозначна.

В экономической литературе наиболее пристальное внимание вопросу выявления влияния размера промышленного предприятия на его способность проводить инновационную деятельность уделяют в основном зарубежные авторы.

Причиной повышенного интереса к этой проблеме является возрастание роли малого бизнеса как в исследовательской деятельности, так и в сфере последующего использования результатов научных изысканий в практической деятельности.

Существует большой объем статистических данных (проводимых зарубежными авторами), подтверждающих не только высокую эффективность малого бизнеса в сфере поиска практического использования научных знаний, но, прежде всего, это примеры превращения малых предприятий в промышленные гиганты, на базе использования радикальных нововведений.

В отечественной экономике актуальность проблемы развития малого бизнеса, направленного на ускорение научно-технического прогресса, очевидна.

В этой связи, необходимо проанализировать влияние различного размера промышленных предприятий на проводимую инновационную деятельность, определить роль и место каждой из групп предприятий.

В группе предприятий, среднесписочная численность работников которых от 500 до 999 человек, наблюдается снижение абсолютных объемов внедрения научно-технических инноваций в среднем на 5 единиц в год.

Причем данное снижение объемов внедрения достигается за счет среднегодового снижения объемов внедрения продукт-инноваций на 3 единицы и за счет снижения внедрения технологических инноваций в среднем на 1 единицу в год.

Среднегодовой темп снижения общего объема внедрения на предприятиях данной группы составил 12,4%, при соответствующем темпе снижения инноваций в форме продукта в среднем на 14,5%, в общем ежегодном объеме внедрения, а процесс-инноваций на 15,5%. Вместе с тем наметилась тенденция снижения инновационной активности, что подтверждается уменьшением числа предприятий, осуществляющих внедрение нововведений.

На крупных предприятиях со среднесписочной численностью работающих свыше 1000 человек, просматривается резкий спад абсолютных объемов внедрения в среднем на 16 инноваций в год. Очевидно, что данное положение сложилось главным образом за счет снижения внедрения продуктовых инноваций, которое составляет в среднем ежегодно 13 единиц, так как среднее абсолютное снижение технологических инноваций составило за тот же период 3 инновации в год.

Вместе с тем необходимо отметить, что снижение технологических инноваций произошло в 1995-1997 годах.

С 1998 года происходит рост этих инноваций в среднем на 10 инноваций в год, что свидетельствует о значительной технологической перестройке крупных машиностроительных предприятий.

Средний темп снижения объемов внедрения продукт-инноваций это группы предприятий составил за указанный период 15,5%, а процесс-инноваций - 7,1%.

Структура инновационной деятельности машиностроительных предприятий Нижегородской области, представленная в табл. 2.2., позволяет получить более полное представление о роли той или иной группы предприятий в зависимости от их размера, в инновационной деятельности, связанной с внедрением технических инноваций, осуществленной в рассмотренный отрезок времени.

Статистические данные нижеприведенной табл. 2.2., свидетельствуют о том, что на предприятиях, среднесписочная численность которых менее 499 человек, характерно повышение их доли в ежегодном объеме внедрения инноваций в среднем на 3,5% в год.

При этом рост доли продукт-инноваций в их общем объеме составил 2,8%, а доли технологических инноваций в среднем составило 3,6% в год.

Учитывая тенденцию роста инновационной активности данной группы предприятий в общем ежегодном числе предприятий, осуществляющих инновационную деятельность в среднем на 3,5% в год, можно предположит, что на предприятиях данной группы инновационной деятельности придается большое значение, что вполне соответствует тенденции роли и места небольших предприятий в экономике страны.

Таблица 2.2. Структура научно-технических инноваций машиностроительных предприятий Нижегородской области в 2002-2009 годах.


Год

Всего внедрено инноваций

В том числе внедрено на предприятиях, среднесписочная численность которых:




До 499 чел

От 500 до 999 чел

Свыше 1000 чел



ед.

уд. вес, %

ед.

уд. вес, %

ед.

уд. вес, %

ед.

уд. вес, %

Всего внедрено новой или усовершенствованной продукции (работ, услуг) и технологических процессов


1321

100

421

31,9

143

10,8

757

57,3


2002

292

100

70

24,0

43

14,7

179

61,3


2003

222

100

65

29,3

20

9,0

137

61,7


2004

216

100

53

24,6

29

13,4

134

62,0


2005

202

100

64

31,7

20

9,3

118

58,4


2006

185

100

85

45,9

10

5,4

90

48,7


2007

100

84

41,2

21

10,3

99

48,5

В том числе: новой или усовершенствованной продукции (работ, услуг)


887

100

255

28,7

102

11,5

530

59,8


2002

198

100

52

26,3

31

15,6

115

58,1


2003

158

100

36

22,8

14

8,9

108

68,3


2004

171

100

39

22,8

23

13,5

109

63,7


2005

143

100

42

29,4

12

8,4

89

62,2


2006

110

100

43

39,1

7

6,4

60

54,5


2007

107

100

43

40,2

15

14,0

49

45,8

Новых или усовершенствованных технологических процессов


434

100

166

38,2

41

9,5

227

52,3


2002

94

100

23

24,2

12

12,8

59

62,8


2003

64

100

29

45,3

6

9,4

29

45,3


2004

45

100

14

31,1

6

13,3

25

55,6


2005

59

100

22

37,1

8

13,6

29

49,3


2006

75

100

37

49,3

3

4,0

35

46,7


2007

97

100

41

42,3

6

6,2

50

51,5

Всего: число предприятий, осуществляющих внедрение инноваций


264

100

100

37,9

38

14,4

126

47,7


2004

60

100

21

35,0

9

15,0

30

50,0


2005

48

100

16

33,3

7

14,6

25

52,1


2006

40

100

15

37,5

7

17,5

18

45,0


2007

38

100

16

42,1

5

13,2

17

44,7


2008

38

100

17

44,7

3

7,9

18

47,4


2009

40

100

15

37,5

7

17,5

18

45,0

новшество инновационный менеджмент

В средней группе предприятий, с числом занятых от 500 до 999 человек, прослеживается снижение их доли в ежегодном объеме технических инноваций в среднем на 0,9%.

Необходимо отметить, что темп снижения доли технологических нововведений составил 1,3% в их ежегодном объеме, а снижение доли продукт-инноваций в среднем составило 0,4% в их ежегодном объеме, что свидетельствует о некотором снижении роли этой группы предприятий в инновационной деятельности машиностроительных предприятий. стадиях инновационного процесса влияют не только индивидуальные особенности каждого конкретного предприятия, но его отраслевая и территориальная принадлежность, а с течением времени, под влиянием различных факторов, происходит изменение этих соотношений.

Именно эти изменения являются источником образования резервов повышения эффективности инновационной деятельности, так как каждое предприятие, осуществляющее инновационную деятельность, вынуждено вести постоянную работу по оптимизации соотношения затрат ресурсов и времени как между подразделениями, реализующими различные стадии инновационного процесса, так и между проектами по реализации различных инноваций.

Это положение обусловлено рядом объективных причин:

предприятия имеют ограниченный объем ресурсов для осуществления инновационной деятельности в течение определенных периодов времени;

внедрение нововведений во многом зависит от результативности проводимых на предприятии НИОКР, а также возможности привлечения необходимой га формации из внешней среды предприятия.

Последствия диспропорции между стадиями инновационного процесса в ходе осуществления инновационной деятельности, а также несбалансированность тех или иных работ на каждой стадии, чреваты в лучшем случае неэффективным использованием ресурсов.

Наиболее оптимальным будет такое соотношение между проводимыми предприятием НИОКР и использованием их результатов в деятельности предприятия, когда число разработанных изобретений, технических решении, идей будет соответствовать возможностям предприятия но их внедрению.

Говоря о возможности внедрения, имеется в виду использование как внутренних, так и внешних источников капиталовложений, таким образом, чтобы это было экономически выгодно для предприятия.

Между тем, в научной литературе при анализе резервов повышения эффективности деятельности промышленных предприятий вопросы использования резервов повышения эффективности инновационной деятельности не находят должного освещения.

Роль инновационной деятельности как решающего фактора повышения эффективности производства, обеспечения стабильного экономического роста постоянно возрастает и имеет в современных условиях для промышленных предприятий первостепенное значение.

В то же время экономическая эффективность инновационной деятельности во многом определяется своевременной и целенаправленной работой по выявлению и использованию резервов повышения эффективности инновационной деятельности и является составляющей частью повышения эффективности деятельности всего промышленного предприятия в целом.

Это позволяет определить место резервов повышения эффективности инновационной деятельности как важнейшего элемента системы внутрипроизводственных резервов промышленного предприятия.

Выводы

Структура инновационной организации представляет собой сочетание производственной и организационной структур.

Производственная структура организации - совокупность основных, вспомогательных и обслуживающих подразделений организации, обеспечивающих переработку «входа» системы в ее «выход» - готовый продукт, новшество и т. п.

Организационная структура - совокупность отделов и служб, занимающихся построением и координацией функционирования системы инновационного менеджмента, разработкой и реализацией управленческих решений по выполнению бизнес-плана, инновационного проекта.

Характер построения подразделений, их количество определяются такими формами организации производства, как специализация, концентрация, кооперирование, комбинирование.

 

РАЗДЕЛ 3. СТРУКТУРА СИСТЕМЫ ИННОВАЦИОННОГО МЕНЕДЖМЕНТА НА ПРИМЕРЕ ПРЕДПРИЯТИЯ ООО “SNEHA

 

.1 Организационно - экономическая характеристика предприятия


В курсовой работе показана организация и совершенствование структуры управления на основе хозяйственной деятельности ООО «SNEHA», учредителем которого являются физические лица.

Предприятие является юридическим лицом по действующему законодательству РФ, имеет самостоятельный баланс круглую печать, расчетные, валютный и др. банковские счета, а также штамп бланки со своим наименованием, собственную эмблему. ООО «SNEHA» осуществляет оптовую продажу осветительной техники.

ООО «SNEHA» располагается по адресу: г. Томск, ул. Ленина, 127А.

Предприятие оснащено различного вида транспортом, и другими механизмами. К объектам анализа относится техническая оснащенность предприятия, использование оборудования и механизмов по времени, местам и местам работы.

Предприятие создано в виде ООО, что отразилось на организационной структуре предприятия.

В своей повседневной деятельности предприятие неукоснительно руководствуется собственной нормативно-правовой документацией (внутренней и внешней).

Предприятие предлагает оптовым и розничным покупателям осветительное оборудование для жилых и общественных помещений, развлекательных заведений и летних площадок, для оформления фасадов зданий и прилегающих территорий.

Все операции с нормативно-правовой документацией производятся строго согласно требованиям и нормам организации документооборота.

Как правило, все новые документы такого характера составляются в соответствии с ранее принятыми.

Все операции, производимые в процессе деятельности общества, анализируются и сопоставляются с документами, регламентирующими им проведение (с планами, сметами, программами, приказами, распоряжениями и т.д.)

Благодаря согласованной работе всех служб предприятие имеет возможность грамотно и рационально вести документооборот на предприятии, что закономерно сказывается на эффективности использования документов, а так же на результативности коммерческой работы в целом.

Генеральный директор осуществляет оперативное руководство деятельностью ООО и наделяется в соответствии с законодательством РФ всеми необходимыми полномочиями для выполнения этой задачи.

Экономическая стабильность организации, её выживаемость и эффективность деятельности в условиях рыночных отношений неразрывно связаны с её непрерывным совершенствованием и развитием.

При этом совершенствование организации должно осуществляться по принципу адаптации к внешней среде.

Вертикаль управления на предприятии построена по схеме линейно - штабной организационной структуры.

Такой вид организационной структуры является развитием линейной и призван ликвидировать ее важнейший недостаток, связанный с отсутствием звеньев стратегического планирования.

Линейно - штабная структура включает в себя специализированные подразделения (штабы), которые не обладают правами принятия решений и руководства какими - либо нижестоящими подразделениями, а лишь помогают соответствующему руководителю в выполнении отдельных функций, прежде всего, функций стратегического планирования и анализа.

Рассмотрим основные должностные обязанности в рамках системы управления предприятия:

Отдел материально-технического снабжения производит оформление документов на реализацию готовой продукции, следит за соблюдением договорной дисциплины и выполнением плана отгрузки продукции.

Начальник отдела снабжения отвечает за управление процессами снабжения и сбыта.

В его подчинении находятся следующие отделы: отдел комплектации, отвечающий за комплектацию изделий покупными полуфабрикатами, транспортное управление, занимающееся организацией и осуществлением перевозок, отдел снабжения производит поставки материалов необходимых для производства, ему подчиняются базы и склады предприятия.

Финансово-экономический отдел руководит плановой работой на предприятии, разрабатывает план и контролирует его выполнение, организует внутрихозяйственный расчет, ведет статистический учет, определяет экономическую эффективность организационных и технических мероприятий, выдвигает перед руководством предприятия задачи по совершенствованию производства.

Главный экономист занимается регулированием отношений, обусловленных экономической средой. Ему подчиняются планово-экономический отдел, занимающийся текущим и перспективным планированием себестоимости изделий и определением цен на них, главный бухгалтер и подчиняющаяся ему бухгалтерия, проводящие учетную политику на предприятии, финансовый отдел, осуществляющий управление денежными потоками на предприятии.

Производственно технический отдел разрабатывает и внедряет прогрессивные технологические процессы, передовые формы организации производства и труда, оформляет необходимую техническую документацию.

Главный инженер управляет технической политикой на предприятии, у него имеется заместитель технического директора, занимающийся вопросами разработки, внедрения новой техники.

Начальник отдела кадров отвечает за кадровую и производственную политику на предприятии. Ему подчиняются отдел кадров, который отвечает за работу с кадрами предприятия и контактирует с лицеем 2, охрана предприятия, а также начальник управления производством, имеющий в подчинении начальников цехов.

Начальник отдела маркетинга управляет маркетинговой деятельностью на предприятии и развитием внешнеэкономических связей предприятия. Он руководит центром маркетинга, которому подчиняется отдел сбыта, занимающийся процессом отгрузки изделий.

Бухгалтерия ведет бухгалтерский учет, осуществляет контроль за расходованием средств, составляет отчеты и бухгалтерские балансы.

Производит расчеты с рабочими и служащими, анализирует производственно-хозяйственную деятельность.

Предприятие проводит достаточно активную инновационную политику за счет собственных средств. В настоящий момент идет поиск инвестора для покупки полной технологической линии по изготовлению мебельных клееных щитов из массивной древесины ценных пород, что позволит изготовить экологически чистую, с современным дизайном мебель и расширить ее ассортимент.

Основные технико-экономические показатели деятельности предприятия приведены в табл. 3.1.

Таблица 3.1. Основные технико-экономические показатели

Наименование

ед. изм.

2009

2010

2011(план)

Товарная продукция в сопост. ценах

тыс. руб.

4 742 000

5 325 000

5 700 000

Темп роста товарной продукции в сопост. ценах

%

94

104

107

Фонд оплаты труда

тыс. руб.

1 090 100

1 150 000

1 240 000

Себестоимость товарной продукции

тыс. руб.

4 700 000

5 210 000

5 520 000

Рентабельность реализованной продукции

%

1,5

0,2

8,0

Прибыль балансовая

тыс. руб.

10 000

20 000

150 000

Затраты на инновации

тыс. руб.

98 000

126 000

257 000

Отношение затрат на инновацию к себестоимости продукции

%

2,09%

2,42%

4,66%


Как видно из табл. 3.1., несмотря на рост выпуска продукции в сопоставимых ценах, рентабельность остается низкой. На лицо необходимость совершенствования производственных процессов.

Затраты на инновации по отношению к себестоимости производимой продукции остаются сравнительно небольшой величиной.

Вместе с тем, на текущий год запланировано удвоить расходы на инновации (относительные инновационные затраты к себестоимости также должны практически удвоиться).

На фоне этого запланированная норма рентабельности на уровне 8% выглядит более чем оптимистично.

3.2 Политика управления инновациями на предприятии ООО “SNEHA


Таблица 3.2.Мероприятия плана технического и организационного развития в 2011 г

Наименование

Ед. изм.

Срок выполнения

Объем внедрения

Сметная стоимость, т.р.

Эффективность, тыс. руб.(*)

Доля в общих расходах на инновации, %

1

2

3

4

5

6

7

1. Создание, освоение новых видов продукции и повышение ее качества



2300

36000

78400

14,0%

в т.ч.







1.1 Набор светильников "3301/1 C CR MC"

шт

1 кв.

200

4500

20000


1.2. Набор новых моделей настольных ламп

шт

4 кв.

1000

4500

1500


2. Внедрение новой технологии, механизации и автоматизации труда



-

124200

*

48,3%

в т.ч.







Автопогрузчик СВ-1745

шт

1-2 кв

1

35000

*


3. Совершенствование организации труда

-



8700

*

3,4%

в т.ч.







3.1. Экономия материалов, сырья, топлива, энергии




88400

34,4%

в т.ч.







4.1 Установка нового котла меньшей мощности ДСЕ 2.5-14

шт

2-3 кв

1

58000

103


4.2. Обеспечение максимального возврата конденсата

-

2-4 кв


5000

46


ИТОГО

257300

100311

100%




(*) - улучшение условий труда

Из табл. 3.2 видно, что политика управления инновациями предприятия в текущем году будет направлена в большей степени на внедрение новых технологий механизации и автоматизации труда, а также на экономию материалов.

Вместе с тем, инвестиции в создание и освоение новой продукции сравнительно малы, хотя приносят наибольший эффект.

Можно предположить, что такой скромные инвестирования - это временная мера, которая связана с поиском инвестора для расширения производства и ассортимента продукции.

Логическим завершением анализа управления инновационной деятельностью предприятия должна являться оценка эффективности инноваций.

На основе анализа источников литературы можно прийти к выводу, что большинство показателей оценки эффективности инноваций заимствованы из оценки инвестиционный проектов.

Однако, если сроки реализации инвестиционный проектов, как правило, превышают 1 год, то цикл внедрения инноваций некоторых процессов могут составлять 1-2 квартала.

Подводя итог данному вопросу, следует отметить, что экономический анализ политики управления инновациями - это многоступенчатый процесс, который целесообразно изменять в зависимости от конкретных объектов исследования.

Выводы

Затраты на инновации по отношению к себестоимости производимой продукции остаются сравнительно небольшой величиной.

Вместе с тем, на текущий год запланировано удвоить расходы на инновации (относительные инновационные затраты к себестоимости также должны практически удвоиться).

На фоне этого запланированная норма рентабельности на уровне 8% выглядит более чем оптимистично.

Из табл. 3.2 видно, что политика управления инновациями предприятия в текущем году будет направлена в большей степени на внедрение новых технологий механизации и автоматизации труда, а также на экономию материалов.

Вместе с тем, инвестиции в создание и освоение новой продукции сравнительно малы, хотя приносят наибольший эффект.

Можно предположить, что такой скромные инвестирования - это временная мера, которая связана с поиском инвестора для расширения производства и ассортимента продукции.

Логическим завершением анализа управления инновационной деятельностью предприятия должна являться оценка эффективности инноваций.

На основе анализа источников литературы можно прийти к выводу, что большинство показателей оценки эффективности инноваций заимствованы из оценки инвестиционный проектов.

ЗАКЛЮЧЕНИЕ


Направление развития на основе инвестиций характеризуется вложениями капитала не в повышение конкурентоспособности отдельных отраслей страны, а в их простое воспроизводство.

В российской экономике в настоящее время инвестиций не хватает даже на простое воспроизводство, вследствие этого растет удельный вес изношенных основных фондов, повышается их аварийность.

Экономическая политика страны, ориентированная на международные кредиты, бесперспективна, так как кредиты надо возвращать, и с большими процентами.

Приоритет должен быть отдан не развитию страны на основе факторов производства и инвестиций, а развитию на основе активизации инновационной деятельности в области базовых наукоемких отраслей народного хозяйства, являющихся двигателями развития экономики.

Чем выше конкуренция по «входу» и «выходу» системы, тем выше будет конкурентоспособность выпускаемых фирмой товаров.

Исходя из опыта экономически развитых стран, можно с уверенностью сказать, что внедрение достижений научной мысли в сферу практического использования осуществляется разнонаправленными усилиями множества предприятий и фирм.

Причем роль промышленного предприятия в реализации инновационных процессов в зависимости от его размеров, далеко не однозначна.

В экономической литературе наиболее пристальное внимание вопросу выявления влияния размера промышленного предприятия на его способность проводить инновационную деятельность уделяют в основном зарубежные авторы.

Причиной повышенного интереса к этой проблеме является возрастание роли малого бизнеса как в исследовательской деятельности, так и в сфере последующего использования результатов научных изысканий в практической деятельности.

Несмотря на продолжающийся в течение пяти последних лет рост экономики и промышленности, его "качество" не отвечает поставленным задачам.

Во-первых, складывающиеся темпы роста не обеспечивают удвоения внутреннего валового продукта (ВВП) в ближайшие десять лет.

Во-вторых, в структуре производства и экспорта преобладает продукция низкой степени передела, в основном топливно-сырьевых отраслей.

В-третьих, не удается достичь качественных сдвигов в повышении конкурентоспособности продукции большинства не сырьевых отраслей промышленности.

В курсовой работе продемонстрирована организация и совершенствование структуры управления на основе хозяйственной деятельности ООО «SNEHA», учредителями которой являются физические лица.

Подводя итог по данной теме, следует отметить, что экономический анализ политики управления инновациями - это многоступенчатый процесс, который целесообразно изменять в зависимости от конкретных объектов исследования.

СПИСОК ЛИТЕРАТУРЫ


1.Российской Федерации» от 18 июня 1995 г. № 88-ФЗ.

.Федеральный закон РФ «О науке и государственной научно-технической политике» от 23 августа 1996 г., № 127-ФЗ.

.Указ Президента РФ «О неотложных мерах по сохранению научно-технического потенциала российской Федерации» от 27 апреля 1992 г. № 426.

.Указ Президента РФ «Концепция национальной безопасности Российской Федерации» от 10 января 2000 г., № 24.

.Концепция государственной инновационной политики Российской Федерации на 2008-2010 гг.

.Концепция научной, научно-технической и инновационной политики в системе образования Российской Федерации на 2005-2011 гг. Приказ Министерства образования РФ от 6 июня 2000 г., № 1705

.Анчишкин А.И. Наука. Техника. Экономика. - М.: Экономика, 2004. - 383

.Артюх И. Предприятия и научно-технический прогресс // Экономист. 2005. - №8. - С. 30-39.

.Бабинцев В.- С. США: приоритеты НТП. - М.: Наука, 2004. - 179 с.:

.Балашов Г. Без инновационной активности подъем экономики невозможен // Экономист. - 2002. - № 11. -- С. 32-35.

.Барютин Л.- С. Управление техническими нововведениями в промышленности. - Л.: Изд-во ЛГУ, 2001. - 171 с.

.Березовская Н. Инновационные аспекты экономического развития // Вопросы Экономики. - 2008. - №3. - С. 58-66.

.Берлинер Ю.И. Внедрение научно-технических разработок проблемы планирования. - М.: Экономика, 2007. - 72 с.

.Бешелев - С.Д., Гурвич Ф.Г. Нововведения и мы. - М.: Наука, 2001. - 296 с.

.Бжилянская Л. Инновационная деятельность: тенденции развития и меры государственного регулирования //Экономист. - 2003. - №3. - С. 23 33.

.Бляхман Л.- С. Экономика, организация управления и планирование научно-технического прогресса: Учеб. пособие для экон. спец. вузов. - М.: Высшая школа, 2009. - 221 с.

.Бондарь О. Проблемы развития инновационной деятельности // Бизнес-информ. - 2003. - №9. - С.32-35.

.Водачек Л., Водачкова О. Стратегия управления инновациями на предприятии: Сокр. пер. со словац. / Авт. предисл. В.- С. Рапопорт. - М.: Экономика, 2010. - 167 с.

.Гвишиани Д.М., Громека В.И. Теоретические аспекты исследований инновационного процесса и формирования инновационной политики / Инновационная политика развитых капиталистических государств. - М.: 1999.

. Глазьев - С.Ю. Экономическая теория технического развития. - М.: Наука, 2009. - 252 с.

.Грачева М. Инновационная деятельность российских промышленных предприятий в 1992-1993гг. // Экономика и жизнь. - 2002. - №10. - С. 15.

.Григорьев Д.В., Григорьев В. С. Инновационный менеджмент: ресурсы и эффективность. - Пенза, 2003. - 151 с.

.Дагаев А.А. Фактор НТП в современной рыночной экономике: Учеб. пособие: - М.: Наука, 2004. - 207 с.

.Дихтль В., Хершген Х. Практический маркетинг: Учеб. пособие: Пер. с нем. И.С. Минко. - М.: Высшая школа, 2005.

.Друкер П.Ф. Рынок: как выйти в лидеры. Практика и принципы.: Пер.с англ. А. Мкервали. - М.: СП «БукЧэмбер Интернэшнл», 2010. - 350 с.

.Дынкин А. Научно-технический прогресс в рыночной среде // МЭМО. - 2008. - №10. - С. 17-27.

.Евсеенко А.В. Проблемы формирования спроса на научно-техническую продукцию / Регион: экономика и социология. - 2005. - №4. - С. 36-54.

.Иванченко В. Структурно-технологическое и инновационное обновление производства // Экономист. - 2001. - № 11. - С. 79-87.

.Ионов М. Инновационная сфера: состояние и перспектива // Экономист. - 2000. - №10. - С. 62-67.

.Ионов М. Регулирование инвестиционной и инновационной деятельности //Экономист. - 2008. - №5. - С. 36-43.

.Кауфман Х.Р. Тактика успеха в бизнесе и науке: Творчество. Деньги. Слава: Пер. с англ. - М.: Интеллект, 2009. - 156 с.

.Коноваленко М.К. Управление продуктовыми инновациями. - Харьков, 2003. - 219 с.

.Клайнкнехт А. Циклы нововведений: вопросы теории: Пер. с англ. - М.: Экономика, 2006. - С. 130.

.Лапин Н.И. Актуальные проблемы исследования нововведений // Социальные факторы нововведении в организационных системах. - М.: 2007. - С. 150.

.Лаурита Т., Малмыгин И., Недотко П. Деятельность инновационных фондов //Экономист. - 2010. - №4. - С. 92-96.

.Логинов В., Курнышева И. Возможности и перспективы научно- технического развития // Экономист. - 2009. - №7.- С. 18-27.

.Мандель И.Д. Кластерный анализ. - М.: Фин. и статистика, 2004. - 176 С.

.Матохин В.В., Симонов Б.П. Аналитическая экспертиза целей инновационных проектов // Управление инновациями. Становление и развитие малой инновационной фирмы. - М.: АНХ, 2008. - С. 169-176.

.Мескон М.Х., Альберт М., Хедоури Ф. Основы менеджмента: Пер. с англ. - М.: Дело, 2005.

.Назаревский В.А. Управление научно-техническим прогрессом в промышленности США / Отв. ред. А.В. Аникин, АН СССР, Ин-т мировой экономики и международных отношении. - М.: Наука, 2006. - 142 с.

.Оразов М. Управление НТП в условиях рынка // Экономист. - 2007. - №2. - С 65-66.

.Папенов К.В. Резервы интенсификации общественного производства. - М.: Изд-во Моск. ун-та, 2001. - 160 с

.Петрашенко Г.Н. Научно-технический прогресс и социально- экономические условия производства / Науч. ред. Ф.А Дронов. - Минск: Наука и техника, 2004. - 80 с.

.Пригожий А.И. Нововведения: стимулы и препятствия (социальные аспекты инноватики). - М.: Политиздат, 2001. - 270 с.

Похожие работы на - Структура инновационного менеджмента

 

Не нашли материал для своей работы?
Поможем написать уникальную работу
Без плагиата!
Без нейросетей!