Стратегический план создания малого предприятия по производству и сбыту железобетонных конструкций в Москве и Московской области, производственной мощностью 3500 куб. метров в год, с целью достижения в 2013 году прибыли 15% от дохода
Курсовая
работа
по
менеджменту
на тему:
«Стратегический план создания малого предприятия по производству и сбыту
железобетонных конструкций в Москве и Московской области, производственной
мощностью 3500 куб. метров в год, с целью достижения в 2013 году прибыли 15% от
дохода»
Аннотация
В данной курсовой работе разработан
стратегический план создания малого предприятия по производству и сбыту
железобетонных конструкций. Так же в работе проведены необходимые расчеты и
получены показатели для обоснования эффективности принятого стратегического
плана, его этапов и сроков выполнения.
Оглавление
Введение
. Теоретическая часть
. Расчётная часть
.1 Продукция и услуги
.2 Рынок. Анализ рынка. План сбыта
продукции
.3 Производственная мощность предприятия
и план производства продукции на первый год работы предприятия
.4 Предприятие. Общее описание.
Разработка и обоснование стратегической цели
.5 Коммуникация. План
компьютеризации предприятия
.6 Организационная структура
управления предприятием и кадровая политика
.7 Юридическая форма предприятия. Её
капитал
.8 Финансовый план
. Стратегический план. Мероприятия
по его реализации. Обоснование эффективности
Выводы и рекомендации
Библиографический список
Введение
Целью данной
курсовой работы является составление стратегического плана создания малого
предприятия, специализирующегося на производстве и сбыте железобетонных
конструкций в Москве и Московской области, производственной мощностью 3500 куб.
метров в год, с целью достижения в 2013 году прибыли 15% от дохода.
Назначение данной
работы - закрепление и углубление знаний и навыков, полученных при изучении
курса менеджмента и приобретение навыка решения практических задач, возникающих
при управлении бизнесом и производством.
Для обоснования назначения этапов, сроков,
показателей и результатов стратегического плана, а так же для доказательства
его эффективности необходимо выполнить следующие действия по разделам курсовой
работы:
1. Разработать
и обосновать стратегическую цель и её характеристики;
2. Дать
характеристику изделия, технологию и организацию его производства;
3. Провести
анализ рынка, определит уровень конкурентоспособности продукции и разработать
план сбыта;
4. Обосновать
производственную мощность предприятия и составить план производства;
5. Выбрать
основную и конкурентную стратегии и обосновать принятые цены;
6. Представить
организационную структуру управления, дать ей характеристику и описать кадровый
состав предприятия;
7. Разработать
финансовый план и обосновать эффективность работы предприятия;
8. Составить
стратегический план и мероприятия по его реализации.
В завершение данного раздела необходимо
определить исходные данные для курсовой работы:
планируемая производственная мощность составляет
3500 куб.м. в год;
цена 1 куб.м. - 7540 руб.;
планируемый доход - 26,4 млн. руб. в год;
планируемая прибыль от дохода - 15% (3,96 млн.
руб.).
1. Теоретическая часть
Менеджмент - общепрофессиональная дисциплина,
позволяющая эффективно управлять как производством, так и бизнесом в целом. Это
комплексная система знаний и навыков управления деятельностью организации,
предприятия или его подразделений с использованием современных концепций и
принципов управления, имеющая своей целью достижения максимума конечного
результата с наименьшими затратами. Менеджмент является универсальной областью
знаний о деятельности человека, философии жизни в условиях рыночной экономики.
В нем испытывают необходимость все организации, предприятия и учреждения, а
также индивидуальный бизнес. Основой менеджмента является практический опыт,
так как именно он показывает зависимость производства от применения
определённых методов управления.
Сам же процесс управления состоит из основных
функций управления: планирования, организации, исполнения (руководства),
контролирования и координации. Каждая функция в свою очередь содержит процессы:
Функция «планирование»
формулирование целей и намерений;
принятие решений и определение основных
направлений деятельности;
составление плана;
учет будущего и разработка программ действия
(стратегия).
Функция «организация»
постановка задач исполнителем;
разработка структуры и передача полномочий;
привлечение сотрудников и средств исполнения;
построение материального и социального «каркаса»
организации.
Функция «исполнения» (руководства)
осуществление деятельности;
лидерство;
мотивация;
руководство;
коммуникация.
Функция «контролирование»
сравнение плановых результатов с реальными;
корректировка;
накопление опыта для будущего планирования.
Каждая из этих функций предполагает наличие
координации.
Стратегия - политика предприятия, всеобъемлющая
ориентация планов и действий достижения целей, которая устанавливает
критическое направление действий и управление распределением ресурсов.
Стратегическое планирование - процесс
прогнозирования, составления и анализа планов достижения целей с учетом
особенностей его долгосрочности и перспективности. Процесс стратегического
планирования включает три основных фазы: формулирование стратегии, придание
стратегии конкретной формы плана и реализации, оценки и контроля.
Для разработки стратегического плана необходимо
установить цель, задачи, миссию и образ предприятия, политику предприятия и
срок, на который план разрабатывается. Возможный сценарий составления
стратегического плана содержит следующие действия:
1. оценка
возможных проблем и ситуаций на рынке за период разработки плана;
2. выбор
наиболее подходящего варианта стратегического плана и оценка альтернативных
решений;
3. исполнение
(реализация), которое включает разработку плана, процедур, программ,
мобилизацию ресурсов для исполнения стратегических целей;
4. контроль
и анализ выполнения стратегического плана.
2. Расчётная часть
2.1 Продукция и услуги
Из года в год набирает темп возведение жилья,
объектов социального и культурного назначения, создается сеть инженерных и
транспортных коммуникаций.
Строительство новых объектов стало актуальным
как никогда. В настоящее время в Москве и Московской области строительство
является стабильно развивающейся отраслью. Железобетон и современное
строительство неотделимы друг от друга. Заводы ЖБИ и их продукция максимально
востребованы.
Основная идея создания такого строительного
элемента как железобетон заключена в удачном соединении двух материалов,
которые дополняют друг друга своими свойствами. Известно, что бетон довольно
хорошо противостоит усилиям сжатия, но растягивающим силам он сопротивляется
хуже раз в 15. Это досадный недостаток существенно ограничивал применение
классического бетона в строительстве, особенно в несущих конструкциях. Выходом
из ситуации стало использование стальной арматуры для усиления бетона, ведь
сталь отлично сопротивляется не только сжатию, но и растяжению. Такой синтез,
именуемый железобетоном, получился очень прочным еще и за счет того, что между
сталью и бетоном существует надежное сцепление. К тому же арматура надежно
защищена бетонной оболочкой от коррозионных воздействий, что положительно
сказывается на долговечности материала.
Преимущества железобетонных изделий:
• Технологичность. При формировании конструкции
можно получить любую форму без особых проблем.
• Биологическая и химическая стойкость. Изделия
не подвержены гниению, коррозии, они не стареют.
• Огнестойкость. По сравнению с деревом или
сталью изделия из данного материала препятствуют распространению пожара.
• Прочность. Благодаря устойчивости к нагрузкам
различного рода ж/б конструкции востребованы в строительстве высотных домов.
• Невысокая стоимость. Ж/б изделия выгодно
отличаются от стальных по этому параметру.
ООО «Богатырь» занимается производством и сбытом
железобетонных изделий - фундаментных блоков (ФБС).
Фундаментные блоки (ФБС) - блоки, которые
используются для создания фундамента многоэтажных зданий, выдерживают
значительные нагрузки, и предназначены для передачи нагрузки на
естественное/искусственное основание.
Существуют несколько типов ФБС (6, 9, 12, 24 и
т.д.), которые эксплуатируются при разных гидрогеологических и геологических
условиях, а так же при разных нагрузках.
Фундаментные блоки (ФБС 6) широко применяются
для возведения стен производственных зданий (шаг колонн составляет 6 м), для
постройки фундаментов и так далее. Для создания блоков ФБС используется бетон
класса по прочности на сжатие В 22,5; В 15, по морозостойкости - F 50. Чтобы
укрепить фундаментные ФБС арматурой, берется сталь класса А-1, А-111.
Фундаментные ФБС производятся строго в соответствии с техническими требованиями
ГОСТ 13015. Рабочие чертежи для изготовления фундаментных блоков - серия
1.415-1, а так же ГОСТ 13579-78.
В нашей компании действуют три основополагающих принципа
работы:
высокое качество всех товаров и услуг;
разумная ценовая политика;
внимательное отношение к каждому клиенту.
Определим планируемую долю рынка. Организация
ООО «Богатырь» осуществляет свою деятельность в Москве и Московской области.
Планируемый объём производства организации составляет 3500 куб.м. в год, что
составляет 5% рынка.
.2 Рынок. Анализ рынка. План сбыта
продукции
Рынок железобетона РФ является одним из наиболее
инвестиционно привлекательных рынков. В первую очередь это вязано с развитием
строительной отрасли - основного потребителя железобетона. Также на этом рынке
отсутствует импорт - главный конкурент отечественному производству. Не менее
важным фактором развития рынка является быстрый срок окупаемости инвестиций
(3-5 лет). Следовательно, крупным строительным компаниям выгодно инвестировать
средства в данный сегмент, чтобы с меньшими издержками строить здания и
сооружения. Однако концу 2008 года в связи с кризисом в стране, рынок ЖБИ
изделий тоже существенно снизил свою планку. Упали объемы работ подрядчиков, а
это приводит к сокращению производства. Известно, что рынок железобетонных
изделий явление локальное, еще не пришло время создать единый рынок ЖБИ, а так
как это явление локальное, то и решается проблема регионами по разному. Все
зависит и упирается на данный момент в транспортировку изделий ЖБИ. Еще 2 года
назад потребление и производство ЖБИ изделий росло на 20% в год, на данный
момент это привело к перепроизводству изделий из железобетона. В начале 2009
года уменьшится количество строек, из-за погодных условий, но есть еще один
очень важный фактор, по мимо погодного. Банки снижают кредитование рынка ЖБИ
изделий и перестают выдавать деньги на строительство. Подведем итог, что нас
ожидает в начале 2009 года. Как только кризис начнет сдавать свои позиции, а
это будет по прогнозам экспертов в середине 2009 года, рынок железобетонных
изделий начнет набирать свои прежние обороты.
Рынок строительных материалов сегодня достаточно
насыщен и представлен самыми различными видами. Всем известно, что фундамент -
это основа здания. Именно с фундамента начинается дальнейшее строительство,
поэтому от того, насколько качественно он положен, зависит то, как долго
строение будет служить. Ведь очень часто неправильно залитый фундамент в будущем
создаёт предпосылки для разрушения стен и крыши дома, что в конечном итоге
через некоторое время приводит к его полному разрушению. Чтобы этого не
произошло, при строительстве фундамента обязательно нужно использовать только
качественные и современные материалы.
Фундаментальные блоки (ФБС) сегодня являются
наиболее популярным строительным материалом для возведения фундамента. ФБС
имеют очень простую, однако вместе с тем достаточно функциональную форму -
прямоугольного параллелепипеда. ФБС могут быть совершенно разных размеров и
формы, что позволяет их использовать при строительстве самого сложного
фундамента.
Ниже на диаграмме 1 показаны основные конкуренты
ООО «Богатырь» по предоставлению данной услуги в Москве и области.
Конкуренты:
ООО «Мега-Альянс-ЖБИ» - 13%;
ООО «ЖБИ-СОЮЗ» - 9%;
ООО «КСМИ» - 3,5%;
Другие компании - 69,5%.
Доля ООО «Богатырь» составит 5%. Организация
поставляет свою продукцию на объекты строительства в Северо-восточный и
Юго-западный административные округа, а также во многие города Подмосковья:
Мытищи, Королев, Пушкино, Серпухов, Балашиха и др. Малая доля рынка обусловлена
молодостью организации, недостаточной производственной базой и слабым рыночным
ресурсом, но в тоже время высокое качество, сравнительно низкая цена, и
индивидуальный подход к каждому клиенту позволит ей выделиться на рынке и
привлечь к себе внимание потенциальных покупателей.
Составим таблицу количества и характеристик
конкурентов по основным инструментам рынка (табл. 1), рассчитаем уровень
конкурентоспособности нашей фирмы.
Табл. 1
|
№
|
Инструменты
маркетинга
|
Характеристика
инструмента
|
Рейтинг
|
|
|
Описание
|
Рейтинг
важности
|
«Богатырь»
|
конкуренты
|
|
|
|
|
|
«Мега-Альянс-ЖБИ»
|
“ЖБИ-СОЮЗ”
|
“КСМИ”
|
|
1
|
Качество
|
Высокое
|
10
|
6*10=60
|
6*10=60
|
5*10=50
|
4*10=40
|
|
2
|
Репутация
|
Неплохая
|
5
|
3*5=15
|
6*5=30
|
4*5=20
|
3*5=15
|
|
3
|
Цена
|
Средняя
|
9
|
4*9=36
|
5*9=45
|
5*9=45
|
4*9=36
|
|
4
|
Коммуникации
и реклама
|
Эффективные
|
4
|
3*4=12
|
5*4=20
|
4*4=16
|
4*4=16
|
|
5
|
Срок
проведения работ
|
Минимальные
|
7
|
5*7=35
|
4*7=28
|
6*7=42
|
6*7=42
|
|
6
|
Доставка
материалов
|
Точно
в срок
|
6
|
5*6=30
|
4*6=24
|
4*6=24
|
5*6=30
|
|
7
|
Продажа
|
Организованные,
эффективные
|
4
|
4*4=16
|
5*4=20
|
4*4=16
|
3*4=12
|
|
8
|
Обслуживание
и услуги
|
Недорогое
|
8
|
5*8=40
|
4*8=32
|
5*8=40
|
4*8=32
|
|
Итого
|
-
|
-
|
244
|
259
|
253
|
223
|
Определим конкурентоспособность предприятий по
формуле:
К= Ксобств./Кконкур.
По сравнению с «КСМИ» К=244/223 = 1,094
По сравнению с “Мега-Альянс-ЖБИ” К=244/259=
0,942
По сравнению с «ЖБИ-СОЮЗ» К=244/253=0,965
Из полученных коэффициентов видно, что продукция
ООО «Богатырь» по конкурентоспособности уступает продукции: «Мега-Альянс-ЖБИ» и
«ЖБИ-СОЮЗ», но при этом по данному показателю превосходит продукцию компании
«КСМИ».
На продукцию компании ООО «Богатырь» в г. Москве
наблюдается следующий разброс цен в пересчете на 1 куб.м.: максимальная цена -
10 000 руб./куб.м., минимальная - 7 000 руб./куб.м., средняя - 8 500
руб./куб.м. В связи со специализацией деятельности предприятия и научной
организацией производственного процесса, реально достижение цели предприятия
при цене рынка - 7540 руб./куб.м.
Жизненный цикл товара на рынке представлен на
рисунке №1:
Объем пр-ва, м3
время, годы
Рис. 1. Жизненный цикл товара на
рынке
Фазе роста предшествует фаза
зарождения, которая длится 1 месяц и включает в себя исследование рынка,
выработку основной и конкурентной стратегии организации, поиск заказчиков для
заключения договоров. Объем работ на этом этапе равен нулю, а прибыль
отсутствует. Затем начинается фаза роста, которая продолжается год. На
этом этапе происходит резкий рост объема продаж, а с ним и рост дохода. К
середине 2009 года компания переступает порог рентабельности (1200 куб.м./год),
а к 2013 году достигает запланированного объёма продаж (3500 куб.м./год).
План сбыта продукции по годам,
объему, доходам и прибыли на рассматриваемые 5 лет представлен в таблице 2.
2.3 Производственная мощность
предприятия и план производства продукции на первый год работы предприятия
Общая численность сотрудников ООО «Богатырь»
составляет 60 человек, объем производства - 3500 м3 в год. Данные
величины приняты потому, что рыночная доля организации в 5% не позволяет
выполнить больший объем работ, так как в этом случае она проиграет конкурентную
борьбу ООО «Мега-Альянс-ЖБИ», возможности сбыта которых значительно выше в силу
завоеванного рыночного ресурса. Чтобы получить прибыль в размере 15% от дохода
при производстве 3500 м3 численность персонала не должна превышать
заданное количество (60 человек) в связи с затратами на его содержание. Однако,
меньшее число сотрудников может вызвать их чрезмерную загруженность и понизить
эффективность деятельности организации.
На производство услуги в расчете на 1 м3
продукции организации (при 8-часовом рабочем дне и при 250 рабочих днях в году)
необходимо 8*250/3500=0,6 часа.
Табл. 2
|
2009
|
1м
|
2м
|
3м
|
4м
|
5м
|
6м
|
7м
|
8м
|
9м
|
10м
|
11м
|
12м
|
|
Объем
прод.
|
0
|
120
|
150
|
190
|
210
|
240
|
300
|
350
|
390
|
440
|
490
|
620
|
|
Доход,
тыс. р.
|
0
|
904,8
|
1131
|
1432,6
|
1583,4
|
1809,6
|
2262
|
2639
|
2940,6
|
3317,6
|
3694,6
|
4674,8
|
|
Прибыль,
тыс. руб.
|
-460
|
-131,
17
|
-50,68
|
56,
64
|
110,
3
|
190,
79
|
351,
77
|
485,
92
|
593,
24
|
727,
39
|
861,
55
|
1210,
33
|
|
Годы
|
2010
|
2011
|
2012
|
2013
|
|
|
Объем
продаж, м3
|
3500
|
3500
|
3500
|
3500
|
|
|
Доход
тыс. р.
|
26400
|
26400
|
26400
|
26400
|
|
|
Прибыль,
тыс. р.
|
3170
|
3400
|
3690
|
3960
|
|
Определим трудоемкость производства единицы
продукции t:
t=
=
=36 чч/м3
Себестоимость единицы продукции ООО
«Богатырь» в среднем составит 6409 руб. при цене 7540 руб. Прибыль от
реализации единицы продукции составит 1131 руб., что составит - 15% от дохода.
Общий годовой доход организации при объеме производства 3500 м3 в
год составит 26400000 руб., прибыль - 3960000 руб.(15%).
Сметы постоянных и переменных затрат
на производство и сбыт продукции организации:
Табл. 3
|
№
|
Статья
затрат
|
Сумма,
тыс. руб. в год
|
|
1
|
Аренда
производственного помещения, офиса
|
2000
|
|
2
|
страхование
|
450
|
|
3
|
амортизация
|
200
|
|
4
|
налоги
|
500
|
|
5
|
з/п
администрации
|
1990
|
|
6
|
маркетинговая
деятельность
|
300
|
|
ИТОГО
|
5440
|
Табл. 4
|
№
|
Статья
затрат
|
Сумма,
руб. за ед. продукции
|
|
1
|
з/п
рабочих
|
1800
|
|
2
|
материалы
|
2700
|
|
3
|
энергоресурсы
|
207
|
|
4
|
прочие
расходы
|
50
|
|
ИТОГО
|
4857
|
Технологический процесс производства продукции,
его характеристика по времени, количеству операций и расстоянию приведены в
таблице 5:
Табл. 5. Технологический процесс
производства продукции
Примечание.
Стандартизированные символы:
1. m - операция
2. ð - транспортировка
3. q - контролируемый и планируемый перерыв
4. » - технологическая задержка,
ожидание
5. - хранение
При выборе технологии производства ООО
«Богатырь» может принять одно из следующих решений:
). Приобрести 2 новых станка с затратами на
единицу продукции 2200 руб./м3. Общая стоимость данного оборудования равна 8
млн. руб.
Общие затраты = (8000000 + 2200 * спрос) руб.
). Приобрести 1 новый станок с затратами на
единицу продукции 4400 руб./м3. Общая стоимость данного оборудования равна 4
млн. руб.
Общие затраты = (4000000 + 4400 * спрос) руб.
Чтобы принять решение о более выгодной технологии
изготовления ЖБИ, сравним эти три варианта, т.е. найдем точку А
А=8000000 + 2200 * спрос = 4000000 + 4400 *
спрос.
Спрос в точке А = (8000000 - 4000000)/(4400 -
2200) = 1818 м3.
Затраты, тыс.руб.
Объем пр-ва, м3
Рис. 2. Выбор технологии
производства продукции
Таким образом, можно сделать вывод,
что при объеме производства менее 1818 м3, целесообразнее взять 1
станок в аренду, а при объеме более 1818 м3 - приобрести два новых
станка. В нашем случае, когда объем производства больше 1818 м3,
выгоднее всего будет приобрести 2 новых станка.
Организация «Богатырь» даёт гарантии
высокого качества производимых работ, поэтому необходим постоянный контроль
качества в процессе производства. Чтобы выявить основные причины возможного
возникновения брака воспользуемся методом Ишикавы (Рис. 3).
Рис. 3. Анализ появления низкого
качества с помощью метода Ишикавы
Прогноз дохода от выпускаемой
продукции в соответствии с производственной мощностью предприятия.
Табл. 6
|
2009
|
1м
|
2м
|
4м
|
5м
|
6м
|
7м
|
8м
|
9м
|
10м
|
11м
|
12м
|
|
Объем
прод.
|
0
|
120
|
150
|
190
|
210
|
240
|
300
|
350
|
390
|
440
|
490
|
620
|
|
Доход,
тыс. р.
|
0
|
904,8
|
1131
|
1432,6
|
1583,4
|
1809,6
|
2262
|
2639
|
2940,6
|
3317,6
|
3694,6
|
4674,8
|
|
Годы
|
2010
|
2011
|
2012
|
2013
|
|
Объем
продаж, м2
|
3500
|
3500
|
3500
|
3500
|
|
Доход
тыс. р.
|
26400
|
26400
|
26400
|
26400
|
Табл. 7. Производственный план-график на первый
год работы организации
|
Цель
|
В
течении 5 лет в период с 2009 по 2013 годы создание и внедрение на рынок
малого предприятия «Богатырь», занимающегося производством ЖБИ (фундаментных
блоков), производственной мощностью 3500 м3 в год, с целью достижения 15%
прибыли от дохода в 2013г.
|
|
№
|
События
|
Сроки
|
Директивные
сроки, месяцы
|
Результат
|
|
|
|
1
|
2
|
3
|
4
|
5
|
6
|
7
|
8
|
9
|
10
|
11
|
12
|
|
|
1
|
Исследование
рынка и выбор целевой группы
|
1
мес.
|
|
|
|
|
|
|
|
|
|
|
|
|
Уяснение
ситуации на рынке
|
|
2
|
Создание
организационной структуры
|
2
мес.
|
|
|
|
|
|
|
|
|
|
|
|
|
Набор
штата
|
|
3
|
Продвижение
продукции - реклама
|
7
мес.
|
|
|
|
|
|
|
|
|
|
|
|
|
Создание
имиджа, известность организации
|
|
4
|
Производство,
получение прибыли
|
11
мес.
|
|
|
|
|
|
|
|
|
|
|
|
|
Продажа,
получение прибыли
|
|
5
|
Совершенствование
технологии
|
6
мес.
|
|
|
|
|
|
|
|
|
|
|
|
|
Улучшение
качества
|
|
6
|
Привлечение
клиентов
|
4
мес.
|
|
|
|
|
|
|
|
|
|
|
|
|
Улучшение
имиджа для роста процента прибыли
|
|
7
|
Достижение
цели на первый год
|
1
мес.
|
|
|
|
|
|
|
|
|
|
|
|
|
1750
м3 готовой продукции
|
.4 Предприятие. Общее описание.
Разработка и обоснование стратегической цели
ООО «Богатырь» специализируется на производстве
ЖБИ в Северо-восточном и Юго-западном административных округах, а также в
городах Подмосковья: Мытищи, Королев, Пушкино, Серпухов, Балашиха и др.
Назначение продукции - использование фундаментных блоков для строительства
жилых домов и производственных зданий.
Миссия организации: расширение
деятельности, увеличение прибыли за счет увеличения объема работ и внедрения
новых технологий, а также максимальное удовлетворение потребностей заказчиков.
Основной целью предприятия является получение
прибыли.
Политика предприятия: сотрудничество с надежными
поставщиками, наем на работу только квалифицированной рабочей силы, а также
постоянное совершенствование производства путем внедрения новых технологий и
использования современных материалов.
ООО «Богатырь» находится по адресу: г.Королев,
ул.Промышленная, дом 6. Это двухэтажное здание с автостоянкой, складами и
другими подразделения организации, арендуемые на долгосрочный период. Общая
площадь помещения составляет 1400 м2.
Рис. 4. План расположения предприятия
Основная стратегия предприятия - лидерство по
ценам. Для этой организации характерны низкие цены за счет невысоких затрат и
больших объемов выпускаемой продукции. Качество производимых изделий при
относительно невысокой цене остается на должном уровне, соответствуя ГОСТу. В
Москве наблюдается разброс цен на изделия ЖБИ, минимальная цена 7000 руб. за 1
м3, а максимальная 10000 руб. за 1 м3. Средняя цена -
8500 руб. + 100 за 1 м3. Фирма ООО «Богатырь» установила цену 7540
руб. за 1 м3.
Анализ ценовой политики:
Рис. 5. Графический анализ ценовой
политики
Поскольку наша организация
установила низкую установила цену 7540 руб. за 1 м3, которая
является ниже средней, и, учитывая, что конкуренция на рынке велика, то
конкурентная стратегия организации - «Низкие цены - медленное продвижение».
Объем основных стратегических
ресурсов на годовую программу предприятия составляет 3500 единиц сырья (на 3500
м3). Каждая единица сырья включает в себя: арматура - 0,035 м3,
бетон - 0,6 м3.
Ежегодный объем заказов составляет
3500 м3 единиц сырья. Издержки на хранение одной единицы составляют
600 руб. (аренда складского помещения), издержки на оформление одного заказа -
250 тыс. руб.
Табл. 8. Размер оптимального размера
запаса на складе
|
количество
заказов в год, ед.
|
размер
заказа, ед.
|
издержки
на хранение, тыс. руб.
|
издержки
на заказ, тыс. руб.
|
общие
издержки, тыс. руб.
|
|
1
|
3500
|
1800
|
250
|
2050
|
|
2
|
1750
|
900
|
500
|
1400
|
|
3
|
900
|
463
|
750
|
1213
|
|
4
|
750
|
386
|
1000
|
1386
|
|
5
|
600
|
308,8
|
1250
|
1558,8
|
|
6
|
500
|
257
|
1500
|
1757
|
|
7
|
430
|
221
|
1750
|
1971
|
Мы видим, что общие издержки минимальны - 1213 -
при трех заказах в год, т.е. при размере заказа 900 ед. сырья, издержках на
хранение запаса 463 тыс. руб., издержках на заказ 750 тыс. руб. Оптимальный
размер запаса равен:
ОРЗ = √(2*П*И) / С = √(2*3500*250000)
/ 600 = 2917 (ед. сырья).
Определим шансы на успех, опасности от внешних
условий рынка и проведём анализ внутренних сил ООО «Богатырь», её сильных и
слабых сторон. Результат анализа приведён ниже.
Табл. 9
|
внешние
условия рынка
|
|
возможности
|
угрозы
|
|
1.
Наличие растущего спроса на нашу продукцию 2. Повышение емкости рынка.
|
1.
Сильная конкуренция на рынке. 2. Недоверие покупателей к новой фирме.
|
|
3.
Сохраняется прежде оговоренная оплата за аренду помещения.
|
3.
Жесткий контроль со стороны государства.
|
|
Внутренние
силы предприятия
|
|
сильные
стороны
|
слабые
стороны
|
|
1.
Высокое качество производимой продукции.
|
1.
Малая доля рынка.
|
|
2.
Наличие надежных поставщиков.
|
2.
Неизвестность фирмы.
|
|
3.
Хорошая рекламная и маркетинговая политика.
|
3.
Небольшой ассортимент.
|
Стратегическая цель
ООО «Богатырь» заключается в достижении к 2013 году 15% прибыли от дохода в
результате производства и сбыта ЖБИ - фундаментных блоков - с производственной
мощностью 3500 м3 в год., доходом - 26,4 млн. руб. и прибылью - 3,96 млн. руб.
Стратегическая цель организации:
Рис. 6. Стратегическая цель
организации
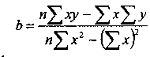
Далее необходимо получить
зависимость для прогноза транспортных операций производства (зависимость
времени перевозок от расстояния до строительства). Расстояние (x) - независимая
величина, время перевозок (y) - зависимая величина.
Для того, что бы сделать прогноз
транспортных операций за 9 месяцев наблюдения, получена зависимость времени на
доставку продукции У (мин.) от расстояния до места строительства Х (км).
Найдем уравнение регрессии
ŷ =ax+b:
а=38,66=0,48
Уравнение регрессии:
=38,66+0,48х
Рис. 7. Графическое решение
транспортной задачи
2.5 Коммуникация. План
компьютеризации предприятия
железобетонный сбыт
прибыль стратегический
Коммуникация в ООО «Богатырь»
осуществляется с помощью сотовой и городской телефонной связи, а также
посредством Интернета. Для этого высший и средний управленческий состав имеет
сотовые телефоны с фиксированной оплатой на деловые разговоры. Кроме того, в
офисе фирмы установлено более 15 компьютеров со стандартным программным
обеспечением (MS Windows XP, MS Word, MS Excel, MS Office). Также офис
оборудован необходимой техникой для работы: 5 лазерных принтеров, 2 сканера
формата А3 и А4. Все компьютеры объединены в локальную сеть на базе Интернет,
посредством которой происходит связь всех внутренних сотрудников между собой, а
также связь с другими фирмами и организациями. Кроме того, фирма имеет свой
электронный адрес и свою почту, на которую поставщики и заказчики присылают
свои предложения, деловые письма и другую информацию в электронном виде. В
распоряжении секретаря находится факс, на который также можно пересылать
необходимую информацию и копии документов. Ориентировочные затраты на
компьютеризацию и средства связи составляют 13% от первоначальных затрат на
обустройство предприятия.
2.6 Организационная структура
управления предприятием и кадровая политика
Общая численность сотрудников в ООО
«Богатырь» составляет 60 человек, из них: 4 менеджера высшего звена, 5
менеджеров среднего звена, 3 менеджера низшего звена, 2 штабные должности -
секретарь-референт и юрид. консультант, и 41 исполнитель.
На схеме представлена организационная структура
фирмы:
Рис. 8. Схема организационной структуры
предприятия
Производственная мощность предприятия - 3500
куб.м. в год.
Выше представлена организационная структура
предприятия, которая является линейно-функциональной, так как она показывает
иерархические линейные связи между вышестоящими и нижестоящими звеньями,
структурами и подразделениями, а также она опирается на использование
преимуществ функциональной специализации и четкую ответственность, основанную
на линейных связях.
Данная структура относится к смешанной модели
(по обстоятельствам), так как в не присутствуют элементы бюрократической и
органической структуры, что позволяет организации адаптироваться к различным
изменениям состояния на рынке, изменению технологии производства и др.
факторам.
Краткое описание должностных обязанностей
менеджеров всех уровней:
Генеральный директор: высший руководитель
деятельностью фирмы, принимает решение о политике организации, осуществляет
стратегическое планирование эффективного управления, решает главные вопросы,
касающиеся деятельности предприятия.
Коммерческий директор: отвечает за взаимосвязь
организации с рынком, поставщиками, заказчиками, формирует имидж компании, ее
ценовую и товарную политику, осуществляет рекламную деятельность, а также
ответственен за группу обеспечения.
Секретарь - принимает звонки,
письма и сообщения по факсу и электронной почте, оказывает помощь генеральному
директору.
Юрист - обеспечивает правовую
деятельность организации.
Кадровик - осуществляет подбор
кадров на рабочие места.
Начальник тех. отдела -
отвечает за технологию производства.
Главный механик - начальник
отдела механизации - следит за работой механизмов, их эксплуатацию рабочими, а
также следит за автопарком.
Бригадир - осуществляют
контроль над деятельностью 2 бригад рабочих. Несет полную ответственность перед
главным инженером за качество и сроки выполнения.
Согласно поведенческой теории стиль лидеров
высшего уровня управления и генерального директора - благожелательный автократ.
Этот стиль предполагает использование человеческого ресурса команды на основе
искусного взаимодействия руководителя с подчинёнными, изучения их мнений и
предложений с целью принятия собственного ответственного решения. Для
благожелательного автократа характерна концентрация на работе и в то же время
определённая концентрация на интересы людей, достаточная для раскрытия их
профессионального потенциала, профессионального роста, создания атмосферы в
коллективе, когда интересы каждого совпадают с основной целью организации.
|
Власть
и влияние управляющего
|
Власть
и влияние исполнителя
|
|
Область
свободы использования полномочий управляющего Область свободы для исполнителя
|
|
Принимает
решение и объявляет исполнителям
|
Разъясняет
идеи и стимулирует вопросы. Принимает решения и добивается выполнения.
|
Выносит
проблему, получает предложения, прислушивается и принимает решения
|
Принимает
предварительное решение и разрешает действовать в его рамках
|
Излагает
проблему, получает совет и “продает” решение
|
Устанавливает
пределы, в которых принимаются решения
|
Совместно
принимает решение в пределах орган. политики
|
|
|
|
|
|
|
|
|
Концентрация
интереса
Концентрация интереса
на работе. Теория
«Х». на
людях. Теория «У».
Рис. 9. Шкала лидерства поведенческой теории
План мотивационных мероприятий включает в себя
сдельную заработную плату рабочих; персональную ответственность сотрудников за
принимаемые решения; поощрение сотрудников, внесших наиболее значительный вклад
в успех организации.
2.7 Юридическая форма предприятия.
Её капитал
Организация «Богатырь» является обществом с
ограниченной ответственностью (ООО), может быть учреждено одним или несколькими
лицами. Уставный капитал общества разделен на доли, размер которых определен
учредительными документами. Участники общества не отвечают по его
обязательствам и несут риск убытков, связанных с деятельностью общества, в
пределах стоимости внесенных ими вкладов, включая их неоплаченную часть. Для
первоначального обустройства производства фирма «Богатырь» может привлечь
дополнительно 4 млн.руб. с помощью банковского кредита сроком на 1 год. Банк
выдает кредит малым предприятиям под 18% годовых или вкладывает в дело со
100-процентным возвратом под 9% годовых. Опыт свидетельствует о том, что 6%
таких клиентов ссуду не возвращают. Перед выдачей кредита банк решает вопрос о
том, проверять ли кредитоспособность организации посредством проведения
аудиторской проверки. Тариф аудиторской фирмы 9 тыс.руб. с банка за каждую
проверку. Для проверки правильности выдаваемых аудиторской фирмой рекомендаций
банк выбрал 800 малых предприятий, которым после аудиторской проверки
выдавались ссуды в независимости от рекомендаций.
Табл. 10. Фактические результаты аудиторской
проверки
|
Рекомендации
аудиторской фирмы
|
Кол-во
клиентов
|
|
Вернувших
ссуду
|
Не
вернувших ссуду
|
Всего
|
|
Ссуду
давать
|
587
|
13
|
600
|
|
Ссуду
не давать
|
165
|
35
|
200
|
|
Итого:
|
752
|
48
|
800
|
Банку необходимо принять решение по двум вопросам,
используя критерий максимизации ожидаемого дохода:
1) Проводить
или не проводить проверку кредитоспособности предприятия.
2) Выдавать
после этого кредит или нет.
Рассчитаем вероятность Р каждого исхода,
приведенного в таблице.
Р (вернут,
рекомендуют)=587/600=0,978
Р (не вернут,
рекомендуют)=13/600=0,021
Р (вернут, не
рекомендуют)=35/200=0,175
Р (заем
рекомендован): 600/800=0,75
Р (заем не
рекомендован): 200/800=0,25
Произведем расчеты ожидаемых доходов каждого из
узлов двухуровневого «дерева решений»:
Е - доход, NE - чистый доход.
Исход В:
Ев=4720*0,978+0*0,021=4616,16в=4616,16-4000=616,16
Исход С:
Ес=4360*1,0=4360с=4360-4000=360
В случае 2 принимаем решение о выдаче кредита.
Исход D:
ЕD=4720*0,825+0*0,175=3890D=3894-4000=
-106 (тыс. руб.)
Исход E:
ЕЕ=4360*1,0=4360E=4360-4000=360
В случае 3 принимаем решение об инвестировании в
дело под 7% годовых.
Исход F:
EF=4360*0,94+0*0,06=4436,8F=4436,8-4000=436,8
Исход G:
EG=4360*1,0=4360G=4360-4000=360
В случае 4 принимаем решение о выдаче кредита.
Исход A:
ЕА=616,16*0,75+360*0,25=552,12A=552,12-9=543,12
(тыс. руб.) так как аудиторская проверка стоит 9 тыс. руб.
На основании расчетов определяем, что
максимальный предполагаемый чистый доход банка составляет 543,12 тыс. руб.
Поэтому банк принимает решение: провести аудит, и если выдача займа
рекомендуется, то кредит выдавать; а если не рекомендуется, то инвестировать
деньги под 9% годовых.
Двухуровневое «дерево решений»:
Рис. 10. Двухуровневое дерево решений
2.8 Финансовый план
Данный раздел связывает воедино операционные
планы предприятия и придаёт им денежное выражение.
Табл. 11. Смета ежемесячных расходов
|
№
|
Статья
затрат
|
Сумма,
тыс. руб.
|
|
1
|
Аренда
производственного помещения, офиса
|
166,6
|
|
2
|
страхование
|
37,5
|
|
3
|
амортизация
|
16,6
|
|
4
|
налоги
|
41,6
|
|
5
|
з/п
администрации
|
165,83
|
|
6
|
маркетинговая
деятельность
|
25
|
|
ИТОГО
|
453,13
|
Табл. 12. Отчёт о прибылях и убытках за первый
год работы предприятия
|
№
|
Статьи
|
Затраты
тыс. руб.
|
Сумма
тыс. руб.
|
|
1
|
Выручка
от реализации продукции тыс. руб.
|
----
|
26400
|
|
2
|
Себестоимость
реализованных товаров тыс. руб.
|
----
|
16740
|
|
3
|
Валовая
прибыль тыс. руб.
|
----
|
9700
|
|
4
|
Производственные
издержки тыс. руб.
|
----
|
----
|
|
5
|
Управленческие
и торговые издержки тыс. руб.
|
5440
|
----
|
|
6
|
Амортизационные
отчисления
|
200
|
----
|
|
7
|
Списание
предварительно оплаченных издержек
|
100
|
5740
|
|
8
|
Прибыль
от основной деятельности
|
----
|
3960
|
Табл. 13. Наличная смета для оценки потребности
в денежных средствах (тыс. руб.)
|
Показатели
|
Расходы
до открытия
|
Месяцы
после открытия
|
|
|
1
|
2
|
3
|
4
|
5
|
6
|
8
|
9
|
10
|
11
|
12
|
|
1.
Ожидаемая выручка от реализации, тыс.руб.
|
---
|
0
|
904,8
|
1131
|
1432,6
|
1583,4
|
1809,6
|
2262
|
2639
|
2940,6
|
3317,6
|
3694,6
|
4674,8
|
|
2.
Поступление наличности 2.1. Платежи покупателей тыс. руб.
|
---
|
0
|
0
|
904,8
|
1131
|
1432,6
|
1583,4
|
1809,6
|
2262
|
2639
|
2940,6
|
3317,6
|
3694,6
|
|
3.
Расходование наличности 3.1. Затраты на производство тыс. руб. 3.2. Покрытие
ежемесячных расходов сметы тыс. руб.
|
1070
|
600
453,13
|
814,
14 453,13
|
1187,
2 453,13
|
1287
453,13
|
1335,
83 453,13
|
1418
453,13
|
1435
453,13
|
1452
453,13
|
1468
453,13
|
1485
453,13
|
1654
453,13
|
2092
453,13
|
|
4.
Итого (3.1+3.2) тыс. руб.
|
1070
|
1053,
13
|
1267,
27
|
1640,
33
|
1740,
13
|
1788,
96
|
1871,
13
|
1888,
13
|
1906,
13
|
1921,
13
|
1938,
13
|
2107,
13
|
2545,
13
|
|
5.
Приобретение основных средств тыс. руб.
|
4000
|
|
|
|
|
|
|
|
|
|
|
|
|
|
6.
Прочие активы тыс. руб.
|
95
|
|
|
|
|
|
|
|
|
|
|
|
|
|
7.
Итого (4+5+6) тыс. руб.
|
5165
|
|
|
|
|
|
|
|
|
|
|
|
|
|
8.
Общий расход наличности тыс. руб.
|
5165
|
1053,
13
|
1267,
27
|
1640,
33
|
1740,
13
|
1788,
96
|
1871,
13
|
1888,
13
|
1906,
13
|
1921,
13
|
1938,
13
|
2107,
13
|
2545,
13
|
|
9.
Сводные данные по движению наличности тыс. руб.
|
|
|
|
|
|
|
|
|
|
|
|
|
|
|
9.1.
общие поступления тыс. руб.наличности
|
-
|
0
|
0
|
904,8
|
1131
|
1432,6
|
1583,4
|
1809,6
|
2262
|
2639
|
2940,6
|
3317,6
|
3694,6
|
|
9.2.
Общий расход наличности тыс. руб.
|
5165
|
1053,
13
|
1267,
27
|
1640,
33
|
1740,
13
|
1788,
96
|
1871,
13
|
1888,
13
|
1906,
13
|
1921,
13
|
1938,
13
|
2107,
13
|
2545,
13
|
|
9.3.
Излишек или (нехватка) тыс. руб.
|
(5165)
|
(1053,
13)
|
(1267,
27)
|
(735,
53)
|
(609,
13)
|
(356,
36)
|
(287,
73)
|
(78,
53)
|
355,
87
|
717,
87
|
1002,
47
|
1210,
47
|
1149,
47
|
|
9.4.Накопленная
нехватка тыс. руб.
|
(5165)
|
(6218,
13)
|
(7485,
40)
|
(8220,
93)
|
(8830,
06)
|
(9186,
42)
|
(9474,
15)
|
(9552,
68)
|
(9196,
81)
|
(8478,
94)
|
(7476,
47)
|
(6266)
|
(5116,
53)
|
|
10.
Потребность в денежных средствах тыс. руб.
|
|
|
|
|
|
|
|
|
|
|
|
|
|
|
10.1.
Максимальная нехватка тыс. руб.
|
(9552, 68)
|
|
|
|
|
|
|
|
|
|
|
|
|
|
10.2.
10% резерв на непредвиденные обстоятельства тыс. руб.
|
(955,
27)
|
|
|
|
|
|
|
|
|
|
|
|
|
|
11.
Общая потребность в денежных средствах тыс.руб.
|
10500
|
|
|
|
|
|
|
|
|
|
|
|
|
|
12.
Остаток кассы на начало месяца тыс. руб.
|
10500
|
5335
|
4281,
87
|
3014,
60
|
2279,
07
|
1669,
94
|
1313,
58
|
1025,
85
|
947,
32
|
1303,
19
|
2021,
06
|
3023,
53
|
4234
|
|
13.
Излишек или (нехватка) тыс. руб.
|
(5165)
|
(1053,
13)
|
(1267,
27)
|
(735,
53)
|
(609,
13)
|
(356,
36)
|
(287,
73)
|
(78,
53)
|
355,
87
|
717,
87
|
1002,
47
|
1210,
47
|
1149,
47
|
|
14.
Остаток кассы на конец месяца тыс. руб.
|
5335
|
4281,
87
|
3014,
60
|
2279,
07
|
1669,
94
|
1313,
58
|
1025,
85
|
947,
32
|
1303,
19
|
2021,
06
|
3023,
53
|
4234
|
5383,
47
|
Табл. 14. Баланс на начало и конец первого года
работы организации
|
Активы
|
Пассивы
и акционерный капитал
|
|
Статьи
|
Начало
|
Конец
|
Статьи
|
Начало
|
Конец
|
|
1.
Оборотные средства
|
|
|
5.
Собственный капитал
|
|
|
|
1.1.
Касса
|
5335
|
5383
|
5.1.
Уставной капитал
|
10500
|
10500
|
|
1.2.
Счета дебиторов
|
-
|
2115
|
5.2.
Прибыль
|
0
|
3960
|
|
1.3.
Запасы
|
1070
|
3162
|
Итого
|
10500
|
14460
|
|
Итого
|
6405
|
10660
|
|
|
|
|
2.
Основные средства
|
|
|
|
|
|
|
2.1.
Здание
|
0
|
0
|
|
|
|
|
2.2.
Оборудование
|
4000
|
3800
|
|
|
|
|
2.3.
Инвентарь
|
0
|
0
|
|
|
|
|
Итого
|
4000
|
3800
|
|
|
|
|
3.
Другие активы
|
95
|
|
6.
Всего пассивы и акционерный капитал
|
10500
|
14460
|
|
4.
Всего активы
|
10500
|
14460
|
|
|
|
График
рентабельности:
Рис. 11. График рентабельности
бу = ПсЗ/(Ц-ПрЗ) = 5 440 000/(7540-4857)=2027
кв.м. в год
Показатель безопасности ПБ =
(3500-2027)/3500=42%
ООО «Богатырь» производит 2
вида фундаментных блоков - ФБС 12.4.3. и ФБС 9.4.6. Для производства 1 куб.м.
изделия ФБС 12.4.3. потребуется 0,25 ч/ м3, а для ФБС 9.4.6. - 0,3
ч/м3.
Расход состава основного
продукта (бетона) составляет: для ФБС 12.4.3 - 0,31 м3; для ФБС
9.4.6.- 0,24 м3. Доход организации при изготовлении ФБС 12.4.3. 1300
руб./м3, а при изготовлении ФБС 9.4.6.- 1500 руб./м3.
Ограничения: фонд работы
оборудования - 21 ч/день; расход бетона - 20 м3/день.
Определим переменные:
А - Х м²/день
Б - У м²/день
Целевая функция задачи:
Р = 1300Х + 1500У (руб./день)
Ограничения через переменные:
. ограничения на время строительства 0,25Х+0,3≤
21;
. ограничение на основной продукт 0,31Х + 0,24У ≤
20;
. условие неотрицательности задачи Х≥0; У≥0.
Формула задачи:
максимизировать:
Р = 1300Х + 1500У (руб./день) при ограничениях
,25Х+0,3≤ 21 ч/кв.м;
,31Х + 0,24У ≤ 20 л/кв.м; Х, У≥0.
Рис. 12. Графическое решение задачи
Проверим:
300*29+1 500*46=105 600 - максимальный
ежедневный доход
Итак, чтобы получить максимальный доход в день
наша фирма должна реализовать 29 куб.м А и 46 куб.м Б. При таких объемах
максимально используется время работы оборудования и максимально расходуется
основной продукт. Это составит в год: 105600*250=26400000 руб. в год, что
соответствует доходу за последний год.
Валовая прибыль на 1 руб. реализации дохода
составляет 0,37 руб.
Проведём анализ финансового состояния ООО
«Богатырь» и определим величину прибыли на инвестируемый капитал.
Рис. 13. Карта определения прибыли на
инвестированный капитал
3. Стратегический план. Мероприятия
по его реализации. Обоснование эффективности
Стратегический план-график достижения
стратегической цели ООО «Богатырь» представлен ниже.
Анализ возможного риска данного стратегического
плана:
1) Целесообразность.
План
имеет реальное конкурентоспособное преимущество, так как планируемый объём
производства (3500 куб.м.) достигается уже в конце первого года, а многие этапы
совмещены и проводятся одновременно.
2) Обоснованность.
Предположения, взятые за основу плана, реальны и основаны на последней и
достоверной информации о состоянии рынка.
3) Осуществимость.
Необходимые денежные и кадровые ресурсы у предприятия имеются, что позволяет
достичь выполнения стратегической цели.
4) Согласованность.
Все элементы плана согласованы между собой и обязательны к исполнению. План-график
так же в свою очередь согласован с условиями внешней среды.
5) Уязвимость.
Невысокий уровень риска, так как конъюнктура рынка для нашей продукции
благоприятна.
6) Гибкость.
Несмотря на то, что все пункты плана обязательны к исполнению, в случае возникновения
необходимости их можно откорректировать в соответствии с новыми условиями.
7) Рентабельность.
Планируемый объём производства достигается уже в конце первого года. В
дальнейшем возможно увеличение процента прибыли за счет повышения
производительности труда, увеличения качества работ и улучшения репутации.
Рентабельность совместима с политикой организации, так как специализация и
введение научной организации труда позволят улучшить квалификацию персонала,
снизить издержки на единицу продукции и повысить процент прибыли.
Табл. 15
|
№
|
Действия
по достижению цели
|
Требуемые
ресурсы
|
Ответ
испол.
|
Директивные
сроки
|
Результат
|
|
|
Время
год.
|
Люди
|
мат.
рес.
|
Капитал,
тыс.
|
|
2004
|
2005
|
2006
|
2007
|
2008
|
2009
|
2010
|
2011
|
2012
|
2013
|
|
|
1
|
Разработка
концепции и устава фирмы
|
0,5
|
10
|
|
100
|
Агентство
|
*
|
|
|
|
|
|
|
|
|
|
Концепция,
устав
|
|
2.
|
Аренда
помещения, оборуд-я, набор сотрудников
|
0,5
|
8
|
Деньги
|
2000
|
ВУУ
|
*
|
|
|
|
|
|
|
|
|
|
Создание
организации
|
|
3
|
Анализ
потребностей. Реклама
|
5
|
4
|
Деньги
|
100
|
Нач.
отд.маркетинга
|
*
|
*
|
*
|
|
|
|
|
|
*
|
*
|
Известность
на рынке
|
|
4
|
Создание
сайта в интернете
|
0,2
|
1
|
Деньги
|
20
|
Рекламная
служба
|
*
|
|
|
|
|
|
|
|
|
|
Связь
с клиентами
|
|
5
|
Участие
в выставках
|
0,5
|
8
|
Деньги
|
80
|
Ген.
директор
|
*
|
|
|
|
|
|
|
|
|
|
Поиск
новых клиентов
|
|
6
|
4
|
8
|
Деньги
|
100
|
Ген.директор
|
|
*
|
*
|
*
|
*
|
*
|
*
|
*
|
*
|
*
|
Повышение
кач-ва производства
|
|
7
|
Увеличение
объема производства
|
10
|
60
|
Ден.
мат. оборуд.
|
400
|
Вся
организация
|
*
|
*
|
*
|
*
|
*
|
*
|
*
|
*
|
*
|
*
|
Захват
большей доли рынка
|
|
8
|
Достижение
производственной мощности
|
1
|
60
|
Ден
мат оборуд
|
40
|
Вся
организация
|
|
|
*
|
*
|
*
|
*
|
*
|
*
|
|
|
Производство
3500 м3
|
|
9
|
Достижение
прибыли в 15%
|
1
|
60
|
|
|
Вся
организация
|
|
|
|
|
|
|
|
*
|
|
|
Получение
прибыли в 15%
|
|
10
|
Поиск
новых рынков
|
2
|
2
|
деньги
|
5
|
Ген.директор
|
|
|
|
|
|
|
|
|
*
|
*
|
Выход
на новые рынки
|
Выводы и рекомендации
В данной курсовой работе был разработан
стратегический план по созданию малого предприятия по строительству панельных
жилых многоэтажных домов производственной мощностью 3500 кв.м., с целью
достижения в 2013 году 15% прибыли от дохода.
В этой работе были использованы все изученные
мною инструменты руководства менеджера, а именно:
метод “двухуровневого дерева решений”
определение точки безубыточности моей
организации - минимальный объем производства - при котором фирма полностью
покрывает собственные расходы. Если же объемы будут выше, то фирме гарантированно
получение прибыли. Моя организация оказалась рентабельной, а значит стоит
вкладывать деньги в ее создание.
метод выбора способа производства.
определение оптимальных объемов продукции при
двух видах товара.
проведение сравнительного анализа выпускаемой продукции,
определение, по каким параметрам моя фирма уступает конкурентам, что нужно
предпринять, чтобы клиенты заинтересовались именно нашей фирмой, выяснение, как
может повлиять внешняя среда и внутренние изменения на деятельность моей фирмы.
Выбор основной и конкурентной стратегии, опираясь на положение на рынке,
маркетинговые исследования, а так же исходя из установленной цены.
Так же составила сметы, но главным в моей работе
несомненно стал стратегический план, который и позволяет моей организации достигнуть
желаемой цели, к 2013 году достижение прибыли в 15% от дохода.
Библиографический список
1. Волков
В.В. - “Менеджмент - наука управлять”. Курс лекций по общепрофессиональной
дисциплине “менеджмент” в 4-х частях, МГСУ 2003
2. Фалмер
Р. - Энциклопедия современного управления в 5-ти томах - ВИПК, 1992 г. (перевод
с англ.)
. Стивенсон
В. - “Управление производством” Бином 1999г.
. Сирополис
Н. - “Управление малым бизнесом” “Дело”, 1997г..
. Эддоус
М. - “Методы принятия решений” “Юнити” 1997г.
. Чейз
Р., Эквилайн Н. - “Производственный и операционный менеджмент”, “Вильямс”2001г.